

技术领域technical field
本发明涉及计算机网络领域,尤其涉及应用P4P的P2P网络中的节点信任选择方法及其系统。The invention relates to the field of computer networks, in particular to a node trust selection method in a P2P network using P4P and a system thereof.
背景技术Background technique
随着P2P(peer-to-peer,端到端)技术的发展,P2P应用已成为互联网上的主要应用之一,尤其是在文件传输和流媒体业务方面。但是P2P应用大量占用主干网络流量和网络中节点之间缺乏信任关系,制约了P2P应用的进一步发展。With the development of P2P (peer-to-peer, end-to-end) technology, P2P applications have become one of the main applications on the Internet, especially in file transmission and streaming media services. However, P2P applications occupy a large amount of backbone network traffic and lack of trust relationship between nodes in the network, which restricts the further development of P2P applications.
P4P(Proactive Provider Participation in P2P,P2P中运营商主动加入)是最新提出的一种现有术,它利用ISP(因特网服务提供商)对网络进行监控,把网络划分成不同的域,进而利用策略矩阵引导节点选择。域的划分,简单的方法可以只考虑区域性,复杂的方法需要考虑网络带宽、链路状态等因素。策略矩阵的生成,简单的方法可以只考虑各个域内能提供服务的节点的个数,复杂的也需要考虑网络带宽、链路状态等因素。在域内能提供相应服务的节点足够多时,策略矩阵指导节点尽可能多的选择域内节点交互,尽可能少的选择域外节点交互,从而大大减少对主干网络流量的占用,促进了P2P网络的发展。但是应用P4P的P2P网络本质上仍然是P2P网络,网络中的节点之间仍旧缺乏信任关系,存在自私节点不合作、不愿意上传资源和节点间相互欺骗提供无效甚至有害资源的行为。P4P (Proactive Provider Participation in P2P, operators actively join in P2P) is a newly proposed existing technology, which uses ISP (Internet Service Provider) to monitor the network, divide the network into different domains, and then use policy Matrix guided node selection. For the division of domains, the simple method can only consider the region, and the complex method needs to consider factors such as network bandwidth and link status. For the generation of the strategy matrix, the simple method can only consider the number of nodes that can provide services in each domain, and the complex method also needs to consider factors such as network bandwidth and link status. When there are enough nodes that can provide corresponding services in the domain, the policy matrix guides nodes to choose as many nodes in the domain as possible to interact with and as few as possible to choose nodes outside the domain to interact with, thereby greatly reducing the occupation of backbone network traffic and promoting the development of P2P networks. However, the P2P network using P4P is still a P2P network in essence, and there is still a lack of trust relationship between nodes in the network. There are selfish nodes that do not cooperate, are unwilling to upload resources, and cheat each other to provide invalid or even harmful resources.
现有技术中解决P2P网络中节点之间缺乏信任关系的方法分为两种:一种是基于PKI(Public Key Infrastructure,公钥基础设施)技术的信任方法,另一种是基于节点相互之间信任评价的信任方法。In the prior art, there are two methods for solving the lack of trust relationship between nodes in a P2P network: one is a trust method based on PKI (Public Key Infrastructure, public key infrastructure) technology, and the other is based on mutual trust between nodes. A trust approach to trust ratings.
基于PKI技术的信任方法利用中心服务器来管理网络中的节点用户,每个节点用户加入P2P网络时需要在中心服务器注册和认证。之后,中心服务器向每个节点用户发放一个证书。当请求节点用户申请交互时需要将自己的证书发给接收节点用户,接收节点用户收到证书后利用相应的加解密技术判断该证书是否合法,进而决定是否与之交互。请求节点用户采用同样的方法判断接收节点用户的合法性。这种方法实现简单,管理方便。但是,缺点在于,由于中心依赖,存在着性能瓶颈和单点失效的问题,而且该方法对已经加入网络的用户行为无法控制。The trust method based on PKI technology uses the central server to manage node users in the network, and each node user needs to register and authenticate at the central server when joining the P2P network. After that, the central server issues a certificate to each node user. When the requesting node user applies for interaction, it needs to send its own certificate to the receiving node user. After receiving the certificate, the receiving node user uses the corresponding encryption and decryption technology to judge whether the certificate is legal, and then decides whether to interact with it. The requesting node user uses the same method to judge the legitimacy of the receiving node user. This method is simple to implement and convenient to manage. However, the disadvantage is that due to central dependence, there are problems of performance bottleneck and single point of failure, and this method cannot control the behavior of users who have joined the network.
基于信任评价的信任方法让网络中交互过的节点相互评价,根据这些评价信息计算出节点的信任度,节点在选择交互节点时选择信任值高的节点,进而减少网络风险,获得更好的服务。这种方法充分利用网络中的节点自身来相互约束各自的行为,对于一直表现良好的节点给与好的评价,对于表现不好的节点给与差的评价。目前,已有的信任评价模型可以分为两种:未分组的模型和分组的模型。未分组的典型模型是:EigenTrust模型和证据模型。EigenTrust模型根据节点的交易历史,计算本地的信任度,并通过邻居间相互信任度的迭代,为网络中的每个节点计算一个唯一的全局信任值。证据模型中节点先搜集邻居节点对相应节点的评价信息,然后利用D-S证据合成规则。其中,EigenTrust模型如文献The EigenTrust algorithm for reputationmanagement in P2P networks,Proceedings of the 12th InternationalConference on World Wide Web(WWW′03).2003:640-651中所述,证据模型如文献An evidential model of distributed reputation management,Proceedings of the ACM International Conference Autonomous Agents andMulti-Agent Systems(AAMAS′02).2002:82-93中所述,D-S证据合成规则如文献A Mathematical Theory of Evidence,Princeton NJ:PrincetonUniversity Press,1976:10-28中所述。计算出相应节点的信任值。分组模型的一种典型思想是依据节点的信任值高低,按照一定的梯度划分成不同的组,在计算节点信任值的时候,利用组内其他节点的评价和自身的评价计算得出相应节点的信任值。The trust method based on trust evaluation allows nodes that have interacted in the network to evaluate each other, and calculates the trust degree of nodes based on these evaluation information. When selecting interactive nodes, nodes choose nodes with high trust values, thereby reducing network risks and obtaining better services. . This method makes full use of the nodes themselves in the network to constrain their respective behaviors, giving good evaluations to nodes that have always performed well, and giving poor evaluations to nodes that perform poorly. At present, the existing trust evaluation models can be divided into two types: ungrouped models and grouped models. Typical models not grouped are: EigenTrust Model and Evidence Model. The EigenTrust model calculates the local trust degree based on the node's transaction history, and calculates a unique global trust value for each node in the network through the iteration of the mutual trust degree between neighbors. In the evidence model, the nodes first collect the evaluation information of the neighbor nodes on the corresponding nodes, and then use the DS evidence synthesis rules. Among them, the EigenTrust model is as described in the document The EigenTrust algorithm for reputation management in P2P networks, Proceedings of the 12th International Conference on World Wide Web (WWW′03).2003: 640-651, and the evidence model is as described in the document An evident model of distributed reputation management, Proceedings of the ACM International Conference Autonomous Agents and Multi-Agent Systems (AAMAS'02). 2002: 82-93, DS evidence synthesis rules such as literature A Mathematical Theory of Evidence, Princeton NJ: Princeton University Press, 1976: 10 -28 described. Calculate the trust value of the corresponding node. A typical idea of the grouping model is to divide the trust value of nodes into different groups according to a certain gradient. When calculating the trust value of nodes, the evaluation of other nodes in the group and its own evaluation are used to calculate the value of the corresponding node. trust value.
上述信任评价模型直接使用到应用P4P的P2P网络中不能满足P4P给信任机制的建立带来的两个挑战:第一,域内节点的不良行为将会影响P4P策略矩阵的生成,进而误导节点在服务能力差的域内选择更多的节点交互,而在服务能力好的域内反而选择更少的节点交互,现有技术中信任机制没有考虑对策略矩阵进行修正,减小节点不良行为对策略矩阵的影响;第二,受分组间流量的影响,节点在分组内节点的良好表现并不意味着节点在域间交互时也能表现良好,需要区分同一分组内节点之间信任值和分组间节点之间信任值的计算。The above trust evaluation model directly applied to the P2P network using P4P cannot meet the two challenges that P4P brings to the establishment of the trust mechanism: first, the bad behavior of the nodes in the domain will affect the generation of the P4P strategy matrix, and then mislead the nodes in the service Choose more nodes to interact in domains with poor capabilities, but choose fewer nodes to interact in domains with good service capabilities. In the existing technology, the trust mechanism does not consider modifying the policy matrix to reduce the impact of bad behavior of nodes on the policy matrix. ;Secondly, affected by the traffic between groups, the good performance of nodes in a group does not mean that the nodes can also perform well in inter-domain interaction. It is necessary to distinguish the trust value between nodes in the same group and the trust value between nodes in groups. Calculation of trust value.
发明内容Contents of the invention
为解决上述问题,本发明提供了应用P4P的P2P网络中的节点信任选择方法及其系统,通过应用节点间给出的评价值调整依P4P获得的策略矩阵,能够使得节点的分组的信任度越高,该分组中节点被选中进行交互的概率越大,从而减少网络风险。In order to solve the above problems, the present invention provides a node trust selection method and system in a P2P network using P4P. By adjusting the strategy matrix obtained by P4P by applying the evaluation value given between nodes, the trust degree of the grouping of nodes can be made higher. The higher the probability of nodes in the group being selected for interaction, the greater the risk of the network.
本发明公开了一种应用P4P的P2P网络中的节点信任选择方法,包括:The invention discloses a node trust selection method in a P2P network applying P4P, comprising:
步骤1,应用P4P将P2P网络中节点进行分组;Step 1, apply P4P to group nodes in the P2P network;
步骤2,在P2P网络中,每个节点在同另一个节点交互完成后,给出对所述另一个节点的评价值,将所述评价值上报给所在分组内的管理节点;Step 2, in the P2P network, after each node interacts with another node, it gives an evaluation value to the other node, and reports the evaluation value to the management node in the group;
步骤3,管理节点以每个分组为虚体节点,根据接收的所在分组内节点上报的评价值计算所在分组对应的虚体节点对网络中虚体节点的信任度;Step 3, the management node takes each group as a virtual node, and calculates the trust degree of the virtual node corresponding to the group to the virtual node in the network according to the received evaluation value reported by the node in the group;
步骤4,所述管理节点由P4P获得策略矩阵,确定所在分组对应的虚体节点对网络中所有虚体节点的信任度,应用所述信任度调整所述策略矩阵,使虚体节点的信任度越高则所述策略矩阵中所述虚体节点对应的选择比例越大;Step 4, the management node obtains the strategy matrix by P4P, determines the trust degree of the virtual node corresponding to the group to all virtual nodes in the network, and adjusts the strategy matrix by applying the trust degree so that the trust degree of the virtual node The higher the selection ratio corresponding to the phantom node in the strategy matrix, the greater;
步骤5,节点从所在分组的管理节点得到调整后的选择比例,依据所述选择比例选择每组内信任度高的节点进行交互。Step 5, the node obtains the adjusted selection ratio from the management node of the group it belongs to, and selects a node with a high trust degree in each group to interact according to the selection ratio.
所述步骤2进一步为,The step 2 is further,
步骤21,节点在同另一个节点交互完成后,判断交互是否成功,根据所述判断更新记录的统计时间内对端节点对应的成功完成交互的次数或没有成功完成交互的次数;Step 21, after the node interacts with another node, it judges whether the interaction is successful, and updates the number of times the peer node has successfully completed the interaction or the number of times the peer node has not successfully completed the interaction within the statistical time according to the judgment;
步骤22,按如下公式计算对端节点对应的评价值,Step 22, calculate the evaluation value corresponding to the peer node according to the following formula,
Sij-μFij<0或者Sij=0时,pij=0 When Sij -μFij <0 or Sij =0, pij =0
pij是所述节点i对对端节点j的评价值,Sij是统计时间内所述节点i从对端节点j成功完成交互的次数,Fij是统计时间内所述节点i从对端节点j没有成功完成交互的次数,μ是预设的大小大于1的惩罚因子;pij is the evaluation value of the node i to the peer node j, Sij is the number of times the node i successfully completes the interaction from the peer node j within the statistical time, Fij is the number of times the node i interacts with the peer node j within the statistical time The number of times that node j did not successfully complete the interaction, μ is a preset penalty factor greater than 1;
步骤23,所述节点将评价值上报给所述管理节点。Step 23, the node reports the evaluation value to the management node.
所述步骤3进一步为,The step 3 is further as follows,
步骤31,所述管理节点以每个分组为虚体节点,所述管理节点所在的分组对应的虚体节点表示为Di,按如下公式计算虚体节点Di对网络中虚体节点的评价值,Step 31, the management node takes each group as a virtual node, and the virtual node corresponding to the group where the management node is located is denoted as Di , and the evaluation of the virtual node Di to the virtual node in the network is calculated according to the following formula value,
其中,DPij是虚体节点Di对虚体节点Dj的评价值;N是所述管理节点在统计时间内收到的对虚体节点Dj对应的分组内节点的评价值的个数;pk为所述管理节点在统计时间内收到的对于虚体节点Dj对应分组内的节点的第k个评价值;Among them, DPij is the evaluation value of the virtual node Di to the virtual node Dj ; N is the number of evaluation values of the nodes in the group corresponding to the virtual node Dj received by the management node within the statistical time ; pk is the k-th evaluation value of the node in the group corresponding to the phantom node Dj received by the management node within the statistical time;
步骤32,所述管理节点将虚体节点Di对网络中虚拟体节点的评价值按如下公式进行归一化,所得值为虚体节点Di对网络中虚拟体节点的信任度,Step 32, the management node normalizes the evaluation value of the virtual node Di to the virtual node in the network according to the following formula, and the obtained value is the trust degree of the virtual node Di to the virtual node in the network,
DTij是虚体节点Di对虚体节点Dj的信任度,M是被虚体节点Di给出评价值的虚体节点的总个数。DTij is the trust degree of virtual node Di to virtual node Dj , and M is the total number of virtual nodes whose evaluation value is given by virtual node Di .
所述步骤4进一步为,The step 4 is further as follows,
步骤41,所述管理节点由P4P获得策略矩阵,所述策略矩阵表示为,Step 41, the management node obtains a strategy matrix from P4P, and the strategy matrix is expressed as,
sp11 sp12 … sp1nsp11 sp12 … sp1n
sp21 sp22 … sp2nsp21 sp22 … sp2n
… … … …... ... ... ... ...
spn1 spn2 … spnnspn1 spn2 … spnn
其中,虚体节点Di的比例向量为[spi1 spi2 … spin],比例向量中元素为虚体节点Di对应分组中的节点在各个分组中选择节点的选择比例;Wherein, the proportion vector of the imaginary node Di is [spi1 spi2 ... spin ], and the element in the proportion vector is the selection ratio of the nodes in the group corresponding to the imaginary node Di to select nodes in each group;
步骤42,所述管理节点确定所在分组对应虚体节点对网络中所有虚体节点的信任度,将所述信任度组成所述虚体节点的信任度向量,表示为[DTi1 DTi2 … DTin],信任度向量中元素为虚体节点Di对各个虚体节点的信任度;Step 42, the management node determines the degree of trust of the virtual node corresponding to the group to all virtual nodes in the network, and forms the trust degree into a trust degree vector of the virtual node, expressed as [DTi1 DTi2 ... DTin ], the element in the trust degree vector is the trust degree of virtual body node Di to each virtual body node;
步骤43,将同一虚体节点的比例向量和信任度向量中的对应元素相加或相乘,获得所述虚体节点的新向量;Step 43, adding or multiplying the proportion vector of the same phantom node and the corresponding elements in the trust degree vector to obtain a new vector of the phantom node;
步骤44,将所述虚体节点的新向量中每个元素进行归一化获得所述虚体节点的新的比例向量。Step 44, normalize each element in the new vector of the phantom node to obtain a new scale vector of the phantom node.
所述步骤5进一步为,The step 5 is further,
步骤51,节点从所在分组的管理节点得到调整后的选择比例;Step 51, the node obtains the adjusted selection ratio from the management node of the group it belongs to;
步骤52,节点依据所述选择比例确定从各个分组中选择节点的数目;Step 52, the node determines the number of selected nodes from each group according to the selection ratio;
步骤53,节点分别向各个分组的管理节点请求包括相应数目的能够提供服务的节点的列表;Step 53, the node requests the management node of each group for a list including a corresponding number of nodes capable of providing services;
步骤54,节点获得列表后,同所述列表中的节点进行交互。Step 54, after the node obtains the list, it interacts with the nodes in the list.
所述步骤5进一步为,The step 5 is further,
步骤61,节点从所在分组的管理节点得到调整后的选择比例;Step 61, the node obtains the adjusted selection ratio from the management node of the group it belongs to;
步骤62,所述节点依据所述选择比例确定从各个分组中选择节点的数目;Step 62, the node determines the number of nodes selected from each group according to the selection ratio;
步骤63,所述节点分别向各个分组的管理节点请求能够提供服务的节点的列表,从所述列表中选择对应数目的节点;Step 63, the nodes respectively request the management nodes of each group for a list of nodes capable of providing services, and select a corresponding number of nodes from the list;
步骤64,所述节点同选择的节点进行交互。Step 64, the node interacts with the selected node.
所述步骤63中从所述列表中选择对应数目的节点进一步为,Selecting a corresponding number of nodes from the list in step 63 is further as follows:
步骤71,所述节点在从所在的分组中选择节点时,计算所述节点对所述所在的分组中的被选择节点的信任值;Step 71, when the node selects a node from the group it is in, calculate the trust value of the node to the selected node in the group it is in;
步骤72,所述节点在从非所在的分组中选择节点时,计算所述节点对所述非所在的分组中的被选择节点的信任值;Step 72, when the node selects a node from a non-located group, calculate the trust value of the node to the selected node in the non-located group;
步骤73,按所述信任值由高到低的顺序,从各个分组的列表中选择对应数目的节点。Step 73 , selecting a corresponding number of nodes from the list of each group in descending order of the trust values.
所述步骤63还包括,所述节点记录计算的信任值;The step 63 also includes, the node records the calculated trust value;
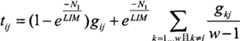
所述步骤71中计算所述节点对所述所在的分组中的被选择节点的信任值进一步为,In the step 71, the trust value calculated by the node to the selected node in the group is further:
步骤81,所述节点从各个分组的管理节点获得统计时间内各个分组中节点对被选择的节点的评价值,从记录中获得所述节点对给出评价值的节点的信任值;Step 81, the node obtains the evaluation value of the node in each group to the selected node within the statistical time from the management node of each group, and obtains the trust value of the node to the node giving the evaluation value from the record;
步骤82,所述节点从各个分组的管理节点获得各个分组中节点在统计时间内给出的对被选择节点的评价值的个数,按如下公式计算所在分组中节点的信任值,Step 82, the node obtains the number of evaluation values for the selected node given by the nodes in each group within the statistical time from the management node of each group, and calculates the trust value of the node in the group according to the following formula,
其中,tij是所述节点i对所述被选择节点j的信任值;Pkj是统计时间内由节点i所在分组内节点给出的对节点j的第k个评价值,Tik是节点i对所在分组内对节点j给出评价值Pkj的节点的信任值;Plj是统计时间内由节点i所在分组外节点对节点j的第l个评价值;Til是节点i对所在分组外的对节点j给出评价值Plj的节点的信任值;N1为在统计时间内节点i所在分组内节点给出的对节点j的评价值的个数,N2为在统计时间内节点i所在分组外的节点给出的对节点j评价值的个数;LIM是预设的分组内交互次数阈值。Among them, tij is the trust value of the node i to the selected node j; Pkj is the kth evaluation value of the node j given by the node in the group where the node i is located within the statistical time, and Tik is the node i is the trust value of the node that gives evaluation value Pkj to node j in the group whereibelongs ; The trust value of the node outside the group that gives the evaluation value Plj to node j; N1 is the number of evaluation values for node j given by nodes in the group where node i belongs to within the statistical time, N2 is the The number of evaluation values for node j given by nodes outside the group where internal node i is located; LIM is the preset threshold for the number of interactions within the group.
所述步骤63还包括,所述节点记录计算的信任值;The step 63 also includes, the node records the calculated trust value;
所述步骤71中计算所述节点对所述所在分组中的被选择节点的信任值进一步为,In the step 71, the trust value calculated by the node to the selected node in the group is further:
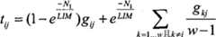
步骤91,所述节点向各个分组的管理节点发送记录的对管理节点所在分组中节点的信任值,并请求所述管理节点按如下公式计算所在分组对被选择节点的参考信任值,Step 91, the node sends the recorded trust value to the nodes in the group where the management node belongs to the management node of each group, and requests the management node to calculate the reference trust value of the group to the selected node according to the following formula,
gmj是虚体节点Dm对应分组对被选择节点j的参考信任值,Tikm是节点i对虚体节点Dm对应分组内对节点j给出评价值Pkjm的节点的信任值;Pkjm是统计时间内由虚体节点Dm对应分组内节点给出的对节点j的第k个评价值;Nm是在统计时间内虚体节点Dm对应分组内节点给出的对节点j评价值的个数;gmj is the reference trust value of the group corresponding to virtual node Dm to the selected node j, Tikm is the trust value of node i to the node that gives evaluation value Pkjm to node j in the group corresponding to virtual node Dm ; Pkjm is the kth evaluation value of node j given by the virtual node Dm corresponding to the node in the group within the statistical time; Nm is given by the virtual node Dm corresponding to the node in the group within the statistical time The number of evaluation values for node j;
步骤92,所述节点接收到各个分组管理节点计算的对于被选择节点的参考信任值,将参考信任值组成参考信任值向量,表示为[g1j g2j … gij … gwj],w为网络中分组个数;Step 92, the node receives the reference trust value for the selected node calculated by each group management node, and forms the reference trust value into a reference trust value vector, expressed as [g1j g2j ... gij ... gwj ], w is the number of groups in the network;
步骤93,所述节点从所在分组的管理节点获得所在分组中节点在统计时间内给出的被选择节点的评价值个数,按如下公式计算所述被选择节点的信任值,Step 93, the node obtains the number of evaluation values of the selected node given by the node in the group within the statistical time from the management node of the group where it is located, and calculates the trust value of the selected node according to the following formula,
其中,tij是所述节点i对被选择节点j的信任值;gij是节点i所在分组对节点j的参考信任值;gkj是除节点i所在分组外的其他分组对节点j的参考信任值;N1为在统计时间内节点i所在分组内节点给出的对节点j评价值的个数;LIM是预设的分组内交互次数阈值。Among them, tij is the trust value of the node i to the selected node j; gij is the reference trust value of the group where the node i belongs to the node j; gkj is the reference of the group other than the node i to the node j Trust value; N1 is the number of evaluation values for node j given by the nodes in the group where node i belongs to within the statistical time; LIM is the preset threshold for the number of interactions in the group.
所述步骤63还包括,所述节点记录计算的信任值;The step 63 also includes, the node records the calculated trust value;
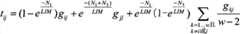
所述步骤72中计算所述节点对所述非所在的分组中的被选择节点的信任值进一步为,In the step 72, the trust value of the node to the selected node in the non-located group is further calculated as,
步骤101,所述节点从各个分组的管理节点获得统计时间内各个分组中节点对被选择的节点的评价值,从记录中获得所述节点对给出评价值的节点的信任值;Step 101, the node obtains the evaluation value of the node in each group to the selected node within the statistics time from the management node of each group, and obtains the trust value of the node to the node giving the evaluation value from the record;
步骤102,所述节点按如下公式计算被选择节点的信任值,Step 102, the node calculates the trust value of the selected node according to the following formula,
其中,tij是所述节点i对被选择节点j的信任值;N1为在统计时间内节点i所在分组内节点给出的对节点j的评价值的个数;N2为在统计时间内节点j所在分组中的节点给出的对节点j评价值的个数;N3是在统计时间内除节点j所在分组和节点i所在分组以外其他分组中的节点给出的对节点j的评价值的个数;Pkj是统计时间内由节点i所在分组内节点给出的对节点j的第k个评价值,Tik是节点i给出评价值Pkj的节点的信任值;Plj是统计时间内由节点j所在分组内节点给出的对节点j的第l个评价值,Til是节点i对给出评价值Plj的节点的信任值;Prj是统计时间内由在除节点i所在分组和节点j所在分组外的其他分组中节点给出的对节点j的第r个评价值;Tir是节点i对给出评价值Prj的节点的信任值;LIM是预设的分组内交互次数阈值。Among them, tij is the trust value of the node i to the selected node j; N1 is the number of evaluation values given by the nodes in the group where the node i belongs to within the statistical time; N2 is the number of evaluation values for the node j within the statistical time The number of evaluation values for node j given by the nodes in the group where internal node j is located; N3 is the number of evaluation values for node j given by nodes in other groups other than the group where node j is located and the group where node i is located within the statistical time The number of evaluation values; Pkj is the kth evaluation value of node j given by the node in the group where node i belongs to within the statistical time, Tik is the trust value of the node that node i gives the evaluation value Pkj ; Plj is the lth evaluation value of node j given by the node in the group where node j belongs to within the statistical time, Til isthe trust value of node i to the node that gives the evaluation value Plj ; In other groups except the group where node i is located and the group where node j is located, the rth evaluation value given by the node to node j; Tir is the trust value of node i to the node that gives the evaluation value Prj ; LIM is The preset threshold for the number of interactions within a group.
所述步骤63还包括,所述节点记录计算的信任值;The step 63 also includes, the node records the calculated trust value;
所述步骤72中计算所述节点对所述非所在的分组中的被选择节点的信任值进一步为,In the step 72, the trust value of the node to the selected node in the non-located group is further calculated as,
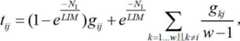
步骤111,所述节点向各个分组的管理节点发送记录的所述节点对所述分组中节点的信任值,并请求所述管理节点按如下公式计算所在分组对被选择节点的参考信任值,Step 111, the node sends the recorded trust value of the node to the nodes in the group to the management node of each group, and requests the management node to calculate the reference trust value of the group to the selected node according to the following formula,
gmj是虚体节点Dm对应分组对被选择节点j的参考信任值,Tikm是节点i对虚体节点Dm对应分组内对节点j给出评价值Pkjm的节点的信任值;Pkjm是虚体节点Dm对应分组内节点对节点j的第k个评价值;Nm是在统计时间内虚体节点Dm对应分组内节点对节点j评价值的个数;gmj is the reference trust value of the group corresponding to virtual node Dm to the selected node j, Tikm is the trust value of node i to the node that gives evaluation value Pkjm to node j in the group corresponding to virtual node Dm ;Pkjm is the kth evaluation value of node j in the group corresponding to virtual body node Dm ; Nm is the number of evaluation values of node j in the group corresponding to virtual body node Dm within the statistical time;
步骤112,所述节点接收到各个分组计算的对于被选择节点的参考信任值,将参考信任值组成参考信任值向量,表示为[g1j g2j … gij … gwj],w为网络中分组个数;Step 112, the node receives the reference trust value calculated by each group for the selected node, and forms the reference trust value into a reference trust value vector, expressed as [g1j g2j ... gij ... gwj ], w is the number of groups;
步骤113,所述节点从各个分组的管理节点获得各个分组中节点在统计时间内给出的被选择节点的评价值个数,按如下公式计算所述被选择节点的信任值,Step 113, the node obtains the number of evaluation values of the selected node given by the nodes in each group within the statistical time from the management node of each group, and calculates the trust value of the selected node according to the following formula,
其中,tij是所述节点i对非所在分组内的被选择节点j的信任值;N1为在统计时间内节点i所在分组内节点给出的对节点j的评价值的个数;N2为在统计时间内节点j所在分组中的节点给出的对节点j评价值的个数;N3是在统计时间内节点j所在分组和节点i所在分组外的节点给出的对节点j的评价值的个数;gij是节点i所在分组对节点j的参考信任值;gjj是节点j所在分组对节点j的参考信任值;gkj是除节点i和节点j所在分组外的其他分组对节点j的参考信任值;LIM是预设的分组内交互次数阈值。Among them, tij is the trust value of the node i to the selected node j in the non-local group;N is the number of evaluation values given by the nodes in the group where the node i is located within the statistical time; N2 isthe number of evaluation values for node j given by the nodes in the group where node j belongs to within the statistical time; gij isthe reference trust value of the group where node i belongs to node j; gjj is the reference trust value of node j from the group where node j belongs to node j; The reference trust value of other groups to node j; LIM is the preset threshold of the number of interactions within a group.
所述步骤3进一步为,The step 3 is further as follows,
步骤121,所述管理节点从所在分组中收集各个节点对其他节点的信任值;Step 121, the management node collects the trust value of each node to other nodes from the group where it is located;
步骤122,所述管理节点以每个分组为虚体节点,所述管理节点所在的分组对应的虚体节点表示为Di,按如下公式计算虚体节点Di对网络中虚体节点的评价值,Step 122, the management node takes each group as a virtual node, and the virtual node corresponding to the group where the management node is located is denoted as Di , and the evaluation of the virtual node Di to the virtual node in the network is calculated according to the following formula value,
其中,DPij是虚体节点Di对虚体节点Dj的评价值;N是所述管理节点在统计时间内收到的对虚体节点Dj对应的分组内节点的评价值的个数;pk为虚体节点Di对应分组内的节点上报的对于虚体节点Dj对应分组内的节点的评价值;tk表示虚体节点Di对应分组内的节点上报评价值pk时,所述分组内其他节点对进行上报的节点的信任值的平均值;Among them, DPij is the evaluation value of the virtual node Di to the virtual node Dj ; N is the number of evaluation values of the nodes in the group corresponding to the virtual node Dj received by the management node within the statistical time ; pk is the evaluation value reported by the nodes in the group corresponding to the virtual nodeD itothe nodes in the group correspondingto the virtual node Dj ; , the average value of the trust value of other nodes in the group to the reporting node;
步骤123,所述管理节点将虚体节点Di对网络中虚拟体节点的评价值按如下公式进行归一化,所得值为虚体节点Di对网络中虚拟体节点的信任度,Step 123, the management node normalizes the evaluation value of the virtual node Di to the virtual node in the network according to the following formula, and the obtained value is the trust degree of the virtual node Di to the virtual node in the network,
DTij是虚体节点Di对虚体节点Dj的信任度,M是统计时间内虚体节点Di给出评价值的虚体节点的总个数。DTij is the trust degree of virtual node Di to virtual node Dj , and M is the total number of virtual nodes whose evaluation value is given by virtual node Di within the statistical time.
本发明还公开了一种应用P4P的P2P网络中的节点信任选择系统,包括:节点和管理节点,应用P4P将P2P网络中节点划分为分组;The invention also discloses a node trust selection system in a P2P network using P4P, including: a node and a management node, and using P4P to divide the nodes in the P2P network into groups;
所述节点包括评价模块和选择模块,所述管理节点包括信任度计算模块和策略矩阵调整模块,The node includes an evaluation module and a selection module, and the management node includes a trust calculation module and a policy matrix adjustment module,
所述评价模块,用于在同另一个节点交互完成后,给出对所述另一个节点的评价值,将所述评价值上报给所在分组内的管理节点;The evaluation module is configured to give an evaluation value to the other node after the interaction with the other node is completed, and report the evaluation value to the management node in the group;
所述信任度计算模块,用于以每个分组为虚体节点,根据接收的所在分组内节点上报的评价值计算所在分组对应的虚体节点对网络中虚体节点的信任度;The trust degree calculation module is used to use each group as a virtual node, and calculate the trust degree of the virtual node corresponding to the group to the virtual node in the network according to the received evaluation value reported by the node in the group;
所述策略矩阵调整模块,用于由P4P获得策略矩阵,确定所在分组对应的虚体节点对网络中所有虚体节点的信任度,应用所述信任度调整所述策略矩阵,使虚体节点的信任度越高则所述策略矩阵中所述虚体节点对应的选择比例越大;The strategy matrix adjustment module is used to obtain a strategy matrix by P4P, determine the trust degree of the virtual node corresponding to the group to all virtual nodes in the network, and adjust the strategy matrix by applying the trust degree so that the virtual node's The higher the degree of trust, the greater the selection ratio corresponding to the phantom node in the strategy matrix;
所述选择模块,用于从所在分组的管理节点得到调整后的选择比例,依据所述选择比例选择进行交互的节点。The selection module is configured to obtain an adjusted selection ratio from the management node of the group, and select a node for interaction according to the selection ratio.
本发明的有益效果在于,通过应用节点间给出的评价值调整依P4P获得的策略矩阵,能够使得节点的分组的信任度越高,该分组中节点被选中进行交互的概率越大,从而减少网络风险;区分对待分组内节点之间和分组外节点之间信任值计算,分组内节点计算信任值时,突出分组内节点的评价信息,排除分组外节点的干扰;分组间节点计算信任值时,强调分组间节点的评价信息,以减少同组节点内的合谋欺骗行为。The beneficial effect of the present invention is that, by applying the evaluation value given between nodes to adjust the strategy matrix obtained by P4P, the higher the trust degree of the group of nodes, the greater the probability of nodes in the group being selected for interaction, thereby reducing Network risk; the calculation of trust value between nodes in the group and nodes outside the group is treated differently. When the nodes in the group calculate the trust value, the evaluation information of the nodes in the group is highlighted to eliminate the interference of the nodes outside the group; when the nodes in the group calculate the trust value , emphasizing the evaluation information of nodes between groups to reduce collusion and deception within nodes in the same group.
附图说明Description of drawings
图1是本发明的应用P4P的P2P网络中的节点信任选择方法流程图;Fig. 1 is the flow chart of the node trust selection method in the P2P network using P4P of the present invention;
图2是应用P4P对P2P网络分组的示意图;Fig. 2 is a schematic diagram of applying P4P to P2P network grouping;
图3是本发明的应用P4P的P2P网络中的节点信任选择系统的结构图。FIG. 3 is a structural diagram of a node trust selection system in a P2P network applying P4P according to the present invention.
具体实施方式Detailed ways
下面结合附图,对本发明做进一步的详细描述。The present invention will be described in further detail below in conjunction with the accompanying drawings.
本发明的应用P4P的P2P网络中的节点信任选择方法流程如图1所示。The process flow of the node trust selection method in the P2P network applying P4P of the present invention is shown in FIG. 1 .
步骤S100,应用P4P将P2P网络中节点进行分组。Step S100, applying P4P to group nodes in the P2P network.
按照P4P的域划分,将P2P网络划分成不同的分组。节点具体属于哪个分组由ISP(因特网服务提供商)划分。According to the domain division of P4P, the P2P network is divided into different groups. Which group a node specifically belongs to is divided by an ISP (Internet Service Provider).
应用P4P对P2P网络分组的示意图如图2所示,网络中每一个节点都被划分到相应的一个分组内。整个网络分成两层,第一层为一级实体层,由P2P网络中的节点组成;第二层为二级虚体层,是由虚体节点组成。虚体节点为P2P网络中划分的一个分组,每个虚体节点包含多个的P2P网络节点,如图2中分组1构成虚拟节点1,分组2构成虚拟节点2,分组3构成虚拟节点3。The schematic diagram of applying P4P to P2P network grouping is shown in Figure 2, and each node in the network is divided into a corresponding group. The entire network is divided into two layers. The first layer is the first-level physical layer, which is composed of nodes in the P2P network; the second layer is the second-level virtual layer, which is composed of virtual nodes. A virtual node is a group divided in the P2P network, and each virtual node contains multiple P2P network nodes, as shown in Figure 2, group 1 forms virtual node 1, group 2 forms virtual node 2, and group 3 forms virtual node 3.
步骤S200,在P2P网络中,每个节点在同另一个节点交互完成后,给出对所述另一个节点的评价值,将所述评价值上报给所在分组内的管理节点。Step S200, in the P2P network, after each node interacts with another node, it gives an evaluation value to the other node, and reports the evaluation value to the management node in the group it belongs to.
管理节点为从分组中选择的性能最优的节点或分组内网络中节点对其信任度最高的节点,同时为避免单点失效,在分组中选择有多数的备份管理节点。The management node is the node with the best performance selected from the group or the node with the highest trust degree among nodes in the network within the group. At the same time, in order to avoid single point failure, a majority of backup management nodes are selected in the group.
现有技术中存在多种给出交互节点评价值的方法,比如,以节点之间交互成功次数和失败次数的差值与交互成功次数的比值作为评价值,以从相应节点获得的实际资源或服务与该节点声称所能提供的资源或服务的比值作为评价值方法。In the prior art, there are many ways to give the evaluation value of interaction nodes. For example, the ratio of the difference between the number of successful interactions and the number of failures between nodes and the number of successful interactions is used as the evaluation value, and the actual resources obtained from the corresponding nodes or The ratio of the service to the resource or service that the node claims to be able to provide is used as the evaluation value method.
本发明中给出节点的评价值的方法具体实现如下所述。The specific implementation of the method for giving the evaluation value of nodes in the present invention is as follows.
节点交互完成之后,在本地节点判断交互是成功还是失败,成功则增加统计时间内对端节点为本地节点提供服务成功的次数,否则,增加统计时间内对端节点为本地节点提供服务失败的次数。对于失败的结果,认为对端节点表现不好,需要对对端节点进行惩罚,给出相对较差的评价值,以约束节点P2P应用的行为。After the node interaction is completed, the local node judges whether the interaction is successful or failed. If it succeeds, it will increase the number of times the peer node successfully provides services for the local node within the statistical time. Otherwise, increase the number of times the peer node failed to provide services for the local node within the statistical time. . For the failure result, it is considered that the performance of the peer node is not good, and it is necessary to punish the peer node and give a relatively poor evaluation value to constrain the behavior of the node P2P application.
按如下公式计算Calculated according to the following formula
Sij-μFij<0或者Sij=0时,pij=0 When Sij -μFij <0 or Sij =0, pij =0
pij是节点i对节点j的评价值,Sij是统计时间内节点i从节点j成功完成交互的次数,Fij是统计时间内节点i从节点j没有成功完成交互的次数,μ是大于1的惩罚因子。节点i为本地节点,节点j为对端节点。pij is the evaluation value of node i to node j, Sij is the number of successful interactions between node i and node j within the statistical time, Fij is the number of times node i has not successfully completed the interaction with node j within the statistical time, μ is greater than A penalty factor of 1. Node i is a local node, and node j is a peer node.
应用计数器控制统计时间,每完成一个统计时间的周期,则重新开始进行统计。The statistics time is controlled by the application counter, and the statistics are restarted every time a cycle of the statistics time is completed.
本地节点将评价值pk上报给管理节点,pk=pij。The local node reports the evaluation value pk to the management node, pk =pij .
步骤S300,管理节点以每个分组为虚体节点,根据接收的所在分组内节点上报的评价值计算所在分组对应的虚体节点对网络中虚体节点的信任度。Step S300, the management node takes each group as a virtual node, and calculates the trust degree of the virtual node corresponding to the group to the virtual node in the network according to the received evaluation value reported by the node in the group.
其中,被管理节点计算信任度的虚体节点包括管理节点所在的分组对应的虚体节点,以及所在分组外的其他的分组对应的虚体节点。Wherein, the virtual node for which the managed node calculates the trust degree includes the virtual node corresponding to the group in which the management node is located, and the virtual nodes corresponding to other groups outside the group.
所述步骤S300的具体实施方式一A specific implementation manner of the step S300
管理节点所在的分组对应的虚体节点表示为Di,虚体节点Di对虚体节点Dj的评价值按如下公式计算。The virtual body node corresponding to the group where the management node is located is denoted as Di , and the evaluation value of virtual body node Di to virtual body node Dj is calculated according to the following formula.
DPij是虚体节点Di对虚体节点Dj的评价值;DPij is the evaluation value of virtual body node Di to virtual body node Dj ;
N为所述管理节点在统计时间内收到的对虚体节点Dj对应的分组内节点的评价值的个数,也就是统计时间内虚体节点Di对应分组内的节点同虚体节点Dj对应分组内的节点进行交互的总次数;N is the number of evaluation values received by the management node for the nodes in the group corresponding to the virtual node Dj within the statistical time, that is, the nodes in the group corresponding to the virtual node Di within the statistical time are the same as the virtual node Dj corresponds to the total number of times the nodes in the group interact;
pk为虚体节点Di对应分组内的节点上报的对于虚体节点Dj对应分组内的节点的评价值,k表示评价值pk为在统计时间内虚体节点Di对应分组内节点上报的第k个对于虚体节点Dj对应分组内的节点的评价值。pk is the evaluation value reported by the nodes in the group corresponding to the virtual node Di for the nodes in the group corresponding to the virtual node Dj , k represents the evaluation value pk is the node in the group corresponding to the virtual node Di within the statistical time The reported kth evaluation value of the nodes in the group corresponding to the phantom node Dj .
将虚体节点Di对网络中虚拟体节点的评价值归一化,所得值为虚体节点Di对网络中虚拟体节点的信任度。Normalize the evaluation value of the virtual body node Di to the virtual body node in the network, and the obtained value is the trust degree of the virtual body node Di to the virtual body node in the network.
DTij是虚体节点Di对虚体节点Dj的信任度,M是虚体节点Di给出评价值的虚体节点的总个数。DTij is the trust degree of virtual node Di to virtual node Dj , and M is the total number of virtual nodes that virtual node Di gives evaluation value.
步骤S400,所述管理节点由P4P获得策略矩阵,确定所在分组对应的虚体节点对网络中所有虚体节点的信任度,应用所述信任度调整所述策略矩阵,使虚体节点的信任度越高则所述策略矩阵中所述虚体节点对应的选择比例越大。Step S400, the management node obtains a strategy matrix through P4P, determines the trust degree of the virtual node corresponding to the group to all virtual nodes in the network, and adjusts the policy matrix by applying the trust degree so that the trust degree of the virtual node The higher the value, the greater the selection ratio corresponding to the phantom node in the strategy matrix.
由P4P能够获得形式如下的策略矩阵:From P4P, the policy matrix of the following form can be obtained:
sp11 sp12 … sp1nsp11 sp12 … sp1n
sp21 sp22 … sp2nsp21 sp22 … sp2n
… … … …... ... ... ... ...
spn1 spn2 … spnnspn1 spn2 … spnn
策略矩阵中的每一行指明了该行的对应的虚体节点对应的分组中节点在每个分组中选择节点数的选择比例,虚体节点Di的比例向量为[spi1 spi2 … spin],该比例向量中元素为虚体节点Di对应分组中的节点在各个分组中选择节点的比例。例如spij表示虚体节点Di对应分组中的节点在虚体节点Dj对应的分组中选择用于交互的节点的数量在该节点所有选择进行交互的节点中的比例;spii则表示节点在其所在分组内选择用于交互的节点的占该节点选择的所有节点的比例。网络中分组的个数表示为n。Each row in the policy matrix indicates the selection ratio of the number of nodes selected by the nodes in the group corresponding to the corresponding phantom node in the row, and the proportion vector of the phantom node Di is [spi1 spi2 ... spin ], the elements in the proportion vector are the proportions of the nodes in the group corresponding to the phantom node Di in each group. For example, spij represents the ratio of the number of nodes selected for interaction in the group corresponding to virtual body node Di to the number of nodes selected for interaction in the group corresponding to virtual body node Dj ; spii represents the node The proportion of nodes selected for interaction in its group to all nodes selected by this node. The number of groups in the network is denoted as n.
应用所述本虚体节点对网络中虚体节点的信任度调整所述策略矩阵,使虚体节点的信任度越高则所述策略矩阵中所述虚体节点对应的选择比例越大。The policy matrix is adjusted by applying the trust degree of the virtual node to the virtual node in the network, so that the higher the trust degree of the virtual node, the greater the selection ratio corresponding to the virtual node in the policy matrix.
管理节点确定所在分组对应虚体节点对网络中所有虚体节点的信任度,将所述信任度组成所述虚体节点的信任度向量,表示为[DTi1 DTi2 … DTin],信任度向量中元素为虚体节点Di对各个虚体节点的信任度。The management node determines the trust degree of the virtual node corresponding to the group to all virtual nodes in the network, and forms the trust degree vector of the virtual node in the network, expressed as [DTi1 DTi2 ... DTin ], the trust degree The elements in the vector are the trust degree of virtual node Di to each virtual node.
所述管理节点判断是否已经计算出对虚体节点信任度,如果是,则以计算的信任度为管理节点所在分组对应虚体节点对所述虚体节点的信任度;否则,以预设默认值为管理节点所在分组对应虚体节点对所述虚体节点的信任度。The management node judges whether the degree of trust to the virtual node has been calculated, and if so, the calculated degree of trust is used as the degree of trust of the virtual node corresponding to the group where the management node belongs to the virtual node; otherwise, the default The value is the trust degree of the virtual node corresponding to the group where the management node belongs to the virtual node.
例如,虚体节点Di对信任度向量为[DTi1 DTi2 … DTin],DTij表示虚体节点Di对虚体节点Dj的信任度,该信任度通过管理节点计算获得,如果没有对虚体节点Dj进行计算,也就是虚体节点Di对应分组中节点还没有同虚体节点Dj对应分组中节点交互,虚体节点Di的管理节点没有获得对于虚体节点Dj对应分组中节点的评价值,则信任度DTij为预设的默认值。For example, the trust degree vector of the virtual node Di is [DTi1 DTi2 ... DTin ], and DTij represents the trust degree of the virtual node Di to the virtual node Dj , the trust degree is obtained through the calculation of the management node, if The virtual body node Dj is not calculated, that is, the nodes in the group corresponding to the virtual body node Di have not interacted with the nodes in the group corresponding to the virtual body node Dj , and the management node of the virtual body node Di has not been obtained. For the virtual body node Dj corresponds to the evaluation value of the nodes in the group, and the trust degree DTij is the preset default value.
所述策略矩阵调整方法一The strategy matrix adjustment method one
步骤S410,将比例向量的元素与信任度向量的对应元素相加得到一个新向重,[spi1+DTi1 spi2+DTi2 … spin+DTin]。Step S410, adding the elements of the proportion vector and the corresponding elements of the trust degree vector to obtain a new weight, [spi1 +DTi1 spi2 +DTi2 . . . spin +DTin ].
步骤S420,将新向量的元素归一化得到虚体节点的调整后的新的比例向量[spi1′ spi2′ … spin′],其中每一个元素的归一化按如下公式进行,Step S420, normalize the elements of the new vector to obtain the adjusted new proportional vector [spi1 ′ spi2 ′ … spin ′] of the phantom node, wherein the normalization of each element is performed according to the following formula,
所述策略矩阵调整方法二The strategy matrix adjustment method two
步骤S410’,将比例向量的元素与信任度向量的对应元素相乘得到一个新向量,[spi1DTi1 spi2DTi2 … spinDTin]。Step S410', multiplying the elements of the proportion vector and the corresponding elements of the trust degree vector to obtain a new vector, [spi1 DTi1 spi2 DTi2 … spin DTin ].
步骤S420’,将新向量的元素归一化得到虚体节点的调整后的新的比例向量[spi1′ spi2′ … spin′],其中每一个元素的归一化按如下公式进行,Step S420', normalize the elements of the new vector to obtain the adjusted new proportional vector [spi1 ′ spi2 ′ ... spin ′] of the phantom node, wherein the normalization of each element is performed according to the following formula,
步骤S500,节点从所在分组的管理节点得到调整后的选择比例,依据所述选择比例选择进行交互的节点。Step S500, the node obtains an adjusted selection ratio from the management node of the group it belongs to, and selects a node for interaction according to the selection ratio.
所述步骤S500的实施方式一Embodiment 1 of the step S500
节点从所在分组的管理节点得到调整后的选择比例;节点依据所述选择比例确定从各个分组中选择节点的数目;节点分别向各个分组的管理节点请求包括相应数目的能够提供服务的节点的列表;节点获得列表后,同所述列表中的节点进行交互。The node obtains the adjusted selection ratio from the management node of the group; the node determines the number of nodes selected from each group according to the selection ratio; the node requests the management node of each group to include the corresponding number of nodes that can provide services. List ; After the node gets the list, it interacts with the nodes in the list.
例如,节点要在网络中选择X个节点进行交互时,先从分组内管理节点处获取调整后的比例向量,如果有多个管理节点,则随机选择一个管理节点获得比例向量。根据调整后的比例向量确定向各个分组选择交互节点的个数,[Xspi1 Xspi2 … Xspin]。节点分别向各个分组的管理节点请求相应数目的能够提供服务的节点的列表。节点获得列表后,同列表中的节点进行交互。For example, when a node wants to select X nodes to interact with in the network, it first obtains the adjusted ratio vector from the management nodes in the group, and if there are multiple management nodes, randomly selects a management node to obtain the ratio vector. Determine the number of interactive nodes to be selected for each group according to the adjusted ratio vector, [Xspi1 Xspi2 ... Xspin ]. The nodes request the corresponding number of service-providing nodes from the management nodes of each group respectively. After the node gets the list, it interacts with the nodes in the list.
所述步骤S500的具体实施方式二The second specific implementation manner of the step S500
步骤S510,节点从所在分组的管理节点得到调整后的选择比例。Step S510, the node obtains the adjusted selection ratio from the management node of the group it belongs to.
步骤S520,节点依据所述选择比例确定从各个分组中选择节点的数目。Step S520, the node determines the number of selected nodes from each group according to the selection ratio.
步骤S530,节点分别向各个分组的管理节点请求能够提供服务的节点的列表,从所述列表中选择对应数目的节点。In step S530, the node requests the management node of each group for a list of nodes capable of providing services, and selects a corresponding number of nodes from the list.
步骤S540,节点同选择的节点进行交互。Step S540, the node interacts with the selected node.
选择方式包括多种,例如随机选择,或者按步骤S600的方式选择。There are multiple selection methods, such as random selection, or selection in the manner of step S600.
所述步骤83中从所述列表中选择进行交互的节点进一步为,The node selected for interaction from the list in step 83 is further:
步骤S600,所述节点在从所在的分组中选择节点时,计算所述节点对所在分组中被选择的节点的信任值;所述节点在从非所在的分组中选择节点时,计算所述节点对所述非所在的分组中被选择的节点的信任值;按所述信任值由高到低的顺序,从各个分组的列表中选择对应数目的节点。Step S600, when the node selects a node from the group it is in, calculate the trust value of the node to the node selected in the group it is in; when the node selects a node from a group it is not in, calculate the trust value of the node The trust value of the selected nodes in the non-located group; according to the order of the trust value from high to low, select a corresponding number of nodes from the list of each group.
节点的非所在分组是指不包含所述节点的分组。A node's non-location group refers to a group that does not contain the node.
采用步骤S600选择方法,不但能够保证节点尽量多的从信任度高的虚体节点对应分组内选择交互节点,在每个分组内还需要尽量选择值得信任的节点进行交互。Using the selection method in step S600 not only ensures that nodes select as many interaction nodes as possible from the group corresponding to virtual nodes with a high degree of trust, but also needs to select trustworthy nodes for interaction in each group as much as possible.
所述节点计算同一分组内节点信任值的具体实施方式一如下所述。The specific implementation manner of the nodes calculating the trust value of nodes in the same group is as follows.
所述节点计算完信任值后,记录计算的信任值,并将所述信任值上报给管理节点。After the node calculates the trust value, it records the calculated trust value and reports the trust value to the management node.
步骤611,所述节点从各个分组的管理节点获得统计时间内各个分组中节点对被选择的节点的评价值,从记录中获得所述节点对给出评价值的节点的信任值。Step 611 , the node obtains the evaluation value of the nodes in each group to the selected node within the statistical time from the management node of each group, and obtains the trust value of the node to the node giving the evaluation value from the record.
步骤612,所述节点从各个分组的管理节点获得各个分组中节点在统计时间内给出的对被选择节点的评价值的个数,按如下公式计算所在分组中节点的信任值,Step 612, the node obtains the number of evaluation values given by the nodes in each group to the selected node within the statistical time from the management node of each group, and calculates the trust value of the node in the group according to the following formula,
其中,tij是所述节点i对所述被选择节点j的信任值;Wherein, tij is the trust value of the node i to the selected node j;
Pkj是统计时间内节点i所在分组内第k个对节点j的评价值;Pkj is the evaluation value of the kth node j in the group where node i belongs to within the statistical time;
Tik是统计时间内节点i对所在分组内给出第k个对节点j的评价值的节点的信任值,也就是节点i对给出评价值Pkj的节点的信任值;Tik is the trust value of node i to the node that gives the kth evaluation value of node j in the group within the statistical time, that is, the trust value of node i to the node that gives the evaluation value Pkj ;
Plj是统计时间内节点i所在分组外第l个对节点j的评价值;Plj is the evaluation value of the lth node j outside the group where node i belongs to within the statistical time;
Til是统计时间内节点i对所在分组外给出第l个对节点j的评价值的节点的信任值,也就是节点i对给出评价值Plj的节点的信任值;Til is the trust value of node i to the node that gives the l-th evaluation value to node j outside the group within the statistical time, that is, the trust value of node i to the node that gives the evaluation value Plj ;
N1是在统计时间内节点i所在分组内节点给出的对节点j的评价值的个数;N1 is the number of evaluation values given by nodes in the group where node i belongs to node j within the statistical time;
N2是在统计时间内节点i所在分组外的节点给出的对节点j评价值的个数;N2 is the number of evaluation values for node j given by nodes outside the group where node i belongs to within the statistical time;
LIM是预设的分组内交互次数阈值。LIM is the preset threshold for the number of interactions within a group.
在该具体实施方式中,节点将被选择节点的信息分为两组,一组是分组内节点对被选择节点的评价信息,另一组是其他分组节点对被选节点的评价信息。In this specific implementation, the node divides the information of the selected node into two groups, one group is the evaluation information of the nodes in the group to the selected node, and the other group is the evaluation information of other group nodes to the selected node.
所述节点计算同一分组内节点信任值的具体实施方式二如下所述。The second specific implementation manner for the nodes to calculate the trust value of nodes in the same group is as follows.
所述节点计算完信任值后,记录计算的信任值,并将所述信任值上报给管理节点。After the node calculates the trust value, it records the calculated trust value and reports the trust value to the management node.
步骤611’,所述节点向各个分组的管理节点发送记录的对管理节点所在分组中节点的信任值,并请求所述管理节点按如下公式计算所在分组对被选择节点的参考信任值,Step 611', the node sends the recorded trust value to the nodes in the group where the management node is located to the management node of each group, and requests the management node to calculate the reference trust value of the group to the selected node according to the following formula,
gmj是虚体节点Dm对应分组对被选择节点j的参考信任值,Tikm是节点i对虚体节点Dm对应分组内对节点j给出评价值Pkjm的节点的信任值;Pkjm是统计时间内由虚体节点Dm对应分组内节点给出的对节点j的第k个评价值;Nm是在统计时间内虚体节点Dm对应分组内节点给出的对节点j评价值的个数。gmj is the reference trust value of the group corresponding to virtual node Dm to the selected node j, Tikm is the trust value of node i to the node that gives evaluation value Pkjm to node j in the group corresponding to virtual node Dm ; Pkjm is the kth evaluation value of node j given by the virtual node Dm corresponding to the node in the group within the statistical time; Nm is given by the virtual node Dm corresponding to the node in the group within the statistical time The number of evaluation values for node j.
步骤612’,所述节点接收到各个分组计算的对于被选择节点的参考信任值,将参考信任值组成参考信任值向量,表示为[g1j g2j … gij … gwj],w为网络中分组个数。Step 612', the node receives the reference trust value calculated by each group for the selected node, and forms the reference trust value into a reference trust value vector, expressed as [g1j g2j ... gij ... gwj ], w is the network The number of groups in the middle.
步骤613’,所述节点从所在分组的管理节点获得所在分组中节点在统计时间内给出的被选择节点的评价值个数,按如下公式计算所述被选择节点的信任值,Step 613', the node obtains the number of evaluation values of the selected node given by the node in the group within the statistical time from the management node of the group where it is located, and calculates the trust value of the selected node according to the following formula,
其中,tij是所述节点i对被选择节点j的信任值;Wherein, tij is the trust value of the node i to the selected node j;
gij是节点i所在分组对节点j的参考信任值;gij is the reference trust value of the group where node i belongs to node j;
gkj是除节点i所在分组外的其他分组对节点j的参考信任值;gkj is the reference trust value of other groups to node j except the group where node i is located;
N1是在统计时间内节点i所在分组内节点给出的对节点j评价值的个数;N1 is the number of evaluation values given by nodes in the group where node i belongs to node j within the statistical time;
LIM是预设的分组内交互次数阈值。LIM is the preset intra-group interaction threshold.
对于分组内节点之间信任值的计算,具体实施方法一节点获取所有评价信息,直接通过这些评价信息计算出被选节点的信任值;具体实施方法二是节点请求每个分组的管理节点根据本分组的评价信息计算出本分组对被选择节点的参考信任值,选择节点获取这些参考信任值之后再计算出被选择节点的信任值。具体实施方法一减轻管理节点的压力,而具体实施方法二对于选择节点来说,计算被选择节点的信任值比较方便。For the calculation of the trust value between nodes in the group, the specific implementation method one node obtains all the evaluation information, and directly calculates the trust value of the selected node through these evaluation information; the second specific implementation method is that the node requests the management node of each group according to this The evaluation information of the group calculates the reference trust value of the group to the selected node, and the selected node calculates the trust value of the selected node after obtaining these reference trust values. The specific implementation method one reduces the pressure on the management node, and the specific implementation method two is more convenient for the selection node to calculate the trust value of the selected node.
具体实施方法一和具体实施方法二都考虑了利用节点所在分组,该分组也是被选择的节点所在分组,的评价信息的数目来突出该分组的评价信息。当该分组中的节点与被选择的节点交互的较少时,其他分组中节点给出的对被选择的节点的评价值视为与被选择的节点所在的分组中节点给出对被选择的节点的评价值同等重要。而当被选择的节点所在分组中节点与被选择的节点交互的足够多时,其他分组中节点给出的对被选择的节点的评价值的重要性降低。因而,在上述公式中使用预设阈值LIM,在被选择的节点所在分组内节点给出的对被选择的节点的评价值数目少于这个阈值时,其他分组中节点给出的对被选择的节点的评价值与被选择的节点所在分组内节点给出的对被选择的节点的评价值的重要程度相当。在被选择的节点所在分组内节点给出的对被选择的节点的评价值数目远大于这个阈值时,其他分组的节点给出对被选择的节点的评价值与被选择的节点所在分组内节点给出的对被选择的节点的评价值相比,重要性变轻,几乎可以忽略。Both the specific implementation method 1 and the specific implementation method 2 consider using the number of evaluation information of the group where the node is located, which is also the group where the selected node is located, to highlight the evaluation information of the group. When the nodes in the group interact less with the selected node, the evaluation values given by the nodes in other groups to the selected node are considered to be the same as those given by the nodes in the group where the selected node is located. The evaluation value of the node is equally important. And when the nodes in the group where the selected node belongs interact with the selected node enough, the importance of the evaluation value given by nodes in other groups to the selected node decreases. Therefore, the preset threshold LIM is used in the above formula. When the number of evaluation values for the selected node given by the nodes in the group where the selected node is located is less than this threshold, the evaluation values for the selected node given by the nodes in other groups The evaluation value of the node is equivalent to the importance of the evaluation value given by the nodes in the group where the selected node belongs to the selected node. When the number of evaluation values for the selected node given by the nodes in the group where the selected node is located is much greater than this threshold, the evaluation values given by the nodes in other groups for the selected node are different from those of the nodes in the group where the selected node is located. Compared with the evaluation value given to the selected node, the importance becomes lighter, almost negligible.
应用上述计算公式,随着分组内评价值数目N1的增加,分组内节点给出的评价值的重要性提高,分组外节点给出的评价值的重要性下降,这样更能真实的评价出被评价节点对分组内的服务能力,同时也能更好的避免分组外节点评价的干扰,因为节点受P4P域间流量控制的影响对分组外节点服务的能力比较差,导致分组外节点对它评价不好。同时,也能起到抵抗分组外节点的一些诋毁行为。Applying the above calculation formula, as the number of evaluation values in the group increases N1 , the importance of the evaluation values given by the nodes in the group increases, and the importance of the evaluation values given by the nodes outside the group decreases, so that it is more realistic to evaluate the The evaluation node's service capability to the group can also better avoid the interference of the evaluation of the nodes outside the group, because the nodes are affected by the P4P inter-domain flow control. Bad reviews. At the same time, it can also resist some defamation behaviors of nodes outside the group.
节点在其他分组内选择节点时,也要先为能提供服务的节点计算出一个信任值,然后将节点在各自分组内按照信任值由高到低排序,最后在每个分组内选择信任值高的节点进行通信。When a node selects a node in other groups, it must first calculate a trust value for the node that can provide services, then sort the nodes in their respective groups according to the trust value from high to low, and finally select a trust value in each group. nodes communicate.
节点对所在分组外的被选节点信任值进行计算时,看重的是被选节点对分组外节点提供服务的能力。因此降低被选节点所在分组的评价,因为受P4P域间流量的控制,被选节点所在分组的评价不能很好体现其为分组外节点提供服务的能力。When a node calculates the trust value of the selected node outside the group, it values the ability of the selected node to provide services to nodes outside the group. Therefore, the evaluation of the group where the selected node is located is reduced, because under the control of P4P inter-domain flow, the evaluation of the group where the selected node is located cannot well reflect its ability to provide services for nodes outside the group.
所述节点计算所在分组外的节点信任值的具体实施方式一如下所述。The first specific implementation manner of the node calculating the trust value of nodes outside the group it belongs to is as follows.
所述节点记录计算的信任值。The nodes record the calculated trust value.
步骤621,所述节点从各个分组的管理节点获得统计时间内各个分组中节点对被选择的节点的评价值,从记录中获得所述节点对给出评价值的节点的信任值。Step 621 , the node obtains the evaluation value of the node in each group to the selected node from the management node of each group within the statistical time, and obtains the trust value of the node to the node giving the evaluation value from the record.
步骤622,所述节点按如下公式计算被选择节点的信任值,Step 622, the node calculates the trust value of the selected node according to the following formula,
其中,tij是所述节点i对被选择节点j的信任值;Wherein, tij is the trust value of the node i to the selected node j;
N1为在统计时间内节点i所在分组内节点给出的对节点j的评价值的个数;N1 is the number of evaluation values for node j given by nodes in the group where node i is located within the statistical time;
N2为在统计时间内节点j所在分组中的节点给出的对节点j评价值的个数;N2 is the number of evaluation values for node j given by nodes in the group where node j belongs within the statistical time;
N3是在统计时间内除节点j所在分组和节点i所在分组以外其他分组中的节点给出的对节点j的评价值的个数;N3 is the number of evaluation values for node j given by nodes in other groups except the group where node j is located and the group where node i is located within the statistical time;
Pkj是统计时间内由节点i所在分组内节点给出的对节点j的第k个评价值,Tik是节点i给出评价值Pkj的节点的信任值;Pkj is the kth evaluation value of node j given by the node in the group where node i belongs to within the statistical time, and Tik is the trust value of the node whose evaluation value Pkj is given by node i;
Plj是统计时间内由节点j所在分组内节点给出的对节点j的第l个评价值,Til是节点i对给出评价值Plj的节点的信任值;Plj is the first evaluation value of node j given by the node in the group where node j belongs to within the statistical time, Til is the trust value of node i to the node that gives the evaluation value Plj ;
Prj是统计时间内由在除节点i所在分组和节点j所在分组外的其他分组中节点给出的对节点j的第r个评价值,Tir是节点i对给出评价值Prj的节点的信任值;Prj is the rth evaluation value of node j given by nodes in groups other than the group of node i and node j in the statistical time, Tir is the evaluation value Prj given by node i the trust value of the node;
LIM是预设的分组内交互次数阈值。LIM is the preset intra-group interaction threshold.
在具体实施方式一中,选择节点将信息分为三组,一组是节点所在分组内节点对被选节点的评价信息,一组是被选节点所在分组节点对被选节点的评价信息,第三组为剩余其他各分组节点对被选节点的评价信息作为。公式中等号右边三部分分别对应归一化的节点i所在分组对节点j的信任评价值,归一化的节点j所在组对节点j的信任评价值,以及归一化的剩余其他分组对节点j的信任评价值。In the first embodiment, the selection node divides the information into three groups, one group is the evaluation information of the selected node by the node in the group where the node is located, and the other is the evaluation information of the selected node by the group node where the selected node is located. The third group is the evaluation information of the remaining group nodes to the selected node. The three parts on the right side of the equal sign in the formula correspond to the normalized trust evaluation value of the group to which node i belongs to node j, the normalized trust evaluation value of node j to node j from the group to which node j belongs, and the normalized remaining other group-to-node nodes j's trust evaluation value.
所述节点计算所在分组外的节点信任值的具体实施方式二如下所述。The second specific implementation manner in which the node calculates the trust value of nodes outside the group it belongs to is as follows.
所述节点记录计算的信任值。The nodes record the calculated trust value.
步骤621’,所述节点向各个分组的管理节点发送记录的所述节点对所述分组中节点的信任值,并请求所述管理节点按如下公式计算所在分组对被选择节点的参考信任值,Step 621', the node sends the recorded trust value of the node to the nodes in the group to the management node of each group, and requests the management node to calculate the reference trust value of the group to the selected node according to the following formula,
gmj是虚体节点Dm对应分组对被选择节点j的参考信任值,Tikm是节点i对虚体节点Dm对应分组内对节点j给出评价值Pkjm的节点的信任值;Pkjm是虚体节点Dm对应分组内节点对节点j的第k个评价值;Nm是在统计时间内虚体节点Dm对应分组内节点对节点j评价值的个数。gmj is the reference trust value of the group corresponding to virtual node Dm to the selected node j, Tikm is the trust value of node i to the node that gives evaluation value Pkjm to node j in the group corresponding to virtual node Dm ; Pkjm is the kth evaluation value of node j in the group corresponding to virtual node Dm ; Nm is the number of evaluation values of node j in the group corresponding to virtual node Dm within the statistical time.
步骤622’,所述节点接收到各个分组计算的对于被选择节点的参考信任值,将参考信任值组成参考信任值向量,表示为[g1j g2j … gij … gwj],w为网络中分组个数。Step 622', the node receives the reference trust value calculated by each group for the selected node, and forms the reference trust value into a reference trust value vector, expressed as [g1j g2j ... gij ... gwj ], w is the network The number of groups in the middle.
步骤623’,所述节点从各个分组的管理节点获得各个分组中节点在统计时间内给出的被选择节点的评价值个数,按如下公式计算所述被选择节点的信任值,Step 623', the node obtains the number of evaluation values of the selected nodes given by the nodes in each group within the statistical time from the management nodes of each group, and calculates the trust value of the selected node according to the following formula,
其中,tij是所述节点i对非所在分组内的被选择节点j的信任值;Wherein, tij is the trust value of the node i to the selected node j not in the group;
N1为在统计时间内节点i所在分组内节点给出的对节点j的评价值的个数;N1 is the number of evaluation values for node j given by nodes in the group where node i is located within the statistical time;
N2为在统计时间内节点j所在分组中的节点给出的对节点j评价值的个数;N2 is the number of evaluation values for node j given by nodes in the group where node j belongs within the statistical time;
N3是在统计时间内节点j所在分组和节点i所在分组外的节点给出的对节点j的评价值的个数;N3 is the number of evaluation values for node j given by nodes outside the group where node j is located and nodes outside the group where node i is located within the statistical time;
gij是节点i所在分组对节点j的参考信任值;gij is the reference trust value of the group where node i belongs to node j;
gjj是节点j所在分组对节点j的参考信任值;gjj is the reference trust value of the group where node j belongs to node j;
gkj是除节点i和节点j所在分组外的其他分组对节点j的参考信任值;gkj is the reference trust value of other groups to node j except the group where node i and node j are located;
LIM是预设的分组内交互次数阈值。LIM is the preset threshold for the number of interactions within a group.
对分组外节点之间信任值的计算,具体实施方法一和具体实施方法二都使得进行选择的节点所在分组的评价信息重要性最高,被选择节点所在分组的评价信息重要性最低,其他各分组的评价信息重要性介于两者之间。For the calculation of the trust value between nodes outside the group, both the specific implementation method 1 and the specific implementation method 2 make the evaluation information of the group where the selected node belongs to the highest importance, the evaluation information of the group where the selected node is located is the least important, and the other groups The importance of evaluation information is between the two.
在N1比较小,进行选择的节点所在分组的评价信息将不足以真实评价被选节点的信任值时,第三部分其余各分组评价信息的重要性变高。只有在N1和N3都比较小的时候,第二部分被选节点所在分组的评价信息才被重视。这样才能更真实的评价出被选节点的信任值,同时能减少被选节点所在分组的合谋欺骗行为的干扰。When N1 is relatively small, and the evaluation information of the selected node's group is not enough to truly evaluate the trust value of the selected node, the importance of the evaluation information of the remaining groups in the third part becomes higher. Only when N1 and N3 are relatively small, the second part of the evaluation information of the group where the selected node is located is taken seriously. In this way, the trust value of the selected node can be evaluated more realistically, and at the same time, the interference of collusion and deception in the group where the selected node belongs can be reduced.
不管是同分组内节点之间选择交互还是不同分组内节点之间选择交互,节点之间都能更准确地确定被选择节点的信任值,选择节点将被选节点按照信任值高低排序后,选择排在前面的节点,能够获得更多可靠性高的节点交互,减少网络风险。Regardless of the selection interaction between nodes in the same group or the selection interaction between nodes in different groups, the trust value of the selected node can be determined more accurately between the nodes. After the selection node sorts the selected nodes according to the trust value, select The nodes in the front row can obtain more reliable node interactions and reduce network risks.
所述步骤S300的具体实施方式二The second specific implementation manner of the step S300
所述管理节点从所在分组中收集各个节点对其他节点的信任值。The management node collects the trust value of each node to other nodes from the group where it is located.
所述管理节点以每个分组为虚体节点,所述管理节点所在的分组对应的虚体节点表示为Di,按如下公式计算虚体节点Di对网络中虚体节点的评价值,The management node takes each group as a virtual node, and the virtual node corresponding to the group where the management node is located is represented as Di , and the evaluation value of the virtual node Di to the virtual node in the network is calculated according to the following formula,
其中,DPij是虚体节点Di对虚体节点Dj的评价值;Among them, DPij is the evaluation value of virtual body node Di to virtual body node Dj ;
N是所述管理节点在统计时间内收到的对虚体节点Dj对应的分组内节点的评价值的个数;N is the number of evaluation values of the nodes in the group corresponding to the virtual node Dj received by the management node within the statistical time;
pk为虚体节点Di对应分组内的节点上报的对于虚体节点Dj对应分组内的节点的评价值;pk is the evaluation value of the nodes in the group corresponding to the virtual node Dj reported by the nodes in the group corresponding to the virtual node Di ;
tk表示虚体节点Di对应分组内的节点上报评价值pk时,所述分组内其他节点对进行上报的节点的信任值的平均值。tk represents the average value of the trust value of other nodes in the group to the reporting node when the virtual node Di corresponds to the node in the group reporting the evaluation value pk .
所述管理节点将虚体节点Di对网络中虚拟体节点的评价值按如下公式进行归一化,所得值为虚体节点Di对网络中虚拟体节点的信任度,The management node normalizes the evaluation value of the virtual node Di to the virtual node in the network according to the following formula, and the obtained value is the trust degree of the virtual node Di to the virtual node in the network,
DTij是虚体节点Di对虚体节点Dj的信任度,M是统计时间内虚体节点Di给出评价值的虚体节点的总个数。DTij is the trust degree of virtual node Di to virtual node Dj , and M is the total number of virtual nodes whose evaluation value is given by virtual node Di within the statistical time.
在所述步骤S300的具体实施方式二中每个虚体节点利用其对应的分组内节点与网络中虚拟节点对应的分组内的节点交互后的评价信息可以计算得到本虚体节点对网络中虚体节点的评价值,计算过程中同时得考虑节点给出评价时自身的信任值。考虑评价节点自身的信任值,可以突出信任值高的节点给出的评价信息更值得相信,信任值低的节点给出的评价信息的可信度较低,进而更准确地反映虚体节点的信任值。In the second specific implementation manner of step S300, each virtual body node can calculate the value of the virtual node in the network by using the evaluation information after its corresponding node in the group interacts with the node in the group corresponding to the virtual node in the network. The evaluation value of the body node, the calculation process must also consider the node's own trust value when the evaluation is given. Considering the trust value of the evaluation node itself, it can be highlighted that the evaluation information given by the node with a high trust value is more trustworthy, and the evaluation information given by the node with a low trust value is less credible, which can more accurately reflect the virtual node’s trust value.
在本发明一个较佳的方法中,按如下方式选择分组的管理节点。In a preferred method of the present invention, the group management node is selected as follows.
在每个分组内选取组内信任值超过预设阀值节点作为管理节点或者将节点按对应的组间信任值从大到小的顺序排列,选择前K个节点作为管理节点,K为预设数值。分组内节点给出对某一节点评价值时,需要将这些评价值分别上报给这些管理节点。In each group, select the node whose trust value exceeds the preset threshold as the management node, or arrange the nodes in order of the corresponding inter-group trust value from large to small, and select the first K nodes as the management node, and K is the preset value. When a node in a group gives an evaluation value for a certain node, it needs to report these evaluation values to these management nodes respectively.
可以选取组内信任值相对较高的节点作为管理节点。为了保证不因为管理节点离开造成评价信息无处上报或无法计算信任值,一般每个组内至少选取10个管理节点,上报时将评价信息上报给各个管理节点作为备份,10个管理节点都不在线的概率很小1-0.510≈0.999。在一个管理节点下线时,会选取一个新的管理节点进行替代。A node with a relatively high trust value in the group can be selected as the management node. In order to ensure that there is no place to report the evaluation information or the trust value cannot be calculated because the management node leaves, generally at least 10 management nodes are selected in each group, and the evaluation information is reported to each management node as a backup when reporting. The probability of being online is very small 1-0.510 ≈ 0.999. When a management node goes offline, a new management node will be selected to replace it.
与现有P2P网络中的信任机制相比,本发明具有如下优点。本发明充分利用了P4P技术将P2P网络划分成不同域和提供策略矩阵的特点,利用分组的方式对网络中节点信任值进行计算管理,很方便地将网络中所有节点划入了不同的分组,相比于其他专利中的分组方式更加简单有效。因为P4P中网络域的划分是由最了解网络状态的因特网服务提供商进行的,划分的更合理。而且在节点选择上,在策略矩阵的指导下,做到了域内节点更多地选择域内的节点交互。在此基础上,本发明在网络节点信任值计算时,组内节点相互间信任值的计算突出本组内节点的评价,强调节点在组内表现的好坏,组间节点相互间信任值的计算突出组间节点的评价,强调节点对组外节点表现的好坏。这样,对于组内节点交互,能够有效地减少组外节点的诋毁,对于组间节点交互,能够有效地避免组内节点合谋对组外节点的欺骗行为。本发明还把每个组当成一个虚体节点,并为其计算了信任值,进而利用组的信任值去调整策略矩阵中节点选择的比例分配,提高在信任值高的组内节点选择的比例,减小信任值低的组内节点选择的比例。使得节点能够选择到更多信任值高的节点进行交互,减小网络风险。Compared with the trust mechanism in the existing P2P network, the present invention has the following advantages. The present invention makes full use of the P4P technology to divide the P2P network into different domains and provide the characteristics of the policy matrix, and uses the grouping method to calculate and manage the trust value of the nodes in the network, and conveniently divides all the nodes in the network into different groups. Compared with the grouping methods in other patents, it is simpler and more effective. Because the division of network domains in P4P is carried out by the Internet service provider who knows the network status best, the division is more reasonable. Moreover, in terms of node selection, under the guidance of the strategy matrix, nodes in the domain choose more nodes in the domain to interact. On this basis, when the present invention calculates the trust value of network nodes, the calculation of the mutual trust value of the nodes in the group highlights the evaluation of the nodes in the group, emphasizes the performance of the nodes in the group, and the mutual trust value of the nodes in the group. Calculate the evaluation of the node between the highlighted groups, emphasizing the performance of the node to the nodes outside the group. In this way, for the interaction of nodes in the group, the slander of the nodes outside the group can be effectively reduced, and for the interaction of nodes between groups, it is possible to effectively avoid the collusion of the nodes in the group to deceive the nodes outside the group. The present invention also regards each group as a virtual node, and calculates the trust value for it, and then uses the trust value of the group to adjust the proportion distribution of node selection in the strategy matrix, increasing the proportion of node selection in the group with high trust value , to reduce the proportion of node selection in the group with low trust value. It enables nodes to choose more nodes with high trust value for interaction, reducing network risk.
本发明的应用P4P的P2P网络中的节点信任选择系统的结构图3所示,包括:节点200和管理节点100,应用P4P将P2P网络中节点划分为分组。The structure of the node trust selection system in the P2P network using P4P of the present invention is shown in FIG. 3 , including: a
节点200包括评价模块和选择模块,管理节点100包括信任度计算模块和策略矩阵调整模块。The
评价模块,用于在同另一个节点交互完成后,给出对所述另一个节点的评价值,将所述评价值上报给所在分组内的管理节点。The evaluation module is configured to give an evaluation value to the other node after the interaction with the other node is completed, and report the evaluation value to the management node in the group.
信任度计算模块,用于以每个分组为虚体节点,根据接收的所在分组内节点上报的评价值计算所在分组对应的虚体节点对网络中虚体节点的信任度。The trust degree calculation module is used to use each group as a virtual node, and calculate the trust degree of the virtual node corresponding to the group to the virtual node in the network according to the received evaluation value reported by the node in the group.
其中,被管理节点的信任度计算模块计算信任度的虚体节点包括管理节点所在的分组对应的虚体节点,以及所在分组外的其他的分组对应的虚体节点。Wherein, the virtual nodes for which the trusted degree calculation module of the managed node calculates the trust degree include virtual nodes corresponding to the group where the management node is located, and virtual nodes corresponding to other groups outside the group where the managed node is located.
策略矩阵调整模块,用于由P4P获得策略矩阵,确定所在分组对应的虚体节点对网络中所有虚体节点的信任度,应用所述信任度调整所述策略矩阵,使虚体节点的信任度越高则所述策略矩阵中所述虚体节点对应的选择比例越大。The strategy matrix adjustment module is used to obtain the strategy matrix by P4P, determine the degree of trust of the virtual node corresponding to the group to all virtual nodes in the network, and adjust the strategy matrix by applying the degree of trust so that the degree of trust of the virtual node The higher the value, the greater the selection ratio corresponding to the phantom node in the strategy matrix.
选择模块,用于从所在分组的管理节点得到调整后的选择比例,依据所述选择比例选择进行交互的节点。The selection module is configured to obtain an adjusted selection ratio from the management node of the group, and select a node for interaction according to the selection ratio.
其中,管理节点为性能高的服务器或从分组中选择出的作为管理节点的节点。Wherein, the management node is a server with high performance or a node selected from the group as the management node.
较佳的实施方式中,所述评价模块进一步用于在所在节点在同另一个节点交互完成后,判断交互是否成功,根据所述判断更新记录的统计时间内对端节点对应的成功完成交互的次数或没有成功完成交互的次数;按如下公式计算对端节点对应的评价值,In a preferred embodiment, the evaluation module is further used to judge whether the interaction is successful after the node where it is located interacts with another node, and to update the recorded statistics time according to the peer node corresponding to the successful completion of the interaction. The number of times or the number of times that the interaction has not been successfully completed; the evaluation value corresponding to the peer node is calculated according to the following formula,
Sij-μFij<0或者Sij=0时,pij=0 When Sij -μFij <0 or Sij =0, pij =0
pij是所述节点i对对端节点j的评价值,Sij是统计时间内所述节点i从对端节点j成功完成交互的次数,Fij是统计时间内所述节点i从对端节点j没有成功完成交互的次数,μ是预设的大小大于1的惩罚因子;将评价值上报给所述管理节点。pij is the evaluation value of the node i to the peer node j, Sij is the number of times the node i successfully completes the interaction from the peer node j within the statistical time, Fij is the number of times the node i interacts with the peer node j within the statistical time The number of times that node j did not complete the interaction successfully, μ is a preset penalty factor greater than 1; the evaluation value is reported to the management node.
较佳的实施方式中,所述信任度计算模块进一步以每个分组为虚体节点,所述管理节点所在的分组对应的虚体节点表示为Di,按如下公式计算虚体节点Di对网络中虚体节点的评价值,In a preferred embodiment, the trust calculation module further uses each group as a virtual node, and the virtual node corresponding to the group where the management node is located is denoted as Di , and the virtual node Di pair is calculated according to the following formula The evaluation value of the virtual body node in the network,
其中,DPij是虚体节点Di对虚体节点Dj的评价值;N是所述管理节点在统计时间内收到的对虚体节点Dj对应的分组内节点的评价值的个数;pk为所述管理节点在统计时间内收到的对于虚体节点Dj对应分组内的节点的第k个评价值;将虚体节点Di对网络中虚拟体节点的评价值按如下公式进行归一化,所得值为虚体节点Di对网络中虚拟体节点的信任度,Among them, DPij is the evaluation value of the virtual node Di to the virtual node Dj ; N is the number of evaluation values of the nodes in the group corresponding to the virtual node Dj received by the management node within the statistical time ; pk is the kth evaluation value of the nodes in the group corresponding to the virtual body node Dj received by the management node within the statistical time; the evaluation value of the virtual body node Di to the virtual body node in the network is as follows The formula is normalized, and the obtained value is the trust degree of the virtual body node Di to the virtual body node in the network,
DTij是虚体节点Di对虚体节点Dj的信任度,M是被虚体节点Di给出评价值的虚体节点的总个数。DTij is the trust degree of virtual node Di to virtual node Dj , and M is the total number of virtual nodes whose evaluation value is given by virtual node Di .
较佳的实施方式中,所述策略矩阵调整模块进一步用于由P4P获得策略矩阵,所述策略矩阵表示为,In a preferred embodiment, the strategy matrix adjustment module is further used to obtain a strategy matrix by P4P, and the strategy matrix is expressed as,
sp11 sp12 … sp1nsp11 sp12 … sp1n
sp21 sp22 … sp2nsp21 sp22 … sp2n
… … … …... ... ... ... ...
spn1 spn2 … spnnspn1 spn2 … spnn
其中,虚体节点Di的比例向量为[spi1 spi2 … spin],比例向量中元素为虚体节点Di对应分组中的节点在各个分组中选择节点的选择比例;确定所在分组对应虚体节点对网络中所有虚体节点的信任度,将所述信任度组成所述虚体节点的信任度向量,表示为[DTi1 DTi2 … DTin],信任度向量中元素为虚体节点Di对各个虚体节点的信任度;将同一虚体节点的比例向量和信任度向量相加,获得所述虚体节点的新向量;将所述虚体节点的新向量中每个元素进行归一化获得所述虚体节点的新的比例向量。Among them, the proportion vector of the imaginary node Di is [spi1 spi2 ... spin ], and the elements in the proportion vector are the selection ratios of the nodes in the group corresponding to the imaginary node Di to select nodes in each group; determine the corresponding The trust degree of the virtual node to all virtual nodes in the network, the trust degree is composed of the trust degree vector of the virtual node, expressed as [DTi1 DTi2 ... DTin ], the element in the trust degree vector is the virtual body The trust degree of node Di to each phantom node; add the proportion vector and trust degree vector of the same phantom node to obtain the new vector of the phantom node; each element in the new vector of the phantom node Perform normalization to obtain a new scale vector of the phantom node.
较佳的实施方式中,所述策略矩阵调整模块进一步用于由P4P获得策略矩阵,所述策略矩阵表示为,In a preferred embodiment, the strategy matrix adjustment module is further used to obtain a strategy matrix by P4P, and the strategy matrix is expressed as,
sp11 sp12 … sp1nsp11 sp12 … sp1n
sp21 sp22 … sp2nsp21 sp22 … sp2n
… … … …... ... ... ... ...
spn1 spn2 … spnnspn1 spn2 … spnn
其中,虚体节点Di的比例向量为[spi1 spi2 … spin],比例向量中元素为虚体节点Di对应分组中的节点在各个分组中选择节点的选择比例;确定所在分组对应虚体节点对网络中所有虚体节点的信任度,将所述信任度组成信任度向量,表示为[DTi1 DTi2 … DTin],信任度向量中元素为虚体节点Di对各个虚体节点的信任度;将同一虚体节点的比例向量和信任度向量中的对应元素相乘,获得所述虚体节点的新向量;将所述虚体节点的新向量中每个元素进行归一化获得所述虚体节点的新的比例向量。Among them, the proportion vector of the imaginary node Di is [spi1 spi2 ... spin ], and the elements in the proportion vector are the selection ratios of the nodes in the group corresponding to the imaginary node Di to select nodes in each group; determine the corresponding The trust degree of the virtual node to all virtual nodes in the network, the trust degree is composed of a trust degree vector, which is expressed as [DTi1 DTi2 ... DTin ], and the elements in the trust degree vector are the virtual node Di 's trust to each virtual node The trust degree of the body node; the corresponding elements in the proportion vector of the same virtual body node and the trust degree vector are multiplied to obtain the new vector of the virtual body node; each element in the new vector of the virtual body node is normalized Unify to obtain the new scale vector of the phantom node.
进一步较佳的实施方式中,所述策略矩阵调整模块在确定所在分组对应虚体节点对网络中所有虚体节点的信任度时进一步用于判断是否已经计算出对虚体节点信任度,如果是,则以计算的信任度为管理节点所在分组对应虚体节点对所述虚体节点的信任度;否则,以预设默认值为管理节点所在分组对应虚体节点对所述虚体节点的信任度。In a further preferred embodiment, the policy matrix adjustment module is further used to determine whether the trust degree of the virtual node in the network has been calculated when determining the trust degree of the virtual node corresponding to the group where it is located, and if so , then take the calculated trust degree as the trust degree of the virtual node corresponding to the group where the management node belongs to the virtual node; otherwise, take the default value as the trust degree of the virtual node corresponding to the group where the management node belongs to the virtual node Spend.
较佳的实施方式中,所述选择模块进一步用于从所属节点所在分组的管理节点得到调整后的选择比例;依据所述选择比例确定从各个分组中选择节点的数目;分别向各个分组的管理节点请求包括相应数目的能够提供服务的节点的列表;获得列表后,同所述列表中的节点进行交互。In a preferred embodiment, the selection module is further used to obtain an adjusted selection ratio from the management node of the group where the node belongs to; determine the number of selected nodes from each group according to the selection ratio; The node request includes a list of corresponding number of nodes capable of providing services; after obtaining the list, interact with the nodes in the list.
较佳的实施方式中,所述选择模块进一步用于从所属节点所在分组的管理节点得到调整后的选择比例;依据所述选择比例确定从各个分组中选择节点的数目;分别向各个分组的管理节点请求能够提供服务的节点的列表,从所述列表中选择对应数目的节点;同选择的节点进行交互。In a preferred embodiment, the selection module is further used to obtain an adjusted selection ratio from the management node of the group where the node belongs to; determine the number of selected nodes from each group according to the selection ratio; A node requests a list of nodes capable of providing services, selects a corresponding number of nodes from the list, and interacts with the selected nodes.
较佳的实施方式中,所述选择模块在从所述列表中选择对应数目的节点时进一步用于在从所在的分组中选择节点时,计算所述节点对所述所在的分组中的被选择节点的信任值;在从非所在的分组中选择节点时,计算所述节点对所述非所在的分组中的被选择节点的信任值;按所述信任值由高到低的顺序,从各个分组的列表中选择对应数目的节点,同选择的节点进行交互。In a preferred embodiment, when the selection module selects a corresponding number of nodes from the list, it is further used to calculate the number of selected nodes in the group where the nodes are located when selecting nodes from the group where they are located. The trust value of the node; when selecting a node from the non-located group, calculate the trust value of the node to the selected node in the non-located group; according to the order of the trust value from high to low, from each Select the corresponding number of nodes in the grouped list, and interact with the selected nodes.
进一步较佳的实施方式中,所述选择模块还用于记录计算的信任值;In a further preferred embodiment, the selection module is also used to record the calculated trust value;
所述选择模块在计算所述节点对所述所在的分组中的被选择节点的信任值时进一步用于从各个分组的管理节点获得统计时间内各个分组中节点对被选择的节点的评价值,从记录中获得所述节点对给出评价值的节点的信任值;从各个分组的管理节点获得各个分组中节点在统计时间内给出的对被选择节点的评价值的个数,按如下公式计算所在分组中节点的信任值,When the selection module calculates the trust value of the node to the selected node in the group where it is located, it is further used to obtain the evaluation value of the nodes in each group to the selected node within the statistical time from the management node of each group, Obtain the trust value of the node to the node giving the evaluation value from the record; obtain the number of evaluation values of the selected node given by the node in each group within the statistical time from the management node of each group, according to the following formula Calculate the trust value of the nodes in the group,
其中,tij是所述节点i对所述被选择节点j的信任值;Pkj是统计时间内由节点i所在分组内节点给出的对节点j的第k个评价值,Tik是节点i对所在分组内对节点j给出评价值Pkj的节点的信任值;Plj是统计时间内由节点i所在分组外节点对节点j的第l个评价值;Til是节点i对所在分组外的对节点j给出评价值Plj的节点的信任值;N1为在统计时间内节点i所在分组内节点给出的对节点j的评价值的个数,N2为在统计时间内节点i所在分组外的节点给出的对节点j评价值的个数;LIM是预设的分组内交互次数阈值。Among them, tij is the trust value of the node i to the selected node j; Pkj is the kth evaluation value of the node j given by the node in the group where the node i is located within the statistical time, and Tik is the node i is the trust value of the node that gives the evaluation value Pkj to node j in the group where it belongs; Plj is the lth evaluation value of node j from nodes outside the group where node i belongs to within the statistical time; Til is the node i’s evaluation value to node j The trust value of the node outside the group that gives the evaluation value Plj to node j; N1 is the number of evaluation values for node j given by nodes in the group where node i belongs to within the statistical time, N2 is the The number of evaluation values for node j given by nodes outside the group where internal node i is located; LIM is the preset threshold for the number of interactions within the group.
进一步较佳的实施方式中,所述选择模块还用于记录计算的信任值;In a further preferred embodiment, the selection module is also used to record the calculated trust value;
所述选择模块在计算所述节点对所述所在分组中的被选择节点的信任值时进一步用于向各个分组的管理节点发送记录的所属节点对管理节点所在分组中节点的信任值,并请求所述管理节点按如下公式计算所在分组对被选择节点的参考信任值,When calculating the trust value of the node to the selected node in the group, the selection module is further used to send the recorded trust value of the node to the node in the group where the management node belongs to the management node of each group, and request The management node calculates the reference trust value of the group to the selected node according to the following formula,
gmj是虚体节点Dm对应分组对被选择节点j的参考信任值,Tikm是节点i对虚体节点Dm对应分组内对节点j给出评价值Pkjm的节点的信任值;Pkjm是统计时间内由虚体节点Dm对应分组内节点给出的对节点j的第k个评价值;Nm是在统计时间内虚体节点Dm对应分组内节点给出的对节点j评价值的个数;接收到各个分组管理节点计算的对于被选择节点的参考信任值,将参考信任值组成参考信任值向量,表示为[g1j g2j … gij … gwj],w为网络中分组个数;从所在分组的管理节点获得所在分组中节点在统计时间内给出的被选择节点的评价值个数,按如下公式计算所述被选择节点的信任值,gmj is the reference trust value of the group corresponding to the virtual node Dm to the selected node j, Tikm is the trust value of the node that gives the evaluation value Pkjm to the node j in the group corresponding to the virtual node Dm ;Pkjm is the k-th evaluation value of node j given by the virtual node Dm corresponding to the node in the group within the statistical time; Nm is given by the virtual node Dm corresponding to the node in the group within the statistical time The number of evaluation values for node j; the reference trust value for the selected node calculated by each group management node is received, and the reference trust value is composed of a reference trust value vector, expressed as [g1j g2j ... gij ... gwj ] , w is the number of groups in the network; the number of evaluation values of the selected nodes given by the nodes in the group within the statistical time is obtained from the management node of the group, and the trust value of the selected node is calculated according to the following formula,
其中,tij是所述节点i对被选择节点j的信任值;gij是节点i所在分组对节点j的参考信任值;gkj是除节点i所在分组外的其他分组对节点j的参考信任值;N1为在统计时间内节点i所在分组内节点给出的对节点j评价值的个数;LIM是预设的分组内交互次数阈值。Among them, tij is the trust value of the node i to the selected node j; gij is the reference trust value of the group where the node i belongs to the node j; gkj is the reference of the group other than the node i to the node j Trust value; N1 is the number of evaluation values for node j given by the nodes in the group where node i belongs to within the statistical time; LIM is the preset threshold for the number of interactions in the group.
进一步较佳的实施方式中,所述选择模块还用于记录计算的信任值;In a further preferred embodiment, the selection module is also used to record the calculated trust value;
所述选择模块在计算所述节点对所述非所在的分组中的被选择节点的信任值时进一步用于从各个分组的管理节点获得统计时间内各个分组中节点对被选择的节点的评价值,从记录中获得所述节点对给出评价值的节点的信任值;按如下公式计算被选择节点的信任值,When the selection module calculates the trust value of the node to the selected node in the non-local group, it is further used to obtain the evaluation value of the nodes in each group to the selected node from the management node of each group within the statistical time , obtain the trust value of the node from the record to the node giving the evaluation value; calculate the trust value of the selected node according to the following formula,
其中,tij是所述节点i对被选择节点j的信任值;N1为在统计时间内节点i所在分组内节点给出的对节点j的评价值的个数;N2为在统计时间内节点j所在分组中的节点给出的对节点j评价值的个数;N3是在统计时间内除节点j所在分组和节点i所在分组以外其他分组中的节点给出的对节点j的评价值的个数;Pkj是统计时间内由节点i所在分组内节点给出的对节点j的第k个评价值,Tik是节点i给出评价值Pkj的节点的信任值;Plj是统计时间内由节点j所在分组内节点给出的对节点j的第l个评价值,Til是节点i对给出评价值Plj的节点的信任值;Prj是统计时间内由在除节点i所在分组和节点j所在分组外的其他分组中节点给出的对节点j的第r个评价值;Tir是节点i对给出评价值Prj的节点的信任值;LIM是预设的分组内交互次数阈值。Among them, tij is the trust value of the node i to the selected node j; N1 is the number of evaluation values given by the nodes in the group where the node i belongs to within the statistical time; N2 is the number of evaluation values for the node j within the statistical time The number of evaluation values for node j given by the nodes in the group where internal node j is located; N3 is the number of evaluation values for node j given by nodes in other groups other than the group where node j is located and the group where node i is located within the statistical time The number of evaluation values; Pkj is the kth evaluation value of node j given by the node in the group where node i belongs to within the statistical time, Tik is the trust value of the node that node i gives the evaluation value Pkj ; Plj is the lth evaluation value of node j given by the node in the group where node j belongs to within the statistical time, Til isthe trust value of node i to the node that gives the evaluation value Plj ; In other groups except the group where node i is located and the group where node j is located, the rth evaluation value given by the node to node j; Tir is the trust value of node i to the node that gives the evaluation value Prj ; LIM is The preset threshold for the number of interactions within a group.
进一步较佳的实施方式中,所述选择模块还用于记录计算的信任值;In a further preferred embodiment, the selection module is also used to record the calculated trust value;
所述选择模块在计算所述节点对所述非所在的分组中的被选择节点的信任值时进一步用于向各个分组的管理节点发送记录的所述节点对所述分组中节点的信任值,并请求所述管理节点按如下公式计算所在分组对被选择节点的参考信任值,When the selection module calculates the trust value of the node to the selected node in the non-located group, it is further used to send the recorded trust value of the node to the node in the group to the management node of each group, And request the management node to calculate the reference trust value of the group to the selected node according to the following formula,
gmj是虚体节点Dm对应分组对被选择节点j的参考信任值,Tikm是节点i对虚体节点Dm对应分组内对节点j给出评价值Pkjm的节点的信任值;Pkjm是虚体节点Dm对应分组内节点对节点j的第k个评价值;Nm是在统计时间内虚体节点Dm对应分组内节点对节点j评价值的个数;接收到各个分组的管理节点计算的对于被选择节点的参考信任值,将参考信任值组成参考信任值向量,表示为[g1j g2j … gij … gwj],w为网络中分组个数;从各个分组的管理节点获得各个分组中节点在统计时间内给出的被选择节点的评价值个数,按如下公式计算所述被选择节点的信任值,gmj is the reference trust value of the group corresponding to virtual node Dm to the selected node j, Tikm is the trust value of node i to the node that gives evaluation value Pkjm to node j in the group corresponding to virtual node Dm ; Pkjm is the kth evaluation value of node j in the group corresponding to virtual node Dm ; Nm is the number of evaluation values of node j in the group corresponding to virtual node Dm within the statistical time; To the reference trust value calculated by the management node of each group for the selected node, the reference trust value is composed of a reference trust value vector, expressed as [g1j g2j ... gij ... gwj ], w is the number of groups in the network; The number of evaluation values of the selected nodes given by the nodes in each group within the statistical time is obtained from the management nodes of each group, and the trust value of the selected nodes is calculated according to the following formula,
其中,tij是所述节点i对非所在分组内的被选择节点j的信任值;N1为在统计时间内节点i所在分组内节点给出的对节点j的评价值的个数;N2为在统计时间内节点j所在分组中的节点给出的对节点j评价值的个数;N3是在统计时间内节点j所在分组和节点i所在分组外的节点给出的对节点j的评价值的个数;gij是节点i所在分组对节点j的参考信任值;gjj是节点j所在分组对节点j的参考信任值;gkj是除节点i和节点j所在分组外的其他分组对节点j的参考信任值;LIM是预设的分组内交互次数阈值。Among them, tij is the trust value of the node i to the selected node j in the non-local group;N is the number of evaluation values given by the nodes in the group where the node i is located within the statistical time; N2 isthe number of evaluation values for node j given by the nodes in the group where node j belongs to within the statistical time; gij isthe reference trust value of the group where node i belongs to node j; gjj is the reference trust value of node j from the group where node j belongs to node j; The reference trust value of other groups to node j; LIM is the preset threshold of the number of interactions within a group.
进一步较佳的实施方式中,所述信任度技术模块进一步用于从所属管理节点所在分组中收集各个节点对其他节点的信任值;以每个分组为虚体节点,所述管理节点所在的分组对应的虚体节点表示为Di,按如下公式计算虚体节点Dj对网络中虚体节点的评价值,In a further preferred embodiment, the trust degree technology module is further used to collect the trust value of each node to other nodes from the group where the management node is located; each group is a virtual node, and the group where the management node is located The corresponding virtual node is denoted as Di , and the evaluation value of the virtual node Dj to the virtual node in the network is calculated according to the following formula,
其中,DPij是虚体节点Di对虚体节点Dj的评价值;N是所述管理节点在统计时间内收到的对虚体节点Dj对应的分组内节点的评价值的个数;pk为虚体节点Di对应分组内的节点上报的对于虚体节点Dj对应分组内的节点的评价值;tk表示虚体节点Di对应分组内的节点上报评价值pk时,所述分组内其他节点对进行上报的节点的信任值的平均值;将虚体节点Di对网络中虚拟体节点的评价值按如下公式进行归一化,所得值为虚体节点Di对网络中虚拟体节点的信任度,Among them, DPij is the evaluation value of the virtual node Di to the virtual node Dj ; N is the number of evaluation values of the nodes in the group corresponding to the virtual node Dj received by the management node within the statistical time ; pk is the evaluation value reported by the nodes in the group corresponding to the virtual nodeD itothe nodes in the group correspondingto the virtual node Dj ; , the average value of the trust value of other nodes in the group to the reporting nodes; the evaluation value of the virtual node Di in the network to the virtual node in the network is normalized according to the following formula, and the obtained value is the virtual node Di The degree of trust in virtual body nodes in the network,
DTij是虚体节点Di对虚体节点Dj的信任度,M是统计时间内虚体节点Di给出评价值的虚体节点的总个数。DTij is the trust degree of virtual node Di to virtual node Dj , and M is the total number of virtual nodes whose evaluation value is given by virtual node Di within the statistical time.
本领域的技术人员在不脱离权利要求书确定的本发明的精神和范围的条件下,还可以对以上内容进行各种各样的修改。因此本发明的范围并不仅限于以上的说明,而是由权利要求书的范围来确定的。Those skilled in the art can also make various modifications to the above content without departing from the spirit and scope of the present invention defined by the claims. Therefore, the scope of the present invention is not limited to the above description, but is determined by the scope of the claims.
| Application Number | Priority Date | Filing Date | Title |
|---|---|---|---|
| CN201010127701.3ACN101902459B (en) | 2010-03-18 | 2010-03-18 | Node trust selection method and system in P2P network applying P4P |
| Application Number | Priority Date | Filing Date | Title |
|---|---|---|---|
| CN201010127701.3ACN101902459B (en) | 2010-03-18 | 2010-03-18 | Node trust selection method and system in P2P network applying P4P |
| Publication Number | Publication Date |
|---|---|
| CN101902459A CN101902459A (en) | 2010-12-01 |
| CN101902459Btrue CN101902459B (en) | 2013-01-30 |
| Application Number | Title | Priority Date | Filing Date |
|---|---|---|---|
| CN201010127701.3AActiveCN101902459B (en) | 2010-03-18 | 2010-03-18 | Node trust selection method and system in P2P network applying P4P |
| Country | Link |
|---|---|
| CN (1) | CN101902459B (en) |
| Publication number | Priority date | Publication date | Assignee | Title |
|---|---|---|---|---|
| CN106097107B (en) | 2009-09-30 | 2020-10-16 | 柯蔼文 | Systems and methods for social graph data analysis to determine connectivity within a community |
| US20110099164A1 (en) | 2009-10-23 | 2011-04-28 | Haim Zvi Melman | Apparatus and method for search and retrieval of documents and advertising targeting |
| US20170358027A1 (en) | 2010-01-14 | 2017-12-14 | Www.Trustscience.Com Inc. | Scoring trustworthiness, competence, and/or compatibility of any entity for activities including recruiting or hiring decisions, composing a team, insurance underwriting, credit decisions, or shortening or improving sales cycles |
| US9578043B2 (en) | 2015-03-20 | 2017-02-21 | Ashif Mawji | Calculating a trust score |
| CN105471650A (en)* | 2015-12-04 | 2016-04-06 | 西安电子科技大学 | Reputation evaluation method for HP2P (Hybrid Hierarchical Peer-to-Peer) network system |
| CN105872000A (en)* | 2015-12-21 | 2016-08-17 | 乐视云计算有限公司 | Grouping method, device and system of P2P nodes |
| US20170235792A1 (en) | 2016-02-17 | 2017-08-17 | Www.Trustscience.Com Inc. | Searching for entities based on trust score and geography |
| US9679254B1 (en) | 2016-02-29 | 2017-06-13 | Www.Trustscience.Com Inc. | Extrapolating trends in trust scores |
| US9721296B1 (en) | 2016-03-24 | 2017-08-01 | Www.Trustscience.Com Inc. | Learning an entity's trust model and risk tolerance to calculate a risk score |
| US10180969B2 (en) | 2017-03-22 | 2019-01-15 | Www.Trustscience.Com Inc. | Entity resolution and identity management in big, noisy, and/or unstructured data |
| CN108446819A (en)* | 2018-02-02 | 2018-08-24 | 晖保智能科技(上海)有限公司 | One kind being used for garden personal management trust evaluation system |
| JP2021018625A (en)* | 2019-07-22 | 2021-02-15 | 富士ゼロックス株式会社 | Information processing system and program |
| CN111262724B (en)* | 2020-01-07 | 2023-03-24 | 中国联合网络通信集团有限公司 | Method and device for confirming trust relationship between domains |
| Publication number | Priority date | Publication date | Assignee | Title |
|---|---|---|---|---|
| CN101572605A (en)* | 2009-06-01 | 2009-11-04 | 上海山牡泽牡网络科技有限公司 | Architecture based on P2P and P4P platforms and processing method thereof |
| CN101610184A (en)* | 2009-07-28 | 2009-12-23 | 中国科学院软件研究所 | A Collusion Group Identification Method Based on Fuzzy Logic in P2P Network |
| Publication number | Priority date | Publication date | Assignee | Title |
|---|---|---|---|---|
| CN101572605A (en)* | 2009-06-01 | 2009-11-04 | 上海山牡泽牡网络科技有限公司 | Architecture based on P2P and P4P platforms and processing method thereof |
| CN101610184A (en)* | 2009-07-28 | 2009-12-23 | 中国科学院软件研究所 | A Collusion Group Identification Method Based on Fuzzy Logic in P2P Network |
| Title |
|---|
| Guobiao Yang et al..《A trust model in P4P-integrated P2P networks based on domain management》.《Computers and Communications(ISCC),2010 IEEE Symposium》.2010,824-829.* |
| Li Chen et al..《The Research of Trust Model Based on Group-Recommend in P2P Network》.《Computer Science and Software Engineering,2008 International Conference》.2008,845-848.* |
| Ning Liu et al..《Group-Based Trust Model in P2P System Based on Trusted Computing》.《Computer Science and Software Engineering,2008 International Conference》.2008,797-801.* |
| Wen Ji et al..《A Group-Based Trust Metric for P2P Networks:Protection against Sybil Attack and Collusion》.《Computer Science and Software Engineering,2008 International Conference》.2008,90-93.* |
| Publication number | Publication date |
|---|---|
| CN101902459A (en) | 2010-12-01 |
| Publication | Publication Date | Title |
|---|---|---|
| CN101902459B (en) | Node trust selection method and system in P2P network applying P4P | |
| Kong et al. | A reliable and efficient task offloading strategy based on multifeedback trust mechanism for IoT edge computing | |
| Yu et al. | Proof-of-QoS: QoS based blockchain consensus protocol | |
| Xia et al. | A survey of bittorrent performance | |
| Can et al. | Sort: A self-organizing trust model for peer-to-peer systems | |
| Liu et al. | Stereotrust: a group based personalized trust model | |
| Huang et al. | Resource allocation and consensus of blockchains in pervasive edge computing environments | |
| CN113037504B (en) | Node excitation method and system under fragment-based unauthorized block chain architecture | |
| CN106161440B (en) | Multi-area optical network belief system based on D-S evidence and theory of games | |
| CN114358907A (en) | Financial risk prediction method and system based on block chain federal learning | |
| CN103561047A (en) | P2P network trust cloud model calculating method based on interest groups | |
| Ravichandran et al. | Trust management with delegation in grouped peer-to-peer communities | |
| CN116595094A (en) | Federal learning incentive method, device, equipment and storage medium based on block chain | |
| Liu et al. | Quantum networks with multiple service providers: Transport layer protocols and research opportunities | |
| CN118890625A (en) | A trust management method for Internet of Vehicles based on blockchain-based pre-reward and punishment mechanism | |
| CN116567637A (en) | Fog node trust evaluation method based on improved PBFT algorithm | |
| Bai et al. | Blockchain-based Authentication and Proof-of-Reputation Mechanism for Trust Data Sharing in Internet of Vehicles. | |
| CN105049354A (en) | Trustful routing method based on OSPF | |
| Zhang et al. | Graph theory-based QoE-driven cooperation stimulation for content dissemination in device-to-device communication | |
| CN114666342A (en) | Joint link node consensus method and block chain system | |
| CN103888967A (en) | Ad-hoc network node credibility evaluation method based on bayesian network | |
| Hu et al. | Decentralized incentive mechanism for cooperative content dissemination in vehicular networks | |
| de Almeida et al. | Content delivery networks-q-learning approach for optimization of the network cost and the cache hit ratio | |
| CN115865943A (en) | Adaptive Dynamic Cross-chain Consensus Mechanism Selection Method | |
| Wu et al. | USMN-SCA: A Blockchain Sharding Consensus Algorithm With Tolerance for an Unlimited Scale of Malicious Nodes |
| Date | Code | Title | Description |
|---|---|---|---|
| C06 | Publication | ||
| PB01 | Publication | ||
| C10 | Entry into substantive examination | ||
| SE01 | Entry into force of request for substantive examination | ||
| C14 | Grant of patent or utility model | ||
| GR01 | Patent grant |