




技术领域technical field
本发明涉及DOA估计技术,特别涉及一种双极化智能天线系统中的DOA估计方法。The invention relates to DOA estimation technology, in particular to a DOA estimation method in a dual-polarization smart antenna system.
背景技术Background technique
智能天线是TD-SCDMA系统的关键技术。在智能天线系统中,通过DOA估计可以确定用户当前所在的位置。Smart antenna is the key technology of TD-SCDMA system. In a smart antenna system, the user's current location can be determined through DOA estimation.
目前进行DOA估计的方法有两种,分别是基于EBB的算法和基于GOB的算法。在这两种算法中,基站首先进行信道估计,然后利用信道估计结果计算空间相关矩阵,再利用空间相关矩阵计算所有到达角方向上的接收功率,从计算得到的接收功率选择最大值作为用户的DOA估计结果。其中,基于EBB算法和基于GOB算法的区别仅在于,计算到达角方向上接收功率的方式不同。Currently, there are two methods for DOA estimation, namely the EBB-based algorithm and the GOB-based algorithm. In these two algorithms, the base station first performs channel estimation, then uses the channel estimation results to calculate the spatial correlation matrix, and then uses the spatial correlation matrix to calculate the received power in all directions of the arrival angle, and selects the maximum value from the calculated received power as the user's DOA estimation results. Wherein, the difference between the EBB-based algorithm and the GOB-based algorithm is only that the manner of calculating the received power in the direction of the arrival angle is different.
在单极化天线系统中,基站端有一组极化方向相同的天线,各个天线间需要保持一定的距离,其中,组内天线数目越多,系统增益越大。但随着TD-SCDMA系统的进一步发展,要达到一定的系统增益,利用单极化的智能天线使得基站天线的面积较大,安装不便,受风面积大,存在安全隐患,因此出现了双极化智能天线。在双极化智能天线系统中,基站端有两种极化方向的天线,其中,极化方向相同的天线间仍需保持一定的距离,但是,极化方向不同的天线间的距离可以很近,如图1所示。这样,达到相同的系统增益,双极化智能天线系统中天线的面积要大大小于单极化天线系统中天线的面积。In a single-polarized antenna system, the base station has a group of antennas with the same polarization direction, and a certain distance needs to be kept between each antenna. The more antennas in the group, the greater the system gain. However, with the further development of the TD-SCDMA system, to achieve a certain system gain, the use of single-polarized smart antennas makes the area of the base station antenna larger, inconvenient to install, and has a large wind area, which has potential safety hazards. Therefore, bipolar antennas have appeared. smart antenna. In a dual-polarization smart antenna system, there are antennas with two polarization directions at the base station. A certain distance still needs to be kept between antennas with the same polarization direction, but the distance between antennas with different polarization directions can be very close. ,As shown in Figure 1. In this way, to achieve the same system gain, the area of the antenna in the dual-polarization smart antenna system is much smaller than the area of the antenna in the single-polarization antenna system.
但是目前存在的DOA估计均是单极化智能天线下的DOA估计,双极化智能天线下的DOA估计算法还没有,如果双极化智能天线继续利用原来的算法,一方面,由于只利用了一个极化方向的信息进行DOA估计,必然导致由于浪费了另一个极化方向的信息而造成估计精度的下降;另一方面电磁波双极化的特性没能得到充分的利用,以便得到更准确的用户位置信息。But the existing DOA estimation is the DOA estimation under the single-polarization smart antenna, and there is no DOA estimation algorithm under the dual-polarization smart antenna. If the dual-polarization smart antenna continues to use the original algorithm, on the one hand, because only the Estimating DOA with information in one polarization direction will inevitably lead to a decrease in estimation accuracy due to the waste of information in another polarization direction; on the other hand, the dual polarization characteristics of electromagnetic waves have not been fully utilized in order to obtain more accurate User location information.
发明内容Contents of the invention
有鉴于此,本发明提供一种双极化智能天线系统中的DOA估计方法,能够充分利用双极化智能天线的信息进行准确的DOA估计。In view of this, the present invention provides a DOA estimation method in a dual-polarization smart antenna system, which can make full use of the information of the dual-polarization smart antenna to perform accurate DOA estimation.
为实现上述目的,本发明采用如下的技术方案:To achieve the above object, the present invention adopts the following technical solutions:
一种双极化智能天线系统中的DOA估计方法,包括:A DOA estimation method in a dual-polarization smart antenna system, comprising:
对两个极化方向的天线分别进行信道估计得到相应极化方向的空间相关矩阵,并对应每一极化方向,利用EBB或GOB算法确定各个到达角方向的接收功率;Perform channel estimation on the antennas in the two polarization directions to obtain the spatial correlation matrix of the corresponding polarization direction, and use the EBB or GOB algorithm to determine the received power in each direction of arrival angle corresponding to each polarization direction;
对应每一极化方向,根据该极化方向的空间相关矩阵和所述各个到达角方向的接收功率确定该极化方向对应的最大波束增益;Corresponding to each polarization direction, determine the maximum beam gain corresponding to the polarization direction according to the spatial correlation matrix of the polarization direction and the received power in each angle of arrival direction;
对两个极化方向对应的最大波束增益进行合并处理,确定用户的DOA信息。Combine the maximum beam gains corresponding to the two polarization directions to determine the DOA information of the user.
较佳地,所述根据该极化方向的空间相关矩阵和所述各个到达角方向的接收功率确定该极化方向对应的最大波束增益包括:Preferably, the determining the maximum beam gain corresponding to the polarization direction according to the spatial correlation matrix of the polarization direction and the received power in each angle-of-arrival direction includes:
在该极化方向的所述各个到达角方向的接收功率中确定最大接收功率,并根据该极化方向的空间相关矩阵对所述最大接收功率进行归一化处理,得到该极化方向上的波束增益,将其作为所述该极化方向对应的最大波束增益。Determine the maximum received power among the received powers in each angle of arrival direction of the polarization direction, and perform normalization processing on the maximum received power according to the spatial correlation matrix of the polarization direction, to obtain the maximum received power in the polarization direction The beam gain is used as the maximum beam gain corresponding to the polarization direction.
较佳地,所述根据该极化方向的空间相关矩阵和所述各个到达角方向的接收功率确定该极化方向对应的最大波束增益包括:Preferably, the determining the maximum beam gain corresponding to the polarization direction according to the spatial correlation matrix of the polarization direction and the received power in each angle-of-arrival direction includes:
在该极化方向的所述各个到达角方向的接收功率中确定最大接收功率,并根据该极化方向的空间相关矩阵对所述最大接收功率进行归一化处理,得到该极化方向上的波束增益;Determine the maximum received power among the received powers in each angle of arrival direction of the polarization direction, and perform normalization processing on the maximum received power according to the spatial correlation matrix of the polarization direction, to obtain the maximum received power in the polarization direction beam gain;
对所述该极化方向上的波束增益进行递归平均,将递归平均结果作为所述该极化方向对应的最大波束增益。Recursively average the beam gain in the polarization direction, and use the recursive average result as the maximum beam gain corresponding to the polarization direction.
较佳地,所述根据该极化方向的空间相关矩阵和所述各个到达角方向的接收功率确定该极化方向对应的最大波束增益包括:Preferably, the determining the maximum beam gain corresponding to the polarization direction according to the spatial correlation matrix of the polarization direction and the received power in each angle-of-arrival direction includes:
根据该极化方向的空间相关矩阵对该极化方向的所述各个到达角方向的接收功率分别进行归一化处理,得到该极化方向的各个到达角方向的波束增益;performing normalization processing on the received power in each angle of arrival direction of the polarization direction according to the spatial correlation matrix of the polarization direction, to obtain the beam gain in each angle of arrival direction of the polarization direction;
对该极化方向的各个到达角方向的波束增益分别进行递归平均得到平均波束增益,并从所有平均波束增益中选择最大值作为所述该极化方向对应的最大波束增益。Recursively average the beam gains in each angle-of-arrival direction of the polarization direction to obtain an average beam gain, and select a maximum value from all average beam gains as the maximum beam gain corresponding to the polarization direction.
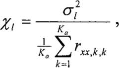
较佳地,所述归一化处理的方式为:其中,χl为计算得到的波束增益,σl2为到达角方向l的接收功率,Ka为该极化方向的空间相关矩阵行数,rxx,k,k为该极化方向的空间相关矩阵的对角线元素。Preferably, the manner of normalization processing is: Among them, χl is the calculated beam gain, σl2 is the received power in the direction l of the arrival angle, Ka is the number of rows of the spatial correlation matrix in the polarization direction, and rxx, k, k are the space of the polarization direction Diagonal elements of the correlation matrix.
较佳地,所述进行递归平均的方式为:其中,χl(n)为当前帧计算得到的波束增益,为前一帧的波束增益递归平均结果,为当前帧的波束增益递归平均结果,p为根据终端的移动速度确定的遗忘因子。Preferably, the method of performing recursive averaging is: Among them, χl (n) is the beam gain calculated by the current frame, is the recursive average result of the beam gain of the previous frame, is the beam gain recursive average result of the current frame, and p is the forgetting factor determined according to the moving speed of the terminal.
较佳地,进行合并处理的方式为:最大比合并、等分合并或选择性合并。Preferably, the combining process is performed in the following ways: maximum ratio combining, equally divided combining or selective combining.
较佳地,当两个极化方向对应的最大波束增益的比值小于预设阈值时,则采样最大比合并或等分合并进行所述合并处理;当两个极化方向对应的最大波束增益的比值大于或等于预设阈值时,则通过选择性合并方式,选择两个极化方向对应的最大波束增益中的较大值作为用户的DOA信息。Preferably, when the ratio of the maximum beam gains corresponding to the two polarization directions is less than a preset threshold, the sampling maximum ratio combination or equal division combination is performed for the combination process; when the maximum beam gain corresponding to the two polarization directions is When the ratio is greater than or equal to the preset threshold, the larger value among the maximum beam gains corresponding to the two polarization directions is selected as the DOA information of the user through selective combination.
较佳地,当采样最大比合并时,确定当前帧中两个极化方向的最大接收功率,并按照最大接收功率的比例,对两个极化方向的最大波束增益进行最大比合并。Preferably, when sampling the maximum ratio combination, determine the maximum received power of the two polarization directions in the current frame, and perform maximum ratio combination on the maximum beam gains of the two polarization directions according to the ratio of the maximum received power.
由上述技术方案可见,本发明中,首先根据当前帧信号对两个极化方向的天线分别进行信道估计得到相应极化方向的空间相关矩阵,并对应每一极化方向,利用EBB或GOB算法确定各个到达角方向的接收功率;然后,对应每一极化方向,根据该极化方向的空间相关矩阵和所述各个到达角方向的接收功率确定该极化方向对应的最大波束增益;最后,对两个极化方向对应的最大波束增益进行合并处理,确定用户的DOA信息。通过上述方式,充分利用两个极化方向的信息,从而获取更准确的DOA信息。It can be seen from the above technical solution that in the present invention, firstly, according to the current frame signal, channel estimation is performed on the antennas of the two polarization directions respectively to obtain the spatial correlation matrix of the corresponding polarization direction, and corresponding to each polarization direction, the EBB or GOB algorithm is used to Determine the received power in each angle of arrival direction; then, corresponding to each polarization direction, determine the maximum beam gain corresponding to the polarization direction according to the spatial correlation matrix of the polarization direction and the received power in each angle of arrival direction; finally, Combine the maximum beam gains corresponding to the two polarization directions to determine the DOA information of the user. Through the above method, the information of the two polarization directions is fully utilized, so as to obtain more accurate DOA information.
附图说明Description of drawings
图1为双极化智能天线系统的示意图。FIG. 1 is a schematic diagram of a dual-polarization smart antenna system.
图2为不同极化方向下的信号传播示意图。Fig. 2 is a schematic diagram of signal propagation in different polarization directions.
图3为本发明中双极化智能天线系统中的DOA估计方法总体流程图。FIG. 3 is an overall flow chart of the DOA estimation method in the dual-polarization smart antenna system of the present invention.
图4为本发明实施例一中双极化智能天线系统中的DOA估计方法总体流程图。FIG. 4 is an overall flow chart of a DOA estimation method in a dual-polarization smart antenna system according to Embodiment 1 of the present invention.
图5为本发明实施例二中双极化智能天线系统中的DOA估计方法总体流程图。FIG. 5 is an overall flow chart of a DOA estimation method in a dual-polarization smart antenna system according to Embodiment 2 of the present invention.
具体实施方式Detailed ways
为使本发明的目的、技术手段和优点更加清楚明白,以下结合附图对本发明做进一步详细说明。In order to make the purpose, technical means and advantages of the present invention clearer, the present invention will be further described in detail below in conjunction with the accompanying drawings.
一方面,已经证明不同极化波(例如垂直极化和水平极化)之间存在着极化隔离,具体说来就是水平线极化天线接收水平极化波,而不接收垂直线极化波;反之垂直极化天线接收垂直极化波,而不接收水平极化波,这是由于天线的极化方向与接收电磁波的极化方向相互正交。On the one hand, it has been proved that there is polarization isolation between different polarized waves (such as vertically polarized and horizontally polarized), specifically, horizontally polarized antennas receive horizontally polarized waves but not vertically polarized waves; Conversely, a vertically polarized antenna receives vertically polarized waves, but not horizontally polarized waves, because the polarization direction of the antenna and the polarization direction of the received electromagnetic wave are orthogonal to each other.
另一方面,根据文献从终端到基站之间的水平极化路径与垂直极化路径是不相关的,无线信号传送中经过多次的随机反射后,不同极化方向(无法极化方向的角度差是否为90度)上的信号就变成相互独立。信号经过环境的多次反射与散射后,在接收端得到具有不同幅度、时延与到达角的多径信号,如图2所示。On the other hand, according to the literature, the horizontal polarization path from the terminal to the base station is irrelevant to the vertical polarization path. The signals on whether the difference is 90 degrees or not) become independent of each other. After the signal is reflected and scattered by the environment multiple times, multipath signals with different amplitudes, delays and angles of arrival are obtained at the receiving end, as shown in Figure 2.
由图2可见,由于电磁波传输的特性,不同极化方向的电波经过相同的空间信道后的多径分布特性存在差异,它们主径的AOA或者DOA是不同的,如果我们对不同极性的主径DOA分别进行估计,然后对得到的DOA估计结果进行适当的合并处理则能够得到更精确的用户位置信息,因此本发明的基本思想是:分别确定两个极化方向的DOA信息,再通过合并处理确定最终的DOA信息。It can be seen from Figure 2 that due to the characteristics of electromagnetic wave transmission, the multipath distribution characteristics of waves with different polarization directions after passing through the same spatial channel are different, and the AOA or DOA of their main paths are different. The DOA of the polarization direction is estimated separately, and then the obtained DOA estimation results are properly combined to obtain more accurate user position information. Therefore, the basic idea of the present invention is: respectively determine the DOA information of the two polarization directions, and then combine Process to determine final DOA information.
图3为本发明中双极化智能天线系统中的DOA估计方法总体流程图。如图3所示,该方法包括:FIG. 3 is an overall flow chart of the DOA estimation method in the dual-polarization smart antenna system of the present invention. As shown in Figure 3, the method includes:
步骤301,对两个极化方向的天线分别进行信道估计得到相应极化方向的空间相关矩阵,并对应每一极化方向,利用EBB或GOB算法确定各个到达角方向的接收功率。
步骤302,对应每一极化方向,根据该极化方向的空间相关矩阵和所述各个到达角方向的接收功率确定该极化方向对应的最大波束增益。
步骤303,对两个极化方向对应的最大波束增益进行合并处理,确定用户的DOA信息。
至此,本发明的DOA估计方法流程结束。在上述方法流程中,步骤302确定最大波束增益的方式可以有多种,步骤303中进行合并处理的方式也可以有多种,以下通过具体实施例进行详细说明本发明的具体实现方式。So far, the flow of the DOA estimation method of the present invention ends. In the above method flow, there may be multiple ways to determine the maximum beam gain in
实施例一:Embodiment one:
本实施例中,以EBB算法为例进行说明。In this embodiment, the EBB algorithm is taken as an example for description.
图4为本发明实施例一中双极化智能天线系统的DOA估计方法具体流程图。如图4所示,该方法包括:FIG. 4 is a specific flow chart of a DOA estimation method for a dual-polarization smart antenna system in Embodiment 1 of the present invention. As shown in Figure 4, the method includes:
步骤401,对两个极化方向,分别进行信道估计得到相应极化方向的信道矩阵H1和H2。
本步骤中,具体进行信道估计的方法可以采用现有的各种估计方式,这里就不再赘述。In this step, various existing estimation methods may be used for specific channel estimation methods, which will not be repeated here.
步骤402,对应每个极化方向,利用该极化方向的信道矩阵确定空间相关矩阵。
确定空间相关矩阵的方式与现有方式相同,即Rxx=HHH。本步骤对应每个极化方向,分别计算各自的空间相关矩阵Rxx1和Rxx2。The way to determine the spatial correlation matrix is the same as the existing way, that is, Rxx =HHH . In this step, respective spatial correlation matrices Rxx 1 and Rxx 2 are calculated corresponding to each polarization direction.
步骤403,对应每个极化方向,利用EBB算法根据相应极化方向的空间相关矩阵确定最佳赋形加权矢量。
具体利用EBB算法确定最佳赋形加权矢量的方式与现有方式相同,这里就不再赘述。本步骤对应每个极化方向,分别计算各自的最佳赋形加权矢量W1和W2。The specific method of using the EBB algorithm to determine the optimal shape-forming weight vector is the same as the existing method, and will not be repeated here. In this step, corresponding to each polarization direction, the respective optimal shaping weight vectors W1 and W2 are calculated respectively.
步骤404,对应每个极化方向,确定预设的各个到达角方向的接收功率。
在单极化天线的DOA估计中,基站端会预设多个到达角方向,并对应每个到达角方向保存一个最大加权矢量。本发明中,仍然采用与单极化天线DOA估计相同的方式,预设多个到达角方向l,并对应每个到达角方向保存一个最大加权矢量sl,将其称为天线调节矢量。本步骤中,确定各个到达角方向接收功率的方式与现有的EBB算法相同,即利用式(1)对所有到达角对应的天线调节矢量进行遍历,确定所有到达角方向的方向增益(即接收功率):
其中,σl2为到达角方向l的接收功率,W为步骤303中确定的相应极化方向的最佳赋形加权矢量。Wherein, σl2 is the received power in the direction l of the arrival angle, and W is the optimal shaping weight vector determined in
步骤405,对应每个极化方向,在步骤404中确定的各个到达角方向的接收功率中选择最大接收功率,利用相应极化方向的空间相关矩阵确定最大接收功率对应的到达角方向的波束增益。
本步骤中,两个极化方向的处理相同,以其中一个极化方向为例进行说明。具体地,对应任一极化方向A,在该极化方向确定的各个到达角方向的接收功率中选择最大接收功率σL2,利用式(2)对该最大接收功率σL2进行归一化处理,从而确定相应到达角方向的波束增益:In this step, the processing of the two polarization directions is the same, and one of the polarization directions is taken as an example for illustration. Specifically, corresponding to any polarization direction A, the maximum received power σL2 is selected among the received powers in each direction of arrival angle determined by the polarization direction, and the maximum received power σL2 is normalized by formula (2) to determine the beam gain in the direction of the corresponding arrival angle:
其中,χL为计算得到的波束增益,σL2为最大接收功率,Ka为极化方向A的空间相关矩阵行数,rxx,k,k为极化方向A的空间相关矩阵的对角线元素。Among them, χL is the calculated beam gain, σL2 is the maximum received power, Ka is the number of rows of the spatial correlation matrix in the polarization direction A, rxx, k, k are the pairs of the spatial correlation matrix in the polarization direction A Corner elements.
简单地,可以将上述计算得到的波束增益作为极化方向A的最大波束增益,同理,可以得到两个极化方向的最大波束增益,然后直接进入步骤307进行两个极化方向的最大波束增益的合并处理,确定最终的DOA估计结果。Simply, the beam gain obtained by the above calculation can be used as the maximum beam gain of the polarization direction A. Similarly, the maximum beam gain of the two polarization directions can be obtained, and then directly go to step 307 to perform the maximum beam gain of the two polarization directions Gains are combined to determine the final DOA estimation result.
或者,为了避免信道环境的恶化导致的错误估计,可以在本步骤后,进一步通过步骤406对上面得到的波束增益进行递归平均,以获得较为稳定准确的波束增益,然后利用递归平均后的波束增益作为相应极化方向的最大波束增益,再通过步骤407进行最大波束增益的合并处理。Or, in order to avoid erroneous estimation caused by the deterioration of the channel environment, after this step, the beam gain obtained above can be further recursively averaged in
步骤406,对应每个极化方向,对步骤405中得到的波束增益进行递归平均,确定相应极化方向的最大波束增益。
本步骤中,具体递归平均的方式可以为:In this step, the specific recursive averaging method can be:
其中,χL(n)为步骤405中得到的当前帧的波束增益,为前一帧的波束增益递归平均结果,为当前帧的波束增益递归平均结果,p为根据终端的移动速度确定的遗忘因子。在具体实现过程中,可以每N个帧进行一次DOA估计,即利用第0帧到第(N-1)帧的波束增益χL(0)到χL(N-1)根据式(3)进行递归运算,得到Wherein, xL (n) is the beam gain of the current frame obtained in
对两个极化方向上的递归运算原理相同,然后将各自的递归运算结果作为相应极化方向上的最大波束增益。The principle of the recursive operation in the two polarization directions is the same, and then the respective recursive operation results are used as the maximum beam gain in the corresponding polarization direction.
步骤407,对不同极化方向下的最大波束增益进行合并处理,确定最终的DOA信息。
本步骤中,进行合并处理的方式可以采用现有的任意合并处理方式。本发明中以其中三种为例说明,分别为:最大比合并、等分合并或选择性合并。其中,不同的合并处理方式实现复杂度不同,应用场景也有所差异。In this step, any existing merging processing method may be used for the merging process. In the present invention, three of them are taken as examples for illustration, namely: maximum ratio combination, equal division combination or selective combination. Among them, different merging processing methods have different implementation complexities and application scenarios are also different.
优选地,当两个极化方向下的最大波束增益相差较大时,可以采用选择性合并方式,选取两个极化方向的最大波束增益中的较大值作为最终的DOA信息。当两个极化方向下的最大波束增益相差较小时,可以采用最大比合并或等分合并的方式。其中,最大比合并时,按照两个极化方向的最大接收功率比例,进行最大波束增益的最大比合并。Preferably, when the difference between the maximum beam gains in the two polarization directions is large, a selective combination method may be used to select a larger value of the maximum beam gains in the two polarization directions as the final DOA information. When the difference between the maximum beam gains in the two polarization directions is small, the manner of maximum ratio combining or equal division combining may be used. Wherein, during the maximum ratio combination, the maximum ratio combination of the maximum beam gain is performed according to the maximum received power ratio of the two polarization directions.
具体实现时,可以预设一个阈值,当两个极化方向下的最大波束增益的比值小于预设阈值时,则采样最大比合并或等分合并进行合并处理;当两个极化方向对应的最大波束增益的比值大于或等于预设阈值时,则采用选择性合并方式进行合并处理。During specific implementation, a threshold can be preset, and when the ratio of the maximum beam gains in the two polarization directions is less than the preset threshold, the sampling maximum ratio combination or equal division combination is combined; when the two polarization directions correspond to When the ratio of the maximum beam gain is greater than or equal to the preset threshold, a selective combination method is used for combination processing.
在上述三种合并方式中,选择性合并的实现最简单,只需要选择二者中的较大值即可,只需要进行比较操作。但是这种合并方式,毕竟只利用了一个极化方向的信息,因此比较适用于两个极化方向的最大波束增益相差较大的情况,例如,万分之一倍的关系等。最大比合并和等分合并相比,最大比合并实现较为复杂,但能够获得更加准确的DOA信息,因此,可以在综合考虑DOA的精度要求和硬件处理能力的基础上,选择合适的方式进行合并处理。Among the above three merging methods, the implementation of selective merging is the simplest, only need to select the larger value of the two, and only need to perform a comparison operation. However, this combining method only utilizes the information of one polarization direction after all, so it is more suitable for situations where the maximum beam gains of the two polarization directions differ greatly, for example, the relationship of 1/10,000 times. Compared with equal merging, maximum ratio merging is more complicated to implement, but it can obtain more accurate DOA information. Therefore, it is possible to choose an appropriate method for merging on the basis of comprehensive consideration of DOA accuracy requirements and hardware processing capabilities. deal with.
经过上述合并处理后即得到最终的DOA信息。至此,本实施例中的DOA估计方法流程结束。The final DOA information is obtained after the above merging process. So far, the flow of the DOA estimation method in this embodiment ends.
实施例二:Embodiment two:
本实施例中,以GOB算法为例进行说明。In this embodiment, the GOB algorithm is taken as an example for description.
图5为本发明实施例二中双极化智能天线系统的DOA估计方法具体流程图。如图5所示,该方法包括:FIG. 5 is a specific flowchart of a DOA estimation method for a dual-polarization smart antenna system in Embodiment 2 of the present invention. As shown in Figure 5, the method includes:
步骤501~502,对两个极化方向,分别进行信道估计得到相应极化方向的信道矩阵H1和H2,再利用两个极化方向的信道矩阵确定相应极化方向的空间相关矩阵。Steps 501-502, respectively perform channel estimation for the two polarization directions to obtain the channel matrices H1 and H2 of the corresponding polarization directions, and then use the channel matrices of the two polarization directions to determine the spatial correlation matrix of the corresponding polarization directions.
步骤501~502的具体实现与实施例一中步骤401~402的处理相同,这里就不再赘述。The specific implementation of
步骤503,对应每个极化方向,利用GOB算法确定预设的各个到达角方向的接收功率。
与实施例一中类似,本实施例的基站端预设多个到达角方向l,并对应每个到达角方向保存一个最大加权矢量sl,即天线调节矢量。利用GOB算法确定各个到达角方向的接收功率,具体方式与现有方式相同,即根据确定各个到达角方向的方向增益(即接收功率)。Similar to Embodiment 1, the base station in this embodiment presets multiple arrival angle directions l, and stores a maximum weighted vector sl corresponding to each arrival angle direction, that is, an antenna adjustment vector. Use the GOB algorithm to determine the received power in each direction of arrival angle, the specific method is the same as the existing method, that is, according to Determine the directional gain (ie received power) for each angle of arrival direction.
步骤504,对应每个极化方向,利用相应极化方向的空间相关矩阵,确定各个到达角方向的波束增益。
本步骤中,两个极化方向的处理相同,以其中一个极化方向为例进行说明。具体地,对应任一极化方向A,利用式(4)对该极化方向的各个到达角方向的接收功率进行归一化处理,从而确定各个到达角方向的波束增益:In this step, the processing of the two polarization directions is the same, and one of the polarization directions is taken as an example for illustration. Specifically, corresponding to any polarization direction A, use formula (4) to normalize the received power in each angle of arrival direction of the polarization direction, so as to determine the beam gain in each angle of arrival direction:
其中,χl为到达角方向l的波束增益,σl2为到达角方向l的接收功率,Ka为极化方向A的空间相关矩阵行数,rxx,k,k为极化方向A的空间相关矩阵的对角线元素。Among them, χl is the beam gain in the direction of the angle of arrival l, σl2 is the received power in the direction of the angle of arrival l, Ka is the number of rows of the spatial correlation matrix in the polarization direction A, rxx, k, k is the polarization direction A The diagonal elements of the spatial correlation matrix of .
步骤505,对应每个极化方向,对步骤504中得到的各个到达角方向的波束增益进行递归平均,确定相应极化方向中每个到达角方向的平均波束增益,并对应每个极化方向,选择平均波束增益的最大值作为该极化方向的最大波束增益。
本步骤中,具体递归平均的方式可以为:In this step, the specific recursive averaging method can be:
其中,χl(n)为步骤504中得到的当前帧中到达角方向l的波束增益,为前一帧中到达角方向l的波束增益递归平均结果,为当前帧中到达角方向l的波束增益递归平均结果,p为根据终端的移动速度确定的遗忘因子。具体实现与实施例一中类似,区别仅在于,本步骤中对应每个极化方向,需要计算各个到达角方向的递归平均结果。这样,即得到两个极化方向中各个到达角方向的波束增益的递归平均结果,称为到达角方向的平均波束增益。Wherein, xl (n) is the beam gain of the arrival angle direction l in the current frame obtained in
接下来,对应每个极化方向,选择平均波束增益的最大值作为该极化方向的最大波束增益。Next, corresponding to each polarization direction, the maximum value of the average beam gain is selected as the maximum beam gain of the polarization direction.
步骤506,对不同极化方向下的最大波束增益进行合并处理,确定最终的DOA信息。
本步骤的具体实现与实施例一中步骤407的具体实现相同,这里就不再赘述。The specific implementation of this step is the same as the specific implementation of
至此,本实施例中的DOA估计方法流程结束。So far, the flow of the DOA estimation method in this embodiment ends.
在上述两个实施例中,确定两个极化方向的最大波束增益的方式有所不同。其中,实施例一中,是首先确定所有到达角方向的最大接收功率,然后将该最大接收功率对应的到达角方向的波束增益进行递归平均确定平均波束增益,并将该平均波束增益作为最大波束增益;而实施例二中,则是首先根据各个到达角方向的接收功率确定各个到达角方向的波束增益和平均波束增益,选择平均波束增益的最大值作为最大波束增益。In the above two embodiments, the manners of determining the maximum beam gains of the two polarization directions are different. Among them, in the first embodiment, the maximum received power in all directions of arrival angle is determined first, and then the beam gain in the direction of arrival angle corresponding to the maximum received power is recursively averaged to determine the average beam gain, and the average beam gain is used as the maximum beam gain In the second embodiment, the beam gain and the average beam gain in each angle of arrival direction are first determined according to the received power in each angle of arrival direction, and the maximum value of the average beam gain is selected as the maximum beam gain.
对于这两种不同的最大波束增益确定方式,对应每个极化方向,实施例一中只需要针对一个到达角方向计算波束增益和平均波束增益,而实施例二中则需要针对所有到达角方向计算波束增益和平均波束增益,因此,实施例一中的方式实现简单,但是最大波束增益的选择没有实施例二中的准确。实际应用中,可以根据硬件处理能力和DOA信息的精度要求选择合适的方式进行处理。For these two different methods of determining the maximum beam gain, corresponding to each polarization direction, the beam gain and the average beam gain only need to be calculated for one angle of arrival direction in the first embodiment, while in the second embodiment it is necessary to calculate the beam gain and the average beam gain for all angles of arrival directions Calculating the beam gain and the average beam gain, therefore, the implementation in the first embodiment is simple, but the selection of the maximum beam gain is not as accurate as in the second embodiment. In practical applications, an appropriate method can be selected for processing according to hardware processing capability and accuracy requirements of DOA information.
另外,实施例一是以EBB算法为例进行的,实施例二是以GOB算法为例进行的。事实上,实施例一也可以采用GOB算法进行,实施例二也可以采用EBB算法进行。In addition, the first embodiment is performed using the EBB algorithm as an example, and the second embodiment is performed using the GOB algorithm as an example. In fact, Embodiment 1 can also be implemented by using the GOB algorithm, and Embodiment 2 can also be implemented by using the EBB algorithm.
依照上述本发明的DOA估计方法,进行了外场测试,测试结果如表1所示。其中,平均值为依照本发明的DOA估计方法得到的结果,GPS定位角度为准确的用户位置信息。由该测试结果可见,在直达径存在的情况下,采用该算法的DOA估计的精度误差小于2%;另外,多UE同时存在时,DOA估计的精度没有下降。According to the above-mentioned DOA estimation method of the present invention, an field test was carried out, and the test results are shown in Table 1. Wherein, the average value is the result obtained according to the DOA estimation method of the present invention, and the GPS positioning angle is accurate user position information. It can be seen from the test results that when the direct path exists, the accuracy error of DOA estimation using this algorithm is less than 2%. In addition, when multiple UEs exist at the same time, the accuracy of DOA estimation does not decrease.
表1Table 1
由上述可见,本发明的DOA估计方式充分利用了电磁波极化传播特性的差异,使用户位置信息的估计精度得以提高。It can be seen from the above that the DOA estimation method of the present invention makes full use of the difference in electromagnetic wave polarization propagation characteristics, so that the estimation accuracy of user position information is improved.
以上仅为本发明的较佳实施例而已,并非用于限定本发明的保护范围。凡在本发明的精神和原则之内,所作的任何修改、等同替换、改进等,均应包含在本发明的保护范围之内。The above are only preferred embodiments of the present invention, and are not intended to limit the protection scope of the present invention. Any modifications, equivalent replacements, improvements, etc. made within the spirit and principles of the present invention shall be included within the protection scope of the present invention.
| Application Number | Priority Date | Filing Date | Title |
|---|---|---|---|
| CN2008102394267ACN101754362B (en) | 2008-12-09 | 2008-12-09 | DOA estimation method in dual-polarized smart antenna system |
| Application Number | Priority Date | Filing Date | Title |
|---|---|---|---|
| CN2008102394267ACN101754362B (en) | 2008-12-09 | 2008-12-09 | DOA estimation method in dual-polarized smart antenna system |
| Publication Number | Publication Date |
|---|---|
| CN101754362Atrue CN101754362A (en) | 2010-06-23 |
| CN101754362B CN101754362B (en) | 2012-04-18 |
| Application Number | Title | Priority Date | Filing Date |
|---|---|---|---|
| CN2008102394267AExpired - Fee RelatedCN101754362B (en) | 2008-12-09 | 2008-12-09 | DOA estimation method in dual-polarized smart antenna system |
| Country | Link |
|---|---|
| CN (1) | CN101754362B (en) |
| Publication number | Priority date | Publication date | Assignee | Title |
|---|---|---|---|---|
| CN102891817A (en)* | 2011-07-22 | 2013-01-23 | 中兴通讯股份有限公司 | Channel equalization method, base station and system |
| CN112769505A (en)* | 2020-12-31 | 2021-05-07 | Oppo广东移动通信有限公司 | Method and device for determining antenna arrival angle, storage medium and electronic equipment |
| WO2022206643A1 (en)* | 2021-03-31 | 2022-10-06 | 华为技术有限公司 | Method for estimating angle of arrival of signal and electronic device |
| CN115334527A (en)* | 2021-05-11 | 2022-11-11 | 大唐移动通信设备有限公司 | Positioning method, positioning device and processor-readable storage medium |
| Publication number | Priority date | Publication date | Assignee | Title |
|---|---|---|---|---|
| CN1740812A (en)* | 2005-06-17 | 2006-03-01 | 武汉大学 | Near-field correction method for receiving channel of uniform linear array of high-frequency surface wave radar |
| CN101252382B (en)* | 2008-03-17 | 2012-01-25 | 成都国恒空间技术工程有限公司 | Wide frequency range signal polarizing and DOA estimating method and apparatus |
| Publication number | Priority date | Publication date | Assignee | Title |
|---|---|---|---|---|
| CN102891817A (en)* | 2011-07-22 | 2013-01-23 | 中兴通讯股份有限公司 | Channel equalization method, base station and system |
| CN102891817B (en)* | 2011-07-22 | 2017-06-13 | 中兴通讯股份有限公司 | A kind of channel equalization method, base station and system |
| CN112769505A (en)* | 2020-12-31 | 2021-05-07 | Oppo广东移动通信有限公司 | Method and device for determining antenna arrival angle, storage medium and electronic equipment |
| CN112769505B (en)* | 2020-12-31 | 2022-10-21 | Oppo广东移动通信有限公司 | Method, device, storage medium and electronic device for determining angle of arrival of antenna |
| WO2022206643A1 (en)* | 2021-03-31 | 2022-10-06 | 华为技术有限公司 | Method for estimating angle of arrival of signal and electronic device |
| CN115334527A (en)* | 2021-05-11 | 2022-11-11 | 大唐移动通信设备有限公司 | Positioning method, positioning device and processor-readable storage medium |
| CN115334527B (en)* | 2021-05-11 | 2024-04-23 | 大唐移动通信设备有限公司 | Positioning method, positioning device and processor readable storage medium |
| Publication number | Publication date |
|---|---|
| CN101754362B (en) | 2012-04-18 |
| Publication | Publication Date | Title |
|---|---|---|
| CN110463147B (en) | Method for decoding symbols and receiver for receiving and decoding symbols | |
| KR100947650B1 (en) | Beam shaping method to realize interference suppression | |
| CN101436893B (en) | Beamforming device and method for suppressing interference in smart antenna | |
| US12089064B2 (en) | Beamforming method and apparatus, radio access network device, and readable storage medium | |
| US20130172007A1 (en) | Single-Site Localization via Multipath Fingerprinting | |
| CN110870216B (en) | Beam forming method and device | |
| CN108828570B (en) | A ranging method and ranging device based on dynamic estimation of path loss factor | |
| CN101754362B (en) | DOA estimation method in dual-polarized smart antenna system | |
| US9762307B2 (en) | Communication system and communication control method using interference channel matrix | |
| CN101572574B (en) | Intelligent antenna self-adaptive interference suppression method based on least square-least mean square | |
| CN117075033A (en) | Intelligent super-surface-assisted user positioning method based on correction dimension-reduction MUSIC | |
| CN105356924A (en) | Method and device for estimating DOA-BF weight of dual-polarized antenna system | |
| CN114221838B (en) | Channel estimation method and system using channel conjugate data in large-scale MIMO system | |
| Chung et al. | Efficient multi-user channel estimation for RIS-aided mmWave systems using shared channel subspace | |
| CN101330304B (en) | Method and device for calculating arrival direction in an intelligent antenna system | |
| CN101594322B (en) | Multi-antenna channel estimation method and device as well as corresponding base station system | |
| CN107070818B (en) | Doppler Frequency Offset Estimation Method and Device Based on Millimeter-Wave MIMO System | |
| CN103427888A (en) | Method and device for obtaining beam forming weight vector | |
| CN111669191B (en) | Short wave ultrashort wave signal enhancement method based on distributed receiving system | |
| CN104880714A (en) | GNSS antenna array anti-interference method based on two-stage filtering structure | |
| CN101499816B (en) | Incoming wave arrival angle estimating method and apparatus | |
| CN100423602C (en) | Implementation method of beamforming applied to co-frequency networking | |
| WO2024254904A1 (en) | Multi-user precoding method based on super-directive antenna array, and device and medium | |
| CN101686074A (en) | Method and device for determining incoming wave directions | |
| CN105357677A (en) | High-efficiency communication method using multi-antennas in cognitive radio system |
| Date | Code | Title | Description |
|---|---|---|---|
| C06 | Publication | ||
| PB01 | Publication | ||
| C10 | Entry into substantive examination | ||
| SE01 | Entry into force of request for substantive examination | ||
| C14 | Grant of patent or utility model | ||
| GR01 | Patent grant | ||
| CF01 | Termination of patent right due to non-payment of annual fee | ||
| CF01 | Termination of patent right due to non-payment of annual fee | Granted publication date:20120418 |