





技术领域technical field
本发明涉及一种具有低传输损耗的具有偏振保持能力的全固光子带隙光纤,属于光波导领域。The invention relates to an all-solid photonic bandgap fiber with low transmission loss and polarization maintaining capability, which belongs to the field of optical waveguides.
技术背景technical background
光子晶体光纤(Photonic Crystal Fiber,PCF)又被称为微结构光纤(Microstructure Optical Fiber,MOF)或多孔光纤(Holey Fiber,HF),是一种近十余年来引起全世界相关领域科技工作者广泛关注和研究的新型光纤[J.C.Knight,et al.Opt.Lett.,21(1996)p.1547.;Errata,Opt.Lett.22(1997)p.484;Philip Russell,Science,17 Jan 2003,Vol 299],其横截面上有较复杂的折射率分布,通常这类光纤的包层区含有一种或几种按一定形式排列的贯穿整根光纤的气孔,这些气孔的尺度与光纤传输所使用波长大致在同一数量级,光波被限制在其芯区传播。根据导光机制的不同,光子晶体光纤可以分为两大类[J.C.Knight,et al.Science,2002,296(5566),p276]:全内反射导光型(Total InternalReflection,TIR)和光子带隙导光型(Photonic Band Gap,PBG)。Photonic Crystal Fiber (PCF) is also known as Microstructure Optical Fiber (MOF) or Hole Fiber (Holey Fiber, HF). New types of optical fibers widely concerned and studied [J.C.Knight, et al.Opt.Lett., 21(1996) p.1547.; Errata, Opt.Lett.22(1997) p.484; Philip Russell, Science, 17 Jan 2003 , Vol 299], its cross-section has a complex refractive index distribution, usually the cladding region of this type of fiber contains one or several air holes that run through the entire fiber in a certain form, and the scale of these air holes is related to the fiber transmission The wavelengths used are roughly in the same order of magnitude, and the light waves are confined to propagate in their core regions. According to the different light guiding mechanisms, photonic crystal fibers can be divided into two categories [J.C.Knight, et al. Gap light guide type (Photonic Band Gap, PBG).
近年来的研究[F.Luan et al.Opt.Lett.29(2004)p2369;A.Argyros,et al.,Opt.Exp.,Vol.13,No.7,pp.2503(2005);G.Ren,et al.,IEEE Ph.Tech.Le.,Vol.18,No.24,pp.2560(2006);G.Ren,et al.,Opt.Let.,Vol.32,No.9,pp.1023(2007)]发现在全固体的光纤中不仅能实现光子带隙型导光的机制,而且能设计制作出传输损耗非常小(小于2dB/km)、边带消光比很大的此类特殊光纤,这就是全固光子带隙光纤(All-solid Photonic Band-gap Fiber)。在该类光纤的横截面上,在低的折射率背景材料上规则地排列着高掺杂的掺杂单元,称为基本单元,该基本单元内除了高掺杂的材料,也可以辅以低折射率材料等。这种光纤的芯区由缺失一个或多个基本单元形成。相对空芯的光子带隙光纤,这种全固光子带隙光纤不仅拥有光子带隙型光纤的特征传输谱,而且还能方便地对其带隙位置进行设计和移动,更为重要的它还是全固体的结构。因此此类光纤可以很方便地应用于光子技术领域的各类光器件,如芯区进行稀土掺杂而应用于光纤激光器和放大器,另外滤波、高功率传输、光纤光栅等领域亦有重要应用。在实际使用中,相对于带有空气孔的光纤而言,该类光纤在光纤熔接,连接头打磨加工等工序将十分简便。Research in recent years [F.Luan et al.Opt.Lett.29(2004) p2369; A.Argyros, et al., Opt.Exp., Vol.13, No.7, pp.2503(2005); G .Ren, et al., IEEE Ph.Tech.Le., Vol.18, No.24, pp.2560(2006); G.Ren, et al., Opt.Let., Vol.32, No.9 , pp.1023(2007)] found that not only the photonic bandgap light guiding mechanism can be realized in the all-solid optical fiber, but also the optical fiber with very small transmission loss (less than 2dB/km) and large sideband extinction ratio can be designed and produced. This kind of special fiber is All-solid Photonic Band-gap Fiber. On the cross section of this type of optical fiber, highly doped doping units are regularly arranged on the low refractive index background material, which is called the basic unit. In addition to the highly doped material, the basic unit can also be supplemented with low Refractive index materials, etc. The core of such fibers is formed by the deletion of one or more elementary units. Compared with the hollow-core photonic bandgap fiber, this all-solid photonic bandgap fiber not only has the characteristic transmission spectrum of photonic bandgap fiber, but also can easily design and move its bandgap position. More importantly, it is All solid structure. Therefore, this type of fiber can be easily applied to various optical devices in the field of photonic technology, such as rare earth doping in the core area for fiber lasers and amplifiers. In addition, there are also important applications in filtering, high power transmission, and fiber gratings. In actual use, compared with optical fibers with air holes, the process of optical fiber fusion, connector grinding and other processes will be very simple.
专利CN1945363A描述了一种低损耗限制损耗和弯曲损耗的全固体带隙光纤,光纤不但具备带隙型的传输谱特征,而且把一阶带隙移到了1550nm波段,并实现了较低的传输损耗。但是该专利提到的光纤不具备偏振保持性能。Patent CN1945363A describes an all-solid bandgap fiber with low loss, limited loss and bending loss. The fiber not only has the characteristics of bandgap transmission spectrum, but also moves the first-order bandgap to the 1550nm band, and realizes lower transmission loss. . But the optical fiber mentioned in this patent does not have polarization maintaining performance.
美国专利US7349611B2描述了一种全固体的光子带隙光纤,光纤端面上按设定的方式排列着一系列高折射率掺杂区,这些高掺杂区把芯区围在中间。芯区一般为纯硅材料,也可以以一定的剖面设计进行少量高掺杂。其它光纤端面的任何区域均为背景材料,一般为纯二氧化硅材料。这种设计可以实现光子带隙特征的传输特性,但是由于周期性的掺杂基本单元只是高折射率材料,这使得他们在轻微的弯曲状态下,带隙也就很容易受到干扰,甚至不复存在;另外带隙的宽度也很有限。US Patent No. 7,349,611B2 describes an all-solid photonic bandgap fiber. A series of high-refractive-index doped regions are arranged on the end face of the fiber in a set manner. These highly-doped regions surround the core region in the middle. The core area is generally made of pure silicon material, and a small amount of high doping can also be carried out with a certain cross-section design. Any area of the other fiber endface is background material, typically pure silica material. This design can realize the transmission characteristics of photonic bandgap characteristics, but because the periodic doping basic unit is only a high refractive index material, which makes them in a slightly bent state, the bandgap is easily disturbed, or even no longer Exist; In addition, the width of the band gap is also very limited.
美国公开专利US20090168149A1描述了一种芯区掺杂稀土元素的双包层光纤,光纤的外包层为空气包层,即用一圈空气填充率很高的气孔围成一圈作为包层,或者对包层的掺杂单元的折射率、排列方式进行不同的布置以达到不同的功能。对芯区可采用不同的形状以及折射率剖面的设计,并进行稀土离子的掺杂,最终利用光子带隙效应实现对激光波长实现选择性抑致。这里提到的光纤不是全固体结构的,为了优化光纤的弯曲性能,以及实现包层泵浦的波导结构,设计上在光纤端面上加入一圈空气孔作为限制包层泵浦光的包层。The US published patent US20090168149A1 describes a double-clad fiber whose core is doped with rare earth elements. The refractive index and arrangement of the doped units in the cladding layer are arranged differently to achieve different functions. Different shapes and refractive index profiles can be designed for the core region, and rare earth ions are doped, and finally the photonic bandgap effect is used to achieve selective suppression of the laser wavelength. The optical fiber mentioned here is not an all-solid structure. In order to optimize the bending performance of the optical fiber and realize the waveguide structure for cladding pumping, a circle of air holes is added on the end face of the optical fiber as the cladding to limit the cladding pumping light.
保偏光纤在光通信、光信号检测和处理等领域有很多重要应用。最初主要应用于光纤传感,之后在光纤放大器、激光器,特别是以光纤陀螺仪为代表的惯性制导领域获得了广泛的应用。近年来随着光纤技术的发展,人们不断地将光子晶体光纤技术应用到各个光纤技术层面,利用光子晶体光纤的概念和设计方法、制作方法进行了系列特种功能光纤的设计制作,例如保偏型的光子晶体光纤。最初报道(Opt.Lett.25(18)1325~1327,2000)了拍长为0.4mm的石英系保偏光子晶体光纤。这种包含大量空气孔的光子晶体光纤可以达到很高的双折射,但是实际使用起来的却有着诸多不便,这是由于其端面上大量存在的空气孔的存在导致光纤端面容易受到污染,这使得该类光纤的测试、应用当中比较困难,对耦合技术的要求很高。Polarization-maintaining fiber has many important applications in the fields of optical communication, optical signal detection and processing, etc. It was mainly used in fiber optic sensing at first, and then it has been widely used in fiber amplifiers, lasers, and especially inertial guidance represented by fiber optic gyroscopes. In recent years, with the development of optical fiber technology, people continue to apply photonic crystal fiber technology to various optical fiber technology levels, and use the concept, design method and production method of photonic crystal fiber to design and manufacture a series of special functional optical fibers, such as polarization maintaining photonic crystal fiber. It was initially reported (Opt. Lett. 25 (18) 1325-1327, 2000) that a quartz-based polarization-maintaining photonic crystal fiber with a beat length of 0.4 mm was reported. This photonic crystal fiber containing a large number of air holes can achieve high birefringence, but it is inconvenient to use in practice. This is because the existence of a large number of air holes on the end face makes the end face of the fiber easily polluted, which makes It is difficult to test and apply this type of optical fiber, and the requirements for coupling technology are very high.
如果利用全固光子带隙光纤的设计方法进行保偏光纤的设计制作,将从根本上解决以上问题。最终的保偏光子晶体光纤(也就是保偏全固光子带隙光纤)可以如同普通光纤那样的全固体结构方便实际使用,同时也可以利用光子晶体光纤设计带来的光子带隙效应限制光波于光纤的芯区,可以使得光纤的传输谱呈现带状的通带结构,即光纤可低损耗传导的光波段在电磁波谱上呈现不连续的分布,满足实际应用的特殊要求。同时,本发明为开发全固体的保偏光子带隙光纤提供了一个新的思路。If the design method of all-solid photonic bandgap fiber is used to design and manufacture the polarization-maintaining fiber, the above problems will be solved fundamentally. The final polarization-maintaining photonic crystal fiber (that is, the polarization-maintaining all-solid photonic bandgap fiber) can be used in an all-solid structure like an ordinary fiber for practical use. The core region of the optical fiber can make the transmission spectrum of the optical fiber present a band-shaped passband structure, that is, the optical band that the optical fiber can transmit with low loss presents a discontinuous distribution on the electromagnetic spectrum, which meets the special requirements of practical applications. At the same time, the invention provides a new idea for developing all-solid polarization-maintaining photonic bandgap fibers.
发明内容Contents of the invention
本发明的目的是提供一种具有偏振保持性能的低损耗全固光子带隙光纤,通过对包层光子带隙的设计和芯区的设计,使得光纤既具备低的限制损耗、弯曲损耗,又具备偏振保持的性能。The purpose of the present invention is to provide a low-loss all-solid photonic bandgap fiber with polarization maintaining performance. Through the design of the cladding photonic bandgap and the design of the core region, the fiber has both low limiting loss, bending loss, and Polarization-maintaining performance.
本发明基于独特的包层周期性单元高掺杂单元周围引入折射率下陷的设计有效的改善了光纤的弯曲性能,从而有效降低了光纤的衰减;全固体化的结构保证该光纤在实际使用过程中简便性。The present invention is based on the design of introducing a dip in the refractive index around the unique cladding periodic unit highly doped unit, which effectively improves the bending performance of the optical fiber, thereby effectively reducing the attenuation of the optical fiber; the fully solid structure ensures that the optical fiber is in the actual use process Medium simplicity.
本发明分别采用形状双折射和应力双折射的方式对该光子带隙光纤的结构进行设计,并分别阐述这两种设计的优势。采用形状双折射的设计的光纤特点可以归纳为以下两点:1、可以实现纯硅芯的保偏结构,以利于所述光纤抗辐射性能和温度稳定性的提高。2、易于制作,应力掺杂单元通常制造难度较高,对于其应用到光子带隙光纤中,需要事先制作好应力预制棒,并把应力预制棒拉制为直径细小的丝状细棒,而应力预制棒由于内部存在较大应力,所以极易破损、爆裂,因此这些工艺处理环节需要很高的拉制技术水平,同时对光子晶体预制棒的制作也提出了很高要求。应力双折射的设计的光纤好处可归纳为:1、易获得较高的双折射,并且该双折射随波长变化较小。2、易获得较大的模场面积。The present invention adopts shape birefringence and stress birefringence respectively to design the structure of the photonic bandgap fiber, and respectively expounds the advantages of the two designs. The characteristics of the optical fiber designed with shape birefringence can be summarized into the following two points: 1. The polarization-maintaining structure of the pure silicon core can be realized, so as to improve the anti-radiation performance and temperature stability of the optical fiber. 2. It is easy to manufacture, and the stress-doped unit is usually difficult to manufacture. For its application in photonic bandgap optical fibers, it is necessary to make a stress preform in advance and draw the stress preform into a thin filamentary rod with a small diameter. Stressed preforms are easily damaged and burst due to the large internal stress. Therefore, these process steps require a high level of drawing technology, and at the same time, high requirements are placed on the production of photonic crystal preforms. The benefits of stress birefringence designed optical fibers can be summarized as follows: 1. It is easy to obtain higher birefringence, and the birefringence changes little with wavelength. 2. It is easy to obtain a larger mode field area.
本发明的技术方案实现方式:Technical scheme realization mode of the present invention:
具有偏振保持性能的低损耗全固光子带隙光纤,它包括芯区和包层区,光纤包层区的背景材料具有一定的折射率n0,高掺杂材料折射率为n2的基本单元分布在包层的规则网格结点上,构成以芯区中心为中心的周期性排布方式,每个基本单元的高掺杂区周围包裹着至少一层低折射率n1的环带形区域,且
所述芯区的材料为固体,并具有一定的折射率分布,或者为均匀材料。The material of the core region is solid and has a certain refractive index distribution, or is a uniform material.
所述芯区的结构构成如下:光纤正中心的基本单元和以正中心的基本单元为中心对称分布的两个基本单元被背景材料、掺氟玻璃材料或者稀土掺杂材料替代而形成。The structure of the core region is as follows: the basic unit at the center of the optical fiber and the two basic units symmetrically distributed around the basic unit at the center are replaced by background materials, fluorine-doped glass materials or rare earth doped materials.
所述芯区的结构如下:光纤正中心的一个基本单元被背景材料、掺氟玻璃材料或者稀土掺杂材料替代而形成;以正中心的基本单元对称分布的两个基本单元被应力掺杂材料替代而成。The structure of the core region is as follows: a basic unit in the center of the optical fiber is replaced by background material, fluorine-doped glass material or rare earth doped material; made instead.
所述芯区的结构如下:光纤正中心和以正中心的基本单元为中心对称分布的四个基本单元被背景材料、掺氟玻璃材料或者稀土掺杂材料替代而形成。The structure of the core region is as follows: the center of the optical fiber and the four basic units symmetrically distributed around the center are replaced by background materials, fluorine-doped glass materials or rare earth doped materials.
光纤正中心一个基本单元被背景材料、掺氟玻璃材料或者稀土掺杂材料替代而形成;以正中心的基本单元为中心对称分布的四个基本单元被应力掺杂材料替代而形成。One basic unit in the center of the optical fiber is replaced by background material, fluorine-doped glass material or rare earth doped material; four basic units symmetrically distributed around the central basic unit are replaced by stress-doped materials.
所述的包层基本单元,也称为掺杂单元,其中心位于正六边形网格的结点上,构成以芯区中心为中心的周期性排布方式;该基本单元组成为:基本单元的中心区域为高折射率掺杂的圆形区域;该高折射率掺杂区域的周围包括着低折射率掺杂的环带型区域;以及包裹圆形区域和环带型区域的正六边形区域,该六边形的中心即是高掺杂区域的中心,该六边形的大小满足和其它一系列相同的基本单元密排光纤端面微结构区域的形态。The cladding basic unit, also known as a doping unit, has its center located on the node of the regular hexagonal grid, forming a periodic arrangement centered on the center of the core region; the basic unit is composed of: basic unit The central region of the center is a circular region doped with a high refractive index; the high refractive index doped region is surrounded by a ring-shaped region doped with a low refractive index; and a regular hexagon surrounding the circular region and the ring-shaped region region, the center of the hexagon is the center of the highly doped region, and the size of the hexagon meets the shape of a series of other basic unit close-packed optical fiber end face microstructure regions.
所述包层基本单元形成的正六边形的圈数为三圈以上,优选3~8圈,更优选5~8圈。The number of turns of the regular hexagon formed by the cladding basic units is more than three, preferably 3-8 turns, more preferably 5-8 turns.
所述包层基本单元的高掺杂材料中心周围,至少包裹着一圈折射率小于背景材料折射率的材料。Around the center of the highly doped material of the cladding basic unit, there is at least a circle of material with a refractive index lower than that of the background material.
合理设计包层的基本单元的尺寸和折射率分布,可以使得该包层对于某些波段的光禁止,即形成了光子禁带效应。由于光纤芯区是有别于包层基本单元的材料,所以光纤芯区将对被包层禁止的光透明,从而现实了把光限制在芯区进行纵向传输的目的。Reasonable design of the size and refractive index distribution of the basic unit of the cladding can make the cladding prohibit the light of certain wavelength bands, that is, form the photon bandgap effect. Since the fiber core is a material different from the basic unit of the cladding, the fiber core will be transparent to the light forbidden by the cladding, thereby realizing the purpose of confining the light in the core for longitudinal transmission.
为保证所述光子带隙光纤在200nm~1800nm波段通光时光纤玻璃包层直径不大于400微米,背景材料折射率n0、高掺杂区材料折射率n2,需要满足
为保证所述光子带隙光纤在通讯窗口通光时低阶带隙的限制损耗和弯曲损耗都较低,背景材料折射率n0、高掺杂区周围包裹的低折射率材料n1之间,需要满足
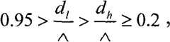
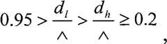
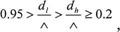
为保证所述光子带隙光纤在通讯窗口通光时低阶带隙的限制损耗和弯曲损耗都较低,所述光纤包层的基本单元中,高掺杂区直径dh、高掺杂区周围包裹的低掺杂区直径d1、光纤节距Λ即最近临两个基本单元中心之距,这三者之间需满足并且
由于包层基本单元的周期性排布方式已经确定、基本单元的掺杂浓度、基本单元的掺杂区域大小确定之后,这样的周期性排布方式所组成的晶格结构的光子能带结构就被决定了。为保证所述光子带隙光纤具备一定的偏振保持性能,针对所述光子带隙光纤的芯区形状及其折射率分布进行特别设计。光纤芯区被设计成结构的对称性破缺或者应力的对称性破缺的形式,从而使得光能被按光纤芯区形状的方式分配或者由于光弹效应而产生基模两个简并模式的分裂,产生高的双折射。使得光纤产生较高双折射的原因有两种,一是形状双折射,一是应力双折射。前者由光纤芯区结构的圆对称性破缺而产生,后者由引入光纤的热膨胀系数较大的材料即应力单元引起。Since the periodic arrangement of the cladding basic units has been determined, the doping concentration of the basic units, and the size of the doped region of the basic units are determined, the photonic band structure of the lattice structure formed by such a periodic arrangement is was decided. In order to ensure that the photonic bandgap fiber has a certain polarization maintaining performance, a special design is made for the shape of the core region and the distribution of the refractive index of the photonic bandgap fiber. The fiber core is designed to break the symmetry of the structure or the symmetry of the stress, so that the light energy is distributed according to the shape of the fiber core or the two degenerate modes of the fundamental mode are generated due to the photoelastic effect. Splitting, resulting in high birefringence. There are two reasons for the high birefringence of the fiber, one is the shape birefringence, and the other is the stress birefringence. The former is caused by the breaking of the circular symmetry of the fiber core structure, and the latter is caused by the material with a large thermal expansion coefficient introduced into the fiber, that is, the stress unit.
本发明中的高折射率材料一般为掺杂二氧化锗的石英玻璃,低折射率材料一般为掺杂氟元素的石英玻璃。本发明的制备方法可以分为三步:The high refractive index material in the present invention is generally quartz glass doped with germanium dioxide, and the low refractive index material is generally quartz glass doped with fluorine. The preparation method of the present invention can be divided into three steps:
第一步,制作设计要求的掺杂预制棒:该预制棒的折射率剖面对应所述光子带隙光纤包层区域基本单元的折射率剖面,把制作的掺杂预制棒拉制为要求的较细尺寸,一般拉制为直径在0.5mm~3mm的细丝;同时准备好直径相同和相异的纯石英玻璃丝19-35支,用于预制棒制作过程的间隙填充以及芯区的构成;The first step is to make the doped preform required by the design: the refractive index profile of the preform corresponds to the refractive index profile of the basic unit in the cladding region of the photonic bandgap fiber, and the prepared doped preform is drawn into the required relatively Fine size, generally drawn into filaments with a diameter of 0.5mm to 3mm; at the same time, prepare 19-35 pure quartz glass filaments with the same diameter and different diameters, which are used for gap filling in the preform production process and the composition of the core area;
第二步,以密堆积的方式排布上述拉制的细掺杂玻璃丝形成捆状物,并套入一个特定尺寸的套管,然后用掺杂材料或背景材料制成的细丝对芯区进行替换、用背景材料制作的细丝对所使用的套管内壁与细丝捆状物间的间隙进行填充并加固,最终形成所述光子带隙光纤的预制棒;In the second step, arrange the above-mentioned drawn fine doped glass filaments in a close-packed manner to form a bundle, and put them into a sleeve of a specific size, and then use the filaments made of doping materials or background materials to align the core area Replacement, filling and reinforcing the gap between the inner wall of the used sleeve and the bundle of filaments with filaments made of background materials, and finally forming the preform rod of the photonic bandgap optical fiber;
第三步,在一个普通光纤的拉丝塔上,设定合适的拉丝条件将上述预制棒拉丝制成本发明的光纤。The third step is to draw the above-mentioned preform into the optical fiber of the present invention by setting appropriate drawing conditions on a drawing tower of an ordinary optical fiber.
本发明的光纤可以应用于需要偏振光传输的领域,例如光纤陀螺仪,干涉计等;芯区进行稀土掺杂后可应用作为光纤放大器、光纤激光器的增益介质;相比较与带有空气孔的光子晶体光纤而言,本发明所述的光纤在与普通通信光纤、普通光纤跳线之间的熔接更为简便可靠,光纤的机械性能更加优异。本发明采用的基于专利CN1945363A,并对包层基本单元的折射率下陷包层的掺杂深度、宽度,以及高掺杂材料的掺杂浓度、宽度都做了进一步的改进,对其具体取值范围做了更为具体的限制。这些改进使得所述光子带隙光纤在低阶带隙的传输损耗传输损耗相比专利CN1945363A又降低了一个数量级,达到低于1dB/km的量级。当然相比与专利CN1945363A,本发明更主要的特点在于其具有偏振保持特性。The optical fiber of the present invention can be applied to fields that require polarized light transmission, such as fiber optic gyroscopes, interferometers, etc.; the core region can be used as a gain medium for fiber amplifiers and fiber lasers after being doped with rare earth; compared with those with air holes As far as the photonic crystal fiber is concerned, the fusion splicing of the optical fiber described in the present invention with ordinary communication optical fibers and ordinary optical fiber jumpers is more convenient and reliable, and the mechanical properties of the optical fiber are more excellent. The present invention is based on the patent CN1945363A, and further improves the doping depth and width of the cladding basic unit with a depressed refractive index, as well as the doping concentration and width of the highly doped material, and its specific value The scope is more specifically limited. These improvements make the transmission loss of the photonic bandgap fiber in the low-order bandgap lower by another order of magnitude compared with the patent CN1945363A, reaching an order of magnitude lower than 1dB/km. Of course, compared with the patent CN1945363A, the main feature of the present invention is that it has the property of maintaining polarization.
附图说明Description of drawings
图1是本发明的三芯结构(三个基本单元被替代形成芯区)光纤结构示意图。Fig. 1 is a schematic diagram of the fiber structure of the triple-core structure (three basic units are replaced to form the core region) of the present invention.
图2是本发明中心掺氟的三芯结构(三个基本单元被替代形成芯区)光纤结构示意图。Fig. 2 is a schematic diagram of the optical fiber with a three-core structure (three basic units are replaced to form a core) doped with fluorine in the center of the present invention.
图3是图1的模场分布图。FIG. 3 is a mode field distribution diagram of FIG. 1 .
图4是图1结构光纤的光子带隙图及其导模。Fig. 4 is a diagram of the photonic bandgap and its guided mode of the optical fiber with the structure in Fig. 1 .
图5是图1结构光纤在第一带隙内的双折射随归一化波长的关系。Fig. 5 is the relationship between the birefringence and normalized wavelength of the optical fiber with the structure of Fig. 1 in the first bandgap.
图6是图2的模场分布图。FIG. 6 is a mode field distribution diagram of FIG. 2 .
图7是图2结构光纤的光子带隙图及其导模。Fig. 7 is a diagram of the photonic bandgap and its guided mode of the optical fiber with the structure shown in Fig. 2 .
图8是图2结构光纤在第一带隙内的双折射随归一化波长的关系。Fig. 8 is the relationship between the birefringence and normalized wavelength of the optical fiber with the structure in Fig. 2 in the first bandgap.
具体实施方式Detailed ways
下面结合附图具体描述本发明的内容。The content of the present invention will be specifically described below in conjunction with the accompanying drawings.
采用全矢量二维的频域有限差分(FDFD)的方法(Shangping Guo,FengWu,Sacharia Albin,Hsiang Tai,and Robert Rogowski,″Loss anddispersion analysis of microstructured fibers by finite-differencemethod,″Opt.Express 12,3341-3352(2004))计算了全固光子带隙光纤的带隙图及其导模。Using full vector two-dimensional finite difference in frequency domain (FDFD) method (Shangping Guo, FengWu, Sacharia Albin, Hsiang Tai, and Robert Rogowski, "Loss and dispersion analysis of microstructured fibers by finite-difference method," Opt.Express 12, 3341 -3352(2004)) calculated the bandgap diagram and its guided modes of all-solid photonic bandgap fiber.
下面通过实施例为本发明做进一步的阐述,其目的在于方便于更好地理解本发明的内容。因此,所举之例并不限制本发明的保护范围。The present invention is further elaborated below by embodiment, and its purpose is to facilitate better understanding content of the present invention. Therefore, the examples given do not limit the protection scope of the present invention.
实施例一:Embodiment one:
图1是本发明三芯结构保偏全固光子带隙光纤的横截面结构示意图。该结构包括了芯区和包层区。芯区的结构是这样构成的:光纤正中心11及其两边对称的两个基本单元(12和13)共计三个基本单元被背景材料替代而形成,因此芯区具有均匀的一种材料组成,即背景材料,折射率为n0,一般为高纯的二氧化硅。光纤的包层区由包层基本单元也称为掺杂单元组成,其中心位于正六边形网格的结点上,构成以芯区中心为中心的周期性排布方式,如图1所示。该基本单元的中心区域为高折射率n2的圆形区域;该高折射率掺杂区域的周围包裹着低折射率n1的环带型区域。Fig. 1 is a schematic diagram of a cross-sectional structure of a polarization-maintaining all-solid photonic bandgap fiber with a three-core structure of the present invention. The structure includes a core region and a cladding region. The structure of the core area is formed in this way: the center of the optical fiber 11 and the two symmetrical basic units (12 and 13) on both sides, a total of three basic units are replaced by background materials, so the core area has a uniform material composition, That is, the background material has a refractive index of n0 and is generally high-purity silicon dioxide. The cladding area of the optical fiber is composed of cladding basic units, also known as doping units, whose centers are located on the nodes of regular hexagonal grids, forming a periodic arrangement centered on the center of the core area, as shown in Figure 1 . The central area of the basic unit is a circular area with a high refractive indexn2 ; the high refractive index doped area is surrounded by a ring-shaped area with a low refractive indexn1 .
所述包层基本单元形成的正六边形的圈数为5圈。The number of turns of the regular hexagon formed by the cladding basic unit is 5 turns.
上述材料折射率之间的关系为:高掺杂材料折射率n2>背景材料折射率n0>环带型区材料折射率n1。The relationship between the refractive indices of the above materials is: the refractive index n2 of the highly doped material > the refractive index n0 of the background material > the refractive index n1 of the annular zone material.
为保证所述光子带隙光纤在200nm~1800nm波段通光时光纤玻璃包层直径接近125微米,背景材料折射率n0、高掺杂区材料折射率n2之间,需要满足
为保证所述光子带隙光纤在通讯窗口通光时低阶带隙的限制损耗和弯曲损耗都较低,背景材料折射率n0、高掺杂区周围包裹的低折射率材料n1之间,需要满足
为保证所述光子带隙光纤在通讯窗口通光时低阶带隙的限制损耗和弯曲损耗都较低,所述光纤包层的基本单元中,高掺杂区直径dh、高掺杂区周围包裹的低掺杂区直径d1、光纤节距Λ即最近临两个基本单元中心距离,这三者之间需满足并且
本发明中的高掺杂材料为二氧化锗掺杂的石英玻璃,低折射率材料为掺杂氟元素的石英玻璃。本发明的制备方法如下:The highly doped material in the present invention is quartz glass doped with germanium dioxide, and the low refractive index material is quartz glass doped with fluorine. The preparation method of the present invention is as follows:
第一步,制作设计要求的掺杂预制棒:该预制棒的折射率剖面对应所述光子带隙光纤包层区域基本单元的折射率剖面,把制作的掺杂预制棒拉制为直径相同大小在1mm~1.5mm范围的细丝;同时准备好直径相同和相异的纯石英玻璃丝19~35支,用于预制棒制作过程的间隙填充以及芯区的构成;The first step is to make the doped preform required by the design: the refractive index profile of the preform corresponds to the refractive index profile of the basic unit in the cladding region of the photonic bandgap fiber, and the prepared doped preform is drawn to have the same diameter Filaments in the range of 1mm to 1.5mm; at the same time, prepare 19 to 35 pure quartz glass filaments with the same diameter and different diameters, which are used for gap filling in the preform production process and the composition of the core area;
第二步,以密堆积的方式排布上述拉制的细掺杂玻璃丝形成捆状物,并套入一个外径30mm内径21mm的套管,然后用背景材料制成的细丝对芯区进行替换、以及用背景材料制作的细丝对所使用的套管内壁与细丝捆状物间的间隙进行填充并加固,最终形成所述光子带隙光纤的预制棒;In the second step, arrange the above-mentioned drawn fine doped glass filaments in a close-packed manner to form a bundle, and put them into a casing with an outer diameter of 30mm and an inner diameter of 21mm, and then use the filaments made of the background material to treat the core area. Replacing and filling and reinforcing the gap between the inner wall of the used sleeve and the bundle of filaments with filaments made of background materials, and finally forming the prefabricated rod of the photonic bandgap optical fiber;
第三步,在一个普通光纤的拉丝塔上,设定合适的拉丝条件将上述预制棒拉丝制成本发明的光纤,外径125um。In the third step, on an ordinary optical fiber drawing tower, set appropriate drawing conditions to draw the above-mentioned preform to produce the optical fiber of the present invention, with an outer diameter of 125um.
为了更加具体地说明本发明的内容,我们针对该实施例一选定一组特定的参数计算该结构光纤的带隙图、导模,模场分布,以及带隙内的双折射。参数选定如下:In order to illustrate the content of the present invention more specifically, we select a set of specific parameters to calculate the bandgap diagram, guided mode, mode field distribution, and birefringence in the bandgap of the structural fiber for this embodiment. The parameters are selected as follows:
背景材料折射率n0=1.45Background material refractive index n0 =1.45
环带型区材料折射率n1=1.4413,对应的掺杂区直径为0.8ΛThe refractive index n1 of the material in the annular region is 1.4413, and the corresponding diameter of the doped region is 0.8Λ
高掺杂材料折射率n2=1.483,对应的掺杂区直径为0.6ΛThe refractive index n2 of the highly doped material is 1.483, and the corresponding diameter of the doped region is 0.6Λ
包层基本单元形成的正六边形的圈数为5圈The number of turns of the regular hexagon formed by the basic unit of the cladding is 5
计算结果由图3、4、5分别表达。图3为归一化波长λ/Λ为0.35处的模场分布图,图4为前三个带隙的光子带隙结构图及其导模,图5为一阶带隙内双折射随归一化波长的变化关系图。The calculation results are expressed in Figures 3, 4, and 5, respectively. Figure 3 is the mode field distribution diagram at the normalized wavelength λ/Λ of 0.35, Figure 4 is the photonic bandgap structure diagram of the first three bandgap and its guided mode, and Figure 5 is the birefringence regression in the first-order bandgap The relationship diagram of the change of wavelength.
实施例二:Embodiment two:
图2是本发明中心掺氟的三芯结构保偏全固光子带隙光纤的横截面结构示意图。该结构包括了芯区和包层区。芯区的结构是这样构成的:光纤正中心基本单元21由掺氟的石英玻璃材料代替,折射率为n01;两边对称的两个基本单元(22和23)两个基本单元被背景材料替代,折射率为n0。因此芯区具有两种材料组成,即位于正中心的掺氟石英材料的基本单元与位于它的两侧的背景材料组成的两个基本单元。光纤的包层区由包层基本单元、也称为掺杂单元组成,其中心位于正六边形网格的结点上,构成以芯区中心为中心的周期性排布方式,如图2所示。该基本单元的中心区域为高折射率n2的圆形区域;该高折射率掺杂区域的周围包括着低折射率n1的环带型区域。Fig. 2 is a cross-sectional schematic diagram of a polarization-maintaining all-solid photonic bandgap optical fiber with a three-core structure doped with fluorine in the center of the present invention. The structure includes a core region and a cladding region. The structure of the core area is formed as follows: the basic unit 21 in the center of the optical fiber is replaced by fluorine-doped quartz glass material with a refractive index of n01 ; the two basic units (22 and 23) symmetrical on both sides are replaced by the background material , the refractive index is n0 . Therefore, the core area has two kinds of materials, that is, the basic unit of the fluorine-doped quartz material in the center and the two basic units of the background material on both sides. The cladding area of the optical fiber is composed of cladding basic units, also known as doping units, whose centers are located on the nodes of regular hexagonal grids, forming a periodic arrangement centered on the center of the core area, as shown in Figure 2 Show. The central area of the basic unit is a circular area with a high refractive indexn2 ; the high refractive index doped area is surrounded by a ring-shaped area with a low refractive indexn1 .
所述包层基本单元形成的正六边形的圈数为7圈。The number of turns of the regular hexagon formed by the cladding basic unit is 7 turns.
上述材料折射率之间的关系为:高掺杂材料折射率n2>背景材料折射率n0>芯区正中心21的折射率n01>环带型区材料折射率n1。The relationship between the refractive indices of the above materials is: the refractive index n2 of the highly doped material > the refractive index n0 of the background material > the refractive index n01 of the center 21 of the core region > the refractive index n1 of the annular region material.
为保证所述光子带隙光纤在200nm~1800nm波段通光时光纤玻璃包层直径接近125微米,背景材料折射率n0、高掺杂区材料折射率n2之间,需要满足
为保证所述光子带隙光纤在通讯窗口通光时低阶带隙的限制损耗和弯曲损耗都较低,背景材料折射率n0、高掺杂区周围包裹的低折射率材料n1之间,需要满足
为保证所述光子带隙光纤在通讯窗口通光时低阶带隙的限制损耗和弯曲损耗都较低,所述光纤包层的基本单元中,高掺杂区直径dh、高掺杂区周围包裹的低掺杂区直径d1、光纤节距Λ即最近临两个基本单元中心距离,这三者之间需满足并且
本发明中的高掺杂材料为二氧化锗掺杂的石英玻璃,低折射率材料为掺杂氟元素的石英玻璃。本发明的制备方法如实施例一所述。The highly doped material in the present invention is quartz glass doped with germanium dioxide, and the low refractive index material is quartz glass doped with fluorine. The preparation method of the present invention is as described in Example 1.
为了更加具体地说明本发明的内容,我们也针对该实施例二选定一组特定的参数计算该结构光纤的带隙图、导模,模场分布,以及带隙内的双折射。参数选定如下:In order to describe the content of the present invention more specifically, we also select a set of specific parameters for the second embodiment to calculate the bandgap diagram, guided mode, mode field distribution, and birefringence in the bandgap of the structural fiber. The parameters are selected as follows:
背景材料折射率n0=1.45Background material refractive index n0 =1.45
环带型区材料折射率n1=1.4413,对应的掺杂区直径为0.8ΛThe refractive index n1 of the material in the annular region is 1.4413, and the corresponding diameter of the doped region is 0.8Λ
高掺杂材料折射率n2=1.483,对应的掺杂区直径为0.4ΛThe refractive index of the highly doped material is n2 =1.483, and the corresponding diameter of the doped region is 0.4Λ
芯区正中心基本单元掺氟材料区折射率n01=1.447Refractive index n01 of the basic unit fluorine-doped material region in the center of the core region = 1.447
包层基本单元形成的正六边形的圈数为5圈The number of turns of the regular hexagon formed by the basic unit of the cladding is 5
计算结果由图6、7、8分别表达。图6为归一化波长λ/Λ为0.25处的模场分布图,图7为前三个带隙的光子带隙结构图及其导模,图8为一阶带隙内双折射随归一化波长的变化关系图。The calculation results are expressed in Figures 6, 7, and 8, respectively. Figure 6 is the mode field distribution diagram at the normalized wavelength λ/Λ of 0.25, Figure 7 is the photonic bandgap structure diagram of the first three bandgap and its guided mode, and Figure 8 is the birefringence regression in the first-order bandgap The relationship diagram of the change of wavelength.
| Application Number | Priority Date | Filing Date | Title |
|---|---|---|---|
| CN200910272790ACN101713843A (en) | 2009-11-17 | 2009-11-17 | Low-loss all-solid photonic bandgap fiber with polarization maintaining properties |
| Application Number | Priority Date | Filing Date | Title |
|---|---|---|---|
| CN200910272790ACN101713843A (en) | 2009-11-17 | 2009-11-17 | Low-loss all-solid photonic bandgap fiber with polarization maintaining properties |
| Publication Number | Publication Date |
|---|---|
| CN101713843Atrue CN101713843A (en) | 2010-05-26 |
| Application Number | Title | Priority Date | Filing Date |
|---|---|---|---|
| CN200910272790APendingCN101713843A (en) | 2009-11-17 | 2009-11-17 | Low-loss all-solid photonic bandgap fiber with polarization maintaining properties |
| Country | Link |
|---|---|
| CN (1) | CN101713843A (en) |
| Publication number | Priority date | Publication date | Assignee | Title |
|---|---|---|---|---|
| CN102385104A (en)* | 2011-10-12 | 2012-03-21 | 深圳大学 | Photonic bandgap fiber (PBGF) and frequency-shifted fiber laser |
| CN104678484A (en)* | 2014-12-26 | 2015-06-03 | 长飞光纤光缆股份有限公司 | Multi-fiber core single-mode optical fiber and manufacturing method thereof |
| WO2016015627A1 (en)* | 2014-07-28 | 2016-02-04 | 深圳大学 | Large absolute band-gap square-lattice photonic crystal based on single-rod cylinders and circular cylinders |
| Publication number | Priority date | Publication date | Assignee | Title |
|---|---|---|---|---|
| CN102385104A (en)* | 2011-10-12 | 2012-03-21 | 深圳大学 | Photonic bandgap fiber (PBGF) and frequency-shifted fiber laser |
| WO2016015627A1 (en)* | 2014-07-28 | 2016-02-04 | 深圳大学 | Large absolute band-gap square-lattice photonic crystal based on single-rod cylinders and circular cylinders |
| CN104678484A (en)* | 2014-12-26 | 2015-06-03 | 长飞光纤光缆股份有限公司 | Multi-fiber core single-mode optical fiber and manufacturing method thereof |
| CN104678484B (en)* | 2014-12-26 | 2018-08-07 | 长飞光纤光缆股份有限公司 | A kind of more core single-mode fibres and its manufacturing method |
| Publication | Publication Date | Title |
|---|---|---|
| US7266275B2 (en) | Nonlinear optical fibre method of its production and use thereof | |
| US20050238301A1 (en) | Method of drawing microstructured glass optical fibres from a preform | |
| EP2056135B1 (en) | Optical fiber and light guide | |
| EP2293126A1 (en) | Holey fiber | |
| EP2071369A1 (en) | Holey fiber | |
| Ma et al. | Highly birefringent anti-resonant hollow-core fiber with a low loss | |
| Michalik et al. | Dispersion management in hybrid optical fibers | |
| Zhu et al. | Nested low-loss hollow core fiber | |
| CN107490820B (en) | An all-solid-state large mode area near-zero dispersion flat microstructured fiber | |
| Lee et al. | Guided wave analysis of hollow optical fiber for mode-coupling device applications | |
| Wang et al. | Design and analysis for large-mode-area photonic crystal fiber with negative-curvature air ring | |
| CN101713843A (en) | Low-loss all-solid photonic bandgap fiber with polarization maintaining properties | |
| Xu et al. | Crossings in photonic crystal fiber with hybrid core and design of broadband dispersion compensating photonic crystal fiber | |
| CN1971323A (en) | Large mode field double-cladding single-mode optical fiber | |
| CN100426023C (en) | Full solid band-gap optical fiber with low limited loss and low bending loss | |
| Hao et al. | Wideband low loss bending-resistance hollow-core fiber with hybrid claddings of antiresonance and photonic bandgap guidance mechanisms | |
| CN101236272A (en) | Pure silica core-cladding mode resonant special optical fiber and its preparation method | |
| Zhao et al. | Properties of a novel hybrid hollow core photonic crystal fiber | |
| Kliros et al. | Prediction of Macrobending and splice losses for photonic crystal fibers based on the effective index method | |
| Chen et al. | Design of all-solid large-mode area microstructured-core optical fibers | |
| Zehua et al. | Ultralow bending-loss micro-structured fiber with large-mode-area | |
| Rahman et al. | THEORETICAL ANALYSIS OF SQUARE STRUCTURED PHOTONIC CRYSTAL FIBRE USING THE GOLDEN RATIO | |
| Li et al. | Nano-engineered optical fibers and applications | |
| van Eijkelenborg et al. | MICROSTRUCTURED POLYMER OPTICAL FIBRES-the exploration of a new class of fibres | |
| Cheng et al. | A Hollow-Core Anti-Resonant Fiber with Ultralow Loss and Fourfold Semi-Tube Design |
| Date | Code | Title | Description |
|---|---|---|---|
| C06 | Publication | ||
| PB01 | Publication | ||
| C10 | Entry into substantive examination | ||
| SE01 | Entry into force of request for substantive examination | ||
| C02 | Deemed withdrawal of patent application after publication (patent law 2001) | ||
| WD01 | Invention patent application deemed withdrawn after publication | Open date:20100526 |