Movatterモバイル変換


[0]ホーム

URL:


CN101660993B - Method and device for measuring ladle long-nozzle steel slag by resonance-point balance method - Google Patents

Method and device for measuring ladle long-nozzle steel slag by resonance-point balance method
Download PDF

Info

Publication number
CN101660993B
CN101660993BCN2008100422987ACN200810042298ACN101660993BCN 101660993 BCN101660993 BCN 101660993BCN 2008100422987 ACN2008100422987 ACN 2008100422987ACN 200810042298 ACN200810042298 ACN 200810042298ACN 101660993 BCN101660993 BCN 101660993B
Authority
CN
China
Prior art keywords
signal
slag
nozzle
ladle
steel
Prior art date
Legal status (The legal status is an assumption and is not a legal conclusion. Google has not performed a legal analysis and makes no representation as to the accuracy of the status listed.)
Active
Application number
CN2008100422987A
Other languages
Chinese (zh)
Other versions
CN101660993A (en
Inventor
唐安祥
申屠理锋
张立
钟志敏
顾文兵
蒋际欢
冯爱萍
邴建军
王勇
Current Assignee (The listed assignees may be inaccurate. Google has not performed a legal analysis and makes no representation or warranty as to the accuracy of the list.)
Baoshan Iron and Steel Co Ltd
Original Assignee
Baoshan Iron and Steel Co Ltd
Priority date (The priority date is an assumption and is not a legal conclusion. Google has not performed a legal analysis and makes no representation as to the accuracy of the date listed.)
Filing date
Publication date
Application filed by Baoshan Iron and Steel Co LtdfiledCriticalBaoshan Iron and Steel Co Ltd
Priority to CN2008100422987ApriorityCriticalpatent/CN101660993B/en
Publication of CN101660993ApublicationCriticalpatent/CN101660993A/en
Application grantedgrantedCritical
Publication of CN101660993BpublicationCriticalpatent/CN101660993B/en
Activelegal-statusCriticalCurrent
Anticipated expirationlegal-statusCritical

Links

Images

Landscapes

Abstract

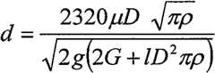
The invention relates to a method and a device for measuring steel slag carried by molten steel in the tapping process of continuous casting ladles. The method for measuring ladle long-nozzle steel slag by a resonance-point balance method establishes a measurement model of molten steel and steel slag according to different vibration produced when the molten steel and the steel slag flow in a long nozzle, wherein the measurement model is shown as follow: d<(2320muD(pi*rho)<1/2>)/(2g(2G+lD<2>pi*rho))<1/2>. If the opening degree d of a sliding nozzle meets the conditions of the above formula, the molten steel flowing through the long nozzle is laminar flow little in impact vibration on the wall of a pipe. When the opening degree d of the sliding nozzle does not meet the conditions of the formula, namely when the opening degree d of the sliding nozzle is equal to or greater than a value in the formula, the steel slag appears in the molten steel and produces turbulent flow in the long nozzle to cause the intense vibration of the pipe. The invention can measure vibration signals of the ladle long nozzle on line, establish a steel-slag model on line according to the vibration signals obtained by measurement and compare the established steel-slag model with the steel-slag model in computer memory so as to close the sliding nozzle in time when the content of the steel slag reaches a set value and send out alarm and control signals.

Description

Ladle long-nozzle steel slag by resonance-point balance method measuring method and device
Technical field
Carry the measuring method and the device of slag when the present invention relates to continuous casting steel and contracting out steel in the molten steel secretly.
Background technology
In order to improve the quality of steel, reduce cost, in the production run of steel-making continuous casting, require big bag (ladle, hereinafter to be referred as big bag) flow into the standard that slag content in the tundish molten steel reaches technological requirement, for this reason, need be wrapping installation slag measurement mechanism greatly, so that when slag occurs, in time close slide gate nozzle.
The slag measurement mechanism that uses adopts the solenoid method at present, its measuring principle is at the tapping hole place of ladle slide gate in billet a solenoid to be installed, in coil, feed field power supply, when slag occurs, the magnetic flux of coil can change, thereby the terminal voltage that causes solenoid changes, and detects the moment that slag flows out from ladle thus.The shortcoming of this method is: coil will be with special alloy material manufacturing, cost height.Coil is installed in the top operating ambient temperature height of steel ladle sliding water gap, and certain limit is arranged the serviceable life of coil, often damages, and changes frequent.Simultaneously can not adopt the method for solenoid to measure, for example in VD stove smelting process in some special process occasions.
Summary of the invention
The object of the present invention is to provide a kind of ladle long-nozzle steel slag by resonance-point balance method measuring method and device, this measuring method and device can be in continuous casting production process the vibration signal of online in real time ladle long nozzle when detecting continuous casting steel and contracting out steel, thereby obtain the slag content that molten steel is carried secretly, so that when slag content reaches setting value, in time close slide gate nozzle, and send and report to the police and control signal.
The present invention is achieved in that a kind of ladle long-nozzle steel slag by resonance-point balance method measuring method, is that the vibration that produces when flowing in long nozzle according to molten steel and slag is different, sets up the measurement model of molten steel and slag; Measurement model is:
d<2320&mu;D&pi;&rho;2g(2G+lD2&pi;&rho;)---(8)
In the formula: d: the aperture of slide gate nozzle;
D: wrap inner molten steel diameter greatly;
G: wrap inner steel quality greatly;
ρ: wrap inner molten steel proportion greatly;
L: long nozzle length;
μ: molten steel viscosity;
G: acceleration of gravity;
When if the aperture d of slide gate nozzle satisfies the condition of formula (8), the molten steel that flows through in the long nozzle is a laminar flow, and is smaller to the impact shock of tube wall; When the aperture d of slide gate nozzle does not satisfy the condition of formula (8), when promptly the aperture d of slide gate nozzle was equal to or greater than value in the formula (8), showing had slag to occur in the molten steel, because disturbance meeting turbulization in long nozzle of slag causes the fierce vibration of pipeline.
Described ladle long-nozzle steel slag by resonance-point balance method measuring method comprises the steps:
The first, measure preparation
(1) the ladle weight sensor that is installed in ladle bottom is measured the ladle weight signal, the electric signal of the sensor output ladle weight signal processor of feeding, the output signal of the ladle weight signal processor central switch board of feeding;
(2) in central switch board, the ladle weight signal data collecting card of feeding converts digital signal to, sends into computing machine, and computing machine is handled according to ladle weight signal data G and the production equipment condition data K three class situations of dividing:
A:K=0 returns step (1) and waits for K=1, and wherein: K=0, production equipment are not ready to K=1, and production equipment is ready to;
B:K=1; G〉G1, return step (1) and wait for G<G1, wherein G1 is a ladle weight setting value;
C:K=1; G<G1 enters measurement parameter and adjusts program (3);
(3) be installed in the tundish weight sensor of tundish bottom, the weight of measuring tundish also is transferred to tundish weight signal processor, the output signal of the tundish weight signal processor central switch board of feeding;
(4) in central switch board, the tundish weight signal data collecting card of feeding converts digital signal to and sends into computing machine, computing machine is according to the tundish molten steel gravimetric value of current tundish gravimetric value and long nozzle length correspondence, adjust slide gate nozzle aperture, the length at the fixed length mouth of a river by operation of oil cylinde slide gate nozzle aperture device;
(5) adjust the aperture d of slide gate nozzle according to the weight of current ladle molten steel, when aperture d satisfies formula (8), promptly aperture d is ascending adjusts tod=2320&mu;D&pi;&rho;2g(2G+lD2&pi;&rho;)The time, enter the slag process of measurement, otherwise return step (3);
The second, begin to measure
(6) be installed in long nozzle vibration measurement sensor on the tundish mechanical arm, measure the vibration signal of ladle long nozzle, the electric signal of the sensor output vibration signal processing device of feeding, the output signal of the vibration signal processing device central switch board of feeding;
(7) set up the original slag model stage, feed data collecting card in the central switch board of the vibration signal of long nozzle converts digital signal to and sends into computing machine, and computing machine is set up original slag model according to the vibration signal data and the production technology data of long nozzle;
(8) come into operation the stage at measuring equipment, feed data collecting card in the central switch board of the vibration signal of long nozzle converts digital signal to and sends into computing machine, computing machine according to the vibration signal data of long nozzle and production technology online data set up model and with original slag model relatively, handle according to the comparative result three class situations of dividing then:
A: when the online distance of setting up model and original slag model is L1, when promptly not having slag, the online again model of setting up;
B: when the online distance of setting up model and original slag model is L2, big steel slag is arranged promptly, computing machine sends alerting signal;
C: when the online distance of setting up model and original slag model is L3, a small amount of slag is arranged promptly, enter slide gate nozzle optimal control program;
(9) close slide gate nozzle after the slide gate nozzle optimal control EOP (end of program), process of measurement finishes.
A kind of ladle long-nozzle steel slag by resonance-point balance method measurement mechanism comprises part of data acquisition, systems control division branch, execution and servicing unit;
Part of data acquisition comprises: be installed in the ladle weight sensor on the ladle support of ladle turret, ladle weight signal processor; Tundish weight sensor in the middle of being installed on the tundish base of hired car, tundish weight signal processor; Be installed on the tundish mechanical arm, be used to measure the vibration transducer of ladle long nozzle vibration signal, vibration sensor signal processor; Be installed in the data collecting card in the central switch board; Signal preprocessor is the voltage signal that the current signal of sensor is converted to the data collecting card compatibility, plays the effect of conversion of signals; Data collecting card is converted to the treatable digital quantity of computing machine with the analog signals that collects by A/D;
The systems control division branch comprises computing machine, digital quantity I/O DI/O card, Signal Spacing amplifier, the servoamplifier that is installed in the central switch board; Digital quantity I/O DI/O card is installed on the computing machine of central switch board, is used to accept switching value signal or output switching value control signal; The Signal Spacing amplifier is isolated the input/output signal and the external device of computing machine; The computing machine output signal connects servoamplifier, and servoamplifier connects oil cylinder;
Execution and servicing unit comprise oil cylinder, warning device and guidance panel, oil cylinder control slide gate nozzle aperture device, and computing machine output signal device also taking alarm, guidance panel connects computing machine.
Ladle long-nozzle steel slag by resonance-point balance method measuring method of the present invention and device are to design according to the pipeline fluid vibration principle, and the water hammer of having utilized pipeline fluid to produce judges that slag flows out the moment of big bag, has set up the measurement model of molten steel and slag.The slag model of setting up is placed in the calculator memory, after equipment comes into operation, on-line measurement ladle long nozzle vibration signal, according to the online slag model of setting up after the vibration signal extraction feature that measures, and compare with the slag model in the calculator memory, thereby obtain the slag content that molten steel is carried secretly, so that central control system is sent control signal and is in time closed steel ladle sliding water gap when slag content reaches setting value, avoid slag to flow into tundish, reach the purpose that improves steel quality, and central control system is sent alerting signal.
Description of drawings
Fig. 1 is a ladle long-nozzle steel slag by resonance-point balance method measurement mechanism structural representation of the present invention;
Fig. 2 is a long nozzle vibration survey Signal Processing process flow diagram of the present invention;
Fig. 3 measures process flow diagram for ladle long-nozzle steel slag by resonance-point balance method of the present invention;
Fig. 4 is a tundish Liquid Steel Level Control process flow diagram of the present invention.
Among the figure: 1 ladle (big bag), 2 ladle weight sensors, 3 oil cylinders, 4 slide gate nozzles, 5 servoamplifiers, 6 vibration measurement sensors, 7 ladle long nozzles, 8 tundish, 9 tundish weight sensors, 10 tundish weight signal processors, 11 vibration signal processing devices, 12 ladle weight signal processors, 13 guidance panels, 14 mechanical arms, 15 warning devices, 16 central switch boards.
Embodiment
The invention will be further described below in conjunction with the drawings and specific embodiments.
A kind of ladle long-nozzle steel slag by resonance-point balance method measuring method is that the vibration that produces when flowing in long nozzle according to molten steel and slag is different, sets up the measurement model of molten steel and slag; Measurement model is:
d<2320&mu;D&pi;&rho;2g(2G+lD2&pi;&rho;)---(8)
Molten steel flows in pipeline two states, and a kind of is laminar flow, and a kind of is turbulent flow, and laminar flow is stable flowing, and smaller to the impulsive force of tube wall, the Analysis of Pipe Vibrations energy is also smaller, and this situation occurs under the less situation of molten steel media stabilize velocity ratio.The vibration that produces when slag occurs is more violent, judges the outflow moment of slag according to the vibration performance of slag generation.In the ladle pouring later stage, molten steel forms whirlpool in the inner meeting of ladle, and slag is involved in molten steel, flows into tundish.Before not occurring, slag wishes in the long nozzle pipeline it is laminar flow, disturbance owing to slag when slag occurs turbulent flow occurs in the long nozzle pipeline, owing to the appearance of turbulent flow causes the high vibration of pipeline, thereby judge the outflow moment of slag according to the measurement model of pipeline.
Measurement model of the present invention designs according to the pipeline fluid vibration principle.
When valve in pressure flow body process pipeline or contraction pipeline, exit at valve or contraction pipeline can form impact zone, because fluid makes pipeline produce vibration to the percussive action of tube wall and with hammering sound, the big ups and downs that this pipeline medium or flow velocity cause when changing, and the phenomenon of propagating in the whole pipe length range is referred to as water hammer.To studies show that of water hammer, when the pressure differential of the length of pipeline and pipe ends and flow through the medium of pipeline when constant, the Analysis of Pipe Vibrations rule is constant.And when the pressure differential of the length of pipeline and pipe ends and when flowing through the media variations of pipeline, the Analysis of Pipe Vibrations rule also changes, and the water hammer that the present invention has utilized pipeline fluid to produce judges that slag flows out the moment of big bag.
Can know by reynolds experiment, it is relevant with the viscosity and the fluid velocity of pipe diameter, fluid which kind of motion state fluid presents, if pipe diameter d and fluid motion viscosity v are certain, claim that then the average velocity when laminar flow becomes turbulent flow is last critical velocity, with υcExpression; Average velocity when turbulent flow becomes laminar flow be lower critical speed with
Figure G2008100422987D00061
Expression,&upsi;c&prime;>&upsi;c.If pipe diameter d or fluid motion viscosity μ change, but no matter d, v, υcHow to change, and corresponding dimensionless is counted υcD/v is always certain.With υcThis dimensionless number of d/v is called Reynolds number ReHave corresponding to upper and lower critical velocity:
Reynolds number:Re=&upsi;d&mu;
Last critical Reynolds numberRec=&upsi;cd&mu;
The lower critical Reynolds number:Rec&prime;=&upsi;c&prime;d&mu;
Reynolds is learnt by the mensuration for pipe flow:
The lower critical Reynolds number:Rec&prime;=13800~40000
       Rec=2320
More than the lower critical Reynolds number of explanation pipe flow is a definite value, and the last critical Reynolds number that laminar flow transfers turbulent flow to is relevant with the disturbance in the external world.When the molten steel of ladle flowed out, MOLTEN STEEL FLOW was not more stable when slag occurred, and turbulent flow takes place when slag occurs, and therefore selected to go up critical Reynolds numberAs being the laminar flow or the discrimination standard of turbulent flow fluidised form, that is:
Re<2320 (1)
According to continuous casting ladle device data, calculate the condition of molten steel, that is: at long nozzle generation laminar flow
Rec=&upsi;td&mu;<2320---(2)
In the formula: d: the aperture of slide gate nozzle;
μ: molten steel viscosity;
υt: critical velocity on the molten steel;
Get by formula (2):&upsi;t<&mu;2320d---(3)
Get: D: wrap inner molten steel diameter greatly;
S: slide gate nozzle area;
H: wrap inner molten steel height greatly;
G: wrap inner steel quality greatly;
ρ: wrap inner molten steel proportion greatly;
P: wrap inner ferrostatic pressure greatly;
L: long nozzle length;
Then have: wrap inner molten steel area greatly:
s=12D2&pi;---(4)
The inner molten steel weight of big bag:
G=12D2&pi;H&rho;---(5)
Get by formula (5), wrap inner molten steel height greatly:
H=2GD2&pi;&rho;---(6)
Speed when the inner molten steel of big bag arrives the long nozzle exit:
vt=2g(H+l)=2g((2G&pi;D2&rho;)+l)---(7)
Formula (7) is carried out computing, and, after the computing, obtains formula (3) substitution:
vt2=2g((2G&pi;&rho;D2)+l)
(&mu;2320d)2>2g(2GD2&pi;&rho;+l)=2g(2G+lD2&pi;&rho;)D2&pi;&rho;
d2<(2320&mu;)2&pi;&rho;D22g(2G+lD2&pi;&rho;)
d<2320&mu;D&pi;&rho;2g(2G+lD2&pi;&rho;) (8)
Wherein: g is an acceleration of gravity;
When if the aperture d of slide gate nozzle satisfies the condition of formula (8), the molten steel that flows through in the long nozzle is a laminar flow, and is smaller to the impact shock of tube wall; When the aperture d of slide gate nozzle does not satisfy the condition of formula (8), when promptly the aperture d of slide gate nozzle was equal to or greater than value in the formula (8), showing had slag to occur in the molten steel, because the disturbance of slag will turbulization cause the fierce vibration of pipeline in long nozzle.
By formula (8) as can be seen: the aperture d of slide gate nozzle is big inner steel quality G of bag and long nozzle length l function.The aperture d of slide gate nozzle, wrap inner steel quality G greatly and can realize by setting value, long nozzle one end is fixed on the ladle, the other end is immersed in the molten steel of tundish, length l changes with the molten steel liquid level of tundish, the model of vibration M of slag be the vibration frequency f of long nozzle and the function M=F of Oscillation Amplitude a (f, a), vibration frequency f is the function f=F (l) of long nozzle length l, the length l that changes long nozzle can change resonance frequency, has also just changed the model of vibration of long nozzle; That is to say that the measurement model of long nozzle and the model of vibration of molten steel and slag are corresponding.Guarantee that different ladles has similar model of vibration, can realize by the aperture d of adjustment slide gate nozzle and the length l of long nozzle.
Referring to Fig. 1, a kind of ladle long-nozzle steel slag by resonance-point balance method measurement mechanism comprises part of data acquisition, systems control division branch, execution and servicing unit;
Part of data acquisition comprises: be installed in the ladle weight sensor 2 on the ladle support of ladle 1 panoramic table, ladle weight signal processor 12; Tundish weight sensor 9 in the middle of being installed on tundish 8 bases of hired car, tundish weight signal processor 10; Be installed on the tundish mechanical arm 14, be used to measure the vibration measurement sensor 6 of ladle long nozzle 7 vibration signals, vibration sensor signal processor 11; Be installed in the data collecting card in the central switch board 16; Signal preprocessor the 10,11, the 12nd is converted to the voltage signal of data collecting card compatibility with the current signal of sensor 2,6,9, plays the effect of conversion of signals, and wherein sensor is with the electric signal output of 4-20mA; Data collecting card is converted to the treatable digital quantity of computing machine with the analog signals that collects by A/D.
The systems control division branch comprises computing machine, digital quantity I/O DI/O card, Signal Spacing amplifier, the servoamplifier that is installed in the central switch board 16; Digital quantity I/O DI/O card is installed on the computing machine of central switch board 16, is used to accept switching value signal or output switching value control signal; The Signal Spacing amplifier is isolated the input/output signal and the external device of computing machine, has guaranteed that on-site signal and central controller signal do not disturb mutually, have increased the stability of system; The computing machine output signal connects servoamplifier 5, and servoamplifier 5 connects oil cylinder 3.
Execution and servicing unit comprise oil cylinder 3, warning device 15 and guidance panel 13, and oil cylinder 3 is performance elements of realizing slide gate nozzle 4 controls, is used to open and close the operation of slide gate nozzle 4; Guidance panel 13 provides the ease of Use device to operating personnel, is used to realize the artificial still switching of automated manner of tundish liquid level control employing, the functions such as setting of liquid level control target; Warning device 15 is to send alerting signal when the slag content that measures surpasses the limit range of setting, and sound and luminous two kinds of warnings are provided simultaneously.
Referring to Fig. 1, after molten steel flowed out from big bag 1, the pipeline that process slide gate nozzle 4 and long nozzle 7 constitute entered tundish 8, and slide gate nozzle 4 is the contraction positions in the pipeline, when molten steel causes the molten steel flow speed acute variation when slide gate nozzle 4 flows into long nozzles 7, thereby cause long nozzle 7 high vibrations.The vibration signal of long nozzle 7 is delivered to the sensor 6 that is installed in mechanical arm 14 inside by mechanical arm 14, sensor 6 converts vibrational energy to electric signal, through vibration signal processing device 11, give the centre computing machine, analytical calculation obtains the slag degree in central processing computer, result of calculation and given slag degree value comparison, when the slag content of measuring during greater than set-point, central processing computer sends alerting signal, and close slide gate nozzle 4 automatically, finish and measure and control task.Owing to flow through the medium difference of pipeline, cause that the Analysis of Pipe Vibrations pattern is also different.Big bag 1 is being cast early stage, and flowing through long nozzle 7 is pure molten steel, and its measurement model is the vibration that pure molten steel causes.Big bag 1 is in the casting later stage, molten steel can produce rotational flow in big bag 1, porch at slide gate nozzle 4 forms vortex, the slag that is suspended in above the molten steel is involved in molten steel outflow long nozzle 7 with vortex, at this moment, flow through the potpourri that long nozzle 7 is molten steel and slag, its measurement model is the vibration that pure molten steel and slag cause.Utilize these two kinds of different measurement models can judge whether slag flows out from big bag 1.
Referring to Fig. 2, for long nozzle 7 vibration survey Signal Processing flow processs be: vibration measurement sensor 6 detects the vibration signal of long nozzle 7, vibration signal amplifies rear feed through filtering and gives the Signal Separation part, in Signal Separation part the division of signal of the heterogeneity signal characteristic that comes out to feed is extracted part, carry out the online model of setting up according to different signal characteristics, in pattern recognition program, the slag model of online foundation and given slag model are compared, the result that will discern in the control written-out program is as the input variable of control system, and control system is closed ladle slide gate in billet 4 and realized measuring and control.
A kind of ladle long-nozzle steel slag by resonance-point balance method measuring method comprises the steps:
The first, measure preparation
(1) the ladle weight sensor 2 that is installed in ladle 1 bottom is measured the ladle weight signals, the electric signal of the sensor 2 outputs ladle weight signal processor 12 of feeding, the output signal of the ladle weight signal processor 12 central switch board 16 of feeding;
(2) in central switch board 16, the ladle weight signal data collecting card of feeding converts digital signal to, sends into computing machine, and computing machine is handled according to ladle weight signal data G and the production equipment condition data K three class situations of dividing:
A:K=0 returns step (1) and waits for K=1; Wherein: K=0, show that production equipment is not ready to, K=1 shows that production equipment is ready to;
B:K=1; G〉G1, return step (1) and wait for G<G1; Wherein: G1 is a ladle weight setting value;
C:K=1; G<G1 enters measurement parameter and adjusts program (3);
(3) be installed in the tundish weight sensor 9 of tundish 8 bottoms, the weight of measuring tundish also is transferred to tundish weight signal processor 10, the output signal of the tundish weight signal processor 10 central switch board 16 of feeding;
(4) in central switch board 16, the tundish weight signal data collecting card of feeding converts digital signal to and sends into computing machine, computing machine is according to the tundish molten steel gravimetric value of current tundish gravimetric value and long nozzle length correspondence, adjust slide gate nozzle aperture, the length at the fixed length mouth of a river by oil cylinder 3 operation slide gate nozzle aperture devices.
(5) adjust the aperture d of slide gate nozzle according to the weight of current ladle molten steel, when aperture d satisfies formula (8), promptly the aperture d of slide gate nozzle is ascending adjusts tod=2320&mu;D&pi;&rho;2g(2G+lD2&pi;&rho;)The time, enter the slag process of measurement, otherwise return step (3).
The second, begin to measure
(6) be installed in long nozzle vibration measurement sensor 6 on the tundish mechanical arm 14, measure the vibration signal of ladle long nozzle 7, the electric signal of the sensor 6 outputs vibration signal processing device 11 of feeding, the output signal of the vibration signal processing device central switch board 16 of feeding.
(7) set up the original slag model stage, feed data collecting card in the central switch board 16 of the vibration signal of long nozzle 7 converts digital signal to and sends into computing machine, computing machine is set up original slag model according to the vibration signal data and the production technology data of long nozzle, and deposits in the computing machine.
Finishing with the molten steel casting of a ladle below is to take turns control cycle, and its workflow is referring to Fig. 3, Fig. 4, and step is as follows:
(1) after the ladle that will pour into a mould enters working position, read condition of work signal K, control system judges whether to carry out the control of tundish liquid level according to parameter of setting and current on-the-spot process conditions, when the on-the-spot process conditions of K=1 meet the demands, can carry out liquid level control back system and just enter a liquid level control flow of taking turns tundish.This casting cycle is after molten steel flows out from big bag 1, and the pipeline that process slide gate nozzle 4 and long nozzle 7 constitute enters tundish 8, and molten steel is a clean steel water.
(2) behind the liquid level control flow that enters tundish, referring to Fig. 4, at first measure tundish molten steel weight, and calculate current liquid level according to molten steel weight; Read the desired value and the control accuracy of the tundish liquid level control of setting then; Again according to the relation of level gauging value and setting range, carry out corresponding control, the situation that is divided three classes is handled: when measured value is tundish liquid level when too high greater than setting range, reduce the liquid level operation by turning down the molten steel flow that steel ladle sliding water gap reduces to flow into tundish; When measured value less than setting range be the tundish liquid level too hour, increase and flow into the liquid level operation that raises of tundish molten steel flow by opening the big slide gate nozzle of bag just; When measured value is in setting range, need finely tune operation according to the variation tendency of liquid level, make level stability in this scope.
(3) detect ladle molten steel gravimetric value G1, when the ladle molten steel gravimetric value reaches setting value G2, and when current tundish gravimetric value MG1 reaches tundish setting value MG2, enter slag and measure and control flow, wherein: the value of tundish weight setting value MG2 satisfies formula (8); Otherwise continue to carry out tundish Level Detection and control according to the flow process of (2).
(4) enter that slag is measured and control flow after, reach assigned address according to given control curve controlled tundish molten steel liquid level.
(5) read the ladle long nozzle vibration signal, extract vibration signal characteristics, set up current measurement model M2.
(6) measurement model M2 and the master pattern M1 in the calculator memory with online foundation compares, two models coincide and then enter steel ladle sliding water gap optimal control program, and send slag and alerting signal occurs, on-the-spot pilot lamp begins flicker, otherwise returns step (5).
(7) enter the slide gate nozzle optimizer after, finish steel ladle sliding water gap control according to given control curve, after slide gate nozzle control finished, on-the-spot pilot lamp stopped flicker, this wheel measurement and control program finish.
Return step (1) and enter measurement of next round slag and control program.
The invention provides manual handoff functionality, can in software, set, also can switch by the knob on the remote operator panel by man-computer interface.In manual state following time, system still carries out and auto state the same flow process down, and different is only to measure and the duty tracking, and does not carry out control operation.
System of the present invention mainly is made up of five modules: data acquisition module, data processing module, system control module, interface control module and resource management module.
Data acquisition module is mainly realized collection and the store function to the data of ladle long nozzle vibration signal, ladle weight signal, tundish weight signal, condition of work signal, and this is the prerequisite that whole system function is achieved.
Data processing module is to calculate, analyze and handle collecting data, the online slag model of setting up current ladle, and calculate controlled quentity controlled variable according to measurement data and given parameter and condition.
The major function of system control module is the control of realization system execution unit, comprises the functions such as output control of steel ladle sliding water gap control and alarm lamp.
The interface control module functions is to realize demonstration, switching and the control of all man-machine interfaces of whole software system.The real-time demonstration of carrying out the relevant information of system data, curve map and system and refreshing provides the user to carry out interactive operation, realizes the setting of systematic parameter and modification etc.
The main function of resource management module is the management to the data file resource of whole software system, mainly comprise the raw data spanned file that collects and storage, the browsing of history data file, check, printing function, the management of syslog file etc.

Claims (3)

1. ladle long-nozzle steel slag by resonance-point balance method measuring method is characterized in that: the vibration that produces when flowing in long nozzle with slag according to molten steel is different, sets up the measurement model of molten steel and slag; Measurement model is:
Figure DEST_PATH_RE-F2008100422987C00011
In the formula: d: the aperture of slide gate nozzle;
D: wrap inner molten steel diameter greatly;
G: wrap inner steel quality greatly;
ρ: wrap inner molten steel proportion greatly;
L: long nozzle length;
μ: molten steel viscosity;
G: acceleration of gravity;
When if the aperture d of slide gate nozzle satisfies the condition of formula (8), the molten steel that flows through in the long nozzle is a laminar flow, and is smaller to the impact shock of tube wall; When the aperture d of slide gate nozzle does not satisfy the condition of formula (8), when promptly the aperture d of slide gate nozzle was equal to or greater than value in the formula (8), showing had slag to occur in the molten steel, because disturbance meeting turbulization in long nozzle of slag causes the fierce vibration of pipeline.
2. ladle long-nozzle steel slag by resonance-point balance method measuring method according to claim 1 is characterized in that: comprise the steps:
The first, measure preparation
(1) the ladle weight sensor that is installed in ladle bottom is measured the ladle weight signal, the electric signal of the sensor output ladle weight signal processor of feeding, the output signal of the ladle weight signal processor central switch board of feeding;
(2) in central switch board, the ladle weight signal data collecting card of feeding converts digital signal to, sends into computing machine, and computing machine is handled according to ladle weight signal data G and the production equipment condition data K three class situations of dividing:
A:K=0 returns step (1) and waits for K=1, and wherein: K=0, production equipment are not ready to K=1, and production equipment is ready to;
B:K=1; G>G1 returns step (1) and waits for G<G1, and wherein G1 is a ladle weight setting value;
C:K=1; G<G1 enters measurement parameter and adjusts program (3);
(3) be installed in the tundish weight sensor of tundish bottom, the weight of measuring tundish also is transferred to tundish weight signal processor, the output signal of the tundish weight signal processor central switch board of feeding;
(4) in central switch board, the tundish weight signal data collecting card of feeding converts digital signal to and sends into computing machine, computing machine is according to the tundish molten steel gravimetric value of current tundish gravimetric value and long nozzle length correspondence, adjust slide gate nozzle aperture, the length at the fixed length mouth of a river by operation of oil cylinde slide gate nozzle aperture device;
(5) adjust the aperture d of slide gate nozzle according to the weight of current ladle molten steel, adjust to when aperture d is ascending
Figure FSB00000434227100011
The time, enter the slag process of measurement, otherwise return step (3);
The second, begin to measure
(6) be installed in long nozzle vibration measurement sensor on the tundish mechanical arm, measure the vibration signal of ladle long nozzle, the electric signal of the sensor output vibration signal processing device of feeding, the output signal of the vibration signal processing device central switch board of feeding;
(7) set up the original slag model stage, feed data collecting card in the central switch board of the vibration signal of long nozzle converts digital signal to and sends into computing machine, and computing machine is set up original slag model according to the vibration signal data and the production technology data of long nozzle;
(8) come into operation the stage at measuring equipment, feed data collecting card in the central switch board of the vibration signal of long nozzle converts digital signal to and sends into computing machine, and computing machine is set up model according to the vibration signal data and the production technology online data of long nozzle;
(9) with the model of online foundation and original slag model relatively, two models coincide and then enter steel ladle sliding water gap optimal control program, and send slag and alerting signal occurs, otherwise return step 8;
(10) close slide gate nozzle after the slide gate nozzle optimal control EOP (end of program), process of measurement finishes.
3. a ladle long-nozzle steel slag by resonance-point balance method measurement mechanism is characterized in that: comprise part of data acquisition, systems control division branch, execution and servicing unit;
Part of data acquisition comprises: be installed in the ladle weight sensor on the ladle support of ladle turret, ladle weight signal processor; Tundish weight sensor in the middle of being installed on the tundish base of hired car, tundish weight signal processor; Be installed on the tundish mechanical arm, be used to measure the vibration transducer of ladle long nozzle vibration signal, vibration sensor signal processor; Be installed in the data collecting card in the central switch board; Described signal processor is the voltage signal that the current signal of the described sensor of correspondence is converted to the data collecting card compatibility, plays the effect of conversion of signals; Data collecting card is converted to the treatable digital quantity of computing machine with the analog signals that collects by A/D;
The systems control division branch comprises computing machine, digital quantity I/O DI/O card, Signal Spacing amplifier, the servoamplifier that is installed in the central switch board; Digital quantity I/O DI/O card is installed on the computing machine of central switch board, is used to accept switching value signal or output switching value control signal; The Signal Spacing amplifier is isolated the input/output signal and the external device of computing machine; The computing machine output signal connects servoamplifier, and servoamplifier connects oil cylinder;
Execution and servicing unit comprise oil cylinder, warning device and guidance panel, oil cylinder control slide gate nozzle aperture device, and computing machine output signal device also taking alarm, guidance panel connects computing machine.
CN2008100422987A2008-08-292008-08-29Method and device for measuring ladle long-nozzle steel slag by resonance-point balance methodActiveCN101660993B (en)

Priority Applications (1)

Application NumberPriority DateFiling DateTitle
CN2008100422987ACN101660993B (en)2008-08-292008-08-29Method and device for measuring ladle long-nozzle steel slag by resonance-point balance method

Applications Claiming Priority (1)

Application NumberPriority DateFiling DateTitle
CN2008100422987ACN101660993B (en)2008-08-292008-08-29Method and device for measuring ladle long-nozzle steel slag by resonance-point balance method

Publications (2)

Publication NumberPublication Date
CN101660993A CN101660993A (en)2010-03-03
CN101660993Btrue CN101660993B (en)2011-06-15

Family

ID=41789134

Family Applications (1)

Application NumberTitlePriority DateFiling Date
CN2008100422987AActiveCN101660993B (en)2008-08-292008-08-29Method and device for measuring ladle long-nozzle steel slag by resonance-point balance method

Country Status (1)

CountryLink
CN (1)CN101660993B (en)

Families Citing this family (7)

* Cited by examiner, † Cited by third party
Publication numberPriority datePublication dateAssigneeTitle
CN102205404B (en)*2011-05-102013-05-15湖南镭目科技有限公司Standing wave amplifying device for acquiring vibrating signal and ladle slag-discharging vibrating signal detection method
CN103506592B (en)*2012-06-292015-08-26宝山钢铁股份有限公司A kind of continuous-casting steel pouring control method and device
CN104999043B (en)*2014-04-172017-04-26宝山钢铁股份有限公司Online measuring device and method for opening degree of sliding nozzle of continuous casting ladle
CN104525931A (en)*2014-12-152015-04-22芜湖新兴铸管有限责任公司Steel slag separation device and steel slag separation method
CN107790665B (en)*2017-10-312021-04-23首钢京唐钢铁联合有限责任公司Automatic control method and system for liquid level of tundish
CN111168029B (en)*2020-01-142022-04-05邢台钢铁有限责任公司 A control method for automatic casting of large ladle in a continuous casting machine
CN116312186B (en)*2023-01-042025-09-12柳州钢铁股份有限公司 A method for simulating ladle pouring and slag removal using water simulation experiment

Also Published As

Publication numberPublication date
CN101660993A (en)2010-03-03

Similar Documents

PublicationPublication DateTitle
CN101660993B (en)Method and device for measuring ladle long-nozzle steel slag by resonance-point balance method
CN103506592B (en)A kind of continuous-casting steel pouring control method and device
CN101251749A (en)Ladle roughing slag detection, control method and system
CN104999043B (en)Online measuring device and method for opening degree of sliding nozzle of continuous casting ladle
Schmidt et al.Transient CFD modeling of matte settling behavior and coalescence in an industrial copper flash smelting furnace settler
CN102430725A (en)Steel die casting speed indicating method and steel die casting speed indicating device
CN104344811A (en)Online detection system and method for inclination of piston of gas chamber
CN2652558Y (en)Detector for molten steel discharged slag
Ke et al.Experimental and numerical investigations of the fluid flow in a hydroclyclone with an air core
CN115200527A (en) A method for online monitoring of the thickness of solid-liquid slag film near the meniscus of the mold
CN101949767A (en)Ladle slag detecting water model experimental platform
Warzecha et al.Investigation of Flow Characteristics in a Six‐Strand CC Tundish Combining Plant Measurements, Physical and Mathematical Modeling
CN203725730U (en)Steel ladle slagging detection device
CN2896237Y (en)Inlaid crystallizator liquid-level detection system
CN205748499U (en)A kind of electronics soap film flowmeter
CN203899766U (en)Inflation automatic control device for floatation machine
CN210945664U (en) On-line detection device for blast furnace slag output
SVDEVELOPMENT OF AUTOMATED CONTROL SYSTEM FOR CONTINUOUS CASTING.
CN2581953Y (en)Detector for mould liquid level
CN200993582Y (en)Pipeline fluid detecting device
CN205680009U (en)A kind of flow controller
YenusVibration and sound signal analysis in gas stirred ladles
CN205049192U (en)Ore pulp flow automatic measurement device
CN205263009U (en)Quick detection device of stokehold steel grade liquid solidus temperature
Salcudean et al.Fluid flow in filling ladles

Legal Events

DateCodeTitleDescription
C06Publication
PB01Publication
C10Entry into substantive examination
SE01Entry into force of request for substantive examination
C14Grant of patent or utility model
GR01Patent grant

[8]ページ先頭

©2009-2025 Movatter.jp