Movatterモバイル変換


[0]ホーム

URL:


CN101575408B - Polytriazinyl compounds as flame retardants and light stabilizers - Google Patents

Polytriazinyl compounds as flame retardants and light stabilizers
Download PDF

Info

Publication number
CN101575408B
CN101575408BCN 200910140579CN200910140579ACN101575408BCN 101575408 BCN101575408 BCN 101575408BCN 200910140579CN200910140579CN 200910140579CN 200910140579 ACN200910140579 ACN 200910140579ACN 101575408 BCN101575408 BCN 101575408B
Authority
CN
China
Prior art keywords
compound
general formula
amine
halogen
piperazine
Prior art date
Legal status (The legal status is an assumption and is not a legal conclusion. Google has not performed a legal analysis and makes no representation as to the accuracy of the status listed.)
Active
Application number
CN 200910140579
Other languages
Chinese (zh)
Other versions
CN101575408A (en
Inventor
B·L·卡尔
Current Assignee (The listed assignees may be inaccurate. Google has not performed a legal analysis and makes no representation or warranty as to the accuracy of the list.)
MCA Technologies GmbH
Original Assignee
MCA Technologies GmbH
Priority date (The priority date is an assumption and is not a legal conclusion. Google has not performed a legal analysis and makes no representation as to the accuracy of the date listed.)
Filing date
Publication date
Application filed by MCA Technologies GmbHfiledCriticalMCA Technologies GmbH
Publication of CN101575408ApublicationCriticalpatent/CN101575408A/en
Application grantedgrantedCritical
Publication of CN101575408BpublicationCriticalpatent/CN101575408B/en
Activelegal-statusCriticalCurrent
Anticipated expirationlegal-statusCritical

Links

Landscapes

Abstract

Halogen-free self-extinguishing oligomeric or polymeric compounds derived from 1, 3, 5-triazine, have the general formula I wherein or a heterocyclic radical containing in the ring at least one nitrogen atom which radical is linked to the triazine ring through one of such nitrogen atoms, R2 is alkyl or cycloalkyl, R1 is a divalent radical of piperazine of the formula or a divalent radical of the type or n is an integer from 2 to 30, extremes included, m is an integer from 2 to 6, extremes included, p is an integer from 2 to 12 extremes included, and X1 =OH, NH2 or X, wherein X 1 and X may be the same or different, X2 is a hydrogen or an C1 -C4 alkyl group, and a solvent-free process for the production of the compounds of Formula I as well as the use of the self-extinguishing oligomeric or polymeric compounds as flame retardants and light stabilizers in thermoplastic polymers such as polypropylene or regenerated cellulose or polyester.

Description

Poly-triazine-based compound as fire retardant and photostabilizer
Technical field
The present invention relates to the halogen compound of general formula I,
Figure G2009101405790D00011
Wherein
Figure G2009101405790D00012
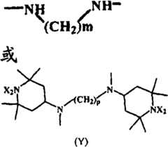
Or comprising the heterocyclic group of at least one nitrogen-atoms in the ring, this group is connected to triazine ring, R by a described nitrogen-atoms2Alkyl or cycloalkyl, R1It is the divalent radical of the piperazine of following general formula
Figure G2009101405790D00013
Or with the divalent radical of Types Below
Figure G2009101405790D00014
N is 2 to 30 integer, comprises end value, and m is 2 to 6 integer, comprises end value, and p is 2 to 12 integer, comprises end value, X2Hydrogen or C1-C4Alkyl, and
X1=OH, NH2Or X, wherein X1With X can be identical or different.
The invention still further relates to the method for production compound of Formula I, preferably do not use any organic solvent, preferably in the presence of tensio-active agent.
Summary of the invention
The first step of the inventive method is according to prior art ,-10 ℃ to+10 ℃ temperature ranges, is 5 to 7 times in the pH value, in polar solvent such as acetone, water etc., but does not preferably use any organic solvent, makes cyanuric halogen and general formula R2-NH2Amine or with ring in comprise nitrogen-atoms heterogeneous ring compound react as 1: 1 take mol ratio, to obtain the 4-aminoderivative of 2,6-, two chloro-1,3,5-triazines.
Need not separate, then under heat condition, in water or polar solvent, still preferably not use any organic solvent all the time, suspension and general formula H in the middle of making2N-(CH2)m-NH2Amine, with piperazine or its alkyl-substituted derivative, with 4-amino-2,2,6,6-tetramethyl piperidine or N, N '-two-(2,2,6,6-tetramethyl--4-piperidyl)-1, the 6-hexanediamine or with the mixture reaction of these compounds, wherein the mol ratio between pyrrolotriazine derivatives and amine and/or the piperazine equals 1: 1.
Then by at alkali excessive HX for example1And/or under the existence of alkali metal hydroxide, under 90 ℃ to 150 ℃ temperature, more preferably under 100 ℃ to 130 ℃ the temperature, make intermediate compound and general formula HX1Compound reaction, obtain the compound of general formula I.
Therefore, another object of the present invention is by cyanuric halogen in two or three steps and the suitably condensation of amine and/or heterogeneous ring compound, produces to have the water-fast 1,3,5-triazines derivative oligopolymer of following general formula or the method for polymkeric substance:
Figure G2009101405790D00021
Wherein
Figure G2009101405790D00022
Or comprising the heterocyclic group of at least one nitrogen-atoms in the ring, this group is connected to triazine ring, R by a described nitrogen-atoms2Alkyl or cycloalkyl, R1It is the divalent radical of the piperazine of following general formula
Figure G2009101405790D00023
Or with the divalent radical of Types Below
Figure G2009101405790D00024
Figure G2009101405790D00031
N is 2 to 30 integer, comprises end value, and m is 2 to 6 integer, comprises end value, and p is 2 to 12 integer, comprises end value, X2Hydrogen or C1-C4Alkyl, and
X1=OH, NH2Or X, wherein X1With X can be identical or different.
In order to keep reaction mixture to be suspension stably, preferably add for example Witco 1298 Soft Acid of tensio-active agent.The compound of Formula I that obtains is to have the very white powder of high-melting-point and minimum content of halogen.Can be ground to small-particle, then prepare to incorporate thermoplastic polymer into other flame-retardant compound such as ammonium phosphate or phosphamide.
Can be according to known method production self-extinguishing composition of the present invention: for example, at first nearly ammonium phosphate or phosphamide are mixed with the triazine nitrogenous compound (preferably have and be lower than 75 microns particle) of fine grinding, and the mixture that will so obtain adds in the thermoplastic polymer in turbo mixer, to form uniform mixture, then this mixture is extruded and granulation.According to any known molding technique, the particulate product that so obtains can be transformed into various products.Flame-retardant additive of the present invention also is applicable to the anti-flaming dope field.
For mensuration comprises the polymeric composition self-extinguishing energy of flame-retardant additive, can proceed as follows: in the MOORE Flat pressure machine, by with 40kg/cm2Pressure, operation is 7 minutes under suitable temperature, and particulate product is molded as 3 millimeters (1/8 inch) thick plates.Then test this plate according to the UL-94 method.
R wherein1The poly-triaizine compounds of the general formula of=Y (I) is useful and valuable reagent, can be used for improving synthetic polymer to light, the stability of heat and oxidation, described synthetic polymer for example is height and Low Density Polyethylene, polypropylene, ethylene-propylene copolymer, ethylene-vinyl acetate copolymer, polyhutadiene, polyisoprene, polystyrene, styrene-butadiene copolymer, acrylonitrile-butadiene-styrene copolymer, vinylchlorid and vinylidene chloride polymer and multipolymer, polyoxymethylene, the Polyethylene Terephthalates, nylon 66, nylon 6, nylon 12, urethane, unsaturated polyester.
R wherein1The general formula of=Y (I) compound can be used as especially polyolefine and more is particularly useful as has the polyolefin articles that reduces thickness, for example photostabilizer of fiber and film.Surprisingly, when contacting with water or water phase surfactant mixture, be difficult to extract described compound from described thin goods.
R wherein1The general formula of=Y (I) compound can adopt the mixture according to multiple ratio and synthetic polymer to use, and it depends on other additive of polymer property, end-use and existence.
With respect to polymer weight, usually preferably use wherein R of 0.01 to 5 % by weight1The general formula of=Y (I) compound, more preferably 0.1 to 1%.
Can be with several different methods for example with the powder type dry blending, or with solution or slurry form wet method, R wherein1The general formula of=Y (I) compound adds in the polymeric material composition.In described operation, synthetic polymer can adopt the form of powder, particle, solution, slurry or emulsion.
With R wherein1The stable polymkeric substance of the product of the general formula of=Y (I) can be for the production of moulded product, film, band, fiber, monofilament etc.
R wherein1The mixture of the general formula of=Y (I) compound and synthetic polymer can be chosen wantonly and add other additive, such as antioxidant, UV light absorber, nickel stablizer, pigment, electric charge agent (charges), fluidizer, static inhibitor, fire retardant, lubricant, rust-preventive agent, metal deactivator etc.
In the general formula I, R2Preferably comprise the alkyl of 1 to 20 carbon atom or comprise the cycloalkyl of 6 to 20 carbon atoms, R1The divalent radical of the divalent radical of piperazine or diamines preferably, wherein m is 2 to 6 integer, comprises end value, and n is 8 to 20 integer preferably, and p is 4 to 10 integer preferably, comprises end value.
The example of alkyl is methyl, ethyl, propyl group, normal-butyl, isobutyl-, hexyl, octyl group, decyl, dodecyl, cyclohexyl, propyl group-cyclohexyl, butyl-cyclohexyl, decyl cyclohexyl.The example that is defined as the heterocyclic group of X is morpholine, piperidines and piperazine.For R1The example of diamines be quadrol, tetramethylene-diamine, five methylene diamine, hexamethylene-diamine.
Preferred compound of Formula I is R1Those compounds of=hexamethylene-diamine, piperazine and alkyl substituted-piperazinyl, and X wherein1Be identical with X and have the compound of Formula I of morpholinyl, piperidyl or piperazinyl.
The following example explanation is according to the preparation of general formula A and some compound of I.Unless otherwise mentioned, whole umbers of pointing out in this preparation all refer to weight part.
Embodiment 1
To reactor pack into 150 parts of water, 150 parts ice and 0.2 part of Witco 1298 Soft Acid.Then under agitation condition, in 15 minutes, add 74 parts of cyanuryl chlorides.Stirred the mixture 15 minutes, and obtained uniform suspension.After forming suspension, add simultaneously the 34.9 parts of morpholines and the 21.2 parts of yellow soda ash (100% basis (100% basis)) that are dissolved in 150 parts of water, keeping simultaneously the pH value is 5 to 7, and the maximum temperature value is 0-5 ℃.Joining day is 30 minutes.After finishing adding, 0-5 ℃ of stirred reaction mixture 30 minutes.
Figure G2009101405790D00051
Add 34.9 parts of piperazines in the white suspension of the II that obtains, stirred 30 minutes with mixture heating up to 40 ℃ and at 40 ℃.15 minute in slowly add the 16 part sodium hydroxide (100% basis) that are dissolved in 100 part water, thereby maintain the temperature at 40 ℃ thereafter.40 ℃ stir 15 minutes after, heated mixt to 95 ℃.After temperature reached 95 ℃, adding was dissolved in 16 parts of sodium hydroxide of 100 parts of second sections in the water (100% basis) in two hours.The suspension 24 hours and the final pH that obtain 130 ℃ of lower heating under pressure should be alkalescence.At 90 ℃ of filtering suspension liquids, and fully wash this product until pH is neutral with hot water.This product of 100 ℃ of dryings 24 hours, until constant weight.Obtain the compound of 109 parts of following formulas:
N=10 wherein has following feature:
Outward appearance: white powder
Fusing point: be higher than 290 ℃
Content of organic chloride (ultimate analysis and method for hydrolysis): 1.42%.
Embodiment 2
In the reactor with condenser, agitator and thermometer, place 400 parts of morpholines under the room temperature.Add the compound (comprising 1.5% chlorine) of 200 parts of formula IIIs, and heat described mixture to 120 ℃.Stirred described mixture 12 hours.After being cooled to room temperature, it is waterborne that mixture is poured over 1000 parts of 1000 parts of icing and comprising 3.5 part of 100% sodium hydroxide.The suspension that filtration obtains; At room temperature water fully washs, until pH is neutral.100 ℃ of dryings 24 hours, until constant weight.Obtain the compound of 230 parts of Formula Il Ia:
Figure G2009101405790D00061
N=10 wherein has following feature:
C1 content (AOX):<0.01%
Color: white
Fusing point: be higher than 290 ℃.
Embodiment 3
In the reactor with condenser, agitator and thermometer, place 400 parts of piperazines under the room temperature.Add 200 parts according to the compound (comprising 1.72% chlorine) of the formula III of United States Patent (USP) 4504610 embodiment 3 preparation, and heated mixt to 100 ℃.Stirred described mixture 12 hours.After being cooled to room temperature, it is waterborne that mixture is poured over 1000 parts of 1000 parts of icing and comprising 3.2 part of 100% sodium hydroxide.The suspension that filtration obtains; At room temperature water fully washs, until pH is neutral.100 ℃ of dryings 24 hours, until constant weight.Obtain the compound of 203 parts of Formula Il Ib:
Figure G2009101405790D00062
N=10 wherein has following feature:
C1 content (aox):<0.01%
Color :=canescence
Fusing point: be higher than 290 ℃.
Embodiment 4
In the reactor with condenser, agitator and thermometer, under room temperature, place 4 parts of sodium hydroxide (100% basis), 0.5 part of Witco 1298 Soft Acid and 1000 parts of water.Add the compound (comprising 1.5% chlorine) of 200 parts of formula IIIs, and heat described mixture to 98 ℃.The suspension that obtains 130 ℃ of heating 12 hours, final pH should be alkalescence.Filter described suspension at 95 ℃, and fully wash with hot water, until pH is neutral.100 ℃ of desciccates 24 hours, until constant weight.Obtain the compound of 237 parts of Formula Il Ic
N=10 wherein has following feature:
C1 content:<0.01%
Color: white
Fusing point: be higher than 290 ℃.
Embodiment 5
Use the 4 parts of sodium hydroxide (100% basis) among 12 parts of ammonium hydroxide (about 30%) replacement embodiment 4, and in closed reactor, react, obtain the compound of general formula III d
N=10 wherein has following feature:
C1 content:<0.01%
Color: canescence
Fusing point: be higher than 290 ℃.
Embodiment 6
400 parts 2 ℃ water, 400 parts of trash ices and 0.5 part of Witco 1298 Soft Acid packed into have agitator, the 2-of thermometer, dropping funnel and cooling bath rises flask, adds subsequently 110.6 parts of cyanuryl chlorides in 30 minutes.Stirred the mixture 15 minutes, until obtain uniform suspension.Exterior cooling simultaneously, and to keep pH value be between 5 to 7, temperature is-2 ℃ to+2 ℃, the 31.8 parts of yellow soda ash (100% basis) in 51.6 parts of piperidines in 200 parts of water of while charging and the 200 parts of water.Stirred described mixture 15 minutes at 2 ℃.Filter the white product that so obtains, then wash with water.Obtain 525 parts of filter cakes, its solids content is 25.5%, is equivalent to 134 parts of drying materials, corresponding to theoretical yield 96%.
After dry 10 duplicate samples under 50 ℃ of vacuum, obtain 2.55 parts of 2.6-, two chloro-4-piperidines-1,3,5-triazines (IV) (fusing point 88-88.5 ℃).
Figure G2009101405790D00081
Confirm the structure of this compound by ultimate analysis and NMR.
400 parts of water and 0.1 part of Witco 1298 Soft Acid are added 1 liter of reactor that agitator, thermometer and heating bath are housed.Then 20 ℃ to wherein adding 46.6 parts of product IV and 17.2 parts of piperazines, and since thermopositive reaction elevate the temperature to 30 ℃.Heat described mixture, and stirred 1 hour at 40 ℃., under pressure be heated to 130 ℃, and kept 10 hours in this temperature thereafter.In 10 hours, add continuously 16 parts of solid 100% sodium hydroxide, and stir described mixture at 130 ℃.The product that heat filtering obtains fully washs and drying with boiling water.Obtain 49.2 parts of product V, yield 98%.
This product is insoluble in ordinary organic solvents and the water, and its solubility values at room temperature is lower than 0.1%.It shows and is higher than 290 ℃ fusing point, and has following general formula:
Figure G2009101405790D00091
Wherein n is 10.
Embodiment 7
By using the morpholine among the piperidines replacement embodiment 2, use the compound III among the compound V replacement embodiment 2, production compound Va.It is white powder, cl content (AOX)<0.01%.
Embodiment 8
Use 158 parts of N, N '-two-(2,2,6,6-tetramethyl--4-piperidyl)-1,6-hexanediamine (CAS Nr:61260-56-7) replaces 34.9 parts of piperazines among the embodiment 1, obtains the general formula VI compound of white powder.
Figure G2009101405790D00093
Embodiment 9
Use the piperazine among the 4-amino-2,2,6,6-tetramethylpiperidine replacement embodiment 3, and use general formula VI compound to replace the compound of formula III of embodiment 3, obtain general formula VIa compound.
Figure G2009101405790D00101
Embodiment 10
Use the compound of formula III among the general formula VI compound replacement embodiment 2, obtain general formula VIb compound.
Embodiment 11
Use 168.8 parts of N, N '-two-(1,2,2,6,6-pentamethyl--4-piperidyl)-1, the 6-hexanediamine replaces 34.9 parts of piperazines among the embodiment 1, obtains the general formula VII compound into white powder.
Figure G2009101405790D00103
Embodiment 12
Use the compound of formula III among the general formula VII compound replacement embodiment 2, obtain general formula VIIa compound.
Embodiment 13
Use the 4-amino-2,2,6,6-tetramethylpiperidine to replace piperazine among the embodiment 3, and use general formula VII compound to replace the compound of formula III of embodiment 3, obtain general formula VIIb compound.
Figure G2009101405790D00111
Embodiment 14
Use the morpholine among the tert-Octylamine replacement embodiment 1, obtain the product of general formula VIII with 97% yield.In the water insoluble and common organic solvent of product, and has following general formula
Figure G2009101405790D00112
Wherein n is 15.
Embodiment 15
The product of use general formula VIII replaces the general formula III product among the embodiment 2, and uses the morpholine among the piperidines replacement embodiment 2, obtains general formula VIIIa product with 97% yield.In the water insoluble and common organic solvent of product, and has following general formula.
Figure G2009101405790D00113
Embodiment 16
Use the piperazine among the hexamethylene-diamine replacement embodiment 6, obtain water insoluble and general formula I X product ordinary organic solvents, wherein n is 15.
Embodiment 17
By using the compound of formula III among the general formula I X compound replacement embodiment 2, obtain the product of general formula I Xa.
Figure G2009101405790D00122
Can be by in Stanton Redcroft device, measuring oxygen index (according to ASTMD-2863), or by using UL-94 standard (open by " UnderwritersLaboratories " USA) mensuration self-extinguishing energy level, wherein the UL-94 standard provides the assessment to plastic material self-extinguishing energy level.

Claims (9)

1. the nitrogenous water-fast compound of halogen, its oligopolymer or polymkeric substance by the 1,3,5-triazines derivative consists of, and has following general formula:
Figure FDA00003482388900011
Wherein
Figure FDA00003482388900012
Or comprising the heterocyclic group of at least one nitrogen-atoms in the ring, this group is connected to triazine ring, R by a described nitrogen-atoms2Alkyl or cycloalkyl, R1It is the divalent radical of the piperazine of following general formula
Figure FDA00003482388900013
Or with the divalent radical of Types Below
Figure FDA00003482388900014
N is 2 to 30 integer, comprises end value, and m is 2 to 6 integer, comprises end value, and
X1=OH, NH2Or X, wherein X and X1Can be identical or different;
The preparation method of described compound comprises step:
A)-10 ℃ to+10 ℃ temperature ranges, be 5 to 7 times in the pH value, do not use any organic solvent, make cyanuric halogen and general formula R2-NH2Amine or with ring in comprise nitrogen-atoms heterogeneous ring compound react take mol ratio as 1:1, to obtain the 4-aminoderivative of 2,6-, two chloro-1,3,5-triazines;
B) need not separate, then under heat condition, not use any organic solvent, suspension and general formula H in the middle of making2N-(CH2)m-NH2Amine, with piperazine reaction, wherein the mol ratio between pyrrolotriazine derivatives and amine and/or the piperazine equals 1:1;
C) by in the presence of alkali, under 90 ℃ to 150 ℃ temperature, make intermediate compound and general formula HX1Compound reaction, obtain the compound of general formula I.
2. compound as claimed in claim 1 adds tensio-active agent in one or more steps of wherein said method.
3. compound as claimed in claim 1, the step c) of wherein said method is carried out under 100 ℃ to 130 ℃ temperature.
4. method of producing the nitrogenous water-fast compound of the described halogen of claim 1, the method is undertaken by cyanuric halogen in two or three steps and the suitable condensation of amine and/or heterogeneous ring compound.
5. method as claimed in claim 4 comprises step:
A)-10 ℃ to+10 ℃ temperature ranges, be 5 to 7 times in the pH value, do not use any organic solvent, make cyanuric halogen and general formula R2-NH2Amine or with ring in comprise nitrogen-atoms heterogeneous ring compound react take mol ratio as 1:1, to obtain the 4-aminoderivative of 2,6-, two chloro-1,3,5-triazines;
B) need not separate, then under heat condition, not use any organic solvent, suspension and general formula H in the middle of making2N-(CH2)m-NH2Amine, with piperazine reaction, wherein the mol ratio between pyrrolotriazine derivatives and amine and/or the piperazine equals 1:1;
C) by in the presence of alkali, under 90 ℃ to 150 ℃ temperature, make the compound reaction of intermediate compound and general formula HX1, obtain the compound of general formula I.
6. method as claimed in claim 5 wherein adds tensio-active agent in one or more steps.
7. method as claimed in claim 5, wherein step c) is carried out under 100 ℃ to 130 ℃ temperature.
8. the purposes of the nitrogenous water-fast compound of described halogen according to claim 1, it is as based on the fire retardant in the self-extinguishing polymeric composition of thermoplastic polymer.
9. self-extinguishing polymeric composition based on thermoplastic polymer, it comprises the nitrogenous water-fast compound of halogen of claim 1.
CN 2009101405792008-05-092009-05-08Polytriazinyl compounds as flame retardants and light stabilizersActiveCN101575408B (en)

Applications Claiming Priority (4)

Application NumberPriority DateFiling DateTitle
EP080087172008-05-09
EP08008717.42008-05-09
EP08015381.02008-09-01
EP080153812008-09-01

Publications (2)

Publication NumberPublication Date
CN101575408A CN101575408A (en)2009-11-11
CN101575408Btrue CN101575408B (en)2013-10-30

Family

ID=41270495

Family Applications (1)

Application NumberTitlePriority DateFiling Date
CN 200910140579ActiveCN101575408B (en)2008-05-092009-05-08Polytriazinyl compounds as flame retardants and light stabilizers

Country Status (1)

CountryLink
CN (1)CN101575408B (en)

Families Citing this family (24)

* Cited by examiner, † Cited by third party
Publication numberPriority datePublication dateAssigneeTitle
AU2010223919B2 (en)2009-03-132016-03-31Les Laboratoires ServierMethods and compositions for cell-proliferation-related disorders
MX2012000256A (en)2009-06-292012-04-19Agios Pharmaceuticals Inc THERAPEUTIC COMPOUNDS AND COMPOSITIONS.
EP3064595B1 (en)2009-10-212019-02-27Agios Pharmaceuticals, Inc.Methods for cell-proliferation-related disorders
PT3406251T (en)2011-05-032024-01-24Agios Pharmaceuticals IncPyruvate kinase activators for use in therapy
CN102827073A (en)2011-06-172012-12-19安吉奥斯医药品有限公司Therapeutically active compositions and application methods thereof
CN102827170A (en)2011-06-172012-12-19安吉奥斯医药品有限公司Active treatment compositions and use method thereof
CN102304227B (en)*2011-07-132012-11-14大连理工大学 Water-soluble polytriazine polymer material
AU2013207289B2 (en)2012-01-062017-09-21Les Laboratoires ServierTherapeutically active compounds and their methods of use
US9474779B2 (en)2012-01-192016-10-25Agios Pharmaceuticals, Inc.Therapeutically active compositions and their methods of use
EP2906212A4 (en)2012-10-152016-06-08Agios Pharmaceuticals Inc COMPOUNDS AND THERAPEUTIC COMPOSITIONS
WO2015003360A2 (en)2013-07-112015-01-15Agios Pharmaceuticals, Inc.Therapeutically active compounds and their methods of use
WO2015006591A1 (en)2013-07-112015-01-15Agios Pharmaceuticals, Inc.2,4- or 4,6-diaminopyrimidine compounds as idh2 mutants inhibitors for the treatment of cancer
WO2015003355A2 (en)*2013-07-112015-01-15Agios Pharmaceuticals, Inc.Therapeutically active compounds and their methods of use
CA2917592A1 (en)2013-07-112015-01-15Agios Pharmaceuticals, Inc.N,6-bis(aryl or heteroaryl)-1,3,5-triazine-2,4-diamine compounds as idh2 mutants inhibitors for the treatment of cancer
US9579324B2 (en)2013-07-112017-02-28Agios Pharmaceuticals, IncTherapeutically active compounds and their methods of use
US20150031627A1 (en)2013-07-252015-01-29Agios Pharmaceuticals, IncTherapeutically active compounds and their methods of use
KR102400737B1 (en)2014-03-142022-05-20아지오스 파마슈티컬스 아이엔씨.Pharmaceutical compositions of therapeutically active compounds
US20160075849A1 (en)*2014-09-162016-03-17Mca Technologies GmbhOrganic Materials as Fire and Flame Retardent Synergists
US11234976B2 (en)2015-06-112022-02-01Agios Pharmaceuticals, Inc.Methods of using pyruvate kinase activators
KR102699521B1 (en)2015-10-152024-08-26르 라보레또레 쎄르비에르 Combination therapy for the treatment of malignant tumors
FI3362065T3 (en)2015-10-152024-06-19Servier LabCombination therapy comprising ivosidenib, cytarabine and daunorubicin or idarubicin for treating acute myelogenous leukemia
CN105440282B (en)*2015-12-012018-01-16苏州至善化学有限公司1,3,5 triazine derivative compounds and preparation method of the high or low degree of polymerization
US10980788B2 (en)2018-06-082021-04-20Agios Pharmaceuticals, Inc.Therapy for treating malignancies
CN113549216A (en)*2021-06-172021-10-26山东迈特新材料科技有限公司Preparation method of macromolecular triazine charring agent

Citations (3)

* Cited by examiner, † Cited by third party
Publication numberPriority datePublication dateAssigneeTitle
US4504610A (en)*1983-02-071985-03-12Montedison S.P.A.Self-extinguishing polymeric compositions
EP0357223A2 (en)*1988-08-291990-03-07Vyskumny Ustav Chemickej Technologie Vyskumna A Vyvojova OrganizaciaPolyaminotriazines and a process of their preparation
CN1976994A (en)*2004-06-082007-06-06大科能树脂有限公司Flame retardant resin composition and molded article

Family Cites Families (1)

* Cited by examiner, † Cited by third party
Publication numberPriority datePublication dateAssigneeTitle
IT1292040B1 (en)*1997-05-301999-01-25Ciba Spec Chem Spa PROCESS FOR THE PREPARATION OF POLYTRIAZINE PRODUCTS CONTAINING 2,2,6,6-TETRAMETHYL-4-PIPERIDYL GROUPS

Patent Citations (3)

* Cited by examiner, † Cited by third party
Publication numberPriority datePublication dateAssigneeTitle
US4504610A (en)*1983-02-071985-03-12Montedison S.P.A.Self-extinguishing polymeric compositions
EP0357223A2 (en)*1988-08-291990-03-07Vyskumny Ustav Chemickej Technologie Vyskumna A Vyvojova OrganizaciaPolyaminotriazines and a process of their preparation
CN1976994A (en)*2004-06-082007-06-06大科能树脂有限公司Flame retardant resin composition and molded article

Also Published As

Publication numberPublication date
CN101575408A (en)2009-11-11

Similar Documents

PublicationPublication DateTitle
CN101575408B (en)Polytriazinyl compounds as flame retardants and light stabilizers
JP5554011B2 (en) Polytriazinyl compounds as flame retardants and light stabilizers
KR920004809B1 (en)Self-extinguishing polyolefin compositions
US5124379A (en)Self-extinguishing polymeric compositions
US5534573A (en)Aminotriazine phosphonates in plastics
US4547548A (en)Polymeric compounds containing piperidine and triazine radicals, process for their preparation, and their use as stabilizers for synthetic polymers
IT9020919A1 (en) SALTS OF TRIAZINIC COMPOUNDS WITH PHOSPHORUS OXYGENIC ACIDS AND THEIR USE IN SELF-EXTINGUISHING POLYMERIC COMPOSITIONS
JP2000154181A (en)New 2-substituted guanamine compound and flame retardant resin composition containing 2-substituted guanamine compound as active component
IT9021420A1 (en) AMMELIN COMPOUNDS AND THEIR USE IN SELF-EXTINGUISHING POLYMER COMPOSITIONS
US5302642A (en)Self-extinguishing polymeric compositions
KR970001483B1 (en) Triazine Crab Compound
US5302640A (en)Self-extinguishing polymeric compositions
CA1285680C (en)Self-extinguishing compositions of thermoplastic polymers
US5424345A (en)Triazinylphosphonic acids and their use in self-extinguishing polymeric compositions
CA1174397A (en)Condensation product prepared from n,n'-ethylene-urea and formaldehyde
WO1993010179A1 (en)Self-extinguishing polymeric compositions
US5302641A (en)Self-extinguishing polymeric compositions

Legal Events

DateCodeTitleDescription
C06Publication
PB01Publication
C10Entry into substantive examination
SE01Entry into force of request for substantive examination
C14Grant of patent or utility model
GR01Patent grant

[8]ページ先頭

©2009-2025 Movatter.jp