The application requires in the 60/836th of submission on August 7th, 2006, No. 108 U.S. Provisional Applications, on December 18th, 2006 submit to the 60/875th, No. 792 U.S. Provisional Applications and on June 20th, 2007 submit to the 60/945th, No. 306 U.S. Provisional Application No., so all these applications are all incorporated into by reference.
Embodiment
Some useful compound is described below.
1-[(5-chlorothiophene-2-yl) carbonyl]-5-hydroxy-2-methyl-1H-indol-3-yl } acetate
195 ℃ of fusing points
1H?NMR(CDCl3/300MHz)7.43(d,1H,J=4.2Hz),7.13-7.10(m,2H),6.87(d,1H,J=2.1Hz),6.61(dd,1H,J=8.7,2.1Hz),3.66(s,2H),2.38(s,3H)。
1-[(5-chlorothiophene-2-yl) carbonyl]-6-fluoro-5-methoxyl group-2-Methyl-1H-indole-3-yl } acetate
169 ℃ of fusing points
1H?NMR(CDCl3/300MHz)7.35(d,1H,J=4.0Hz),7.09(d,1H,J=11.7Hz),7.00(d,1H,J=7.2Hz),6.98(d,1H,J=4.0Hz),3.93(s,3H),3.70(s,2H),2.42(s,3H)。
1-[(5-chlorothiophene-2-yl) carbonyl]-6-fluoro-5-hydroxy-2-methyl-1H-indol-3-yl } acetate
174 ℃ of fusing points
1H?NMR(CDCl3/300MHz)7.34(d,1H,J=3.9Hz),7.13(d,1H,J=11.1Hz),7.07(d,1H,J=8.4Hz),6.98(d,1H,J=3.9Hz),3.66(s,2H),2.39(s,3H)。
[6-fluoro-5-methoxyl group-2-methyl isophthalic acid-(thiophene-2-base carbonyl)-1H-indol-3-yl] acetate
137 ℃ of fusing points
1H?NMR(CDCl3/300MHz)7.77(dd,1H,J=5.0,1.2Hz),7.54(dd,1H,J=3.9,1.2Hz),7.15(dd,1H,J=5.0,3.9Hz),7.01(d,1H,J=12.0Hz),7.00(d,1H,J=8.1Hz),3.92(s,3H),3.69(s,2H),2.41(s,3H)。
{ 6-fluoro-5-methoxyl group-2-methyl isophthalic acid-[(5-thiotolene-2-yl) carbonyl]-1H-indol-3-yl } acetate
152 ℃ of fusing points
1H?NMR(CDCl3/300MHz)7.35(d,1H,J=3.9Hz),7.06(d,1H,J=12.3),6.99(d,1H,J=8.1Hz),6.81(d,1H,J=3.9Hz),3.92(s,3H),3.68(s,2H),2.60(s,3H),2.42(s,3H)。
6-fluoro-5-hydroxy-2-methyl-1-[(5-thiotolene-2-yl) carbonyl]-the 1H-indol-3-yl } acetate
197 ℃ of fusing points
1H?NMR(CD3OD/300MHz)7.40(d,1H,J=4.0Hz),6.99(d,1H,J=8.7Hz),6.98(d,1H,J=11.7Hz),6.93(d,1H,J=4.0Hz),3.64(s,2H),2.62(s,3H),2.34(s,3H)。
[6-fluoro-5-hydroxy-2-methyl-1-(thiophene-2-base carbonyl)-1H-indol-3-yl] acetate
219 ℃ of fusing points
1H?NMR(CD3OD/300MHz)7.97(dd,1H,J=5.1,1.2Hz),7.59(dd,1H,J=3.9,1.2Hz),7.22(dd,1H,J=5.1,3.9Hz),7.00(d,1H,J=8.7Hz),6.94(d,1H,J=12.0Hz),3.65(s,2H),2.32(s,3H)。
[1-(cyclohexyl-carbonyl)-5-methoxyl group-2-Methyl-1H-indole-3-yl] acetate
129 ℃ of fusing points
1H?NMR(CDCl3/300MHz)7.62(d,1H,J=9.0Hz),6.93(d,1H,J=2.7),6.86(dd,1H,J=9.0,2.7Hz),3.85(s,3H),3.67(s,2H),3.18(m,1H),2.04-1.32(m,10H)。
[1-(cyclohexyl-carbonyl)-5-hydroxy-2-methyl-1H-indol-3-yl] acetate
1H?NMR(CDCl3/300MHz)7.50(d,1H,J=9.0Hz),6.95(d,1H,J=2.1),6.73(dd,1H,J=9.0,2.1Hz),3.53(s,2H),3.12(m,1H),2.49(s,3H),2.00-1.05(m,10H)。
1-[(6-chloropyridine-3-yl) carbonyl]-5-methoxyl group-2-Methyl-1H-indole-3-yl } acetate
153 ℃ of fusing points
1H?NMR(CDCl3/300MHz)8.71(d,1H,J=2.7Hz),8.27(dd,1H,J=8.1,2.7Hz),7.98(dd,1H,J=8.1,2.7Hz),7.48(d,1H,J=8.7Hz),6.97(d,1H,J=2.4Hz),6.76(dd,1H,J=8.7,2.4Hz),3.84(s,3H),3.71(s,2H),2.41(s,3H)。
[1-(cyclohexyl-carbonyl)-6-fluoro-5-methoxyl group-2-Methyl-1H-indole-3-yl] acetate
104 ℃ of fusing points
1H?NMR(CDCl3/300MHz)7.72(d,1H,J=12.9Hz),7.13(d,1H,J=8.1),3.91(s,3H),3.69(s,2H),3.23(m,1H),2.56(s,3H),2.05-1.27(m,10H)。
[5-methoxyl group-2-methyl isophthalic acid-(piperidines-1-base carbonyl)-1H-indol-3-yl] acetate
Yellow oil
1H?NMR(CDCl3/300MHz)7.16(d,1H,J=9.0Hz),6.96(d,1H,J=2.7),6.81(dd,1H,J=9.0,2.7Hz),3.83(s,3H),3.66(s,2H),3.58-3.30(m,4H),2.40(s,3H),1.70-1.55(m,6H)。
[5-hydroxy-2-methyl-1-(piperidines-1-base carbonyl)-1H-indol-3-yl] acetate
235 ℃ of fusing points
1H?NMR(CDCl3/300MHz)6.99(d,1H,J=8.7Hz),6.79(s,1H),6.64(d,1H,J=8.7Hz),3.47(s,2H),3.47-3.30(m,4H),2.33(s,3H),1.72-1.43(m,6H)。
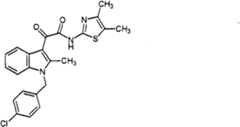
2-[1-(4-benzyl chloride base)-5-methoxyl group-2-Methyl-1H-indole-3-yl]-2-oxo-N-pyridine-2-yl acetamide
1H?NMR(CDCl3/300MHz)9.38(bs,1H),8.40-8.34(m,2H),7.82-7.73(m,2H),7.30-7.25(m,2H),7.09(d,2H,J=8.1Hz),6.94(d,2H,J=8.4Hz),6.88-6.84(m,1H),5.32(s,2H),3.86(s,3H),2.67(s,3H)。
2-[1-(4-benzyl chloride base)-5-methoxyl group-1H-indol-3-yl]-2-oxo-N-pyridine-2-yl acetamide
1H?NMR(CDCl3/300MHz)9.98(bs,1H),9.02(s,1H),8.40(d,1H,J=4.2Hz),8.30(d,1H,J=8.4Hz),7.99(d,1H,J=2.7Hz),7.77(td,1H,J=1.5,8.1Hz),7.31(d,2H,J=8.4Hz),7.16-7.10(m,3H),6.92(dd,1H,J=2.7,9.0Hz),5.35(s,2H),3.93(s,3H)。
2-[1-(4-benzyl chloride base)-5-methoxyl group-2-Methyl-1H-indole-3-yl]-N-cyclohexyl-2-oxo ethanamide
1H?NMR(CDCl3/300MHz)7.73(d,1H,J=2.7Hz),7.26(d,2H,J=8.7Hz),7.07(d,1H,J=9.0Hz),6.93(d,2H,J=8.7Hz),6.84(dd,1H,J=2.7,9.0Hz),6.74(brd,1H,J=8.4Hz),5.30(s,2H),3.88(m,1H),3.87(s,3H),2.64(s,3H),2.05-1.10(m,10H)。
2-[1-(4-benzyl chloride base)-5-methoxyl group-2-Methyl-1H-indole-3-yl]-N-cyclopropyl-2-oxo ethanamide
1H?NMR(CDCl3/300MHz)7.72(d,1H,J=2.1Hz),7.26(d,2H,J=8.7Hz),7.07(d,1H,J=9.0Hz),6.92(d,2H,J=8.7Hz),6.83(dd,1H,J=2.1,9.0Hz),5.29(s,2H),3.87(s,3H),2.88(m,1H),2.63(s,3H),0.91(m,2H),0.65(m,2H)。
[1-(4-benzyl chloride base)-5-methoxyl group-2-Methyl-1H-indole-3-yl] (oxo) acetate
1H?NMR(CDCl3/300MHz)7.92(d,1H,J=2.7Hz),7.28(d,2H,J=8.7Hz),7.12(d,1H,J=8.7Hz),6.94(d,2H,J=8.7Hz),6.90(dd,1H,J=2.7,8.7Hz),5.35(s,2H),3.90(s,3H),2.74(s,3H)。
[1-(4-benzyl chloride base)-5-methoxyl group-2-Methyl-1H-indole-3-yl] (5-pyridine-2-base-2-thienyl) ketone
1H?NMR(CDCl3/300MHz)8.64(m,1H),7.75(m,2H),7.65(m,2H),7.39-7.23(m,4H),7.11(d,1H,J=9.0Hz),6.94(d,2H,J=8.4Hz),6.83(dd,1H,J=2.7,9.0Hz),5.32(s,2H),3.37(s,3H),2.54(s,3H)。
Useful compound in addition
In useful compound, have:
[6-chloro-1-(3, the 4-dichloro benzyl)-5-methoxyl group-2-Methyl-1H-indole-3-yl] acetate
[6-chloro-1-(3, the 4-difluorobenzyl)-5-methoxyl group-2-Methyl-1H-indole-3-yl] acetate
[6-chloro-1-(3, the 5-dichloro benzyl)-2,5-dimethyl-1H-indol-3-yl] acetate
[1-(3-bromobenzyl)-6-chloro-5-methoxyl group-2-Methyl-1H-indole-3-yl] acetate
5-fluoro-2-methyl isophthalic acid-[3-(trifluoromethoxy) benzyl]-1H-indole-3-formaldehyde
(2E)-and 3-{5-fluoro-2-methyl isophthalic acid-[3-(trifluoromethoxy) benzyl]-1H-indol-3-yl } vinylformic acid
{ 5-methoxyl group-2-methyl isophthalic acid-[3-(trifluoromethoxy) benzyl]-1H-indol-3-yl } acetate
{ 4,6-two chloro-2-methyl isophthalic acids-[3-(trifluoromethoxy) benzyl]-1H-indol-3-yl } acetate
{ 2-methyl isophthalic acid-[3-(trifluoromethoxy) benzyl]-1H-indol-3-yl } acetate
2-chloro-3-[3-(trifluoromethoxy) benzyl]-1H-indoles-1-yl } acetate
(2Z)-2-oxo-1-[3-(trifluoromethoxy) benzyl]-1,2-dihydro-3H-indoles-3-subunit } acetate
[6-chloro-1-(3, the 5-dimethyl benzyl)-5-methoxyl group-2-Methyl-1H-indole-3-yl] acetate
1-[3,5-two (trifluoromethyl) benzyl]-6-chloro-5-methoxyl group-2-Methyl-1H-indole-3-yl } acetate
5-methoxyl group-1-[3-(trifluoromethoxy) benzyl]-the 1H-indol-3-yl } acetate
2-oxo-1-[3-(trifluoromethoxy) benzyl] and-2,3-dihydro-1H-indol-3-yl } acetate
6-chloro-1-[3-(difluoro-methoxy) benzyl]-5-methoxyl group-2-Methyl-1H-indole-3-yl } acetate
{ 5,6-two chloro-2-methyl isophthalic acids-[3-(trifluoromethoxy) benzyl]-1H-indol-3-yl } acetate
2-chloro-1-[3-(trifluoromethoxy) benzyl]-the 1H-indol-3-yl } acetate
{ 5-chloro-2-methyl isophthalic acid-[3-(trifluoromethoxy) benzyl]-1H-indol-3-yl } acetate
{ 5-chloro-2-methyl isophthalic acid-[3-(trifluoromethyl) benzyl]-1H-indol-3-yl } acetate
(1-benzoyl-6-fluoro-5-hydroxy-2-methyl-1H-indol-3-yl) methyl acetate
[1-(4-chlorobenzene formacyl)-4-fluoro-5-methoxyl group-2-Methyl-1H-indole-3-yl] methyl acetate
[1-(4-chlorobenzene formacyl)-4-fluoro-5-hydroxy-2-methyl-1H-indol-3-yl] methyl acetate
[1-(3,4-dichloro-benzoyl base)-5-methoxyl group-2-Methyl-1H-indole-3-yl] methyl acetate
[1-(4-fluoro benzoyl)-5-hydroxy-2-methyl-1H-indol-3-yl] methyl acetate
{ 5-methoxyl group-2-methyl isophthalic acid-[4-(trifluoromethyl) benzoyl]-1H-indol-3-yl } methyl acetate
[1-(4-bromobenzyl)-5-hydroxy-2-methyl-1H-indol-3-yl] methyl acetate
[1-(4-bromobenzyl)-4,6-two fluoro-5-methoxyl groups-2-Methyl-1H-indole-3-yl] methyl acetate
[1-(cyclohexyl-carbonyl)-6-fluoro-5-methoxyl group-2-Methyl-1H-indole-3-yl] methyl acetate
1-[(5-chloro-2-thienyl) carbonyl]-6-fluoro-5-methoxyl group-2-Methyl-1H-indole-3-yl } methyl acetate
[6-fluoro-1-(4-fluoro benzoyl)-5-methoxyl group-2-Methyl-1H-indole-3-yl] methyl acetate
6-fluoro-5-hydroxy-2-methyl-1-[(5-methyl-2-thienyl) carbonyl]-the 1H-indol-3-yl } methyl acetate
6-chloro-1-[(5-chloro-2-thienyl) methyl]-5-methoxyl group-2-Methyl-1H-indole-3-yl } methyl acetate
6-chloro-1-[(5-chloro-2-thienyl) carbonyl]-5-hydroxy-2-methyl-1H-indol-3-yl } methyl acetate
{ 5-fluoro-2-methyl isophthalic acid-[3-(trifluoromethoxy) benzyl]-1H-indol-3-yl } acetate
(2E)-and 3-{5-methoxyl group-2-methyl isophthalic acid-[3-(trifluoromethoxy) benzyl]-1H-indol-3-yl } vinylformic acid
[6-chloro-5-methoxyl group-2-methyl isophthalic acid-(3-nitrobenzyl)-1H-indol-3-yl] acetate
(5-fluoro-2-methyl isophthalic acid-{ [4-(methylsulfonyl) phenyl] alkylsulfonyl }-1H-indol-3-yl) acetate
(6-chloro-5-methoxyl group-2-methyl isophthalic acid-{ [3-(trifluoromethoxy) phenyl] alkylsulfonyl }-1H-indol-3-yl) acetate
[6-chloro-1-(3, the 5-difluorobenzyl)-5-methoxyl group-2-Methyl-1H-indole-3-yl] acetate
6-fluoro-2,5-dimethyl-1-[3-(trifluoromethoxy) benzyl]-the 1H-indol-3-yl } methyl acetate
6-chloro-2,3-dimethyl-1-[3-(trifluoromethoxy) benzyl]-the 1H-ethychlozate ester
5-hydroxy-2-methyl-1-[4-(trifluoromethoxy) benzoyl]-the 1H-indol-3-yl } methyl acetate
[5-hydroxy-2-methyl-1-(4-methyl benzoyl)-1H-indol-3-yl] methyl acetate
5-hydroxy-2-methyl-1-[4-(trifluoromethyl) benzoyl]-the 1H-indol-3-yl } methyl acetate
[1-(3, the 4-difluoro benzoyl)-5-methoxyl group-2-Methyl-1H-indole-3-yl] methyl acetate
[6-fluoro-5-methoxyl group-2-methyl isophthalic acid-(2-thienyl carbonyl)-1H-indol-3-yl] methyl acetate
[6-chloro-1-(4-fluoro benzoyl)-5-methoxyl group-2-Methyl-1H-indole-3-yl] methyl acetate
6-chloro-1-[(5-chloro-2-thienyl) carbonyl]-5-methoxyl group-2-Methyl-1H-indole-3-yl } methyl acetate
[6-chloro-1-(4-benzyl chloride base)-2,5-dimethyl-1H-indol-3-yl] methyl acetate
[6-chloro-1-(3-benzyl chloride base)-5-fluoro-2-Methyl-1H-indole-3-yl] methyl acetate
[6-chloro-1-(3-benzyl chloride base)-2,5-dimethyl-1H-indol-3-yl] methyl acetate
6-chloro-2,5-dimethyl-1-[3-(trifluoromethoxy) benzyl]-the 1H-indol-3-yl } methyl acetate
1-(1,3-benzothiazole-2-ylmethyl)-5-fluoro-2-Methyl-1H-indole-3-carboxylate methyl ester
{ 5-fluoro-2-methyl isophthalic acid-[3-(trifluoromethoxy) benzyl]-1H-indol-3-yl } (oxo) methyl acetate
6-chloro-5-hydroxy-2-methyl-1-[3-(trifluoromethoxy) benzyl]-the 1H-indol-3-yl } acetate
(5-methoxyl group-2-Methyl-1H-indole-3-yl) (5-pyridine-2-base-1,3,4-oxadiazole-2-yl) ketone
2-[1-(4-benzyl chloride base)-5-methoxyl group-2-Methyl-1H-indole-3-yl]-N-cyclohexyl-N-methyl-2-oxo ethanamide
[1-(4-bromobenzyl)-5-methoxyl group-2-Methyl-1H-indole-3-yl] (5-pyridine-2-base-1,3,4-oxadiazole-2-yl) ketone O-methyloxime
1-[1-(2, the 4-dichloro benzyl)-2,5-dimethyl-1H-indol-3-yl]-2-morpholine-4-base-2-oxo ethyl ketone
2-[5-chloro-1-(4-benzyl chloride base)-2-Methyl-1H-indole-3-yl]-N-cyclopropyl-2-oxo ethanamide
2-[5-chloro-1-(4-benzyl chloride base)-2-Methyl-1H-indole-3-yl]-2-oxo-N-pyridine-2-yl acetamide
2-[5-chloro-1-(4-benzyl chloride base)-2-Methyl-1H-indole-3-yl]-2-oxo-N-piperidines-1-yl acetamide
[5-methoxyl group-1-(4-methoxy-benzyl)-2-Methyl-1H-indole-3-yl] (5-pyridine-2-base-1,3,4-oxadiazole-2-yl) ketone O-methyloxime
N-cyclohexyl-2-[1-(2, the 4-dichloro benzyl)-2,5-dimethyl-1H-indol-3-yl]-2-oxo ethanamide
The derivative of indolic acid
The other compound of formula I comprises that title is the derivative of the compound in the lower part of " indolic acid ", wherein: (l) group on 3 of indyl (for example-CH2C (O) OH) quilt-C (O) R3Substitute, wherein R3Be the R of formula I3In some instances, R3Be selected from: R3x, R3yAnd R3z, wherein:
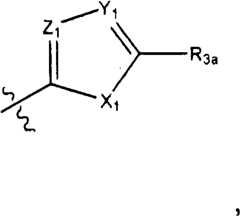
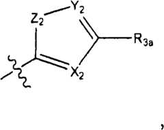
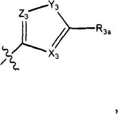
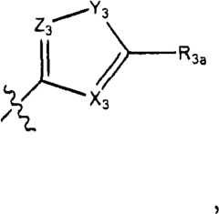
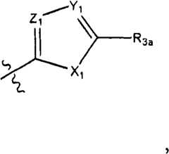
X wherein1, Y1And Z1: (a) be O, N and N respectively; (b) be O, N and C (R respectively3c); (c) be O, C (R respectively3c) and C (R3c); (d) be O, C (R respectively3c) and N; (e) be S, N and N respectively; (f) be S, N and C (R respectively3c); (g) be S, C (R respectively3c) and C (R3c); (h) be S, C (R respectively3c) and N; (i) be N (R respectively3b), N and N; (j) be N (R respectively3b), N and C (R3c); (k) be N (R respectively3b), C (R3c) and C (R3c); Or (l) be respectively N (R3b), C (R3c) and N;
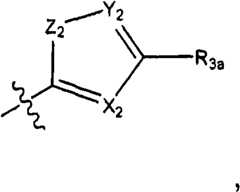
X wherein2, Y2And Z2: (a) be N, N and O respectively; (b) be C (R respectively3c), N and O; (c) be N, C (R respectively3c) and O; (d) be C (R respectively3c), C (R3c) and O; (e) be N, N and S respectively; (f) be C (R respectively3c), N and S; (g) be N, C (R respectively3c) and S; (h) be C (R respectively3c), C (R3c) and S; (i) be N, N and N (R respectively3b); (j) be C (R respectively3c), N and N (R3b); (k) be N, C (R respectively3c) and N (R3b); Or (l) be respectively C (R3c), C (R3c) and N (R3b);
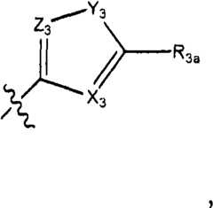
X wherein3, Y3And Z3: (a) be N, O and N respectively; (b) be C (R respectively3c), O and N; (c) be N, O and C (R respectively3c); (d) be C (R respectively3c), O and C; (e) be N, S and N respectively; (f) be C (R respectively3c), S and N; (g) be N, S and C respectively; (h) be C (R respectively3c), S and C (R3c); (i) be N, N (R respectively3b) and N; (j) be C (R respectively3c), N (R3b) and N; (k) be N, N (R respectively3b) and C (R3c); Or (l) be respectively C (R3c), N (R3b) and C (R3c);
R3aBe selected from:
H, halogen, the optional aryl that replaces, the optional heteroaryl that replaces, the optional C1-C5 alkyl that replaces, the optional C2-C5 alkenyl that replaces, the optional C2-C5 alkynyl that replaces, the optional C1-C5 alkoxyl group that replaces ,-NO2,-CN ,-C (O) OH, optional replace-SO2CH3, optional replace-SO2NH2, optional replace-SO2OH ,-C (O) H, optional replace-C (O) CH3, optional replace-C (O) N (CH3)2, optional replace-C (O) NH2, optional replace-SCH3, the optional C3-C10 cycloalkyl that replaces or carbocyclic ring, the optional heterocycle that replaces, or R3aWith carbon that is connected it and Y1, Y2Or Y3Form together and contain 5 heteroaryl or R to 6 annular atomses3aDo not exist.
R3bBe selected from:
H, the optional aryl that replaces, the optional heteroaryl that replaces, the optional C1-C5 alkyl that replaces, the optional C2-C5 alkenyl that replaces, the optional C2-C5 alkynyl that replaces, the optional C1-C5 alkoxyl group that replaces ,-CN, optional replace-SO2CH3, optional replace-SO2NH2, optional replace-SO2OH, optional replacement-C (O) CH3, optional replace-C (O) N (CH3)2, optional replace-C (O) NH2, the optional C3-C10 cycloalkyl that replaces or carbocyclic ring, the optional heterocycle that replaces;
R3cBe selected from:
H, halogen, the optional aryl that replaces, the optional heteroaryl that replaces, the optional C1-C5 alkyl that replaces, the optional C2-C5 alkenyl that replaces, the optional C2-C5 alkynyl that replaces, the optional C1-C5 alkoxyl group that replaces ,-NO2,-CN ,-C (O) OH, optional replace-SO2CH3, optional replace-SO2NH2, optional replace-SO2OH ,-C (O) H, optional replace-C (O) CH3, optional replace-C (O) N (CH3)2, optional replace-C (O) NH2, optional replace-SCH3, the optional C3-C10 cycloalkyl that replaces or carbocyclic ring, the optional heterocycle that replaces, or R3cWith the carbon that is connected it be connected R3cCarbon bonded annular atoms can form together and contain 5 heteroaryls to 6 annular atomses.
Indolic acid
[6-fluoro-5-hydroxy-2-methyl-1-(thiophene-2-base carbonyl)-1H-indol-3-yl] acetate;
6-fluoro-1-[(5-fluorine thiophene-2-yl) carbonyl]-5-hydroxy-2-methyl-1H-indol-3-yl } acetate;
1-[(5-chlorothiophene-2-yl) carbonyl]-6-fluoro-5-hydroxy-2-methyl-1H-indol-3-yl } acetate;
1-[(5-bromothiophene-2-yl) carbonyl]-6-fluoro-5-hydroxy-2-methyl-1H-indol-3-yl } acetate;
6-fluoro-5-hydroxyl-1-[(5-hydroxyl thiophene-2-yl) carbonyl]-2-Methyl-1H-indole-3-yl } acetate;
6-fluoro-5-hydroxyl-1-[(5-methoxythiophene-2-yl) carbonyl]-2-Methyl-1H-indole-3-yl } acetate;
1-[(5-oxyethyl group thiophene-2-yl) carbonyl]-6-fluoro-5-hydroxy-2-methyl-1H-indol-3-yl } acetate;
(1-{[5-(difluoro-methoxy) thiophene-2-yl] carbonyl }-6-fluoro-5-hydroxy-2-methyl-1H-indol-3-yl) acetate;
(6-fluoro-5-hydroxy-2-methyl-1-{[5-(trifluoromethoxy) thiophene-2-yl] carbonyl }-the 1H-indol-3-yl) acetate;
(6-fluoro-5-hydroxy-2-methyl-1-{[5-(five fluorine oxyethyl groups) thiophene-2-yl] carbonyl }-the 1H-indol-3-yl) acetate;
(6-fluoro-5-hydroxy-2-methyl-1-{[5-(1,1,2,2-tetrafluoro oxyethyl group) thiophene-2-yl] carbonyl }-the 1H-indol-3-yl) acetate;
6-fluoro-5-hydroxy-2-methyl-1-[(5-thiotolene-2-yl) carbonyl]-the 1H-indol-3-yl } acetate;
(1-{[5-(difluoromethyl) thiophene-2-yl] carbonyl }-6-fluoro-5-hydroxy-2-methyl-1H-indol-3-yl) acetate;
(6-fluoro-5-hydroxy-2-methyl-1-{[5-(trifluoromethyl) thiophene-2-yl] carbonyl }-the 1H-indol-3-yl) acetate;
(6-fluoro-5-hydroxy-2-methyl-1-{[5-(methyl sulfo-) thiophene-2-yl] carbonyl }-the 1H-indol-3-yl) acetate;
[1-(the 5-[(difluoromethyl) and sulfo-] thiophene-2-yl } carbonyl)-6-fluoro-5-hydroxy-2-methyl-1H-indol-3-yl] acetate;
[6-fluoro-5-hydroxy-2-methyl-1-(the 5-[(trifluoromethyl) and sulfo-] thiophene-2-yl } carbonyl)-the 1H-indol-3-yl] acetate;
[6-fluoro-5-hydroxy-2-methyl-1-(the 5-[(pentafluoroethyl group) and sulfo-] thiophene-2-yl } carbonyl)-the 1H-indol-3-yl] acetate;
[6-fluoro-5-hydroxy-2-methyl-1-(5-[(1,1,2,2-tetrafluoro ethyl) and sulfo-] thiophene-2-yl } carbonyl)-the 1H-indol-3-yl] acetate; With
1-[(5-cyano thiophene-2-yl) carbonyl]-6-fluoro-5-hydroxy-2-methyl-1H-indol-3-yl } acetate
[6-fluoro-5-hydroxy-2-methyl-1-(thiene-3-yl-carbonyl)-1H-indol-3-yl] acetate
6-fluoro-1-[(5-fluorine thiene-3-yl-) carbonyl]-5-hydroxy-2-methyl-1H-indol-3-yl } acetate;
1-[(5-chlorothiophene-3-yl) carbonyl]-6-fluoro-5-hydroxy-2-methyl-1H-indol-3-yl } acetate;
1-[(5-bromothiophene-3-yl) carbonyl]-6-fluoro-5-hydroxy-2-methyl-1H-indol-3-yl } acetate;
6-fluoro-5-hydroxyl-1-[(5-hydroxyl thiene-3-yl-) carbonyl]-2-Methyl-1H-indole-3-yl } acetate;
6-fluoro-5-hydroxyl-1-[(5-methoxythiophene-3-yl) carbonyl]-2-Methyl-1H-indole-3-yl } acetate;
1-[(5-oxyethyl group thiene-3-yl-) carbonyl]-6-fluoro-5-hydroxy-2-methyl-1H-indol-3-yl } acetate;
(1-{[5-(difluoro-methoxy) thiene-3-yl-] carbonyl }-6-fluoro-5-hydroxy-2-methyl-1H-indol-3-yl) acetate;
(6-fluoro-5-hydroxy-2-methyl-1-{[5-(trifluoromethoxy) thiene-3-yl-] carbonyl }-the 1H-indol-3-yl) acetate;
(6-fluoro-5-hydroxy-2-methyl-1-{[5-(five fluorine oxyethyl groups) thiene-3-yl-] carbonyl }-the 1H-indol-3-yl) acetate;
(6-fluoro-5-hydroxy-2-methyl-1-{[5-(1,1,2,2-tetrafluoro oxyethyl group) thiene-3-yl-] carbonyl }-the 1H-indol-3-yl) acetate;
6-fluoro-5-hydroxy-2-methyl-1-[(5-thiotolene-3-yl) carbonyl]-the 1H-indol-3-yl } acetate;
(1-{[5-(difluoromethyl) thiene-3-yl-] carbonyl }-6-fluoro-5-hydroxy-2-methyl-1H-indol-3-yl) acetate;
(6-fluoro-5-hydroxy-2-methyl-1-{[5-(trifluoromethyl) thiene-3-yl-] carbonyl }-the 1H-indol-3-yl) acetate;
(6-fluoro-5-hydroxy-2-methyl-1-{[5-(methyl sulfo-) thiene-3-yl-] carbonyl }-the 1H-indol-3-yl) acetate;
[1-(the 5-[(difluoromethyl) and sulfo-] thiene-3-yl-} carbonyl)-6-fluoro-5-hydroxy-2-methyl-1H-indol-3-yl] acetate;
[6-fluoro-5-hydroxy-2-methyl-1-(the 5-[(trifluoromethyl) and sulfo-] thiene-3-yl-} carbonyl)-the 1H-indol-3-yl] acetate;
[6-fluoro-5-hydroxy-2-methyl-1-(the 5-[(pentafluoroethyl group) and sulfo-] thiene-3-yl-} carbonyl)-the 1H-indol-3-yl] acetate;
[6-fluoro-5-hydroxy-2-methyl-1-(5-[(1,1,2,2-tetrafluoro ethyl) and sulfo-] thiene-3-yl-} carbonyl)-the 1H-indol-3-yl] acetate; With
1-[(5-cyano thiophene-3-yl) carbonyl]-6-fluoro-5-hydroxy-2-methyl-1H-indol-3-yl } acetate.
[6-chloro-5-hydroxy-2-methyl-1-(thiene-3-yl-carbonyl)-1H-indol-3-yl] acetate
6-chloro-1-[(5-fluorine thiene-3-yl-) carbonyl]-5-hydroxy-2-methyl-1H-indol-3-yl } acetate;
1-[(5-chlorothiophene-3-yl) carbonyl]-6-chloro-5-hydroxy-2-methyl-1H-indol-3-yl } acetate;
1-[(5-bromothiophene-3-yl) carbonyl]-6-chloro-5-hydroxy-2-methyl-1H-indol-3-yl } acetate;
6-chloro-5-hydroxyl-1-[(5-hydroxyl thiene-3-yl-) carbonyl]-2-Methyl-1H-indole-3-yl } acetate;
6-chloro-5-hydroxyl-1-[(5-methoxythiophene-3-yl) carbonyl]-2-Methyl-1H-indole-3-yl } acetate;
1-[(5-oxyethyl group thiene-3-yl-) carbonyl]-6-chloro-5-hydroxy-2-methyl-1H-indol-3-yl } acetate;
(1-{[5-(difluoro-methoxy) thiene-3-yl-] carbonyl }-6-chloro-5-hydroxy-2-methyl-1H-indol-3-yl) acetate;
(6-chloro-5-hydroxy-2-methyl-1-{[5-(trifluoromethoxy) thiene-3-yl-] carbonyl }-the 1H-indol-3-yl) acetate;
(6-chloro-5-hydroxy-2-methyl-1-{[5-(five fluorine oxyethyl groups) thiene-3-yl-] carbonyl }-the 1H-indol-3-yl) acetate;
(6-chloro-5-hydroxy-2-methyl-1-{[5-(1,1,2,2-tetrafluoro oxyethyl group) thiene-3-yl-] carbonyl }-the 1H-indol-3-yl) acetate;
6-chloro-5-hydroxy-2-methyl-1-[(5-thiotolene-3-yl) carbonyl]-the 1H-indol-3-yl } acetate;
(1-{[5-(difluoromethyl) thiene-3-yl-] carbonyl }-6-chloro-5-hydroxy-2-methyl-1H-indol-3-yl) acetate;
(6-chloro-5-hydroxy-2-methyl-1-{[5-(trifluoromethyl) thiene-3-yl-] carbonyl }-the 1H-indol-3-yl) acetate;
(6-chloro-5-hydroxy-2-methyl-1-{[5-(methyl sulfo-) thiene-3-yl-] carbonyl }-the 1H-indol-3-yl) acetate;
[1-(the 5-[(difluoromethyl) and sulfo-] thiene-3-yl-} carbonyl)-6-chloro-5-hydroxy-2-methyl-1H-indol-3-yl] acetate;
[6-chloro-5-hydroxy-2-methyl-1-(the 5-[(trifluoromethyl) and sulfo-] thiene-3-yl-} carbonyl)-the 1H-indol-3-yl] acetate;
[6-chloro-5-hydroxy-2-methyl-1-(the 5-[(pentafluoroethyl group) and sulfo-] thiene-3-yl-} carbonyl)-the 1H-indol-3-yl] acetate;
[6-chloro-5-hydroxy-2-methyl-1-(5-[(1,1,2,2-tetrafluoro ethyl) and sulfo-] thiene-3-yl-} carbonyl)-the 1H-indol-3-yl] acetate; With
1-[(5-cyano thiophene-3-yl) carbonyl]-6-chloro-5-hydroxy-2-methyl-1H-indol-3-yl } acetate.
[6-chloro-5-hydroxy-2-methyl-1-(thiophene-2-base carbonyl)-1H-indol-3-yl] acetate
6-chloro-1-[(5-fluorine thiophene-2-yl) carbonyl]-5-hydroxy-2-methyl-1H-indol-3-yl } acetate;
1-[(5-chlorothiophene-2-yl) carbonyl]-6-chloro-5-hydroxy-2-methyl-1H-indol-3-yl } acetate;
1-[(5-bromothiophene-2-yl) carbonyl]-6-chloro-5-hydroxy-2-methyl-1H-indol-3-yl } acetate;
6-chloro-5-hydroxyl-1-[(5-hydroxyl thiophene-2-yl) carbonyl]-2-Methyl-1H-indole-3-yl } acetate;
6-chloro-5-hydroxyl-1-[(5-methoxythiophene-2-yl) carbonyl]-2-Methyl-1H-indole-3-yl } acetate;
1-[(5-oxyethyl group thiophene-2-yl) carbonyl]-6-chloro-5-hydroxy-2-methyl-1H-indol-3-yl } acetate;
(1-{[5-(difluoro-methoxy) thiophene-2-yl] carbonyl }-6-chloro-5-hydroxy-2-methyl-1H-indol-3-yl) acetate;
(6-chloro-5-hydroxy-2-methyl-1-{[5-(trifluoromethoxy) thiophene-2-yl] carbonyl }-the 1H-indol-3-yl) acetate;
(6-chloro-5-hydroxy-2-methyl-1-{[5-(five fluorine oxyethyl groups) thiophene-2-yl] carbonyl }-the 1H-indol-3-yl) acetate;
(6-chloro-5-hydroxy-2-methyl-1-{[5-(1,1,2,2-tetrafluoro oxyethyl group) thiophene-2-yl] carbonyl }-the 1H-indol-3-yl) acetate;
6-chloro-5-hydroxy-2-methyl-1-[(5-thiotolene-2-yl) carbonyl]-the 1H-indol-3-yl } acetate;
(1-{[5-(difluoromethyl) thiophene-2-yl] carbonyl }-6-chloro-5-hydroxy-2-methyl-1H-indol-3-yl) acetate;
(6-chloro-5-hydroxy-2-methyl-1-{[5-(trifluoromethyl) thiophene-2-yl] carbonyl }-the 1H-indol-3-yl) acetate;
(6-chloro-5-hydroxy-2-methyl-1-{[5-(methyl sulfo-) thiophene-2-yl] carbonyl }-the 1H-indol-3-yl) acetate;
[1-(the 5-[(difluoromethyl) and sulfo-] thiophene-2-yl } carbonyl)-6-chloro-5-hydroxy-2-methyl-1H-indol-3-yl] acetate;
[6-chloro-5-hydroxy-2-methyl-1-(the 5-[(trifluoromethyl) and sulfo-] thiophene-2-yl } carbonyl)-the 1H-indol-3-yl] acetate;
[6-chloro-5-hydroxy-2-methyl-1-(the 5-[(pentafluoroethyl group) and sulfo-] thiophene-2-yl } carbonyl)-the 1H-indol-3-yl] acetate;
[6-chloro-5-hydroxy-2-methyl-1-(5-[(1,1,2,2-tetrafluoro ethyl) and sulfo-] thiophene-2-yl } carbonyl)-the 1H-indol-3-yl] acetate; With
1-[(5-cyano thiophene-2-yl) carbonyl]-6-chloro-5-hydroxy-2-methyl-1H-indol-3-yl } acetate.
[6-fluoro-5-methoxyl group-2-methyl isophthalic acid-(thiene-3-yl-carbonyl)-1H-indol-3-yl] acetate
[6-fluoro-5-methoxyl group-2-methyl isophthalic acid-(thiophene-2-base carbonyl)-1H-indol-3-yl] acetate;
6-fluoro-1-[(5-fluorine thiophene-2-yl) carbonyl]-5-methoxyl group-2-Methyl-1H-indole-3-yl } acetate;
1-[(5-chlorothiophene-2-yl) carbonyl]-6-fluoro-5-methoxyl group-2-Methyl-1H-indole-3-yl } acetate;
1-[(5-bromothiophene-2-yl) carbonyl]-6-fluoro-5-methoxyl group-2-Methyl-1H-indole-3-yl } acetate;
6-fluoro-5-methoxyl group-1-[(5-hydroxyl thiophene-2-yl) carbonyl]-2-Methyl-1H-indole-3-yl } acetate;
6-fluoro-5-methoxyl group-1-[(5-methoxythiophene-2-yl) carbonyl]-2-Methyl-1H-indole-3-yl } acetate;
1-[(5-oxyethyl group thiophene-2-yl) carbonyl]-6-fluoro-5-methoxyl group-2-Methyl-1H-indole-3-yl } acetate;
(1-{[5-(difluoro-methoxy) thiophene-2-yl] carbonyl }-6-fluoro-5-methoxyl group-2-Methyl-1H-indole-3-yl) acetate;
(6-fluoro-5-methoxyl group-2-methyl isophthalic acid-{ [5-(trifluoromethoxy) thiophene-2-yl] carbonyl }-1H-indol-3-yl) acetate;
(6-fluoro-5-methoxyl group-2-methyl isophthalic acid-{ [5-(five fluorine oxyethyl groups) thiophene-2-yl] carbonyl }-1H-indol-3-yl) acetate;
(6-fluoro-5-methoxyl group-2-methyl isophthalic acid-{ [5-(1,1,2,2-tetrafluoro oxyethyl group) thiophene-2-yl] carbonyl }-1H-indol-3-yl) acetate;
{ 6-fluoro-5-methoxyl group-2-methyl isophthalic acid-[(5-thiotolene-2-yl) carbonyl]-1H-indol-3-yl } acetate;
(1-{[5-(difluoromethyl) thiophene-2-yl] carbonyl }-6-fluoro-5-methoxyl group-2-Methyl-1H-indole-3-yl) acetate;
(6-fluoro-5-methoxyl group-2-methyl isophthalic acid-{ [5-(trifluoromethyl) thiophene-2-yl] carbonyl }-1H-indol-3-yl) acetate;
(6-fluoro-5-methoxyl group-2-methyl isophthalic acid-{ [5-(methyl sulfo-) thiophene-2-yl] carbonyl }-1H-indol-3-yl) acetate;
[1-(the 5-[(difluoromethyl) and sulfo-] thiophene-2-yl } carbonyl)-6-fluoro-5-methoxyl group-2-Methyl-1H-indole-3-yl] acetate;
[6-fluoro-5-methoxyl group-2-methyl isophthalic acid-(the 5-[(trifluoromethyl) sulfo-] thiophene-2-yl } carbonyl)-the 1H-indol-3-yl] acetate;
[6-fluoro-5-methoxyl group-2-methyl isophthalic acid-(the 5-[(pentafluoroethyl group) sulfo-] thiophene-2-yl } carbonyl)-the 1H-indol-3-yl] acetate;
[6-fluoro-5-methoxyl group-2-methyl isophthalic acid-(5-[(1,1,2,2-tetrafluoro ethyl) sulfo-] thiophene-2-yl } carbonyl)-the 1H-indol-3-yl] acetate; With
1-[(5-cyano thiophene-2-yl) carbonyl]-6-fluoro-5-methoxyl group-2-Methyl-1H-indole-3-yl } acetate.
[6-chloro-5-methoxyl group-2-methyl isophthalic acid-(thiophene-2-base carbonyl)-1H-indol-3-yl] acetate: 6-chloro-1-[(5-fluorine thiophene-2-yl) carbonyl]-5-methoxyl group-2-Methyl-1H-indole-3-yl } acetate;
1-[(5-chlorothiophene-2-yl) carbonyl]-6-chloro-5-methoxyl group-2-Methyl-1H-indole-3-yl } acetate;
1-[(5-bromothiophene-2-yl) carbonyl]-6-chloro-5-methoxyl group-2-Methyl-1H-indole-3-yl } acetate;
6-chloro-5-methoxyl group-1-[(5-hydroxyl thiophene-2-yl) carbonyl]-2-Methyl-1H-indole-3-yl } acetate;
6-chloro-5-methoxyl group-1-[(5-methoxythiophene-2-yl) carbonyl]-2-Methyl-1H-indole-3-yl } acetate;
1-[(5-oxyethyl group thiophene-2-yl) carbonyl]-6-chloro-5-methoxyl group-2-Methyl-1H-indole-3-yl } acetate;
(1-{[5-(difluoro-methoxy) thiophene-2-yl] carbonyl }-6-chloro-5-methoxyl group-2-Methyl-1H-indole-3-yl) acetate;
(6-chloro-5-methoxyl group-2-methyl isophthalic acid-{ [5-(trifluoromethoxy) thiophene-2-yl] carbonyl }-1H-indol-3-yl) acetate;
(6-chloro-5-methoxyl group-2-methyl isophthalic acid-{ [5-(five fluorine oxyethyl groups) thiophene-2-yl] carbonyl }-1H-indol-3-yl) acetate;
(6-chloro-5-methoxyl group-2-methyl isophthalic acid-{ [5-(1,1,2,2-tetrafluoro oxyethyl group) thiophene-2-yl] carbonyl }-1H-indol-3-yl) acetate;
{ 6-chloro-5-methoxyl group-2-methyl isophthalic acid-[(5-thiotolene-2-yl) carbonyl]-1H-indol-3-yl } acetate;
(1-{[5-(difluoromethyl) thiophene-2-yl] carbonyl }-6-chloro-5-methoxyl group-2-Methyl-1H-indole-3-yl) acetate;
(6-chloro-5-methoxyl group-2-methyl isophthalic acid-{ [5-(trifluoromethyl) thiophene-2-yl] carbonyl }-1H-indol-3-yl) acetate;
(6-chloro-5-methoxyl group-2-methyl isophthalic acid-{ [5-(methyl sulfo-) thiophene-2-yl] carbonyl }-1H-indol-3-yl) acetate;
[1-(the 5-[(difluoromethyl) and sulfo-] thiophene-2-yl } carbonyl)-6-chloro-5-methoxyl group-2-Methyl-1H-indole-3-yl] acetate;
[6-chloro-5-methoxyl group-2-methyl isophthalic acid-(the 5-[(trifluoromethyl) sulfo-] thiophene-2-yl } carbonyl)-the 1H-indol-3-yl] acetate;
[6-chloro-5-methoxyl group-2-methyl isophthalic acid-(the 5-[(pentafluoroethyl group) sulfo-] thiophene-2-yl } carbonyl)-the 1H-indol-3-yl] acetate;
[6-chloro-5-methoxyl group-2-methyl isophthalic acid-(5-[(1,1,2,2-tetrafluoro ethyl) sulfo-] thiophene-2-yl } carbonyl)-the 1H-indol-3-yl] acetate; With
1-[(5-cyano thiophene-2-yl) carbonyl]-6-chloro-5-methoxyl group-2-Methyl-1H-indole-3-yl } acetate.
[6-fluoro-5-methoxyl group-2-methyl isophthalic acid-(thiene-3-yl-carbonyl)-1H-indol-3-yl] acetate
6-fluoro-1-[(5-fluorine thiene-3-yl-) carbonyl]-5-methoxyl group-2-Methyl-1H-indole-3-yl } acetate;
1-[(5-chlorothiophene-3-yl) carbonyl]-6-fluoro-5-methoxyl group-2-Methyl-1H-indole-3-yl } acetate;
1-[(5-bromothiophene-3-yl) carbonyl]-6-fluoro-5-methoxyl group-2-Methyl-1H-indole-3-yl } acetate;
6-fluoro-5-methoxyl group-1-[(5-hydroxyl thiene-3-yl-) carbonyl]-2-Methyl-1H-indole-3-yl } acetate;
6-fluoro-5-methoxyl group-1-[(5-methoxythiophene-3-yl) carbonyl]-2-Methyl-1H-indole-3-yl } acetate;
1-[(5-oxyethyl group thiene-3-yl-) carbonyl]-6-fluoro-5-methoxyl group-2-Methyl-1H-indole-3-yl } acetate;
(1-{[5-(difluoro-methoxy) thiene-3-yl-] carbonyl }-6-fluoro-5-methoxyl group-2-Methyl-1H-indole-3-yl) acetate;
(6-fluoro-5-methoxyl group-2-methyl isophthalic acid-{ [5-(trifluoromethoxy) thiene-3-yl-] carbonyl }-1H-indol-3-yl) acetate;
(6-fluoro-5-methoxyl group-2-methyl isophthalic acid-{ [5-(five fluorine oxyethyl groups) thiene-3-yl-] carbonyl }-1H-indol-3-yl) acetate;
(6-fluoro-5-methoxyl group-2-methyl isophthalic acid-{ [5-(1,1,2,2-tetrafluoro oxyethyl group) thiene-3-yl-] carbonyl }-1H-indol-3-yl) acetate;
{ 6-fluoro-5-methoxyl group-2-methyl isophthalic acid-[(5-thiotolene-3-yl) carbonyl]-1H-indol-3-yl } acetate;
(1-{[5-(difluoromethyl) thiene-3-yl-] carbonyl }-6-fluoro-5-methoxyl group-2-Methyl-1H-indole-3-yl) acetate;
(6-fluoro-5-methoxyl group-2-methyl isophthalic acid-{ [5-(trifluoromethyl) thiene-3-yl-] carbonyl }-1H-indol-3-yl) acetate;
(6-fluoro-5-methoxyl group-2-methyl isophthalic acid-{ [5-(methyl sulfo-) thiene-3-yl-] carbonyl }-1H-indol-3-yl) acetate;
[1-(the 5-[(difluoromethyl) and sulfo-] thiene-3-yl-} carbonyl)-6-fluoro-5-methoxyl group-2-Methyl-1H-indole-3-yl] acetate;
[6-fluoro-5-methoxyl group-2-methyl isophthalic acid-(the 5-[(trifluoromethyl) sulfo-] thiene-3-yl-} carbonyl)-the 1H-indol-3-yl] acetate;
[6-fluoro-5-methoxyl group-2-methyl isophthalic acid-(the 5-[(pentafluoroethyl group) sulfo-] thiene-3-yl-} carbonyl)-the 1H-indol-3-yl] acetate;
[6-fluoro-5-methoxyl group-2-methyl isophthalic acid-(5-[(1,1,2,2-tetrafluoro ethyl) sulfo-] thiene-3-yl-} carbonyl)-the 1H-indol-3-yl] acetate; With
1-[(5-cyano thiophene-3-yl) carbonyl]-6-fluoro-5-methoxyl group-2-Methyl-1H-indole-3-yl } acetate.
[6-chloro-5-methoxyl group-2-methyl isophthalic acid-(thiene-3-yl-carbonyl)-1H-indol-3-yl] acetate
6-chloro-1-[(5-fluorine thiene-3-yl-) carbonyl]-5-methoxyl group-2-Methyl-1H-indole-3-yl } acetate;
1-[(5-chlorothiophene-3-yl) carbonyl]-6-chloro-5-methoxyl group-2-Methyl-1H-indole-3-yl } acetate;
1-[(5-bromothiophene-3-yl) carbonyl]-6-chloro-5-methoxyl group-2-Methyl-1H-indole-3-yl } acetate;
6-chloro-5-methoxyl group-1-[(5-hydroxyl thiene-3-yl-) carbonyl]-2-Methyl-1H-indole-3-yl } acetate;
6-chloro-5-methoxyl group-1-[(5-methoxythiophene-3-yl) carbonyl]-2-Methyl-1H-indole-3-yl } acetate;
1-[(5-oxyethyl group thiene-3-yl-) carbonyl]-6-chloro-5-methoxyl group-2-Methyl-1H-indole-3-yl } acetate;
(1-{[5-(difluoro-methoxy) thiene-3-yl-] carbonyl }-6-chloro-5-methoxyl group-2-Methyl-1H-indole-3-yl) acetate;
(6-chloro-5-methoxyl group-2-methyl isophthalic acid-{ [5-(trifluoromethoxy) thiene-3-yl-] carbonyl }-1H-indol-3-yl) acetate;
(6-chloro-5-methoxyl group-2-methyl isophthalic acid-{ [5-(five fluorine oxyethyl groups) thiene-3-yl-] carbonyl }-1H-indol-3-yl) acetate;
(6-chloro-5-methoxyl group-2-methyl isophthalic acid-{ [5-(1,1,2,2-tetrafluoro oxyethyl group) thiene-3-yl-] carbonyl }-1H-indol-3-yl) acetate;
{ 6-chloro-5-methoxyl group-2-methyl isophthalic acid-[(5-thiotolene-3-yl) carbonyl]-1H-indol-3-yl } acetate;
(1-{[5-(difluoromethyl) thiene-3-yl-] carbonyl }-6-chloro-5-methoxyl group-2-Methyl-1H-indole-3-yl) acetate;
(6-chloro-5-methoxyl group-2-methyl isophthalic acid-{ [5-(trifluoromethyl) thiene-3-yl-] carbonyl }-1H-indol-3-yl) acetate;
(6-chloro-5-methoxyl group-2-methyl isophthalic acid-{ [5-(methyl sulfo-) thiene-3-yl-] carbonyl }-1H-indol-3-yl) acetate;
[1-(the 5-[(difluoromethyl) and sulfo-] thiene-3-yl-} carbonyl)-6-chloro-5-methoxyl group-2-Methyl-1H-indole-3-yl] acetate;
[6-chloro-5-methoxyl group-2-methyl isophthalic acid-(the 5-[(trifluoromethyl) sulfo-] thiene-3-yl-} carbonyl)-the 1H-indol-3-yl] acetate;
[6-chloro-5-methoxyl group-2-methyl isophthalic acid-(the 5-[(pentafluoroethyl group) sulfo-] thiene-3-yl-} carbonyl)-the 1H-indol-3-yl] acetate;
[6-chloro-5-methoxyl group-2-methyl isophthalic acid-(5-[(1,1,2,2-tetrafluoro ethyl) sulfo-] thiene-3-yl-} carbonyl)-the 1H-indol-3-yl] acetate; With
1-[(5-cyano thiophene-3-yl) carbonyl]-6-chloro-5-methoxyl group-2-Methyl-1H-indole-3-yl } acetate.
[4-fluoro-5-hydroxy-2-methyl-1-(thiophene-2-base carbonyl)-1H-indol-3-yl] acetate
4-fluoro-1-[(5-fluorine thiophene-2-yl) carbonyl]-5-hydroxy-2-methyl-1H-indol-3-yl } acetate;
1-[(5-chlorothiophene-2-yl) carbonyl]-4-fluoro-5-hydroxy-2-methyl-1H-indol-3-yl } acetate;
1-[(5-bromothiophene-2-yl) carbonyl]-4-fluoro-5-hydroxy-2-methyl-1H-indol-3-yl } acetate;
4-fluoro-5-hydroxyl-1-[(5-hydroxyl thiophene-2-yl) carbonyl]-2-Methyl-1H-indole-3-yl } acetate;
4-fluoro-5-hydroxyl-1-[(5-methoxythiophene-2-yl) carbonyl]-2-Methyl-1H-indole-3-yl } acetate;
1-[(5-oxyethyl group thiophene-2-yl) carbonyl]-4-fluoro-5-hydroxy-2-methyl-1H-indol-3-yl } acetate;
(1-{[5-(difluoro-methoxy) thiophene-2-yl] carbonyl }-4-fluoro-5-hydroxy-2-methyl-1H-indol-3-yl) acetate;
(4-fluoro-5-hydroxy-2-methyl-1-{[5-(trifluoromethoxy) thiophene-2-yl] carbonyl }-the 1H-indol-3-yl) acetate;
(4-fluoro-5-hydroxy-2-methyl-1-{[5-(five fluorine oxyethyl groups) thiophene-2-yl] carbonyl }-the 1H-indol-3-yl) acetate;
(4-fluoro-5-hydroxy-2-methyl-1-{[5-(1,1,2,2-tetrafluoro oxyethyl group) thiophene-2-yl] carbonyl }-the 1H-indol-3-yl) acetate;
4-fluoro-5-hydroxy-2-methyl-1-[(5-thiotolene-2-yl) carbonyl]-the 1H-indol-3-yl } acetate;
(1-{[5-(difluoromethyl) thiophene-2-yl] carbonyl }-4-fluoro-5-hydroxy-2-methyl-1H-indol-3-yl) acetate;
(4-fluoro-5-hydroxy-2-methyl-1-{[5-(trifluoromethyl) thiophene-2-yl] carbonyl }-the 1H-indol-3-yl) acetate;
(4-fluoro-5-hydroxy-2-methyl-1-{[5-(methyl sulfo-) thiophene-2-yl] carbonyl }-the 1H-indol-3-yl) acetate;
[1-(the 5-[(difluoromethyl) and sulfo-] thiophene-2-yl } carbonyl)-4-fluoro-5-hydroxy-2-methyl-1H-indol-3-yl] acetate;
[4-fluoro-5-hydroxy-2-methyl-1-(the 5-[(trifluoromethyl) and sulfo-] thiophene-2-yl } carbonyl)-the 1H-indol-3-yl] acetate;
[4-fluoro-5-hydroxy-2-methyl-1-(the 5-[(pentafluoroethyl group) and sulfo-] thiophene-2-yl } carbonyl)-the 1H-indol-3-yl] acetate;
[4-fluoro-5-hydroxy-2-methyl-1-(5-[(1,1,2,2-tetrafluoro ethyl) and sulfo-] thiophene-2-yl } carbonyl)-the 1H-indol-3-yl] acetate; With
1-[(5-cyano thiophene-2-yl) carbonyl]-4-fluoro-5-hydroxy-2-methyl-1H-indol-3-yl } acetate
[4-fluoro-5-hydroxy-2-methyl-1-(thiene-3-yl-carbonyl)-1H-indol-3-yl] acetate
4-fluoro-1-[(5-fluorine thiene-3-yl-) carbonyl]-5-hydroxy-2-methyl-1H-indol-3-yl } acetate;
1-[(5-chlorothiophene-3-yl) carbonyl]-4-fluoro-5-hydroxy-2-methyl-1H-indol-3-yl } acetate;
1-[(5-bromothiophene-3-yl) carbonyl]-4-fluoro-5-hydroxy-2-methyl-1H-indol-3-yl } acetate;
4-fluoro-5-hydroxyl-1-[(5-hydroxyl thiene-3-yl-) carbonyl]-2-Methyl-1H-indole-3-yl } acetate;
4-fluoro-5-hydroxyl-1-[(5-methoxythiophene-3-yl) carbonyl]-2-Methyl-1H-indole-3-yl } acetate;
1-[(5-oxyethyl group thiene-3-yl-) carbonyl]-4-fluoro-5-hydroxy-2-methyl-1H-indol-3-yl } acetate;
(1-{[5-(difluoro-methoxy) thiene-3-yl-] carbonyl }-4-fluoro-5-hydroxy-2-methyl-1H-indol-3-yl) acetate;
(4-fluoro-5-hydroxy-2-methyl-1-{[5-(trifluoromethoxy) thiene-3-yl-] carbonyl }-the 1H-indol-3-yl) acetate;
(4-fluoro-5-hydroxy-2-methyl-1-{[5-(five fluorine oxyethyl groups) thiene-3-yl-] carbonyl }-the 1H-indol-3-yl) acetate;
(4-fluoro-5-hydroxy-2-methyl-1-{[5-(1,1,2,2-tetrafluoro oxyethyl group) thiene-3-yl-] carbonyl }-the 1H-indol-3-yl) acetate;
4-fluoro-5-hydroxy-2-methyl-1-[(5-thiotolene-3-yl) carbonyl]-the 1H-indol-3-yl } acetate;
(1-{[5-(difluoromethyl) thiene-3-yl-] carbonyl }-4-fluoro-5-hydroxy-2-methyl-1H-indol-3-yl) acetate;
(4-fluoro-5-hydroxy-2-methyl-1-{[5-(trifluoromethyl) thiene-3-yl-] carbonyl }-the 1H-indol-3-yl) acetate;
(4-fluoro-5-hydroxy-2-methyl-1-{[5-(methyl sulfo-) thiene-3-yl-] carbonyl }-the 1H-indol-3-yl) acetate;
[1-(the 5-[(difluoromethyl) and sulfo-] thiene-3-yl-} carbonyl)-4-fluoro-5-hydroxy-2-methyl-1H-indol-3-yl] acetate;
[4-fluoro-5-hydroxy-2-methyl-1-(the 5-[(trifluoromethyl) and sulfo-] thiene-3-yl-} carbonyl)-the 1H-indol-3-yl] acetate;
[4-fluoro-5-hydroxy-2-methyl-1-(the 5-[(pentafluoroethyl group) and sulfo-] thiene-3-yl-} carbonyl)-the 1H-indol-3-yl] acetate;
[4-fluoro-5-hydroxy-2-methyl-1-(5-[(1,1,2,2-tetrafluoro ethyl) and sulfo-] thiene-3-yl-} carbonyl)-the 1H-indol-3-yl] acetate; With
1-[(5-cyano thiophene-3-yl) carbonyl]-4-fluoro-5-hydroxy-2-methyl-1H-indol-3-yl } acetate.
[4-chloro-5-hydroxy-2-methyl-1-(thiene-3-yl-carbonyl)-1H-indol-3-yl] acetate
4-chloro-1-[(5-fluorine thiene-3-yl-) carbonyl]-5-hydroxy-2-methyl-1H-indol-3-yl } acetate;
1-[(5-chlorothiophene-3-yl) carbonyl]-4-chloro-5-hydroxy-2-methyl-1H-indol-3-yl } acetate;
1-[(5-bromothiophene-3-yl) carbonyl]-4-chloro-5-hydroxy-2-methyl-1H-indol-3-yl } acetate;
4-chloro-5-hydroxyl-1-[(5-hydroxyl thiene-3-yl-) carbonyl]-2-Methyl-1H-indole-3-yl } acetate;
4-chloro-5-hydroxyl-1-[(5-methoxythiophene-3-yl) carbonyl]-2-Methyl-1H-indole-3-yl } acetate;
1-[(5-oxyethyl group thiene-3-yl-) carbonyl]-4-chloro-5-hydroxy-2-methyl-1H-indol-3-yl } acetate;
(1-{[5-(difluoro-methoxy) thiene-3-yl-] carbonyl }-4-chloro-5-hydroxy-2-methyl-1H-indol-3-yl) acetate;
(4-chloro-5-hydroxy-2-methyl-1-{[5-(trifluoromethoxy) thiene-3-yl-] carbonyl }-the 1H-indol-3-yl) acetate;
(4-chloro-5-hydroxy-2-methyl-1-{[5-(five fluorine oxyethyl groups) thiene-3-yl-] carbonyl }-the 1H-indol-3-yl) acetate;
(4-chloro-5-hydroxy-2-methyl-1-{[5-(1,1,2,2-tetrafluoro oxyethyl group) thiene-3-yl-] carbonyl }-the 1H-indol-3-yl) acetate;
4-chloro-5-hydroxy-2-methyl-1-[(5-thiotolene-3-yl) carbonyl]-the 1H-indol-3-yl } acetate;
(1-{[5-(difluoromethyl) thiene-3-yl-] carbonyl }-4-chloro-5-hydroxy-2-methyl-1H-indol-3-yl) acetate;
(4-chloro-5-hydroxy-2-methyl-1-{[5-(trifluoromethyl) thiene-3-yl-] carbonyl }-the 1H-indol-3-yl) acetate;
(4-chloro-5-hydroxy-2-methyl-1-{[5-(methyl sulfo-) thiene-3-yl-] carbonyl }-the 1H-indol-3-yl) acetate;
[1-(the 5-[(difluoromethyl) and sulfo-] thiene-3-yl-} carbonyl)-4-chloro-5-hydroxy-2-methyl-1H-indol-3-yl] acetate;
[4-chloro-5-hydroxy-2-methyl-1-(the 5-[(trifluoromethyl) and sulfo-] thiene-3-yl-} carbonyl)-the 1H-indol-3-yl] acetate;
[4-chloro-5-hydroxy-2-methyl-1-(the 5-[(pentafluoroethyl group) and sulfo-] thiene-3-yl-} carbonyl)-the 1H-indol-3-yl] acetate;
[4-chloro-5-hydroxy-2-methyl-1-(5-[(1,1,2,2-tetrafluoro ethyl) and sulfo-] thiene-3-yl-} carbonyl)-the 1H-indol-3-yl] acetate; With
1-[(5-cyano thiophene-3-yl) carbonyl]-4-chloro-5-hydroxy-2-methyl-1H-indol-3-yl } acetate.
[4-chloro-5-hydroxy-2-methyl-1-(thiophene-2-base carbonyl)-1H-indol-3-yl] acetate
4-chloro-1-[(5-fluorine thiophene-2-yl) carbonyl]-5-hydroxy-2-methyl-1H-indol-3-yl } acetate;
1-[(5-chlorothiophene-2-yl) carbonyl]-4-chloro-5-hydroxy-2-methyl-1H-indol-3-yl } acetate;
1-[(5-bromothiophene-2-yl) carbonyl]-4-chloro-5-hydroxy-2-methyl-1H-indol-3-yl } acetate;
4-chloro-5-hydroxyl-1-[(5-hydroxyl thiophene-2-yl) carbonyl]-2-Methyl-1H-indole-3-yl } acetate;
4-chloro-5-hydroxyl-1-[(5-methoxythiophene-2-yl) carbonyl]-2-Methyl-1H-indole-3-yl } acetate;
1-[(5-oxyethyl group thiophene-2-yl) carbonyl]-4-chloro-5-hydroxy-2-methyl-1H-indol-3-yl } acetate;
(1-{[5-(difluoro-methoxy) thiophene-2-yl] carbonyl }-4-chloro-5-hydroxy-2-methyl-1H-indol-3-yl) acetate;
(4-chloro-5-hydroxy-2-methyl-1-{[5-(trifluoromethoxy) thiophene-2-yl] carbonyl }-the 1H-indol-3-yl) acetate;
(4-chloro-5-hydroxy-2-methyl-1-{[5-(five fluorine oxyethyl groups) thiophene-2-yl] carbonyl }-the 1H-indol-3-yl) acetate;
(4-chloro-5-hydroxy-2-methyl-1-{[5-(1,1,2,2-tetrafluoro oxyethyl group) thiophene-2-yl] carbonyl }-the 1H-indol-3-yl) acetate;
4-chloro-5-hydroxy-2-methyl-1-[(5-thiotolene-2-yl) carbonyl]-the 1H-indol-3-yl } acetate;
(1-{[5-(difluoromethyl) thiophene-2-yl] carbonyl }-4-chloro-5-hydroxy-2-methyl-1H-indol-3-yl) acetate;
(4-chloro-5-hydroxy-2-methyl-1-{[5-(trifluoromethyl) thiophene-2-yl] carbonyl }-the 1H-indol-3-yl) acetate;
(4-chloro-5-hydroxy-2-methyl-1-{[5-(methyl sulfo-) thiophene-2-yl] carbonyl }-the 1H-indol-3-yl) acetate;
[1-(the 5-[(difluoromethyl) and sulfo-] thiophene-2-yl } carbonyl)-4-chloro-5-hydroxy-2-methyl-1H-indol-3-yl] acetate;
[4-chloro-5-hydroxy-2-methyl-1-(the 5-[(trifluoromethyl) and sulfo-] thiophene-2-yl } carbonyl)-the 1H-indol-3-yl] acetate;
[4-chloro-5-hydroxy-2-methyl-1-(the 5-[(pentafluoroethyl group) and sulfo-] thiophene-2-yl } carbonyl)-the 1H-indol-3-yl] acetate;
[4-chloro-5-hydroxy-2-methyl-1-(5-[(1,1,2,2-tetrafluoro ethyl) and sulfo-] thiophene-2-yl } carbonyl)-the 1H-indol-3-yl] acetate; With
1-[(5-cyano thiophene-2-yl) carbonyl]-4-chloro-5-hydroxy-2-methyl-1H-indol-3-yl } acetate.
[4-fluoro-5-methoxyl group-2-methyl isophthalic acid-(thiene-3-yl-carbonyl)-1H-indol-3-yl] acetate
4-fluoro-1-[(5-fluorine thiophene-2-yl) carbonyl]-5-methoxyl group-2-Methyl-1H-indole-3-yl } acetate;
1-[(5-chlorothiophene-2-yl) carbonyl]-4-fluoro-5-methoxyl group-2-Methyl-1H-indole-3-yl } acetate;
1-[(5-bromothiophene-2-yl) carbonyl]-4-fluoro-5-methoxyl group-2-Methyl-1H-indole-3-yl } acetate;
4-fluoro-5-methoxyl group-1-[(5-hydroxyl thiophene-2-yl) carbonyl]-2-Methyl-1H-indole-3-yl } acetate;
4-fluoro-5-methoxyl group-1-[(5-methoxythiophene-2-yl) carbonyl]-2-Methyl-1H-indole-3-yl } acetate;
1-[(5-oxyethyl group thiophene-2-yl) carbonyl]-4-fluoro-5-methoxyl group-2-Methyl-1H-indole-3-yl } acetate;
(1-{[5-(difluoro-methoxy) thiophene-2-yl] carbonyl }-4-fluoro-5-methoxyl group-2-Methyl-1H-indole-3-yl) acetate;
(4-fluoro-5-methoxyl group-2-methyl isophthalic acid-{ [5-(trifluoromethoxy) thiophene-2-yl] carbonyl }-1H-indol-3-yl) acetate;
(4-fluoro-5-methoxyl group-2-methyl isophthalic acid-{ [5-(five fluorine oxyethyl groups) thiophene-2-yl] carbonyl }-1H-indol-3-yl) acetate;
(4-fluoro-5-methoxyl group-2-methyl isophthalic acid-{ [5-(1,1,2,2-tetrafluoro oxyethyl group) thiophene-2-yl] carbonyl }-1H-indol-3-yl) acetate;
{ 4-fluoro-5-methoxyl group-2-methyl isophthalic acid-[(5-thiotolene-2-yl) carbonyl]-1H-indol-3-yl } acetate;
(1-{[5-(difluoromethyl) thiophene-2-yl] carbonyl }-4-fluoro-5-methoxyl group-2-Methyl-1H-indole-3-yl) acetate;
(4-fluoro-5-methoxyl group-2-methyl isophthalic acid-{ [5-(trifluoromethyl) thiophene-2-yl] carbonyl }-1H-indol-3-yl) acetate;
(4-fluoro-5-methoxyl group-2-methyl isophthalic acid-{ [5-(methyl sulfo-) thiophene-2-yl] carbonyl }-1H-indol-3-yl) acetate;
[1-(the 5-[(difluoromethyl) and sulfo-] thiophene-2-yl } carbonyl)-4-fluoro-5-methoxyl group-2-Methyl-1H-indole-3-yl] acetate;
[4-fluoro-5-methoxyl group-2-methyl isophthalic acid-(the 5-[(trifluoromethyl) sulfo-] thiophene-2-yl } carbonyl)-the 1H-indol-3-yl] acetate;
[4-fluoro-5-methoxyl group-2-methyl isophthalic acid-(the 5-[(pentafluoroethyl group) sulfo-] thiophene-2-yl } carbonyl)-the 1H-indol-3-yl] acetate;
[4-fluoro-5-methoxyl group-2-methyl isophthalic acid-(5-[(1,1,2,2-tetrafluoro ethyl) sulfo-] thiophene-2-yl } carbonyl)-the 1H-indol-3-yl] acetate; With
1-[(5-cyano thiophene-2-yl) carbonyl]-4-fluoro-5-methoxyl group-2-Methyl-1H-indole-3-yl } acetate.
[4-chloro-5-methoxyl group-2-methyl isophthalic acid-(thiophene-2-base carbonyl)-1H-indol-3-yl] acetate
4-chloro-1-[(5-fluorine thiophene-2-yl) carbonyl]-5-methoxyl group-2-Methyl-1H-indole-3-yl } acetate;
1-[(5-chlorothiophene-2-yl) carbonyl]-4-chloro-5-methoxyl group-2-Methyl-1H-indole-3-yl } acetate;
1-[(5-bromothiophene-2-yl) carbonyl]-4-chloro-5-methoxyl group-2-Methyl-1H-indole-3-yl } acetate;
4-chloro-5-methoxyl group-1-[(5-hydroxyl thiophene-2-yl) carbonyl]-2-Methyl-1H-indole-3-yl } acetate;
4-chloro-5-methoxyl group-1-[(5-methoxythiophene-2-yl) carbonyl]-2-Methyl-1H-indole-3-yl } acetate;
1-[(5-oxyethyl group thiophene-2-yl) carbonyl]-4-chloro-5-methoxyl group-2-Methyl-1H-indole-3-yl } acetate;
(1-{[5-(difluoro-methoxy) thiophene-2-yl] carbonyl }-4-chloro-5-methoxyl group-2-Methyl-1H-indole-3-yl) acetate;
(4-chloro-5-methoxyl group-2-methyl isophthalic acid-{ [5-(trifluoromethoxy) thiophene-2-yl] carbonyl }-1H-indol-3-yl) acetate;
(4-chloro-5-methoxyl group-2-methyl isophthalic acid-{ [5-(five fluorine oxyethyl groups) thiophene-2-yl] carbonyl }-1H-indol-3-yl) acetate;
(4-chloro-5-methoxyl group-2-methyl isophthalic acid-{ [5-(1,1,2,2-tetrafluoro oxyethyl group) thiophene-2-yl] carbonyl }-1H-indol-3-yl) acetate;
{ 4-chloro-5-methoxyl group-2-methyl isophthalic acid-[(5-thiotolene-2-yl) carbonyl]-1H-indol-3-yl } acetate;
(1-{[5-(difluoromethyl) thiophene-2-yl] carbonyl }-4-chloro-5-methoxyl group-2-Methyl-1H-indole-3-yl) acetate;
(4-chloro-5-methoxyl group-2-methyl isophthalic acid-{ [5-(trifluoromethyl) thiophene-2-yl] carbonyl }-1H-indol-3-yl) acetate;
(4-chloro-5-methoxyl group-2-methyl isophthalic acid-{ [5-(methyl sulfo-) thiophene-2-yl] carbonyl }-1H-indol-3-yl) acetate;
[1-(the 5-[(difluoromethyl) and sulfo-] thiophene-2-yl } carbonyl)-4-chloro-5-methoxyl group-2-Methyl-1H-indole-3-yl] acetate;
[4-chloro-5-methoxyl group-2-methyl isophthalic acid-(the 5-[(trifluoromethyl) sulfo-] thiophene-2-yl } carbonyl)-the 1H-indol-3-yl] acetate;
[4-chloro-5-methoxyl group-2-methyl isophthalic acid-(the 5-[(pentafluoroethyl group) sulfo-] thiophene-2-yl } carbonyl)-the 1H-indol-3-yl] acetate;
[4-chloro-5-methoxyl group-2-methyl isophthalic acid-(5-[(1,1,2,2-tetrafluoro ethyl) sulfo-] thiophene-2-yl } carbonyl)-the 1H-indol-3-yl] acetate; With
1-[(5-cyano thiophene-2-yl) carbonyl]-4-chloro-5-methoxyl group-2-Methyl-1H-indole-3-yl } acetate.
[4-fluoro-5-methoxyl group-2-methyl isophthalic acid-(thiene-3-yl-carbonyl)-1H-indol-3-yl] acetate
4-fluoro-1-[(5-fluorine thiene-3-yl-) carbonyl]-5-methoxyl group-2-Methyl-1H-indole-3-yl } acetate;
1-[(5-chlorothiophene-3-yl) carbonyl]-4-fluoro-5-methoxyl group-2-Methyl-1H-indole-3-yl } acetate;
1-[(5-bromothiophene-3-yl) carbonyl]-4-fluoro-5-methoxyl group-2-Methyl-1H-indole-3-yl } acetate;
4-fluoro-5-methoxyl group-1-[(5-hydroxyl thiene-3-yl-) carbonyl]-2-Methyl-1H-indole-3-yl } acetate;
4-fluoro-5-methoxyl group-1-[(5-methoxythiophene-3-yl) carbonyl]-2-Methyl-1H-indole-3-yl } acetate;
1-[(5-oxyethyl group thiene-3-yl-) carbonyl]-4-fluoro-5-methoxyl group-2-Methyl-1H-indole-3-yl } acetate;
(1-{[5-(difluoro-methoxy) thiene-3-yl-] carbonyl }-4-fluoro-5-methoxyl group-2-Methyl-1H-indole-3-yl) acetate;
(4-fluoro-5-methoxyl group-2-methyl isophthalic acid-{ [5-(trifluoromethoxy) thiene-3-yl-] carbonyl }-1H-indol-3-yl) acetate;
(4-fluoro-5-methoxyl group-2-methyl isophthalic acid-{ [5-(five fluorine oxyethyl groups) thiene-3-yl-] carbonyl }-1H-indol-3-yl) acetate;
(4-fluoro-5-methoxyl group-2-methyl isophthalic acid-{ [5-(1,1,2,2-tetrafluoro oxyethyl group) thiene-3-yl-] carbonyl }-1H-indol-3-yl) acetate;
{ 4-fluoro-5-methoxyl group-2-methyl isophthalic acid-[(5-thiotolene-3-yl) carbonyl]-1H-indol-3-yl } acetate;
(1-{[5-(difluoromethyl) thiene-3-yl-] carbonyl }-4-fluoro-5-methoxyl group-2-Methyl-1H-indole-3-yl) acetate;
(4-fluoro-5-methoxyl group-2-methyl isophthalic acid-{ [5-(trifluoromethyl) thiene-3-yl-] carbonyl }-1H-indol-3-yl) acetate;
(4-fluoro-5-methoxyl group-2-methyl isophthalic acid-{ [5-(methyl sulfo-) thiene-3-yl-] carbonyl }-1H-indol-3-yl) acetate;
[1-(the 5-[(difluoromethyl) and sulfo-] thiene-3-yl-} carbonyl)-4-fluoro-5-methoxyl group-2-Methyl-1H-indole-3-yl] acetate;
[4-fluoro-5-methoxyl group-2-methyl isophthalic acid-(the 5-[(trifluoromethyl) sulfo-] thiene-3-yl-} carbonyl)-the 1H-indol-3-yl] acetate;
[4-fluoro-5-methoxyl group-2-methyl isophthalic acid-(the 5-[(pentafluoroethyl group) sulfo-] thiene-3-yl-} carbonyl)-the 1H-indol-3-yl] acetate;
[4-fluoro-5-methoxyl group-2-methyl isophthalic acid-(5-[(1,1,2,2-tetrafluoro ethyl) sulfo-] thiene-3-yl-} carbonyl)-the 1H-indol-3-yl] acetate; With
1-[(5-cyano thiophene-3-yl) carbonyl]-4-fluoro-5-methoxyl group-2-Methyl-1H-indole-3-yl } acetate.
[4-chloro-5-methoxyl group-2-methyl isophthalic acid-(thiene-3-yl-carbonyl)-1H-indol-3-yl] acetate;
4-chloro-1-[(5-fluorine thiene-3-yl-) carbonyl]-5-methoxyl group-2-Methyl-1H-indole-3-yl } acetate;
1-[(5-chlorothiophene-3-yl) carbonyl]-4-chloro-5-methoxyl group-2-Methyl-1H-indole-3-yl } acetate;
1-[(5-bromothiophene-3-yl) carbonyl]-4-chloro-5-methoxyl group-2-Methyl-1H-indole-3-yl } acetate;
4-chloro-5-methoxyl group-1-[(5-hydroxyl thiene-3-yl-) carbonyl]-2-Methyl-1H-indole-3-yl } acetate;
4-chloro-5-methoxyl group-1-[(5-methoxythiophene-3-yl) carbonyl]-2-Methyl-1H-indole-3-yl } acetate;
1-[(5-oxyethyl group thiene-3-yl-) carbonyl]-4-chloro-5-methoxyl group-2-Methyl-1H-indole-3-yl } acetate;
(1-{[5-(difluoro-methoxy) thiene-3-yl-] carbonyl }-4-chloro-5-methoxyl group-2-Methyl-1H-indole-3-yl) acetate;
(4-chloro-5-methoxyl group-2-methyl isophthalic acid-{ [5-(trifluoromethoxy) thiene-3-yl-] carbonyl }-1H-indol-3-yl) acetate;
(4-chloro-5-methoxyl group-2-methyl isophthalic acid-{ [5-(five fluorine oxyethyl groups) thiene-3-yl-] carbonyl }-1H-indol-3-yl) acetate;
(4-chloro-5-methoxyl group-2-methyl isophthalic acid-{ [5-(1,1,2,2-tetrafluoro oxyethyl group) thiene-3-yl-] carbonyl }-1H-indol-3-yl) acetate;
{ 4-chloro-5-methoxyl group-2-methyl isophthalic acid-[(5-thiotolene-3-yl) carbonyl]-1H-indol-3-yl } acetate;
(1-{[5-(difluoromethyl) thiene-3-yl-] carbonyl }-4-chloro-5-methoxyl group-2-Methyl-1H-indole-3-yl) acetate;
(4-chloro-5-methoxyl group-2-methyl isophthalic acid-{ [5-(trifluoromethyl) thiene-3-yl-] carbonyl }-1H-indol-3-yl) acetate;
(4-chloro-5-methoxyl group-2-methyl isophthalic acid-{ [5-(methyl sulfo-) thiene-3-yl-] carbonyl }-1H-indol-3-yl) acetate;
[1-(the 5-[(difluoromethyl) and sulfo-] thiene-3-yl-} carbonyl)-4-chloro-5-methoxyl group-2-Methyl-1H-indole-3-yl] acetate;
[4-chloro-5-methoxyl group-2-methyl isophthalic acid-(the 5-[(trifluoromethyl) sulfo-] thiene-3-yl-} carbonyl)-the 1H-indol-3-yl] acetate;
[4-chloro-5-methoxyl group-2-methyl isophthalic acid-(the 5-[(pentafluoroethyl group) sulfo-] thiene-3-yl-} carbonyl)-the 1H-indol-3-yl] acetate;
[4-chloro-5-methoxyl group-2-methyl isophthalic acid-(5-[(1,1,2,2-tetrafluoro ethyl) sulfo-] thiene-3-yl-} carbonyl)-the 1H-indol-3-yl] acetate; With
1-[(5-cyano thiophene-3-yl) carbonyl]-4-chloro-5-methoxyl group-2-Methyl-1H-indole-3-yl } acetate.
[6-chloro-1-(cyclohexyl-carbonyl)-5-methoxyl group-2-Methyl-1H-indole-3-yl] acetate
[6-chloro-1-(cyclohexyl-carbonyl)-5-hydroxy-2-methyl-1H-indol-3-yl] acetate
[1-(cyclohexyl-carbonyl)-6-fluoro-5-hydroxy-2-methyl-1H-indol-3-yl] acetate
[1-(cyclohexyl-carbonyl)-4-fluoro-5-hydroxy-2-methyl-1H-indol-3-yl] acetate
[4-chloro-1-(cyclohexyl-carbonyl)-5-hydroxy-2-methyl-1H-indol-3-yl] acetate
[4-chloro-1-(cyclohexyl-carbonyl)-5-methoxyl group-2-Methyl-1H-indole-3-yl] acetate
[1-(cyclohexyl-carbonyl)-4-fluoro-5-methoxyl group-2-Methyl-1H-indole-3-yl] acetate
[4-fluoro-5-methoxyl group-2-methyl isophthalic acid-(pyridine-2-base carbonyl)-1H-indol-3-yl] acetate
[4-fluoro-5-hydroxy-2-methyl-1-(pyridine-2-base carbonyl)-1H-indol-3-yl] acetate
[4-chloro-5-methoxyl group-2-methyl isophthalic acid-(pyridine-2-base carbonyl)-1H-indol-3-yl] acetate
[4-chloro-5-hydroxy-2-methyl-1-(pyridine-2-base carbonyl)-1H-indol-3-yl] acetate
[6-fluoro-5-methoxyl group-2-methyl isophthalic acid-(pyridine-2-base carbonyl)-1H-indol-3-yl] acetate
[6-fluoro-5-hydroxy-2-methyl-1-(pyridine-2-base carbonyl)-1H-indol-3-yl] acetate
[6-chloro-5-methoxyl group-2-methyl isophthalic acid-(pyridine-2-base carbonyl)-1H-indol-3-yl] acetate
[6-chloro-5-hydroxy-2-methyl-1-(pyridine-2-base carbonyl)-1H-indol-3-yl] acetate
[5-methoxyl group-2-methyl isophthalic acid-(pyridine-2-base carbonyl)-1H-indol-3-yl] acetate
[5-hydroxy-2-methyl-1-(pyridine-2-base carbonyl)-1H-indol-3-yl] acetate
[4-fluoro-5-methoxyl group-2-methyl isophthalic acid-(pyridine-2-base carbonyl)-1H-indol-3-yl] acetate
[4-fluoro-5-hydroxy-2-methyl-1-(pyridine-2-base carbonyl)-1H-indol-3-yl] acetate
[4-chloro-5-methoxyl group-2-methyl isophthalic acid-(pyridine-2-base carbonyl)-1H-indol-3-yl] acetate
[4-chloro-5-hydroxy-2-methyl-1-(pyridine-2-base carbonyl)-1H-indol-3-yl] acetate
[6-fluoro-5-methoxyl group-2-methyl isophthalic acid-(pyridine-2-base carbonyl)-1H-indol-3-yl] acetate
[6-fluoro-5-hydroxy-2-methyl-1-(pyridine-2-base carbonyl)-1H-indol-3-yl] acetate
[6-chloro-5-methoxyl group-2-methyl isophthalic acid-(pyridine-2-base carbonyl)-1H-indol-3-yl] acetate
[6-chloro-5-hydroxy-2-methyl-1-(pyridine-2-base carbonyl)-1H-indol-3-yl] acetate
[5-methoxyl group-2-methyl isophthalic acid-(pyridine-2-base carbonyl)-1H-indol-3-yl] acetate
[5-hydroxy-2-methyl-1-(pyridine-2-base carbonyl)-1H-indol-3-yl] acetate
[4-fluoro-5-methoxyl group-2-methyl isophthalic acid-(pyridin-4-yl carbonyl)-1H-indol-3-yl] acetate
[4-fluoro-5-hydroxy-2-methyl-1-(pyridin-4-yl carbonyl)-1H-indol-3-yl] acetate
[4-chloro-5-methoxyl group-2-methyl isophthalic acid-(pyridin-4-yl carbonyl)-1H-indol-3-yl] acetate
[4-chloro-5-hydroxy-2-methyl-1-(pyridin-4-yl carbonyl)-1H-indol-3-yl] acetate
[6-fluoro-5-methoxyl group-2-methyl isophthalic acid-(pyridin-4-yl carbonyl)-1H-indol-3-yl] acetate
[6-fluoro-5-hydroxy-2-methyl-1-(pyridin-4-yl carbonyl)-1H-indol-3-yl] acetate
[6-chloro-5-methoxyl group-2-methyl isophthalic acid-(pyridin-4-yl carbonyl)-1H-indol-3-yl] acetate
[6-chloro-5-hydroxy-2-methyl-1-(pyridin-4-yl carbonyl)-1H-indol-3-yl] acetate
[5-methoxyl group-2-methyl isophthalic acid-(pyridin-4-yl carbonyl)-1H-indol-3-yl] acetate
[5-hydroxy-2-methyl-1-(pyridin-4-yl carbonyl)-1H-indol-3-yl] acetate
[4-fluoro-5-methoxyl group-2-methyl isophthalic acid-(tetrahydrochysene-2H-pyrans-4-base carbonyl)-1H-indol-3-yl] acetate
[4-fluoro-5-hydroxy-2-methyl-1-(tetrahydrochysene-2H-pyrans-4-base carbonyl)-1H-indol-3-yl] acetate
[4-chloro-5-methoxyl group-2-methyl isophthalic acid-(tetrahydrochysene-2H-pyrans-4-base carbonyl)-1H-indol-3-yl] acetate
[4-chloro-5-hydroxy-2-methyl-1-(tetrahydrochysene-2H-pyrans-4-base carbonyl)-1H-indol-3-yl] acetate
[6-fluoro-5-methoxyl group-2-methyl isophthalic acid-(tetrahydrochysene-2H-pyrans-4-base carbonyl)-1H-indol-3-yl] acetate
[6-fluoro-5-hydroxy-2-methyl-1-(tetrahydrochysene-2H-pyrans-4-base carbonyl)-1H-indol-3-yl] acetate
[6-chloro-5-methoxyl group-2-methyl isophthalic acid-(tetrahydrochysene-2H-pyrans-4-base carbonyl)-1H-indol-3-yl] acetate
[6-chloro-5-hydroxy-2-methyl-1-(tetrahydrochysene-2H-pyrans-4-base carbonyl)-1H-indol-3-yl] acetate
[5-methoxyl group-2-methyl isophthalic acid-(tetrahydrochysene-2H-pyrans-4-base carbonyl)-1H-indol-3-yl] acetate
[5-hydroxy-2-methyl-1-(tetrahydrochysene-2H-pyrans-4-base carbonyl)-1H-indol-3-yl] acetate
[4-fluoro-5-methoxyl group-2-methyl isophthalic acid-(tetrahydrochysene-2H-sulfo-pyrans-4-base carbonyl)-1H-indol-3-yl] acetate
[4-fluoro-5-hydroxy-2-methyl-1-(tetrahydrochysene-2H-sulfo-pyrans-4-base carbonyl)-1H-indol-3-yl] acetate
[4-chloro-5-methoxyl group-2-methyl isophthalic acid-(tetrahydrochysene-2H-sulfo-pyrans-4-base carbonyl)-1H-indol-3-yl] acetate
[4-chloro-5-hydroxy-2-methyl-1-(tetrahydrochysene-2H-sulfo-pyrans-4-base carbonyl)-1H-indol-3-yl] acetate
[6-fluoro-5-methoxyl group-2-methyl isophthalic acid-(tetrahydrochysene-2H-sulfo-pyrans-4-base carbonyl)-1H-indol-3-yl] acetate
[6-fluoro-5-hydroxy-2-methyl-1-(tetrahydrochysene-2H-sulfo-pyrans-4-base carbonyl)-1H-indol-3-yl] acetate
[6-chloro-5-methoxyl group-2-methyl isophthalic acid-(tetrahydrochysene-2H-sulfo-pyrans-4-base carbonyl)-1H-indol-3-yl] acetate
[6-chloro-5-hydroxy-2-methyl-1-(tetrahydrochysene-2H-sulfo-pyrans-4-base carbonyl)-1H-indol-3-yl] acetate
[5-methoxyl group-2-methyl isophthalic acid-(tetrahydrochysene-2H-sulfo-pyrans-4-base carbonyl)-1H-indol-3-yl] acetate
[5-hydroxy-2-methyl-1-(tetrahydrochysene-2H-sulfo-pyrans-4-base carbonyl)-1H-indol-3-yl] acetate
[4-fluoro-5-methoxyl group-2-methyl isophthalic acid-(piperidin-4-yl carbonyl)-1H-indol-3-yl] acetate
[4-fluoro-5-hydroxy-2-methyl-1-(piperidin-4-yl carbonyl)-1H-indol-3-yl] acetate
[4-chloro-5-methoxyl group-2-methyl isophthalic acid-(piperidin-4-yl carbonyl)-1H-indol-3-yl] acetate
[4-chloro-5-hydroxy-2-methyl-1-(piperidin-4-yl carbonyl)-1H-indol-3-yl] acetate
[6-fluoro-5-methoxyl group-2-methyl isophthalic acid-(piperidin-4-yl carbonyl)-1H-indol-3-yl] acetate
[6-fluoro-5-hydroxy-2-methyl-1-(piperidin-4-yl carbonyl)-1H-indol-3-yl] acetate
[6-chloro-5-methoxyl group-2-methyl isophthalic acid-(piperidin-4-yl carbonyl)-1H-indol-3-yl] acetate
[6-chloro-5-hydroxy-2-methyl-1-(piperidin-4-yl carbonyl)-1H-indol-3-yl] acetate
[5-methoxyl group-2-methyl isophthalic acid-(piperidin-4-yl carbonyl)-1H-indol-3-yl] acetate
[5-hydroxy-2-methyl-1-(piperidin-4-yl carbonyl)-1H-indol-3-yl] acetate
[4-fluoro-5-methoxyl group-2-methyl isophthalic acid-[(1-methyl piperidine-4-yl) carbonyl]-1H-indol-3-yl] acetate
[4-fluoro-5-hydroxy-2-methyl-1-[(1-methyl piperidine-4-yl) carbonyl]-the 1H-indol-3-yl] acetate
[4-chloro-5-methoxyl group-2-methyl isophthalic acid-[(1-methyl piperidine-4-yl) carbonyl]-1H-indol-3-yl] acetate
[4-chloro-5-hydroxy-2-methyl-1-[(1-methyl piperidine-4-yl) carbonyl]-the 1H-indol-3-yl] acetate
[6-fluoro-5-methoxyl group-2-methyl isophthalic acid-[(1-methyl piperidine-4-yl) carbonyl]-1H-indol-3-yl] acetate
[6-fluoro-5-hydroxy-2-methyl-1-[(1-methyl piperidine-4-yl) carbonyl]-the 1H-indol-3-yl] acetate
[6-chloro-5-methoxyl group-2-methyl isophthalic acid-[(1-methyl piperidine-4-yl) carbonyl]-1H-indol-3-yl] acetate
[6-chloro-5-hydroxy-2-methyl-1-[(1-methyl piperidine-4-yl) carbonyl]-the 1H-indol-3-yl] acetate
[5-methoxyl group-2-methyl isophthalic acid-[(1-methyl piperidine-4-yl) carbonyl]-1H-indol-3-yl] acetate
[5-hydroxy-2-methyl-1-[(1-methyl piperidine-4-yl) carbonyl]-the 1H-indol-3-yl] acetate
[4-fluoro-5-methoxyl group-2-methyl isophthalic acid-[(4-methylpiperazine-1-yl) carbonyl]-1H-indol-3-yl] acetate
[4-fluoro-5-hydroxy-2-methyl-1-[(4-methylpiperazine-1-yl) carbonyl]-the 1H-indol-3-yl] acetate
[4-chloro-5-methoxyl group-2-methyl isophthalic acid-[(4-methylpiperazine-1-yl) carbonyl]-1H-indol-3-yl] acetate
[4-chloro-5-hydroxy-2-methyl-1-[(4-methylpiperazine-1-yl) carbonyl]-the 1H-indol-3-yl] acetate
[6-fluoro-5-methoxyl group-2-methyl isophthalic acid-[(4-methylpiperazine-1-yl) carbonyl]-1H-indol-3-yl] acetate
[6-fluoro-5-hydroxy-2-methyl-1-[(4-methylpiperazine-1-yl) carbonyl]-the 1H-indol-3-yl] acetate
[6-chloro-5-methoxyl group-2-methyl isophthalic acid-[(4-methylpiperazine-1-yl) carbonyl]-1H-indol-3-yl] acetate
[6-chloro-5-hydroxy-2-methyl-1-[(4-methylpiperazine-1-yl) carbonyl]-the 1H-indol-3-yl] acetate
[5-methoxyl group-2-methyl isophthalic acid-[(4-methylpiperazine-1-yl) carbonyl]-1H-indol-3-yl] acetate
[5-hydroxy-2-methyl-1-[(4-methylpiperazine-1-yl) carbonyl]-the 1H-indol-3-yl] acetate
[4-fluoro-5-methoxyl group-2-methyl isophthalic acid-(piperazine-1-base carbonyl)-1H-indol-3-yl] acetate
[4-fluoro-5-hydroxy-2-methyl-1-(piperazine-1-base carbonyl)-1H-indol-3-yl] acetate
[4-chloro-5-methoxyl group-2-methyl isophthalic acid-(piperazine-1-base carbonyl)-1H-indol-3-yl] acetate
[4-chloro-5-hydroxy-2-methyl-1-(piperazine-1-base carbonyl)-1H-indol-3-yl] acetate
[6-fluoro-5-methoxyl group-2-methyl isophthalic acid-(piperazine-1-base carbonyl)-1H-indol-3-yl] acetate
[6-fluoro-5-hydroxy-2-methyl-1-(piperazine-1-base carbonyl)-1H-indol-3-yl] acetate
[6-chloro-5-methoxyl group-2-methyl isophthalic acid-(piperazine-1-base carbonyl)-1H-indol-3-yl] acetate
[6-chloro-5-hydroxy-2-methyl-1-(piperazine-1-base carbonyl)-1H-indol-3-yl] acetate
[5-methoxyl group-2-methyl isophthalic acid-(piperazine-1-base carbonyl)-1H-indol-3-yl] acetate
[5-hydroxy-2-methyl-1-(piperazine-1-base carbonyl)-1H-indol-3-yl] acetate
[4-fluoro-5-methoxyl group-2-methyl isophthalic acid-(piperidines-1-base carbonyl)-1H-indol-3-yl] acetate
[4-fluoro-5-hydroxy-2-methyl-1-(piperidines-1-base carbonyl)-1H-indol-3-yl] acetate
[4-chloro-5-methoxyl group-2-methyl isophthalic acid-(piperidines-1-base carbonyl)-1H-indol-3-yl] acetate
[4-chloro-5-hydroxy-2-methyl-1-(piperidines-1-base carbonyl)-1H-indol-3-yl] acetate
[6-fluoro-5-methoxyl group-2-methyl isophthalic acid-(piperidines-1-base carbonyl)-1H-indol-3-yl] acetate
[6-fluoro-5-hydroxy-2-methyl-1-(piperidines-1-base carbonyl)-1H-indol-3-yl] acetate
[6-chloro-5-methoxyl group-2-methyl isophthalic acid-(piperidines-1-base carbonyl)-1H-indol-3-yl] acetate
[6-chloro-5-hydroxy-2-methyl-1-(piperidines-1-base carbonyl)-1H-indol-3-yl] acetate
[5-methoxyl group-2-methyl isophthalic acid-(piperidines-1-base carbonyl)-1H-indol-3-yl] acetate
[5-hydroxy-2-methyl-1-(piperidines-1-base carbonyl)-1H-indol-3-yl] acetate
[6-chloro-1-(cyclopentylcarbonyl)-5-methoxyl group-2-Methyl-1H-indole-3-yl] acetate
[6-chloro-1-(cyclopentylcarbonyl)-5-hydroxy-2-methyl-1H-indol-3-yl] acetate
[1-(cyclopentylcarbonyl)-6-fluoro-5-methoxyl group-2-Methyl-1H-indole-3-yl] acetate
[1-(cyclopentylcarbonyl)-6-fluoro-5-hydroxy-2-methyl-1H-indol-3-yl] acetate
[1-(cyclopentylcarbonyl)-4-fluoro-5-hydroxy-2-methyl-1H-indol-3-yl] acetate
[4-chloro-1-(cyclopentylcarbonyl)-5-hydroxy-2-methyl-1H-indol-3-yl] acetate
[4-chloro-1-(cyclopentylcarbonyl)-5-methoxyl group-2-Methyl-1H-indole-3-yl] acetate
[1-(cyclopentylcarbonyl)-4-fluoro-5-methoxyl group-2-Methyl-1H-indole-3-yl] acetate
[1-(cyclopentylcarbonyl)-5-methoxyl group-2-Methyl-1H-indole-3-yl] acetate
[1-(cyclopentylcarbonyl)-5-hydroxy-2-methyl-1H-indol-3-yl] acetate
[6-chloro-1-(cyclobutyl carbonyl)-5-methoxyl group-2-Methyl-1H-indole-3-yl] acetate
[6-chloro-1-(cyclobutyl carbonyl)-5-hydroxy-2-methyl-1H-indol-3-yl] acetate
[1-(cyclobutyl carbonyl)-6-fluoro-5-methoxyl group-2-Methyl-1H-indole-3-yl] acetate
[1-(cyclobutyl carbonyl)-6-fluoro-5-hydroxy-2-methyl-1H-indol-3-yl] acetate
[1-(cyclobutyl carbonyl)-4-fluoro-5-hydroxy-2-methyl-1H-indol-3-yl] acetate
[4-chloro-1-(cyclobutyl carbonyl)-5-hydroxy-2-methyl-1H-indol-3-yl] acetate
[4-chloro-1-(cyclobutyl carbonyl)-5-methoxyl group-2-Methyl-1H-indole-3-yl] acetate
[1-(cyclobutyl carbonyl)-4-fluoro-5-methoxyl group-2-Methyl-1H-indole-3-yl] acetate
[1-(cyclobutyl carbonyl)-5-methoxyl group-2-Methyl-1H-indole-3-yl] acetate
[1-(cyclobutyl carbonyl)-5-hydroxy-2-methyl-1H-indol-3-yl] acetate
The 1-[(4-chloro-phenyl-) alkylsulfonyl]-5-methoxyl group-2-Methyl-1H-indole-3-yl } acetate
6-chloro-1-[(4-chloro-phenyl-) alkylsulfonyl]-5-methoxyl group-2-Methyl-1H-indole-3-yl } acetate
6-chloro-1-[(3-chloro-phenyl-) alkylsulfonyl]-5-methoxyl group-2-Methyl-1H-indole-3-yl } acetate
[6-chloro-5-methoxyl group-2-methyl isophthalic acid-(the 4-[(trifluoromethyl) sulfo-] phenyl } alkylsulfonyl)-the 1H-indol-3-yl] acetate
[6-chloro-5-fluoro-2-methyl isophthalic acid-(the 4-[(trifluoromethyl) sulfo-] phenyl } alkylsulfonyl)-the 1H-indol-3-yl] acetate
[1-(3,4-dichloro-benzoyl base)-5-methoxyl group-2-Methyl-1H-indole-3-yl] acetate
[1-(3,4-dichloro-benzoyl base)-5-hydroxy-2-methyl-1H-indol-3-yl] acetate
[6-chloro-1-(3,4-dichloro-benzoyl base)-5-methoxyl group-2-Methyl-1H-indole-3-yl] acetate
[6-chloro-1-(3, the 4-difluoro benzoyl)-5-methoxyl group-2-Methyl-1H-indole-3-yl] acetate
[6-chloro-1-(3-chlorobenzene formacyl)-5-methoxyl group-2-Methyl-1H-indole-3-yl] acetate
[1-(4-chlorobenzene formacyl)-6-fluoro-5-hydroxy-2-methyl-1H-indol-3-yl] acetate
[1-(4-chlorobenzene formacyl)-6-fluoro-5-methoxyl group-2-Methyl-1H-indole-3-yl] acetate
[6-chloro-1-(4-chlorobenzene formacyl)-5-methoxyl group-2-Methyl-1H-indole-3-yl] acetate
[1-(4-benzyl chloride base)-6-fluoro-5-methoxyl group-2-Methyl-1H-indole-3-yl] acetate
[6-chloro-1-(4-benzyl chloride base)-5-methoxyl group-2-Methyl-1H-indole-3-yl] acetate
[6-chloro-1-(4-chlorobenzene formacyl)-5-fluoro-2-Methyl-1H-indole-3-yl] acetate
[6-chloro-1-(4-benzyl chloride base)-5-fluoro-2-Methyl-1H-indole-3-yl] acetate
[6-chloro-1-(4-benzyl chloride base)-5-methoxyl group-2-Methyl-1H-indole-3-yl] acetate
[6-chloro-1-(3, the 4-dichloro benzyl)-5-methoxyl group-2-Methyl-1H-indole-3-yl] acetate
[6-chloro-1-(3, the 4-difluorobenzyl)-5-methoxyl group-2-Methyl-1H-indole-3-yl] acetate
[6-chloro-1-(3-benzyl chloride base)-5-methoxyl group-2-Methyl-1H-indole-3-yl] acetate
[1-(4-bromobenzyl)-6-chloro-5-methoxyl group-2-Methyl-1H-indole-3-yl] acetate
[6-chloro-1-(4-luorobenzyl)-5-methoxyl group-2-Methyl-1H-indole-3-yl] acetate
[6-chloro-1-(4-trifluoro-methoxybenzyl)-5-methoxyl group-2-Methyl-1H-indole-3-yl] acetate
[1-(1,3-benzothiazole-2-ylmethyl)-5-methoxyl group-2-Methyl-1H-indole-3-yl] acetate
[1-(1,3-benzothiazole-2-ylmethyl)-6-fluoro-5-methoxyl group-2-Methyl-1H-indole-3-yl] acetate
[1-(1,3-benzothiazole-2-ylmethyl)-6-chloro-5-methoxyl group-2-Methyl-1H-indole-3-yl] acetate
[1-(1,3-benzothiazole-2-ylmethyl)-6-chloro-5-fluoro-2-Methyl-1H-indole-3-yl] acetate
3-[6-chloro-1-(4-chlorobenzene formacyl)-5-methoxyl group-2-Methyl-1H-indole-3-yl] propionic acid; 4-[6-chloro-1-(4-chlorobenzene formacyl)-5-methoxyl group-2-Methyl-1H-indole-3-yl] butyric acid; 3-[6-chloro-1-(4-chlorobenzene formacyl)-5-methoxyl group-2-Methyl-1H-indole-3-yl]-1,1, the 1-trifluoroacetone; 2-[6-chloro-1-(4-chlorobenzene formacyl)-5-methoxyl group-2-Methyl-1H-indole-3-yl]-1-[1,3] oxazoles are [4,5-b] pyridine-2-base ethyl ketone also; 2-[6-chloro-1-(4-chlorobenzene formacyl)-5-methoxyl group-2-Methyl-1H-indole-3-yl]-1-(1,3-oxazole-2-yl) ethyl ketone; 2-{[6-chloro-1-(4-chlorobenzene formacyl)-5-methoxyl group-2-Methyl-1H-indole-3-yl] ethanoyl }-1,3-oxazole-4-carboxylic acid; With 2-{[6-chloro-1-(4-chlorobenzene formacyl)-5-methoxyl group-2-Methyl-1H-indole-3-yl] ethanoyl }-1,3-oxazole-5-carboxylic acid.
[6-chloro-5-fluoro-2-methyl isophthalic acid-(3-trifluoromethyl benzyl)-1H-indol-3-yl] acetate; [6-chloro-5-fluoro-1-(3-trifluoro-methoxybenzyl)-2-Methyl-1H-indole-3-yl] acetate; [1-(1,3-benzothiazole-2-ylmethyl)-2-methyl-5-(trifluoromethoxy)-1H-indol-3-yl] acetate; [1-(3-benzyl chloride base)-2-methyl-5-(trifluoromethoxy)-1H-indol-3-yl] acetate; [1-(3-trifluoromethyl benzyl)-2-methyl-5-(trifluoromethoxy)-1H-indol-3-yl] acetate; [1-(3-trifluoro-methoxybenzyl)-2-methyl-5-(trifluoromethoxy)-1H-indol-3-yl] acetate; [1-(1,3-benzothiazole-2-ylmethyl)-5-chloro-2-Methyl-1H-indole-3-yl] acetate; [5-chloro-2-methyl isophthalic acid-(3-trifluoromethyl benzyl)-1H-indol-3-yl] acetate; [5-chloro-2-methyl isophthalic acid-(3-trifluoro-methoxybenzyl)-1H-indol-3-yl] acetate; [5-chloro-1-(3-benzyl chloride base)-2-Methyl-1H-indole-3-yl] acetate; [1-(1,3-benzothiazole-2-ylmethyl)-6-chloro-2-Methyl-1H-indole-3-yl] acetate; [6-chloro-2-methyl isophthalic acid-(3-trifluoromethyl benzyl)-1H-indol-3-yl] acetate; [6-chloro-2-methyl isophthalic acid-(3-trifluoro-methoxybenzyl)-1H-indol-3-yl] acetate; [6-chloro-1-(3-benzyl chloride base)-2-Methyl-1H-indole-3-yl] acetate; 3-[6-chloro-1-(3-benzyl chloride base)-2,5-dimethyl-1H-indol-3-yl] propionic acid; [1-(3-benzyl chloride base)-6-fluoro-2,5-dimethyl-1H-indol-3-yl] acetate; [1-(1,3-benzothiazole-2-ylmethyl)-6-fluoro-2,5-dimethyl-1H-indol-3-yl] acetate; [6-fluoro-2,5-dimethyl-1-(3-trifluoromethyl benzyl)-1H-indol-3-yl] acetate; [6-fluoro-2,5-dimethyl-1-(3-trifluoro-methoxybenzyl)-1H-indol-3-yl] acetate; [1-(3-benzyl chloride base)-6-fluoro-2-methyl-5-(trifluoromethyl)-1H-indol-3-yl] acetate; [1-(3-trifluoromethyl benzyl)-6-fluoro-2-methyl-5-(trifluoromethyl)-1H-indol-3-yl] acetate; [1-(3-trifluoro-methoxybenzyl)-6-fluoro-2-methyl-5-(trifluoromethyl)-1H-indol-3-yl] acetate; [1-(1,3-benzothiazole-2-ylmethyl)-6-fluoro-2-methyl-5-(trifluoromethyl)-1H-indol-3-yl] acetate; [1-(1,3-benzothiazole-2-ylmethyl)-6-chloro-2-methyl-5-(trifluoromethyl)-1H-indol-3-yl] acetate; [1-(3-trifluoro-methoxybenzyl)-6-chloro-2-methyl-5-(trifluoromethyl)-1H-indol-3-yl] acetate; [1-(3-trifluoromethyl benzyl)-6-chloro-2-methyl-5-(trifluoromethyl)-1H-indol-3-yl] acetate; [1-(3-benzyl chloride base)-6-chloro-2-methyl-5-(trifluoromethyl)-1H-indol-3-yl] acetate.
(6-chloro-5-methoxyl group-2-Methyl-1H-indole-3-yl) ethyl acetate
(4-chloro-5-methoxyl group-2-Methyl-1H-indole-3-yl) ethyl acetate
The 1-[(4-aminomethyl phenyl) alkylsulfonyl]-the 1H-indol-3-yl } (5-pyridine-2-base-1,3,4-oxadiazole-2-yl) ketone
2-[1-(4-chlorobenzene formacyl)-5-methoxyl group-2-Methyl-1H-indole-3-yl]-1-(5-pyridine-2-base-1,3-oxazole-2-yl) ethyl ketone
5-(benzyloxy)-1-butyl-2-Methyl-1H-indole-3-carboxylic acid, ethyl ester
1-benzyl-5-[3-(benzylamino)-2-propoxyl]-2-Methyl-1H-indole-3-carboxylic acid, ethyl ester
The 4-[(dimethylamino) methyl]-5-hydroxy-2-methyl-1-phenyl-1H-Indole-3-Carboxylic Acid carbethoxy hydrochloride
1-benzyl-4-[(dimethylamino) methyl]-5-hydroxyl-2-phenyl-1H-Indole-3-Carboxylic Acid ethyl ester
2-(2-naphthyl)-1H-diindyl-3-carboxylic acid.
(1-benzyl-6-hydroxy-2-methyl-1H-indol-3-yl) acetate
(1-benzyl-4-hydroxy-2-methyl-1H-indol-3-yl) acetate
(1-benzyl-6-hydroxy-2-methyl-1H-indol-3-yl) acetate
(1-benzyl-7-hydroxy-2-methyl-1H-indol-3-yl) acetate
[5-hydroxy-2-methyl-1-(2-styroyl)-1H-indol-3-yl] acetate
[5-hydroxyl-2-(2-styroyl)-1H-indol-3-yl] acetate
(1-benzyl-2-ethyl-5-hydroxyl-1H-indol-3-yl) acetate
(1-benzyl-2-ethyl-4-hydroxyl-1H-indol-3-yl) acetate
(1-benzyl-2-ethyl-6-hydroxyl-1H-indol-3-yl) acetate
(1-benzyl-2-ethyl-7-hydroxyl-1H-indol-3-yl) acetate
(1-benzyl-5-hydroxyl-2-sec.-propyl-1H-indol-3-yl) acetate
(1-benzyl-4-hydroxyl-2-sec.-propyl-1H-indol-3-yl) acetate
(1-benzyl-6-hydroxyl-2-sec.-propyl-1H-indol-3-yl) acetate
(1-benzyl-7-hydroxyl-2-sec.-propyl-1H-indol-3-yl) acetate
(1-benzyl-5-hydroxyl-1H-indol-3-yl) acetate
(1-benzyl-4-hydroxyl-1H-indol-3-yl) acetate
(1-benzyl-6-hydroxyl-1H-indol-3-yl) acetate
(1-benzyl-7-hydroxyl-1H-indol-3-yl) acetate
[5-hydroxyl-1-(4-hydroxybenzyl)-2-Methyl-1H-indole-3-yl] acetate
[4-hydroxyl-1-(4-hydroxybenzyl)-2-Methyl-1H-indole-3-yl] acetate
[6-hydroxyl-1-(4-hydroxybenzyl)-2-Methyl-1H-indole-3-yl] acetate
[7-hydroxyl-1-(4-hydroxybenzyl)-2-Methyl-1H-indole-3-yl] acetate
[5-hydroxyl-1-(2-hydroxybenzyl)-2-Methyl-1H-indole-3-yl] acetate
[4-hydroxyl-1-(2-hydroxybenzyl)-2-Methyl-1H-indole-3-yl] acetate
[6-hydroxyl-1-(2-hydroxybenzyl)-2-Methyl-1H-indole-3-yl] acetate
[7-hydroxyl-1-(2-hydroxybenzyl)-2-Methyl-1H-indole-3-yl] acetate
[5-hydroxyl-1-(3-hydroxybenzyl)-2-Methyl-1H-indole-3-yl] acetate
[4-hydroxyl-1-(3-hydroxybenzyl)-2-Methyl-1H-indole-3-yl] acetate
[6-hydroxyl-1-(3-hydroxybenzyl)-2-Methyl-1H-indole-3-yl] acetate
[7-hydroxyl-1-(3-hydroxybenzyl)-2-Methyl-1H-indole-3-yl] acetate
[2-ethyl-5-hydroxyl-1-(4-hydroxybenzyl)-1H-indol-3-yl] acetate
[2-ethyl-4-hydroxyl-1-(4-hydroxybenzyl)-1H-indol-3-yl] acetate
[2-ethyl-6-hydroxyl-1-(4-hydroxybenzyl)-1H-indol-3-yl] acetate
[2-ethyl-7-hydroxyl-1-(4-hydroxybenzyl)-1H-indol-3-yl] acetate
[2-ethyl-5-hydroxyl-1-(2-hydroxybenzyl)-1H-indol-3-yl] acetate
[2-ethyl-4-hydroxyl-1-(2-hydroxybenzyl)-1H-indol-3-yl] acetate
[2-ethyl-6-hydroxyl-1-(2-hydroxybenzyl)-1H-indol-3-yl] acetate
[2-ethyl-7-hydroxyl-1-(2-hydroxybenzyl)-1H-indol-3-yl] acetate
[2-ethyl-5-hydroxyl-1-(3-hydroxybenzyl)-1H-indol-3-yl] acetate
[2-ethyl-4-hydroxyl-1-(3-hydroxybenzyl)-1H-indol-3-yl] acetate
[2-ethyl-6-hydroxyl-1-(3-hydroxybenzyl)-1H-indol-3-yl] acetate
[2-ethyl-7-hydroxyl-1-(3-hydroxybenzyl)-1H-indol-3-yl] acetate
[5-hydroxyl-1-(4-hydroxybenzyl)-2-sec.-propyl-1H-indol-3-yl] acetate
[4-hydroxyl-1-(4-hydroxybenzyl)-2-sec.-propyl-1H-indol-3-yl] acetate
[6-hydroxyl-1-(4-hydroxybenzyl)-2-sec.-propyl-1H-indol-3-yl] acetate
[7-hydroxyl-1-(4-hydroxybenzyl)-2-sec.-propyl-1H-indol-3-yl] acetate
[5-hydroxyl-1-(2-hydroxybenzyl)-2-sec.-propyl-1H-indol-3-yl] acetate
[4-hydroxyl-1-(2-hydroxybenzyl)-2-sec.-propyl-1H-indol-3-yl] acetate
[6-hydroxyl-1-(2-hydroxybenzyl)-2-sec.-propyl-1H-indol-3-yl] acetate
[7-hydroxyl-1-(2-hydroxybenzyl)-2-sec.-propyl-1H-indol-3-yl] acetate
[5-hydroxyl-1-(3-hydroxybenzyl)-2-sec.-propyl-1H-indol-3-yl] acetate
[4-hydroxyl-1-(3-hydroxybenzyl)-2-sec.-propyl-1H-indol-3-yl] acetate
[6-hydroxyl-1-(3-hydroxybenzyl)-2-sec.-propyl-1H-indol-3-yl] acetate
[7-hydroxyl-1-(3-hydroxybenzyl)-2-sec.-propyl-1H-indol-3-yl] acetate
[5-hydroxyl-1-(4-hydroxybenzyl)-1H-indol-3-yl] acetate
[4-hydroxyl-1-(4-hydroxybenzyl)-1H-indol-3-yl] acetate
[6-hydroxyl-1-(4-hydroxybenzyl)-1H-indol-3-yl] acetate
[7-hydroxyl-1-(4-hydroxybenzyl)-1H-indol-3-yl] acetate
[5-hydroxyl-1-(2-hydroxybenzyl)-1H-indol-3-yl] acetate
[4-hydroxyl-1-(2-hydroxybenzyl)-1H-indol-3-yl] acetate
[6-hydroxyl-1-(2-hydroxybenzyl)-1H-indol-3-yl] acetate
[7-hydroxyl-1-(2-hydroxybenzyl)-1H-indol-3-yl] acetate
[5-hydroxyl-1-(3-hydroxybenzyl)-1H-indol-3-yl] acetate
[4-hydroxyl-1-(3-hydroxybenzyl)-1H-indol-3-yl] acetate
[6-hydroxyl-1-(3-hydroxybenzyl)-1H-indol-3-yl] acetate
[7-hydroxyl-1-(3-hydroxybenzyl)-1H-indol-3-yl] acetate
[2-bromo-5-hydroxyl-1-(4-hydroxybenzyl)-1H-indol-3-yl] acetate
[5-hydroxyl-1-(4-hydroxybenzyl)-2-iodo-1H-indol-3-yl] acetate
[2-chloro-5-hydroxyl-1-(4-hydroxybenzyl)-1H-indol-3-yl] acetate
[2-fluoro-5-hydroxyl-1-(4-hydroxybenzyl)-1H-indol-3-yl] acetate
[2-chloro-4-hydroxyl-1-(4-hydroxybenzyl)-1H-indol-3-yl] acetate
[2-bromo-4-hydroxyl-1-(4-hydroxybenzyl)-1H-indol-3-yl] acetate
[2-fluoro-4-hydroxyl-1-(4-hydroxybenzyl)-1H-indol-3-yl] acetate
[4-hydroxyl-1-(4-hydroxybenzyl)-2-iodo-1H-indol-3-yl] acetate
[2-bromo-6-hydroxyl-1-(4-hydroxybenzyl)-1H-indol-3-yl] acetate
[2-chloro-6-hydroxyl-1-(4-hydroxybenzyl)-1H-indol-3-yl] acetate
[2-fluoro-6-hydroxyl-1-(4-hydroxybenzyl)-1H-indol-3-yl] acetate
[6-hydroxyl-1-(4-hydroxybenzyl)-2-iodo-1H-indol-3-yl] acetate
[2-bromo-7-hydroxyl-1-(4-hydroxybenzyl)-1H-indol-3-yl] acetate
[2-bromo-5-hydroxyl-1-(2-hydroxybenzyl)-1H-indol-3-yl] acetate
[2-chloro-5-hydroxyl-1-(2-hydroxybenzyl)-1H-indol-3-yl] acetate
[5-hydroxyl-1-(2-hydroxybenzyl)-2-iodo-1H-indol-3-yl] acetate
[2-fluoro-5-hydroxyl-1-(2-hydroxybenzyl)-1H-indol-3-yl] acetate
[2-chloro-7-hydroxyl-1-(4-hydroxybenzyl)-1H-indol-3-yl] acetate
[7-hydroxyl-1-(4-hydroxybenzyl)-2-iodo-1H-indol-3-yl] acetate
[2-fluoro-7-hydroxyl-1-(4-hydroxybenzyl)-1H-indol-3-yl] acetate
[2-bromo-4-hydroxyl-1-(2-hydroxybenzyl)-1H-indol-3-yl] acetate
[2-chloro-4-hydroxyl-1-(2-hydroxybenzyl)-1H-indol-3-yl] acetate
[4-hydroxyl-1-(2-hydroxybenzyl)-2-iodo-1H-indol-3-yl] acetate
[2-fluoro-4-hydroxyl-1-(2-hydroxybenzyl)-1H-indol-3-yl] acetate
[2-chloro-6-hydroxyl-1-(2-hydroxybenzyl)-1H-indol-3-yl] acetate
[2-bromo-6-hydroxyl-1-(2-hydroxybenzyl)-1H-indol-3-yl] acetate
[6-hydroxyl-1-(2-hydroxybenzyl)-2-iodo-1H-indol-3-yl] acetate
[2-fluoro-6-hydroxyl-1-(2-hydroxybenzyl)-1H-indol-3-yl] acetate
[2-bromo-7-hydroxyl-1-(2-hydroxybenzyl)-1H-indol-3-yl] acetate
[7-hydroxyl-1-(2-hydroxybenzyl)-2-iodo-1H-indol-3-yl] acetate
[2-chloro-7-hydroxyl-1-(2-hydroxybenzyl)-1H-indol-3-yl] acetate
[2-fluoro-7-hydroxyl-1-(2-hydroxybenzyl)-1H-indol-3-yl] acetate
3-(carboxymethyl)-1-(4-hydroxybenzyl)-2-Methyl-1H-indole-5-carboxylic acid
3-(carboxymethyl)-1-(4-hydroxybenzyl)-2-Methyl-1H-indole-4-carboxylic acid
3-(carboxymethyl)-1-(4-hydroxybenzyl)-2-Methyl-1H-indole-6-carboxylic acid
3-(carboxymethyl)-1-(4-hydroxybenzyl)-2-Methyl-1H-indole-7-carboxylic acid
3-(carboxymethyl)-1-(2-hydroxybenzyl)-2-Methyl-1H-indole-5-carboxylic acid
3-(carboxymethyl)-1-(2-hydroxybenzyl)-2-Methyl-1H-indole-4-carboxylic acid
3-(carboxymethyl)-1-(2-hydroxybenzyl)-2-Methyl-1H-indole-6-carboxylic acid
3-(carboxymethyl)-1-(2-hydroxybenzyl)-2-Methyl-1H-indole-7-carboxylic acid
3-(carboxymethyl)-1-(3-hydroxybenzyl)-2-Methyl-1H-indole-5-carboxylic acid
3-(carboxymethyl)-1-(3-hydroxybenzyl)-2-Methyl-1H-indole-4-carboxylic acid
3-(carboxymethyl)-1-(3-hydroxybenzyl)-2-Methyl-1H-indole-6-carboxylic acid
3-(carboxymethyl)-1-(3-hydroxybenzyl)-2-Methyl-1H-indole-7-carboxylic acid
3-(carboxymethyl)-2-ethyl-1-(4-hydroxybenzyl)-1H-indole-5-carboxylic acid
3-(carboxymethyl)-2-ethyl-1-(4-hydroxybenzyl)-1H-indole-4-carboxylic acid
3-(carboxymethyl)-2-ethyl-1-(4-hydroxybenzyl)-1H-Indole-6-carboxylic acid
3-(carboxymethyl)-2-ethyl-1-(4-hydroxybenzyl)-1H-indole-7-carboxylic acid
3-(carboxymethyl)-2-ethyl-1-(2-hydroxybenzyl)-1H-indole-5-carboxylic acid
3-(carboxymethyl)-2-ethyl-1-(2-hydroxybenzyl)-1H-indole-4-carboxylic acid
3-(carboxymethyl)-2-ethyl-1-(2-hydroxybenzyl)-1H-Indole-6-carboxylic acid
3-(carboxymethyl)-2-ethyl-1-(2-hydroxybenzyl)-1H-indole-7-carboxylic acid
3-(carboxymethyl)-2-ethyl-1-(3-hydroxybenzyl)-1H-indole-5-carboxylic acid
3-(carboxymethyl)-2-ethyl-1-(3-hydroxybenzyl)-1H-indole-4-carboxylic acid
3-(carboxymethyl)-2-ethyl-1-(3-hydroxybenzyl)-1H-Indole-6-carboxylic acid
3-(carboxymethyl)-2-ethyl-1-(3-hydroxybenzyl)-1H-indole-7-carboxylic acid
3-(carboxymethyl)-1-(4-hydroxybenzyl)-2-sec.-propyl-1H-indole-5-carboxylic acid
3-(carboxymethyl)-1-(4-hydroxybenzyl)-2-sec.-propyl-1H-indole-4-carboxylic acid
3-(carboxymethyl)-1-(4-hydroxybenzyl)-2-sec.-propyl-1H-Indole-6-carboxylic acid
3-(carboxymethyl)-1-(4-hydroxybenzyl)-2-sec.-propyl-1H-indole-7-carboxylic acid
3-(carboxymethyl)-1-(2-hydroxybenzyl)-2-sec.-propyl-1H-indole-4-carboxylic acid
3-(carboxymethyl)-1-(2-hydroxybenzyl)-2-sec.-propyl-1H-Indole-6-carboxylic acid
3-(carboxymethyl)-1-(2-hydroxybenzyl)-2-sec.-propyl-1H-indole-7-carboxylic acid
3-(carboxymethyl)-1-(3-hydroxybenzyl)-2-sec.-propyl-1H-indole-5-carboxylic acid
3-(carboxymethyl)-1-(3-hydroxybenzyl)-2-sec.-propyl-1H-indole-4-carboxylic acid
3-(carboxymethyl)-1-(3-hydroxybenzyl)-2-sec.-propyl-1H-Indole-6-carboxylic acid
3-(carboxymethyl)-1-(3-hydroxybenzyl)-2-sec.-propyl-1H-indole-7-carboxylic acid
3-(carboxymethyl)-1-(4-hydroxybenzyl)-1H-indole-5-carboxylic acid
3-(carboxymethyl)-1-(4-hydroxybenzyl)-1H-indole-4-carboxylic acid
3-(carboxymethyl)-1-(4-hydroxybenzyl)-1H-Indole-6-carboxylic acid
3-(carboxymethyl)-1-(4-hydroxybenzyl)-1H-indole-7-carboxylic acid
3-(carboxymethyl)-1-(2-hydroxybenzyl)-1H-indole-5-carboxylic acid
3-(carboxymethyl)-1-(2-hydroxybenzyl)-1H-indole-4-carboxylic acid
3-(carboxymethyl)-1-(2-hydroxybenzyl)-1H-Indole-6-carboxylic acid
3-(carboxymethyl)-1-(2-hydroxybenzyl)-1H-indole-7-carboxylic acid
3-(carboxymethyl)-1-(3-hydroxybenzyl)-1H-indole-5-carboxylic acid
3-(carboxymethyl)-1-(3-hydroxybenzyl)-1H-indole-4-carboxylic acid
3-(carboxymethyl)-1-(3-hydroxybenzyl)-1H-Indole-6-carboxylic acid
3-(carboxymethyl)-1-(3-hydroxybenzyl)-1H-indole-7-carboxylic acid
1-benzyl-5-hydroxyl-1H-Indole-3-Carboxylic Acid
1-benzyl-4-hydroxyl-1H-Indole-3-Carboxylic Acid
1-benzyl-6-hydroxyl-1H-Indole-3-Carboxylic Acid
1-benzyl-7-hydroxyl-1H-Indole-3-Carboxylic Acid
1-benzyl-2-ethyl-5-hydroxyl-1H-Indole-3-Carboxylic Acid
1-benzyl-2-ethyl-4-hydroxyl-1H-Indole-3-Carboxylic Acid
1-benzyl-2-ethyl-6-hydroxyl-1H-Indole-3-Carboxylic Acid
1-benzyl-2-ethyl-7-hydroxyl-1H-Indole-3-Carboxylic Acid
1-benzyl-5-hydroxyl-2-sec.-propyl-1H-Indole-3-Carboxylic Acid
1-benzyl-4-hydroxyl-2-sec.-propyl-1H-Indole-3-Carboxylic Acid
1-benzyl-6-hydroxyl-2-sec.-propyl-1H-Indole-3-Carboxylic Acid
1-benzyl-7-hydroxyl-2-sec.-propyl-1H-Indole-3-Carboxylic Acid
1-benzyl-5-hydroxyl-1H-Indole-3-Carboxylic Acid
1-benzyl-4-hydroxyl-1H-Indole-3-Carboxylic Acid
1-benzyl-6-hydroxyl-1H-Indole-3-Carboxylic Acid
1-benzyl-7-hydroxyl-1H-Indole-3-Carboxylic Acid
2-ethyl-5-hydroxyl-1-(4-hydroxybenzyl)-1H-Indole-3-Carboxylic Acid
2-ethyl-4-hydroxyl-1-(4-hydroxybenzyl)-1H-Indole-3-Carboxylic Acid
2-ethyl-6-hydroxyl-1-(4-hydroxybenzyl)-1H-Indole-3-Carboxylic Acid
2-ethyl-7-hydroxyl-1-(4-hydroxybenzyl)-1H-Indole-3-Carboxylic Acid
2-ethyl-5-hydroxyl-1-(2-hydroxybenzyl)-1H-Indole-3-Carboxylic Acid
2-ethyl-4-hydroxyl-1-(2-hydroxybenzyl)-1H-Indole-3-Carboxylic Acid
2-ethyl-6-hydroxyl-1-(2-hydroxybenzyl)-1H-Indole-3-Carboxylic Acid
2-ethyl-7-hydroxyl-1-(2-hydroxybenzyl)-1H-Indole-3-Carboxylic Acid
2-ethyl-5-hydroxyl-1-(3-hydroxybenzyl)-1H-Indole-3-Carboxylic Acid
2-ethyl-4-hydroxyl-1-(3-hydroxybenzyl)-1H-Indole-3-Carboxylic Acid
5-hydroxyl-1-(4-hydroxybenzyl)-2-sec.-propyl-1H-Indole-3-Carboxylic Acid
4-hydroxyl-1-(4-hydroxybenzyl)-2-sec.-propyl-1H-Indole-3-Carboxylic Acid
6-hydroxyl-1-(4-hydroxybenzyl)-2-sec.-propyl-1H-Indole-3-Carboxylic Acid
7-hydroxyl-1-(4-hydroxybenzyl)-2-sec.-propyl-1H-Indole-3-Carboxylic Acid
5-hydroxyl-1-(2-hydroxybenzyl)-2-sec.-propyl-1H-Indole-3-Carboxylic Acid
4-hydroxyl-1-(2-hydroxybenzyl)-2-sec.-propyl-1H-Indole-3-Carboxylic Acid
6-hydroxyl-1-(2-hydroxybenzyl)-2-sec.-propyl-1H-Indole-3-Carboxylic Acid
7-hydroxyl-1-(2-hydroxybenzyl)-2-sec.-propyl-1H-Indole-3-Carboxylic Acid
5-hydroxyl-1-(3-hydroxybenzyl)-2-sec.-propyl-1H-Indole-3-Carboxylic Acid
4-hydroxyl-1-(3-hydroxybenzyl)-2-sec.-propyl-1H-Indole-3-Carboxylic Acid
6-hydroxyl-1-(3-hydroxybenzyl)-2-sec.-propyl-1H-Indole-3-Carboxylic Acid
7-hydroxyl-1-(3-hydroxybenzyl)-2-sec.-propyl-1H-Indole-3-Carboxylic Acid
4-hydroxyl-1H-Indole-3-Carboxylic Acid
2-ethyl-7-hydroxyl-1-(3-hydroxybenzyl)-1H-Indole-3-Carboxylic Acid
1-benzyl-2-methyl-3-(5H-tetrazolium-5-ylmethyl)-1H-indoles-4-alcohol
[2-methyl isophthalic acid-(3-trifluoro-methoxybenzyl) indolizine (indolizin)-3-yl] acetate
[2-chloro-5-methoxyl group-1-(3-trifluoro-methoxybenzyl)-1H-indol-3-yl] acetate
[7-chloro-2-methyl isophthalic acid-(3-trifluoro-methoxybenzyl)-1H-indol-3-yl] acetate
[2,7-two chloro-1-(3-trifluoro-methoxybenzyl)-1H-indol-3-yl] acetate
[2,5,6-three chloro-3-(3-trifluoro-methoxybenzyl)-1H-indoles-1-yl] acetate
[2,5,6-three chloro-1-(3-trifluoro-methoxybenzyl)-1H-indol-3-yl] acetate
[2,6-two chloro-3-(3-trifluoro-methoxybenzyl)-1H-indoles-1-yl] acetate
[2,5-two chloro-3-(3-trifluoro-methoxybenzyl)-1H-indoles-1-yl] acetate
[2,6-two chloro-1-(3-trifluoro-methoxybenzyl)-1H-indol-3-yl] acetate
[2,5-two chloro-1-(3-trifluoro-methoxybenzyl)-1H-indol-3-yl] acetate
(2E)-and 3-[2,6-two chloro-1-(3-trifluoro-methoxybenzyl)-1H-indol-3-yl] vinylformic acid
(2E)-and 3-[2,5,6-three chloro-1-(3-trifluoro-methoxybenzyl)-1H-indol-3-yl] vinylformic acid
(2E)-and 3-[6-chloro-2-methyl isophthalic acid-(3-trifluoro-methoxybenzyl)-1H-indol-3-yl] vinylformic acid
Additional compounds
Useful in addition compound comprises: the 5-nitroindoline; 5-methoxyl group-2 methyl indole
5-methoxyl group indole-3-formaldehyde; 5-methoxyl group indoles; Indoline-2-carboxylic acid; Indole-3-carbinol; Indoles-3-acethydrazide; 5-pindolol (indolol); The 5-fluoro indole; The Ethyl indole-2-carboxylate; 5-hydroxy-2-methyl Indole-3-Carboxylic Acid ethyl ester; Indoles-5-nitrile; The 5-chloro-indole; The 5-bromo indole; The 5-benzyloxy indole; The 5-amino indole; 6-fluorine tryptamine hydrochloride; N-ethanoyl-serotonine; The 4-cyanoindole
The 7-nitroindoline; The 7-benzyloxy indole; 1-(tert-butoxycarbonyl)-5-chloro-indole; Indole-4-methanal; Indole-7-formaldehyde; The indole-6-carboxylic methyl ester; The 3-indole acetonitrile; The Indole-6-carboxylic acid; The indole-5-carboxylic acid; (5-benzyloxy indole-3-yl) acetonitrile; (6-methoxyl group indol-3-yl methyl) dimethylamine; 5-iodine indoles; 5-bromo indole-1-carboxylic acid tert-butyl ester
5-oxyindole-3-acetate; 2-(4-fluorophenyl)-1H-indole-3-formaldehyde; 3-(2-hydroxyethyl) indoles; 2-phenylindone-3-formaldehyde; 5-chloro-indole-3-formaldehyde; 5-amino-2-methyl indoles; The 4-amino indole
7-bromo-2 methyl indole; The 6-bromo indole; 2-methyl-5-nitro indoles; 5-bromo indole-3-formaldehyde; The 1-indole-carboxylic acid tert-butyl ester; Indoles-5-formaldehyde; 5-fluoro-2 methyl indole; Indole-5-carboxylic acid's methyl esters; 1-skatole-2-formaldehyde; 5-methoxyl group-4-skatole; The 7-chloro-indole; The 7-bromo indole
The 6-fluoro indole; 1-skatole-3-carboxylic acid; The 4-fluoro indole; 3-(trifluoroacetyl group) indoles; 2-(2-aminophenyl) indoles; 3-(2-bromotrifluoromethane) indoles; 1-ethanoyl-3-indolecarboxaldehyde; 1-skatole-3-formaldehyde; 5-amino indole hydrochloride; The 5-methoxytryptamine; Indole-4-carboxylic acid's methyl esters
The 4-nitroindoline; 2 methyl indole-3-formaldehyde; 4-methoxyl group indoles; The indole-4-carboxylic acid; 5,6-dimethoxy indoles; The 6-chloro-indole; The 4-chloro-indole; The 4-benzyloxy indole; The 5-skatole; The 4-pindolol; 6-methoxyl group indoles; 5-chloro-2-indole-carboxylic acid ethyl ester; 5-(benzyloxy) indoles; 5-skatole-3-formaldehyde;
Indole-3-formaldehyde; 7-methoxyl group indoles; The 7-amino indole; With 3-aldehyde-base indoles, whole in these compounds or some can be that whole in the inhibitor of DAO and these compounds or some can have one or more other activity.
The DAO inhibitor can comprise following compounds:
5H-pyrrolo-[2,3-b] pyrazine-6-carboxylic acid
2-(1H-pyrrolo-[2,3-b] pyridine-2-yl) phenol
3-(1H-pyrrolo-[2,3-b] pyridine-2-yl) pyridine-2-alcohol
2-(1H-pyrrolo-[2,3-b] pyridine-2-yl) pyridine-3-alcohol
3-(1H-pyrrolo-[2,3-b] pyridine-2-yl) pyridine-4-alcohol
4-(1H-pyrrolo-[2,3-b] pyridine-2-yl) pyridine-3-alcohol
5-hydroxyl-1H-pyrrolo-[2,3-b] pyridine-3-nitrile
3-(amino methyl)-1H-pyrrolo-[2,3-b] pyridine-5-alcohol
7H-pyrrolo-[2,3-d] pyrimidine-6-carboxylic acid
5H-pyrrolo-[2,3-b] pyrazine-6-carboxylic acid
7H-pyrrolo-[2,3-d] pyrimidine-6-carboxylic acid
5H-pyrrolo-[2,3-b] pyrazine-6-carboxylic acid
2,3,4,4a, 5,7a-six hydrogen-1H-pyrrolo-[2,3-b] pyrazine-6-carboxylic acid
3a, 4,5,6,7,7a-six hydrogen-1H-pyrrolo-[2,3-b] pyridine-2-carboxylic acids
7H-pyrrolo-[2,3-d] pyrimidine-6-carboxylic acid
5H-pyrrolo-[2,3-b] pyrazine-6-carboxylic acid
1-benzyl-5-hydroxyl-1H-pyrrolo-[2,3-b] pyridine-2-carboxylic acids
1-(3-luorobenzyl)-5-hydroxyl-1H-pyrrolo-[2,3-b] pyridine-2-carboxylic acids
1-(3, the 5-difluorobenzyl)-5-hydroxyl-1H-pyrrolo-[2,3-b] pyridine-2-carboxylic acids
1-(3-benzyl chloride base)-5-hydroxyl-1H-pyrrolo-[2,3-b] pyridine-2-carboxylic acids
1-(2-benzyl chloride base)-5-hydroxyl-1H-pyrrolo-[2,3-b] pyridine-2-carboxylic acids
1-(4-luorobenzyl)-5-hydroxyl-1H-pyrrolo-[2,3-b] pyridine-2-carboxylic acids
1-(4-benzyl chloride base)-5-hydroxyl-1H-pyrrolo-[2,3-b] pyridine-2-carboxylic acids
1-benzyl-5-hydroxyl-1H-pyrrolo-[2,3-b] pyridine-2-carboxylic acids
1-(2-luorobenzyl)-5-hydroxyl-1H-pyrrolo-[2,3-b] pyridine-2-carboxylic acids
1-benzyl-1H-pyrrolo-[2,3-b] pyridine-2-carboxylic acids
1-(2-hydroxybenzyl)-1H-pyrrolo-[2,3-b] pyridine-2-carboxylic acids
4-fluoro-1H-pyrrolo-[2,3-b] pyridine-2-carboxylic acids
3-fluoro-1H-pyrrolo-[2,3-b] pyridine-2-carboxylic acids
4-hydroxyl-7H-pyrrolo-[2,3-d] pyrimidine-6-carboxylic acid
4-hydroxyl-7H-pyrrolo-[2,3-d] pyrimidine-6-carboxylic acid, ethyl ester
4-chloro-7H-pyrrolo-[2,3-d] pyrimidine-6-carboxylic acid
4-fluoro-7H-pyrrolo-[2,3-d] pyrimidine-6-carboxylic acid
4-fluoro-7H-pyrrolo-[2,3-d] pyrimidine-6-carboxylic acid, ethyl ester
4-chloro-7H-pyrrolo-[2,3-d] pyrimidine-6-carboxylic acid, ethyl ester
2-hydroxyl-5H-pyrrolo-[2,3-b] pyrazine-6-carboxylic acid
2-fluoro-5H-pyrrolo-[2,3-b] pyrazine-6-carboxylic acid
2-fluoro-5H-pyrrolo-[2,3-b] pyrazine-6-carboxylic acid, ethyl ester
2-hydroxyl-5H-pyrrolo-[2,3-b] pyrazine-6-carboxylic acid, ethyl ester
3-(cyanogen methyl)-1H-pyrrolo-[2,3-b] pyridine-2-carboxylic acids
(5-hydroxyl-1H-pyrrolo-[2,3-b] pyridine-2-yl) acetonitrile
2-(1H-indoles-2-yl) pyridine-3-alcohol
3-(1H-indoles-2-yl) pyridine-2-alcohol
3-(1H-indoles-2-yl) pyridine-4-alcohol
4-(1H-indoles-2-yl) pyridine-3-alcohol
2-(trifluoromethyl)-1H-indoles-5-base
2-(trifluoromethyl)-1H-indoles-4-alcohol
3-(amino methyl)-1H-indoles-5-base
5-hydroxyl-1H-indoles-3-nitrile
3-(amino methyl)-1H-Indoline-2-carboxylic acid
3-(2-aminoethyl)-1H-Indoline-2-carboxylic acid
3-cyano-1 H-indol--2-carboxylic acid
3-(amino methyl)-1H-Indoline-2-carboxylic acid
1-benzyl-5-hydroxyl-1H-Indoline-2-carboxylic acid
1-(3-luorobenzyl)-5-hydroxyl-1H-Indoline-2-carboxylic acid
1-(3, the 5-difluorobenzyl)-5-hydroxyl-1H-Indoline-2-carboxylic acid
1-(3-benzyl chloride base)-5-hydroxyl-1H-Indoline-2-carboxylic acid
1-(2-benzyl chloride base)-5-hydroxyl-1H-Indoline-2-carboxylic acid
1-(4-luorobenzyl)-5-hydroxyl-1H-Indoline-2-carboxylic acid
1-(4-benzyl chloride base)-5-hydroxyl-1H-Indoline-2-carboxylic acid
1-benzyl-5-hydroxyl-1H-Indoline-2-carboxylic acid
1-benzyl-5-hydroxyl-1H-Indoline-2-carboxylic acid
3-(cyanogen methyl)-1H-Indoline-2-carboxylic acid
(5-hydroxyl-1H-indol-3-yl) acetonitrile
(1-benzyl-6-hydroxy-2-methyl-1H-indol-3-yl) acetate
(1-benzyl-4-hydroxy-2-methyl-1H-indol-3-yl) acetate
(1-benzyl-6-hydroxy-2-methyl-1H-indol-3-yl) acetate
(1-benzyl-7-hydroxy-2-methyl-1H-indol-3-yl) acetate
(5-hydroxy-2-methyl-1H-indol-3-yl) acetate
(4-hydroxy-2-methyl-1H-indol-3-yl) acetate
(6-hydroxy-2-methyl-1H-indol-3-yl) acetate
(7-hydroxy-2-methyl-1H-indol-3-yl) acetate
[5-hydroxy-2-methyl-1-(2-styroyl)-1H-indol-3-yl] acetate
[5-hydroxyl-2-(2-styroyl)-1H-indol-3-yl] acetate
(5-hydroxyl-2-phenyl-1H-indol-3-yl) acetate
2-(5-hydroxyl-1H-indol-3-yl)-4-phenylbutyric acid
(1-benzyl-2-ethyl-5-hydroxyl-1H-indol-3-yl) acetate
(1-benzyl-2-ethyl-4-hydroxyl-1H-indol-3-yl) acetate
(1-benzyl-2-ethyl-6-hydroxyl-1H-indol-3-yl) acetate
(1-benzyl-2-ethyl-7-hydroxyl-1H-indol-3-yl) acetate
(1-benzyl-5-hydroxyl-2-sec.-propyl-1H-indol-3-yl) acetate
(1-benzyl-4-hydroxyl-2-sec.-propyl-1H-indol-3-yl) acetate
(1-benzyl-6-hydroxyl-2-sec.-propyl-1H-indol-3-yl) acetate
(1-benzyl-7-hydroxyl-2-sec.-propyl-1H-indol-3-yl) acetate
(1-benzyl-5-hydroxyl-1H-indol-3-yl) acetate
(1-benzyl-4-hydroxyl-1H-indol-3-yl) acetate
(1-benzyl-6-hydroxyl-1H-indol-3-yl) acetate
(1-benzyl-7-hydroxyl-1H-indol-3-yl) acetate
[5-hydroxyl-1-(4-hydroxybenzyl)-2-Methyl-1H-indole-3-yl] acetate
[4-hydroxyl-1-(4-hydroxybenzyl)-2-Methyl-1H-indole-3-yl] acetate
[6-hydroxyl-1-(4-hydroxybenzyl)-2-Methyl-1H-indole-3-yl] acetate
[7-hydroxyl-1-(4-hydroxybenzyl)-2-Methyl-1H-indole-3-yl] acetate
[5-hydroxyl-1-(2-hydroxybenzyl)-2-Methyl-1H-indole-3-yl] acetate
[4-hydroxyl-1-(2-hydroxybenzyl)-2-Methyl-1H-indole-3-yl] acetate
[6-hydroxyl-1-(2-hydroxybenzyl)-2-Methyl-1H-indole-3-yl] acetate
[7-hydroxyl-1-(2-hydroxybenzyl)-2-Methyl-1H-indole-3-yl] acetate
[5-hydroxyl-1-(3-hydroxybenzyl)-2-Methyl-1H-indole-3-yl] acetate
[4-hydroxyl-1-(3-hydroxybenzyl)-2-Methyl-1H-indole-3-yl] acetate
[6-hydroxyl-1-(3-hydroxybenzyl)-2-Methyl-1H-indole-3-yl] acetate
[7-hydroxyl-1-(3-hydroxybenzyl)-2-Methyl-1H-indole-3-yl] acetate
[2-ethyl-5-hydroxyl-1-(4-hydroxybenzyl)-1H-indol-3-yl] acetate
[2-ethyl-4-hydroxyl-1-(4-hydroxybenzyl)-1H-indol-3-yl] acetate
[2-ethyl-6-hydroxyl-1-(4-hydroxybenzyl)-1H-indol-3-yl] acetate
[2-ethyl-7-hydroxyl-1-(4-hydroxybenzyl)-1H-indol-3-yl] acetate
[2-ethyl-5-hydroxyl-1-(2-hydroxybenzyl)-1H-indol-3-yl] acetate
[2-ethyl-4-hydroxyl-1-(2-hydroxybenzyl)-1H-indol-3-yl] acetate
[2-ethyl-6-hydroxyl-1-(2-hydroxybenzyl)-1H-indol-3-yl] acetate
[2-ethyl-7-hydroxyl-1-(2-hydroxybenzyl)-1H-indol-3-yl] acetate
[2-ethyl-5-hydroxyl-1-(3-hydroxybenzyl)-1H-indol-3-yl] acetate
[2-ethyl-4-hydroxyl-1-(3-hydroxybenzyl)-1H-indol-3-yl] acetate
[2-ethyl-6-hydroxyl-1-(3-hydroxybenzyl)-1H-indol-3-yl] acetate
[2-ethyl-7-hydroxyl-1-(3-hydroxybenzyl)-1H-indol-3-yl] acetate
[5-hydroxyl-1-(4-hydroxybenzyl)-2-sec.-propyl-1H-indol-3-yl] acetate
[4-hydroxyl-1-(4-hydroxybenzyl)-2-sec.-propyl-1H-indol-3-yl] acetate
[6-hydroxyl-1-(4-hydroxybenzyl)-2-sec.-propyl-1H-indol-3-yl] acetate
[7-hydroxyl-1-(4-hydroxybenzyl)-2-sec.-propyl-1H-indol-3-yl] acetate
[5-hydroxyl-1-(2-hydroxybenzyl)-2-sec.-propyl-1H-indol-3-yl] acetate
[4-hydroxyl-1-(2-hydroxybenzyl)-2-sec.-propyl-1H-indol-3-yl] acetate
[6-hydroxyl-1-(2-hydroxybenzyl)-2-sec.-propyl-1H-indol-3-yl] acetate
[7-hydroxyl-1-(2-hydroxybenzyl)-2-sec.-propyl-1H-indol-3-yl] acetate
[5-hydroxyl-1-(3-hydroxybenzyl)-2-sec.-propyl-1H-indol-3-yl] acetate
[4-hydroxyl-1-(3-hydroxybenzyl)-2-sec.-propyl-1H-indol-3-yl] acetate
[6-hydroxyl-1-(3-hydroxybenzyl)-2-sec.-propyl-1H-indol-3-yl] acetate
[7-hydroxyl-1-(3-hydroxybenzyl)-2-sec.-propyl-1H-indol-3-yl] acetate
[5-hydroxyl-1-(4-hydroxybenzyl)-1H-indol-3-yl] acetate
[4-hydroxyl-1-(4-hydroxybenzyl)-1H-indol-3-yl] acetate
[6-hydroxyl-1-(4-hydroxybenzyl)-1H-indol-3-yl] acetate
[7-hydroxyl-1-(4-hydroxybenzyl)-1H-indol-3-yl] acetate
[5-hydroxyl-1-(2-hydroxybenzyl)-1H-indol-3-yl] acetate
[4-hydroxyl-1-(2-hydroxybenzyl)-1H-indol-3-yl] acetate
[6-hydroxyl-1-(2-hydroxybenzyl)-1H-indol-3-yl] acetate
[7-hydroxyl-1-(2-hydroxybenzyl)-1H-indol-3-yl] acetate
[5-hydroxyl-1-(3-hydroxybenzyl)-1H-indol-3-yl] acetate
[4-hydroxyl-1-(3-hydroxybenzyl)-1H-indol-3-yl] acetate
[6-hydroxyl-1-(3-hydroxybenzyl)-1H-indol-3-yl] acetate
[7-hydroxyl-1-(3-hydroxybenzyl)-1H-indol-3-yl] acetate
[2-bromo-5-hydroxyl-1-(4-hydroxybenzyl)-1H-indol-3-yl] acetate
[5-hydroxyl-1-(4-hydroxybenzyl)-2-iodo-1H-indol-3-yl] acetate
[2-chloro-5-hydroxyl-1-(4-hydroxybenzyl)-1H-indol-3-yl] acetate
[2-fluoro-5-hydroxyl-1-(4-hydroxybenzyl)-1H-indol-3-yl] acetate
[2-chloro-4-hydroxyl-1-(4-hydroxybenzyl)-1H-indol-3-yl] acetate
[2-bromo-4-hydroxyl-1-(4-hydroxybenzyl)-1H-indol-3-yl] acetate
[2-fluoro-4-hydroxyl-1-(4-hydroxybenzyl)-1H-indol-3-yl] acetate
[4-hydroxyl-1-(4-hydroxybenzyl)-2-iodo-1H-indol-3-yl] acetate
[2-bromo-6-hydroxyl-1-(4-hydroxybenzyl)-1H-indol-3-yl] acetate
[2-chloro-6-hydroxyl-1-(4-hydroxybenzyl)-1H-indol-3-yl] acetate
[2-fluoro-6-hydroxyl-1-(4-hydroxybenzyl)-1H-indol-3-yl] acetate
[6-hydroxyl-1-(4-hydroxybenzyl)-2-iodo-1H-indol-3-yl] acetate
[2-bromo-7-hydroxyl-1-(4-hydroxybenzyl)-1H-indol-3-yl] acetate
[2-bromo-5-hydroxyl-1-(2-hydroxybenzyl)-1H-indol-3-yl] acetate
[2-chloro-5-hydroxyl-1-(2-hydroxybenzyl)-1H-indol-3-yl] acetate
[5-hydroxyl-1-(2-hydroxybenzyl)-2-iodo-1H-indol-3-yl] acetate
[2-fluoro-5-hydroxyl-1-(2-hydroxybenzyl)-1H-indol-3-yl] acetate
[2-chloro-7-hydroxyl-1-(4-hydroxybenzyl)-1H-indol-3-yl] acetate
[7-hydroxyl-1-(4-hydroxybenzyl)-2-iodo-1H-indol-3-yl] acetate
[2-fluoro-7-hydroxyl-1-(4-hydroxybenzyl)-1H-indol-3-yl] acetate
[2-bromo-4-hydroxyl-1-(2-hydroxybenzyl)-1H-indol-3-yl] acetate
[2-chloro-4-hydroxyl-1-(2-hydroxybenzyl)-1H-indol-3-yl] acetate
[4-hydroxyl-1-(2-hydroxybenzyl)-2-iodo-1H-indol-3-yl] acetate
[2-fluoro-4-hydroxyl-1-(2-hydroxybenzyl)-1H-indol-3-yl] acetate
[2-chloro-6-hydroxyl-1-(2-hydroxybenzyl)-1H-indol-3-yl] acetate
[2-bromo-6-hydroxyl-1-(2-hydroxybenzyl)-1H-indol-3-yl] acetate
[6-hydroxyl-1-(2-hydroxybenzyl)-2-iodo-1H-indol-3-yl] acetate
[2-fluoro-6-hydroxyl-1-(2-hydroxybenzyl)-1H-indol-3-yl] acetate
[2-bromo-7-hydroxyl-1-(2-hydroxybenzyl)-1H-indol-3-yl] acetate
[7-hydroxyl-1-(2-hydroxybenzyl)-2-iodo-1H-indol-3-yl] acetate
[2-chloro-7-hydroxyl-1-(2-hydroxybenzyl)-1H-indol-3-yl] acetate
[2-fluoro-7-hydroxyl-1-(2-hydroxybenzyl)-1H-indol-3-yl] acetate
3-(carboxymethyl)-1-(4-hydroxybenzyl)-2-Methyl-1H-indole-5-carboxylic acid
3-(carboxymethyl)-1-(4-hydroxybenzyl)-2-Methyl-1H-indole-4-carboxylic acid
3-(carboxymethyl)-1-(4-hydroxybenzyl)-2-Methyl-1H-indole-6-carboxylic acid
3-(carboxymethyl)-1-(4-hydroxybenzyl)-2-Methyl-1H-indole-7-carboxylic acid
3-(carboxymethyl)-1-(2-hydroxybenzyl)-2-Methyl-1H-indole-5-carboxylic acid
3-(carboxymethyl)-1-(2-hydroxybenzyl)-2-Methyl-1H-indole-4-carboxylic acid
3-(carboxymethyl)-1-(2-hydroxybenzyl)-2-Methyl-1H-indole-6-carboxylic acid
3-(carboxymethyl)-1-(2-hydroxybenzyl)-2-Methyl-1H-indole-7-carboxylic acid
3-(carboxymethyl)-1-(3-hydroxybenzyl)-2-Methyl-1H-indole-5-carboxylic acid
3-(carboxymethyl)-1-(3-hydroxybenzyl)-2-Methyl-1H-indole-4-carboxylic acid
3-(carboxymethyl)-1-(3-hydroxybenzyl)-2-Methyl-1H-indole-6-carboxylic acid
3-(carboxymethyl)-1-(3-hydroxybenzyl)-2-Methyl-1H-indole-7-carboxylic acid
3-(carboxymethyl)-2-ethyl-1-(4-hydroxybenzyl)-1H-indole-5-carboxylic acid
3-(carboxymethyl)-2-ethyl-1-(4-hydroxybenzyl)-1H-indole-4-carboxylic acid
3-(carboxymethyl)-2-ethyl-1-(4-hydroxybenzyl)-1H-Indole-6-carboxylic acid
3-(carboxymethyl)-2-ethyl-1-(4-hydroxybenzyl)-1H-indole-7-carboxylic acid
3-(carboxymethyl)-2-ethyl-1-(2-hydroxybenzyl)-1H-indole-5-carboxylic acid
3-(carboxymethyl)-2-ethyl-1-(2-hydroxybenzyl)-1H-indole-4-carboxylic acid
3-(carboxymethyl)-2-ethyl-1-(2-hydroxybenzyl)-1H-Indole-6-carboxylic acid
3-(carboxymethyl)-2-ethyl-1-(2-hydroxybenzyl)-1H-indole-7-carboxylic acid
3-(carboxymethyl)-2-ethyl-1-(3-hydroxybenzyl)-1H-indole-5-carboxylic acid
3-(carboxymethyl)-2-ethyl-1-(3-hydroxybenzyl)-1H-indole-4-carboxylic acid
3-(carboxymethyl)-2-ethyl-1-(3-hydroxybenzyl)-1H-Indole-6-carboxylic acid
3-(carboxymethyl)-2-ethyl-1-(3-hydroxybenzyl)-1H-indole-7-carboxylic acid
3-(carboxymethyl)-1-(4-hydroxybenzyl)-2-sec.-propyl-1H-indole-5-carboxylic acid
3-(carboxymethyl)-1-(4-hydroxybenzyl)-2-sec.-propyl-1H-indole-4-carboxylic acid
3-(carboxymethyl)-1-(4-hydroxybenzyl)-2-sec.-propyl-1H-Indole-6-carboxylic acid
3-(carboxymethyl)-1-(4-hydroxybenzyl)-2-sec.-propyl-1H-indole-7-carboxylic acid
3-(carboxymethyl)-1-(2-hydroxybenzyl)-2-sec.-propyl-1H-indole-4-carboxylic acid
3-(carboxymethyl)-1-(2-hydroxybenzyl)-2-sec.-propyl-1H-Indole-6-carboxylic acid
3-(carboxymethyl)-1-(2-hydroxybenzyl)-2-sec.-propyl-1H-indole-7-carboxylic acid
3-(carboxymethyl)-1-(3-hydroxybenzyl)-2-sec.-propyl-1H-indole-5-carboxylic acid
3-(carboxymethyl)-1-(3-hydroxybenzyl)-2-sec.-propyl-1H-indole-4-carboxylic acid
3-(carboxymethyl)-1-(3-hydroxybenzyl)-2-sec.-propyl-1H-Indole-6-carboxylic acid
3-(carboxymethyl)-1-(3-hydroxybenzyl)-2-sec.-propyl-1H-indole-7-carboxylic acid
3-(carboxymethyl)-1-(4-hydroxybenzyl)-1H-indole-5-carboxylic acid
3-(carboxymethyl)-1-(4-hydroxybenzyl)-1H-indole-4-carboxylic acid
3-(carboxymethyl)-1-(4-hydroxybenzyl)-1H-Indole-6-carboxylic acid
3-(carboxymethyl)-1-(4-hydroxybenzyl)-1H-indole-7-carboxylic acid
3-(carboxymethyl)-1-(2-hydroxybenzyl)-1H-indole-5-carboxylic acid
3-(carboxymethyl)-1-(2-hydroxybenzyl)-1H-indole-4-carboxylic acid
3-(carboxymethyl)-1-(2-hydroxybenzyl)-1H-Indole-6-carboxylic acid
3-(carboxymethyl)-1-(2-hydroxybenzyl)-1H-indole-7-carboxylic acid
3-(carboxymethyl)-1-(3-hydroxybenzyl)-1H-indole-5-carboxylic acid
3-(carboxymethyl)-1-(3-hydroxybenzyl)-1H-indole-4-carboxylic acid
3-(carboxymethyl)-1-(3-hydroxybenzyl)-1H-Indole-6-carboxylic acid
3-(carboxymethyl)-1-(3-hydroxybenzyl)-1H-indole-7-carboxylic acid
1-benzyl-5-hydroxyl-1H-Indole-3-Carboxylic Acid
1-benzyl-4-hydroxyl-1H-Indole-3-Carboxylic Acid
1-benzyl-6-hydroxyl-1H-Indole-3-Carboxylic Acid
1-benzyl-7-hydroxyl-1H-Indole-3-Carboxylic Acid
1-benzyl-2-ethyl-5-hydroxyl-1H-Indole-3-Carboxylic Acid
1-benzyl-2-ethyl-4-hydroxyl-1H-Indole-3-Carboxylic Acid
1-benzyl-2-ethyl-6-hydroxyl-1H-Indole-3-Carboxylic Acid
1-benzyl-2-ethyl-7-hydroxyl-1H-Indole-3-Carboxylic Acid
1-benzyl-5-hydroxyl-2-sec.-propyl-1H-Indole-3-Carboxylic Acid
1-benzyl-4-hydroxyl-2-sec.-propyl-1H-Indole-3-Carboxylic Acid
1-benzyl-6-hydroxyl-2-sec.-propyl-1H-Indole-3-Carboxylic Acid
1-benzyl-7-hydroxyl-2-sec.-propyl-1H-Indole-3-Carboxylic Acid
1-benzyl-5-hydroxyl-1H-Indole-3-Carboxylic Acid
1-benzyl-4-hydroxyl-1H-Indole-3-Carboxylic Acid
1-benzyl-6-hydroxyl-1H-Indole-3-Carboxylic Acid
1-benzyl-7-hydroxyl-1H-Indole-3-Carboxylic Acid
2-ethyl-5-hydroxyl-1-(4-hydroxybenzyl)-1H-Indole-3-Carboxylic Acid
2-ethyl-4-hydroxyl-1-(4-hydroxybenzyl)-1H-Indole-3-Carboxylic Acid
2-ethyl-6-hydroxyl-1-(4-hydroxybenzyl)-1H-Indole-3-Carboxylic Acid
2-ethyl-7-hydroxyl-1-(4-hydroxybenzyl)-1H-Indole-3-Carboxylic Acid
2-ethyl-5-hydroxyl-1-(2-hydroxybenzyl)-1H-Indole-3-Carboxylic Acid
2-ethyl-4-hydroxyl-1-(2-hydroxybenzyl)-1H-Indole-3-Carboxylic Acid
2-ethyl-6-hydroxyl-1-(2-hydroxybenzyl)-1H-Indole-3-Carboxylic Acid
2-ethyl-7-hydroxyl-1-(2-hydroxybenzyl)-1H-Indole-3-Carboxylic Acid
2-ethyl-5-hydroxyl-1-(3-hydroxybenzyl)-1H-Indole-3-Carboxylic Acid
2-ethyl-4-hydroxyl-1-(3-hydroxybenzyl)-1H-Indole-3-Carboxylic Acid
5-hydroxyl-1-(4-hydroxybenzyl)-2-sec.-propyl-1H-Indole-3-Carboxylic Acid
4-hydroxyl-1-(4-hydroxybenzyl)-2-sec.-propyl-1H-Indole-3-Carboxylic Acid
6-hydroxyl-1-(4-hydroxybenzyl)-2-sec.-propyl-1H-Indole-3-Carboxylic Acid
7-hydroxyl-1-(4-hydroxybenzyl)-2-sec.-propyl-1H-Indole-3-Carboxylic Acid
5-hydroxyl-1-(2-hydroxybenzyl)-2-sec.-propyl-1H-Indole-3-Carboxylic Acid
4-hydroxyl-1-(2-hydroxybenzyl)-2-sec.-propyl-1H-Indole-3-Carboxylic Acid
6-hydroxyl-1-(2-hydroxybenzyl)-2-sec.-propyl-1H-Indole-3-Carboxylic Acid
7-hydroxyl-1-(2-hydroxybenzyl)-2-sec.-propyl-1H-Indole-3-Carboxylic Acid
5-hydroxyl-1-(3-hydroxybenzyl)-2-sec.-propyl-1H-Indole-3-Carboxylic Acid
4-hydroxyl-1-(3-hydroxybenzyl)-2-sec.-propyl-1H-Indole-3-Carboxylic Acid
6-hydroxyl-1-(3-hydroxybenzyl)-2-sec.-propyl-1H-Indole-3-Carboxylic Acid
7-hydroxyl-1-(3-hydroxybenzyl)-2-sec.-propyl-1H-Indole-3-Carboxylic Acid
4-hydroxyl-1H-Indole-3-Carboxylic Acid
2-ethyl-7-hydroxyl-1-(3-hydroxybenzyl)-1H-Indole-3-Carboxylic Acid
1H-indoles-7-alcohol
5-hydroxyl-1-Methyl-1H-indole-3-carboxylic acid
5-hydroxyl-1-Methyl-1H-indole-2-carboxylic acid
1H-indoles-2-base phosphoric acid
1H-benzimidazolyl-2 radicals-carboxylic acid
1H-indoles-2-boric acid
3-hydroxyl-1H-Indoline-2-carboxylic acid
3,3-difluoro indoline-2-carboxylic acid
7-hydroxyl-1-cumarone-2-carboxylic acid
7-hydroxyl-1-thionaphthene-2-carboxylic acid
7-hydroxyl-1H-Indoline-2-carboxylic acid
2-(5H-tetrazolium-5-yl)-1H-indoles
1-benzyl-2-methyl-3-(5H-tetrazolium-5-ylmethyl)-1H-indoles-4-alcohol
2-(5H-tetrazolium-5-ylmethyl)-1H-indoles
4-bromo-1H-indoles-1, the 2-di-tert-butyl dicarboxylate
4-iodo-1H-indoles-1, the 2-di-tert-butyl dicarboxylate
4-phenyl-1H-Indoline-2-carboxylic acid
4-benzyl-1H-Indoline-2-carboxylic acid
4-(2-styroyl)-1H-Indoline-2-carboxylic acid
4-(3-hydrocinnamyl)-1H-Indoline-2-carboxylic acid
4-(4-benzene butyl)-1H-Indoline-2-carboxylic acid
4-phenoxy group-1H-Indoline-2-carboxylic acid
4-(thiophenyl)-1H-Indoline-2-carboxylic acid
4-[ethanoyl (phenyl) amino]-the 1H-Indoline-2-carboxylic acid
4-benzoyl-1H-Indoline-2-carboxylic acid
4-(benzenesulfinyl)-1H-Indoline-2-carboxylic acid
4-(benzenesulfonyl)-1H-Indoline-2-carboxylic acid
4-anilino-1H-Indoline-2-carboxylic acid
4-(benzyloxy)-1H-Indoline-2-carboxylic acid
4-(2-benzene oxyethyl group)-1H-Indoline-2-carboxylic acid
4-(3-benzene propoxy-)-1H-Indoline-2-carboxylic acid
4-(4-benzene butoxy)-1H-Indoline-2-carboxylic acid
4-(benzylthio-)-1H-Indoline-2-carboxylic acid
The 4-[(2-styroyl) sulfo-]-the 1H-Indoline-2-carboxylic acid
The 4-[(3-hydrocinnamyl) sulfo-]-the 1H-Indoline-2-carboxylic acid
4-[(4-benzene butyl) sulfo-]-the 1H-Indoline-2-carboxylic acid
4-(benzylamino)-1H-Indoline-2-carboxylic acid
The 4-[(2-styroyl) amino]-the 1H-Indoline-2-carboxylic acid
The 4-[(3-hydrocinnamyl) amino]-the 1H-Indoline-2-carboxylic acid
4-[(4-benzene butyl) amino]-the 1H-Indoline-2-carboxylic acid
4-(2-oxo-2-styroyl)-1H-Indoline-2-carboxylic acid
4-(3-oxo-3-hydrocinnamyl)-1H-Indoline-2-carboxylic acid
4-(4-oxo-4-benzene butyl)-1H-Indoline-2-carboxylic acid
4-(Phenoxymethyl)-1H-Indoline-2-carboxylic acid
The 4-[(thiophenyl) methyl]-the 1H-Indoline-2-carboxylic acid
The 4-[(benzenesulfonyl) methyl]-the 1H-Indoline-2-carboxylic acid
4-{[ethanoyl (phenyl) amino] methyl }-the 1H-Indoline-2-carboxylic acid
4-(anilinomethyl)-1H-Indoline-2-carboxylic acid
The 4-[(benzamido) methyl]-the 1H-Indoline-2-carboxylic acid
The 4-{[(benzenesulfonyl) amino] methyl }-the 1H-Indoline-2-carboxylic acid
4-[2-(benzamido) ethyl]-the 1H-Indoline-2-carboxylic acid
The 4-{2-[(benzenesulfonyl) amino] ethyl }-the 1H-Indoline-2-carboxylic acid
4-(2-benzene oxygen ethyl)-1H-Indoline-2-carboxylic acid
4-[2-(thiophenyl) ethyl]-the 1H-Indoline-2-carboxylic acid
4-{2-[ethanoyl (phenyl) amino] ethyl }-the 1H-Indoline-2-carboxylic acid
4-[2-(benzenesulfonyl) ethyl]-the 1H-Indoline-2-carboxylic acid
4-(2-aniline ethyl)-1H-Indoline-2-carboxylic acid
8-hydroxyl-4-(2-styroyl) quinoline-2 (1H)-ketone
4-(2-styroyl)-1,2,3,4-tetrahydroquinoline-8-alcohol
8-hydroxyl-3-(2-styroyl) quinoline-2 (1H)-ketone
3-(2-styroyl)-1,2,3,4-tetrahydroquinoline-8-alcohol
3-(2-styroyl)-1H-indoles-7-alcohol
7-hydroxyl-3-(2-styroyl)-1,3-dihydro-2H-indol-2-one
2-(2-styroyl)-1H-indoles-7-alcohol
FAAH
Useful compound (for example FAAH inhibitor) comprises following compounds.
2-[1-(4-benzyl chloride base)-2-Methyl-1H-indole-3-yl]-N-(2-chloropyridine-4-yl)-2-oxo ethanamide
2-[1-(4-benzyl chloride base)-2-Methyl-1H-indole-3-yl]-N-(3-methoxyphenyl)-2-oxo ethanamide
2-[1-(4-benzyl chloride base)-5-methoxyl group-2-Methyl-1H-indole-3-yl]-2-oxo-N-pyridine-2-yl acetamide
[2-chloro-1-(4-benzyl chloride base)-5-methoxyl group-1H-indol-3-yl]-2-oxo-N-pyridin-3-yl ethanamide
[1-(4-benzyl chloride base)-5-methoxyl group-2-Methyl-1H-indole-3-yl]-2-oxo-N-pyridin-4-yl ethanamide
2-[1-(4-benzyl chloride base)-2,5-dimethyl-1H-indol-3-yl]-2-oxo-N-pyridin-4-yl ethanamide
2-[1-(4-benzyl chloride base)-5-methoxyl group-2-Methyl-1H-indole-3-yl]-2-oxo-N-phenylacetamide
2-[2-chloro-1-(4-benzyl chloride base)-5-methoxyl group-1H-indol-3-yl]-2-oxo-N-pyridin-4-yl ethanamide
2-[2-chloro-1-(4-benzyl chloride base)-5-methoxyl group-1H-indol-3-yl]-2-oxo-N-pyrimidine-4-yl acetamide
2-[2-chloro-1-(4-benzyl chloride base)-5-methoxyl group-1H-indol-3-yl]-N-(2-chloropyridine-4-yl)-2-oxo ethanamide
2-[1-(4-benzyl chloride base)-5-methoxyl group-2-Methyl-1H-indole-3-yl]-N-(2-chloropyridine-4-yl)-2-oxo ethanamide
2-[1-(4-benzyl chloride base)-5-oxyethyl group-2-Methyl-1H-indole-3-yl]-2-oxo-N-phenylacetamide
2-[1-(4-benzyl chloride base)-5-methoxyl group-2-Methyl-1H-indole-3-yl]-N-(3-methoxyphenyl)-2-oxo ethanamide
2-[1-(4-benzyl chloride base)-2,5-dimethyl-1H-indol-3-yl]-2-oxo-N-phenylacetamide
2-[1-(2, the 4-dichloro benzyl)-5-methoxyl group-2-Methyl-1H-indole-3-yl]-2-oxo-N-pyridin-4-yl ethanamide
2-[1-(4-benzyl chloride base)-5-methoxyl group-2-Methyl-1H-indole-3-yl]-N-(3-chloro-phenyl-)-2-oxo ethanamide
2-[1-(4-benzyl chloride base)-5-methoxyl group-2-Methyl-1H-indole-3-yl]-2-oxo-N-pyrimidine-4-yl acetamide
2-[1-(4-benzyl chloride base)-2,5-dimethyl-1H-indol-3-yl]-2-oxo-N-pyridine-2-yl acetamide
2-[1-(4-benzyl chloride base)-5-methoxyl group-2-Methyl-1H-indole-3-yl]-2-oxo-N-pyridin-3-yl ethanamide
2-[1-(2, the 4-dichloro benzyl)-5-methoxyl group-2-Methyl-1H-indole-3-yl]-2-oxo-N-pyridin-3-yl ethanamide
[1-(4-benzyl chloride base)-5-methoxyl group-2-Methyl-1H-indole-3-base H-N-(4-chloro-phenyl-)-2-oxo ethanamide
[1-(4-benzyl chloride base)-5-methoxyl group-2-Methyl-1H-indole-3-yl]-N-(4-methoxyphenyl)-2-oxo ethanamide
N-cyclohexyl-2-[1-(2, the 4-dichloro benzyl)-2,5-dimethyl-1H-indol-3-yl]-2-oxo ethanamide
2-[5-chloro-1-(4-benzyl chloride base)-2-Methyl-1H-indole-3-yl]-2-oxo-N-pyridine-2-yl acetamide
2-[5-chloro-1-(4-benzyl chloride base)-2-Methyl-1H-indole-3-yl]-N-cyclohexyl-2-oxo ethanamide
2-[1-(4-benzyl chloride base)-5-methoxyl group-2-Methyl-1H-indole-3-yl]-N-cyclohexyl-N-methyl-2-oxo ethanamide
2-[1-(4-benzyl chloride base)-5-methoxyl group-2-Methyl-1H-indole-3-yl]-N-methyl-2-oxo-N-phenylacetamide
2-[1-(4-benzyl chloride base)-5-methoxyl group-1H-indol-3-yl]-2-oxo-N-pyridine-2-yl acetamide
2-[1-(4-benzyl chloride base)-2-sec.-propyl-5-methoxyl group-1H-indol-3-yl]-2-oxo-N-pyridin-4-yl ethanamide
2-[1-(4-benzyl chloride base)-5-methoxyl group-2-Methyl-1H-indole-3-yl]-N-(2-chloro-phenyl-)-2-oxo ethanamide
2-[1-(4-benzyl chloride base)-2-Methyl-1H-indole-3-yl]-N-cyclohexyl-2-oxo ethanamide
N-cyclohexyl-2-[1-(2, the 4-dichloro benzyl)-2-Methyl-1H-indole-3-yl]-2-oxo ethanamide
[1-(4-benzyl chloride base)-5-methoxyl group-2-Methyl-1H-indole-3-yl] (oxo) acetic ester
2-[1-(4-benzyl chloride base)-5-methoxyl group-2-Methyl-1H-indole-3-yl]-N-cyclopropyl-2-oxo ethanamide
2-[5-chloro-1-(4-benzyl chloride base)-2-Methyl-1H-indole-3-yl]-N-cyclopropyl-2-oxo ethanamide
2-[1-(4-benzyl chloride base)-5-methoxyl group-2-Methyl-1H-indole-3-yl]-2-oxo-N-piperidines-1-yl acetamide
N-benzyl-2-[1-(4-benzyl chloride base)-5-methoxyl group-2-Methyl-1H-indole-3-yl]-2-oxo ethanamide
N-cyclopropyl-2-[1-(2, the 4-dichloro benzyl)-2-Methyl-1H-indole-3-yl]-2-oxo ethanamide
2-[1-(4-benzyl chloride base)-2,5-dimethyl-1H-indol-3-yl]-2-oxo-N-piperidines-1-yl acetamide
N-cyclohexyl-2-[1-(4-luorobenzyl)-2-Methyl-1H-indole-3-yl]-2-oxo ethanamide
1-[1-(2, the 4-dichloro benzyl)-2,5-dimethyl-1H-indol-3-yl]-2-morpholine-4-base-2-oxo ethyl ketone
2-[5-chloro-1-(4-benzyl chloride base)-2-Methyl-1H-indole-3-yl]-2-oxo-N-piperidines-1-yl acetamide
2-[1-(4-benzyl chloride base)-5-methoxyl group-1H-pyrrolo-[2,3-b] pyridine-2-yl]-2-oxo-N-pyridine-2-yl acetamide
2-[1-(4-benzyl chloride base)-2-sec.-propyl-5-methoxyl group-1H-indol-3-yl]-2-oxo-N-pyridin-3-yl ethanamide
2-[1-(4-benzyl chloride base)-2-sec.-propyl-5-methoxyl group-1H-indol-3-yl]-2-oxo-N-phenylacetamide
1-[1-(4-benzyl chloride base)-5-methoxyl group-2-Methyl-1H-indole-3-yl]-2-morpholine-4-base-2-oxo ethyl ketone
2-[1-(4-benzyl chloride base)-5-methoxyl group-2-Methyl-1H-indole-3-yl]-N-(2-methoxyphenyl)-2-oxo ethanamide
N-cyclopropyl-2-[1-(4-methoxy-benzyl)-2-Methyl-1H-indole-3-yl]-2-oxo ethanamide
2-[1-(4-benzyl chloride base)-2-Methyl-1H-indole-3-yl]-N-cyclopropyl-2-oxo ethanamide
N-cyclohexyl-2-[1-(4-methoxy-benzyl)-2-Methyl-1H-indole-3-yl]-2-oxo ethanamide
2-[1-(4-benzyl chloride base)-2-sec.-propyl-5-methoxyl group-1H-indol-3-yl]-N-cyclopropyl-2-oxo ethanamide
[1-(4-benzyl chloride base)-5-methoxyl group-2-Methyl-1H-indole-3-yl] (oxo) acetate
N-cyclopropyl-2-[1-(4-luorobenzyl)-2-Methyl-1H-indole-3-yl]-2-oxo ethanamide
2-[1-(4-benzyl chloride base)-5-oxyethyl group-2-Methyl-1H-indole-3-yl]-2-oxo-N-pyridin-4-yl ethanamide
2-[1-(4-benzyl chloride base)-2-Methyl-1H-indole-3-yl]-2-oxo-N-pyridin-4-yl ethanamide
2-[1-(4-benzyl chloride base)-5-hydroxy-2-methyl-1H-indol-3-yl]-2-oxo-N-phenylacetamide
2-[1-(4-benzyl chloride base)-2-Methyl-1H-indole-3-yl]-2-oxo-N-pyridin-3-yl ethanamide
2-[1-(4-benzyl chloride base)-2-Methyl-1H-indole-3-yl]-2-oxo-N-phenylacetamide
2-[1-(4-benzyl chloride base)-5-methoxyl group-1H-indol-3-yl]-2-oxo-N-pyridin-3-yl ethanamide
2-[1-(4-benzyl chloride base)-5-methoxyl group-1H-indol-3-yl]-N-(2-chloropyridine-4-yl)-2-oxo ethanamide
2-[1-(4-benzyl chloride base)-5-methoxyl group-1H-indol-3-yl]-2-oxo-N-pyridin-4-yl ethanamide
2-[1-(4-benzyl chloride base)-5-methoxyl group-1H-indol-3-yl]-2-oxo-N-pyrimidine-4-yl acetamide
N-(3-chloro-phenyl-)-2-[1-(2, the 4-dichloro benzyl)-5-methoxyl group-2-Methyl-1H-indole-3-yl]-2-oxo ethanamide
2-[1-(2, the 4-dichloro benzyl)-5-methoxyl group-2-Methyl-1H-indole-3-yl]-N-(3-methoxyphenyl)-2-oxo ethanamide
2-[1-(2, the 4-dichloro benzyl)-5-methoxyl group-2-Methyl-1H-indole-3-yl]-N-(5-methoxyl group-2-aminomethyl phenyl)-2-oxo ethanamide
2-[1-(2, the 4-dichloro benzyl)-5-methoxyl group-2-Methyl-1H-indole-3-yl]-2-oxo-N-pyrimidine-4-yl acetamide
2-[1-(2, the 4-dichloro benzyl)-5-methoxyl group-2-Methyl-1H-indole-3-yl]-2-oxo-N-phenylacetamide
2-[1-(4-benzyl chloride base)-7-methoxyl group-1H-indol-3-yl]-2-oxo-N-pyridin-3-yl ethanamide
2-[1-(4-benzyl chloride base)-7-methoxyl group-1H-indol-3-yl]-N-(2-chloropyridine-4-yl)-2-oxo ethanamide
2-[1-(4-benzyl chloride base)-7-methoxyl group-1H-indol-3-yl]-2-oxo-N-pyridin-4-yl ethanamide
2-[1-(4-benzyl chloride base)-5-methoxyl group-2-(trifluoromethyl)-1H-indol-3-yl]-2-oxo-N-pyridin-4-yl ethanamide
2-[1-(4-benzyl chloride base)-5-oxyethyl group-2-(trifluoromethyl)-1H-indol-3-yl]-2-oxo-N-pyridin-4-yl ethanamide
2-[1-(4-benzyl chloride base)-5-hydroxyl-2-(trifluoromethyl)-1H-indol-3-yl]-2-oxo-N-pyridin-4-yl ethanamide
2-[1-(4-benzyl chloride base)-5-methyl-2-(trifluoromethyl)-1H-indol-3-yl]-2-oxo-N-pyridin-4-yl ethanamide
2-[5-chloro-1-(4-benzyl chloride base)-2-(trifluoromethyl)-1H-indol-3-yl]-2-oxo-N-pyridin-4-yl ethanamide
2-[1-(4-benzyl chloride base)-2-(trifluoromethyl)-1H-indol-3-yl]-2-oxo-N-pyridin-4-yl ethanamide
2-[1-(2, the 4-dichloro benzyl)-5-methoxyl group-2-(trifluoromethyl)-1H-indol-3-yl]-2-oxo-N-pyridin-4-yl ethanamide
2-[1-(2, the 4-dichloro benzyl)-5-oxyethyl group-2-(trifluoromethyl)-1H-indol-3-yl]-2-oxo-N-pyridin-4-yl ethanamide
2-[1-(2, the 4-dichloro benzyl)-5-hydroxyl-2-(trifluoromethyl)-1H-indol-3-yl]-2-oxo-N-pyridin-4-yl ethanamide
2-[1-(2, the 4-dichloro benzyl)-5-methyl-2-(trifluoromethyl)-1H-indol-3-yl]-2-oxo-N-pyridin-4-yl ethanamide
2-[5-chloro-1-(2, the 4-dichloro benzyl)-2-(trifluoromethyl)-1H-indol-3-yl]-2-oxo-N-pyridin-4-yl ethanamide
2-[1-(2, the 4-dichloro benzyl)-2-(trifluoromethyl)-1H-indol-3-yl]-2-oxo-N-pyridin-4-yl ethanamide
2-[1-(4-benzyl chloride base)-5-methoxyl group-2-(trifluoromethyl)-1H-indol-3-yl]-2-oxo-N-pyridin-3-yl ethanamide
2-[1-(4-benzyl chloride base)-5-oxyethyl group-2-(trifluoromethyl)-1H-indol-3-yl]-2-oxo-N-pyridin-3-yl ethanamide
2-[1-(4-benzyl chloride base)-5-hydroxyl-2-(trifluoromethyl)-1H-indol-3-yl]-2-oxo-N-pyridin-3-yl ethanamide
2-[1-(4-benzyl chloride base)-5-methyl-2-(trifluoromethyl)-1H-indol-3-yl]-2-oxo-N-pyridin-3-yl ethanamide
2-[5-chloro-1-(4-benzyl chloride base)-2-(trifluoromethyl)-1H-indol-3-yl]-2-oxo-N-pyridin-3-yl ethanamide
2-[1-(4-benzyl chloride base)-2-(trifluoromethyl)-1H-indol-3-yl]-2-oxo-N-pyridin-3-yl ethanamide
2-[1-(2, the 4-dichloro benzyl)-5-methoxyl group-2-(trifluoromethyl)-1H-indol-3-yl]-2-oxo-N-pyridin-3-yl ethanamide
2-[1-(2, the 4-dichloro benzyl)-5-oxyethyl group-2-(trifluoromethyl)-1H-indol-3-yl]-2-oxo-N-pyridin-3-yl ethanamide
2-[1-(2, the 4-dichloro benzyl)-5-hydroxyl-2-(trifluoromethyl)-1H-indol-3-yl]-2-oxo-N-pyridin-3-yl ethanamide
2-[1-(2, the 4-dichloro benzyl)-5-methyl-2-(trifluoromethyl)-1H-indol-3-yl]-2-oxo-N-pyridin-3-yl ethanamide
2-[5-chloro-1-(2, the 4-dichloro benzyl)-2-(trifluoromethyl)-1H-indol-3-yl]-2-oxo-N-pyridin-3-yl ethanamide
2-[1-(2, the 4-dichloro benzyl)-2-(trifluoromethyl)-1H-indol-3-yl]-2-oxo-N-pyridin-3-yl ethanamide
2-[1-(4-benzyl chloride base)-5-methoxyl group-2-(trifluoromethyl)-1H-indol-3-yl]-2-oxo-N-pyridine-2-yl acetamide
2-[1-(4-benzyl chloride base)-5-oxyethyl group-2-(trifluoromethyl)-1H-indol-3-yl]-2-oxo-N-pyridine-2-yl acetamide
2-[1-(4-benzyl chloride base)-5-hydroxyl-2-(trifluoromethyl)-1H-indol-3-yl]-2-oxo-N-pyridine-2-yl acetamide
2-[1-(4-benzyl chloride base)-5-methyl-2-(trifluoromethyl)-1H-indol-3-yl]-2-oxo-N-pyridine-2-yl acetamide
2-[5-chloro-1-(4-benzyl chloride base)-2-(trifluoromethyl)-1H-indol-3-yl]-2-oxo-N-pyridine-2-yl acetamide
2-[1-(4-benzyl chloride base)-2-(trifluoromethyl)-1H-indol-3-yl]-2-oxo-N-pyridine-2-yl acetamide
2-[1-(2, the 4-dichloro benzyl)-5-methoxyl group-2-(trifluoromethyl)-1H-indol-3-yl]-2-oxo-N-pyridine-2-yl acetamide
2-[1-(2, the 4-dichloro benzyl)-5-oxyethyl group-2-(trifluoromethyl)-1H-indol-3-yl]-2-oxo-N-pyridine-2-yl acetamide
2-[1-(2, the 4-dichloro benzyl)-5-hydroxyl-2-(trifluoromethyl)-1H-indol-3-yl]-2-oxo-N-pyridine-2-yl acetamide
2-[1-(2, the 4-dichloro benzyl)-5-methyl-2-(trifluoromethyl)-1H-indol-3-yl]-2-oxo-N-pyridine-2-yl acetamide
2-[5-chloro-1-(2, the 4-dichloro benzyl)-2-(trifluoromethyl)-1H-indol-3-yl]-2-oxo-N-pyridine-2-yl acetamide
2-[1-(2, the 4-dichloro benzyl)-2-(trifluoromethyl)-1H-indol-3-yl]-2-oxo-N-pyridine-2-yl acetamide
2-[1-(4-benzyl chloride base)-5-methoxyl group-2-(trifluoromethyl)-1H-indol-3-yl]-2-oxo-N-pyrimidine-4-yl acetamide
2-[1-(4-benzyl chloride base)-5-oxyethyl group-2-(trifluoromethyl)-1H-indol-3-yl]-2-oxo-N-pyrimidine-4-yl acetamide
2-[1-(4-benzyl chloride base)-5-hydroxyl-2-(trifluoromethyl)-1H-indol-3-yl]-2-oxo-N-pyrimidine-4-yl acetamide
2-[1-(4-benzyl chloride base)-5-methyl-2-(trifluoromethyl)-1H-indol-3-yl]-2-oxo-N-pyrimidine-4-yl acetamide
2-[1-(4-benzyl chloride base)-5-methyl-2-(trifluoromethyl)-1H-indol-3-yl]-2-oxo-N-pyrimidine-4-yl acetamide
2-[1-(4-benzyl chloride base)-2-(trifluoromethyl)-1H-indol-3-yl]-2-oxo-N-pyrimidine-4-yl acetamide
2-[1-(2, the 4-dichloro benzyl)-5-methoxyl group-2-(trifluoromethyl)-1H-indol-3-yl]-2-oxo-N-pyrimidine-4-yl acetamide
2-[1-(2, the 4-dichloro benzyl)-5-oxyethyl group-2-(trifluoromethyl)-1H-indol-3-yl]-2-oxo-N-pyrimidine-4-yl acetamide
2-[1-(2, the 4-dichloro benzyl)-5-hydroxyl-2-(trifluoromethyl)-1H-indol-3-yl]-2-oxo-N-pyrimidine-4-yl acetamide
2-[1-(2, the 4-dichloro benzyl)-5-methyl-2-(trifluoromethyl)-1H-indol-3-yl]-2-oxo-N-pyrimidine-4-yl acetamide
2-[5-chloro-1-(2, the 4-dichloro benzyl)-2-(trifluoromethyl)-1H-indol-3-yl]-2-oxo-N-pyrimidine-4-yl acetamide
2-[1-(2, the 4-dichloro benzyl)-2-(trifluoromethyl)-1H-indol-3-yl]-2-oxo-N-pyrimidine-4-yl acetamide
2-[1-(4-benzyl chloride base)-5-methoxyl group-2-(trifluoromethyl)-1H-indol-3-yl]-2-oxo-N-pyrimidine-2-base ethanamide
2-[1-(4-benzyl chloride base)-5-oxyethyl group-2-(trifluoromethyl)-1H-indol-3-yl]-2-oxo-N-pyrimidine-2-base ethanamide
2-[1-(4-benzyl chloride base)-5-hydroxyl-2-(trifluoromethyl)-1H-indol-3-yl]-2-oxo-N-pyrimidine-2-base ethanamide
2-[1-(4-benzyl chloride base)-5-methyl-2-(trifluoromethyl)-1H-indol-3-yl]-2-oxo-N-pyrimidine-2-base ethanamide
2-[5-chloro-1-(4-benzyl chloride base)-2-(trifluoromethyl)-1H-indol-3-yl]-2-oxo-N-pyrimidine-2-base ethanamide
2-[1-(4-benzyl chloride base)-2-(trifluoromethyl)-1H-indol-3-yl]-2-oxo-N-pyrimidine-2-base ethanamide
2-[1-(2, the 4-dichloro benzyl)-5-methoxyl group-2-(trifluoromethyl)-1H-indol-3-yl]-2-oxo-N-pyrimidine-2-base ethanamide
2-[1-(2, the 4-dichloro benzyl)-5-oxyethyl group-2-(trifluoromethyl)-1H-indol-3-yl]-2-oxo-N-pyrimidine-2-base ethanamide
2-[1-(2, the 4-dichloro benzyl)-5-hydroxyl-2-(trifluoromethyl)-1H-indol-3-yl]-2-oxo-N-pyrimidine-2-base ethanamide
2-[1-(2, the 4-dichloro benzyl)-5-methyl-2-(trifluoromethyl)-1H-indol-3-yl]-2-oxo-N-pyrimidine-2-base ethanamide
2-[5-chloro-1-(2, the 4-dichloro benzyl)-2-(trifluoromethyl)-1H-indol-3-yl]-2-oxo-N-pyrimidine-2-base ethanamide
2-[1-(2, the 4-dichloro benzyl)-2-(trifluoromethyl)-1H-indol-3-yl]-2-oxo-N-pyrimidine-2-base ethanamide
2-[1-(4-benzyl chloride base)-5-methoxyl group-2-(trifluoromethyl)-1H-indol-3-yl]-N-(2-picoline-4-yl)-2-oxo ethanamide
2-[1-(4-benzyl chloride base)-5-oxyethyl group-2-(trifluoromethyl)-1H-indol-3-yl]-N-(2-picoline-4-yl)-2-oxo ethanamide
2-[1-(4-benzyl chloride base)-5-hydroxyl-2-(trifluoromethyl)-1H-indol-3-yl]-N-(2-picoline-4-yl)-2-oxo ethanamide
2-[1-(4-benzyl chloride base)-5-methyl-2-(trifluoromethyl)-1H-indol-3-yl]-N-(2-picoline-4-yl)-2-oxo ethanamide
2-[5-chloro-1-(4-benzyl chloride base)-2-(trifluoromethyl)-1H-indol-3-yl]-N-(2-picoline-4-yl)-2-oxo ethanamide
2-[1-(4-benzyl chloride base)-2-(trifluoromethyl)-1H-indol-3-yl]-N-(2-picoline-4-yl)-2-oxo ethanamide
2-[1-(2, the 4-dichloro benzyl)-5-methoxyl group-2-(trifluoromethyl)-1H-indol-3-yl]-N-(2-picoline-4-yl)-2-oxo ethanamide
2-[1-(2, the 4-dichloro benzyl)-5-oxyethyl group-2-(trifluoromethyl)-1H-indol-3-yl]-N-(2-picoline-4-yl)-2-oxo ethanamide
2-[1-(2, the 4-dichloro benzyl)-5-hydroxyl-2-(trifluoromethyl)-1H-indol-3-yl]-N-(2-picoline-4-yl)-2-oxo ethanamide
2-[1-(2, the 4-dichloro benzyl)-5-methyl-2-(trifluoromethyl)-1H-indol-3-yl]-N-(2-picoline-4-yl)-2-oxo ethanamide
2-[5-chloro-1-(2, the 4-dichloro benzyl)-2-(trifluoromethyl)-1H-indol-3-yl]-N-(2-picoline-4-yl)-2-oxo ethanamide
2-[1-(2, the 4-dichloro benzyl)-2-(trifluoromethyl)-1H-indol-3-yl]-N-(2-picoline-4-yl)-2-oxo ethanamide
2-[1-(4-benzyl chloride base)-5-methoxyl group-2-(trifluoromethyl)-1H-indol-3-yl]-N-(2-chloropyridine-4-yl)-2-oxo ethanamide
2-[1-(4-benzyl chloride base)-5-oxyethyl group-2-(trifluoromethyl)-1H-indol-3-yl]-N-(2-chloropyridine-4-yl)-2-oxo ethanamide
2-[1-(4-benzyl chloride base)-5-hydroxyl-2-(trifluoromethyl)-1H-indol-3-yl]-N-(2-chloropyridine-4-yl)-2-oxo ethanamide
2-[1-(4-benzyl chloride base)-5-methyl-2-(trifluoromethyl)-1H-indol-3-yl]-N-(2-chloropyridine-4-yl)-2-oxo ethanamide
2-[5-chloro-1-(4-benzyl chloride base)-2-(trifluoromethyl)-1H-indol-3-yl]-N-(2-chloropyridine-4-yl)-2-oxo ethanamide
2-[1-(4-benzyl chloride base)-2-(trifluoromethyl)-1H-indol-3-yl]-N-(2-chloropyridine-4-yl)-2-oxo ethanamide
N-(2-chloropyridine-4-yl)-2-[1-(2, the 4-dichloro benzyl)-5-methoxyl group-2-(trifluoromethyl)-1H-indol-3-yl]-2-oxo ethanamide
N-(2-chloropyridine-4-yl)-2-[1-(2, the 4-dichloro benzyl)-5-oxyethyl group-2-(trifluoromethyl)-1H-indol-3-yl]-2-oxo ethanamide
N-(2-chloropyridine-4-yl)-2-[1-(2, the 4-dichloro benzyl)-5-hydroxyl-2-(trifluoromethyl)-1H-indol-3-yl]-2-oxo ethanamide
N-(2-chloropyridine-4-yl)-2-[1-(2, the 4-dichloro benzyl)-5-methyl-2-(trifluoromethyl)-1H-indol-3-yl]-2-oxo ethanamide
2-[5-chloro-1-(2, the 4-dichloro benzyl)-2-(trifluoromethyl)-1H-indol-3-yl]-N-(2-chloropyridine-4-yl)-2-oxo ethanamide
N-(2-chloropyridine-4-yl)-2-[1-(2, the 4-dichloro benzyl)-2-(trifluoromethyl)-1H-indol-3-yl]-2-oxo ethanamide
2-[1-(4-benzyl chloride base)-5-methoxyl group-2-(trifluoromethyl)-1H-indol-3-yl]-2-oxo-N-phenylacetamide
2-[1-(4-benzyl chloride base)-5-oxyethyl group-2-(trifluoromethyl)-1H-indol-3-yl]-2-oxo-N-phenylacetamide
2-[1-(4-benzyl chloride base)-5-hydroxyl-2-(trifluoromethyl)-1H-indol-3-yl]-2-oxo-N-phenylacetamide
2-[1-(4-benzyl chloride base)-5-methyl-2-(trifluoromethyl)-1H-indol-3-yl]-2-oxo-N-phenylacetamide
2-[5-chloro-1-(4-benzyl chloride base)-2-(trifluoromethyl)-1H-indol-3-yl]-2-oxo-N-phenylacetamide
2-[1-(4-benzyl chloride base)-2-(trifluoromethyl)-1H-indol-3-yl]-2-oxo-N-phenylacetamide
2-[1-(2, the 4-dichloro benzyl)-5-methoxyl group-2-(trifluoromethyl)-1H-indol-3-yl]-2-oxo-N-phenylacetamide
2-[1-(2, the 4-dichloro benzyl)-5-oxyethyl group-2-(trifluoromethyl)-1H-indol-3-yl]-2-oxo-N-phenylacetamide
2-[1-(2, the 4-dichloro benzyl)-5-hydroxyl-2-(trifluoromethyl)-1H-indol-3-yl]-2-oxo-N-phenylacetamide
2-[1-(2, the 4-dichloro benzyl)-5-methyl-2-(trifluoromethyl)-1H-indol-3-yl]-2-oxo-N-phenylacetamide
2-[5-chloro-1-(2, the 4-dichloro benzyl)-2-(trifluoromethyl)-1H-indol-3-yl]-2-oxo-N-phenylacetamide
2-[1-(2, the 4-dichloro benzyl)-2-(trifluoromethyl)-1H-indol-3-yl]-2-oxo-N-phenylacetamide
2-[1-(4-benzyl chloride base)-5-methoxyl group-2-(trifluoromethyl)-1H-indol-3-yl]-N-(4-chloro-phenyl-)-2-oxo ethanamide
2-[1-(4-benzyl chloride base)-5-oxyethyl group-2-(trifluoromethyl)-1H-indol-3-yl]-N-(4-chloro-phenyl-)-2-oxo ethanamide
2-[1-(4-benzyl chloride base)-5-hydroxyl-2-(trifluoromethyl)-1H-indol-3-yl]-N-(4-chloro-phenyl-)-2-oxo ethanamide
2-[1-(4-benzyl chloride base)-5-methyl-2-(trifluoromethyl)-1H-indol-3-yl]-N-(4-chloro-phenyl-)-2-oxo ethanamide
2-[5-chloro-1-(4-benzyl chloride base)-2-(trifluoromethyl)-1H-indol-3-yl]-N-(4-chloro-phenyl-)-2-oxo ethanamide
2-[1-(4-benzyl chloride base)-2-(trifluoromethyl)-1H-indol-3-yl]-N-(4-chloro-phenyl-)-2-oxo ethanamide
N-(4-chloro-phenyl-)-2-[1-(2, the 4-dichloro benzyl)-5-methoxyl group-2-(trifluoromethyl)-1H-indol-3-yl]-2-oxo ethanamide
N-(4-chloro-phenyl-)-2-[1-(2, the 4-dichloro benzyl)-5-oxyethyl group-2-(trifluoromethyl)-1H-indol-3-yl]-2-oxo ethanamide
N-(4-chloro-phenyl-)-2-[1-(2, the 4-dichloro benzyl)-5-hydroxyl-2-(trifluoromethyl)-1H-indol-3-yl]-2-oxo ethanamide
N-(4-chloro-phenyl-)-2-[1-(2, the 4-dichloro benzyl)-5-methyl-2-(trifluoromethyl)-1H-indol-3-yl]-2-oxo ethanamide
2-[5-chloro-1-(2, the 4-dichloro benzyl)-2-(trifluoromethyl)-1H-indol-3-yl]-N-(4-chloro-phenyl-)-2-oxo ethanamide
N-(4-chloro-phenyl-)-2-[1-(2, the 4-dichloro benzyl)-2-(trifluoromethyl)-1H-indol-3-yl]-2-oxo ethanamide
2-[1-(4-benzyl chloride base)-5-methoxyl group-2-(trifluoromethyl)-1H-indol-3-yl]-N-(4-methoxyphenyl)-2-oxo ethanamide
2-[1-(4-benzyl chloride base)-5-oxyethyl group-2-(trifluoromethyl)-1H-indol-3-yl]-N-(4-methoxyphenyl)-2-oxo ethanamide
2-[1-(4-benzyl chloride base)-5-hydroxyl-2-(trifluoromethyl)-1H-indol-3-yl]-N-(4-methoxyphenyl)-2-oxo ethanamide
2-[1-(4-benzyl chloride base)-5-methyl-2-(trifluoromethyl)-1H-indol-3-yl]-N-(4-methoxyphenyl)-2-oxo ethanamide
2-[5-chloro-1-(4-benzyl chloride base)-2-(trifluoromethyl)-1H-indol-3-yl]-N-(4-methoxyphenyl)-2-oxo ethanamide
2-[1-(4-benzyl chloride base)-2-(trifluoromethyl)-1H-indol-3-yl]-N-(4-methoxyphenyl)-2-oxo ethanamide
2-[1-(2, the 4-dichloro benzyl)-5-methoxyl group-2-(trifluoromethyl)-1H-indol-3-yl]-N-(4-methoxyphenyl)-2-oxo ethanamide
2-[1-(2, the 4-dichloro benzyl)-5-oxyethyl group-2-(trifluoromethyl)-1H-indol-3-yl]-N-(4-methoxyphenyl)-2-oxo ethanamide
2-[1-(2, the 4-dichloro benzyl)-5-hydroxyl-2-(trifluoromethyl)-1H-indol-3-yl]-N-(4-methoxyphenyl)-2-oxo ethanamide
2-[1-(2, the 4-dichloro benzyl)-5-methyl-2-(trifluoromethyl)-1H-indol-3-yl]-N-(4-methoxyphenyl)-2-oxo ethanamide
2-[5-chloro-1-(2, the 4-dichloro benzyl)-2-(trifluoromethyl)-1H-indol-3-yl]-N-(4-methoxyphenyl)-2-oxo ethanamide
2-[1-(2, the 4-dichloro benzyl)-2-(trifluoromethyl)-1H-indol-3-yl]-N-(4-methoxyphenyl)-2-oxo ethanamide
2-[1-(4-benzyl chloride base)-5-methoxyl group-2-(trifluoromethyl)-1H-indol-3-yl]-N-(3-chloro-phenyl-)-2-oxo ethanamide
2-[1-(4-benzyl chloride base)-5-oxyethyl group-2-(trifluoromethyl)-1H-indol-3-yl]-N-(3-chloro-phenyl-)-2-oxo ethanamide
2-[1-(4-benzyl chloride base)-5-hydroxyl-2-(trifluoromethyl)-1H-indol-3-yl]-N-(3-chloro-phenyl-)-2-oxo ethanamide
2-[1-(4-benzyl chloride base)-5-methyl-2-(trifluoromethyl)-1H-indol-3-yl]-N-(3-chloro-phenyl-)-2-oxo ethanamide
2-[5-chloro-1-(4-benzyl chloride base)-2-(trifluoromethyl)-1H-indol-3-yl]-N-(3-chloro-phenyl-)-2-oxo ethanamide
2-[1-(4-benzyl chloride base)-2-(trifluoromethyl)-1H-indol-3-yl]-N-(3-chloro-phenyl-)-2-oxo ethanamide
N-(3-chloro-phenyl-)-2-[1-(2, the 4-dichloro benzyl)-5-methoxyl group-2-(trifluoromethyl)-1H-indol-3-yl]-2-oxo ethanamide
N-(3-chloro-phenyl-)-2-[1-(2, the 4-dichloro benzyl)-5-oxyethyl group-2-(trifluoromethyl)-1H-indol-3-yl]-2-oxo ethanamide
N-(3-chloro-phenyl-)-2-[1-(2, the 4-dichloro benzyl)-5-hydroxyl-2-(trifluoromethyl)-1H-indol-3-yl]-2-oxo ethanamide
N-(3-chloro-phenyl-)-2-[1-(2, the 4-dichloro benzyl)-5-methyl-2-(trifluoromethyl)-1H-indol-3-yl]-2-oxo ethanamide
2-[5-chloro-1-(2, the 4-dichloro benzyl)-2-(trifluoromethyl)-1H-indol-3-yl]-N-(3-chloro-phenyl-)-2-oxo ethanamide
N-(3-chloro-phenyl-)-2-[1-(2, the 4-dichloro benzyl)-2-(trifluoromethyl)-1H-indol-3-yl]-2-oxo ethanamide
2-[1-(4-benzyl chloride base)-5-methoxyl group-2-(trifluoromethyl)-1H-indol-3-yl]-N-(3-methoxyphenyl)-2-oxo ethanamide
2-[1-(4-benzyl chloride base)-5-oxyethyl group-2-(trifluoromethyl)-1H-indol-3-yl]-N-(3-methoxyphenyl)-2-oxo ethanamide
2-[1-(4-benzyl chloride base)-5-hydroxyl-2-(trifluoromethyl)-1H-indol-3-yl]-N-(3-methoxyphenyl)-2-oxo ethanamide
2-[1-(4-benzyl chloride base)-5-methyl-2-(trifluoromethyl)-1H-indol-3-yl]-N-(3-methoxyphenyl)-2-oxo ethanamide
2-[5-chloro-1-(4-benzyl chloride base)-2-(trifluoromethyl)-1H-indol-3-yl]-N-(3-methoxyphenyl)-2-oxo ethanamide
2-[1-(4-benzyl chloride base)-2-(trifluoromethyl)-1H-indol-3-yl]-N-(3-methoxyphenyl)-2-oxo ethanamide
2-[1-(2, the 4-dichloro benzyl)-5-methoxyl group-2-(trifluoromethyl)-1H-indol-3-yl]-N-(3-methoxyphenyl)-2-oxo ethanamide
2-[1-(2, the 4-dichloro benzyl)-5-oxyethyl group-2-(trifluoromethyl)-1H-indol-3-yl]-N-(3-methoxyphenyl)-2-oxo ethanamide
2-[1-(2, the 4-dichloro benzyl)-5-hydroxyl-2-(trifluoromethyl)-1H-indol-3-yl]-N-(3-methoxyphenyl)-2-oxo ethanamide
2-[1-(2, the 4-dichloro benzyl)-5-methyl-2-(trifluoromethyl)-1H-indol-3-yl]-N-(3-methoxyphenyl)-2-oxo ethanamide
2-[5-chloro-1-(2, the 4-dichloro benzyl)-2-(trifluoromethyl)-1H-indol-3-yl]-N-(3-methoxyphenyl)-2-oxo ethanamide
2-[1-(4-benzyl chloride base)-5-methoxyl group-2-(trifluoromethyl)-1H-indol-3-yl]-N-cyclohexyl-2-oxo ethanamide
2-[1-(4-benzyl chloride base)-5-oxyethyl group-2-(trifluoromethyl)-1H-indol-3-yl]-N-cyclohexyl-2-oxo ethanamide
2-[1-(4-benzyl chloride base)-5-hydroxyl-2-(trifluoromethyl)-1H-indol-3-yl]-N-cyclohexyl-2-oxo ethanamide
2-[1-(4-benzyl chloride base)-5-methyl-2-(trifluoromethyl)-1H-indol-3-yl]-N-cyclohexyl-2-oxo ethanamide
2-[5-chloro-1-(4-benzyl chloride base)-2-(trifluoromethyl)-1H-indol-3-yl]-N-cyclohexyl-2-oxo ethanamide
2-[1-(4-benzyl chloride base)-2-(trifluoromethyl)-1H-indol-3-yl]-N-cyclohexyl-2-oxo ethanamide
N-cyclohexyl-2-[1-(2, the 4-dichloro benzyl)-5-methoxyl group-2-(trifluoromethyl)-1H-indol-3-yl]-2-oxo ethanamide
N-cyclohexyl-2-[1-(2, the 4-dichloro benzyl)-5-oxyethyl group-2-(trifluoromethyl)-1H-indol-3-yl]-2-oxo ethanamide
N-cyclohexyl-2-[1-(2, the 4-dichloro benzyl)-5-hydroxyl-2-(trifluoromethyl)-1H-indol-3-yl]-2-oxo ethanamide
N-cyclohexyl-2-[1-(2, the 4-dichloro benzyl)-5-methyl-2-(trifluoromethyl)-1H-indol-3-yl]-2-oxo ethanamide
2-[5-chloro-1-(2, the 4-dichloro benzyl)-2-(trifluoromethyl)-1H-indol-3-yl]-N-cyclohexyl-2-oxo ethanamide
N-cyclohexyl-2-[1-(2, the 4-dichloro benzyl)-2-(trifluoromethyl)-1H-indol-3-yl]-2-oxo ethanamide
2-[1-(4-benzyl chloride base)-5-methoxyl group-2-(trifluoromethyl)-1H-indol-3-yl]-N-cyclopentyl-2-oxo ethanamide
2-[1-(4-benzyl chloride base)-5-oxyethyl group-2-(trifluoromethyl)-1H-indol-3-yl]-N-cyclopentyl-2-oxo ethanamide
2-[1-(4-benzyl chloride base)-5-hydroxyl-2-(trifluoromethyl)-1H-indol-3-yl]-N-cyclopentyl-2-oxo ethanamide
2-[1-(4-benzyl chloride base)-5-methyl-2-(trifluoromethyl)-1H-indol-3-yl]-N-cyclopentyl-2-oxo ethanamide
2-[5-chloro-1-(4-benzyl chloride base)-2-(trifluoromethyl)-1H-indol-3-yl]-N-cyclopentyl-2-oxo ethanamide
2-[1-(4-benzyl chloride base)-2-(trifluoromethyl)-1H-indol-3-yl]-N-cyclopentyl-2-oxo ethanamide
N-cyclopentyl-2-[1-(2, the 4-dichloro benzyl)-5-methoxyl group-2-(trifluoromethyl)-1H-indol-3-yl]-2-oxo ethanamide
N-cyclopentyl-2-[1-(2, the 4-dichloro benzyl)-5-oxyethyl group-2-(trifluoromethyl)-1H-indol-3-yl]-2-oxo ethanamide
N-cyclopentyl-2-[1-(2, the 4-dichloro benzyl)-5-hydroxyl-2-(trifluoromethyl)-1H-indol-3-yl]-2-oxo ethanamide
N-cyclopentyl-2-[1-(2, the 4-dichloro benzyl)-5-methyl-2-(trifluoromethyl)-1H-indol-3-yl]-2-oxo ethanamide
2-[5-chloro-1-(2, the 4-dichloro benzyl)-2-(trifluoromethyl)-1H-indol-3-yl]-N-cyclopentyl-2-oxo ethanamide
N-cyclopentyl-2-[1-(2, the 4-dichloro benzyl)-2-(trifluoromethyl)-1H-indol-3-yl]-2-oxo ethanamide
2-[1-(4-benzyl chloride base)-5-methoxyl group-2-(trifluoromethyl)-1H-indol-3-yl]-N-cyclobutyl-2-oxo ethanamide
2-[1-(4-benzyl chloride base)-5-oxyethyl group-2-(trifluoromethyl)-1H-indol-3-yl]-N-cyclobutyl-2-oxo ethanamide
2-[1-(4-benzyl chloride base)-5-hydroxyl-2-(trifluoromethyl)-1H-indol-3-yl]-N-cyclobutyl-2-oxo ethanamide
2-[1-(4-benzyl chloride base)-5-methyl-2-(trifluoromethyl)-1H-indol-3-yl]-N-cyclobutyl-2-oxo ethanamide
2-[5-chloro-1-(4-benzyl chloride base)-2-(trifluoromethyl)-1H-indol-3-yl]-N-cyclobutyl-2-oxo ethanamide
2-[1-(4-benzyl chloride base)-2-(trifluoromethyl)-1H-indol-3-yl]-N-cyclobutyl-2-oxo ethanamide
N-cyclobutyl-2-[1-(2, the 4-dichloro benzyl)-5-methoxyl group-2-(trifluoromethyl)-1H-indol-3-yl]-2-oxo ethanamide
N-cyclobutyl-2-[1-(2, the 4-dichloro benzyl)-5-oxyethyl group-2-(trifluoromethyl)-1H-indol-3-yl]-2-oxo ethanamide
N-cyclobutyl-2-[1-(2, the 4-dichloro benzyl)-5-hydroxyl-2-(trifluoromethyl)-1H-indol-3-yl]-2-oxo ethanamide
N-cyclobutyl-2-[1-(2, the 4-dichloro benzyl)-5-methyl-2-(trifluoromethyl)-1H-indol-3-yl]-2-oxo ethanamide
2-[5-chloro-1-(2, the 4-dichloro benzyl)-2-(trifluoromethyl)-1H-indol-3-yl]-N-cyclobutyl-2-oxo ethanamide
N-cyclobutyl-2-[1-(2, the 4-dichloro benzyl)-2-(trifluoromethyl)-1H-indol-3-yl]-2-oxo ethanamide
2-[1-(4-benzyl chloride base)-5-methoxyl group-2-(trifluoromethyl)-1H-indol-3-yl]-N-cyclopropyl-2-oxo ethanamide
2-[1-(4-benzyl chloride base)-5-oxyethyl group-2-(trifluoromethyl)-1H-indol-3-yl]-N-cyclopropyl-2-oxo ethanamide
2-[1-(4-benzyl chloride base)-5-hydroxyl-2-(trifluoromethyl)-1H-indol-3-yl]-N-cyclopropyl-2-oxo ethanamide
2-[1-(4-benzyl chloride base)-5-methyl-2-(trifluoromethyl)-1H-indol-3-yl]-N-cyclopropyl-2-oxo ethanamide
2-[5-chloro-1-(4-benzyl chloride base)-2-(trifluoromethyl)-1H-indol-3-yl]-N-cyclopropyl-2-oxo ethanamide
2-[1-(4-benzyl chloride base)-2-(trifluoromethyl)-1H-indol-3-yl]-N-cyclopropyl-2-oxo ethanamide
N-cyclopropyl-2-[1-(2, the 4-dichloro benzyl)-5-methoxyl group-2-(trifluoromethyl)-1H-indol-3-yl]-2-oxo ethanamide
N-cyclopropyl-2-[1-(2, the 4-dichloro benzyl)-5-oxyethyl group-2-(trifluoromethyl)-1H-indol-3-yl]-2-oxo ethanamide
N-cyclopropyl-2-[1-(2, the 4-dichloro benzyl)-5-hydroxyl-2-(trifluoromethyl)-1H-indol-3-yl]-2-oxo ethanamide
N-cyclopropyl-2-[1-(2, the 4-dichloro benzyl)-5-methyl-2-(trifluoromethyl)-1H-indol-3-yl]-2-oxo ethanamide
2-[5-chloro-1-(2, the 4-dichloro benzyl)-2-(trifluoromethyl)-1H-indol-3-yl]-N-cyclopropyl-2-oxo ethanamide
N-cyclopropyl-2-[1-(2, the 4-dichloro benzyl)-2-(trifluoromethyl)-1H-indol-3-yl]-2-oxo ethanamide
2-[1-(4-benzyl chloride base)-5-methoxyl group-2-(chlorine)-1H-indol-3-yl]-2-oxo-N-pyridin-4-yl ethanamide
2-[1-(4-benzyl chloride base)-5-oxyethyl group-2-(chlorine)-1H-indol-3-yl]-2-oxo-N-pyridin-4-yl ethanamide
2-[1-(4-benzyl chloride base)-5-hydroxyl-2-(chlorine)-1H-indol-3-yl]-2-oxo-N-pyridin-4-yl ethanamide
2-[1-(4-benzyl chloride base)-5-methyl-2-(chlorine)-1H-indol-3-yl]-2-oxo-N-pyridin-4-yl ethanamide
2-[5-chloro-1-(4-benzyl chloride base)-2-(chlorine)-1H-indol-3-yl]-2-oxo-N-pyridin-4-yl ethanamide
2-[1-(4-benzyl chloride base)-2-(chlorine)-1H-indol-3-yl]-2-oxo-N-pyridin-4-yl ethanamide
2-[1-(2, the 4-dichloro benzyl)-5-methoxyl group-2-(chlorine)-1H-indol-3-yl]-2-oxo-N-pyridin-4-yl ethanamide
2-[1-(2, the 4-dichloro benzyl)-5-oxyethyl group-2-(chlorine)-1H-indol-3-yl]-2-oxo-N-pyridin-4-yl ethanamide
2-[1-(2, the 4-dichloro benzyl)-5-hydroxyl-2-(chlorine)-1H-indol-3-yl]-2-oxo-N-pyridin-4-yl ethanamide
2-[1-(2, the 4-dichloro benzyl)-5-methyl-2-(chlorine)-1H-indol-3-yl]-2-oxo-N-pyridin-4-yl ethanamide
2-[5-chloro-1-(2, the 4-dichloro benzyl)-2-(chlorine)-1H-indol-3-yl]-2-oxo-N-pyridin-4-yl ethanamide
2-[1-(2, the 4-dichloro benzyl)-2-(chlorine)-1H-indol-3-yl]-2-oxo-N-pyridin-4-yl ethanamide
2-[1-(4-benzyl chloride base)-5-methoxyl group-2-(chlorine)-1H-indol-3-yl]-2-oxo-N-pyridin-3-yl ethanamide
2-[1-(4-benzyl chloride base)-5-oxyethyl group-2-(chlorine)-1H-indol-3-yl]-2-oxo-N-pyridin-3-yl ethanamide
2-[1-(4-benzyl chloride base)-5-hydroxyl-2-(chlorine)-1H-indol-3-yl]-2-oxo-N-pyridin-3-yl ethanamide
2-[1-(4-benzyl chloride base)-5-methyl-2-(chlorine)-1H-indol-3-yl]-2-oxo-N-pyridin-3-yl ethanamide
2-[5-chloro-1-(4-benzyl chloride base)-2-(chlorine)-1H-indol-3-yl]-2-oxo-N-pyridin-3-yl ethanamide
2-[1-(4-benzyl chloride base)-2-(chlorine)-1H-indol-3-yl]-2-oxo-N-pyridin-3-yl ethanamide
2-[1-(2, the 4-dichloro benzyl)-5-methoxyl group-2-(chlorine)-1H-indol-3-yl]-2-oxo-N-pyridin-3-yl ethanamide
2-[1-(2, the 4-dichloro benzyl)-5-oxyethyl group-2-(chlorine)-1H-indol-3-yl]-2-oxo-N-pyridin-3-yl ethanamide
2-[1-(2, the 4-dichloro benzyl)-5-hydroxyl-2-(chlorine)-1H-indol-3-yl]-2-oxo-N-pyridin-3-yl ethanamide
2-[1-(2, the 4-dichloro benzyl)-5-methyl-2-(chlorine)-1H-indol-3-yl]-2-oxo-N-pyridin-3-yl ethanamide
2-[5-chloro-1-(2, the 4-dichloro benzyl)-2-(chlorine)-1H-indol-3-yl]-2-oxo-N-pyridin-3-yl ethanamide
2-[1-(2, the 4-dichloro benzyl)-2-(chlorine)-1H-indol-3-yl]-2-oxo-N-pyridin-3-yl ethanamide
2-[1-(4-benzyl chloride base)-5-methoxyl group-2-(chlorine)-1H-indol-3-yl]-2-oxo-N-pyridine-2-yl acetamide
2-[1-(4-benzyl chloride base)-5-oxyethyl group-2-(chlorine)-1H-indol-3-yl]-2-oxo-N-pyridine-2-yl acetamide
2-[1-(4-benzyl chloride base)-5-hydroxyl-2-(chlorine)-1H-indol-3-yl]-2-oxo-N-pyridine-2-yl acetamide
2-[1-(4-benzyl chloride base)-5-methyl-2-(chlorine)-1H-indol-3-yl]-2-oxo-N-pyridine-2-yl acetamide
2-[5-chloro-1-(4-benzyl chloride base)-2-(chlorine)-1H-indol-3-yl]-2-oxo-N-pyridine-2-yl acetamide
2-[1-(4-benzyl chloride base)-2-(chlorine)-1H-indol-3-yl]-2-oxo-N-pyridine-2-yl acetamide
2-[1-(2, the 4-dichloro benzyl)-5-methoxyl group-2-(chlorine)-1H-indol-3-yl]-2-oxo-N-pyridine-2-yl acetamide
2-[1-(2, the 4-dichloro benzyl)-5-oxyethyl group-2-(chlorine)-1H-indol-3-yl]-2-oxo-N-pyridine-2-yl acetamide
2-[1-(2, the 4-dichloro benzyl)-5-hydroxyl-2-(chlorine)-1H-indol-3-yl]-2-oxo-N-pyridine-2-yl acetamide
2-[1-(2, the 4-dichloro benzyl)-5-methyl-2-(chlorine)-1H-indol-3-yl]-2-oxo-N-pyridine-2-yl acetamide
2-[5-chloro-1-(2, the 4-dichloro benzyl)-2-(chlorine)-1H-indol-3-yl]-2-oxo-N-pyridine-2-yl acetamide
2-[1-(2, the 4-dichloro benzyl)-2-(chlorine)-1H-indol-3-yl]-2-oxo-N-pyridine-2-yl acetamide
2-[1-(4-benzyl chloride base)-5-methoxyl group-2-(chlorine)-1H-indol-3-yl]-2-oxo-N-pyrimidine-4-yl acetamide
2-[1-(4-benzyl chloride base)-5-oxyethyl group-2-(chlorine)-1H-indol-3-yl]-2-oxo-N-pyrimidine-4-yl acetamide
2-[1-(4-benzyl chloride base)-5-hydroxyl-2-(chlorine)-1H-indol-3-yl]-2-oxo-N-pyrimidine-4-yl acetamide
2-[1-(4-benzyl chloride base)-5-methyl-2-(chlorine)-1H-indol-3-yl]-2-oxo-N-pyrimidine-4-yl acetamide
2-[1-(4-benzyl chloride base)-5-methyl-2-(chlorine)-1H-indol-3-yl]-2-oxo-N-pyrimidine-4-yl acetamide
2-[1-(4-benzyl chloride base)-2-(chlorine)-1H-indol-3-yl]-2-oxo-N-pyrimidine-4-yl acetamide
2-[1-(2, the 4-dichloro benzyl)-5-methoxyl group-2-(chlorine)-1H-indol-3-yl]-2-oxo-N-pyrimidine-4-yl acetamide
2-[1-(2, the 4-dichloro benzyl)-5-oxyethyl group-2-(chlorine)-1H-indol-3-yl]-2-oxo-N-pyrimidine-4-yl acetamide
2-[1-(2, the 4-dichloro benzyl)-5-hydroxyl-2-(chlorine)-1H-indol-3-yl]-2-oxo-N-pyrimidine-4-yl acetamide
2-[1-(2, the 4-dichloro benzyl)-5-methyl-2-(chlorine)-1H-indol-3-yl]-2-oxo-N-pyrimidine-4-yl acetamide
2-[5-chloro-1-(2, the 4-dichloro benzyl)-2-(chlorine)-1H-indol-3-yl]-2-oxo-N-pyrimidine-4-yl acetamide
2-[1-(2, the 4-dichloro benzyl)-2-(chlorine)-1H-indol-3-yl]-2-oxo-N-pyrimidine-4-yl acetamide
2-[1-(4-benzyl chloride base)-5-methoxyl group-2-(chlorine)-1H-indol-3-yl]-2-oxo-N-pyrimidine-2-base ethanamide
2-[1-(4-benzyl chloride base)-5-oxyethyl group-2-(chlorine)-1H-indol-3-yl]-2-oxo-N-pyrimidine-2-base ethanamide
2-[1-(4-benzyl chloride base)-5-hydroxyl-2-(chlorine)-1H-indol-3-yl]-2-oxo-N-pyrimidine-2-base ethanamide
2-[1-(4-benzyl chloride base)-5-methyl-2-(chlorine)-1H-indol-3-yl]-2-oxo-N-pyrimidine-2-base ethanamide
2-[5-chloro-1-(4-benzyl chloride base)-2-(chlorine)-1H-indol-3-yl]-2-oxo-N-pyrimidine-2-base ethanamide
2-[1-(4-benzyl chloride base)-2-(chlorine)-1H-indol-3-yl]-2-oxo-N-pyrimidine-2-base ethanamide
2-[1-(2, the 4-dichloro benzyl)-5-methoxyl group-2-(chlorine)-1H-indol-3-yl]-2-oxo-N-pyrimidine-2-base ethanamide
2-[1-(2, the 4-dichloro benzyl)-5-oxyethyl group-2-(chlorine)-1H-indol-3-yl]-2-oxo-N-pyrimidine-2-base ethanamide
2-[1-(2, the 4-dichloro benzyl)-5-hydroxyl-2-(chlorine)-1H-indol-3-yl]-2-oxo-N-pyrimidine-2-base ethanamide
2-[1-(2, the 4-dichloro benzyl)-5-methyl-2-(chlorine)-1H-indol-3-yl]-2-oxo-N-pyrimidine-2-base ethanamide
2-[5-chloro-1-(2, the 4-dichloro benzyl)-2-(chlorine)-1H-indol-3-yl]-2-oxo-N-pyrimidine-2-base ethanamide
2-[1-(2, the 4-dichloro benzyl)-2-(chlorine)-1H-indol-3-yl]-2-oxo-N-pyrimidine-2-base ethanamide
2-[1-(4-benzyl chloride base)-5-methoxyl group-2-(chlorine)-1H-indol-3-yl]-N-(2-picoline-4-yl)-2-oxo ethanamide
2-[1-(4-benzyl chloride base)-5-oxyethyl group-2-(chlorine)-1H-indol-3-yl]-N-(2-picoline-4-yl)-2-oxo ethanamide
2-[1-(4-benzyl chloride base)-5-hydroxyl-2-(chlorine)-1H-indol-3-yl]-N-(2-picoline-4-yl)-2-oxo ethanamide
2-[1-(4-benzyl chloride base)-5-methyl-2-(chlorine)-1H-indol-3-yl]-N-(2-picoline-4-yl)-2-oxo ethanamide
2-[5-chloro-1-(4-benzyl chloride base)-2-(chlorine)-1H-indol-3-yl]-N-(2-picoline-4-yl)-2-oxo ethanamide
2-[1-(4-benzyl chloride base)-2-(chlorine)-1H-indol-3-yl]-N-(2-picoline-4-yl)-2-oxo ethanamide
2-[1-(2, the 4-dichloro benzyl)-5-methoxyl group-2-(chlorine)-1H-indol-3-yl]-N-(2-picoline-4-yl)-2-oxo ethanamide
2-[1-(2, the 4-dichloro benzyl)-5-oxyethyl group-2-(chlorine)-1H-indol-3-yl]-N-(2-picoline-4-yl)-2-oxo ethanamide
2-[1-(2, the 4-dichloro benzyl)-5-hydroxyl-2-(chlorine)-1H-indol-3-yl]-N-(2-picoline-4-yl)-2-oxo ethanamide
2-[1-(2, the 4-dichloro benzyl)-5-methyl-2-(chlorine)-1H-indol-3-yl]-N-(2-picoline-4-yl)-2-oxo ethanamide
2-[5-chloro-1-(2, the 4-dichloro benzyl)-2-(chlorine)-1H-indol-3-yl]-N-(2-picoline-4-yl)-2-oxo ethanamide
2-[1-(2, the 4-dichloro benzyl)-2-(chlorine)-1H-indol-3-yl]-N-(2-picoline-4-yl)-2-oxo ethanamide
2-[1-(4-benzyl chloride base)-5-methoxyl group-2-(chlorine)-1H-indol-3-yl]-N-(2-chloropyridine-4-yl)-2-oxo ethanamide
2-[1-(4-benzyl chloride base)-5-oxyethyl group-2-(chlorine)-1H-indol-3-yl]-N-(2-chloropyridine-4-yl)-2-oxo ethanamide
2-[1-(4-benzyl chloride base)-5-hydroxyl-2-(chlorine)-1H-indol-3-yl]-N-(2-chloropyridine-4-yl)-2-oxo ethanamide
2-[1-(4-benzyl chloride base)-5-methyl-2-(chlorine)-1H-indol-3-yl]-N-(2-chloropyridine-4-yl)-2-oxo ethanamide
2-[5-chloro-1-(4-benzyl chloride base)-2-(chlorine)-1H-indol-3-yl]-N-(2-chloropyridine-4-yl)-2-oxo ethanamide
2-[1-(4-benzyl chloride base)-2-(chlorine)-1H-indol-3-yl]-N-(2-chloropyridine-4-yl)-2-oxo ethanamide
N-(2-chloropyridine-4-yl)-2-[1-(2, the 4-dichloro benzyl)-5-methoxyl group-2-(chlorine)-1H-indol-3-yl]-2-oxo ethanamide
N-(2-chloropyridine-4-yl)-2-[1-(2, the 4-dichloro benzyl)-5-oxyethyl group-2-(chlorine)-1H-indol-3-yl]-2-oxo ethanamide
N-(2-chloropyridine-4-yl)-2-[1-(2, the 4-dichloro benzyl)-5-hydroxyl-2-(chlorine)-1H-indol-3-yl]-2-oxo ethanamide
N-(2-chloropyridine-4-yl)-2-[1-(2, the 4-dichloro benzyl)-5-methyl-2-(chlorine)-1H-indol-3-yl]-2-oxo ethanamide
2-[5-chloro-1-(2, the 4-dichloro benzyl)-2-(chlorine)-1H-indol-3-yl]-N-(2-chloropyridine-4-yl)-2-oxo ethanamide
N-(2-chloropyridine-4-yl)-2-[1-(2, the 4-dichloro benzyl)-2-(chlorine)-1H-indol-3-yl]-2-oxo ethanamide
2-[1-(4-benzyl chloride base)-5-methoxyl group-2-(chlorine)-1H-indol-3-yl]-2-oxo-N-phenylacetamide
2-[1-(4-benzyl chloride base)-5-oxyethyl group-2-(chlorine)-1H-indol-3-yl]-2-oxo-N-phenylacetamide
2-[1-(4-benzyl chloride base)-5-hydroxyl-2-(chlorine)-1H-indol-3-yl]-2-oxo-N-phenylacetamide
2-[1-(4-benzyl chloride base)-5-methyl-2-(chlorine)-1H-indol-3-yl]-2-oxo-N-phenylacetamide
2-[5-chloro-1-(4-benzyl chloride base)-2-(chlorine)-1H-indol-3-yl]-2-oxo-N-phenylacetamide
2-[1-(4-benzyl chloride base)-2-(chlorine)-1H-indol-3-yl]-2-oxo-N-phenylacetamide
2-[1-(2, the 4-dichloro benzyl)-5-methoxyl group-2-(chlorine)-1H-indol-3-yl]-2-oxo-N-phenylacetamide
2-[1-(2, the 4-dichloro benzyl)-5-oxyethyl group-2-(chlorine)-1H-indol-3-yl]-2-oxo-N-phenylacetamide
2-[1-(2, the 4-dichloro benzyl)-5-hydroxyl-2-(chlorine)-1H-indol-3-yl]-2-oxo-N-phenylacetamide
2-[1-(2, the 4-dichloro benzyl)-5-methyl-2-(chlorine)-1H-indol-3-yl]-2-oxo-N-phenylacetamide
2-[5-chloro-1-(2, the 4-dichloro benzyl)-2-(chlorine)-1H-indol-3-yl]-2-oxo-N-phenylacetamide
2-[1-(2, the 4-dichloro benzyl)-2-(chlorine)-1H-indol-3-yl]-2-oxo-N-phenylacetamide
2-[1-(4-benzyl chloride base)-5-methoxyl group-2-(chlorine)-1H-indol-3-yl]-N-(4-chloro-phenyl-)-2-oxo ethanamide
2-[1-(4-benzyl chloride base)-5-oxyethyl group-2-(chlorine)-1H-indol-3-yl]-N-(4-chloro-phenyl-)-2-oxo ethanamide
2-[1-(4-benzyl chloride base)-5-hydroxyl-2-(chlorine)-1H-indol-3-yl]-N-(4-chloro-phenyl-)-2-oxo ethanamide
2-[1-(4-benzyl chloride base)-5-methyl-2-(chlorine)-1H-indol-3-yl]-N-(4-chloro-phenyl-)-2-oxo ethanamide
2-[5-chloro-1-(4-benzyl chloride base)-2-(chlorine)-1H-indol-3-yl]-N-(4-chloro-phenyl-)-2-oxo ethanamide
2-[1-(4-benzyl chloride base)-2-(chlorine)-1H-indol-3-yl]-N-(4-chloro-phenyl-)-2-oxo ethanamide
N-(4-chloro-phenyl-)-2-[1-(2, the 4-dichloro benzyl)-5-methoxyl group-2-(chlorine)-1H-indol-3-yl]-2-oxo ethanamide
N-(4-chloro-phenyl-)-2-[1-(2, the 4-dichloro benzyl)-5-oxyethyl group-2-(chlorine)-1H-indol-3-yl]-2-oxo ethanamide
N-(4-chloro-phenyl-)-2-[1-(2, the 4-dichloro benzyl)-5-hydroxyl-2-(chlorine)-1H-indol-3-yl]-2-oxo ethanamide
N-(4-chloro-phenyl-)-2-[1-(2, the 4-dichloro benzyl)-5-methyl-2-(chlorine)-1H-indol-3-yl]-2-oxo ethanamide
2-[5-chloro-1-(2, the 4-dichloro benzyl)-2-(chlorine)-1H-indol-3-yl]-N-(4-chloro-phenyl-)-2-oxo ethanamide
N-(4-chloro-phenyl-)-2-[1-(2, the 4-dichloro benzyl)-2-(chlorine)-1H-indol-3-yl]-2-oxo ethanamide
2-[1-(4-benzyl chloride base)-5-methoxyl group-2-(chlorine)-1H-indol-3-yl]-N-(4-methoxyphenyl)-2-oxo ethanamide
2-[1-(4-benzyl chloride base)-5-oxyethyl group-2-(chlorine)-1H-indol-3-yl]-N-(4-methoxyphenyl)-2-oxo ethanamide
2-[1-(4-benzyl chloride base)-5-hydroxyl-2-(chlorine)-1H-indol-3-yl]-N-(4-methoxyphenyl)-2-oxo ethanamide
2-[1-(4-benzyl chloride base)-5-methyl-2-(chlorine)-1H-indol-3-yl]-N-(4-methoxyphenyl)-2-oxo ethanamide
2-[5-chloro-1-(4-benzyl chloride base)-2-(chlorine)-1H-indol-3-yl]-N-(4-methoxyphenyl)-2-oxo ethanamide
2-[1-(4-benzyl chloride base)-2-(chlorine)-1H-indol-3-yl]-N-(4-methoxyphenyl)-2-oxo ethanamide
2-[1-(2, the 4-dichloro benzyl)-5-methoxyl group-2-(chlorine)-1H-indol-3-yl]-N-(4-methoxyphenyl)-2-oxo ethanamide
2-[1-(2, the 4-dichloro benzyl)-5-oxyethyl group-2-(chlorine)-1H-indol-3-yl]-N-(4-methoxyphenyl)-2-oxo ethanamide
2-[1-(2, the 4-dichloro benzyl)-5-hydroxyl-2-(chlorine)-1H-indol-3-yl]-N-(4-methoxyphenyl)-2-oxo ethanamide
2-[1-(2, the 4-dichloro benzyl)-5-methyl-2-(chlorine)-1H-indol-3-yl]-N-(4-methoxyphenyl)-2-oxo ethanamide
2-[5-chloro-1-(2, the 4-dichloro benzyl)-2-(chlorine)-1H-indol-3-yl]-N-(4-methoxyphenyl)-2-oxo ethanamide
2-[1-(2, the 4-dichloro benzyl)-2-(chlorine)-1H-indol-3-yl]-N-(4-methoxyphenyl)-2-oxo ethanamide
2-[1-(4-benzyl chloride base)-5-methoxyl group-2-(chlorine)-1H-indol-3-yl]-N-(3-chloro-phenyl-)-2-oxo ethanamide
2-[1-(4-benzyl chloride base)-5-oxyethyl group-2-(chlorine)-1H-indol-3-yl]-N-(3-chloro-phenyl-)-2-oxo ethanamide
2-[1-(4-benzyl chloride base)-5-hydroxyl-2-(chlorine)-1H-indol-3-yl]-N-(3-chloro-phenyl-)-2-oxo ethanamide
2-[1-(4-benzyl chloride base)-5-methyl-2-(chlorine)-1H-indol-3-yl]-N-(3-chloro-phenyl-)-2-oxo ethanamide
2-[5-chloro-1-(4-benzyl chloride base)-2-(chlorine)-1H-indol-3-yl]-N-(3-chloro-phenyl-)-2-oxo ethanamide
2-[1-(4-benzyl chloride base)-2-(chlorine)-1H-indol-3-yl]-N-(3-chloro-phenyl-)-2-oxo ethanamide
N-(3-chloro-phenyl-)-2-[1-(2, the 4-dichloro benzyl)-5-methoxyl group-2-(chlorine)-1H-indol-3-yl]-2-oxo ethanamide
N-(3-chloro-phenyl-)-2-[1-(2, the 4-dichloro benzyl)-5-oxyethyl group-2-(chlorine)-1H-indol-3-yl]-2-oxo ethanamide
N-(3-chloro-phenyl-)-2-[1-(2, the 4-dichloro benzyl)-5-hydroxyl-2-(chlorine)-1H-indol-3-yl]-2-oxo ethanamide
N-(3-chloro-phenyl-)-2-[1-(2, the 4-dichloro benzyl)-5-methyl-2-(chlorine)-1H-indol-3-yl]-2-oxo ethanamide
2-[5-chloro-1-(2, the 4-dichloro benzyl)-2-(chlorine)-1H-indol-3-yl]-N-(3-chloro-phenyl-)-2-oxo ethanamide
N-(3-chloro-phenyl-)-2-[1-(2, the 4-dichloro benzyl)-2-(chlorine)-1H-indol-3-yl]-2-oxo ethanamide
2-[1-(4-benzyl chloride base)-5-methoxyl group-2-(chlorine)-1H-indol-3-yl]-N-(3-methoxyphenyl)-2-oxo ethanamide
2-[1-(4-benzyl chloride base)-5-oxyethyl group-2-(chlorine)-1H-indol-3-yl]-N-(3-methoxyphenyl)-2-oxo ethanamide
2-[1-(4-benzyl chloride base)-5-hydroxyl-2-(chlorine)-1H-indol-3-yl]-N-(3-methoxyphenyl)-2-oxo ethanamide
2-[1-(4-benzyl chloride base)-5-methyl-2-(chlorine)-1H-indol-3-yl]-N-(3-methoxyphenyl)-2-oxo ethanamide
2-[5-chloro-1-(4-benzyl chloride base)-2-(chlorine)-1H-indol-3-yl]-N-(3-methoxyphenyl)-2-oxo ethanamide
2-[1-(4-benzyl chloride base)-2-(chlorine)-1H-indol-3-yl]-N-(3-methoxyphenyl)-2-oxo ethanamide
2-[1-(2, the 4-dichloro benzyl)-5-methoxyl group-2-(chlorine)-1H-indol-3-yl]-N-(3-methoxyphenyl)-2-oxo ethanamide
2-[1-(2, the 4-dichloro benzyl)-5-oxyethyl group-2-(chlorine)-1H-indol-3-yl]-N-(3-methoxyphenyl)-2-oxo ethanamide
2-[1-(2, the 4-dichloro benzyl)-5-hydroxyl-2-(chlorine)-1H-indol-3-yl]-N-(3-methoxyphenyl)-2-oxo ethanamide
2-[1-(2, the 4-dichloro benzyl)-5-methyl-2-(chlorine)-1H-indol-3-yl]-N-(3-methoxyphenyl)-2-oxo ethanamide
2-[5-chloro-1-(2, the 4-dichloro benzyl)-2-(chlorine)-1H-indol-3-yl]-N-(3-methoxyphenyl)-2-oxo ethanamide
2-[1-(4-benzyl chloride base)-5-methoxyl group-2-(chlorine)-1H-indol-3-yl]-N-cyclohexyl-2-oxo ethanamide
2-[1-(4-benzyl chloride base)-5-oxyethyl group-2-(chlorine)-1H-indol-3-yl]-N-cyclohexyl-2-oxo ethanamide
2-[1-(4-benzyl chloride base)-5-hydroxyl-2-(chlorine)-1H-indol-3-yl]-N-cyclohexyl-2-oxo ethanamide
2-[1-(4-benzyl chloride base)-5-methyl-2-(chlorine)-1H-indol-3-yl]-N-cyclohexyl-2-oxo ethanamide
2-[5-chloro-1-(4-benzyl chloride base)-2-(chlorine)-1H-indol-3-yl]-N-cyclohexyl-2-oxo ethanamide
2-[1-(4-benzyl chloride base)-2-(chlorine)-1H-indol-3-yl]-N-cyclohexyl-2-oxo ethanamide
N-cyclohexyl-2-[1-(2, the 4-dichloro benzyl)-5-methoxyl group-2-(chlorine)-1H-indol-3-yl]-2-oxo ethanamide
N-cyclohexyl-2-[1-(2, the 4-dichloro benzyl)-5-oxyethyl group-2-(chlorine)-1H-indol-3-yl]-2-oxo ethanamide
N-cyclohexyl-2-[1-(2, the 4-dichloro benzyl)-5-hydroxyl-2-(chlorine)-1H-indol-3-yl]-2-oxo ethanamide
N-cyclohexyl-2-[1-(2, the 4-dichloro benzyl)-5-methyl-2-(chlorine)-1H-indol-3-yl]-2-oxo ethanamide
2-[5-chloro-1-(2, the 4-dichloro benzyl)-2-(chlorine)-1H-indol-3-yl]-N-cyclohexyl-2-oxo ethanamide
N-cyclohexyl-2-[1-(2, the 4-dichloro benzyl)-2-(chlorine)-1H-indol-3-yl]-2-oxo ethanamide
2-[1-(4-benzyl chloride base)-5-methoxyl group-2-(chlorine)-1H-indol-3-yl]-N-cyclopentyl-2-oxo ethanamide
2-[1-(4-benzyl chloride base)-5-oxyethyl group-2-(chlorine)-1H-indol-3-yl]-N-cyclopentyl-2-oxo ethanamide
2-[1-(4-benzyl chloride base)-5-hydroxyl-2-(chlorine)-1H-indol-3-yl]-N-cyclopentyl-2-oxo ethanamide
2-[1-(4-benzyl chloride base)-5-methyl-2-(chlorine)-1H-indol-3-yl]-N-cyclopentyl-2-oxo ethanamide
2-[5-chloro-1-(4-benzyl chloride base)-2-(chlorine)-1H-indol-3-yl]-N-cyclopentyl-2-oxo ethanamide
2-[1-(4-benzyl chloride base)-2-(chlorine)-1H-indol-3-yl]-N-cyclopentyl-2-oxo ethanamide
N-cyclopentyl-2-[1-(2, the 4-dichloro benzyl)-5-methoxyl group-2-(chlorine)-1H-indol-3-yl]-2-oxo ethanamide
N-cyclopentyl-2-[1-(2, the 4-dichloro benzyl)-5-oxyethyl group-2-(chlorine)-1H-indol-3-yl]-2-oxo ethanamide
N-cyclopentyl-2-[1-(2, the 4-dichloro benzyl)-5-hydroxyl-2-(chlorine)-1H-indol-3-yl]-2-oxo ethanamide
N-cyclopentyl-2-[1-(2, the 4-dichloro benzyl)-5-methyl-2-(chlorine)-1H-indol-3-yl]-2-oxo ethanamide
2-[5-chloro-1-(2, the 4-dichloro benzyl)-2-(chlorine)-1H-indol-3-yl]-N-cyclopentyl-2-oxo ethanamide
N-cyclopentyl-2-[1-(2, the 4-dichloro benzyl)-2-(chlorine)-1H-indol-3-yl]-2-oxo ethanamide
2-[1-(4-benzyl chloride base)-5-methoxyl group-2-(chlorine)-1H-indol-3-yl]-N-cyclobutyl-2-oxo ethanamide
2-[1-(4-benzyl chloride base)-5-oxyethyl group-2-(chlorine)-1H-indol-3-yl]-N-cyclobutyl-2-oxo ethanamide
2-[1-(4-benzyl chloride base)-5-hydroxyl-2-(chlorine)-1H-indol-3-yl]-N-cyclobutyl-2-oxo ethanamide
2-[1-(4-benzyl chloride base)-5-methyl-2-(chlorine)-1H-indol-3-yl]-N-cyclobutyl-2-oxo ethanamide
2-[5-chloro-1-(4-benzyl chloride base)-2-(chlorine)-1H-indol-3-yl]-N-cyclobutyl-2-oxo ethanamide
2-[1-(4-benzyl chloride base)-2-(chlorine)-1H-indol-3-yl]-N-cyclobutyl-2-oxo ethanamide
N-cyclobutyl-2-[1-(2, the 4-dichloro benzyl)-5-methoxyl group-2-(chlorine)-1H-indol-3-yl]-2-oxo ethanamide
N-cyclobutyl-2-[1-(2, the 4-dichloro benzyl)-5-oxyethyl group-2-(chlorine)-1H-indol-3-yl]-2-oxo ethanamide
N-cyclobutyl-2-[1-(2, the 4-dichloro benzyl)-5-hydroxyl-2-(chlorine)-1H-indol-3-yl]-2-oxo ethanamide
N-cyclobutyl-2-[1-(2, the 4-dichloro benzyl)-5-methyl-2-(chlorine)-1H-indol-3-yl]-2-oxo ethanamide
2-[5-chloro-1-(2, the 4-dichloro benzyl)-2-(chlorine)-1H-indol-3-yl]-N-cyclobutyl-2-oxo ethanamide
N-cyclobutyl-2-[1-(2, the 4-dichloro benzyl)-2-(chlorine)-1H-indol-3-yl]-2-oxo ethanamide
2-[1-(4-benzyl chloride base)-5-methoxyl group-2-(chlorine)-1H-indol-3-yl]-N-cyclopropyl-2-oxo ethanamide
2-[1-(4-benzyl chloride base)-5-oxyethyl group-2-(chlorine)-1H-indol-3-yl]-N-cyclopropyl-2-oxo ethanamide
2-[1-(4-benzyl chloride base)-5-hydroxyl-2-(chlorine)-1H-indol-3-yl]-N-cyclopropyl-2-oxo ethanamide
2-[1-(4-benzyl chloride base)-5-methyl-2-(chlorine)-1H-indol-3-yl]-N-cyclopropyl-2-oxo ethanamide
2-[5-chloro-1-(4-benzyl chloride base)-2-(chlorine)-1H-indol-3-yl]-N-cyclopropyl-2-oxo ethanamide
2-[1-(4-benzyl chloride base)-2-(chlorine)-1H-indol-3-yl]-N-cyclopropyl-2-oxo ethanamide
N-cyclopropyl-2-[1-(2, the 4-dichloro benzyl)-5-methoxyl group-2-(chlorine)-1H-indol-3-yl]-2-oxo ethanamide
N-cyclopropyl-2-[1-(2, the 4-dichloro benzyl)-5-oxyethyl group-2-(chlorine)-1H-indol-3-yl]-2-oxo ethanamide
N-cyclopropyl-2-[1-(2, the 4-dichloro benzyl)-5-hydroxyl-2-(chlorine)-1H-indol-3-yl]-2-oxo ethanamide
N-cyclopropyl-2-[1-(2, the 4-dichloro benzyl)-5-methyl-2-(chlorine)-1H-indol-3-yl]-2-oxo ethanamide
2-[5-chloro-1-(2, the 4-dichloro benzyl)-2-(chlorine)-1H-indol-3-yl]-N-cyclopropyl-2-oxo ethanamide
N-cyclopropyl-2-[1-(2, the 4-dichloro benzyl)-2-(chlorine)-1H-indol-3-yl]-2-oxo ethanamide
2-[1-(4-benzyl chloride base)-5-methoxyl group-2-Methyl-1H-indole-3-yl]-N-(3-pyridone-2-yl)-2-oxo ethanamide
2-[1-(4-benzyl chloride base)-2,5-dimethyl-1H-indol-3-yl]-N-cyclohexyl-2-oxo ethanamide
[1-(2, the 4-dichloro benzyl)-5-methoxyl group-2-Methyl-1H-indole-3-yl] (5-pyridine-2-base-1,3,4-oxadiazole-2-yl) ketone O-methyloxime
[1-(4-bromobenzyl)-5-methoxyl group-2-Methyl-1H-indole-3-yl] (5-pyridine-2-base-1,3,4-oxadiazole-2-yl) ketone O-methyloxime
[5-methoxyl group-1-(4-methoxy-benzyl)-2-Methyl-1H-indole-3-yl] (5-pyridine-2-base-1,3,4-oxadiazole-2-yl) ketone O-methyloxime
[1-(4-benzyl chloride base)-5-methoxyl group-2-Methyl-1H-indole-3-yl] (5-pyridine-2-base-1,3,4-oxadiazole-2-yl) ketone O-methyloxime
[1-(2, the 4-dichloro benzyl)-5-methoxyl group-2-Methyl-1H-indole-3-yl] (3-phenyl-1,2,4-oxadiazole-5-yl) ketone
[1-(2, the 4-dichloro benzyl)-5-methoxyl group-2-Methyl-1H-indole-3-yl] (3-pyridine-2-base-1,2,4-oxadiazole-5-yl) ketone
[1-(4-benzyl chloride base)-5-methoxyl group-2-Methyl-1H-indole-3-yl] (3-pyridine-2-base-1,2,4-oxadiazole-5-yl) ketone
[5-methoxyl group-1-(4-methoxy-benzyl)-2-Methyl-1H-indole-3-yl] (3-pyridine-2-base-1,2,4-oxadiazole-5-yl) ketone
[1-(4-benzyl chloride base)-5-methoxyl group-2-Methyl-1H-indole-3-yl] (5-pyridine-2-base-1,3,4-oxadiazole-2-yl) ketone
[1-(2, the 4-dichloro benzyl)-5-methoxyl group-2-Methyl-1H-indole-3-yl] (5-pyridine-2-base-1,3,4-oxadiazole-2-yl) ketone
[1-(4-benzyl chloride base)-5-methoxyl group-2-Methyl-1H-indole-3-yl] [5-(2-furyl)-1,3,4-oxadiazole-2-yl] ketone
[1-(4-benzyl chloride base)-5-methoxyl group-2-Methyl-1H-indole-3-yl] ([1,3] oxazole is [4,5-b] pyridine-2-yl also) ketone
[1-(4-bromobenzyl)-5-methoxyl group-2-Methyl-1H-indole-3-yl] (5-pyridine-2-base-1,3,4-oxadiazole-2-yl) ketone
[5-methoxyl group-1-(4-methoxy-benzyl)-2-Methyl-1H-indole-3-yl] (5-pyridine-2-base-1,3,4-oxadiazole-2-yl) ketone
[1-(4-benzyl chloride base)-5-methoxyl group-2-Methyl-1H-indole-3-yl] (5-pyridin-3-yl-1,3,4-oxadiazole-2-yl) ketone
1-[(5-chloro-2-thienyl) methyl]-5-methoxyl group-2-Methyl-1H-indole-3-yl } (5-pyridine-2-base-1,3,4-oxadiazole-2-yl) ketone
[1-(4-luorobenzyl)-5-methoxyl group-2-Methyl-1H-indole-3-yl] (5-pyridine-2-base-1,3,4-oxadiazole-2-yl) ketone
[1-(4-benzyl chloride base)-5-methoxyl group-2-Methyl-1H-indole-3-yl] (5-pyridin-4-yl-1,3,4-oxadiazole-2-yl) ketone
1-[2-(2-chloro-phenyl-) ethyl]-5-methoxyl group-2-Methyl-1H-indole-3-yl } (5-pyridine-2-base-1,3,4-oxadiazole-2-yl) ketone
[5-methoxyl group-2-methyl isophthalic acid-(4-methyl-benzyl)-1H-indol-3-yl] (5-pyridine-2-base-1,3,4-oxadiazole-2-yl) ketone
[1-(4-benzyl chloride base)-5-methoxyl group-2-Methyl-1H-indole-3-yl] (5-phenyl-1,3,4-oxadiazole-2-yl) ketone
[1-(3, the 4-dichloro benzyl)-5-methoxyl group-2-Methyl-1H-indole-3-yl] (5-pyridine-2-base-1,3,4-oxadiazole-2-yl) ketone
1-[2-(3-chloro-phenyl-) ethyl]-5-methoxyl group-2-Methyl-1H-indole-3-yl } (5-pyridine-2-base-1,3,4-oxadiazole-2-yl) ketone
[1-(4-bromobenzyl)-5-hydroxy-2-methyl-1H-indol-3-yl] (5-pyridine-2-base-1,3,4-oxadiazole-2-yl) ketone
1-[2-(4-chloro-phenyl-) ethyl]-5-methoxyl group-2-Methyl-1H-indole-3-yl } (5-pyridine-2-base-1,3,4-oxadiazole-2-yl) ketone
[1-(3, the 5-dichloro benzyl)-5-methoxyl group-2-Methyl-1H-indole-3-yl] (5-pyridine-2-base-1,3,4-oxadiazole-2-yl) ketone
(1-benzyl-5-methoxyl group-2-Methyl-1H-indole-3-yl) (5-pyridine-2-base-1,3,4-oxadiazole-2-yl) ketone
[1-(2-benzyl chloride base)-5-methoxyl group-2-Methyl-1H-indole-3-yl] (5-pyridine-2-base-1,3,4-oxadiazole-2-yl) ketone
{ 5-methoxyl group-2-methyl isophthalic acid-[4-(trifluoromethyl) benzyl]-1H-indol-3-yl } (5-pyridine-2-base-1,3,4-oxadiazole-2-yl) ketone
[5-hydroxy-2-methyl-1-(4-methyl-benzyl)-1H-indol-3-yl] (5-pyridine-2-base-1,3,4-oxadiazole-2-yl) ketone
[1-(3, the 4-dichloro benzyl)-5-hydroxy-2-methyl-1H-indol-3-yl] (5-pyridine-2-base-1,3,4-oxadiazole-2-yl) ketone
[1-(3-benzyl chloride base)-5-methoxyl group-2-Methyl-1H-indole-3-yl] (5-pyridine-2-base-1,3,4-oxadiazole-2-yl) ketone
{ 5-methoxyl group-2-methyl isophthalic acid-[4-(trifluoromethoxy) benzyl]-1H-indol-3-yl } (5-pyridine-2-base-1,3,4-oxadiazole-2-yl) ketone
[1-(4-benzyl chloride base)-5-methoxyl group-2-Methyl-1H-indole-3-yl] (5-pyridine-2-base-2-thienyl) ketone
[5-chloro-1-(4-benzyl chloride base)-2-Methyl-1H-indole-3-yl] (5-pyridine-2-base-1,3,4-oxadiazole-2-yl) ketone
1-[1-(4-benzyl chloride base)-5-methoxyl group-2-Methyl-1H-indole-3-yl]-2,2,2-trifluoro ethyl ketone
[5-chloro-1-(4-methoxy-benzyl)-2-Methyl-1H-indole-3-yl] (5-pyridine-2-base-1,3,4-oxadiazole-2-yl) ketone
[2-chloro-1-(4-benzyl chloride base)-5-methoxyl group-1H-indol-3-yl] (5-pyridine-2-base-1,3,4-oxadiazole-2-yl) ketone
[2-chloro-1-(4-benzyl chloride base)-5-methoxyl group-1H-indol-3-yl] (3-pyridine-2-base-1,2,4-oxadiazole-5-yl) ketone
[1-(4-benzyl chloride base)-5-oxyethyl group-2-Methyl-1H-indole-3-yl] (5-pyridine-2-base-1,3,4-oxadiazole-2-yl) ketone
[1-(4-luorobenzyl)-5-methoxyl group-2-Methyl-1H-indole-3-yl] (3-pyridine-2-base-1,2,4-oxadiazole-5-yl) ketone
[1-(4-benzyl chloride base)-5-oxyethyl group-2-Methyl-1H-indole-3-yl] (3-pyridine-2-base-1,2,4-oxadiazole-5-yl) ketone
[1-(4-benzyl chloride base)-5-methoxyl group-1H-indol-3-yl] (5-pyridine-2-base-1,3,4-oxadiazole-2-yl) ketone
[1-(4-benzyl chloride base)-5-methoxyl group-1H-indol-3-yl] (3-pyridine-2-base-1,2,4-oxadiazole-5-yl) ketone
1-[(2-chloropyridine-4-yl) methyl]-5-methoxyl group-2-Methyl-1H-indole-3-yl } (5-pyridine-2-base-1,3,4-oxadiazole-2-yl) ketone
[1-(4-benzyl chloride base)-5-methoxyl group-2-Methyl-1H-indole-3-yl] (3-pyridin-3-yl-1,2,4-oxadiazole-5-yl) ketone
[1-(4-benzyl chloride base)-7-methoxyl group-1H-indol-3-yl] (5-pyridine-2-base-1,3,4-oxadiazole-2-yl) ketone
[1-(4-benzyl chloride base)-5-methoxyl group-2-(trifluoromethyl)-1H-indol-3-yl] (3-pyridine-2-base-1,2,4-oxadiazole-5-yl) ketone
[1-(4-benzyl chloride base)-5-oxyethyl group-2-(trifluoromethyl)-1H-indol-3-yl] (3-pyridine-2-base-1,2,4-oxadiazole-5-yl) ketone
[1-(4-benzyl chloride base)-5-hydroxyl-2-(trifluoromethyl)-1H-indol-3-yl] (3-pyridine-2-base-1,2,4-oxadiazole-5-yl) ketone
[1-(4-benzyl chloride base)-5-methyl-2-(trifluoromethyl)-1H-indol-3-yl] (3-pyridine-2-base-1,2,4-oxadiazole-5-yl) ketone
[5-chloro-1-(4-benzyl chloride base)-2-(trifluoromethyl)-1H-indol-3-yl] (3-pyridine-2-base-1,2,4-oxadiazole-5-yl) ketone
[1-(4-benzyl chloride base)-2-(trifluoromethyl)-1H-indol-3-yl] (3-pyridine-2-base-1,2,4-oxadiazole-5-yl) ketone
[1-(2, the 4-dichloro benzyl)-5-methoxyl group-2-(trifluoromethyl)-1H-indol-3-yl] (3-pyridine-2-base-1,2,4-oxadiazole-5-yl) ketone
[1-(2, the 4-dichloro benzyl)-5-oxyethyl group-2-(trifluoromethyl)-1H-indol-3-yl] (3-pyridine-2-base-1,2,4-oxadiazole-5-yl) ketone
[1-(2, the 4-dichloro benzyl)-5-hydroxyl-2-(trifluoromethyl)-1H-indol-3-yl] (3-pyridine-2-base-1,2,4-oxadiazole-5-yl) ketone
[1-(2, the 4-dichloro benzyl)-5-methyl-2-(trifluoromethyl)-1H-indol-3-yl] (3-pyridine-2-base-1,2,4-oxadiazole-5-yl) ketone
[5-chloro-1-(2, the 4-dichloro benzyl)-2-(trifluoromethyl)-1H-indol-3-yl] (3-pyridine-2-base-1,2,4-oxadiazole-5-yl) ketone
[1-(2, the 4-dichloro benzyl)-2-(trifluoromethyl)-1H-indol-3-yl] (3-pyridine-2-base-1,2,4-oxadiazole-5-yl) ketone
[1-(4-benzyl chloride base)-5-methoxyl group-2-(trifluoromethyl)-1H-indol-3-yl] (3-pyridin-3-yl-1,2,4-oxadiazole-5-yl) ketone
[1-(4-benzyl chloride base)-5-oxyethyl group-2-(trifluoromethyl)-1H-indol-3-yl] (3-pyridin-3-yl-1,2,4-oxadiazole-5-yl) ketone
[1-(4-benzyl chloride base)-5-hydroxyl-2-(trifluoromethyl)-1H-indol-3-yl] (3-pyridin-3-yl-1,2,4-oxadiazole-5-yl) ketone
[1-(4-benzyl chloride base)-5-methyl-2-(trifluoromethyl)-1H-indol-3-yl] (3-pyridin-3-yl-1,2,4-oxadiazole-5-yl) ketone
[5-chloro-1-(4-benzyl chloride base)-2-(trifluoromethyl)-1H-indol-3-yl] (3-pyridin-3-yl-1,2,4-oxadiazole-5-yl) ketone
[1-(4-benzyl chloride base)-2-(trifluoromethyl)-1H-indol-3-yl] (3-pyridin-3-yl-1,2,4-oxadiazole-5-yl) ketone
[1-(2, the 4-dichloro benzyl)-5-methoxyl group-2-(trifluoromethyl)-1H-indol-3-yl] (3-pyridin-3-yl-1,2,4-oxadiazole-5-yl) ketone
[1-(2, the 4-dichloro benzyl)-5-oxyethyl group-2-(trifluoromethyl)-1H-indol-3-yl] (3-pyridin-3-yl-1,2,4-oxadiazole-5-yl) ketone
[1-(2, the 4-dichloro benzyl)-5-hydroxyl-2-(trifluoromethyl)-1H-indol-3-yl] (3-pyridin-3-yl-1,2,4-oxadiazole-5-yl) ketone
[1-(2, the 4-dichloro benzyl)-5-methyl-2-(trifluoromethyl)-1H-indol-3-yl] (3-pyridin-3-yl-1,2,4-oxadiazole-5-yl) ketone
[5-chloro-1-(2, the 4-dichloro benzyl)-2-(trifluoromethyl)-1H-indol-3-yl] (3-pyridin-3-yl-1,2,4-oxadiazole-5-yl) ketone
[1-(2, the 4-dichloro benzyl)-2-(trifluoromethyl)-1H-indol-3-yl] (3-pyridin-3-yl-1,2,4-oxadiazole-5-yl) ketone
[1-(4-benzyl chloride base)-5-methoxyl group-2-(trifluoromethyl)-1H-indol-3-yl] (3-pyridin-4-yl-1,2,4-oxadiazole-5-yl) ketone
[1-(4-benzyl chloride base)-5-oxyethyl group-2-(trifluoromethyl)-1H-indol-3-yl] (3-pyridin-4-yl-1,2,4-oxadiazole-5-yl) ketone
[1-(4-benzyl chloride base)-5-hydroxyl-2-(trifluoromethyl)-1H-indol-3-yl] (3-pyridin-4-yl-1,2,4-oxadiazole-5-yl) ketone
[1-(4-benzyl chloride base)-5-methyl-2-(trifluoromethyl)-1H-indol-3-yl] (3-pyridin-4-yl-1,2,4-oxadiazole-5-yl) ketone
[5-chloro-1-(4-benzyl chloride base)-2-(trifluoromethyl)-1H-indol-3-yl] (3-pyridin-4-yl-1,2,4-oxadiazole-5-yl) ketone
[1-(4-benzyl chloride base)-2-(trifluoromethyl)-1H-indol-3-yl] (3-pyridin-4-yl-1,2,4-oxadiazole-5-yl) ketone
[1-(2, the 4-dichloro benzyl)-5-methoxyl group-2-(trifluoromethyl)-1H-indol-3-yl] (3-pyridin-4-yl-1,2,4-oxadiazole-5-yl) ketone
[1-(2, the 4-dichloro benzyl)-5-oxyethyl group-2-(trifluoromethyl)-1H-indol-3-yl] (3-pyridin-4-yl-1,2,4-oxadiazole-5-yl) ketone
[1-(2, the 4-dichloro benzyl)-5-hydroxyl-2-(trifluoromethyl)-1H-indol-3-yl] (3-pyridin-4-yl-1,2,4-oxadiazole-5-yl) ketone
[1-(2, the 4-dichloro benzyl)-5-methyl-2-(trifluoromethyl)-1H-indol-3-yl] (3-pyridin-4-yl-1,2,4-oxadiazole-5-yl) ketone
[5-chloro-1-(2, the 4-dichloro benzyl)-2-(trifluoromethyl)-1H-indol-3-yl] (3-pyridin-4-yl-1,2,4-oxadiazole-5-yl) ketone
[1-(2, the 4-dichloro benzyl)-2-(trifluoromethyl)-1H-indol-3-yl] (3-pyridin-4-yl-1,2,4-oxadiazole-5-yl) ketone
[1-(4-benzyl chloride base)-5-methoxyl group-2-(trifluoromethyl)-1H-indol-3-yl] (3-pyrimidine-4-base-1,2,4-oxadiazole-5-yl) ketone
[1-(4-benzyl chloride base)-5-oxyethyl group-2-(trifluoromethyl)-1H-indol-3-yl] (3-pyrimidine-4-base-1,2,4-oxadiazole-5-yl) ketone
[1-(4-benzyl chloride base)-5-hydroxyl-2-(trifluoromethyl)-1H-indol-3-yl] (3-pyrimidine-4-base-1,2,4-oxadiazole-5-yl) ketone
[1-(4-benzyl chloride base)-5-methyl-2-(trifluoromethyl)-1H-indol-3-yl] (3-pyrimidine-4-base-1,2,4-oxadiazole-5-yl) ketone
[5-chloro-1-(4-benzyl chloride base)-2-(trifluoromethyl)-1H-indol-3-yl] (3-pyrimidine-4-base-1,2,4-oxadiazole-5-yl) ketone
[1-(4-benzyl chloride base)-2-(trifluoromethyl)-1H-indol-3-yl] (3-pyrimidine-4-base-1,2,4-oxadiazole-5-yl) ketone
[1-(2, the 4-dichloro benzyl)-5-methoxyl group-2-(trifluoromethyl)-1H-indol-3-yl] (3-pyrimidine-4-base-1,2,4-oxadiazole-5-yl) ketone
[1-(2, the 4-dichloro benzyl)-5-oxyethyl group-2-(trifluoromethyl)-1H-indol-3-yl] (3-pyrimidine-4-base-1,2,4-oxadiazole-5-yl) ketone
[1-(2, the 4-dichloro benzyl)-5-hydroxyl-2-(trifluoromethyl)-1H-indol-3-yl] (3-pyrimidine-4-base-1,2,4-oxadiazole-5-yl) ketone
[1-(2, the 4-dichloro benzyl)-5-methyl-2-(trifluoromethyl)-1H-indol-3-yl] (3-pyrimidine-4-base-1,2,4-oxadiazole-5-yl) ketone
[5-chloro-1-(2, the 4-dichloro benzyl)-2-(trifluoromethyl)-1H-indol-3-yl] (3-pyrimidine-4-base-1,2,4-oxadiazole-5-yl) ketone
[1-(2, the 4-dichloro benzyl)-2-(trifluoromethyl)-1H-indol-3-yl] (3-pyrimidine-4-base-1,2,4-oxadiazole-5-yl) ketone
[1-(4-benzyl chloride base)-5-methoxyl group-2-(trifluoromethyl)-1H-indol-3-yl] (5-phenyl-1,2,4-oxadiazole-3-yl) ketone
[1-(4-benzyl chloride base)-5-oxyethyl group-2-(trifluoromethyl)-1H-indol-3-yl] (5-phenyl-1,2,4-oxadiazole-3-yl) ketone
[1-(4-benzyl chloride base)-5-hydroxyl-2-(trifluoromethyl)-1H-indol-3-yl] (5-phenyl-1,2,4-oxadiazole-3-yl) ketone
[1-(4-benzyl chloride base)-5-methyl-2-(trifluoromethyl)-1H-indol-3-yl] (5-phenyl-1,2,4-oxadiazole-3-yl) ketone
[5-chloro-1-(4-benzyl chloride base)-2-(trifluoromethyl)-1H-indol-3-yl] (5-phenyl-1,2,4-oxadiazole-3-yl) ketone
[1-(4-benzyl chloride base)-2-(trifluoromethyl)-1H-indol-3-yl] (5-phenyl-1,2,4-oxadiazole-3-yl) ketone
[1-(2, the 4-dichloro benzyl)-5-methoxyl group-2-(trifluoromethyl)-1H-indol-3-yl] (5-phenyl-1,2,4-oxadiazole-3-yl) ketone
[1-(2, the 4-dichloro benzyl)-5-oxyethyl group-2-(trifluoromethyl)-1H-indol-3-yl] (5-phenyl-1,2,4-oxadiazole-3-yl) ketone
[1-(2, the 4-dichloro benzyl)-5-hydroxyl-2-(trifluoromethyl)-1H-indol-3-yl] (5-phenyl-1,2,4-oxadiazole-3-yl) ketone
[1-(2, the 4-dichloro benzyl)-5-methyl-2-(trifluoromethyl)-1H-indol-3-yl] (5-phenyl-1,2,4-oxadiazole-3-yl) ketone
[5-chloro-1-(2, the 4-dichloro benzyl)-2-(trifluoromethyl)-1H-indol-3-yl] (5-phenyl-1,2,4-oxadiazole-3-yl) ketone
[1-(2, the 4-dichloro benzyl)-2-(trifluoromethyl)-1H-indol-3-yl] (5-phenyl-1,2,4-oxadiazole-3-yl) ketone
[1-(4-benzyl chloride base)-5-methoxyl group-2-(trifluoromethyl)-1H-indol-3-yl] (5-pyridine-2-base-1,2,4-oxadiazole-3-yl) ketone
[1-(4-benzyl chloride base)-5-oxyethyl group-2-(trifluoromethyl)-1H-indol-3-yl] (5-pyridine-2-base-1,2,4-oxadiazole-3-yl) ketone
[1-(4-benzyl chloride base)-5-hydroxyl-2-(trifluoromethyl)-1H-indol-3-yl] (5-pyridine-2-base-1,2,4-oxadiazole-3-yl) ketone
[1-(4-benzyl chloride base)-5-methyl-2-(trifluoromethyl)-1H-indol-3-yl] (5-pyridine-2-base-1,2,4-oxadiazole-3-yl) ketone
[5-chloro-1-(4-benzyl chloride base)-2-(trifluoromethyl)-1H-indol-3-yl] (5-pyridine-2-base-1,2,4-oxadiazole-3-yl) ketone
[1-(4-benzyl chloride base)-2-(trifluoromethyl)-1H-indol-3-yl] (5-pyridine-2-base-1,2,4-oxadiazole-3-yl) ketone
[1-(2, the 4-dichloro benzyl)-5-methoxyl group-2-(trifluoromethyl)-1H-indol-3-yl] (5-pyridine-2-base-1,2,4-oxadiazole-3-yl) ketone
[1-(2, the 4-dichloro benzyl)-5-oxyethyl group-2-(trifluoromethyl)-1H-indol-3-yl] (5-pyridine-2-base-1,2,4-oxadiazole-3-yl) ketone
[1-(2, the 4-dichloro benzyl)-5-hydroxyl-2-(trifluoromethyl)-1H-indol-3-yl] (5-pyridine-2-base-1,2,4-oxadiazole-3-yl) ketone
[1-(2, the 4-dichloro benzyl)-5-methyl-2-(trifluoromethyl)-1H-indol-3-yl] (5-pyridine-2-base-1,2,4-oxadiazole-3-yl) ketone
[5-chloro-1-(2, the 4-dichloro benzyl)-2-(trifluoromethyl)-1H-indol-3-yl] (5-pyridine-2-base-1,2,4-oxadiazole-3-yl) ketone
[1-(2, the 4-dichloro benzyl)-2-(trifluoromethyl)-1H-indol-3-yl] (5-pyridine-2-base-1,2,4-oxadiazole-3-yl) ketone
[1-(4-benzyl chloride base)-5-methoxyl group-2-(trifluoromethyl)-1H-indol-3-yl] (5-pyridin-3-yl-1,2,4-oxadiazole-3-yl) ketone
[1-(4-benzyl chloride base)-5-oxyethyl group-2-(trifluoromethyl)-1H-indol-3-yl] (5-pyridin-3-yl-1,2,4-oxadiazole-3-yl) ketone
[1-(4-benzyl chloride base)-5-hydroxyl-2-(trifluoromethyl)-1H-indol-3-yl] (5-pyridin-3-yl-1,2,4-oxadiazole-3-yl) ketone
[1-(4-benzyl chloride base)-5-methyl-2-(trifluoromethyl)-1H-indol-3-yl] (5-pyridin-3-yl-1,2,4-oxadiazole-3-yl) ketone
[5-chloro-1-(4-benzyl chloride base)-2-(trifluoromethyl)-1H-indol-3-yl] (5-pyridin-3-yl-1,2,4-oxadiazole-3-yl) ketone
[1-(4-benzyl chloride base)-2-(trifluoromethyl)-1H-indol-3-yl] (5-pyridin-3-yl-1,2,4-oxadiazole-3-yl) ketone
[1-(2, the 4-dichloro benzyl)-5-methoxyl group-2-(trifluoromethyl)-1H-indol-3-yl] (5-pyridin-3-yl-1,2,4-oxadiazole-3-yl) ketone
[1-(2, the 4-dichloro benzyl)-5-oxyethyl group-2-(trifluoromethyl)-1H-indol-3-yl] (5-pyridin-3-yl-1,2,4-oxadiazole-3-yl) ketone
[1-(2, the 4-dichloro benzyl)-5-hydroxyl-2-(trifluoromethyl)-1H-indol-3-yl] (5-pyridin-3-yl-1,2,4-oxadiazole-3-yl) ketone
[1-(2, the 4-dichloro benzyl)-5-methyl-2-(trifluoromethyl)-1H-indol-3-yl] (5-pyridin-3-yl-1,2,4-oxadiazole-3-yl) ketone
[5-chloro-1-(2, the 4-dichloro benzyl)-2-(trifluoromethyl)-1H-indol-3-yl] (5-pyridin-3-yl-1,2,4-oxadiazole-3-yl) ketone
[1-(2, the 4-dichloro benzyl)-2-(trifluoromethyl)-1H-indol-3-yl] (5-pyridin-3-yl-1,2,4-oxadiazole-3-yl) ketone
[1-(4-benzyl chloride base)-5-methoxyl group-2-(trifluoromethyl)-1H-indol-3-yl] (5-pyridin-4-yl-1,2,4-oxadiazole-3-yl) ketone
[1-(4-benzyl chloride base)-5-oxyethyl group-2-(trifluoromethyl)-1H-indol-3-yl] (5-pyridin-4-yl-1,2,4-oxadiazole-3-yl) ketone
[1-(4-benzyl chloride base)-5-hydroxyl-2-(trifluoromethyl)-1H-indol-3-yl] (5-pyridin-4-yl-1,2,4-oxadiazole-3-yl) ketone
[1-(4-benzyl chloride base)-5-methyl-2-(trifluoromethyl)-1H-indol-3-yl] (5-pyridin-4-yl-1,2,4-oxadiazole-3-yl) ketone
[5-chloro-1-(4-benzyl chloride base)-2-(trifluoromethyl)-1H-indol-3-yl] (5-pyridin-4-yl-1,2,4-oxadiazole-3-yl) ketone
[1-(4-benzyl chloride base)-2-(trifluoromethyl)-1H-indol-3-yl] (5-pyridin-4-yl-1,2,4-oxadiazole-3-yl) ketone
[1-(2, the 4-dichloro benzyl)-5-methoxyl group-2-(trifluoromethyl)-1H-indol-3-yl] (5-pyridin-4-yl-1,2,4-oxadiazole-3-yl) ketone
[1-(2, the 4-dichloro benzyl)-5-oxyethyl group-2-(trifluoromethyl)-1H-indol-3-yl] (5-pyridin-4-yl-1,2,4-oxadiazole-3-yl) ketone
[1-(2, the 4-dichloro benzyl)-5-hydroxyl-2-(trifluoromethyl)-1H-indol-3-yl] (5-pyridin-4-yl-1,2,4-oxadiazole-3-yl) ketone
[1-(2, the 4-dichloro benzyl)-5-methyl-2-(trifluoromethyl)-1H-indol-3-yl] (5-pyridin-4-yl-1,2,4-oxadiazole-3-yl) ketone
[5-chloro-1-(2, the 4-dichloro benzyl)-2-(trifluoromethyl)-1H-indol-3-yl] (5-pyridin-4-yl-1,2,4-oxadiazole-3-yl) ketone
[1-(2, the 4-dichloro benzyl)-2-(trifluoromethyl)-1H-indol-3-yl] (5-pyridin-4-yl-1,2,4-oxadiazole-3-yl) ketone
[1-(4-benzyl chloride base)-5-methoxyl group-2-(trifluoromethyl)-1H-indol-3-yl] (5-pyrimidine-4-base-1,2,4-oxadiazole-3-yl) ketone
[1-(4-benzyl chloride base)-5-oxyethyl group-2-(trifluoromethyl)-1H-indol-3-yl] (5-pyrimidine-4-base-1,2,4-oxadiazole-3-yl) ketone
[1-(4-benzyl chloride base)-5-hydroxyl-2-(trifluoromethyl)-1H-indol-3-yl] (5-pyrimidine-4-base-1,2,4-oxadiazole-3-yl) ketone
[1-(4-benzyl chloride base)-5-methyl-2-(trifluoromethyl)-1H-indol-3-yl] (5-pyrimidine-4-base-1,2,4-oxadiazole-3-yl) ketone
[5-chloro-1-(4-benzyl chloride base)-2-(trifluoromethyl)-1H-indol-3-yl] (5-pyrimidine-4-base-1,2,4-oxadiazole-3-yl) ketone
[1-(4-benzyl chloride base)-2-(trifluoromethyl)-1H-indol-3-yl] (5-pyrimidine-4-base-1,2,4-oxadiazole-3-yl) ketone
[1-(2, the 4-dichloro benzyl)-5-methoxyl group-2-(trifluoromethyl)-1H-indol-3-yl] (5-pyrimidine-4-base-1,2,4-oxadiazole-3-yl) ketone
[1-(2, the 4-dichloro benzyl)-5-oxyethyl group-2-(trifluoromethyl)-1H-indol-3-yl] (5-pyrimidine-4-base-1,2,4-oxadiazole-3-yl) ketone
[1-(2, the 4-dichloro benzyl)-5-hydroxyl-2-(trifluoromethyl)-1H-indol-3-yl] (5-pyrimidine-4-base-1,2,4-oxadiazole-3-yl) ketone
[1-(2, the 4-dichloro benzyl)-5-methyl-2-(trifluoromethyl)-1H-indol-3-yl] (5-pyrimidine-4-base-1,2,4-oxadiazole-3-yl) ketone
[5-chloro-1-(2, the 4-dichloro benzyl)-2-(trifluoromethyl)-1H-indol-3-yl] (5-pyrimidine-4-base-1,2,4-oxadiazole-3-yl) ketone
[1-(2, the 4-dichloro benzyl)-2-(trifluoromethyl)-1H-indol-3-yl] (5-pyrimidine-4-base-1,2,4-oxadiazole-3-yl) ketone
[1-(4-benzyl chloride base)-5-methoxyl group-2-(trifluoromethyl)-1H-indol-3-yl] (5-phenyl-1,3,4-oxadiazole-2-yl) ketone
[1-(4-benzyl chloride base)-5-oxyethyl group-2-(trifluoromethyl)-1H-indol-3-yl] (5-phenyl-1,3,4-oxadiazole-2-yl) ketone
[1-(4-benzyl chloride base)-5-hydroxyl-2-(trifluoromethyl)-1H-indol-3-yl] (5-phenyl-1,3,4-oxadiazole-2-yl) ketone
[1-(4-benzyl chloride base)-5-methyl-2-(trifluoromethyl)-1H-indol-3-yl] (5-phenyl-1,3,4-oxadiazole-2-yl) ketone
[5-chloro-1-(4-benzyl chloride base)-2-(trifluoromethyl)-1H-indol-3-yl] (5-phenyl-1,3,4-oxadiazole-2-yl) ketone
[1-(4-benzyl chloride base)-2-(trifluoromethyl)-1H-indol-3-yl] (5-phenyl-1,3,4-oxadiazole-2-yl) ketone
[1-(2, the 4-dichloro benzyl)-5-methoxyl group-2-(trifluoromethyl)-1H-indol-3-yl] (5-phenyl-1,3,4-oxadiazole-2-yl) ketone
[1-(2, the 4-dichloro benzyl)-5-oxyethyl group-2-(trifluoromethyl)-1H-indol-3-yl] (5-phenyl-1,3,4-oxadiazole-2-yl) ketone
[1-(2, the 4-dichloro benzyl)-5-hydroxyl-2-(trifluoromethyl)-1H-indol-3-yl] (5-phenyl-1,3,4-oxadiazole-2-yl) ketone
[1-(2, the 4-dichloro benzyl)-5-methyl-2-(trifluoromethyl)-1H-indol-3-yl] (5-phenyl-1,3,4-oxadiazole-2-yl) ketone
[5-chloro-1-(2, the 4-dichloro benzyl)-2-(trifluoromethyl)-1H-indol-3-yl] (5-phenyl-1,3,4-oxadiazole-2-yl) ketone
[1-(2, the 4-dichloro benzyl)-2-(trifluoromethyl)-1H-indol-3-yl] (5-phenyl-1,3,4-oxadiazole-2-yl) ketone
[1-(4-benzyl chloride base)-5-methoxyl group-2-(trifluoromethyl)-1H-indol-3-yl] (5-pyridine-2-base-1,3,4-oxadiazole-2-yl) ketone
[1-(4-benzyl chloride base)-5-oxyethyl group-2-(trifluoromethyl)-1H-indol-3-yl] (5-pyridine-2-base-1,3,4-oxadiazole-2-yl) ketone
[1-(4-benzyl chloride base)-5-hydroxyl-2-(trifluoromethyl)-1H-indol-3-yl] (5-pyridine-2-base-1,3,4-oxadiazole-2-yl) ketone
[1-(4-benzyl chloride base)-5-methyl-2-(trifluoromethyl)-1H-indol-3-yl] (5-pyridine-2-base-1,3,4-oxadiazole-2-yl) ketone
[5-chloro-1-(4-benzyl chloride base)-2-(trifluoromethyl)-1H-indol-3-yl] (5-pyridine-2-base-1,3,4-oxadiazole-2-yl) ketone
[1-(4-benzyl chloride base)-2-(trifluoromethyl)-1H-indol-3-yl] (5-pyridine-2-base-1,3,4-oxadiazole-2-yl) ketone
[1-(2, the 4-dichloro benzyl)-5-methoxyl group-2-(trifluoromethyl)-1H-indol-3-yl] (5-pyridine-2-base-1,3,4-oxadiazole-2-yl) ketone
[1-(2, the 4-dichloro benzyl)-5-oxyethyl group-2-(trifluoromethyl)-1H-indol-3-yl] (5-pyridine-2-base-1,3,4-oxadiazole-2-yl) ketone
[1-(2, the 4-dichloro benzyl)-5-hydroxyl-2-(trifluoromethyl)-1H-indol-3-yl] (5-pyridine-2-base-1,3,4-oxadiazole-2-yl) ketone
[1-(2, the 4-dichloro benzyl)-5-methyl-2-(trifluoromethyl)-1H-indol-3-yl] (5-pyridine-2-base-1,3,4-oxadiazole-2-yl) ketone
[5-chloro-1-(2, the 4-dichloro benzyl)-2-(trifluoromethyl)-1H-indol-3-yl] (5-pyridine-2-base-1,3,4-oxadiazole-2-yl) ketone
[1-(2, the 4-dichloro benzyl)-2-(trifluoromethyl)-1H-indol-3-yl] (5-pyridine-2-base-1,3,4-oxadiazole-2-yl) ketone
[1-(4-benzyl chloride base)-5-methoxyl group-2-(trifluoromethyl)-1H-indol-3-yl] (5-pyridin-3-yl-1,3,4-oxadiazole-2-yl) ketone
[1-(4-benzyl chloride base)-5-oxyethyl group-2-(trifluoromethyl)-1H-indol-3-yl] (5-pyridin-3-yl-1,3,4-oxadiazole-2-yl) ketone
[1-(4-benzyl chloride base)-5-hydroxyl-2-(trifluoromethyl)-1H-indol-3-yl] (5-pyridin-3-yl-1,3,4-oxadiazole-2-yl) ketone
[1-(4-benzyl chloride base)-5-methyl-2-(trifluoromethyl)-1H-indol-3-yl] (5-pyridin-3-yl-1,3,4-oxadiazole-2-yl) ketone
[5-chloro-1-(4-benzyl chloride base)-2-(trifluoromethyl)-1H-indol-3-yl] (5-pyridin-3-yl-1,3,4-oxadiazole-2-yl) ketone
[1-(4-benzyl chloride base)-2-(trifluoromethyl)-1H-indol-3-yl] (5-pyridin-3-yl-1,3,4-oxadiazole-2-yl) ketone
[1-(2, the 4-dichloro benzyl)-5-methoxyl group-2-(trifluoromethyl)-1H-indol-3-yl] (5-pyridin-3-yl-1,3,4-oxadiazole-2-yl) ketone
[1-(2, the 4-dichloro benzyl)-5-oxyethyl group-2-(trifluoromethyl)-1H-indol-3-yl] (5-pyridin-3-yl-1,3,4-oxadiazole-2-yl) ketone
[1-(2, the 4-dichloro benzyl)-5-hydroxyl-2-(trifluoromethyl)-1H-indol-3-yl] (5-pyridin-3-yl-1,3,4-oxadiazole-2-yl) ketone
[1-(2, the 4-dichloro benzyl)-5-methyl-2-(trifluoromethyl)-1H-indol-3-yl] (5-pyridin-3-yl-1,3,4-oxadiazole-2-yl) ketone
[5-chloro-1-(2, the 4-dichloro benzyl)-2-(trifluoromethyl)-1H-indol-3-yl] (5-pyridin-3-yl-1,3,4-oxadiazole-2-yl) ketone
[1-(2, the 4-dichloro benzyl)-2-(trifluoromethyl)-1H-indol-3-yl] (5-pyridin-3-yl-1,3,4-oxadiazole-2-yl) ketone
[1-(4-benzyl chloride base)-5-methoxyl group-2-(trifluoromethyl)-1H-indol-3-yl] (5-pyridin-4-yl-1,3,4-oxadiazole-2-yl) ketone
[1-(4-benzyl chloride base)-5-oxyethyl group-2-(trifluoromethyl)-1H-indol-3-yl] (5-pyridin-4-yl-1,3,4-oxadiazole-2-yl) ketone
[1-(4-benzyl chloride base)-5-hydroxyl-2-(trifluoromethyl)-1H-indol-3-yl] (5-pyridin-4-yl-1,3,4-oxadiazole-2-yl) ketone
[1-(4-benzyl chloride base)-5-methyl-2-(trifluoromethyl)-1H-indol-3-yl] (5-pyridin-4-yl-1,3,4-oxadiazole-2-yl) ketone
[5-chloro-1-(4-benzyl chloride base)-2-(trifluoromethyl)-1H-indol-3-yl] (5-pyridin-4-yl-1,3,4-oxadiazole-2-yl) ketone
[1-(4-benzyl chloride base)-2-(trifluoromethyl)-1H-indol-3-yl] (5-pyridin-4-yl-1,3,4-oxadiazole-2-yl) ketone
[1-(2, the 4-dichloro benzyl)-5-methoxyl group-2-(trifluoromethyl)-1H-indol-3-yl] (5-pyridin-4-yl-1,3,4-oxadiazole-2-yl) ketone
[1-(2, the 4-dichloro benzyl)-5-oxyethyl group-2-(trifluoromethyl)-1H-indol-3-yl] (5-pyridin-4-yl-1,3,4-oxadiazole-2-yl) ketone
[1-(2, the 4-dichloro benzyl)-5-hydroxyl-2-(trifluoromethyl)-1H-indol-3-yl] (5-pyridin-4-yl-1,3,4-oxadiazole-2-yl) ketone
[1-(2, the 4-dichloro benzyl)-5-methyl-2-(trifluoromethyl)-1H-indol-3-yl] (5-pyridin-4-yl-1,3,4-oxadiazole-2-yl) ketone
[5-chloro-1-(2, the 4-dichloro benzyl)-2-(trifluoromethyl)-1H-indol-3-yl] (5-pyridin-4-yl-1,3,4-oxadiazole-2-yl) ketone
[1-(2, the 4-dichloro benzyl)-2-(trifluoromethyl)-1H-indol-3-yl] (5-pyridin-4-yl-1,3,4-oxadiazole-2-yl) ketone
[1-(4-benzyl chloride base)-5-methoxyl group-2-(trifluoromethyl)-1H-indol-3-yl] (5-pyrimidine-4-base-1,3,4-oxadiazole-2-yl) ketone
[1-(4-benzyl chloride base)-5-oxyethyl group-2-(trifluoromethyl)-1H-indol-3-yl] (5-pyrimidine-4-base-1,3,4-oxadiazole-2-yl) ketone
[1-(4-benzyl chloride base)-5-hydroxyl-2-(trifluoromethyl)-1H-indol-3-yl] (5-pyrimidine-4-base-1,3,4-oxadiazole-2-yl) ketone
[1-(4-benzyl chloride base)-5-methyl-2-(trifluoromethyl)-1H-indol-3-yl] (5-pyrimidine-4-base-1,3,4-oxadiazole-2-yl) ketone
[5-chloro-1-(4-benzyl chloride base)-2-(trifluoromethyl)-1H-indol-3-yl] (5-pyrimidine-4-base-1,3,4-oxadiazole-2-yl) ketone
[1-(4-benzyl chloride base)-2-(trifluoromethyl)-1H-indol-3-yl] (5-pyrimidine-4-base-1,3,4-oxadiazole-2-yl) ketone
[1-(2, the 4-dichloro benzyl)-5-methoxyl group-2-(trifluoromethyl)-1H-indol-3-yl] (5-pyrimidine-4-base-1,3,4-oxadiazole-2-yl) ketone
[1-(2, the 4-dichloro benzyl)-5-oxyethyl group-2-(trifluoromethyl)-1H-indol-3-yl] (5-pyrimidine-4-base-1,3,4-oxadiazole-2-yl) ketone
[1-(2, the 4-dichloro benzyl)-5-hydroxyl-2-(trifluoromethyl)-1H-indol-3-yl] (5-pyrimidine-4-base-1,3,4-oxadiazole-2-yl) ketone
[1-(2, the 4-dichloro benzyl)-5-methyl-2-(trifluoromethyl)-1H-indol-3-yl] (5-pyrimidine-4-base-1,3,4-oxadiazole-2-yl) ketone
[5-chloro-1-(2, the 4-dichloro benzyl)-2-(trifluoromethyl)-1H-indol-3-yl] (5-pyrimidine-4-base-1,3,4-oxadiazole-2-yl) ketone
[1-(2, the 4-dichloro benzyl)-2-(trifluoromethyl)-1H-indol-3-yl] (5-pyrimidine-4-base-1,3,4-oxadiazole-2-yl) ketone
[1-(4-benzyl chloride base)-5-methoxyl group-2-(trifluoromethyl)-1H-indol-3-yl] (2-phenyl-1,3-oxazole-5-yl) ketone
[1-(4-benzyl chloride base)-5-oxyethyl group-2-(trifluoromethyl)-1H-indol-3-yl] (2-phenyl-1,3-oxazole-5-yl) ketone
[1-(4-benzyl chloride base)-5-hydroxyl-2-(trifluoromethyl)-1H-indol-3-yl] (2-phenyl-1,3-oxazole-5-yl) ketone
[1-(4-benzyl chloride base)-5-methyl-2-(trifluoromethyl)-1H-indol-3-yl] (2-phenyl-1,3-oxazole-5-yl) ketone
[5-chloro-1-(4-benzyl chloride base)-2-(trifluoromethyl)-1H-indol-3-yl] (2-phenyl-1,3-oxazole-5-yl) ketone
[1-(4-benzyl chloride base)-2-(trifluoromethyl)-1H-indol-3-yl] (2-phenyl-1,3-oxazole-5-yl) ketone
[1-(2, the 4-dichloro benzyl)-5-methoxyl group-2-(trifluoromethyl)-1H-indol-3-yl] (2-phenyl-1,3-oxazole-5-yl) ketone
[1-(2, the 4-dichloro benzyl)-5-oxyethyl group-2-(trifluoromethyl)-1H-indol-3-yl] (2-phenyl-1,3-oxazole-5-yl) ketone
[1-(2, the 4-dichloro benzyl)-5-hydroxyl-2-(trifluoromethyl)-1H-indol-3-yl] (2-phenyl-1,3-oxazole-5-yl) ketone
[1-(2, the 4-dichloro benzyl)-5-methyl-2-(trifluoromethyl)-1H-indol-3-yl] (2-phenyl-1,3-oxazole-5-yl) ketone
[5-chloro-1-(2, the 4-dichloro benzyl)-2-(trifluoromethyl)-1H-indol-3-yl] (2-phenyl-1,3-oxazole-5-yl) ketone
[1-(2, the 4-dichloro benzyl)-2-(trifluoromethyl)-1H-indol-3-yl] (2-phenyl-1,3-oxazole-5-yl) ketone
[1-(4-benzyl chloride base)-5-methoxyl group-2-(trifluoromethyl)-1H-indol-3-yl] (2-pyridine-2-base-1,3-oxazole-5-yl) ketone
[1-(4-benzyl chloride base)-5-oxyethyl group-2-(trifluoromethyl)-1H-indol-3-yl] (2-pyridine-2-base-1,3-oxazole-5-yl) ketone
[1-(4-benzyl chloride base)-5-hydroxyl-2-(trifluoromethyl)-1H-indol-3-yl] (2-pyridine-2-base-1,3-oxazole-5-yl) ketone
[1-(4-benzyl chloride base)-5-methyl-2-(trifluoromethyl)-1H-indol-3-yl] (2-pyridine-2-base-1,3-oxazole-5-yl) ketone
[5-chloro-1-(4-benzyl chloride base)-2-(trifluoromethyl)-1H-indol-3-yl] (2-pyridine-2-base-1,3-oxazole-5-yl) ketone
[1-(4-benzyl chloride base)-2-(trifluoromethyl)-1H-indol-3-yl] (2-pyridine-2-base-1,3-oxazole-5-yl) ketone
[1-(2, the 4-dichloro benzyl)-5-methoxyl group-2-(trifluoromethyl)-1H-indol-3-yl] (2-pyridine-2-base-1,3-oxazole-5-yl) ketone
[1-(2, the 4-dichloro benzyl)-5-oxyethyl group-2-(trifluoromethyl)-1H-indol-3-yl] (2-pyridine-2-base-1,3-oxazole-5-yl) ketone
[1-(2, the 4-dichloro benzyl)-5-hydroxyl-2-(trifluoromethyl)-1H-indol-3-yl] (2-pyridine-2-base-1,3-oxazole-5-yl) ketone
[1-(2, the 4-dichloro benzyl)-5-methyl-2-(trifluoromethyl)-1H-indol-3-yl] (2-pyridine-2-base-1,3-oxazole-5-yl) ketone
[5-chloro-1-(2, the 4-dichloro benzyl)-2-(trifluoromethyl)-1H-indol-3-yl] (2-pyridine-2-base-1,3-oxazole-5-yl) ketone
[1-(2, the 4-dichloro benzyl)-2-(trifluoromethyl)-1H-indol-3-yl] (2-pyridine-2-base-1,3-oxazole-5-yl) ketone
[1-(4-benzyl chloride base)-5-methoxyl group-2-(trifluoromethyl)-1H-indol-3-yl] (2-pyridin-3-yl-1,3-oxazole-5-yl) ketone
[1-(4-benzyl chloride base)-5-oxyethyl group-2-(trifluoromethyl)-1H-indol-3-yl] (2-pyridin-3-yl-1,3-oxazole-5-yl) ketone
[1-(4-benzyl chloride base)-5-hydroxyl-2-(trifluoromethyl)-1H-indol-3-yl] (2-pyridin-3-yl-1,3-oxazole-5-yl) ketone
[1-(4-benzyl chloride base)-5-methyl-2-(trifluoromethyl)-1H-indol-3-yl] (2-pyridin-3-yl-1,3-oxazole-5-yl) ketone
[5-chloro-1-(4-benzyl chloride base)-2-(trifluoromethyl)-1H-indol-3-yl] (2-pyridin-3-yl-1,3-oxazole-5-yl) ketone
[1-(4-benzyl chloride base)-2-(trifluoromethyl)-1H-indol-3-yl] (2-pyridin-3-yl-1,3-oxazole-5-yl) ketone
[1-(2, the 4-dichloro benzyl)-5-methoxyl group-2-(trifluoromethyl)-1H-indol-3-yl] (2-pyridin-3-yl-1,3-oxazole-5-yl) ketone
[1-(2, the 4-dichloro benzyl)-5-oxyethyl group-2-(trifluoromethyl)-1H-indol-3-yl] (2-pyridin-3-yl-1,3-oxazole-5-yl) ketone
[1-(2, the 4-dichloro benzyl)-5-hydroxyl-2-(trifluoromethyl)-1H-indol-3-yl] (2-pyridin-3-yl-1,3-oxazole-5-yl) ketone
[1-(2, the 4-dichloro benzyl)-5-methyl-2-(trifluoromethyl)-1H-indol-3-yl] (2-pyridin-3-yl-1,3-oxazole-5-yl) ketone
[5-chloro-1-(2, the 4-dichloro benzyl)-2-(trifluoromethyl)-1H-indol-3-yl] (2-pyridin-3-yl-1,3-oxazole-5-yl) ketone
[1-(2, the 4-dichloro benzyl)-2-(trifluoromethyl)-1H-indol-3-yl] (2-pyridin-3-yl-1,3-oxazole-5-yl) ketone
[1-(4-benzyl chloride base)-5-methoxyl group-2-(trifluoromethyl)-1H-indol-3-yl] (2-pyridin-4-yl-1,3-oxazole-5-yl) ketone
[1-(4-benzyl chloride base)-5-oxyethyl group-2-(trifluoromethyl)-1H-indol-3-yl] (2-pyridin-4-yl-1,3-oxazole-5-yl) ketone
1-(4-benzyl chloride base)-5-hydroxyl-2-(trifluoromethyl)-1H-indol-3-yl] (2-pyridin-4-yl-1,3-oxazole-5-yl) ketone
[1-(4-benzyl chloride base)-5-methyl-2-(trifluoromethyl)-1H-indol-3-yl] (2-pyridin-4-yl-1,3-oxazole-5-yl) ketone
[5-chloro-1-(4-benzyl chloride base)-2-(trifluoromethyl)-1H-indol-3-yl] (2-pyridin-4-yl-1,3-oxazole-5-yl) ketone
[1-(4-benzyl chloride base)-2-(trifluoromethyl)-1H-indol-3-yl] (2-pyridin-4-yl-1,3-oxazole-5-yl) ketone
[1-(2, the 4-dichloro benzyl)-5-methoxyl group-2-(trifluoromethyl)-1H-indol-3-yl] (2-pyridin-4-yl-1,3-oxazole-5-yl) ketone
[1-(2, the 4-dichloro benzyl)-5-oxyethyl group-2-(trifluoromethyl)-1H-indol-3-yl] (2-pyridin-4-yl-1,3-oxazole-5-yl) ketone
[1-(2, the 4-dichloro benzyl)-5-hydroxyl-2-(trifluoromethyl)-1H-indol-3-yl] (2-pyridin-4-yl-1,3-oxazole-5-yl) ketone
[1-(2, the 4-dichloro benzyl)-5-methyl-2-(trifluoromethyl)-1H-indol-3-yl] (2-pyridin-4-yl-1,3-oxazole-5-yl) ketone
[5-chloro-1-(2, the 4-dichloro benzyl)-2-(trifluoromethyl)-1H-indol-3-yl] (2-pyridin-4-yl-1,3-oxazole-5-yl) ketone
[1-(2, the 4-dichloro benzyl)-2-(trifluoromethyl)-1H-indol-3-yl] (2-pyridin-4-yl-1,3-oxazole-5-yl) ketone
[1-(4-benzyl chloride base)-5-methoxyl group-2-(trifluoromethyl)-1H-indol-3-yl] (2-pyrimidine-4-base-1,3-oxazole-5-yl) ketone
[1-(4-benzyl chloride base)-5-oxyethyl group-2-(trifluoromethyl)-1H-indol-3-yl] (2-pyrimidine-4-base-1,3-oxazole-5-yl) ketone
[1-(4-benzyl chloride base)-5-hydroxyl-2-(trifluoromethyl)-1H-indol-3-yl] (2-pyrimidine-4-base-1,3-oxazole-5-yl) ketone
[1-(4-benzyl chloride base)-5-methyl-2-(trifluoromethyl)-1H-indol-3-yl] (2-pyrimidine-4-base-1,3-oxazole-5-yl) ketone
[5-chloro-1-(4-benzyl chloride base)-2-(trifluoromethyl)-1H-indol-3-yl] (2-pyrimidine-4-base-1,3-oxazole-5-yl) ketone
[1-(4-benzyl chloride base)-2-(trifluoromethyl)-1H-indol-3-yl] (2-pyrimidine-4-base-1,3-oxazole-5-yl) ketone
[1-(2, the 4-dichloro benzyl)-5-methoxyl group-2-(trifluoromethyl)-1H-indol-3-yl] (2-pyrimidine-4-base-1,3-oxazole-5-yl) ketone
[1-(2, the 4-dichloro benzyl)-5-oxyethyl group-2-(trifluoromethyl)-1H-indol-3-yl] (2-pyrimidine-4-base-1,3-oxazole-5-yl) ketone
[1-(2, the 4-dichloro benzyl)-5-hydroxyl-2-(trifluoromethyl)-1H-indol-3-yl] (2-pyrimidine-4-base-1,3-oxazole-5-yl) ketone
[1-(2, the 4-dichloro benzyl)-5-methyl-2-(trifluoromethyl)-1H-indol-3-yl] (2-pyrimidine-4-base-1,3-oxazole-5-yl) ketone
[5-chloro-1-(2, the 4-dichloro benzyl)-2-(trifluoromethyl)-1H-indol-3-yl] (2-pyrimidine-4-base-1,3-oxazole-5-yl) ketone
[1-(2, the 4-dichloro benzyl)-2-(trifluoromethyl)-1H-indol-3-yl] (2-pyrimidine-4-base-1,3-oxazole-5-yl) ketone
[1-(4-benzyl chloride base)-5-methoxyl group-2-(trifluoromethyl)-1H-indol-3-yl] (5-phenyl-1,3-oxazole-2-yl) ketone
[1-(4-benzyl chloride base)-5-oxyethyl group-2-(trifluoromethyl)-1H-indol-3-yl] (5-phenyl-1,3-oxazole-2-yl) ketone
[1-(4-benzyl chloride base)-5-hydroxyl-2-(trifluoromethyl)-1H-indol-3-yl] (5-phenyl-1,3-oxazole-2-yl) ketone
[1-(4-benzyl chloride base)-5-methyl-2-(trifluoromethyl)-1H-indol-3-yl] (5-phenyl-1,3-oxazole-2-yl) ketone
[5-chloro-1-(4-benzyl chloride base)-2-(trifluoromethyl)-1H-indol-3-yl] (5-phenyl-1,3-oxazole-2-yl) ketone
[1-(4-benzyl chloride base)-2-(trifluoromethyl)-1H-indol-3-yl] (5-phenyl-1,3-oxazole-2-yl) ketone
[1-(2, the 4-dichloro benzyl)-5-methoxyl group-2-(trifluoromethyl)-1H-indol-3-yl] (5-phenyl-1,3-oxazole-2-yl) ketone
[1-(2, the 4-dichloro benzyl)-5-oxyethyl group-2-(trifluoromethyl)-1H-indol-3-yl] (5-phenyl-1,3-oxazole-2-yl) ketone
[1-(2, the 4-dichloro benzyl)-5-hydroxyl-2-(trifluoromethyl)-1H-indol-3-yl] (5-phenyl-1,3-oxazole-2-yl) ketone
[1-(2, the 4-dichloro benzyl)-5-methyl-2-(trifluoromethyl)-1H-indol-3-yl] (5-phenyl-1,3-oxazole-2-yl) ketone
[5-chloro-1-(2, the 4-dichloro benzyl)-2-(trifluoromethyl)-1H-indol-3-yl] (5-phenyl-1,3-oxazole-2-yl) ketone
[1-(2, the 4-dichloro benzyl)-2-(trifluoromethyl)-1H-indol-3-yl] (5-phenyl-1,3-oxazole-2-yl) ketone
[1-(4-benzyl chloride base)-5-methoxyl group-2-(trifluoromethyl)-1H-indol-3-yl] (5-pyridine-2-base-1,3-oxazole-2-yl) ketone
[1-(4-benzyl chloride base)-5-oxyethyl group-2-(trifluoromethyl)-1H-indol-3-yl] (5-pyridine-2-base-1,3-oxazole-2-yl) ketone
[1-(4-benzyl chloride base)-5-hydroxyl-2-(trifluoromethyl)-1H-indol-3-yl] (5-pyridine-2-base-1,3-oxazole-2-yl) ketone
[1-(4-benzyl chloride base)-5-methyl-2-(trifluoromethyl)-1H-indol-3-yl] (5-pyridine-2-base-1,3-oxazole-2-yl) ketone
[5-chloro-1-(4-benzyl chloride base)-2-(trifluoromethyl)-1H-indol-3-yl] (5-pyridine-2-base-1,3-oxazole-2-yl) ketone
[1-(4-benzyl chloride base)-2-(trifluoromethyl)-1H-indol-3-yl] (5-pyridine-2-base-1,3-oxazole-2-yl) ketone
[1-(2, the 4-dichloro benzyl)-5-methoxyl group-2-(trifluoromethyl)-1H-indol-3-yl] (5-pyridine-2-base-1,3-oxazole-2-yl) ketone
[1-(2, the 4-dichloro benzyl)-5-oxyethyl group-2-(trifluoromethyl)-1H-indol-3-yl] (5-pyridine-2-base-1,3-oxazole-2-yl) ketone
[1-(2, the 4-dichloro benzyl)-5-hydroxyl-2-(trifluoromethyl)-1H-indol-3-yl] (5-pyridine-2-base-1,3-oxazole-2-yl) ketone
[1-(2, the 4-dichloro benzyl)-5-methyl-2-(trifluoromethyl)-1H-indol-3-yl] (5-pyridine-2-base-1,3-oxazole-2-yl) ketone
[5-chloro-1-(2, the 4-dichloro benzyl)-2-(trifluoromethyl)-1H-indol-3-yl] (5-pyridine-2-base-1,3-oxazole-2-yl) ketone
[1-(2, the 4-dichloro benzyl)-2-(trifluoromethyl)-1H-indol-3-yl] (5-pyridine-2-base-1,3-oxazole-2-yl) ketone
[1-(4-benzyl chloride base)-5-methoxyl group-2-(trifluoromethyl)-1H-indol-3-yl] (5-pyridin-3-yl-1,3-oxazole-2-yl) ketone
[1-(4-benzyl chloride base)-5-oxyethyl group-2-(trifluoromethyl)-1H-indol-3-yl] (5-pyridin-3-yl-1,3-oxazole-2-yl) ketone
[1-(4-benzyl chloride base)-5-hydroxyl-2-(trifluoromethyl)-1H-indol-3-yl] (5-pyridin-3-yl-1,3-oxazole-2-yl) ketone
[1-(4-benzyl chloride base)-5-methyl-2-(trifluoromethyl)-1H-indol-3-yl] (5-pyridin-3-yl-1,3-oxazole-2-yl) ketone
[5-chloro-1-(4-benzyl chloride base)-2-(trifluoromethyl)-1H-indol-3-yl] (5-pyridin-3-yl-1,3-oxazole-2-yl) ketone
[1-(4-benzyl chloride base)-2-(trifluoromethyl)-1H-indol-3-yl] (5-pyridin-3-yl-1,3-oxazole-2-yl) ketone
[1-(2, the 4-dichloro benzyl)-5-methoxyl group-2-(trifluoromethyl)-1H-indol-3-yl] (5-pyridin-3-yl-1,3-oxazole-2-yl) ketone
[1-(2, the 4-dichloro benzyl)-5-oxyethyl group-2-(trifluoromethyl)-1H-indol-3-yl] (5-pyridin-3-yl-1,3-oxazole-2-yl) ketone
[1-(2, the 4-dichloro benzyl)-5-hydroxyl-2-(trifluoromethyl)-1H-indol-3-yl] (5-pyridin-3-yl-1,3-oxazole-2-yl) ketone
[1-(2, the 4-dichloro benzyl)-5-methyl-2-(trifluoromethyl)-1H-indol-3-yl] (5-pyridin-3-yl-1,3-oxazole-2-yl) ketone
[5-chloro-1-(2, the 4-dichloro benzyl)-2-(trifluoromethyl)-1H-indol-3-yl] (5-pyridin-3-yl-1,3-oxazole-2-yl) ketone
[1-(2, the 4-dichloro benzyl)-2-(trifluoromethyl)-1H-indol-3-yl] (5-pyridin-3-yl-1,3-oxazole-2-yl) ketone
[1-(4-benzyl chloride base)-5-methoxyl group-2-(trifluoromethyl)-1H-indol-3-yl] (5-pyridin-4-yl-1,3-oxazole-2-yl) ketone
[1-(4-benzyl chloride base)-5-oxyethyl group-2-(trifluoromethyl)-1H-indol-3-yl] (5-pyridin-4-yl-1,3-oxazole-2-yl) ketone
[1-(4-benzyl chloride base)-5-hydroxyl-2-(trifluoromethyl)-1H-indol-3-yl] (5-pyridin-4-yl-1,3-oxazole-2-yl) ketone
[1-(4-benzyl chloride base)-5-methyl-2-(trifluoromethyl)-1H-indol-3-yl] (5-pyridin-4-yl-1,3-oxazole-2-yl) ketone
[5-chloro-1-(4-benzyl chloride base)-2-(trifluoromethyl)-1H-indol-3-yl] (5-pyridin-4-yl-1,3-oxazole-2-yl) ketone
[1-(4-benzyl chloride base)-2-(trifluoromethyl)-1H-indol-3-yl] (5-pyridin-4-yl-1,3-oxazole-2-yl) ketone
[1-(2, the 4-dichloro benzyl)-5-methoxyl group-2-(trifluoromethyl)-1H-indol-3-yl] (5-pyridin-4-yl-1,3-oxazole-2-yl) ketone
[1-(2, the 4-dichloro benzyl)-5-oxyethyl group-2-(trifluoromethyl)-1H-indol-3-yl] (5-pyridin-4-yl-1,3-oxazole-2-yl) ketone
[1-(2, the 4-dichloro benzyl)-5-hydroxyl-2-(trifluoromethyl)-1H-indol-3-yl] (5-pyridin-4-yl-1,3-oxazole-2-yl) ketone
[1-(2, the 4-dichloro benzyl)-5-methyl-2-(trifluoromethyl)-1H-indol-3-yl] (5-pyridin-4-yl-1,3-oxazole-2-yl) ketone
[5-chloro-1-(2, the 4-dichloro benzyl)-2-(trifluoromethyl)-1H-indol-3-yl] (5-pyridin-4-yl-1,3-oxazole-2-yl) ketone
[1-(2, the 4-dichloro benzyl)-2-(trifluoromethyl)-1H-indol-3-yl] (5-pyridin-4-yl-1,3-oxazole-2-yl) ketone
[1-(4-benzyl chloride base)-5-methoxyl group-2-(trifluoromethyl)-1H-indol-3-yl] (5-pyrimidine-4-base-1,3-oxazole-2-yl) ketone
[1-(4-benzyl chloride base)-5-oxyethyl group-2-(trifluoromethyl)-1H-indol-3-yl] (5-pyrimidine-4-base-1,3-oxazole-2-yl) ketone
[1-(4-benzyl chloride base)-5-hydroxyl-2-(trifluoromethyl)-1H-indol-3-yl] (5-pyrimidine-4-base-1,3-oxazole-2-yl) ketone
[1-(4-benzyl chloride base)-5-methyl-2-(trifluoromethyl)-1H-indol-3-yl] (5-pyrimidine-4-base-1,3-oxazole-2-yl) ketone
[5-chloro-1-(4-benzyl chloride base)-2-(trifluoromethyl)-1H-indol-3-yl] (5-pyrimidine-4-base-1,3-oxazole-2-yl) ketone
[1-(4-benzyl chloride base)-2-(trifluoromethyl)-1H-indol-3-yl] (5-pyrimidine-4-base-1,3-oxazole-2-yl) ketone
[1-(2, the 4-dichloro benzyl)-5-methoxyl group-2-(trifluoromethyl)-1H-indol-3-yl] (5-pyrimidine-4-base-1,3-oxazole-2-yl) ketone
[1-(2, the 4-dichloro benzyl)-5-oxyethyl group-2-(trifluoromethyl)-1H-indol-3-yl] (5-pyrimidine-4-base-1,3-oxazole-2-yl) ketone
[1-(2, the 4-dichloro benzyl)-5-hydroxyl-2-(trifluoromethyl)-1H-indol-3-yl] (5-pyrimidine-4-base-1,3-oxazole-2-yl) ketone
[1-(2, the 4-dichloro benzyl)-5-methyl-2-(trifluoromethyl)-1H-indol-3-yl] (5-pyrimidine-4-base-1,3-oxazole-2-yl) ketone
[5-chloro-1-(2, the 4-dichloro benzyl)-2-(trifluoromethyl)-1H-indol-3-yl] (5-pyrimidine-4-base-1,3-oxazole-2-yl) ketone
[1-(2, the 4-dichloro benzyl)-2-(trifluoromethyl)-1H-indol-3-yl] (5-pyrimidine-4-base-1,3-oxazole-2-yl) ketone
[1-(4-benzyl chloride base)-5-methoxyl group-2-(chlorine)-1H-indol-3-yl] (3-pyridine-2-base-1,2,4-oxadiazole-5-yl) ketone
[1-(4-benzyl chloride base)-5-oxyethyl group-2-(chlorine)-1H-indol-3-yl] (3-pyridine-2-base-1,2,4-oxadiazole-5-yl) ketone
[1-(4-benzyl chloride base)-5-hydroxyl-2-(chlorine)-1H-indol-3-yl] (3-pyridine-2-base-1,2,4-oxadiazole-5-yl) ketone
[1-(4-benzyl chloride base)-5-methyl-2-(chlorine)-1H-indol-3-yl] (3-pyridine-2-base-1,2,4-oxadiazole-5-yl) ketone
[5-chloro-1-(4-benzyl chloride base)-2-(chlorine)-1H-indol-3-yl] (3-pyridine-2-base-1,2,4-oxadiazole-5-yl) ketone
[1-(4-benzyl chloride base)-2-(chlorine)-1H-indol-3-yl] (3-pyridine-2-base-1,2,4-oxadiazole-5-yl) ketone
[1-(2, the 4-dichloro benzyl)-5-methoxyl group-2-(chlorine)-1H-indol-3-yl] (3-pyridine-2-base-1,2,4-oxadiazole-5-yl) ketone
[1-(2, the 4-dichloro benzyl)-5-oxyethyl group-2-(chlorine)-1H-indol-3-yl] (3-pyridine-2-base-1,2,4-oxadiazole-5-yl) ketone
[1-(2, the 4-dichloro benzyl)-5-hydroxyl-2-(chlorine)-1H-indol-3-yl] (3-pyridine-2-base-1,2,4-oxadiazole-5-yl) ketone
[1-(2, the 4-dichloro benzyl)-5-methyl-2-(chlorine)-1H-indol-3-yl] (3-pyridine-2-base-1,2,4-oxadiazole-5-yl) ketone
[5-chloro-1-(2, the 4-dichloro benzyl)-2-(chlorine)-1H-indol-3-yl] (3-pyridine-2-base-1,2,4-oxadiazole-5-yl) ketone
[1-(2, the 4-dichloro benzyl)-2-(chlorine)-1H-indol-3-yl] (3-pyridine-2-base-1,2,4-oxadiazole-5-yl) ketone
[1-(4-benzyl chloride base)-5-methoxyl group-2-(chlorine)-1H-indol-3-yl] (3-pyridin-3-yl-1,2,4-oxadiazole-5-yl) ketone
[1-(4-benzyl chloride base)-5-oxyethyl group-2-(chlorine)-1H-indol-3-yl] (3-pyridin-3-yl-1,2,4-oxadiazole-5-yl) ketone
[1-(4-benzyl chloride base)-5-hydroxyl-2-(chlorine)-1H-indol-3-yl] (3-pyridin-3-yl-1,2,4-oxadiazole-5-yl) ketone
[1-(4-benzyl chloride base)-5-methyl-2-(chlorine)-1H-indol-3-yl] (3-pyridin-3-yl-1,2,4-oxadiazole-5-yl) ketone
[5-chloro-1-(4-benzyl chloride base)-2-(chlorine)-1H-indol-3-yl] (3-pyridin-3-yl-1,2,4-oxadiazole-5-yl) ketone
[1-(4-benzyl chloride base)-2-(chlorine)-1H-indol-3-yl] (3-pyridin-3-yl-1,2,4-oxadiazole-5-yl) ketone
[1-(2, the 4-dichloro benzyl)-5-methoxyl group-2-(chlorine)-1H-indol-3-yl] (3-pyridin-3-yl-1,2,4-oxadiazole-5-yl) ketone
[1-(2, the 4-dichloro benzyl)-5-oxyethyl group-2-(chlorine)-1H-indol-3-yl] (3-pyridin-3-yl-1,2,4-oxadiazole-5-yl) ketone
[1-(2, the 4-dichloro benzyl)-5-hydroxyl-2-(chlorine)-1H-indol-3-yl] (3-pyridin-3-yl-1,2,4-oxadiazole-5-yl) ketone
[1-(2, the 4-dichloro benzyl)-5-methyl-2-(chlorine)-1H-indol-3-yl] (3-pyridin-3-yl-1,2,4-oxadiazole-5-yl) ketone
[5-chloro-1-(2, the 4-dichloro benzyl)-2-(chlorine)-1H-indol-3-yl] (3-pyridin-3-yl-1,2,4-oxadiazole-5-yl) ketone
[1-(2, the 4-dichloro benzyl)-2-(chlorine)-1H-indol-3-yl] (3-pyridin-3-yl-1,2,4-oxadiazole-5-yl) ketone
[1-(4-benzyl chloride base)-5-methoxyl group-2-(chlorine)-1H-indol-3-yl] (3-pyridin-4-yl-1,2,4-oxadiazole-5-yl) ketone
[1-(4-benzyl chloride base)-5-oxyethyl group-2-(chlorine)-1H-indol-3-yl] (3-pyridin-4-yl-1,2,4-oxadiazole-5-yl) ketone
[1-(4-benzyl chloride base)-5-hydroxyl-2-(chlorine)-1H-indol-3-yl] (3-pyridin-4-yl-1,2,4-oxadiazole-5-yl) ketone
[1-(4-benzyl chloride base)-5-methyl-2-(chlorine)-1H-indol-3-yl] (3-pyridin-4-yl-1,2,4-oxadiazole-5-yl) ketone
[5-chloro-1-(4-benzyl chloride base)-2-(chlorine)-1H-indol-3-yl] (3-pyridin-4-yl-1,2,4-oxadiazole-5-yl) ketone
[1-(4-benzyl chloride base)-2-(chlorine)-1H-indol-3-yl] (3-pyridin-4-yl-1,2,4-oxadiazole-5-yl) ketone
[1-(2, the 4-dichloro benzyl)-5-methoxyl group-2-(chlorine)-1H-indol-3-yl] (3-pyridin-4-yl-1,2,4-oxadiazole-5-yl) ketone
[1-(2, the 4-dichloro benzyl)-5-oxyethyl group-2-(chlorine)-1H-indol-3-yl] (3-pyridin-4-yl-1,2,4-oxadiazole-5-yl) ketone
[1-(2, the 4-dichloro benzyl)-5-hydroxyl-2-(chlorine)-1H-indol-3-yl] (3-pyridin-4-yl-1,2,4-oxadiazole-5-yl) ketone
[1-(2, the 4-dichloro benzyl)-5-methyl-2-(chlorine)-1H-indol-3-yl] (3-pyridin-4-yl-1,2,4-oxadiazole-5-yl) ketone
[5-chloro-1-(2, the 4-dichloro benzyl)-2-(chlorine)-1H-indol-3-yl] (3-pyridin-4-yl-1,2,4-oxadiazole-5-yl) ketone
[1-(2, the 4-dichloro benzyl)-2-(chlorine)-1H-indol-3-yl] (3-pyridin-4-yl-1,2,4-oxadiazole-5-yl) ketone
[1-(4-benzyl chloride base)-5-methoxyl group-2-(chlorine)-1H-indol-3-yl] (3-pyrimidine-4-base-1,2,4-oxadiazole-5-yl) ketone
[1-(4-benzyl chloride base)-5-oxyethyl group-2-(chlorine)-1H-indol-3-yl] (3-pyrimidine-4-base-1,2,4-oxadiazole-5-yl) ketone
[1-(4-benzyl chloride base)-5-hydroxyl-2-(chlorine)-1H-indol-3-yl] (3-pyrimidine-4-base-1,2,4-oxadiazole-5-yl) ketone
[1-(4-benzyl chloride base)-5-methyl-2-(chlorine)-1H-indol-3-yl] (3-pyrimidine-4-base-1,2,4-oxadiazole-5-yl) ketone
[5-chloro-1-(4-benzyl chloride base)-2-(chlorine)-1H-indol-3-yl] (3-pyrimidine-4-base-1,2,4-oxadiazole-5-yl) ketone
[1-(4-benzyl chloride base)-2-(chlorine)-1H-indol-3-yl] (3-pyrimidine-4-base-1,2,4-oxadiazole-5-yl) ketone
[1-(2, the 4-dichloro benzyl)-5-methoxyl group-2-(chlorine)-1H-indol-3-yl] (3-pyrimidine-4-base-1,2,4-oxadiazole-5-yl) ketone
[1-(2, the 4-dichloro benzyl)-5-oxyethyl group-2-(chlorine)-1H-indol-3-yl] (3-pyrimidine-4-base-1,2,4-oxadiazole-5-yl) ketone
[1-(2, the 4-dichloro benzyl)-5-hydroxyl-2-(chlorine)-1H-indol-3-yl] (3-pyrimidine-4-base-1,2,4-oxadiazole-5-yl) ketone
[1-(2, the 4-dichloro benzyl)-5-methyl-2-(chlorine)-1H-indol-3-yl] (3-pyrimidine-4-base-1,2,4-oxadiazole-5-yl) ketone
[5-chloro-1-(2, the 4-dichloro benzyl)-2-(chlorine)-1H-indol-3-yl] (3-pyrimidine-4-base-1,2,4-oxadiazole-5-yl) ketone
[1-(2, the 4-dichloro benzyl)-2-(chlorine)-1H-indol-3-yl] (3-pyrimidine-4-base-1,2,4-oxadiazole-5-yl) ketone
[1-(4-benzyl chloride base)-5-methoxyl group-2-(chlorine)-1H-indol-3-yl] (5-phenyl-1,2,4-oxadiazole-3-yl) ketone
[1-(4-benzyl chloride base)-5-oxyethyl group-2-(chlorine)-1H-indol-3-yl] (5-phenyl-1,2,4-oxadiazole-3-yl) ketone
[1-(4-benzyl chloride base)-5-hydroxyl-2-(chlorine)-1H-indol-3-yl] (5-phenyl-1,2,4-oxadiazole-3-yl) ketone
[1-(4-benzyl chloride base)-5-methyl-2-(chlorine)-1H-indol-3-yl] (5-phenyl-1,2,4-oxadiazole-3-yl) ketone
[5-chloro-1-(4-benzyl chloride base)-2-(chlorine)-1H-indol-3-yl] (5-phenyl-1,2,4-oxadiazole-3-yl) ketone
[1-(4-benzyl chloride base)-2-(chlorine)-1H-indol-3-yl] (5-phenyl-1,2,4-oxadiazole-3-yl) ketone
[1-(2, the 4-dichloro benzyl)-5-methoxyl group-2-(chlorine)-1H-indol-3-yl] (5-phenyl-1,2,4-oxadiazole-3-yl) ketone
[1-(2, the 4-dichloro benzyl)-5-oxyethyl group-2-(chlorine)-1H-indol-3-yl] (5-phenyl-1,2,4-oxadiazole-3-yl) ketone
[1-(2, the 4-dichloro benzyl)-5-hydroxyl-2-(chlorine)-1H-indol-3-yl] (5-phenyl-1,2,4-oxadiazole-3-yl) ketone
[1-(2, the 4-dichloro benzyl)-5-methyl-2-(chlorine)-1H-indol-3-yl] (5-phenyl-1,2,4-oxadiazole-3-yl) ketone
[5-chloro-1-(2, the 4-dichloro benzyl)-2-(chlorine)-1H-indol-3-yl] (5-phenyl-1,2,4-oxadiazole-3-yl) ketone
[1-(2, the 4-dichloro benzyl)-2-(chlorine)-1H-indol-3-yl] (5-phenyl-1,2,4-oxadiazole-3-yl) ketone
[1-(4-benzyl chloride base)-5-methoxyl group-2-(chlorine)-1H-indol-3-yl] (5-pyridine-2-base-1,2,4-oxadiazole-3-yl) ketone
[1-(4-benzyl chloride base)-5-oxyethyl group-2-(chlorine)-1H-indol-3-yl] (5-pyridine-2-base-1,2,4-oxadiazole-3-yl) ketone
[1-(4-benzyl chloride base)-5-hydroxyl-2-(chlorine)-1H-indol-3-yl] (5-pyridine-2-base-1,2,4-oxadiazole-3-yl) ketone
[1-(4-benzyl chloride base)-5-methyl-2-(chlorine)-1H-indol-3-yl] (5-pyridine-2-base-1,2,4-oxadiazole-3-yl) ketone
[5-chloro-1-(4-benzyl chloride base)-2-(chlorine)-1H-indol-3-yl] (5-pyridine-2-base-1,2,4-oxadiazole-3-yl) ketone
[1-(4-benzyl chloride base)-2-(chlorine)-1H-indol-3-yl] (5-pyridine-2-base-1,2,4-oxadiazole-3-yl) ketone
[1-(2, the 4-dichloro benzyl)-5-methoxyl group-2-(chlorine)-1H-indol-3-yl] (5-pyridine-2-base-1,2,4-oxadiazole-3-yl) ketone
[1-(2, the 4-dichloro benzyl)-5-oxyethyl group-2-(chlorine)-1H-indol-3-yl] (5-pyridine-2-base-1,2,4-oxadiazole-3-yl) ketone
[1-(2, the 4-dichloro benzyl)-5-hydroxyl-2-(chlorine)-1H-indol-3-yl] (5-pyridine-2-base-1,2,4-oxadiazole-3-yl) ketone
[1-(2, the 4-dichloro benzyl)-5-methyl-2-(chlorine)-1H-indol-3-yl] (5-pyridine-2-base-1,2,4-oxadiazole-3-yl) ketone
[5-chloro-1-(2, the 4-dichloro benzyl)-2-(chlorine)-1H-indol-3-yl] (5-pyridine-2-base-1,2,4-oxadiazole-3-yl) ketone
[1-(2, the 4-dichloro benzyl)-2-(chlorine)-1H-indol-3-yl] (5-pyridine-2-base-1,2,4-oxadiazole-3-yl) ketone
[1-(4-benzyl chloride base)-5-methoxyl group-2-(chlorine)-1H-indol-3-yl] (5-pyridin-3-yl-1,2,4-oxadiazole-3-yl) ketone
[1-(4-benzyl chloride base)-5-oxyethyl group-2-(chlorine)-1H-indol-3-yl] (5-pyridin-3-yl-1,2,4-oxadiazole-3-yl) ketone
[5-chloro-1-(4-benzyl chloride base)-2-(chlorine)-1H-indol-3-yl] (5-pyridin-3-yl-1,2,4-oxadiazole-3-yl) ketone
[1-(4-benzyl chloride base)-2-(chlorine)-1H-indol-3-yl] (5-pyridin-3-yl-1,2,4-oxadiazole-3-yl) ketone
[1-(2, the 4-dichloro benzyl)-5-methoxyl group-2-(chlorine)-1H-indol-3-yl] (5-pyridin-3-yl-1,2,4-oxadiazole-3-yl) ketone
[1-(2, the 4-dichloro benzyl)-5-oxyethyl group-2-(chlorine)-1H-indol-3-yl] (5-pyridin-3-yl-1,2,4-oxadiazole-3-yl) ketone
[1-(2, the 4-dichloro benzyl)-5-hydroxyl-2-(chlorine)-1H-indol-3-yl] (5-pyridin-3-yl-1,2,4-oxadiazole-3-yl) ketone
[1-(2, the 4-dichloro benzyl)-5-methyl-2-(chlorine)-1H-indol-3-yl] (5-pyridin-3-yl-1,2,4-oxadiazole-3-yl) ketone
[5-chloro-1-(2, the 4-dichloro benzyl)-2-(chlorine)-1H-indol-3-yl] (5-pyridin-3-yl-1,2,4-oxadiazole-3-yl) ketone
[1-(2, the 4-dichloro benzyl)-2-(chlorine)-1H-indol-3-yl] (5-pyridin-3-yl-1,2,4-oxadiazole-3-yl) ketone
[1-(4-benzyl chloride base)-5-methoxyl group-2-(chlorine)-1H-indol-3-yl] (5-pyridin-4-yl-1,2,4-oxadiazole-3-yl) ketone
[1-(4-benzyl chloride base)-5-oxyethyl group-2-(chlorine)-1H-indol-3-yl] (5-pyridin-4-yl-1,2,4-oxadiazole-3-yl) ketone
[1-(4-benzyl chloride base)-5-hydroxyl-2-(chlorine)-1H-indol-3-yl] (5-pyridin-4-yl-1,2,4-oxadiazole-3-yl) ketone
[1-(4-benzyl chloride base)-5-methyl-2-(chlorine)-1H-indol-3-yl] (5-pyridin-4-yl-1,2,4-oxadiazole-3-yl) ketone
[5-chloro-1-(4-benzyl chloride base)-2-(chlorine)-1H-indol-3-yl] (5-pyridin-4-yl-1,2,4-oxadiazole-3-yl) ketone
[1-(4-benzyl chloride base)-2-(chlorine)-1H-indol-3-yl] (5-pyridin-4-yl-1,2,4-oxadiazole-3-yl) ketone
[1-(2, the 4-dichloro benzyl)-5-methoxyl group-2-(chlorine)-1H-indol-3-yl] (5-pyridin-4-yl-1,2,4-oxadiazole-3-yl) ketone
[1-(2, the 4-dichloro benzyl)-5-oxyethyl group-2-(chlorine)-1H-indol-3-yl] (5-pyridin-4-yl-1,2,4-oxadiazole-3-yl) ketone
[1-(2, the 4-dichloro benzyl)-5-hydroxyl-2-(chlorine)-1H-indol-3-yl] (5-pyridin-4-yl-1,2,4-oxadiazole-3-yl) ketone
[1-(2, the 4-dichloro benzyl)-5-methyl-2-(chlorine)-1H-indol-3-yl] (5-pyridin-4-yl-1,2,4-oxadiazole-3-yl) ketone
[5-chloro-1-(2, the 4-dichloro benzyl)-2-(chlorine)-1H-indol-3-yl] (5-pyridin-4-yl-1,2,4-oxadiazole-3-yl) ketone
[1-(2, the 4-dichloro benzyl)-2-(chlorine)-1H-indol-3-yl] (5-pyridin-4-yl-1,2,4-oxadiazole-3-yl) ketone
[1-(4-benzyl chloride base)-5-methoxyl group-2-(chlorine)-1H-indol-3-yl] (5-pyrimidine-4-base-1,2,4-oxadiazole-3-yl) ketone
[1-(4-benzyl chloride base)-5-oxyethyl group-2-(chlorine)-1H-indol-3-yl] (5-pyrimidine-4-base-1,2,4-oxadiazole-3-yl) ketone
[1-(4-benzyl chloride base)-5-hydroxyl-2-(chlorine)-1H-indol-3-yl] (5-pyrimidine-4-base-1,2,4-oxadiazole-3-yl) ketone
[1-(4-benzyl chloride base)-5-methyl-2-(chlorine)-1H-indol-3-yl] (5-pyrimidine-4-base-1,2,4-oxadiazole-3-yl) ketone
[5-chloro-1-(4-benzyl chloride base)-2-(chlorine)-1H-indol-3-yl] (5-pyrimidine-4-base-1,2,4-oxadiazole-3-yl) ketone
[1-(4-benzyl chloride base)-2-(chlorine)-1H-indol-3-yl] (5-pyrimidine-4-base-1,2,4-oxadiazole-3-yl) ketone
[1-(2, the 4-dichloro benzyl)-5-methoxyl group-2-(chlorine)-1H-indol-3-yl] (5-pyrimidine-4-base-1,2,4-oxadiazole-3-yl) ketone
[1-(2, the 4-dichloro benzyl)-5-oxyethyl group-2-(chlorine)-1H-indol-3-yl] (5-pyrimidine-4-base-1,2,4-oxadiazole-3-yl) ketone
[1-(2, the 4-dichloro benzyl)-5-hydroxyl-2-(chlorine)-1H-indol-3-yl] (5-pyrimidine-4-base-1,2,4-oxadiazole-3-yl) ketone
[1-(2, the 4-dichloro benzyl)-5-methyl-2-(chlorine)-1H-indol-3-yl] (5-pyrimidine-4-base-1,2,4-oxadiazole-3-yl) ketone
[5-chloro-1-(2, the 4-dichloro benzyl)-2-(chlorine)-1H-indol-3-yl] (5-pyrimidine-4-base-1,2,4-oxadiazole-3-yl) ketone
[1-(2, the 4-dichloro benzyl)-2-(chlorine)-1H-indol-3-yl] (5-pyrimidine-4-base-1,2,4-oxadiazole-3-yl) ketone
[1-(4-benzyl chloride base)-5-methoxyl group-2-(chlorine)-1H-indol-3-yl] (5-phenyl-1,3,4-oxadiazole-2-yl) ketone
[1-(4-benzyl chloride base)-5-oxyethyl group-2-(chlorine)-1H-indol-3-yl] (5-phenyl-1,3,4-oxadiazole-2-yl) ketone
[1-(4-benzyl chloride base)-5-hydroxyl-2-(chlorine)-1H-indol-3-yl] (5-phenyl-1,3,4-oxadiazole-2-yl) ketone
[1-(4-benzyl chloride base)-5-methyl-2-(chlorine)-1H-indol-3-yl] (5-phenyl-1,3,4-oxadiazole-2-yl) ketone
[5-chloro-1-(4-benzyl chloride base)-2-(chlorine)-1H-indol-3-yl] (5-phenyl-1,3,4-oxadiazole-2-yl) ketone
[1-(4-benzyl chloride base)-2-(chlorine)-1H-indol-3-yl] (5-phenyl-1,3,4-oxadiazole-2-yl) ketone
[1-(2, the 4-dichloro benzyl)-5-methoxyl group-2-(chlorine)-1H-indol-3-yl] (5-phenyl-1,3,4-oxadiazole-2-yl) ketone
[1-(2, the 4-dichloro benzyl)-5-oxyethyl group-2-(chlorine)-1H-indol-3-yl] (5-phenyl-1,3,4-oxadiazole-2-yl) ketone
[1-(2, the 4-dichloro benzyl)-5-methyl-2-(chlorine)-1H-indol-3-yl] (5-phenyl-1,3,4-oxadiazole-2-yl) ketone
[5-chloro-1-(2, the 4-dichloro benzyl)-2-(chlorine)-1H-indol-3-yl] (5-phenyl-1,3,4-oxadiazole-2-yl) ketone
[1-(2, the 4-dichloro benzyl)-2-(chlorine)-1H-indol-3-yl] (5-phenyl-1,3,4-oxadiazole-2-yl) ketone
[1-(2, the 4-dichloro benzyl)-2-(chlorine)-1H-indol-3-yl] (5-phenyl-1,3,4-oxadiazole-2-yl) ketone
[1-(4-benzyl chloride base)-5-oxyethyl group-2-(chlorine)-1H-indol-3-yl] (5-pyridine-2-base-1,3,4-oxadiazole-2-yl) ketone
[1-(4-benzyl chloride base)-5-hydroxyl-2-(chlorine)-1H-indol-3-yl] (5-pyridine-2-base-1,3,4-oxadiazole-2-yl) ketone
[1-(4-benzyl chloride base)-5-methyl-2-(chlorine)-1H-indol-3-yl] (5-pyridine-2-base-1,3,4-oxadiazole-2-yl) ketone
[5-chloro-1-(4-benzyl chloride base)-2-(chlorine)-1H-indol-3-yl] (5-pyridine-2-base-1,3,4-oxadiazole-2-yl) ketone
[1-(4-benzyl chloride base)-2-(chlorine)-1H-indol-3-yl] (5-pyridine-2-base-1,3,4-oxadiazole-2-yl) ketone
[1-(2, the 4-dichloro benzyl)-5-methoxyl group-2-(chlorine)-1H-indol-3-yl] (5-pyridine-2-base-1,3,4-oxadiazole-2-yl) ketone
[1-(2, the 4-dichloro benzyl)-5-oxyethyl group-2-(chlorine)-1H-indol-3-yl] (5-pyridine-2-base-1,3,4-oxadiazole-2-yl) ketone
[1-(2, the 4-dichloro benzyl)-5-hydroxyl-2-(chlorine)-1H-indol-3-yl] (5-pyridine-2-base-1,3,4-oxadiazole-2-yl) ketone
[1-(2, the 4-dichloro benzyl)-5-methyl-2-(chlorine)-1H-indol-3-yl] (5-pyridine-2-base-1,3,4-oxadiazole-2-yl) ketone
[5-chloro-1-(2, the 4-dichloro benzyl)-2-(chlorine)-1H-indol-3-yl] (5-pyridine-2-base-1,3,4-oxadiazole-2-yl) ketone
[1-(4-benzyl chloride base)-5-oxyethyl group-2-(chlorine)-1H-indol-3-yl] (5-pyridin-3-yl-1,3,4-oxadiazole-2-yl) ketone
[1-(4-benzyl chloride base)-5-hydroxyl-2-(chlorine)-1H-indol-3-yl] (5-pyridin-3-yl-1,3,4-oxadiazole-2-yl) ketone
[1-(4-benzyl chloride base)-5-methyl-2-(chlorine)-1H-indol-3-yl] (5-pyridin-3-yl-1,3,4-oxadiazole-2-yl) ketone
[5-chloro-1-(4-benzyl chloride base)-2-(chlorine)-1H-indol-3-yl] (5-pyridin-3-yl-1,3,4-oxadiazole-2-yl) ketone
[1-(4-benzyl chloride base)-2-(chlorine)-1H-indol-3-yl] (5-pyridin-3-yl-1,3,4-oxadiazole-2-yl) ketone
[1-(2, the 4-dichloro benzyl)-5-methoxyl group-2-(chlorine)-1H-indol-3-yl] (5-pyridin-3-yl-1,3,4-oxadiazole-2-yl) ketone
[1-(2, the 4-dichloro benzyl)-5-oxyethyl group-2-(chlorine)-1H-indol-3-yl] (5-pyridin-3-yl-1,3,4-oxadiazole-2-yl) ketone
[1-(2, the 4-dichloro benzyl)-5-methyl-2-(chlorine)-1H-indol-3-yl] (5-pyridin-3-yl-1,3,4-oxadiazole-2-yl) ketone
[5-chloro-1-(2, the 4-dichloro benzyl)-2-(chlorine)-1H-indol-3-yl] (5-pyridin-3-yl-1,3,4-oxadiazole-2-yl) ketone
[1-(2, the 4-dichloro benzyl)-2-(chlorine)-1H-indol-3-yl] (5-pyridin-3-yl-1,3,4-oxadiazole-2-yl) ketone
[1-(4-benzyl chloride base)-5-methoxyl group-2-(chlorine)-1H-indol-3-yl] (5-pyridin-4-yl-1,3,4-oxadiazole-2-yl) ketone
[1-(4-benzyl chloride base)-5-oxyethyl group-2-(chlorine)-1H-indol-3-yl] (5-pyridin-4-yl-1,3,4-oxadiazole-2-yl) ketone
[1-(4-benzyl chloride base)-5-hydroxyl-2-(chlorine)-1H-indol-3-yl] (5-pyridin-4-yl-1,3,4-oxadiazole-2-yl) ketone
[1-(4-benzyl chloride base)-5-methyl-2-(chlorine)-1H-indol-3-yl] (5-pyridin-4-yl-1,3,4-oxadiazole-2-yl) ketone
[5-chloro-1-(4-benzyl chloride base)-2-(chlorine)-1H-indol-3-yl] (5-pyridin-4-yl-1,3,4-oxadiazole-2-yl) ketone
[1-(4-benzyl chloride base)-2-(chlorine)-1H-indol-3-yl] (5-pyridin-4-yl-1,3,4-oxadiazole-2-yl) ketone
[1-(2, the 4-dichloro benzyl)-5-methoxyl group-2-(chlorine)-1H-indol-3-yl] (5-pyridin-4-yl-1,3,4-oxadiazole-2-yl) ketone
[1-(2, the 4-dichloro benzyl)-5-oxyethyl group-2-(chlorine)-1H-indol-3-yl] (5-pyridin-4-yl-1,3,4-oxadiazole-2-yl) ketone
[1-(2, the 4-dichloro benzyl)-5-hydroxyl-2-(chlorine)-1H-indol-3-yl] (5-pyridin-4-yl-1,3,4-oxadiazole-2-yl) ketone
[1-(2, the 4-dichloro benzyl)-5-methyl-2-(chlorine)-1H-indol-3-yl] (5-pyridin-4-yl-1,3,4-oxadiazole-2-yl) ketone
[5-chloro-1-(2, the 4-dichloro benzyl)-2-(chlorine)-1H-indol-3-yl] (5-pyridin-4-yl-1,3,4-oxadiazole-2-yl) ketone
[1-(2, the 4-dichloro benzyl)-2-(chlorine)-1H-indol-3-yl] (5-pyridin-4-yl-1,3,4-oxadiazole-2-yl) ketone
[1-(4-benzyl chloride base)-5-methoxyl group-2-(chlorine)-1H-indol-3-yl] (5-pyrimidine-4-base-1,3,4-oxadiazole-2-yl) ketone
[1-(4-benzyl chloride base)-5-oxyethyl group-2-(chlorine)-1H-indol-3-yl] (5-pyrimidine-4-base-1,3,4-oxadiazole-2-yl) ketone
[1-(4-benzyl chloride base)-5-hydroxyl-2-(chlorine)-1H-indol-3-yl] (5-pyrimidine-4-base-1,3,4-oxadiazole-2-yl) ketone
[1-(4-benzyl chloride base)-5-methyl-2-(chlorine)-1H-indol-3-yl] (5-pyrimidine-4-base-1,3,4-oxadiazole-2-yl) ketone
[5-chloro-1-(4-benzyl chloride base)-2-(chlorine)-1H-indol-3-yl] (5-pyrimidine-4-base-1,3,4-oxadiazole-2-yl) ketone
[1-(4-benzyl chloride base)-2-(chlorine)-1H-indol-3-yl] (5-pyrimidine-4-base-1,3,4-oxadiazole-2-yl) ketone
[1-(2, the 4-dichloro benzyl)-5-methoxyl group-2-(chlorine)-1H-indol-3-yl] (5-pyrimidine-4-base-1,3,4-oxadiazole-2-yl) ketone
[1-(2, the 4-dichloro benzyl)-5-oxyethyl group-2-(chlorine)-1H-indol-3-yl] (5-pyrimidine-4-base-1,3,4-oxadiazole-2-yl) ketone
[1-(2, the 4-dichloro benzyl)-5-hydroxyl-2-(chlorine)-1H-indol-3-yl] (5-pyrimidine-4-base-1,3,4-oxadiazole-2-yl) ketone
[1-(2, the 4-dichloro benzyl)-5-methyl-2-(chlorine)-1H-indol-3-yl] (5-pyrimidine-4-base-1,3,4-oxadiazole-2-yl) ketone
[5-chloro-1-(2, the 4-dichloro benzyl)-2-(chlorine)-1H-indol-3-yl] (5-pyrimidine-4-base-1,3,4-oxadiazole-2-yl) ketone
[1-(2, the 4-dichloro benzyl)-2-(chlorine)-1H-indol-3-yl] (5-pyrimidine-4-base-1,3,4-oxadiazole-2-yl) ketone
[1-(4-benzyl chloride base)-5-methoxyl group-2-(chlorine)-1H-indol-3-yl] (2-phenyl-1,3-oxazole-5-yl) ketone
[1-(4-benzyl chloride base)-5-oxyethyl group-2-(chlorine)-1H-indol-3-yl] (2-phenyl-1,3-oxazole-5-yl) ketone
[1-(4-benzyl chloride base)-5-hydroxyl-2-(chlorine)-1H-indol-3-yl] (2-phenyl-1,3-oxazole-5-yl) ketone
[1-(4-benzyl chloride base)-5-methyl-2-(chlorine)-1H-indol-3-yl] (2-phenyl-1,3-oxazole-5-yl) ketone
[5-chloro-1-(4-benzyl chloride base)-2-(chlorine)-1H-indol-3-yl] (2-phenyl-1,3-oxazole-5-yl) ketone
[1-(4-benzyl chloride base)-2-(chlorine)-1H-indol-3-yl] (2-phenyl-1,3-oxazole-5-yl) ketone
[1-(2, the 4-dichloro benzyl)-5-methoxyl group-2-(chlorine)-1H-indol-3-yl] (2-phenyl-1,3-oxazole-5-yl) ketone
[1-(2, the 4-dichloro benzyl)-5-oxyethyl group-2-(chlorine)-1H-indol-3-yl] (2-phenyl-1,3-oxazole-5-yl) ketone
[1-(2, the 4-dichloro benzyl)-5-hydroxyl-2-(chlorine)-1H-indol-3-yl] (2-phenyl-1,3-oxazole-5-yl) ketone
[1-(2, the 4-dichloro benzyl)-5-methyl-2-(chlorine)-1H-indol-3-yl] (2-phenyl-1,3-oxazole-5-yl) ketone
[5-chloro-1-(2, the 4-dichloro benzyl)-2-(chlorine)-1H-indol-3-yl] (2-phenyl-1,3-oxazole-5-yl) ketone
[1-(2, the 4-dichloro benzyl)-2-(chlorine)-1H-indol-3-yl] (2-phenyl-1,3-oxazole-5-yl) ketone
[1-(4-benzyl chloride base)-5-methoxyl group-2-(chlorine)-1H-indol-3-yl] (2-pyridine-2-base-1,3-oxazole-5-yl) ketone
[1-(4-benzyl chloride base)-5-oxyethyl group-2-(chlorine)-1H-indol-3-yl] (2-pyridine-2-base-1,3-oxazole-5-yl) ketone
[1-(4-benzyl chloride base)-5-hydroxyl-2-(chlorine)-1H-indol-3-yl] (2-pyridine-2-base-1,3-oxazole-5-yl) ketone
[1-(4-benzyl chloride base)-5-methyl-2-(chlorine)-1H-indol-3-yl] (2-pyridine-2-base-1,3-oxazole-5-yl) ketone
[5-chloro-1-(4-benzyl chloride base)-2-(chlorine)-1H-indol-3-yl] (2-pyridine-2-base-1,3-oxazole-5-yl) ketone
[1-(4-benzyl chloride base)-2-(chlorine)-1H-indol-3-yl] (2-pyridine-2-base-1,3-oxazole-5-yl) ketone
[1-(2, the 4-dichloro benzyl)-5-methoxyl group-2-(chlorine)-1H-indol-3-yl] (2-pyridine-2-base-1,3-oxazole-5-yl) ketone
[1-(2, the 4-dichloro benzyl)-5-oxyethyl group-2-(chlorine)-1H-indol-3-yl] (2-pyridine-2-base-1,3-oxazole-5-yl) ketone
[1-(2, the 4-dichloro benzyl)-5-hydroxyl-2-(chlorine)-1H-indol-3-yl] (2-pyridine-2-base-1,3-oxazole-5-yl) ketone
[1-(2, the 4-dichloro benzyl)-5-methyl-2-(chlorine)-1H-indol-3-yl] (2-pyridine-2-base-1,3-oxazole-5-yl) ketone
[5-chloro-1-(2, the 4-dichloro benzyl)-2-(chlorine)-1H-indol-3-yl] (2-pyridine-2-base-1,3-oxazole-5-yl) ketone
[1-(2, the 4-dichloro benzyl)-2-(chlorine)-1H-indol-3-yl] (2-pyridine-2-base-1,3-oxazole-5-yl) ketone
[1-(4-benzyl chloride base)-5-methoxyl group-2-(chlorine)-1H-indol-3-yl] (2-pyridin-3-yl-1,3-oxazole-5-yl) ketone
[1-(4-benzyl chloride base)-5-oxyethyl group-2-(chlorine)-1H-indol-3-yl] (2-pyridin-3-yl-1,3-oxazole-5-yl) ketone
[1-(4-benzyl chloride base)-5-hydroxyl-2-(chlorine)-1H-indol-3-yl] (2-pyridin-3-yl-1,3-oxazole-5-yl) ketone
[1-(4-benzyl chloride base)-5-methyl-2-(chlorine)-1H-indol-3-yl] (2-pyridin-3-yl-1,3-oxazole-5-yl) ketone
[5-chloro-1-(4-benzyl chloride base)-2-(chlorine)-1H-indol-3-yl] (2-pyridin-3-yl-1,3-oxazole-5-yl) ketone
[1-(4-benzyl chloride base)-2-(chlorine)-1H-indol-3-yl] (2-pyridin-3-yl-1,3-oxazole-5-yl) ketone
[1-(2, the 4-dichloro benzyl)-5-methoxyl group-2-(chlorine)-1H-indol-3-yl] (2-pyridin-3-yl-1,3-oxazole-5-yl) ketone
[1-(2, the 4-dichloro benzyl)-5-oxyethyl group-2-(chlorine)-1H-indol-3-yl] (2-pyridin-3-yl-1,3-oxazole-5-yl) ketone
[1-(2, the 4-dichloro benzyl)-5-hydroxyl-2-(chlorine)-1H-indol-3-yl] (2-pyridin-3-yl-1,3-oxazole-5-yl) ketone
[1-(2, the 4-dichloro benzyl)-5-methyl-2-(chlorine)-1H-indol-3-yl] (2-pyridin-3-yl-1,3-oxazole-5-yl) ketone
[5-chloro-1-(2, the 4-dichloro benzyl)-2-(chlorine)-1H-indol-3-yl] (2-pyridin-3-yl-1,3-oxazole-5-yl) ketone
[1-(2, the 4-dichloro benzyl)-2-(chlorine)-1H-indol-3-yl] (2-pyridin-3-yl-1,3-oxazole-5-yl) ketone
[1-(4-benzyl chloride base)-5-methoxyl group-2-(chlorine)-1H-indol-3-yl] (2-pyridin-4-yl-1,3-oxazole-5-yl) ketone
[1-(4-benzyl chloride base)-5-oxyethyl group-2-(chlorine)-1H-indol-3-yl] (2-pyridin-4-yl-1,3-oxazole-5-yl) ketone
[1-(4-benzyl chloride base)-5-hydroxyl-2-(chlorine)-1H-indol-3-yl] (2-pyridin-4-yl-1,3-oxazole-5-yl) ketone
[1-(4-benzyl chloride base)-5-methyl-2-(chlorine)-1H-indol-3-yl] (2-pyridin-4-yl-1,3-oxazole-5-yl) ketone
[5-chloro-1-(4-benzyl chloride base)-2-(chlorine)-1H-indol-3-yl] (2-pyridin-4-yl-1,3-oxazole-5-yl) ketone
[1-(4-benzyl chloride base)-2-(chlorine)-1H-indol-3-yl] (2-pyridin-4-yl-1,3-oxazole-5-yl) ketone
[1-(2, the 4-dichloro benzyl)-5-methoxyl group-2-(chlorine)-1H-indol-3-yl] (2-pyridin-4-yl-1,3-oxazole-5-yl) ketone
[1-(2, the 4-dichloro benzyl)-5-oxyethyl group-2-(chlorine)-1H-indol-3-yl] (2-pyridin-4-yl-1,3-oxazole-5-yl) ketone
[1-(2, the 4-dichloro benzyl)-5-hydroxyl-2-(chlorine)-1H-indol-3-yl] (2-pyridin-4-yl-1,3-oxazole-5-yl) ketone
[1-(2, the 4-dichloro benzyl)-5-methyl-2-(chlorine)-1H-indol-3-yl] (2-pyridin-4-yl-1,3-oxazole-5-yl) ketone
[5-chloro-1-(2, the 4-dichloro benzyl)-2-(chlorine)-1H-indol-3-yl] (2-pyridin-4-yl-1,3-oxazole-5-yl) ketone
[1-(2, the 4-dichloro benzyl)-2-(chlorine)-1H-indol-3-yl] (2-pyridin-4-yl-1,3-oxazole-5-yl) ketone
[1-(4-benzyl chloride base)-5-methoxyl group-2-(chlorine)-1H-indol-3-yl] (2-pyrimidine-4-base-1,3-oxazole-5-yl) ketone
[1-(4-benzyl chloride base)-5-oxyethyl group-2-(chlorine)-1H-indol-3-yl] (2-pyrimidine-4-base-1,3-oxazole-5-yl) ketone
[1-(4-benzyl chloride base)-5-hydroxyl-2-(chlorine)-1H-indol-3-yl] (2-pyrimidine-4-base-1,3-oxazole-5-yl) ketone
[1-(4-benzyl chloride base)-5-methyl-2-(chlorine)-1H-indol-3-yl] (2-pyrimidine-4-base-1,3-oxazole-5-yl) ketone
[5-chloro-1-(4-benzyl chloride base)-2-(chlorine)-1H-indol-3-yl] (2-pyrimidine-4-base-1,3-oxazole-5-yl) ketone
[1-(4-benzyl chloride base)-2-(chlorine)-1H-indol-3-yl] (2-pyrimidine-4-base-1,3-oxazole-5-yl) ketone
[1-(2, the 4-dichloro benzyl)-5-methoxyl group-2-(chlorine)-1H-indol-3-yl] (2-pyrimidine-4-base-1,3-oxazole-5-yl) ketone
[1-(2, the 4-dichloro benzyl)-5-oxyethyl group-2-(chlorine)-1H-indol-3-yl] (2-pyrimidine-4-base-1,3-oxazole-5-yl) ketone
[1-(2, the 4-dichloro benzyl)-5-hydroxyl-2-(chlorine)-1H-indol-3-yl] (2-pyrimidine-4-base-1,3-oxazole-5-yl) ketone
[1-(2, the 4-dichloro benzyl)-5-methyl-2-(chlorine)-1H-indol-3-yl] (2-pyrimidine-4-base-1,3-oxazole-5-yl) ketone
[5-chloro-1-(2, the 4-dichloro benzyl)-2-(chlorine)-1H-indol-3-yl] (2-pyrimidine-4-base-1,3-oxazole-5-yl) ketone
[1-(2, the 4-dichloro benzyl)-2-(chlorine)-1H-indol-3-yl] (2-pyrimidine-4-base-1,3-oxazole-5-yl) ketone
[1-(4-benzyl chloride base)-5-methoxyl group-2-(chlorine)-1H-indol-3-yl] (5-phenyl-1,3-oxazole-2-yl) ketone
[1-(4-benzyl chloride base)-5-oxyethyl group-2-(chlorine)-1H-indol-3-yl] (5-phenyl-1,3-oxazole-2-yl) ketone
[1-(4-benzyl chloride base)-5-hydroxyl-2-(chlorine)-1H-indol-3-yl] (5-phenyl-1,3-oxazole-2-yl) ketone
[1-(4-benzyl chloride base)-5-methyl-2-(chlorine)-1H-indol-3-yl] (5-phenyl-1,3-oxazole-2-yl) ketone
[5-chloro-1-(4-benzyl chloride base)-2-(chlorine)-1H-indol-3-yl] (5-phenyl-1,3-oxazole-2-yl) ketone
[1-(4-benzyl chloride base)-2-(chlorine)-1H-indol-3-yl] (5-phenyl-1,3-oxazole-2-yl) ketone
[1-(2, the 4-dichloro benzyl)-5-methoxyl group-2-(chlorine)-1H-indol-3-yl] (5-phenyl-1,3-oxazole-2-yl) ketone
[1-(2, the 4-dichloro benzyl)-5-oxyethyl group-2-(chlorine)-1H-indol-3-yl] (5-phenyl-1,3-oxazole-2-yl) ketone
[1-(2, the 4-dichloro benzyl)-5-hydroxyl-2-(chlorine)-1H-indol-3-yl] (5-phenyl-1,3-oxazole-2-yl) ketone
[1-(2, the 4-dichloro benzyl)-5-methyl-2-(chlorine)-1H-indol-3-yl] (5-phenyl-1,3-oxazole-2-yl) ketone
[5-chloro-1-(2, the 4-dichloro benzyl)-2-(chlorine)-1H-indol-3-yl] (5-phenyl-1,3-oxazole-2-yl) ketone
[1-(4-benzyl chloride base)-5-methoxyl group-2-(chlorine)-1H-indol-3-yl] (5-pyridine-2-base-1,3-oxazole-2-yl) ketone
[1-(4-benzyl chloride base)-5-oxyethyl group-2-(chlorine)-1H-indol-3-yl] (5-pyridine-2-base-1,3-oxazole-2-yl) ketone
[1-(4-benzyl chloride base)-5-hydroxyl-2-(chlorine)-1H-indol-3-yl] (5-pyridine-2-base-1,3-oxazole-2-yl) ketone
[1-(4-benzyl chloride base)-5-methyl-2-(chlorine)-1H-indol-3-yl] (5-pyridine-2-base-1,3-oxazole-2-yl) ketone
[5-chloro-1-(4-benzyl chloride base)-2-(chlorine)-1H-indol-3-yl] (5-pyridine-2-base-1,3-oxazole-2-yl) ketone
[1-(4-benzyl chloride base)-2-(chlorine)-1H-indol-3-yl] (5-pyridine-2-base-1,3-oxazole-2-yl) ketone
[1-(2, the 4-dichloro benzyl)-5-methoxyl group-2-(chlorine)-1H-indol-3-yl] (5-pyridine-2-base-1,3-oxazole-2-yl) ketone
[1-(2, the 4-dichloro benzyl)-5-oxyethyl group-2-(chlorine)-1H-indol-3-yl] (5-pyridine-2-base-1,3-oxazole-2-yl) ketone
[1-(2, the 4-dichloro benzyl)-5-hydroxyl-2-(chlorine)-1H-indol-3-yl] (5-pyridine-2-base-1,3-oxazole-2-yl) ketone
[1-(2, the 4-dichloro benzyl)-5-methyl-2-(chlorine)-1H-indol-3-yl] (5-pyridine-2-base-1,3-oxazole-2-yl) ketone
[5-chloro-1-(2, the 4-dichloro benzyl)-2-(chlorine)-1H-indol-3-yl] (5-pyridine-2-base-1,3-oxazole-2-yl) ketone
[1-(2, the 4-dichloro benzyl)-2-(chlorine)-1H-indol-3-yl] (5-pyridine-2-base-1,3-oxazole-2-yl) ketone
[1-(4-benzyl chloride base)-5-methoxyl group-2-(chlorine)-1H-indol-3-yl] (5-pyridin-3-yl-1,3-oxazole-2-yl) ketone
[1-(4-benzyl chloride base)-5-oxyethyl group-2-(chlorine)-1H-indol-3-yl] (5-pyridin-3-yl-1,3-oxazole-2-yl) ketone
[1-(4-benzyl chloride base)-5-hydroxyl-2-(chlorine)-1H-indol-3-yl] (5-pyridin-3-yl-1,3-oxazole-2-yl) ketone
[1-(4-benzyl chloride base)-5-methyl-2-(chlorine)-1H-indol-3-yl] (5-pyridin-3-yl-1,3-oxazole-2-yl) ketone
[5-chloro-1-(4-benzyl chloride base)-2-(chlorine)-1H-indol-3-yl] (5-pyridin-3-yl-1,3-oxazole-2-yl) ketone
[1-(4-benzyl chloride base)-2-(chlorine)-1H-indol-3-yl] (5-pyridin-3-yl-1,3-oxazole-2-yl) ketone
[1-(2, the 4-dichloro benzyl)-5-methoxyl group-2-(chlorine)-1H-indol-3-yl] (5-pyridin-3-yl-1,3-oxazole-2-yl) ketone
[1-(2, the 4-dichloro benzyl)-5-oxyethyl group-2-(chlorine)-1H-indol-3-yl] (5-pyridin-3-yl-1,3-oxazole-2-yl) ketone
[1-(2, the 4-dichloro benzyl)-5-hydroxyl-2-(chlorine)-1H-indol-3-yl] (5-pyridin-3-yl-1,3-oxazole-2-yl) ketone
[1-(2, the 4-dichloro benzyl)-5-methyl-2-(chlorine)-1H-indol-3-yl] (5-pyridin-3-yl-1,3-oxazole-2-yl) ketone
[5-chloro-1-(2, the 4-dichloro benzyl)-2-(chlorine)-1H-indol-3-yl] (5-pyridin-3-yl-1,3-oxazole-2-yl) ketone
[1-(2, the 4-dichloro benzyl)-2-(chlorine)-1H-indol-3-yl] (5-pyridin-3-yl-1,3-oxazole-2-yl) ketone
[1-(4-benzyl chloride base)-5-methoxyl group-2-(chlorine)-1H-indol-3-yl] (5-pyridin-4-yl-1,3-oxazole-2-yl) ketone
[1-(4-benzyl chloride base)-5-oxyethyl group-2-(chlorine)-1H-indol-3-yl] (5-pyridin-4-yl-1,3-oxazole-2-yl) ketone
[1-(4-benzyl chloride base)-5-hydroxyl-2-(chlorine)-1H-indol-3-yl] (5-pyridin-4-yl-1,3-oxazole-2-yl) ketone
[1-(4-benzyl chloride base)-5-methyl-2-(chlorine)-1H-indol-3-yl] (5-pyridin-4-yl-1,3-oxazole-2-yl) ketone
[5-chloro-1-(4-benzyl chloride base)-2-(chlorine)-1H-indol-3-yl] (5-pyridin-4-yl-1,3-oxazole-2-yl) ketone
[1-(4-benzyl chloride base)-2-(chlorine)-1H-indol-3-yl] (5-pyridin-4-yl-1,3-oxazole-2-yl) ketone
[1-(2, the 4-dichloro benzyl)-5-methoxyl group-2-(chlorine)-1H-indol-3-yl] (5-pyridin-4-yl-1,3-oxazole-2-yl) ketone
[1-(2, the 4-dichloro benzyl)-5-oxyethyl group-2-(chlorine)-1H-indol-3-yl] (5-pyridin-4-yl-1,3-oxazole-2-yl) ketone
[1-(2, the 4-dichloro benzyl)-5-hydroxyl-2-(chlorine)-1H-indol-3-yl] (5-pyridin-4-yl-1,3-oxazole-2-yl) ketone
[1-(2, the 4-dichloro benzyl)-5-methyl-2-(chlorine)-1H-indol-3-yl] (5-pyridin-4-yl-1,3-oxazole-2-yl) ketone
[5-chloro-1-(2, the 4-dichloro benzyl)-2-(chlorine)-1H-indol-3-yl] (5-pyridin-4-yl-1,3-oxazole-2-yl) ketone
[1-(2, the 4-dichloro benzyl)-2-(chlorine)-1H-indol-3-yl] (5-pyridin-4-yl-1,3-oxazole-2-yl) ketone
[1-(4-benzyl chloride base)-5-methoxyl group-2-(chlorine)-1H-indol-3-yl] (5-pyrimidine-4-base-1,3-oxazole-2-yl) ketone
[1-(4-benzyl chloride base)-5-oxyethyl group-2-(chlorine)-1H-indol-3-yl] (5-pyrimidine-4-base-1,3-oxazole-2-yl) ketone
[1-(4-benzyl chloride base)-5-hydroxyl-2-(chlorine)-1H-indol-3-yl] (5-pyrimidine-4-base-1,3-oxazole-2-yl) ketone
[1-(4-benzyl chloride base)-5-methyl-2-(chlorine)-1H-indol-3-yl] (5-pyrimidine-4-base-1,3-oxazole-2-yl) ketone
[5-chloro-1-(4-benzyl chloride base)-2-(chlorine)-1H-indol-3-yl] (5-pyrimidine-4-base-1,3-oxazole-2-yl) ketone
[1-(4-benzyl chloride base)-2-(chlorine)-1H-indol-3-yl] (5-pyrimidine-4-base-1,3-oxazole-2-yl) ketone
[1-(2, the 4-dichloro benzyl)-5-methoxyl group-2-(chlorine)-1H-indol-3-yl] (5-pyrimidine-4-base-1,3-oxazole-2-yl) ketone
[1-(2, the 4-dichloro benzyl)-5-oxyethyl group-2-(chlorine)-1H-indol-3-yl] (5-pyrimidine-4-base-1,3-oxazole-2-yl) ketone
[1-(2, the 4-dichloro benzyl)-5-hydroxyl-2-(chlorine)-1H-indol-3-yl] (5-pyrimidine-4-base-1,3-oxazole-2-yl) ketone
[1-(2, the 4-dichloro benzyl)-5-methyl-2-(chlorine)-1H-indol-3-yl] (5-pyrimidine-4-base-1,3-oxazole-2-yl) ketone
[1-(2, the 4-dichloro benzyl)-5-hydroxyl-2-(chlorine)-1H-indol-3-yl] (5-phenyl-1,3,4-oxadiazole-2-yl) ketone
[5-chloro-1-(2, the 4-dichloro benzyl)-2-(chlorine)-1H-indol-3-yl] (5-pyrimidine-4-base-1,3-oxazole-2-yl) ketone
[1-(2, the 4-dichloro benzyl)-2-(chlorine)-1H-indol-3-yl] (5-pyrimidine-4-base-1,3-oxazole-2-yl) ketone
(directly or indirectly) connects the carbonyl quilt-CH of indoles N2The derivative of-alternate following compounds is also useful.
(4-chloro-phenyl)-[3-(5-pyridine-2-base-[1,3,4] oxadiazole-2-carbonyls)-indoles-1-yl]-ketone
(4-chloro-phenyl)-[5-methoxyl group-2-methyl-3-(5-pyridine-2-base-[1,3,4] oxadiazole-2-carbonyls)-indoles-1-yl]-ketone
2-[1-(4-chloro-benzoyl)-5-hydroxy-2-methyl-1H-indol-3-yl]-1-(5-pyridine-2-base-[1,3,4] oxadiazole-2-yls)-ethyl ketone
3-[1-(4-chloro-benzoyl)-5-methoxyl group-2-Methyl-1H-indole-3-yl]-1,1,1-three fluoro-third-2-ketone
3-[1-(4-bromo-benzyl)-5-methoxyl group-2-Methyl-1H-indole-3-yl]-1,1,1-three fluoro-third-2-ketone
2-[1-(4-chloro-benzoyl)-5-methoxyl group-2-Methyl-1H-indole-3-yl]-1-oxazole [4,5-b] pyridine-2-base-ethyl ketone also
2-[1-(4-bromo-benzyl)-5-methoxyl group-2-Methyl-1H-indole-3-yl]-1-oxazole [4,5-b] pyridine-2-base-ethyl ketone also
(4-chloro-phenyl)-[5-methoxyl group-2-methyl-3-(5-pyridine-2-base-oxazoles-2-carbonyl)-indoles-1-yl]-ketone
2-[1-(4-chloro-benzoyl)-5-methoxyl group-2-Methyl-1H-indole-3-yl]-1-(5-pyridine-2-base-oxazoles-2-yl)-ethyl ketone
[1-(4-bromo-benzyl)-5-methoxyl group-2-Methyl-1H-indole-3-yl]-(5-pyridine-2-base-oxazoles-2-yl)-ketone
2-[1-(4-bromo-benzyl)-5-methoxyl group-2-Methyl-1H-indole-3-yl]-1-(5-pyridine-2-base-oxazoles-2-yl)-ethyl ketone
2-[1-(4-chloro-benzoyl)-6-fluoro-5-methoxyl group-2-Methyl-1H-indole-3-yl]-1-(5-pyridine-2-base-oxazoles-2-yl)-ethyl ketone
2-[1-(4-bromo-benzyl)-6-fluoro-5-methoxyl group-2-Methyl-1H-indole-3-yl]-1-(5-pyridine-2-base-oxazoles-2-yl)-ethyl ketone
2-[3-(4-chloro-benzoyl)-5-methoxyl group-2-methyl-indoles-1-yl]-1-(5-pyridine-2-base-oxazoles-2-yl)-ethyl ketone
2-[3-(4-bromo-benzyl)-5-methoxyl group-2-methyl-indoles-1-yl]-1-(5-pyridine-2-base-oxazoles-2-yl)-ethyl ketone
(4-chloro-phenyl)-[5-hydroxy-2-methyl-3-(5-pyridine-2-base-[1,3,4] oxadiazole-2-carbonyls)-indoles-1-yl]-ketone
2-[1-(4-bromobenzyl)-5-hydroxy-2-methyl-1H-indol-3-yl]-1-(5-pyridine-2-base-[1,3,4] oxadiazole-2-yls)-ethyl ketone
2-[1-(4-bromobenzyl)-5-methoxyl group-2-Methyl-1H-indole-3-yl]-1-(5-pyridine-2-base-[1,3,4] oxadiazole-2-yls)-ethyl ketone
3-[1-(4-chloro-benzoyl)-5-hydroxy-2-methyl-1H-indol-3-yl]-1,1,1-three fluoro-third-2-ketone
3-[1-(4-bromo-benzyl)-5-hydroxy-2-methyl-1H-indol-3-yl]-1,1,1-three fluoro-third-2-ketone
2-[1-(4-chloro-benzoyl)-5-hydroxy-2-methyl-1H-indol-3-yl]-1-oxazole [4,5-b] pyridine-2-base-ethyl ketone also
2-[1-(4-bromo-benzyl)-5-hydroxy-2-methyl-1H-indol-3-yl]-1-oxazole [4,5-b] pyridine-2-base-ethyl ketone also
(4-chloro-phenyl)-[5-hydroxy-2-methyl-3-(5-pyridine-2-base-oxazoles-2-carbonyl)-indoles-1-yl]-ketone
2-[1-(4-chloro-benzoyl)-5-hydroxy-2-methyl-1H-indol-3-yl]-1-(5-pyridine-2-base-oxazoles-2-yl)-ethyl ketone
[1-(4-bromo-benzyl)-5-hydroxy-2-methyl-1H-indol-3-yl]-(5-pyridine-2-base-oxazoles-2-yl)-ketone
2-[1-(4-bromo-benzyl)-5-hydroxy-2-methyl-1H-indol-3-yl]-1-(5-pyridine-2-base-oxazoles-2-yl)-ethyl ketone
2-[1-(4-chloro-benzoyl)-6-fluoro-5-hydroxy-2-methyl-1H-indol-3-yl]-1-(5-pyridine-2-base-oxazoles-2-yl)-ethyl ketone
2-[1-(4-bromo-benzyl)-6-fluoro-5-hydroxy-2-methyl-1H-indol-3-yl]-1-(5-pyridine-2-base-oxazoles-2-yl)-ethyl ketone
2-[3-(4-bromo-benzyl)-5-hydroxy-2-methyl-indoles-1-yl]-1-(5-pyridine-2-base-oxazoles-2-yl)-ethyl ketone
2-[3-(4-chloro-benzoyl)-5-hydroxy-2-methyl-indoles-1-yl]-1-(5-pyridine-2-base-oxazoles-2-yl)-ethyl ketone
2-[3-(4-chloro-benzoyl)-5-methoxyl group-2-methyl-indoles-1-yl]-1-(5-pyridine-2-base-[1,3,4] oxadiazole-2-yls)-ethyl ketone
2-[3-(4-chloro-benzoyl)-5-hydroxy-2-methyl-indoles-1-yl]-1-(5-pyridine-2-base [1,3,4] oxadiazole-2-yls)-ethyl ketone
2-[3-(4-bromo-benzyl)-5-hydroxy-2-methyl-indoles-1-yl]-1-(5-pyridine-2-base-[and 1,3,4] oxadiazole-2-yls) ethyl ketone
2-[3-(4-bromo-benzyl)-5-methoxyl group-2-methyl-indoles-1-yl]-1-(5-pyridine-2-base-[1,3,4] oxadiazole-2-yls)-ethyl ketone
2-[3-(4-chloro-benzoyl)-5-methoxyl group-2-methyl-indoles-1-yl]-1-oxazole [4,5-b] pyridine-2-base-ethyl ketone also
2-[3-(4-chloro-benzoyl)-5-hydroxy-2-methyl-indoles-1-yl]-1-oxazole [4,5-b] pyridine-2-base-ethyl ketone also
2-[3-(4-bromobenzyl)-5-methoxyl group-2-methyl-indoles-1-yl]-1-oxazole [4,5-b] pyridine-2-base-ethyl ketone also
2-[3-(4-bromobenzyl)-5-hydroxy-2-methyl-indoles-1-yl]-1-oxazole [4,5-b] pyridine-2-base-ethyl ketone also
1-benzoxazole-2-base-2-[3-(4-bromo-benzyl)-5-methoxyl group-2-methyl-indoles-1-yl]-ethyl ketone
1-benzoxazole-2-base-2-[3-(4-bromo-benzyl)-5-hydroxy-2-methyl-indoles-1-yl]-ethyl ketone
1-benzoxazole-2-base-2-[3-(4-chlorobenzene formacyl)-5-methoxyl group-2-methyl-indoles-1-yl]-ethyl ketone
1-benzoxazole-2-base-2-[3-(4-chlorobenzene formacyl)-5-hydroxy-2-methyl-indoles-1-yl]-ethyl ketone
[1-(2, the 4-dichloro benzyl)-5-methoxyl group-2-Methyl-1H-indole-3-yl] (3-pyridine-2-base-1,2,4-oxadiazole-5-yl) ketone
[1-(4-benzyl chloride base)-5-methoxyl group-2-Methyl-1H-indole-3-yl] (3-pyridine-2-base-1,2,4-oxadiazole-5-yl) ketone
[5-methoxyl group-1-(4-methoxy-benzyl)-2-Methyl-1H-indole-3-yl] (3-pyridine-2-base-1,2,4-oxadiazole-5-yl) ketone
[1-(4-benzyl chloride base)-5-methoxyl group-2-Methyl-1H-indole-3-yl] (5-pyridine-2-base-1,3,4-oxadiazole-2-yl) ketone
[1-(2, the 4-dichloro benzyl)-5-methoxyl group-2-Methyl-1H-indole-3-yl] (5-pyridine-2-base-1,3,4-oxadiazole-2-yl) ketone
[1-(4-benzyl chloride base)-5-methoxyl group-2-Methyl-1H-indole-3-yl] [5-(2-furyl)-1,3,4-oxadiazole-2-yl] ketone
[1-(4-benzyl chloride base)-5-methoxyl group-2-Methyl-1H-indole-3-yl] ([1,3] oxazole is [4,5-b] pyridine-2-yl also) ketone
[1-(4-bromobenzyl)-5-methoxyl group-2-Methyl-1H-indole-3-yl] (5-pyridine-2-base-1,3,4-oxadiazole-2-yl) ketone
[5-methoxyl group-1-(4-methoxy-benzyl)-2-Methyl-1H-indole-3-yl] (5-pyridine-2-base-1,3,4-oxadiazole-2-yl) ketone
[1-(4-benzyl chloride base)-5-methoxyl group-2-Methyl-1H-indole-3-yl] (5-pyridin-3-yl-1,3,4-oxadiazole-2-yl) ketone
1-[(5-chloro-2-thienyl) methyl]-5-methoxyl group-2-Methyl-1H-indole-3-yl } (5-pyridine-2-base-1,3,4-oxadiazole-2-yl) ketone
[1-(4-luorobenzyl)-5-methoxyl group-2-Methyl-1H-indole-3-yl] (5-pyridine-2-base-1,3,4-oxadiazole-2-yl) ketone
[1-(4-benzyl chloride base)-5-methoxyl group-2-Methyl-1H-indole-3-yl] (5-pyridin-4-yl-1,3,4-oxadiazole-2-yl) ketone
1-[2-(2-chloro-phenyl-) ethyl]-5-methoxyl group-2-Methyl-1H-indole-3-yl } (5-pyridine-2-base-1,3,4-oxadiazole-2-yl) ketone
[5-methoxyl group-2-methyl isophthalic acid-(4-methyl-benzyl)-1H-indol-3-yl] (5-pyridine-2-base-1,3,4-oxadiazole-2-yl) ketone
[1-(4-benzyl chloride base)-5-methoxyl group-2-Methyl-1H-indole-3-yl] (5-phenyl-1,3,4-oxadiazole-2-yl) ketone
[1-(3, the 4-dichloro benzyl)-5-methoxyl group-2-Methyl-1H-indole-3-yl] (5-pyridine-2-base-1,3,4-oxadiazole-2-yl) ketone
1-[2-(3-chloro-phenyl-) ethyl]-5-methoxyl group-2-Methyl-1H-indole-3-yl } (5-pyridine-2-base-1,3,4-oxadiazole-2-yl) ketone
[1-(4-bromobenzyl)-5-hydroxy-2-methyl-1H-indol-3-yl] (5-pyridine-2-base-1,3,4-oxadiazole-2-yl) ketone
1-[2-(4-chloro-phenyl-) ethyl]-5-methoxyl group-2-Methyl-1H-indole-3-yl } (5-pyridine-2-base-1,3,4-oxadiazole-2-yl) ketone
[1-(3, the 5-dichloro benzyl)-5-methoxyl group-2-Methyl-1H-indole-3-yl] (5-pyridine-2-base-1,3,4-oxadiazole-2-yl) ketone
(1-benzyl-5-methoxyl group-2-Methyl-1H-indole-3-yl) (5-pyridine-2-base-1,3,4-oxadiazole-2-yl) ketone
[1-(2-benzyl chloride base)-5-methoxyl group-2-Methyl-1H-indole-3-yl] (5-pyridine-2-base-1,3,4-oxadiazole-2-yl) ketone
{ 5-methoxyl group-2-methyl isophthalic acid-[4-(trifluoromethyl) benzyl]-1H-indol-3-yl } (5-pyridine-2-base-1,3,4-oxadiazole-2-yl) ketone
[5-hydroxy-2-methyl-1-(4-methyl-benzyl)-1H-indol-3-yl] (5-pyridine-2-base-1,3,4-oxadiazole-2-yl) ketone
[1-(3, the 4-dichloro benzyl)-5-hydroxy-2-methyl-1H-indol-3-yl] (5-pyridine-2-base-1,3,4-oxadiazole-2-yl) ketone
[1-(3-benzyl chloride base)-5-methoxyl group-2-Methyl-1H-indole-3-yl] (5-pyridine-2-base-1,3,4-oxadiazole-2-yl) ketone
{ 5-methoxyl group-2-methyl isophthalic acid-[4-(trifluoromethoxy) benzyl]-1H-indol-3-yl } (5-pyridine-2-base-1,3,4-oxadiazole-2-yl) ketone
[1-(4-benzyl chloride base)-5-methoxyl group-2-Methyl-1H-indole-3-yl] (5-pyridine-2-base-2-thienyl) ketone
[5-chloro-1-(4-benzyl chloride base)-2-Methyl-1H-indole-3-yl] (5-pyridine-2-base-1,3,4-oxadiazole-2-yl) ketone
1-[1-(4-benzyl chloride base)-5-methoxyl group-2-Methyl-1H-indole-3-yl]-2,2,2-trifluoro ethyl ketone
[5-chloro-1-(4-methoxy-benzyl)-2-Methyl-1H-indole-3-yl] (5-pyridine-2-base-1,3,4-oxadiazole-2-yl) ketone
[2-chloro-1-(4-benzyl chloride base)-5-methoxyl group-1H-indol-3-yl] (5-pyridine-2-base-1,3,4-oxadiazole-2-yl) ketone
[2-chloro-1-(4-benzyl chloride base)-5-methoxyl group-1H-indol-3-yl] (3-pyridine-2-base-1,2,4-oxadiazole-5-yl) ketone
[1-(4-benzyl chloride base)-5-oxyethyl group-2-Methyl-1H-indole-3-yl] (5-pyridine-2-base-1,3,4-oxadiazole-2-yl) ketone
[1-(4-luorobenzyl)-5-methoxyl group-2-Methyl-1H-indole-3-yl] (3-pyridine-2-base-1,2,4-oxadiazole-5-yl) ketone
[1-(4-benzyl chloride base)-5-oxyethyl group-2-Methyl-1H-indole-3-yl] (3-pyridine-2-base-1,2,4-oxadiazole-5-yl) ketone
[1-(4-benzyl chloride base)-5-methoxyl group-1H-indol-3-yl] (5-pyridine-2-base-1,3,4-oxadiazole-2-yl) ketone
[1-(4-benzyl chloride base)-5-methoxyl group-1H-indol-3-yl] (3-pyridine-2-base-1,2,4-oxadiazole-5-yl) ketone
1-[(2-chloropyridine-4-yl) methyl]-5-methoxyl group-2-Methyl-1H-indole-3-yl } (5-pyridine-2-base-1,3,4-oxadiazole-2-yl) ketone
[1-(4-benzyl chloride base)-5-methoxyl group-2-Methyl-1H-indole-3-yl] (3-pyridin-3-yl-1,2,4-oxadiazole-5-yl) ketone
[1-(4-benzyl chloride base)-7-methoxyl group-1H-indol-3-yl] (5-pyridine-2-base-1,3,4-oxadiazole-2-yl) ketone
[1-(4-benzyl chloride base)-5-methoxyl group-2-(trifluoromethyl)-1H-indol-3-yl] (3-pyridine-2-base-1,2,4-oxadiazole-5-yl) ketone
[1-(4-benzyl chloride base)-5-oxyethyl group-2-(trifluoromethyl)-1H-indol-3-yl] (3-pyridine-2-base-1,2,4-oxadiazole-5-yl) ketone
[1-(4-benzyl chloride base)-5-hydroxyl-2-(trifluoromethyl)-1H-indol-3-yl] (3-pyridine-2-base-1,2,4-oxadiazole-5-yl) ketone
[1-(4-benzyl chloride base)-5-methyl-2-(trifluoromethyl)-1H-indol-3-yl] (3-pyridine-2-base-1,2,4-oxadiazole-5-yl) ketone
[5-chloro-1-(4-benzyl chloride base)-2-(trifluoromethyl)-1H-indol-3-yl] (3-pyridine-2-base-1,2,4-oxadiazole-5-yl) ketone
[1-(4-benzyl chloride base)-2-(trifluoromethyl)-1H-indol-3-yl] (3-pyridine-2-base-1,2,4-oxadiazole-5-yl) ketone
[1-(2, the 4-dichloro benzyl)-5-methoxyl group-2-(trifluoromethyl)-1H-indol-3-yl] (3-pyridine-2-base-1,2,4-oxadiazole-5-yl) ketone
[1-(2, the 4-dichloro benzyl)-5-oxyethyl group-2-(trifluoromethyl)-1H-indol-3-yl] (3-pyridine-2-base-1,2,4-oxadiazole-5-yl) ketone
[1-(2, the 4-dichloro benzyl)-5-hydroxyl-2-(trifluoromethyl)-1H-indol-3-yl] (3-pyridine-2-base-1,2,4-oxadiazole-5-yl) ketone
[1-(2, the 4-dichloro benzyl)-5-methyl-2-(trifluoromethyl)-1H-indol-3-yl] (3-pyridine-2-base-1,2,4-oxadiazole-5-yl) ketone
[5-chloro-1-(2, the 4-dichloro benzyl)-2-(trifluoromethyl)-1H-indol-3-yl] (3-pyridine-2-base-1,2,4-oxadiazole-5-yl) ketone
[1-(2, the 4-dichloro benzyl)-2-(trifluoromethyl)-1H-indol-3-yl] (3-pyridine-2-base-1,2,4-oxadiazole-5-yl) ketone
[1-(4-benzyl chloride base)-5-methoxyl group-2-(trifluoromethyl)-1H-indol-3-yl] (3-pyridin-3-yl-1,2,4-oxadiazole-5-yl) ketone
[1-(4-benzyl chloride base)-5-oxyethyl group-2-(trifluoromethyl)-1H-indol-3-yl] (3-pyridin-3-yl-1,2,4-oxadiazole-5-yl) ketone
[1-(4-benzyl chloride base)-5-hydroxyl-2-(trifluoromethyl)-1H-indol-3-yl] (3-pyridin-3-yl-1,2,4-oxadiazole-5-yl) ketone
[1-(4-benzyl chloride base)-5-methyl-2-(trifluoromethyl)-1H-indol-3-yl] (3-pyridin-3-yl-1,2,4-oxadiazole-5-yl) ketone
[5-chloro-1-(4-benzyl chloride base)-2-(trifluoromethyl)-1H-indol-3-yl] (3-pyridin-3-yl-1,2,4-oxadiazole-5-yl) ketone
[1-(4-benzyl chloride base)-2-(trifluoromethyl)-1H-indol-3-yl] (3-pyridin-3-yl-1,2,4-oxadiazole-5-yl) ketone
[1-(2, the 4-dichloro benzyl)-5-methoxyl group-2-(trifluoromethyl)-1H-indol-3-yl] (3-pyridin-3-yl-1,2,4-oxadiazole-5-yl) ketone
[1-(2, the 4-dichloro benzyl)-5-oxyethyl group-2-(trifluoromethyl)-1H-indol-3-yl] (3-pyridin-3-yl-1,2,4-oxadiazole-5-yl) ketone
[1-(2, the 4-dichloro benzyl)-5-hydroxyl-2-(trifluoromethyl)-1H-indol-3-yl] (3-pyridin-3-yl-1,2,4-oxadiazole-5-yl) ketone
[1-(2, the 4-dichloro benzyl)-5-methyl-2-(trifluoromethyl)-1H-indol-3-yl] (3-pyridin-3-yl-1,2,4-oxadiazole-5-yl) ketone
[5-chloro-1-(2, the 4-dichloro benzyl)-2-(trifluoromethyl)-1H-indol-3-yl] (3-pyridin-3-yl-1,2,4-oxadiazole-5-yl) ketone
[1-(2, the 4-dichloro benzyl)-2-(trifluoromethyl)-1H-indol-3-yl] (3-pyridin-3-yl-1,2,4-oxadiazole-5-yl) ketone
[1-(4-benzyl chloride base)-5-methoxyl group-2-(trifluoromethyl)-1H-indol-3-yl] (3-pyridin-4-yl-1,2,4-oxadiazole-5-yl) ketone
[1-(4-benzyl chloride base)-5-oxyethyl group-2-(trifluoromethyl)-1H-indol-3-yl] (3-pyridin-4-yl-1,2,4-oxadiazole-5-yl) ketone
[1-(4-benzyl chloride base)-5-hydroxyl-2-(trifluoromethyl)-1H-indol-3-yl] (3-pyridin-4-yl-1,2,4-oxadiazole-5-yl) ketone
[1-(4-benzyl chloride base)-5-methyl-2-(trifluoromethyl)-1H-indol-3-yl] (3-pyridin-4-yl-1,2,4-oxadiazole-5-yl) ketone
[5-chloro-1-(4-benzyl chloride base)-2-(trifluoromethyl)-1H-indol-3-yl] (3-pyridin-4-yl-1,2,4-oxadiazole-5-yl) ketone
[1-(4-benzyl chloride base)-2-(trifluoromethyl)-1H-indol-3-yl] (3-pyridin-4-yl-1,2,4-oxadiazole-5-yl) ketone
[1-(2, the 4-dichloro benzyl)-5-methoxyl group-2-(trifluoromethyl)-1H-indol-3-yl] (3-pyridin-4-yl-1,2,4-oxadiazole-5-yl) ketone
[1-(2, the 4-dichloro benzyl)-5-oxyethyl group-2-(trifluoromethyl)-1H-indol-3-yl] (3-pyridin-4-yl-1,2,4-oxadiazole-5-yl) ketone
[1-(2, the 4-dichloro benzyl)-5-hydroxyl-2-(trifluoromethyl)-1H-indol-3-yl] (3-pyridin-4-yl-1,2,4-oxadiazole-5-yl) ketone
[1-(2, the 4-dichloro benzyl)-5-methyl-2-(trifluoromethyl)-1H-indol-3-yl] (3-pyridin-4-yl-1,2,4-oxadiazole-5-yl) ketone
[5-chloro-1-(2, the 4-dichloro benzyl)-2-(trifluoromethyl)-1H-indol-3-yl] (3-pyridin-4-yl-1,2,4-oxadiazole-5-yl) ketone
[1-(2, the 4-dichloro benzyl)-2-(trifluoromethyl)-1H-indol-3-yl] (3-pyridin-4-yl-1,2,4-oxadiazole-5-yl) ketone
[1-(4-benzyl chloride base)-5-methoxyl group-2-(trifluoromethyl)-1H-indol-3-yl] (3-pyrimidine-4-base-1,2,4-oxadiazole-5-yl) ketone
[1-(4-benzyl chloride base)-5-oxyethyl group-2-(trifluoromethyl)-1H-indol-3-yl] (3-pyrimidine-4-base-1,2,4-oxadiazole-5-yl) ketone
[1-(4-benzyl chloride base)-5-hydroxyl-2-(trifluoromethyl)-1H-indol-3-yl] (3-pyrimidine-4-base-1,2,4-oxadiazole-5-yl) ketone
[1-(4-benzyl chloride base)-5-methyl-2-(trifluoromethyl)-1H-indol-3-yl] (3-pyrimidine-4-base-1,2,4-oxadiazole-5-yl) ketone
[5-chloro-1-(4-benzyl chloride base)-2-(trifluoromethyl)-1H-indol-3-yl] (3-pyrimidine-4-base-1,2,4-oxadiazole-5-yl) ketone
[1-(4-benzyl chloride base)-2-(trifluoromethyl)-1H-indol-3-yl] (3-pyrimidine-4-base-1,2,4-oxadiazole-5-yl) ketone
[1-(2, the 4-dichloro benzyl)-5-methoxyl group-2-(trifluoromethyl)-1H-indol-3-yl] (3-pyrimidine-4-base-1,2,4-oxadiazole-5-yl) ketone
[1-(2, the 4-dichloro benzyl)-5-oxyethyl group-2-(trifluoromethyl)-1H-indol-3-yl] (3-pyrimidine-4-base-1,2,4-oxadiazole-5-yl) ketone
[1-(2, the 4-dichloro benzyl)-5-hydroxyl-2-(trifluoromethyl)-1H-indol-3-yl] (3-pyrimidine-4-base-1,2,4-oxadiazole-5-yl) ketone
[1-(2, the 4-dichloro benzyl)-5-methyl-2-(trifluoromethyl)-1H-indol-3-yl] (3-pyrimidine-4-base-1,2,4-oxadiazole-5-yl) ketone
[5-chloro-1-(2, the 4-dichloro benzyl)-2-(trifluoromethyl)-1H-indol-3-yl] (3-pyrimidine-4-base-1,2,4-oxadiazole-5-yl) ketone
[1-(2, the 4-dichloro benzyl)-2-(trifluoromethyl)-1H-indol-3-yl] (3-pyrimidine-4-base-1,2,4-oxadiazole-5-yl) ketone
[1-(4-benzyl chloride base)-5-methoxyl group-2-(trifluoromethyl)-1H-indol-3-yl] (5-phenyl-1,2,4-oxadiazole-3-yl) ketone
[1-(4-benzyl chloride base)-5-oxyethyl group-2-(trifluoromethyl)-1H-indol-3-yl] (5-phenyl-1,2,4-oxadiazole-3-yl) ketone
[1-(4-benzyl chloride base)-5-hydroxyl-2-(trifluoromethyl)-1H-indol-3-yl] (5-phenyl-1,2,4-oxadiazole-3-yl) ketone
[1-(4-benzyl chloride base)-5-methyl-2-(trifluoromethyl)-1H-indol-3-yl] (5-phenyl-1,2,4-oxadiazole-3-yl) ketone
[5-chloro-1-(4-benzyl chloride base)-2-(trifluoromethyl)-1H-indol-3-yl] (5-phenyl-1,2,4-oxadiazole-3-yl) ketone
[1-(4-benzyl chloride base)-2-(trifluoromethyl)-1H-indol-3-yl] (5-phenyl-1,2,4-oxadiazole-3-yl) ketone
[1-(2, the 4-dichloro benzyl)-5-methoxyl group-2-(trifluoromethyl)-1H-indol-3-yl] (5-phenyl-1,2,4-oxadiazole-3-yl) ketone
[1-(2, the 4-dichloro benzyl)-5-oxyethyl group-2-(trifluoromethyl)-1H-indol-3-yl] (5-phenyl-1,2,4-oxadiazole-3-yl) ketone
[1-(2, the 4-dichloro benzyl)-5-hydroxyl-2-(trifluoromethyl)-1H-indol-3-yl] (5-phenyl-1,2,4-oxadiazole-3-yl) ketone
[1-(2, the 4-dichloro benzyl)-5-methyl-2-(trifluoromethyl)-1H-indol-3-yl] (5-phenyl-1,2,4-oxadiazole-3-yl) ketone
[5-chloro-1-(2, the 4-dichloro benzyl)-2-(trifluoromethyl)-1H-indol-3-yl] (5-phenyl-1,2,4-oxadiazole-3-yl) ketone
[1-(2, the 4-dichloro benzyl)-2-(trifluoromethyl)-1H-indol-3-yl] (5-phenyl-1,2,4-oxadiazole-3-yl) ketone
[1-(4-benzyl chloride base)-5-methoxyl group-2-(trifluoromethyl)-1H-indol-3-yl] (5-pyridine-2-base-1,2,4-oxadiazole-3-yl) ketone
[1-(4-benzyl chloride base)-5-oxyethyl group-2-(trifluoromethyl)-1H-indol-3-yl] (5-pyridine-2-base-1,2,4-oxadiazole-3-yl) ketone
[1-(4-benzyl chloride base)-5-hydroxyl-2-(trifluoromethyl)-1H-indol-3-yl] (5-pyridine-2-base-1,2,4-oxadiazole-3-yl) ketone
[1-(4-benzyl chloride base)-5-methyl-2-(trifluoromethyl)-1H-indol-3-yl] (5-pyridine-2-base-1,2,4-oxadiazole-3-yl) ketone
[5-chloro-1-(4-benzyl chloride base)-2-(trifluoromethyl)-1H-indol-3-yl] (5-pyridine-2-base-1,2,4-oxadiazole-3-yl) ketone
[1-(4-benzyl chloride base)-2-(trifluoromethyl)-1H-indol-3-yl] (5-pyridine-2-base-1,2,4-oxadiazole-3-yl) ketone
[1-(2, the 4-dichloro benzyl)-5-methoxyl group-2-(trifluoromethyl)-1H-indol-3-yl] (5-pyridine-2-base-1,2,4-oxadiazole-3-yl) ketone
[1-(2, the 4-dichloro benzyl)-5-oxyethyl group-2-(trifluoromethyl)-1H-indol-3-yl] (5-pyridine-2-base-1,2,4-oxadiazole-3-yl) ketone
[1-(2, the 4-dichloro benzyl)-5-hydroxyl-2-(trifluoromethyl)-1H-indol-3-yl] (5-pyridine-2-base-1,2,4-oxadiazole-3-yl) ketone
[1-(2, the 4-dichloro benzyl)-5-methyl-2-(trifluoromethyl)-1H-indol-3-yl] (5-pyridine-2-base-1,2,4-oxadiazole-3-yl) ketone
[5-chloro-1-(2, the 4-dichloro benzyl)-2-(trifluoromethyl)-1H-indol-3-yl] (5-pyridine-2-base-1,2,4-oxadiazole-3-yl) ketone
[1-(2, the 4-dichloro benzyl)-2-(trifluoromethyl)-1H-indol-3-yl] (5-pyridine-2-base-1,2,4-oxadiazole-3-yl) ketone
[1-(4-benzyl chloride base)-5-methoxyl group-2-(trifluoromethyl)-1H-indol-3-yl] (5-pyridin-3-yl-1,2,4-oxadiazole-3-yl) ketone
[1-(4-benzyl chloride base)-5-oxyethyl group-2-(trifluoromethyl)-1H-indol-3-yl] (5-pyridin-3-yl-1,2,4-oxadiazole-3-yl) ketone
[1-(4-benzyl chloride base)-5-hydroxyl-2-(trifluoromethyl)-1H-indol-3-yl] (5-pyridin-3-yl-1,2,4-oxadiazole-3-yl) ketone
[1-(4-benzyl chloride base)-5-methyl-2-(trifluoromethyl)-1H-indol-3-yl] (5-pyridin-3-yl-1,2,4-oxadiazole-3-yl) ketone
[5-chloro-1-(4-benzyl chloride base)-2-(trifluoromethyl)-1H-indol-3-yl] (5-pyridin-3-yl-1,2,4-oxadiazole-3-yl) ketone
[1-(4-benzyl chloride base)-2-(trifluoromethyl)-1H-indol-3-yl] (5-pyridin-3-yl-1,2,4-oxadiazole-3-yl) ketone
[1-(2, the 4-dichloro benzyl)-5-methoxyl group-2-(trifluoromethyl)-1H-indol-3-yl] (5-pyridin-3-yl-1,2,4-oxadiazole-3-yl) ketone
[1-(2, the 4-dichloro benzyl)-5-oxyethyl group-2-(trifluoromethyl)-1H-indol-3-yl] (5-pyridin-3-yl-1,2,4-oxadiazole-3-yl) ketone
[1-(2, the 4-dichloro benzyl)-5-hydroxyl-2-(trifluoromethyl)-1H-indol-3-yl] (5-pyridin-3-yl-1,2,4-oxadiazole-3-yl) ketone
[1-(2, the 4-dichloro benzyl)-5-methyl-2-(trifluoromethyl)-1H-indol-3-yl] (5-pyridin-3-yl-1,2,4-oxadiazole-3-yl) ketone
[5-chloro-1-(2, the 4-dichloro benzyl)-2-(trifluoromethyl)-1H-indol-3-yl] (5-pyridin-3-yl-1,2,4-oxadiazole-3-yl) ketone
[1-(2, the 4-dichloro benzyl)-2-(trifluoromethyl)-1H-indol-3-yl] (5-pyridin-3-yl-1,2,4-oxadiazole-3-yl) ketone
[1-(4-benzyl chloride base)-5-methoxyl group-2-(trifluoromethyl)-1H-indol-3-yl] (5-pyridin-4-yl-1,2,4-oxadiazole-3-yl) ketone
[1-(4-benzyl chloride base)-5-oxyethyl group-2-(trifluoromethyl)-1H-indol-3-yl] (5-pyridin-4-yl-1,2,4-oxadiazole-3-yl) ketone
[1-(4-benzyl chloride base)-5-hydroxyl-2-(trifluoromethyl)-1H-indol-3-yl] (5-pyridin-4-yl-1,2,4-oxadiazole-3-yl) ketone
[1-(4-benzyl chloride base)-5-methyl-2-(trifluoromethyl)-1H-indol-3-yl] (5-pyridin-4-yl-1,2,4-oxadiazole-3-yl) ketone
[5-chloro-1-(4-benzyl chloride base)-2-(trifluoromethyl)-1H-indol-3-yl] (5-pyridin-4-yl-1,2,4-oxadiazole-3-yl) ketone
[1-(4-benzyl chloride base)-2-(trifluoromethyl)-1H-indol-3-yl] (5-pyridin-4-yl-1,2,4-oxadiazole-3-yl) ketone
[1-(2, the 4-dichloro benzyl)-5-methoxyl group-2-(trifluoromethyl)-1H-indol-3-yl] (5-pyridin-4-yl-1,2,4-oxadiazole-3-yl) ketone
[1-(2, the 4-dichloro benzyl)-5-oxyethyl group-2-(trifluoromethyl)-1H-indol-3-yl] (5-pyridin-4-yl-1,2,4-oxadiazole-3-yl) ketone
[1-(2, the 4-dichloro benzyl)-5-hydroxyl-2-(trifluoromethyl)-1H-indol-3-yl] (5-pyridin-4-yl-1,2,4-oxadiazole-3-yl) ketone
[1-(2, the 4-dichloro benzyl)-5-methyl-2-(trifluoromethyl)-1H-indol-3-yl] (5-pyridin-4-yl-1,2,4-oxadiazole-3-yl) ketone
[5-chloro-1-(2, the 4-dichloro benzyl)-2-(trifluoromethyl)-1H-indol-3-yl] (5-pyridin-4-yl-1,2,4-oxadiazole-3-yl) ketone
[1-(2, the 4-dichloro benzyl)-2-(trifluoromethyl)-1H-indol-3-yl] (5-pyridin-4-yl-1,2,4-oxadiazole-3-yl) ketone
[1-(4-benzyl chloride base)-5-methoxyl group-2-(trifluoromethyl)-1H-indol-3-yl] (5-pyrimidine-4-base-1,2,4-oxadiazole-3-yl) ketone
[1-(4-benzyl chloride base)-5-oxyethyl group-2-(trifluoromethyl)-1H-indol-3-yl] (5-pyrimidine-4-base-1,2,4-oxadiazole-3-yl) ketone
[1-(4-benzyl chloride base)-5-hydroxyl-2-(trifluoromethyl)-1H-indol-3-yl] (5-pyrimidine-4-base-1,2,4-oxadiazole-3-yl) ketone
[1-(4-benzyl chloride base)-5-methyl-2-(trifluoromethyl)-1H-indol-3-yl] (5-pyrimidine-4-base-1,2,4-oxadiazole-3-yl) ketone
[5-chloro-1-(4-benzyl chloride base)-2-(trifluoromethyl)-1H-indol-3-yl] (5-pyrimidine-4-base-1,2,4-oxadiazole-3-yl) ketone
[1-(4-benzyl chloride base)-2-(trifluoromethyl)-1H-indol-3-yl] (5-pyrimidine-4-base-1,2,4-oxadiazole-3-yl) ketone
[1-(2, the 4-dichloro benzyl)-5-methoxyl group-2-(trifluoromethyl)-1H-indol-3-yl] (5-pyrimidine-4-base-1,2,4-oxadiazole-3-yl) ketone
[1-(2, the 4-dichloro benzyl)-5-oxyethyl group-2-(trifluoromethyl)-1H-indol-3-yl] (5-pyrimidine-4-base-1,2,4-oxadiazole-3-yl) ketone
[1-(2, the 4-dichloro benzyl)-5-hydroxyl-2-(trifluoromethyl)-1H-indol-3-yl] (5-pyrimidine-4-base-1,2,4-oxadiazole-3-yl) ketone
[1-(2, the 4-dichloro benzyl)-5-methyl-2-(trifluoromethyl)-1H-indol-3-yl] (5-pyrimidine-4-base-1,2,4-oxadiazole-3-yl) ketone
[5-chloro-1-(2, the 4-dichloro benzyl)-2-(trifluoromethyl)-1H-indol-3-yl] (5-pyrimidine-4-base-1,2,4-oxadiazole-3-yl) ketone
[1-(2, the 4-dichloro benzyl)-2-(trifluoromethyl)-1H-indol-3-yl] (5-pyrimidine-4-base-1,2,4-oxadiazole-3-yl) ketone
[1-(4-benzyl chloride base)-5-methoxyl group-2-(trifluoromethyl)-1H-indol-3-yl] (5-phenyl-1,3,4-oxadiazole-2-yl) ketone
[1-(4-benzyl chloride base)-5-oxyethyl group-2-(trifluoromethyl)-1H-indol-3-yl] (5-phenyl-1,3,4-oxadiazole-2-yl) ketone
[1-(4-benzyl chloride base)-5-hydroxyl-2-(trifluoromethyl)-1H-indol-3-yl] (5-phenyl-1,3,4-oxadiazole-2-yl) ketone
[1-(4-benzyl chloride base)-5-methyl-2-(trifluoromethyl)-1H-indol-3-yl] (5-phenyl-1,3,4-oxadiazole-2-yl) ketone
[5-chloro-1-(4-benzyl chloride base)-2-(trifluoromethyl)-1H-indol-3-yl] (5-phenyl-1,3,4-oxadiazole-2-yl) ketone
[1-(4-benzyl chloride base)-2-(trifluoromethyl)-1H-indol-3-yl] (5-phenyl-1,3,4-oxadiazole-2-yl) ketone
[1-(2, the 4-dichloro benzyl)-5-methoxyl group-2-(trifluoromethyl)-1H-indol-3-yl] (5-phenyl-1,3,4-oxadiazole-2-yl) ketone
[1-(2, the 4-dichloro benzyl)-5-oxyethyl group-2-(trifluoromethyl)-1H-indol-3-yl] (5-phenyl-1,3,4-oxadiazole-2-yl) ketone
[1-(2, the 4-dichloro benzyl)-5-hydroxyl-2-(trifluoromethyl)-1H-indol-3-yl] (5-phenyl-1,3,4-oxadiazole-2-yl) ketone
[1-(2, the 4-dichloro benzyl)-5-methyl-2-(trifluoromethyl)-1H-indol-3-yl] (5-phenyl-1,3,4-oxadiazole-2-yl) ketone
[5-chloro-1-(2, the 4-dichloro benzyl)-2-(trifluoromethyl)-1H-indol-3-yl] (5-phenyl-1,3,4-oxadiazole-2-yl) ketone
[1-(2, the 4-dichloro benzyl)-2-(trifluoromethyl)-1H-indol-3-yl] (5-phenyl-1,3,4-oxadiazole-2-yl) ketone
[1-(4-benzyl chloride base)-5-methoxyl group-2-(trifluoromethyl)-1H-indol-3-yl] (5-pyridine-2-base-1,3,4-oxadiazole-2-yl) ketone
[1-(4-benzyl chloride base)-5-oxyethyl group-2-(trifluoromethyl)-1H-indol-3-yl] (5-pyridine-2-base-1,3,4-oxadiazole-2-yl) ketone
[1-(4-benzyl chloride base)-5-hydroxyl-2-(trifluoromethyl)-1H-indol-3-yl] (5-pyridine-2-base-1,3,4-oxadiazole-2-yl) ketone
[1-(4-benzyl chloride base)-5-methyl-2-(trifluoromethyl)-1H-indol-3-yl] (5-pyridine-2-base-1,3,4-oxadiazole-2-yl) ketone
[5-chloro-1-(4-benzyl chloride base)-2-(trifluoromethyl)-1H-indol-3-yl] (5-pyridine-2-base-1,3,4-oxadiazole-2-yl) ketone
[1-(4-benzyl chloride base)-2-(trifluoromethyl)-1H-indol-3-yl] (5-pyridine-2-base-1,3,4-oxadiazole-2-yl) ketone
[1-(2, the 4-dichloro benzyl)-5-methoxyl group-2-(trifluoromethyl)-1H-indol-3-yl] (5-pyridine-2-base-1,3,4-oxadiazole-2-yl) ketone
[1-(2, the 4-dichloro benzyl)-5-oxyethyl group-2-(trifluoromethyl)-1H-indol-3-yl] (5-pyridine-2-base-1,3,4-oxadiazole-2-yl) ketone
[1-(2, the 4-dichloro benzyl)-5-hydroxyl-2-(trifluoromethyl)-1H-indol-3-yl] (5-pyridine-2-base-1,3,4-oxadiazole-2-yl) ketone
[1-(2, the 4-dichloro benzyl)-5-methyl-2-(trifluoromethyl)-1H-indol-3-yl] (5-pyridine-2-base-1,3,4-oxadiazole-2-yl) ketone
[5-chloro-1-(2, the 4-dichloro benzyl)-2-(trifluoromethyl)-1H-indol-3-yl] (5-pyridine-2-base-1,3,4-oxadiazole-2-yl) ketone
[1-(2, the 4-dichloro benzyl)-2-(trifluoromethyl)-1H-indol-3-yl] (5-pyridine-2-base-1,3,4-oxadiazole-2-yl) ketone
[1-(4-benzyl chloride base)-5-methoxyl group-2-(trifluoromethyl)-1H-indol-3-yl] (5-pyridin-3-yl-1,3,4-oxadiazole-2-yl) ketone
[1-(4-benzyl chloride base)-5-oxyethyl group-2-(trifluoromethyl)-1H-indol-3-yl] (5-pyridin-3-yl-1,3,4-oxadiazole-2-yl) ketone
[1-(4-benzyl chloride base)-5-hydroxyl-2-(trifluoromethyl)-1H-indol-3-yl] (5-pyridin-3-yl-1,3,4-oxadiazole-2-yl) ketone
[1-(4-benzyl chloride base)-5-methyl-2-(trifluoromethyl)-1H-indol-3-yl] (5-pyridin-3-yl-1,3,4-oxadiazole-2-yl) ketone
[5-chloro-1-(4-benzyl chloride base)-2-(trifluoromethyl)-1H-indol-3-yl] (5-pyridin-3-yl-1,3,4-oxadiazole-2-yl) ketone
[1-(4-benzyl chloride base)-2-(trifluoromethyl)-1H-indol-3-yl] (5-pyridin-3-yl-1,3,4-oxadiazole-2-yl) ketone
[1-(2, the 4-dichloro benzyl)-5-methoxyl group-2-(trifluoromethyl)-1H-indol-3-yl] (5-pyridin-3-yl-1,3,4-oxadiazole-2-yl) ketone
[1-(2, the 4-dichloro benzyl)-5-oxyethyl group-2-(trifluoromethyl)-1H-indol-3-yl] (5-pyridin-3-yl-1,3,4-oxadiazole-2-yl) ketone
[1-(2, the 4-dichloro benzyl)-5-hydroxyl-2-(trifluoromethyl)-1H-indol-3-yl] (5-pyridin-3-yl-1,3,4-oxadiazole-2-yl) ketone
[1-(2, the 4-dichloro benzyl)-5-methyl-2-(trifluoromethyl)-1H-indol-3-yl] (5-pyridin-3-yl-1,3,4-oxadiazole-2-yl) ketone
[5-chloro-1-(2, the 4-dichloro benzyl)-2-(trifluoromethyl)-1H-indol-3-yl] (5-pyridin-3-yl-1,3,4-oxadiazole-2-yl) ketone
[1-(2, the 4-dichloro benzyl)-2-(trifluoromethyl)-1H-indol-3-yl] (5-pyridin-3-yl-1,3,4-oxadiazole-2-yl) ketone
[1-(4-benzyl chloride base)-5-methoxyl group-2-(trifluoromethyl)-1H-indol-3-yl] (5-pyridin-4-yl-1,3,4-oxadiazole-2-yl) ketone
[1-(4-benzyl chloride base)-5-oxyethyl group-2-(trifluoromethyl)-1H-indol-3-yl] (5-pyridin-4-yl-1,3,4-oxadiazole-2-yl) ketone
[1-(4-benzyl chloride base)-5-hydroxyl-2-(trifluoromethyl)-1H-indol-3-yl] (5-pyridin-4-yl-1,3,4-oxadiazole-2-yl) ketone
[1-(4-benzyl chloride base)-5-methyl-2-(trifluoromethyl)-1H-indol-3-yl] (5-pyridin-4-yl-1,3,4-oxadiazole-2-yl) ketone
[5-chloro-1-(4-benzyl chloride base)-2-(trifluoromethyl)-1H-indol-3-yl] (5-pyridin-4-yl-1,3,4-oxadiazole-2-yl) ketone
[1-(4-benzyl chloride base)-2-(trifluoromethyl)-1H-indol-3-yl] (5-pyridin-4-yl-1,3,4-oxadiazole-2-yl) ketone
[1-(2, the 4-dichloro benzyl)-5-methoxyl group-2-(trifluoromethyl)-1H-indol-3-yl] (5-pyridin-4-yl-1,3,4-oxadiazole-2-yl) ketone
[1-(2, the 4-dichloro benzyl)-5-oxyethyl group-2-(trifluoromethyl)-1H-indol-3-yl] (5-pyridin-4-yl-1,3,4-oxadiazole-2-yl) ketone
[1-(2, the 4-dichloro benzyl)-5-hydroxyl-2-(trifluoromethyl)-1H-indol-3-yl] (5-pyridin-4-yl-1,3,4-oxadiazole-2-yl) ketone
[1-(2, the 4-dichloro benzyl)-5-methyl-2-(trifluoromethyl)-1H-indol-3-yl] (5-pyridin-4-yl-1,3,4-oxadiazole-2-yl) ketone
[5-chloro-1-(2, the 4-dichloro benzyl)-2-(trifluoromethyl)-1H-indol-3-yl] (5-pyridin-4-yl-1,3,4-oxadiazole-2-yl) ketone
[1-(2, the 4-dichloro benzyl)-2-(trifluoromethyl)-1H-indol-3-yl] (5-pyridin-4-yl-1,3,4-oxadiazole-2-yl) ketone
[1-(4-benzyl chloride base)-5-methoxyl group-2-(trifluoromethyl)-1H-indol-3-yl] (5-pyrimidine-4-base-1,3,4-oxadiazole-2-yl) ketone
[1-(4-benzyl chloride base)-5-oxyethyl group-2-(trifluoromethyl)-1H-indol-3-yl] (5-pyrimidine-4-base-1,3,4-oxadiazole-2-yl) ketone
[1-(4-benzyl chloride base)-5-hydroxyl-2-(trifluoromethyl)-1H-indol-3-yl] (5-pyrimidine-4-base-1,3,4-oxadiazole-2-yl) ketone
[1-(4-benzyl chloride base)-5-methyl-2-(trifluoromethyl)-1H-indol-3-yl] (5-pyrimidine-4-base-1,3,4-oxadiazole-2-yl) ketone
[5-chloro-1-(4-benzyl chloride base)-2-(trifluoromethyl)-1H-indol-3-yl] (5-pyrimidine-4-base-1,3,4-oxadiazole-2-yl) ketone
[1-(4-benzyl chloride base)-2-(trifluoromethyl)-1H-indol-3-yl] (5-pyrimidine-4-base-1,3,4-oxadiazole-2-yl) ketone
[1-(2, the 4-dichloro benzyl)-5-methoxyl group-2-(trifluoromethyl)-1H-indol-3-yl] (5-pyrimidine-4-base-1,3,4-oxadiazole-2-yl) ketone
[1-(2, the 4-dichloro benzyl)-5-oxyethyl group-2-(trifluoromethyl)-1H-indol-3-yl] (5-pyrimidine-4-base-1,3,4-oxadiazole-2-yl) ketone
[1-(2, the 4-dichloro benzyl)-5-hydroxyl-2-(trifluoromethyl)-1H-indol-3-yl] (5-pyrimidine-4-base-1,3,4-oxadiazole-2-yl) ketone
[1-(2, the 4-dichloro benzyl)-5-methyl-2-(trifluoromethyl)-1H-indol-3-yl] (5-pyrimidine-4-base-1,3,4-oxadiazole-2-yl) ketone
[5-chloro-1-(2, the 4-dichloro benzyl)-2-(trifluoromethyl)-1H-indol-3-yl] (5-pyrimidine-4-base-1,3,4-oxadiazole-2-yl) ketone
[1-(2, the 4-dichloro benzyl)-2-(trifluoromethyl)-1H-indol-3-yl] (5-pyrimidine-4-base-1,3,4-oxadiazole-2-yl) ketone
[1-(4-benzyl chloride base)-5-methoxyl group-2-(trifluoromethyl)-1H-indol-3-yl] (2-phenyl-1,3-oxazole-5-yl) ketone
[1-(4-benzyl chloride base)-5-oxyethyl group-2-(trifluoromethyl)-1H-indol-3-yl] (2-phenyl-1,3-oxazole-5-yl) ketone
[1-(4-benzyl chloride base)-5-hydroxyl-2-(trifluoromethyl)-1H-indol-3-yl] (2-phenyl-1,3-oxazole-5-yl) ketone
[1-(4-benzyl chloride base)-5-methyl-2-(trifluoromethyl)-1H-indol-3-yl] (2-phenyl-1,3-oxazole-5-yl) ketone
[5-chloro-1-(4-benzyl chloride base)-2-(trifluoromethyl)-1H-indol-3-yl] (2-phenyl-1,3-oxazole-5-yl) ketone
[1-(4-benzyl chloride base)-2-(trifluoromethyl)-1H-indol-3-yl] (2-phenyl-1,3-oxazole-5-yl) ketone
[1-(2, the 4-dichloro benzyl)-5-methoxyl group-2-(trifluoromethyl)-1H-indol-3-yl] (2-phenyl-1,3-oxazole-5-yl) ketone
[1-(2, the 4-dichloro benzyl)-5-oxyethyl group-2-(trifluoromethyl)-1H-indol-3-yl] (2-phenyl-1,3-oxazole-5-yl) ketone
[1-(2, the 4-dichloro benzyl)-5-hydroxyl-2-(trifluoromethyl)-1H-indol-3-yl] (2-phenyl-1,3-oxazole-5-yl) ketone
[1-(2, the 4-dichloro benzyl)-5-methyl-2-(trifluoromethyl)-1H-indol-3-yl] (2-phenyl-1,3-oxazole-5-yl) ketone
[5-chloro-1-(2, the 4-dichloro benzyl)-2-(trifluoromethyl)-1H-indol-3-yl] (2-phenyl-1,3-oxazole-5-yl) ketone
[1-(2, the 4-dichloro benzyl)-2-(trifluoromethyl)-1H-indol-3-yl] (2-phenyl-1,3-oxazole-5-yl) ketone
[1-(4-benzyl chloride base)-5-methoxyl group-2-(trifluoromethyl)-1H-indol-3-yl] (2-pyridine-2-base-1,3-oxazole-5-yl) ketone
[1-(4-benzyl chloride base)-5-oxyethyl group-2-(trifluoromethyl)-1H-indol-3-yl] (2-pyridine-2-base-1,3-oxazole-5-yl) ketone
[1-(4-benzyl chloride base)-5-hydroxyl-2-(trifluoromethyl)-1H-indol-3-yl] (2-pyridine-2-base-1,3-oxazole-5-yl) ketone
[1-(4-benzyl chloride base)-5-methyl-2-(trifluoromethyl)-1H-indol-3-yl] (2-pyridine-2-base-1,3-oxazole-5-yl) ketone
[5-chloro-1-(4-benzyl chloride base)-2-(trifluoromethyl)-1H-indol-3-yl] (2-pyridine-2-base-1,3-oxazole-5-yl) ketone
[1-(4-benzyl chloride base)-2-(trifluoromethyl)-1H-indol-3-yl] (2-pyridine-2-base-1,3-oxazole-5-yl) ketone
[1-(2, the 4-dichloro benzyl)-5-methoxyl group-2-(trifluoromethyl)-1H-indol-3-yl] (2-pyridine-2-base-1,3-oxazole-5-yl) ketone
[1-(2, the 4-dichloro benzyl)-5-oxyethyl group-2-(trifluoromethyl)-1H-indol-3-yl] (2-pyridine-2-base-1,3-oxazole-5-yl) ketone
[1-(2, the 4-dichloro benzyl)-5-hydroxyl-2-(trifluoromethyl)-1H-indol-3-yl] (2-pyridine-2-base-1,3-oxazole-5-yl) ketone
[1-(2, the 4-dichloro benzyl)-5-methyl-2-(trifluoromethyl)-1H-indol-3-yl] (2-pyridine-2-base-1,3-oxazole-5-yl) ketone
[5-chloro-1-(2, the 4-dichloro benzyl)-2-(trifluoromethyl)-1H-indol-3-yl] (2-pyridine-2-base-1,3-oxazole-5-yl) ketone
[1-(2, the 4-dichloro benzyl)-2-(trifluoromethyl)-1H-indol-3-yl] (2-pyridine-2-base-1,3-oxazole-5-yl) ketone
[1-(4-benzyl chloride base)-5-methoxyl group-2-(trifluoromethyl)-1H-indol-3-yl] (2-pyridin-3-yl-1,3-oxazole-5-yl) ketone
[1-(4-benzyl chloride base)-5-oxyethyl group-2-(trifluoromethyl)-1H-indol-3-yl] (2-pyridin-3-yl-1,3-oxazole-5-yl) ketone
[1-(4-benzyl chloride base)-5-hydroxyl-2-(trifluoromethyl)-1H-indol-3-yl] (2-pyridin-3-yl-1,3-oxazole-5-yl) ketone
[1-(4-benzyl chloride base)-5-methyl-2-(trifluoromethyl)-1H-indol-3-yl] (2-pyridin-3-yl-1,3-oxazole-5-yl) ketone
[5-chloro-1-(4-benzyl chloride base)-2-(trifluoromethyl)-1H-indol-3-yl] (2-pyridin-3-yl-1,3-oxazole-5-yl) ketone
[1-(4-benzyl chloride base)-2-(trifluoromethyl)-1H-indol-3-yl] (2-pyridin-3-yl-1,3-oxazole-5-yl) ketone
[1-(2, the 4-dichloro benzyl)-5-methoxyl group-2-(trifluoromethyl)-1H-indol-3-yl] (2-pyridin-3-yl-1,3-oxazole-5-yl) ketone
[1-(2, the 4-dichloro benzyl)-5-oxyethyl group-2-(trifluoromethyl)-1H-indol-3-yl] (2-pyridin-3-yl-1,3-oxazole-5-yl) ketone
[1-(2, the 4-dichloro benzyl)-5-hydroxyl-2-(trifluoromethyl)-1H-indol-3-yl] (2-pyridin-3-yl-1,3-oxazole-5-yl) ketone
[1-(2, the 4-dichloro benzyl)-5-methyl-2-(trifluoromethyl)-1H-indol-3-yl] (2-pyridin-3-yl-1,3-oxazole-5-yl) ketone
[5-chloro-1-(2, the 4-dichloro benzyl)-2-(trifluoromethyl)-1H-indol-3-yl] (2-pyridin-3-yl-1,3-oxazole-5-yl) ketone
[1-(2, the 4-dichloro benzyl)-2-(trifluoromethyl)-1H-indol-3-yl] (2-pyridin-3-yl-1,3-oxazole-5-yl) ketone
[1-(4-benzyl chloride base)-5-methoxyl group-2-(trifluoromethyl)-1H-indol-3-yl] (2-pyridin-4-yl-1,3-oxazole-5-yl) ketone
[1-(4-benzyl chloride base)-5-oxyethyl group-2-(trifluoromethyl)-1H-indol-3-yl] (2-pyridin-4-yl-1,3-oxazole-5-yl) ketone
1-(4-benzyl chloride base)-5-hydroxyl-2-(trifluoromethyl)-1H-indol-3-yl] (2-pyridin-4-yl-1,3-oxazole-5-yl) ketone
[1-(4-benzyl chloride base)-5-methyl-2-(trifluoromethyl)-1H-indol-3-yl] (2-pyridin-4-yl-1,3-oxazole-5-yl) ketone
[5-chloro-1-(4-benzyl chloride base)-2-(trifluoromethyl)-1H-indol-3-yl] (2-pyridin-4-yl-1,3-oxazole-5-yl) ketone
[1-(4-benzyl chloride base)-2-(trifluoromethyl)-1H-indol-3-yl] (2-pyridin-4-yl-1,3-oxazole-5-yl) ketone
[1-(2, the 4-dichloro benzyl)-5-methoxyl group-2-(trifluoromethyl)-1H-indol-3-yl] (2-pyridin-4-yl-1,3-oxazole-5-yl) ketone
[1-(2, the 4-dichloro benzyl)-5-oxyethyl group-2-(trifluoromethyl)-1H-indol-3-yl] (2-pyridin-4-yl-1,3-oxazole-5-yl) ketone
[1-(2, the 4-dichloro benzyl)-5-hydroxyl-2-(trifluoromethyl)-1H-indol-3-yl] (2-pyridin-4-yl-1,3-oxazole-5-yl) ketone
[1-(2, the 4-dichloro benzyl)-5-methyl-2-(trifluoromethyl)-1H-indol-3-yl] (2-pyridin-4-yl-1,3-oxazole-5-yl) ketone
[5-chloro-1-(2, the 4-dichloro benzyl)-2-(trifluoromethyl)-1H-indol-3-yl] (2-pyridin-4-yl-1,3-oxazole-5-yl) ketone
[1-(2, the 4-dichloro benzyl)-2-(trifluoromethyl)-1H-indol-3-yl] (2-pyridin-4-yl-1,3-oxazole-5-yl) ketone
[1-(4-benzyl chloride base)-5-methoxyl group-2-(trifluoromethyl)-1H-indol-3-yl] (2-pyrimidine-4-base-1,3-oxazole-5-yl) ketone
[1-(4-benzyl chloride base)-5-oxyethyl group-2-(trifluoromethyl)-1H-indol-3-yl] (2-pyrimidine-4-base-1,3-oxazole-5-yl) ketone
[1-(4-benzyl chloride base)-5-hydroxyl-2-(trifluoromethyl)-1H-indol-3-yl] (2-pyrimidine-4-base-1,3-oxazole-5-yl) ketone
[1-(4-benzyl chloride base)-5-methyl-2-(trifluoromethyl)-1H-indol-3-yl] (2-pyrimidine-4-base-1,3-oxazole-5-yl) ketone
[5-chloro-1-(4-benzyl chloride base)-2-(trifluoromethyl)-1H-indol-3-yl] (2-pyrimidine-4-base-1,3-oxazole-5-yl) ketone
[1-(4-benzyl chloride base)-2-(trifluoromethyl)-1H-indol-3-yl] (2-pyrimidine-4-base-1,3-oxazole-5-yl) ketone
[1-(2, the 4-dichloro benzyl)-5-methoxyl group-2-(trifluoromethyl)-1H-indol-3-yl] (2-pyrimidine-4-base-1,3-oxazole-5-yl) ketone
[1-(2, the 4-dichloro benzyl)-5-oxyethyl group-2-(trifluoromethyl)-1H-indol-3-yl] (2-pyrimidine-4-base-1,3-oxazole-5-yl) ketone
[1-(2, the 4-dichloro benzyl)-5-hydroxyl-2-(trifluoromethyl)-1H-indol-3-yl] (2-pyrimidine-4-base-1,3-oxazole-5-yl) ketone
[1-(2, the 4-dichloro benzyl)-5-methyl-2-(trifluoromethyl)-1H-indol-3-yl] (2-pyrimidine-4-base-1,3-oxazole-5-yl) ketone
[5-chloro-1-(2, the 4-dichloro benzyl)-2-(trifluoromethyl)-1H-indol-3-yl] (2-pyrimidine-4-base-1,3-oxazole-5-yl) ketone
[1-(2, the 4-dichloro benzyl)-2-(trifluoromethyl)-1H-indol-3-yl] (2-pyrimidine-4-base-1,3-oxazole-5-yl) ketone
[1-(4-benzyl chloride base)-5-methoxyl group-2-(trifluoromethyl)-1H-indol-3-yl] (5-phenyl-1,3-oxazole-2-yl) ketone
[1-(4-benzyl chloride base)-5-oxyethyl group-2-(trifluoromethyl)-1H-indol-3-yl] (5-phenyl-1,3-oxazole-2-yl) ketone
[1-(4-benzyl chloride base)-5-hydroxyl-2-(trifluoromethyl)-1H-indol-3-yl] (5-phenyl-1,3-oxazole-2-yl) ketone
[1-(4-benzyl chloride base)-5-methyl-2-(trifluoromethyl)-1H-indol-3-yl] (5-phenyl-1,3-oxazole-2-yl) ketone
[5-chloro-1-(4-benzyl chloride base)-2-(trifluoromethyl)-1H-indol-3-yl] (5-phenyl-1,3-oxazole-2-yl) ketone
[1-(4-benzyl chloride base)-2-(trifluoromethyl)-1H-indol-3-yl] (5-phenyl-1,3-oxazole-2-yl) ketone
[1-(2, the 4-dichloro benzyl)-5-methoxyl group-2-(trifluoromethyl)-1H-indol-3-yl] (5-phenyl-1,3-oxazole-2-yl) ketone
[1-(2, the 4-dichloro benzyl)-5-oxyethyl group-2-(trifluoromethyl)-1H-indol-3-yl] (5-phenyl-1,3-oxazole-2-yl) ketone
[1-(2, the 4-dichloro benzyl)-5-hydroxyl-2-(trifluoromethyl)-1H-indol-3-yl] (5-phenyl-1,3-oxazole-2-yl) ketone
[1-(2, the 4-dichloro benzyl)-5-methyl-2-(trifluoromethyl)-1H-indol-3-yl] (5-phenyl-1,3-oxazole-2-yl) ketone
[5-chloro-1-(2, the 4-dichloro benzyl)-2-(trifluoromethyl)-1H-indol-3-yl] (5-phenyl-1,3-oxazole-2-yl) ketone
[1-(2, the 4-dichloro benzyl)-2-(trifluoromethyl)-1H-indol-3-yl] (5-phenyl-1,3-oxazole-2-yl) ketone
[1-(4-benzyl chloride base)-5-methoxyl group-2-(trifluoromethyl)-1H-indol-3-yl] (5-pyridine-2-base-1,3-oxazole-2-yl) ketone
[1-(4-benzyl chloride base)-5-oxyethyl group-2-(trifluoromethyl)-1H-indol-3-yl] (5-pyridine-2-base-1,3-oxazole-2-yl) ketone
[1-(4-benzyl chloride base)-5-hydroxyl-2-(trifluoromethyl)-1H-indol-3-yl] (5-pyridine-2-base-1,3-oxazole-2-yl) ketone
[1-(4-benzyl chloride base)-5-methyl-2-(trifluoromethyl)-1H-indol-3-yl] (5-pyridine-2-base-1,3-oxazole-2-yl) ketone
[5-chloro-1-(4-benzyl chloride base)-2-(trifluoromethyl)-1H-indol-3-yl] (5-pyridine-2-base-1,3-oxazole-2-yl) ketone
[1-(4-benzyl chloride base)-2-(trifluoromethyl)-1H-indol-3-yl] (5-pyridine-2-base-1,3-oxazole-2-yl) ketone
[1-(2, the 4-dichloro benzyl)-5-methoxyl group-2-(trifluoromethyl)-1H-indol-3-yl] (5-pyridine-2-base-1,3-oxazole-2-yl) ketone
[1-(2, the 4-dichloro benzyl)-5-oxyethyl group-2-(trifluoromethyl)-1H-indol-3-yl] (5-pyridine-2-base-1,3-oxazole-2-yl) ketone
[1-(2, the 4-dichloro benzyl)-5-hydroxyl-2-(trifluoromethyl)-1H-indol-3-yl] (5-pyridine-2-base-1,3-oxazole-2-yl) ketone
[1-(2, the 4-dichloro benzyl)-5-methyl-2-(trifluoromethyl)-1H-indol-3-yl] (5-pyridine-2-base-1,3-oxazole-2-yl) ketone
[5-chloro-1-(2, the 4-dichloro benzyl)-2-(trifluoromethyl)-1H-indol-3-yl] (5-pyridine-2-base-1,3-oxazole-2-yl) ketone
[1-(2, the 4-dichloro benzyl)-2-(trifluoromethyl)-1H-indol-3-yl] (5-pyridine-2-base-1,3-oxazole-2-yl) ketone
[1-(4-benzyl chloride base)-5-methoxyl group-2-(trifluoromethyl)-1H-indol-3-yl] (5-pyridin-3-yl-1,3-oxazole-2-yl) ketone
[1-(4-benzyl chloride base)-5-oxyethyl group-2-(trifluoromethyl)-1H-indol-3-yl] (5-pyridin-3-yl-1,3-oxazole-2-yl) ketone
[1-(4-benzyl chloride base)-5-hydroxyl-2-(trifluoromethyl)-1H-indol-3-yl] (5-pyridin-3-yl-1,3-oxazole-2-yl) ketone
[1-(4-benzyl chloride base)-5-methyl-2-(trifluoromethyl)-1H-indol-3-yl] (5-pyridin-3-yl-1,3-oxazole-2-yl) ketone
[5-chloro-1-(4-benzyl chloride base)-2-(trifluoromethyl)-1H-indol-3-yl] (5-pyridin-3-yl-1,3-oxazole-2-yl) ketone
[1-(4-benzyl chloride base)-2-(trifluoromethyl)-1H-indol-3-yl] (5-pyridin-3-yl-1,3-oxazole-2-yl) ketone
[1-(2, the 4-dichloro benzyl)-5-methoxyl group-2-(trifluoromethyl)-1H-indol-3-yl] (5-pyridin-3-yl-1,3-oxazole-2-yl) ketone
[1-(2, the 4-dichloro benzyl)-5-oxyethyl group-2-(trifluoromethyl)-1H-indol-3-yl] (5-pyridin-3-yl-1,3-oxazole-2-yl) ketone
[1-(2, the 4-dichloro benzyl)-5-hydroxyl-2-(trifluoromethyl)-1H-indol-3-yl] (5-pyridin-3-yl-1,3-oxazole-2-yl) ketone
[1-(2, the 4-dichloro benzyl)-5-methyl-2-(trifluoromethyl)-1H-indol-3-yl] (5-pyridin-3-yl-1,3-oxazole-2-yl) ketone
[5-chloro-1-(2, the 4-dichloro benzyl)-2-(trifluoromethyl)-1H-indol-3-yl] (5-pyridin-3-yl-1,3-oxazole-2-yl) ketone
[1-(2, the 4-dichloro benzyl)-2-(trifluoromethyl)-1H-indol-3-yl] (5-pyridin-3-yl-1,3-oxazole-2-yl) ketone
[1-(4-benzyl chloride base)-5-methoxyl group-2-(trifluoromethyl)-1H-indol-3-yl] (5-pyridin-4-yl-1,3-oxazole-2-yl) ketone
[1-(4-benzyl chloride base)-5-oxyethyl group-2-(trifluoromethyl)-1H-indol-3-yl] (5-pyridin-4-yl-1,3-oxazole-2-yl) ketone
[1-(4-benzyl chloride base)-5-hydroxyl-2-(trifluoromethyl)-1H-indol-3-yl] (5-pyridin-4-yl-1,3-oxazole-2-yl) ketone
[1-(4-benzyl chloride base)-5-methyl-2-(trifluoromethyl)-1H-indol-3-yl] (5-pyridin-4-yl-1,3-oxazole-2-yl) ketone
[5-chloro-1-(4-benzyl chloride base)-2-(trifluoromethyl)-1H-indol-3-yl] (5-pyridin-4-yl-1,3-oxazole-2-yl) ketone
[1-(4-benzyl chloride base)-2-(trifluoromethyl)-1H-indol-3-yl] (5-pyridin-4-yl-1,3-oxazole-2-yl) ketone
[1-(2, the 4-dichloro benzyl)-5-methoxyl group-2-(trifluoromethyl)-1H-indol-3-yl] (5-pyridin-4-yl-1,3-oxazole-2-yl) ketone
[1-(2, the 4-dichloro benzyl)-5-oxyethyl group-2-(trifluoromethyl)-1H-indol-3-yl] (5-pyridin-4-yl-1,3-oxazole-2-yl) ketone
[1-(2, the 4-dichloro benzyl)-5-hydroxyl-2-(trifluoromethyl)-1H-indol-3-yl] (5-pyridin-4-yl-1,3-oxazole-2-yl) ketone
[1-(2, the 4-dichloro benzyl)-5-methyl-2-(trifluoromethyl)-1H-indol-3-yl] (5-pyridin-4-yl-1,3-oxazole-2-yl) ketone
[5-chloro-1-(2, the 4-dichloro benzyl)-2-(trifluoromethyl)-1H-indol-3-yl] (5-pyridin-4-yl-1,3-oxazole-2-yl) ketone
[1-(2, the 4-dichloro benzyl)-2-(trifluoromethyl)-1H-indol-3-yl] (5-pyridin-4-yl-1,3-oxazole-2-yl) ketone
[1-(4-benzyl chloride base)-5-methoxyl group-2-(trifluoromethyl)-1H-indol-3-yl] (5-pyrimidine-4-base-1,3-oxazole-2-yl) ketone
[1-(4-benzyl chloride base)-5-oxyethyl group-2-(trifluoromethyl)-1H-indol-3-yl] (5-pyrimidine-4-base-1,3-oxazole-2-yl) ketone
[1-(4-benzyl chloride base)-5-hydroxyl-2-(trifluoromethyl)-1H-indol-3-yl] (5-pyrimidine-4-base-1,3-oxazole-2-yl) ketone
[1-(4-benzyl chloride base)-5-methyl-2-(trifluoromethyl)-1H-indol-3-yl] (5-pyrimidine-4-base-1,3-oxazole-2-yl) ketone
[5-chloro-1-(4-benzyl chloride base)-2-(trifluoromethyl)-1H-indol-3-yl] (5-pyrimidine-4-base-1,3-oxazole-2-yl) ketone
[1-(4-benzyl chloride base)-2-(trifluoromethyl)-1H-indol-3-yl] (5-pyrimidine-4-base-1,3-oxazole-2-yl) ketone
[1-(2, the 4-dichloro benzyl)-5-methoxyl group-2-(trifluoromethyl)-1H-indol-3-yl] (5-pyrimidine-4-base-1,3-oxazole-2-yl) ketone
[1-(2, the 4-dichloro benzyl)-5-oxyethyl group-2-(trifluoromethyl)-1H-indol-3-yl] (5-pyrimidine-4-base-1,3-oxazole-2-yl) ketone
[1-(2, the 4-dichloro benzyl)-5-hydroxyl-2-(trifluoromethyl)-1H-indol-3-yl] (5-pyrimidine-4-base-1,3-oxazole-2-yl) ketone
[1-(2, the 4-dichloro benzyl)-5-methyl-2-(trifluoromethyl)-1H-indol-3-yl] (5-pyrimidine-4-base-1,3-oxazole-2-yl) ketone
[5-chloro-1-(2, the 4-dichloro benzyl)-2-(trifluoromethyl)-1H-indol-3-yl] (5-pyrimidine-4-base-1,3-oxazole-2-yl) ketone
[1-(2, the 4-dichloro benzyl)-2-(trifluoromethyl)-1H-indol-3-yl] (5-pyrimidine-4-base-1,3-oxazole-2-yl) ketone
[1-(4-benzyl chloride base)-5-methoxyl group-2-(chlorine)-1H-indol-3-yl] (3-pyridine-2-base-1,2,4-oxadiazole-5-yl) ketone
[1-(4-benzyl chloride base)-5-oxyethyl group-2-(chlorine)-1H-indol-3-yl] (3-pyridine-2-base-1,2,4-oxadiazole-5-yl) ketone
[1-(4-benzyl chloride base)-5-hydroxyl-2-(chlorine)-1H-indol-3-yl] (3-pyridine-2-base-1,2,4-oxadiazole-5-yl) ketone
[1-(4-benzyl chloride base)-5-methyl-2-(chlorine)-1H-indol-3-yl] (3-pyridine-2-base-1,2,4-oxadiazole-5-yl) ketone
[5-chloro-1-(4-benzyl chloride base)-2-(chlorine)-1H-indol-3-yl] (3-pyridine-2-base-1,2,4-oxadiazole-5-yl) ketone
[1-(4-benzyl chloride base)-2-(chlorine)-1H-indol-3-yl] (3-pyridine-2-base-1,2,4-oxadiazole-5-yl) ketone
[1-(2, the 4-dichloro benzyl)-5-methoxyl group-2-(chlorine)-1H-indol-3-yl] (3-pyridine-2-base-1,2,4-oxadiazole-5-yl) ketone
[1-(2, the 4-dichloro benzyl)-5-oxyethyl group-2-(chlorine)-1H-indol-3-yl] (3-pyridine-2-base-1,2,4-oxadiazole-5-yl) ketone
[1-(2, the 4-dichloro benzyl)-5-hydroxyl-2-(chlorine)-1H-indol-3-yl] (3-pyridine-2-base-1,2,4-oxadiazole-5-yl) ketone
[1-(2, the 4-dichloro benzyl)-5-methyl-2-(chlorine)-1H-indol-3-yl] (3-pyridine-2-base-1,2,4-oxadiazole-5-yl) ketone
[5-chloro-1-(2, the 4-dichloro benzyl)-2-(chlorine)-1H-indol-3-yl] (3-pyridine-2-base-1,2,4-oxadiazole-5-yl) ketone
[1-(2, the 4-dichloro benzyl)-2-(chlorine)-1H-indol-3-yl] (3-pyridine-2-base-1,2,4-oxadiazole-5-yl) ketone
[1-(4-benzyl chloride base)-5-methoxyl group-2-(chlorine)-1H-indol-3-yl] (3-pyridin-3-yl-1,2,4-oxadiazole-5-yl) ketone
[1-(4-benzyl chloride base)-5-oxyethyl group-2-(chlorine)-1H-indol-3-yl] (3-pyridin-3-yl-1,2,4-oxadiazole-5-yl) ketone
[1-(4-benzyl chloride base)-5-hydroxyl-2-(chlorine)-1H-indol-3-yl] (3-pyridin-3-yl-1,2,4-oxadiazole-5-yl) ketone
[1-(4-benzyl chloride base)-5-methyl-2-(chlorine)-1H-indol-3-yl] (3-pyridin-3-yl-1,2,4-oxadiazole-5-yl) ketone
[5-chloro-1-(4-benzyl chloride base)-2-(chlorine)-1H-indol-3-yl] (3-pyridin-3-yl-1,2,4-oxadiazole-5-yl) ketone
[1-(4-benzyl chloride base)-2-(chlorine)-1H-indol-3-yl] (3-pyridin-3-yl-1,2,4-oxadiazole-5-yl) ketone
[1-(2, the 4-dichloro benzyl)-5-methoxyl group-2-(chlorine)-1H-indol-3-yl] (3-pyridin-3-yl-1,2,4-oxadiazole-5-yl) ketone
[1-(2, the 4-dichloro benzyl)-5-oxyethyl group-2-(chlorine)-1H-indol-3-yl] (3-pyridin-3-yl-1,2,4-oxadiazole-5-yl) ketone
[1-(2, the 4-dichloro benzyl)-5-hydroxyl-2-(chlorine)-1H-indol-3-yl] (3-pyridin-3-yl-1,2,4-oxadiazole-5-yl) ketone
[1-(2, the 4-dichloro benzyl)-5-methyl-2-(chlorine)-1H-indol-3-yl] (3-pyridin-3-yl-1,2,4-oxadiazole-5-yl) ketone
[5-chloro-1-(2, the 4-dichloro benzyl)-2-(chlorine)-1H-indol-3-yl] (3-pyridin-3-yl-1,2,4-oxadiazole-5-yl) ketone
[1-(2, the 4-dichloro benzyl)-2-(chlorine)-1H-indol-3-yl] (3-pyridin-3-yl-1,2,4-oxadiazole-5-yl) ketone
[1-(4-benzyl chloride base)-5-methoxyl group-2-(chlorine)-1H-indol-3-yl] (3-pyridin-4-yl-1,2,4-oxadiazole-5-yl) ketone
[1-(4-benzyl chloride base)-5-oxyethyl group-2-(chlorine)-1H-indol-3-yl] (3-pyridin-4-yl-1,2,4-oxadiazole-5-yl) ketone
[1-(4-benzyl chloride base)-5-hydroxyl-2-(chlorine)-1H-indol-3-yl] (3-pyridin-4-yl-1,2,4-oxadiazole-5-yl) ketone
[1-(4-benzyl chloride base)-5-methyl-2-(chlorine)-1H-indol-3-yl] (3-pyridin-4-yl-1,2,4-oxadiazole-5-yl) ketone
[5-chloro-1-(4-benzyl chloride base)-2-(chlorine)-1H-indol-3-yl] (3-pyridin-4-yl-1,2,4-oxadiazole-5-yl) ketone
[1-(4-benzyl chloride base)-2-(chlorine)-1H-indol-3-yl] (3-pyridin-4-yl-1,2,4-oxadiazole-5-yl) ketone
[1-(2, the 4-dichloro benzyl)-5-methoxyl group-2-(chlorine)-1H-indol-3-yl] (3-pyridin-4-yl-1,2,4-oxadiazole-5-yl) ketone
[1-(2, the 4-dichloro benzyl)-5-oxyethyl group-2-(chlorine)-1H-indol-3-yl] (3-pyridin-4-yl-1,2,4-oxadiazole-5-yl) ketone
[1-(2, the 4-dichloro benzyl)-5-hydroxyl-2-(chlorine)-1H-indol-3-yl] (3-pyridin-4-yl-1,2,4-oxadiazole-5-yl) ketone
[1-(2, the 4-dichloro benzyl)-5-methyl-2-(chlorine)-1H-indol-3-yl] (3-pyridin-4-yl-1,2,4-oxadiazole-5-yl) ketone
[5-chloro-1-(2, the 4-dichloro benzyl)-2-(chlorine)-1H-indol-3-yl] (3-pyridin-4-yl-1,2,4-oxadiazole-5-yl) ketone
[1-(2, the 4-dichloro benzyl)-2-(chlorine)-1H-indol-3-yl] (3-pyridin-4-yl-1,2,4-oxadiazole-5-yl) ketone
[1-(4-benzyl chloride base)-5-methoxyl group-2-(chlorine)-1H-indol-3-yl] (3-pyrimidine-4-base-1,2,4-oxadiazole-5-yl) ketone
[1-(4-benzyl chloride base)-5-oxyethyl group-2-(chlorine)-1H-indol-3-yl] (3-pyrimidine-4-base-1,2,4-oxadiazole-5-yl) ketone
[1-(4-benzyl chloride base)-5-hydroxyl-2-(chlorine)-1H-indol-3-yl] (3-pyrimidine-4-base-1,2,4-oxadiazole-5-yl) ketone
[1-(4-benzyl chloride base)-5-methyl-2-(chlorine)-1H-indol-3-yl] (3-pyrimidine-4-base-1,2,4-oxadiazole-5-yl) ketone
[5-chloro-1-(4-benzyl chloride base)-2-(chlorine)-1H-indol-3-yl] (3-pyrimidine-4-base-1,2,4-oxadiazole-5-yl) ketone
[1-(4-benzyl chloride base)-2-(chlorine)-1H-indol-3-yl] (3-pyrimidine-4-base-1,2,4-oxadiazole-5-yl) ketone
[1-(2, the 4-dichloro benzyl)-5-methoxyl group-2-(chlorine)-1H-indol-3-yl] (3-pyrimidine-4-base-1,2,4-oxadiazole-5-yl) ketone
[1-(2, the 4-dichloro benzyl)-5-oxyethyl group-2-(chlorine)-1H-indol-3-yl] (3-pyrimidine-4-base-1,2,4-oxadiazole-5-yl) ketone
[1-(2, the 4-dichloro benzyl)-5-hydroxyl-2-(chlorine)-1H-indol-3-yl] (3-pyrimidine-4-base-1,2,4-oxadiazole-5-yl) ketone
[1-(2, the 4-dichloro benzyl)-5-methyl-2-(chlorine)-1H-indol-3-yl] (3-pyrimidine-4-base-1,2,4-oxadiazole-5-yl) ketone
[5-chloro-1-(2, the 4-dichloro benzyl)-2-(chlorine)-1H-indol-3-yl] (3-pyrimidine-4-base-1,2,4-oxadiazole-5-yl) ketone
[1-(2, the 4-dichloro benzyl)-2-(chlorine)-1H-indol-3-yl] (3-pyrimidine-4-base-1,2,4-oxadiazole-5-yl) ketone
[1-(4-benzyl chloride base)-5-methoxyl group-2-(chlorine)-1H-indol-3-yl] (5-phenyl-1,2,4-oxadiazole-3-yl) ketone
[1-(4-benzyl chloride base)-5-oxyethyl group-2-(chlorine)-1H-indol-3-yl] (5-phenyl-1,2,4-oxadiazole-3-yl) ketone
[1-(4-benzyl chloride base)-5-hydroxyl-2-(chlorine)-1H-indol-3-yl] (5-phenyl-1,2,4-oxadiazole-3-yl) ketone
[1-(4-benzyl chloride base)-5-methyl-2-(chlorine)-1H-indol-3-yl] (5-phenyl-1,2,4-oxadiazole-3-yl) ketone
[5-chloro-1-(4-benzyl chloride base)-2-(chlorine)-1H-indol-3-yl] (5-phenyl-1,2,4-oxadiazole-3-yl) ketone
[1-(4-benzyl chloride base)-2-(chlorine)-1H-indol-3-yl] (5-phenyl-1,2,4-oxadiazole-3-yl) ketone
[1-(2, the 4-dichloro benzyl)-5-methoxyl group-2-(chlorine)-1H-indol-3-yl] (5-phenyl-1,2,4-oxadiazole-3-yl) ketone
[1-(2, the 4-dichloro benzyl)-5-oxyethyl group-2-(chlorine)-1H-indol-3-yl] (5-phenyl-1,2,4-oxadiazole-3-yl) ketone
[1-(2, the 4-dichloro benzyl)-5-hydroxyl-2-(chlorine)-1H-indol-3-yl] (5-phenyl-1,2,4-oxadiazole-3-yl) ketone
[1-(2, the 4-dichloro benzyl)-5-methyl-2-(chlorine)-1H-indol-3-yl] (5-phenyl-1,2,4-oxadiazole-3-yl) ketone
[5-chloro-1-(2, the 4-dichloro benzyl)-2-(chlorine)-1H-indol-3-yl] (5-phenyl-1,2,4-oxadiazole-3-yl) ketone
[1-(2, the 4-dichloro benzyl)-2-(chlorine)-1H-indol-3-yl] (5-phenyl-1,2,4-oxadiazole-3-yl) ketone
[1-(4-benzyl chloride base)-5-methoxyl group-2-(chlorine)-1H-indol-3-yl] (5-pyridine-2-base-1,2,4-oxadiazole-3-yl) ketone
[1-(4-benzyl chloride base)-5-oxyethyl group-2-(chlorine)-1H-indol-3-yl] (5-pyridine-2-base-1,2,4-oxadiazole-3-yl) ketone
[1-(4-benzyl chloride base)-5-hydroxyl-2-(chlorine)-1H-indol-3-yl] (5-pyridine-2-base-1,2,4-oxadiazole-3-yl) ketone
[1-(4-benzyl chloride base)-5-methyl-2-(chlorine)-1H-indol-3-yl] (5-pyridine-2-base-1,2,4-oxadiazole-3-yl) ketone
[5-chloro-1-(4-benzyl chloride base)-2-(chlorine)-1H-indol-3-yl] (5-pyridine-2-base-1,2,4-oxadiazole-3-yl) ketone
[1-(4-benzyl chloride base)-2-(chlorine)-1H-indol-3-yl] (5-pyridine-2-base-1,2,4-oxadiazole-3-yl) ketone
[1-(2, the 4-dichloro benzyl)-5-methoxyl group-2-(chlorine)-1H-indol-3-yl] (5-pyridine-2-base-1,2,4-oxadiazole-3-yl) ketone
[1-(2, the 4-dichloro benzyl)-5-oxyethyl group-2-(chlorine)-1H-indol-3-yl] (5-pyridine-2-base-1,2,4-oxadiazole-3-yl) ketone
[1-(2, the 4-dichloro benzyl)-5-hydroxyl-2-(chlorine)-1H-indol-3-yl] (5-pyridine-2-base-1,2,4-oxadiazole-3-yl) ketone
[1-(2, the 4-dichloro benzyl)-5-methyl-2-(chlorine)-1H-indol-3-yl] (5-pyridine-2-base-1,2,4-oxadiazole-3-yl) ketone
[5-chloro-1-(2, the 4-dichloro benzyl)-2-(chlorine)-1H-indol-3-yl] (5-pyridine-2-base-1,2,4-oxadiazole-3-yl) ketone
[1-(2, the 4-dichloro benzyl)-2-(chlorine)-1H-indol-3-yl] (5-pyridine-2-base-1,2,4-oxadiazole-3-yl) ketone
[1-(4-benzyl chloride base)-5-methoxyl group-2-(chlorine)-1H-indol-3-yl] (5-pyridin-3-yl-1,2,4-oxadiazole-3-yl) ketone
[1-(4-benzyl chloride base)-5-oxyethyl group-2-(chlorine)-1H-indol-3-yl] (5-pyridin-3-yl-1,2,4-oxadiazole-3-yl) ketone
[5-chloro-1-(4-benzyl chloride base)-2-(chlorine)-1H-indol-3-yl] (5-pyridin-3-yl-1,2,4-oxadiazole-3-yl) ketone
[1-(4-benzyl chloride base)-2-(chlorine)-1H-indol-3-yl] (5-pyridin-3-yl-1,2,4-oxadiazole-3-yl) ketone
[1-(2, the 4-dichloro benzyl)-5-methoxyl group-2-(chlorine)-1H-indol-3-yl] (5-pyridin-3-yl-1,2,4-oxadiazole-3-yl) ketone
[1-(2, the 4-dichloro benzyl)-5-oxyethyl group-2-(chlorine)-1H-indol-3-yl] (5-pyridin-3-yl-1,2,4-oxadiazole-3-yl) ketone
[1-(2, the 4-dichloro benzyl)-5-hydroxyl-2-(chlorine)-1H-indol-3-yl] (5-pyridin-3-yl-1,2,4-oxadiazole-3-yl) ketone
[1-(2, the 4-dichloro benzyl)-5-methyl-2-(chlorine)-1H-indol-3-yl] (5-pyridin-3-yl-1,2,4-oxadiazole-3-yl) ketone
[5-chloro-1-(2, the 4-dichloro benzyl)-2-(chlorine)-1H-indol-3-yl] (5-pyridin-3-yl-1,2,4-oxadiazole-3-yl) ketone
[1-(2, the 4-dichloro benzyl)-2-(chlorine)-1H-indol-3-yl] (5-pyridin-3-yl-1,2,4-oxadiazole-3-yl) ketone
[1-(4-benzyl chloride base)-5-methoxyl group-2-(chlorine)-1H-indol-3-yl] (5-pyridin-4-yl-1,2,4-oxadiazole-3-yl) ketone
[1-(4-benzyl chloride base)-5-oxyethyl group-2-(chlorine)-1H-indol-3-yl] (5-pyridin-4-yl-1,2,4-oxadiazole-3-yl) ketone
[1-(4-benzyl chloride base)-5-hydroxyl-2-(chlorine)-1H-indol-3-yl] (5-pyridin-4-yl-1,2,4-oxadiazole-3-yl) ketone
[1-(4-benzyl chloride base)-5-methyl-2-(chlorine)-1H-indol-3-yl] (5-pyridin-4-yl-1,2,4-oxadiazole-3-yl) ketone
[5-chloro-1-(4-benzyl chloride base)-2-(chlorine)-1H-indol-3-yl] (5-pyridin-4-yl-1,2,4-oxadiazole-3-yl) ketone
[1-(4-benzyl chloride base)-2-(chlorine)-1H-indol-3-yl] (5-pyridin-4-yl-1,2,4-oxadiazole-3-yl) ketone
[1-(2, the 4-dichloro benzyl)-5-methoxyl group-2-(chlorine)-1H-indol-3-yl] (5-pyridin-4-yl-1,2,4-oxadiazole-3-yl) ketone
[1-(2, the 4-dichloro benzyl)-5-oxyethyl group-2-(chlorine)-1H-indol-3-yl] (5-pyridin-4-yl-1,2,4-oxadiazole-3-yl) ketone
[1-(2, the 4-dichloro benzyl)-5-hydroxyl-2-(chlorine)-1H-indol-3-yl] (5-pyridin-4-yl-1,2,4-oxadiazole-3-yl) ketone
[1-(2, the 4-dichloro benzyl)-5-methyl-2-(chlorine)-1H-indol-3-yl] (5-pyridin-4-yl-1,2,4-oxadiazole-3-yl) ketone
[5-chloro-1-(2, the 4-dichloro benzyl)-2-(chlorine)-1H-indol-3-yl] (5-pyridin-4-yl-1,2,4-oxadiazole-3-yl) ketone
[1-(2, the 4-dichloro benzyl)-2-(chlorine)-1H-indol-3-yl] (5-pyridin-4-yl-1,2,4-oxadiazole-3-yl) ketone
[1-(4-benzyl chloride base)-5-methoxyl group-2-(chlorine)-1H-indol-3-yl] (5-pyrimidine-4-base-1,2,4-oxadiazole-3-yl) ketone
[1-(4-benzyl chloride base)-5-oxyethyl group-2-(chlorine)-1H-indol-3-yl] (5-pyrimidine-4-base-1,2,4-oxadiazole-3-yl) ketone
[1-(4-benzyl chloride base)-5-hydroxyl-2-(chlorine)-1H-indol-3-yl] (5-pyrimidine-4-base-1,2,4-oxadiazole-3-yl) ketone
[1-(4-benzyl chloride base)-5-methyl-2-(chlorine)-1H-indol-3-yl] (5-pyrimidine-4-base-1,2,4-oxadiazole-3-yl) ketone
[5-chloro-1-(4-benzyl chloride base)-2-(chlorine)-1H-indol-3-yl] (5-pyrimidine-4-base-1,2,4-oxadiazole-3-yl) ketone
[1-(4-benzyl chloride base)-2-(chlorine)-1H-indol-3-yl] (5-pyrimidine-4-base-1,2,4-oxadiazole-3-yl) ketone
[1-(2, the 4-dichloro benzyl)-5-methoxyl group-2-(chlorine)-1H-indol-3-yl] (5-pyrimidine-4-base-1,2,4-oxadiazole-3-yl) ketone
[1-(2, the 4-dichloro benzyl)-5-oxyethyl group-2-(chlorine)-1H-indol-3-yl] (5-pyrimidine-4-base-1,2,4-oxadiazole-3-yl) ketone
[1-(2, the 4-dichloro benzyl)-5-hydroxyl-2-(chlorine)-1H-indol-3-yl] (5-pyrimidine-4-base-1,2,4-oxadiazole-3-yl) ketone
[1-(2, the 4-dichloro benzyl)-5-methyl-2-(chlorine)-1H-indol-3-yl] (5-pyrimidine-4-base-1,2,4-oxadiazole-3-yl) ketone
[5-chloro-1-(2, the 4-dichloro benzyl)-2-(chlorine)-1H-indol-3-yl] (5-pyrimidine-4-base-1,2,4-oxadiazole-3-yl) ketone
[1-(2, the 4-dichloro benzyl)-2-(chlorine)-1H-indol-3-yl] (5-pyrimidine-4-base-1,2,4-oxadiazole-3-yl) ketone
[1-(4-benzyl chloride base)-5-methoxyl group-2-(chlorine)-1H-indol-3-yl] (5-phenyl-1,3,4-oxadiazole-2-yl) ketone
[1-(4-benzyl chloride base)-5-oxyethyl group-2-(chlorine)-1H-indol-3-yl] (5-phenyl-1,3,4-oxadiazole-2-yl) ketone
[1-(4-benzyl chloride base)-5-hydroxyl-2-(chlorine)-1H-indol-3-yl] (5-phenyl-1,3,4-oxadiazole-2-yl) ketone
[1-(4-benzyl chloride base)-5-methyl-2-(chlorine)-1H-indol-3-yl] (5-phenyl-1,3,4-oxadiazole-2-yl) ketone
[5-chloro-1-(4-benzyl chloride base)-2-(chlorine)-1H-indol-3-yl] (5-phenyl-1,3,4-oxadiazole-2-yl) ketone
[1-(4-benzyl chloride base)-2-(chlorine)-1H-indol-3-yl] (5-phenyl-1,3,4-oxadiazole-2-yl) ketone
[1-(2, the 4-dichloro benzyl)-5-methoxyl group-2-(chlorine)-1H-indol-3-yl] (5-phenyl-1,3,4-oxadiazole-2-yl) ketone
[1-(2, the 4-dichloro benzyl)-5-oxyethyl group-2-(chlorine)-1H-indol-3-yl] (5-phenyl-1,3,4-oxadiazole-2-yl) ketone
[1-(2, the 4-dichloro benzyl)-5-methyl-2-(chlorine)-1H-indol-3-yl] (5-phenyl-1,3,4-oxadiazole-2-yl) ketone
[5-chloro-1-(2, the 4-dichloro benzyl)-2-(chlorine)-1H-indol-3-yl] (5-phenyl-1,3,4-oxadiazole-2-yl) ketone
[1-(2, the 4-dichloro benzyl)-2-(chlorine)-1H-indol-3-yl] (5-phenyl-1,3,4-oxadiazole-2-yl) ketone
[1-(2, the 4-dichloro benzyl)-2-(chlorine)-1H-indol-3-yl] (5-phenyl-1,3,4-oxadiazole-2-yl) ketone
[1-(4-benzyl chloride base)-5-oxyethyl group-2-(chlorine)-1H-indol-3-yl] (5-pyridine-2-base-1,3,4-oxadiazole-2-yl) ketone
[1-(4-benzyl chloride base)-5-hydroxyl-2-(chlorine)-1H-indol-3-yl] (5-pyridine-2-base-1,3,4-oxadiazole-2-yl) ketone
[1-(4-benzyl chloride base)-5-methyl-2-(chlorine)-1H-indol-3-yl] (5-pyridine-2-base-1,3,4-oxadiazole-2-yl) ketone
[5-chloro-1-(4-benzyl chloride base)-2-(chlorine)-1H-indol-3-yl] (5-pyridine-2-base-1,3,4-oxadiazole-2-yl) ketone
[1-(4-benzyl chloride base)-2-(chlorine)-1H-indol-3-yl] (5-pyridine-2-base-1,3,4-oxadiazole-2-yl) ketone
[1-(2, the 4-dichloro benzyl)-5-methoxyl group-2-(chlorine)-1H-indol-3-yl] (5-pyridine-2-base-1,3,4-oxadiazole-2-yl) ketone
[1-(2, the 4-dichloro benzyl)-5-oxyethyl group-2-(chlorine)-1H-indol-3-yl] (5-pyridine-2-base-1,3,4-oxadiazole-2-yl) ketone
[1-(2, the 4-dichloro benzyl)-5-hydroxyl-2-(chlorine)-1H-indol-3-yl] (5-pyridine-2-base-1,3,4-oxadiazole-2-yl) ketone
[1-(2, the 4-dichloro benzyl)-5-methyl-2-(chlorine)-1H-indol-3-yl] (5-pyridine-2-base-1,3,4-oxadiazole-2-yl) ketone
[5-chloro-1-(2, the 4-dichloro benzyl)-2-(chlorine)-1H-indol-3-yl] (5-pyridine-2-base-1,3,4-oxadiazole-2-yl) ketone
[1-(4-benzyl chloride base)-5-oxyethyl group-2-(chlorine)-1H-indol-3-yl] (5-pyridin-3-yl-1,3,4-oxadiazole-2-yl) ketone
[1-(4-benzyl chloride base)-5-hydroxyl-2-(chlorine)-1H-indol-3-yl] (5-pyridin-3-yl-1,3,4-oxadiazole-2-yl) ketone
[1-(4-benzyl chloride base)-5-methyl-2-(chlorine)-1H-indol-3-yl] (5-pyridin-3-yl-1,3,4-oxadiazole-2-yl) ketone
[5-chloro-1-(4-benzyl chloride base)-2-(chlorine)-1H-indol-3-yl] (5-pyridin-3-yl-1,3,4-oxadiazole-2-yl) ketone
[1-(4-benzyl chloride base)-2-(chlorine)-1H-indol-3-yl] (5-pyridin-3-yl-1,3,4-oxadiazole-2-yl) ketone
[1-(2, the 4-dichloro benzyl)-5-methoxyl group-2-(chlorine)-1H-indol-3-yl] (5-pyridin-3-yl-1,3,4-oxadiazole-2-yl) ketone
[1-(2, the 4-dichloro benzyl)-5-oxyethyl group-2-(chlorine)-1H-indol-3-yl] (5-pyridin-3-yl-1,3,4-oxadiazole-2-yl) ketone
[1-(2, the 4-dichloro benzyl)-5-methyl-2-(chlorine)-1H-indol-3-yl] (5-pyridin-3-yl-1,3,4-oxadiazole-2-yl) ketone
[5-chloro-1-(2, the 4-dichloro benzyl)-2-(chlorine)-1H-indol-3-yl] (5-pyridin-3-yl-1,3,4-oxadiazole-2-yl) ketone
[1-(2, the 4-dichloro benzyl)-2-(chlorine)-1H-indol-3-yl] (5-pyridin-3-yl-1,3,4-oxadiazole-2-yl) ketone
[1-(4-benzyl chloride base)-5-methoxyl group-2-(chlorine)-1H-indol-3-yl] (5-pyridin-4-yl-1,3,4-oxadiazole-2-yl) ketone
[1-(4-benzyl chloride base)-5-oxyethyl group-2-(chlorine)-1H-indol-3-yl] (5-pyridin-4-yl-1,3,4-oxadiazole-2-yl) ketone
[1-(4-benzyl chloride base)-5-hydroxyl-2-(chlorine)-1H-indol-3-yl] (5-pyridin-4-yl-1,3,4-oxadiazole-2-yl) ketone
[1-(4-benzyl chloride base)-5-methyl-2-(chlorine)-1H-indol-3-yl] (5-pyridin-4-yl-1,3,4-oxadiazole-2-yl) ketone
[5-chloro-1-(4-benzyl chloride base)-2-(chlorine)-1H-indol-3-yl] (5-pyridin-4-yl-1,3,4-oxadiazole-2-yl) ketone
[1-(4-benzyl chloride base)-2-(chlorine)-1H-indol-3-yl] (5-pyridin-4-yl-1,3,4-oxadiazole-2-yl) ketone
[1-(2, the 4-dichloro benzyl)-5-methoxyl group-2-(chlorine)-1H-indol-3-yl] (5-pyridin-4-yl-1,3,4-oxadiazole-2-yl) ketone
[1-(2, the 4-dichloro benzyl)-5-oxyethyl group-2-(chlorine)-1H-indol-3-yl] (5-pyridin-4-yl-1,3,4-oxadiazole-2-yl) ketone
[1-(2, the 4-dichloro benzyl)-5-hydroxyl-2-(chlorine)-1H-indol-3-yl] (5-pyridin-4-yl-1,3,4-oxadiazole-2-yl) ketone
[1-(2, the 4-dichloro benzyl)-5-methyl-2-(chlorine)-1H-indol-3-yl] (5-pyridin-4-yl-1,3,4-oxadiazole-2-yl) ketone
[5-chloro-1-(2, the 4-dichloro benzyl)-2-(chlorine)-1H-indol-3-yl] (5-pyridin-4-yl-1,3,4-oxadiazole-2-yl) ketone
[1-(2, the 4-dichloro benzyl)-2-(chlorine)-1H-indol-3-yl] (5-pyridin-4-yl-1,3,4-oxadiazole-2-yl) ketone
[1-(4-benzyl chloride base)-5-methoxyl group-2-(chlorine)-1H-indol-3-yl] (5-pyrimidine-4-base-1,3,4-oxadiazole-2-yl) ketone
[1-(4-benzyl chloride base)-5-oxyethyl group-2-(chlorine)-1H-indol-3-yl] (5-pyrimidine-4-base-1,3,4-oxadiazole-2-yl) ketone
[1-(4-benzyl chloride base)-5-hydroxyl-2-(chlorine)-1H-indol-3-yl] (5-pyrimidine-4-base-1,3,4-oxadiazole-2-yl) ketone
[1-(4-benzyl chloride base)-5-methyl-2-(chlorine)-1H-indol-3-yl] (5-pyrimidine-4-base-1,3,4-oxadiazole-2-yl) ketone
[5-chloro-1-(4-benzyl chloride base)-2-(chlorine)-1H-indol-3-yl] (5-pyrimidine-4-base-1,3,4-oxadiazole-2-yl) ketone
[1-(4-benzyl chloride base)-2-(chlorine)-1H-indol-3-yl] (5-pyrimidine-4-base-1,3,4-oxadiazole-2-yl) ketone
[1-(2, the 4-dichloro benzyl)-5-methoxyl group-2-(chlorine)-1H-indol-3-yl] (5-pyrimidine-4-base-1,3,4-oxadiazole-2-yl) ketone
[1-(2, the 4-dichloro benzyl)-5-oxyethyl group-2-(chlorine)-1H-indol-3-yl] (5-pyrimidine-4-base-1,3,4-oxadiazole-2-yl) ketone
[1-(2, the 4-dichloro benzyl)-5-hydroxyl-2-(chlorine)-1H-indol-3-yl] (5-pyrimidine-4-base-1,3,4-oxadiazole-2-yl) ketone
[1-(2, the 4-dichloro benzyl)-5-methyl-2-(chlorine)-1H-indol-3-yl] (5-pyrimidine-4-base-1,3,4-oxadiazole-2-yl) ketone
[5-chloro-1-(2, the 4-dichloro benzyl)-2-(chlorine)-1H-indol-3-yl] (5-pyrimidine-4-base-1,3,4-oxadiazole-2-yl) ketone
[1-(2, the 4-dichloro benzyl)-2-(chlorine)-1H-indol-3-yl] (5-pyrimidine-4-base-1,3,4-oxadiazole-2-yl) ketone
[1-(4-benzyl chloride base)-5-methoxyl group-2-(chlorine)-1H-indol-3-yl] (2-phenyl-1,3-oxazole-5-yl) ketone
[1-(4-benzyl chloride base)-5-oxyethyl group-2-(chlorine)-1H-indol-3-yl] (2-phenyl-1,3-oxazole-5-yl) ketone
[1-(4-benzyl chloride base)-5-hydroxyl-2-(chlorine)-1H-indol-3-yl] (2-phenyl-1,3-oxazole-5-yl) ketone
[1-(4-benzyl chloride base)-5-methyl-2-(chlorine)-1H-indol-3-yl] (2-phenyl-1,3-oxazole-5-yl) ketone
[5-chloro-1-(4-benzyl chloride base)-2-(chlorine)-1H-indol-3-yl] (2-phenyl-1,3-oxazole-5-yl) ketone
[1-(4-benzyl chloride base)-2-(chlorine)-1H-indol-3-yl] (2-phenyl-1,3-oxazole-5-yl) ketone
[1-(2, the 4-dichloro benzyl)-5-methoxyl group-2-(chlorine)-1H-indol-3-yl] (2-phenyl-1,3-oxazole-5-yl) ketone
[1-(2, the 4-dichloro benzyl)-5-oxyethyl group-2-(chlorine)-1H-indol-3-yl] (2-phenyl-1,3-oxazole-5-yl) ketone
[1-(2, the 4-dichloro benzyl)-5-hydroxyl-2-(chlorine)-1H-indol-3-yl] (2-phenyl-1,3-oxazole-5-yl) ketone
[1-(2, the 4-dichloro benzyl)-5-methyl-2-(chlorine)-1H-indol-3-yl] (2-phenyl-1,3-oxazole-5-yl) ketone
[5-chloro-1-(2, the 4-dichloro benzyl)-2-(chlorine)-1H-indol-3-yl] (2-phenyl-1,3-oxazole-5-yl) ketone
[1-(2, the 4-dichloro benzyl)-2-(chlorine)-1H-indol-3-yl] (2-phenyl-1,3-oxazole-5-yl) ketone
[1-(4-benzyl chloride base)-5-methoxyl group-2-(chlorine)-1H-indol-3-yl] (2-pyridine-2-base-1,3-oxazole-5-yl) ketone
[1-(4-benzyl chloride base)-5-oxyethyl group-2-(chlorine)-1H-indol-3-yl] (2-pyridine-2-base-1,3-oxazole-5-yl) ketone
[1-(4-benzyl chloride base)-5-hydroxyl-2-(chlorine)-1H-indol-3-yl] (2-pyridine-2-base-1,3-oxazole-5-yl) ketone
[1-(4-benzyl chloride base)-5-methyl-2-(chlorine)-1H-indol-3-yl] (2-pyridine-2-base-1,3-oxazole-5-yl) ketone
[5-chloro-1-(4-benzyl chloride base)-2-(chlorine)-1H-indol-3-yl] (2-pyridine-2-base-1,3-oxazole-5-yl) ketone
[1-(4-benzyl chloride base)-2-(chlorine)-1H-indol-3-yl] (2-pyridine-2-base-1,3-oxazole-5-yl) ketone
[1-(2, the 4-dichloro benzyl)-5-methoxyl group-2-(chlorine)-1H-indol-3-yl] (2-pyridine-2-base-1,3-oxazole-5-yl) ketone
[1-(2, the 4-dichloro benzyl)-5-oxyethyl group-2-(chlorine)-1H-indol-3-yl] (2-pyridine-2-base-1,3-oxazole-5-yl) ketone
[1-(2, the 4-dichloro benzyl)-5-hydroxyl-2-(chlorine)-1H-indol-3-yl] (2-pyridine-2-base-1,3-oxazole-5-yl) ketone
[1-(2, the 4-dichloro benzyl)-5-methyl-2-(chlorine)-1H-indol-3-yl] (2-pyridine-2-base-1,3-oxazole-5-yl) ketone
[5-chloro-1-(2, the 4-dichloro benzyl)-2-(chlorine)-1H-indol-3-yl] (2-pyridine-2-base-1,3-oxazole-5-yl) ketone
[1-(2, the 4-dichloro benzyl)-2-(chlorine)-1H-indol-3-yl] (2-pyridine-2-base-1,3-oxazole-5-yl) ketone
[1-(4-benzyl chloride base)-5-methoxyl group-2-(chlorine)-1H-indol-3-yl] (2-pyridin-3-yl-1,3-oxazole-5-yl) ketone
[1-(4-benzyl chloride base)-5-oxyethyl group-2-(chlorine)-1H-indol-3-yl] (2-pyridin-3-yl-1,3-oxazole-5-yl) ketone
[1-(4-benzyl chloride base)-5-hydroxyl-2-(chlorine)-1H-indol-3-yl] (2-pyridin-3-yl-1,3-oxazole-5-yl) ketone
[1-(4-benzyl chloride base)-5-methyl-2-(chlorine)-1H-indol-3-yl] (2-pyridin-3-yl-1,3-oxazole-5-yl) ketone
[5-chloro-1-(4-benzyl chloride base)-2-(chlorine)-1H-indol-3-yl] (2-pyridin-3-yl-1,3-oxazole-5-yl) ketone
[1-(4-benzyl chloride base)-2-(chlorine)-1H-indol-3-yl] (2-pyridin-3-yl-1,3-oxazole-5-yl) ketone
[1-(2, the 4-dichloro benzyl)-5-methoxyl group-2-(chlorine)-1H-indol-3-yl] (2-pyridin-3-yl-1,3-oxazole-5-yl) ketone
[1-(2, the 4-dichloro benzyl)-5-oxyethyl group-2-(chlorine)-1H-indol-3-yl] (2-pyridin-3-yl-1,3-oxazole-5-yl) ketone
[1-(2, the 4-dichloro benzyl)-5-hydroxyl-2-(chlorine)-1H-indol-3-yl] (2-pyridin-3-yl-1,3-oxazole-5-yl) ketone
[1-(2, the 4-dichloro benzyl)-5-methyl-2-(chlorine)-1H-indol-3-yl] (2-pyridin-3-yl-1,3-oxazole-5-yl) ketone
[5-chloro-1-(2, the 4-dichloro benzyl)-2-(chlorine)-1H-indol-3-yl] (2-pyridin-3-yl-1,3-oxazole-5-yl) ketone
[1-(2, the 4-dichloro benzyl)-2-(chlorine)-1H-indol-3-yl] (2-pyridin-3-yl-1,3-oxazole-5-yl) ketone
[1-(4-benzyl chloride base)-5-methoxyl group-2-(chlorine)-1H-indol-3-yl] (2-pyridin-4-yl-1,3-oxazole-5-yl) ketone
[1-(4-benzyl chloride base)-5-oxyethyl group-2-(chlorine)-1H-indol-3-yl] (2-pyridin-4-yl-1,3-oxazole-5-yl) ketone
[1-(4-benzyl chloride base)-5-hydroxyl-2-(chlorine)-1H-indol-3-yl] (2-pyridin-4-yl-1,3-oxazole-5-yl) ketone
[1-(4-benzyl chloride base)-5-methyl-2-(chlorine)-1H-indol-3-yl] (2-pyridin-4-yl-1,3-oxazole-5-yl) ketone
[5-chloro-1-(4-benzyl chloride base)-2-(chlorine)-1H-indol-3-yl] (2-pyridin-4-yl-1,3-oxazole-5-yl) ketone
[1-(4-benzyl chloride base)-2-(chlorine)-1H-indol-3-yl] (2-pyridin-4-yl-], 3-oxazole-5-yl) ketone
[1-(2, the 4-dichloro benzyl)-5-methoxyl group-2-(chlorine)-1H-indol-3-yl] (2-pyridin-4-yl-1,3-oxazole-5-yl) ketone
[1-(2, the 4-dichloro benzyl)-5-oxyethyl group-2-(chlorine)-1H-indol-3-yl] (2-pyridin-4-yl-1,3-oxazole-5-yl) ketone
[1-(2, the 4-dichloro benzyl)-5-hydroxyl-2-(chlorine)-1H-indol-3-yl] (2-pyridin-4-yl-1,3-oxazole-5-yl) ketone
[1-(2, the 4-dichloro benzyl)-5-methyl-2-(chlorine)-1H-indol-3-yl] (2-pyridin-4-yl-1,3-oxazole-5-yl) ketone
[5-chloro-1-(2, the 4-dichloro benzyl)-2-(chlorine)-1H-indol-3-yl] (2-pyridin-4-yl-1,3-oxazole-5-yl) ketone
[1-(2, the 4-dichloro benzyl)-2-(chlorine)-1H-indol-3-yl] (2-pyridin-4-yl-1,3-oxazole-5-yl) ketone
[1-(4-benzyl chloride base)-5-methoxyl group-2-(chlorine)-1H-indol-3-yl] (2-pyrimidine-4-base-1,3-oxazole-5-yl) ketone
[1-(4-benzyl chloride base)-5-oxyethyl group-2-(chlorine)-1H-indol-3-yl] (2-pyrimidine-4-base-1,3-oxazole-5-yl) ketone
[1-(4-benzyl chloride base)-5-hydroxyl-2-(chlorine)-1H-indol-3-yl] (2-pyrimidine-4-base-1,3-oxazole-5-yl) ketone
[1-(4-benzyl chloride base)-5-methyl-2-(chlorine)-1H-indol-3-yl] (2-pyrimidine-4-base-1,3-oxazole-5-yl) ketone
[5-chloro-1-(4-benzyl chloride base)-2-(chlorine)-1H-indol-3-yl] (2-pyrimidine-4-base-1,3-oxazole-5-yl) ketone
[1-(4-benzyl chloride base)-2-(chlorine)-1H-indol-3-yl] (2-pyrimidine-4-base-1,3-oxazole-5-yl) ketone
[1-(2, the 4-dichloro benzyl)-5-methoxyl group-2-(chlorine)-1H-indol-3-yl] (2-pyrimidine-4-base-1,3-oxazole-5-yl) ketone
[1-(2, the 4-dichloro benzyl)-5-oxyethyl group-2-(chlorine)-1H-indol-3-yl] (2-pyrimidine-4-base-1,3-oxazole-5-yl) ketone
[1-(2, the 4-dichloro benzyl)-5-hydroxyl-2-(chlorine)-1H-indol-3-yl] (2-pyrimidine-4-base-1,3-oxazole-5-yl) ketone
[1-(2, the 4-dichloro benzyl)-5-methyl-2-(chlorine)-1H-indol-3-yl] (2-pyrimidine-4-base-1,3-oxazole-5-yl) ketone
[5-chloro-1-(2, the 4-dichloro benzyl)-2-(chlorine)-1H-indol-3-yl] (2-pyrimidine-4-base-1,3-oxazole-5-yl) ketone
[1-(2, the 4-dichloro benzyl)-2-(chlorine)-1H-indol-3-yl] (2-pyrimidine-4-base-1,3-oxazole-5-yl) ketone
[1-(4-benzyl chloride base)-5-methoxyl group-2-(chlorine)-1H-indol-3-yl] (5-phenyl-1,3-oxazole-2-yl) ketone
[1-(4-benzyl chloride base)-5-oxyethyl group-2-(chlorine)-1H-indol-3-yl] (5-phenyl-1,3-oxazole-2-yl) ketone
[1-(4-benzyl chloride base)-5-hydroxyl-2-(chlorine)-1H-indol-3-yl] (5-phenyl-1,3-oxazole-2-yl) ketone
[1-(4-benzyl chloride base)-5-methyl-2-(chlorine)-1H-indol-3-yl] (5-phenyl-1,3-oxazole-2-yl) ketone
[5-chloro-1-(4-benzyl chloride base)-2-(chlorine)-1H-indol-3-yl] (5-phenyl-1,3-oxazole-2-yl) ketone
[1-(4-benzyl chloride base)-2-(chlorine)-1H-indol-3-yl] (5-phenyl-1,3-oxazole-2-yl) ketone
[1-(2, the 4-dichloro benzyl)-5-methoxyl group-2-(chlorine)-1H-indol-3-yl] (5-phenyl-1,3-oxazole-2-yl) ketone
[1-(2, the 4-dichloro benzyl)-5-oxyethyl group-2-(chlorine)-1H-indol-3-yl] (5-phenyl-1,3-oxazole-2-yl) ketone
[1-(2, the 4-dichloro benzyl)-5-hydroxyl-2-(chlorine)-1H-indol-3-yl] (5-phenyl-1,3-oxazole-2-yl) ketone
[1-(2, the 4-dichloro benzyl)-5-methyl-2-(chlorine)-1H-indol-3-yl] (5-phenyl-1,3-oxazole-2-yl) ketone
[5-chloro-1-(2, the 4-dichloro benzyl)-2-(chlorine)-1H-indol-3-yl] (5-phenyl-1,3-oxazole-2-yl) ketone
[1-(4-benzyl chloride base)-5-methoxyl group-2-(chlorine)-1H-indol-3-yl] (5-pyridine-2-base-1,3-oxazole-2-yl) ketone
[1-(4-benzyl chloride base)-5-oxyethyl group-2-(chlorine)-1H-indol-3-yl] (5-pyridine-2-base-1,3-oxazole-2-yl) ketone
[1-(4-benzyl chloride base)-5-hydroxyl-2-(chlorine)-1H-indol-3-yl] (5-pyridine-2-base-1,3-oxazole-2-yl) ketone
[1-(4-benzyl chloride base)-5-methyl-2-(chlorine)-1H-indol-3-yl] (5-pyridine-2-base-1,3-oxazole-2-yl) ketone
[5-chloro-1-(4-benzyl chloride base)-2-(chlorine)-1H-indol-3-yl] (5-pyridine-2-base-1,3-oxazole-2-yl) ketone
[1-(4-benzyl chloride base)-2-(chlorine)-1H-indol-3-yl] (5-pyridine-2-base-1,3-oxazole-2-yl) ketone
[1-(2, the 4-dichloro benzyl)-5-methoxyl group-2-(chlorine)-1H-indol-3-yl] (5-pyridine-2-base-1,3-oxazole-2-yl) ketone
[1-(2, the 4-dichloro benzyl)-5-oxyethyl group-2-(chlorine)-1H-indol-3-yl] (5-pyridine-2-base-1,3-oxazole-2-yl) ketone
[1-(2, the 4-dichloro benzyl)-5-hydroxyl-2-(chlorine)-1H-indol-3-yl] (5-pyridine-2-base-1,3-oxazole-2-yl) ketone
[1-(2, the 4-dichloro benzyl)-5-methyl-2-(chlorine)-1H-indol-3-yl] (5-pyridine-2-base-1,3-oxazole-2-yl) ketone
[5-chloro-1-(2, the 4-dichloro benzyl)-2-(chlorine)-1H-indol-3-yl] (5-pyridine-2-base-1,3-oxazole-2-yl) ketone
[1-(2, the 4-dichloro benzyl)-2-(chlorine)-1H-indol-3-yl] (5-pyridine-2-base-1,3-oxazole-2-yl) ketone
[1-(4-benzyl chloride base)-5-methoxyl group-2-(chlorine)-1H-indol-3-yl] (5-pyridin-3-yl-1,3-oxazole-2-yl) ketone
[1-(4-benzyl chloride base)-5-oxyethyl group-2-(chlorine)-1H-indol-3-yl] (5-pyridin-3-yl-1,3-oxazole-2-yl) ketone
[1-(4-benzyl chloride base)-5-hydroxyl-2-(chlorine)-1H-indol-3-yl] (5-pyridin-3-yl-1,3-oxazole-2-yl) ketone
[1-(4-benzyl chloride base)-5-methyl-2-(chlorine)-1H-indol-3-yl] (5-pyridin-3-yl-1,3-oxazole-2-yl) ketone
[5-chloro-1-(4-benzyl chloride base)-2-(chlorine)-1H-indol-3-yl] (5-pyridin-3-yl-1,3-oxazole-2-yl) ketone
[1-(4-benzyl chloride base)-2-(chlorine)-1H-indol-3-yl] (5-pyridin-3-yl-1,3-oxazole-2-yl) ketone
[1-(2, the 4-dichloro benzyl)-5-methoxyl group-2-(chlorine)-1H-indol-3-yl] (5-pyridin-3-yl-1,3-oxazole-2-yl) ketone
[1-(2, the 4-dichloro benzyl)-5-oxyethyl group-2-(chlorine)-1H-indol-3-yl] (5-pyridin-3-yl-1,3-oxazole-2-yl) ketone
[1-(2, the 4-dichloro benzyl)-5-hydroxyl-2-(chlorine)-1H-indol-3-yl] (5-pyridin-3-yl-1,3-oxazole-2-yl) ketone
[1-(2, the 4-dichloro benzyl)-5-methyl-2-(chlorine)-1H-indol-3-yl] (5-pyridin-3-yl-1,3-oxazole-2-yl) ketone
[5-chloro-1-(2, the 4-dichloro benzyl)-2-(chlorine)-1H-indol-3-yl] (5-pyridin-3-yl-1,3-oxazole-2-yl) ketone
[1-(2, the 4-dichloro benzyl)-2-(chlorine)-1H-indol-3-yl] (5-pyridin-3-yl-1,3-oxazole-2-yl) ketone
[1-(4-benzyl chloride base)-5-methoxyl group-2-(chlorine)-1H-indol-3-yl] (5-pyridin-4-yl-1,3-oxazole-2-yl) ketone
[1-(4-benzyl chloride base)-5-oxyethyl group-2-(chlorine)-1H-indol-3-yl] (5-pyridin-4-yl-1,3-oxazole-2-yl) ketone
[1-(4-benzyl chloride base)-5-hydroxyl-2-(chlorine)-1H-indol-3-yl] (5-pyridin-4-yl-1,3-oxazole-2-yl) ketone
[1-(4-benzyl chloride base)-5-methyl-2-(chlorine)-1H-indol-3-yl] (5-pyridin-4-yl-1,3-oxazole-2-yl) ketone
[5-chloro-]-(4-benzyl chloride base)-2-(chlorine)-1H-indol-3-yl] (5-pyridin-4-yl-1,3-oxazole-2-yl) ketone
[1-(4-benzyl chloride base)-2-(chlorine)-1H-indol-3-yl] (5-pyridin-4-yl-1,3-oxazole-2-yl) ketone
[1-(2, the 4-dichloro benzyl)-5-methoxyl group-2-(chlorine)-1H-indol-3-yl] (5-pyridin-4-yl-1,3-oxazole-2-yl) ketone
[1-(2, the 4-dichloro benzyl)-5-oxyethyl group-2-(chlorine)-1H-indol-3-yl] (5-pyridin-4-yl-1,3-oxazole-2-yl) ketone
[1-(2, the 4-dichloro benzyl)-5-hydroxyl-2-(chlorine)-1H-indol-3-yl] (5-pyridin-4-yl-1,3-oxazole-2-yl) ketone
[1-(2, the 4-dichloro benzyl)-5-methyl-2-(chlorine)-1H-indol-3-yl] (5-pyridin-4-yl-1,3-oxazole-2-yl) ketone
[5-chloro-1-(2, the 4-dichloro benzyl)-2-(chlorine)-1H-indol-3-yl] (5-pyridin-4-yl-1,3-oxazole-2-yl) ketone
[1-(2, the 4-dichloro benzyl)-2-(chlorine)-1H-indol-3-yl] (5-pyridin-4-yl-1,3-oxazole-2-yl) ketone
[1-(4-benzyl chloride base)-5-methoxyl group-2-(chlorine)-1H-indol-3-yl] (5-pyrimidine-4-base-1,3-oxazole-2-yl) ketone
[1-(4-benzyl chloride base)-5-oxyethyl group-2-(chlorine)-1H-indol-3-yl] (5-pyrimidine-4-base-1,3-oxazole-2-yl) ketone
[1-(4-benzyl chloride base)-5-hydroxyl-2-(chlorine)-1H-indol-3-yl] (5-pyrimidine-4-base-1,3-oxazole-2-yl) ketone
[1-(4-benzyl chloride base)-5-methyl-2-(chlorine)-1H-indol-3-yl] (5-pyrimidine-4-base-1,3-oxazole-2-yl) ketone
[5-chloro-1-(4-benzyl chloride base)-2-(chlorine)-1H-indol-3-yl] (5-pyrimidine-4-base-1,3-oxazole-2-yl) ketone
[1-(4-benzyl chloride base)-2-(chlorine)-1H-indol-3-yl] (5-pyrimidine-4-base-1,3-oxazole-2-yl) ketone
[1-(2, the 4-dichloro benzyl)-5-methoxyl group-2-(chlorine)-1H-indol-3-yl] (5-pyrimidine-4-base-1,3-oxazole-2-yl) ketone
[1-(2, the 4-dichloro benzyl)-5-oxyethyl group-2-(chlorine)-1H-indol-3-yl] (5-pyrimidine-4-base-1,3-oxazole-2-yl) ketone
[1-(2, the 4-dichloro benzyl)-5-hydroxyl-2-(chlorine)-1H-indol-3-yl] (5-pyrimidine-4-base-1,3-oxazole-2-yl) ketone
[1-(2, the 4-dichloro benzyl)-5-methyl-2-(chlorine)-1H-indol-3-yl] (5-pyrimidine-4-base-1,3-oxazole-2-yl) ketone
[1-(2, the 4-dichloro benzyl)-5-hydroxyl-2-(chlorine)-1H-indol-3-yl] (5-phenyl-1,3,4-oxadiazole-2-yl) ketone
[5-chloro-1-(2, the 4-dichloro benzyl)-2-(chlorine)-1H-indol-3-yl] (5-pyrimidine-4-base-1,3-oxazole-2-yl) ketone
[1-(2, the 4-dichloro benzyl)-2-(chlorine)-1H-indol-3-yl] (5-pyrimidine-4-base-1,3-oxazole-2-yl) ketone
Useful in addition compound is followingly to be " other useful compounds (for example FAAH inhibitor) " following described those compounds and derivative thereof with formula I at title, 5 the group that wherein is in indoles by H, halogen ,-OCH3,-OCH2CH3,-CH3,-CH2CH3Replace with-OH (wherein any carbon can by halogen randomly, single replace or polysubstituted independently) and benzyl by Br, methoxyl group or-OH para-orientation or by C12,4 replacements.
Other useful compounds (for example FAAH inhibitor)
2-[1-(4-benzyl chloride base)-5-methoxyl group-1H-indol-3-yl]-N-cyclohexyl-2-oxo ethanamide
2-[1-(4-benzyl chloride base)-5-methoxyl group-1H-indol-3-yl]-N-cyclopropyl-2-oxo ethanamide
[1-(4-benzyl chloride base)-5-methoxyl group-1H-indol-3-yl] (oxo) acetate
[1-(4-benzyl chloride base)-5-methoxyl group-1H-indol-3-yl] (5-pyridine-2-base-2-thienyl) ketone
2-[1-(4-benzyl chloride base)-5-methoxyl group-2-Methyl-1H-indole-3-yl]-N-cyclobutyl-2-oxo ethanamide
2-[1-(4-benzyl chloride base)-5-methoxyl group-1H-indol-3-yl]-N-cyclobutyl-2-oxo ethanamide
2-[1-(4-benzyl chloride base)-5-methoxyl group-2-Methyl-1H-indole-3-yl]-N-cyclopentyl-2-oxo ethanamide
2-[1-(4-benzyl chloride base)-5-methoxyl group-1H-indol-3-yl]-N-cyclopentyl-2-oxo ethanamide
2-[1-(4-benzyl chloride base)-5-methoxyl group-2-Methyl-1H-indole-3-yl]-2-oxo-N-1,3-thiazol-2-yl ethanamide
2-[1-(4-benzyl chloride base)-5-methoxyl group-1H-indol-3-yl]-2-oxo-N-1,3-thiazol-2-yl ethanamide
2-[1-(4-benzyl chloride base)-5-methoxyl group-2-Methyl-1H-indole-3-yl]-N-1H-imidazoles-2-base-2-oxo ethanamide
2-[1-(4-benzyl chloride base)-5-methoxyl group-1H-indol-3-yl]-N-1H-imidazoles-2-base-2-oxo ethanamide
2-[1-(4-benzyl chloride base)-5-methoxyl group-2-Methyl-1H-indole-3-yl]-N-1,3-oxazole-2-base-2-oxo ethanamide
2-[1-(4-benzyl chloride base)-5-methoxyl group-1H-indol-3-yl]-N-1,3-oxazole-2-base-2-oxo ethanamide
2-[1-(4-benzyl chloride base)-5-methoxyl group-2-Methyl-1H-indole-3-yl]-2-oxo-N-pyridine-2-yl acetamide
2-[1-(4-benzyl chloride base)-5-methoxyl group-1H-indol-3-yl]-2-oxo-N-pyridine-2-yl acetamide
2-[1-(4-benzyl chloride base)-5-methoxyl group-2-Methyl-1H-indole-3-yl]-2-oxo-N-pyridin-4-yl ethanamide
2-[1-(4-benzyl chloride base)-5-methoxyl group-1H-indol-3-yl]-2-oxo-N-pyridin-4-yl ethanamide
2-[1-(4-benzyl chloride base)-5-methoxyl group-2-Methyl-1H-indole-3-yl]-2-oxo-N-pyrimidine-4-yl acetamide
2-[1-(4-benzyl chloride base)-5-methoxyl group-1H-indol-3-yl]-2-oxo-N-pyridin-4-yl ethanamide
2-[1-(4-benzyl chloride base)-5-methoxyl group-2-Methyl-1H-indole-3-yl]-2-oxo-N-pyrazine-2-yl acetamide
2-[1-(4-benzyl chloride base)-5-methoxyl group-1H-indol-3-yl]-2-oxo-N-pyrazine-2-yl acetamide
2-[1-(4-benzyl chloride base)-5-methoxyl group-2-Methyl-1H-indole-3-yl]-2-oxo-N-pyrimidine-2-base ethanamide
2-[1-(4-benzyl chloride base)-5-methoxyl group-1H-indol-3-yl]-2-oxo-N-pyrimidine-2-base ethanamide
2-[1-(4-benzyl chloride base)-5-methoxyl group-2-Methyl-1H-indole-3-yl]-2-oxo-N-pyridazine-3-yl acetamide
2-[1-(4-benzyl chloride base)-5-methoxyl group-1H-indol-3-yl]-2-oxo-N-pyridazine-3-yl acetamide
2-[1-(4-benzyl chloride base)-5-methoxyl group-2-Methyl-1H-indole-3-yl]-2-oxo-N-pyridazine-4-yl acetamide
2-[1-(4-benzyl chloride base)-5-methoxyl group-1H-indol-3-yl]-2-oxo-N-pyridazine-4-yl acetamide
2-[1-(4-benzyl chloride base)-5-methoxyl group-2-Methyl-1H-indole-3-yl]-2-oxo-N-pyrimidine-5-yl acetamide
2-[1-(4-benzyl chloride base)-5-methoxyl group-1H-indol-3-yl]-2-oxo-N-pyrimidine-5-yl acetamide
2-[1-(4-benzyl chloride base)-5-methoxyl group-2-Methyl-1H-indole-3-yl]-N-isoxazole-5-base-2-oxo ethanamide
2-[1-(4-benzyl chloride base)-5-methoxyl group-1H-indol-3-yl]-N-isoxazole-5-base-2-oxo ethanamide
2-[1-(4-benzyl chloride base)-5-methoxyl group-2-Methyl-1H-indole-3-yl]-N-isoxazole-3-base-2-oxo ethanamide
2-[1-(4-benzyl chloride base)-5-methoxyl group-1H-indol-3-yl]-N-isoxazole-3-base-2-oxo ethanamide
2-[1-(4-benzyl chloride base)-5-methoxyl group-2-Methyl-1H-indole-3-yl]-N-(3-methyl-isoxazole-5-yl)-2-oxo ethanamide
2-[1-(4-benzyl chloride base)-5-methoxyl group-1H-indol-3-yl]-N-(3-methyl-isoxazole-5-yl)-2-oxo ethanamide
2-[1-(4-benzyl chloride base)-5-methoxyl group-2-Methyl-1H-indole-3-yl]-N-(5-methyl-isoxazole-3-yl)-2-oxo ethanamide
2-[1-(4-benzyl chloride base)-5-methoxyl group-1H-indol-3-yl]-N-(5-methyl-isoxazole-3-yl)-2-oxo ethanamide
2-[1-(4-benzyl chloride base)-5-methoxyl group-2-Methyl-1H-indole-3-yl]-N-(5-methyl isophthalic acid H-pyrazole-3-yl)-2-oxo ethanamide
2-[1-(4-benzyl chloride base)-5-methoxyl group-1H-indol-3-yl]-N-(5-methyl isophthalic acid H-pyrazole-3-yl)-2-oxo ethanamide
2-[1-(4-benzyl chloride base)-5-methoxyl group-2-Methyl-1H-indole-3-yl]-N-isothiazole-3-base-2-oxo ethanamide
2-[1-(4-benzyl chloride base)-5-methoxyl group-1H-indol-3-yl]-N-isothiazole-3-base-2-oxo ethanamide
2-[1-(4-benzyl chloride base)-5-methoxyl group-2-Methyl-1H-indole-3-yl]-N-isothiazole-5-base-2-oxo ethanamide
2-[1-(4-benzyl chloride base)-5-methoxyl group-1H-indol-3-yl]-N-isothiazole-5-base-2-oxo ethanamide
2-[1-(4-benzyl chloride base)-5-methoxyl group-2-Methyl-1H-indole-3-yl]-N-(5-methyl isothiazole-3-yl)-2-oxo ethanamide
2-[1-(4-benzyl chloride base)-5-methoxyl group-1H-indol-3-yl]-N-(5-methyl isothiazole-3-yl)-2-oxo ethanamide
2-[1-(4-benzyl chloride base)-5-methoxyl group-2-Methyl-1H-indole-3-yl]-N-(3-methyl isothiazole-5-yl)-2-oxo ethanamide
2-[1-(4-benzyl chloride base)-5-methoxyl group-1H-indol-3-yl]-N-(3-methyl isothiazole-5-yl)-2-oxo ethanamide
N-1,3-benzothiazole-2-base-2-[1-(4-benzyl chloride base)-5-methoxyl group-2-Methyl-1H-indole-3-yl]-2-oxo ethanamide
N-1,3-benzothiazole-2-base-2-[1-(4-benzyl chloride base)-5-methoxyl group-1H-indol-3-yl]-2-oxo ethanamide
N-1,3-benzoxazole-2-base-2-[1-(4-benzyl chloride base)-5-methoxyl group-2-Methyl-1H-indole-3-yl]-2-oxo ethanamide
N-1,3-benzoxazole-2-base-2-[1-(4-benzyl chloride base)-5-methoxyl group-1H-indol-3-yl]-2-oxo ethanamide
2-[1-(4-benzyl chloride base)-5-methoxyl group-2-Methyl-1H-indole-3-yl]-N-[1,3] oxazoles are [4,5-b] pyridine-2-base-2-oxo ethanamide also
2-[1-(4-benzyl chloride base)-5-methoxyl group-1H-indol-3-yl]-N-[1,3] oxazoles are [4,5-b] pyridine-2-base-2-oxo ethanamide also
2-[1-(4-benzyl chloride base)-5-methoxyl group-2-Methyl-1H-indole-3-yl]-N-[1,3] oxazoles are [4,5-c] pyridine-2-base-2-oxo ethanamide also
2-[1-(4-benzyl chloride base)-5-methoxyl group-1H-indol-3-yl]-N-[1,3] oxazoles are [4,5-c] pyridine-2-base-2-oxo ethanamide also
2-[1-(4-benzyl chloride base)-5-methoxyl group-2-Methyl-1H-indole-3-yl]-N-[1,3] oxazoles are [5,4-c] pyridine-2-base-2-oxo ethanamide also
2-[1-(4-benzyl chloride base)-5-methoxyl group-1H-indol-3-yl]-N-[1,3] oxazoles are [5,4-c] pyridine-2-base-2-oxo ethanamide also
2-[1-(4-benzyl chloride base)-5-methoxyl group-2-Methyl-1H-indole-3-yl]-N-[1,3] oxazoles are [5,4-b] pyridine-2-base-2-oxo ethanamide also
2-[1-(4-benzyl chloride base)-5-methoxyl group-1H-indol-3-yl]-N-[1,3] oxazoles are [5,4-b] pyridine-2-base-2-oxo ethanamide also
2-[1-(4-benzyl chloride base)-5-methoxyl group-2-Methyl-1H-indole-3-yl]-2-oxo-N-(5-pyridine-2-base-1,3-oxazole-2-yl) ethanamide
2-[1-(4-benzyl chloride base)-5-methoxyl group-1H-indol-3-yl]-2-oxo-N-(5-pyridine-2-base-1,3-oxazole-2-yl) ethanamide
2-[1-(4-benzyl chloride base)-5-methoxyl group-2-Methyl-1H-indole-3-yl]-2-oxo-N-(5-phenyl-1,3-oxazole-2-yl) ethanamide
2-[1-(4-benzyl chloride base)-5-methoxyl group-1H-indol-3-yl]-2-oxo-N-(5-phenyl-1,3-oxazole-2-yl) ethanamide
2-[1-(4-benzyl chloride base)-5-methoxyl group-2-Methyl-1H-indole-3-yl]-2-oxo-N-(5-pyridin-3-yl-1,3-oxazole-2-yl) ethanamide
2-[1-(4-benzyl chloride base)-5-methoxyl group-1H-indol-3-yl]-2-oxo-N-(5-pyridin-3-yl-1,3-oxazole-2-yl) ethanamide
2-[1-(4-benzyl chloride base)-5-methoxyl group-2-Methyl-1H-indole-3-yl]-2-oxo-N-(5-pyridin-4-yl-1,3-oxazole-2-yl) ethanamide
2-[1-(4-benzyl chloride base)-5-methoxyl group-1H-indol-3-yl]-2-oxo-N-(5-pyridin-4-yl-1,3-oxazole-2-yl) ethanamide
2-[1-(4-benzyl chloride base)-5-methoxyl group-2-Methyl-1H-indole-3-yl]-2-oxo-N-(4-phenyl-1,3-oxazole-2-yl) ethanamide
2-[1-(4-benzyl chloride base)-5-methoxyl group-1H-indol-3-yl]-2-oxo-N-(4-phenyl-1,3-oxazole-2-yl) ethanamide
2-[1-(4-benzyl chloride base)-5-methoxyl group-2-Methyl-1H-indole-3-yl]-2-oxo-N-(4-pyridine-2-base-1,3-oxazole-2-yl) ethanamide
2-[1-(4-benzyl chloride base)-5-methoxyl group-1H-indol-3-yl]-2-oxo-N-(4-pyridine-2-base-1,3-oxazole-2-yl) ethanamide
2-[1-(4-benzyl chloride base)-5-methoxyl group-2-Methyl-1H-indole-3-yl]-2-oxo-N-(4-pyridin-3-yl-1,3-oxazole-2-yl) ethanamide
2-[1-(4-benzyl chloride base)-5-methoxyl group-1H-indol-3-yl]-2-oxo-N-(4-pyridin-3-yl-1,3-oxazole-2-yl) ethanamide
2-[1-(4-benzyl chloride base)-5-methoxyl group-2-Methyl-1H-indole-3-yl]-2-oxo-N-(4-pyridin-4-yl-1,3-oxazole-2-yl) ethanamide
2-[1-(4-benzyl chloride base)-5-methoxyl group-1H-indol-3-yl]-2-oxo-N-(4-pyridin-4-yl-1,3-oxazole-2-yl) ethanamide
[1-(4-benzyl chloride base)-5-methoxyl group-2-Methyl-1H-indole-3-yl] (4-phenyl-1,3-oxazole-2-yl) ketone
[1-(4-benzyl chloride base)-5-methoxyl group-1H-indol-3-yl] (4-phenyl-1,3-oxazole-2-yl) ketone
[1-(4-benzyl chloride base)-5-methoxyl group-2-Methyl-1H-indole-3-yl] (4-pyridine-2-base-1,3-oxazole-2-yl) ketone
[1-(4-benzyl chloride base)-5-methoxyl group-1H-indol-3-yl] (4-pyridine-2-base-1,3-oxazole-2-yl) ketone
[1-(4-benzyl chloride base)-5-methoxyl group-2-Methyl-1H-indole-3-yl] (4-pyridin-3-yl-1,3-oxazole-2-yl) ketone
[1-(4-benzyl chloride base)-5-methoxyl group-1H-indol-3-yl] (4-pyridin-3-yl-1,3-oxazole-2-yl) ketone
[1-(4-benzyl chloride base)-5-methoxyl group-2-Methyl-1H-indole-3-yl] (4-pyridin-4-yl-1,3-oxazole-2-yl) ketone
[1-(4-benzyl chloride base)-5-methoxyl group-1H-indol-3-yl] (4-pyridin-4-yl-1,3-oxazole-2-yl) ketone
[1-(4-benzyl chloride base)-5-methoxyl group-2-Methyl-1H-indole-3-yl] (5-phenyl-1,3-oxazole-2-yl) ketone
[1-(4-benzyl chloride base)-5-methoxyl group-1H-indol-3-yl] (5-phenyl-1,3-oxazole-2-yl) ketone
[1-(4-benzyl chloride base)-5-methoxyl group-2-Methyl-1H-indole-3-yl] (5-pyridine-2-base-1,3-oxazole-2-yl) ketone
[1-(4-benzyl chloride base)-5-methoxyl group-1H-indol-3-yl] (5-pyridine-2-base-1,3-oxazole-2-yl) ketone
[1-(4-benzyl chloride base)-5-methoxyl group-2-Methyl-1H-indole-3-yl] (5-pyridin-3-yl-1,3-oxazole-2-yl) ketone
[1-(4-benzyl chloride base)-5-methoxyl group-1H-indol-3-yl] (5-pyridin-3-yl-1,3-oxazole-2-yl) ketone
[1-(4-benzyl chloride base)-5-methoxyl group-2-Methyl-1H-indole-3-yl] (5-pyridin-4-yl-1,3-oxazole-2-yl) ketone
[1-(4-benzyl chloride base)-5-methoxyl group-1H-indol-3-yl] (5-pyridin-4-yl-1,3-oxazole-2-yl) ketone
[1-(4-benzyl chloride base)-5-methoxyl group-2-Methyl-1H-indole-3-yl] (1,3-oxazole-2-yl) ketone
[1-(4-benzyl chloride base)-5-methoxyl group-1H-indol-3-yl] (1,3-oxazole-2-yl) ketone
[1-(4-benzyl chloride base)-5-methoxyl group-2-Methyl-1H-indole-3-yl] (1H-imidazoles-2-yl) ketone
[1-(4-benzyl chloride base)-5-methoxyl group-1H-indol-3-yl] (1H-imidazoles-2-yl) ketone
[1-(4-benzyl chloride base)-5-methoxyl group-2-Methyl-1H-indole-3-yl] (1,3-thiazoles-2-yl) ketone
[1-(4-benzyl chloride base)-5-methoxyl group-1H-indol-3-yl] (1,3-thiazoles-2-yl) ketone
[1-(4-benzyl chloride base)-5-methoxyl group-2-Methyl-1H-indole-3-yl] (4-pyridine-2-base-1,3-thiazoles-2-yl) ketone
[1-(4-benzyl chloride base)-5-methoxyl group-1H-indol-3-yl] (4-pyridine-2-base-1,3-thiazoles-2-yl) ketone
[1-(4-benzyl chloride base)-5-methoxyl group-2-Methyl-1H-indole-3-yl] (4-pyridin-3-yl-1,3-thiazoles-2-yl) ketone
[1-(4-benzyl chloride base)-5-methoxyl group-1H-indol-3-yl] (4-pyridin-3-yl-1,3-thiazoles-2-yl) ketone
[1-(4-benzyl chloride base)-5-methoxyl group-2-Methyl-1H-indole-3-yl] (4-pyridin-4-yl-1,3-thiazoles-2-yl) ketone
[1-(4-benzyl chloride base)-5-methoxyl group-1H-indol-3-yl] (4-pyridin-4-yl-1,3-thiazoles-2-yl) ketone
1-(4-benzyl chloride base)-5-methoxyl group-2-Methyl-1H-indole-3-yl] (4-phenyl-1,3-thiazoles-2-yl) ketone
1-(4-benzyl chloride base)-5-methoxyl group-1H-indol-3-yl] (4-phenyl-1,3-thiazoles-2-yl) ketone
[1-(4-benzyl chloride base)-5-methoxyl group-2-Methyl-1H-indole-3-yl] (5-phenyl-1,3-thiazoles-2-yl) ketone
[1-(4-benzyl chloride base)-5-methoxyl group-1H-indol-3-yl] (5-phenyl-1,3-thiazoles-2-yl) ketone
[1-(4-benzyl chloride base)-5-methoxyl group-2-Methyl-1H-indole-3-yl] (5-pyridine-2-base-1,3-thiazoles-2-yl) ketone
[1-(4-benzyl chloride base)-5-methoxyl group-1H-indol-3-yl] (5-pyridine-2-base-1,3-thiazoles-2-yl) ketone
[1-(4-benzyl chloride base)-5-methoxyl group-2-Methyl-1H-indole-3-yl] (5-pyridin-3-yl-1,3-thiazoles-2-yl) ketone
[1-(4-benzyl chloride base)-5-methoxyl group-1H-indol-3-yl] (5-pyridin-3-yl-1,3-thiazoles-2-yl) ketone
[1-(4-benzyl chloride base)-5-methoxyl group-2-Methyl-1H-indole-3-yl] (5-pyridin-4-yl-1,3-thiazoles-2-yl) ketone
[1-(4-benzyl chloride base)-5-methoxyl group-1H-indol-3-yl] (5-pyridin-4-yl-1,3-thiazoles-2-yl) ketone
[1-(4-benzyl chloride base)-5-methoxyl group-2-Methyl-1H-indole-3-yl] (5-phenyl-2-thienyl) ketone
[1-(4-benzyl chloride base)-5-methoxyl group-1H-indol-3-yl] (5-phenyl-2-thienyl) ketone
[1-(4-benzyl chloride base)-5-methoxyl group-2-Methyl-1H-indole-3-yl] (5-pyridine-2-base-2-thienyl) ketone
[1-(4-benzyl chloride base)-5-methoxyl group-1H-indol-3-yl] (5-pyridine-2-base-2-thienyl) ketone
[1-(4-benzyl chloride base)-5-methoxyl group-2-Methyl-1H-indole-3-yl] (5-pyridin-3-yl-2-thienyl) ketone
[1-(4-benzyl chloride base)-5-methoxyl group-1H-indol-3-yl] (5-pyridin-3-yl-2-thienyl) ketone
[1-(4-benzyl chloride base)-5-methoxyl group-2-Methyl-1H-indole-3-yl] (5-pyridin-4-yl-2-thienyl) ketone
[1-(4-benzyl chloride base)-5-methoxyl group-1H-indol-3-yl] (5-pyridin-4-yl-2-thienyl) ketone
[1-(4-benzyl chloride base)-5-methoxyl group-2-Methyl-1H-indole-3-yl] (2-thienyl) ketone
[1-(4-benzyl chloride base)-5-methoxyl group-1H-indol-3-yl] (2-thienyl) ketone
[1-(4-benzyl chloride base)-5-methoxyl group-2-Methyl-1H-indole-3-yl] (1,3,4-thiadiazoles-2-yl) ketone
[1-(4-benzyl chloride base)-5-methoxyl group-1H-indol-3-yl] (1,3,4-thiadiazoles-2-yl) ketone
[1-(4-benzyl chloride base)-5-methoxyl group-2-Methyl-1H-indole-3-yl] (isothiazole-5-yl) ketone
[1-(4-benzyl chloride base)-5-methoxyl group-1H-indol-3-yl] (isothiazole-5-yl) ketone
[1-(4-benzyl chloride base)-5-methoxyl group-2-Methyl-1H-indole-3-yl] (isothiazole-3-yl) ketone
[1-(4-benzyl chloride base)-5-methoxyl group-1H-indol-3-yl] (isothiazole-3-yl) ketone
[1-(4-benzyl chloride base)-5-methoxyl group-2-Methyl-1H-indole-3-yl] (isoxazole-3-base) ketone
[1-(4-benzyl chloride base)-5-methoxyl group-1H-indol-3-yl] (isoxazole-3-base) ketone
[1-(4-benzyl chloride base)-5-methoxyl group-2-Methyl-1H-indole-3-yl] (isoxazole-5-base) ketone
[1-(4-benzyl chloride base)-5-methoxyl group-1H-indol-3-yl] (isoxazole-5-base) ketone
[1-(4-benzyl chloride base)-5-methoxyl group-2-Methyl-1H-indole-3-yl] (3-phenyl-isoxazole azoles-5-yl) ketone
[1-(4-benzyl chloride base)-5-methoxyl group-1H-indol-3-yl] (3-phenyl-isoxazole azoles-5-yl) ketone
[1-(4-benzyl chloride base)-5-methoxyl group-2-Methyl-1H-indole-3-yl] (3-pyridine-2-isoxazole-5-yl) ketone
[1-(4-benzyl chloride base)-5-methoxyl group-1H-indol-3-yl] (3-pyridine-2-isoxazole-5-yl) ketone
[1-(4-benzyl chloride base)-5-methoxyl group-2-Methyl-1H-indole-3-yl] (3-pyridin-3-yl isoxazole-5-base) ketone
[1-(4-benzyl chloride base)-5-methoxyl group-1H-indol-3-yl] (3-pyridin-3-yl isoxazole-5-base) ketone
[1-(4-benzyl chloride base)-5-methoxyl group-2-Methyl-1H-indole-3-yl] (3-pyridin-4-yl isoxazole-5-base) ketone
[1-(4-benzyl chloride base)-5-methoxyl group-1H-indol-3-yl] (3-pyridin-4-yl isoxazole-5-base) ketone
[1-(4-benzyl chloride base)-5-methoxyl group-2-Methyl-1H-indole-3-yl] (3-pyrimidine-4-isoxazole-5-yl) ketone
[1-(4-benzyl chloride base)-5-methoxyl group-1H-indol-3-yl] (3-pyrimidine-4-isoxazole-5-yl) ketone
[1-(4-benzyl chloride base)-5-methoxyl group-2-Methyl-1H-indole-3-yl] (3-pyridazine-3-isoxazole-5-yl) ketone
[1-(4-benzyl chloride base)-5-methoxyl group-1H-indol-3-yl] (3-pyridazine-3-isoxazole-5-yl) ketone
[1-(4-benzyl chloride base)-5-methoxyl group-2-Methyl-1H-indole-3-yl] (3-pyrazine-2-isoxazole-5-yl) ketone
[1-(4-benzyl chloride base)-5-methoxyl group-1H-indol-3-yl] (3-pyrazine-2-isoxazole-5-yl) ketone
[1-(4-benzyl chloride base)-5-methoxyl group-2-Methyl-1H-indole-3-yl] (3-pyrimidine-2-base isoxazole-5-base) ketone
[1-(4-benzyl chloride base)-5-methoxyl group-1H-indol-3-yl] (3-pyrimidine-2-base isoxazole-5-base) ketone
[1-(4-benzyl chloride base)-5-methoxyl group-2-Methyl-1H-indole-3-yl] (3-pyridazine-4-isoxazole-5-yl) ketone
[1-(4-benzyl chloride base)-5-methoxyl group-1H-indol-3-yl] (3-pyridazine-4-isoxazole-5-yl) ketone
[1-(4-benzyl chloride base)-5-methoxyl group-2-Methyl-1H-indole-3-yl] (3-phenyl-1,2,4-oxadiazole-5-yl) ketone
[1-(4-benzyl chloride base)-5-methoxyl group-1H-indol-3-yl] (3-phenyl-1,2,4-oxadiazole-5-yl) ketone
[1-(4-benzyl chloride base)-5-methoxyl group-2-Methyl-1H-indole-3-yl] (3-pyridin-3-yl-1,2,4-oxadiazole-5-yl) ketone
[1-(4-benzyl chloride base)-5-methoxyl group-1H-indol-3-yl] (3-pyridin-3-yl-1,2,4-oxadiazole-5-yl) ketone
[1-(4-benzyl chloride base)-5-methoxyl group-2-Methyl-1H-indole-3-yl] (3-pyridin-4-yl-1,2,4-oxadiazole-5-yl) ketone
[1-(4-benzyl chloride base)-5-methoxyl group-1H-indol-3-yl] (3-pyridin-4-yl-1,2,4-oxadiazole-5-yl) ketone
[1-(4-benzyl chloride base)-5-methoxyl group-2-Methyl-1H-indole-3-yl] (3-pyrimidine-4-base-1,2,4-oxadiazole-5-yl) ketone
[1-(4-benzyl chloride base)-5-methoxyl group-1H-indol-3-yl] (3-pyrimidine-4-base-1,2,4-oxadiazole-5-yl) ketone
[1-(4-benzyl chloride base)-5-methoxyl group-2-Methyl-1H-indole-3-yl] (3-pyridazine-3-base-1,2,4-oxadiazole-5-yl) ketone
[1-(4-benzyl chloride base)-5-methoxyl group-1H-indol-3-yl] (3-pyridazine-3-base-1,2,4-oxadiazole-5-yl) ketone
[1-(4-benzyl chloride base)-5-methoxyl group-2-Methyl-1H-indole-3-yl] (3-pyrazine-2-base-1,2,4-oxadiazole-5-yl) ketone
[1-(4-benzyl chloride base)-5-methoxyl group-1H-indol-3-yl] (3-pyrazine-2-base-1,2,4-oxadiazole-5-yl) ketone
[1-(4-benzyl chloride base)-5-methoxyl group-2-Methyl-1H-indole-3-yl] (3-pyrimidine-2-base-1,2,4-oxadiazole-5-yl) ketone
[1-(4-benzyl chloride base)-5-methoxyl group-1H-indol-3-yl] (3-pyrimidine-2-base-1,2,4-oxadiazole-5-yl) ketone
[1-(4-benzyl chloride base)-5-methoxyl group-2-Methyl-1H-indole-3-yl] (3-pyridazine-4-base-1,2,4-oxadiazole-5-yl) ketone
[1-(4-benzyl chloride base)-5-methoxyl group-1H-indol-3-yl] (3-pyridazine-4-base-1,2,4-oxadiazole-5-yl) ketone
[1-(4-benzyl chloride base)-5-methoxyl group-2-Methyl-1H-indole-3-yl] (5-phenyl-1,2,4-oxadiazole-3-yl) ketone
[1-(4-benzyl chloride base)-5-methoxyl group-1H-indol-3-yl] (5-phenyl-1,2,4-oxadiazole-3-yl) ketone
[1-(4-benzyl chloride base)-5-methoxyl group-2-Methyl-1H-indole-3-yl] (5-pyridine-2-base-1,2,4-oxadiazole-3-yl) ketone
[1-(4-benzyl chloride base)-5-methoxyl group-1H-indol-3-yl] (5-pyridine-2-base-1,2,4-oxadiazole-3-yl) ketone
[1-(4-benzyl chloride base)-5-methoxyl group-2-Methyl-1H-indole-3-yl] (5-pyridin-3-yl-1,2,4-oxadiazole-3-yl) ketone
[1-(4-benzyl chloride base)-5-methoxyl group-1H-indol-3-yl] (5-pyridin-3-yl-1,2,4-oxadiazole-3-yl) ketone
[1-(4-benzyl chloride base)-5-methoxyl group-2-Methyl-1H-indole-3-yl] (5-pyridin-4-yl-1,2,4-oxadiazole-3-yl) ketone
[1-(4-benzyl chloride base)-5-methoxyl group-1H-indol-3-yl] (5-pyridin-4-yl-1,2,4-oxadiazole-3-yl) ketone
[1-(4-benzyl chloride base)-5-methoxyl group-2-Methyl-1H-indole-3-yl] (5-pyrimidine-4-base-1,2,4-oxadiazole-3-yl) ketone
[1-(4-benzyl chloride base)-5-methoxyl group-1H-indol-3-yl] (5-pyrimidine-4-base-1,2,4-oxadiazole-3-yl) ketone
[1-(4-benzyl chloride base)-5-methoxyl group-2-Methyl-1H-indole-3-yl] (5-pyridazine-3-base-1,2,4-oxadiazole-3-yl) ketone
[1-(4-benzyl chloride base)-5-methoxyl group-1H-indol-3-yl] (5-pyridazine-3-base-1,2,4-oxadiazole-3-yl) ketone
[1-(4-benzyl chloride base)-5-methoxyl group-2-Methyl-1H-indole-3-yl] (5-pyrazine-2-base-1,2,4-oxadiazole-3-yl) ketone
[1-(4-benzyl chloride base)-5-methoxyl group-1H-indol-3-yl] (5-pyrazine-2-base-1,2,4-oxadiazole-3-yl) ketone
[1-(4-benzyl chloride base)-5-methoxyl group-2-Methyl-1H-indole-3-yl] (5-pyrimidine-2-base-1,2,4-oxadiazole-3-yl) ketone
[1-(4-benzyl chloride base)-5-methoxyl group-1H-indol-3-yl] (5-pyrimidine-2-base-1,2,4-oxadiazole-3-yl) ketone
[1-(4-benzyl chloride base)-5-methoxyl group-2-Methyl-1H-indole-3-yl] (5-pyridazine-4-base-1,2,4-oxadiazole-3-yl) ketone
[1-(4-benzyl chloride base)-5-methoxyl group-1H-indol-3-yl] (5-pyridazine-4-base-1,2,4-oxadiazole-3-yl) ketone
[1-(4-benzyl chloride base)-5-methoxyl group-2-Methyl-1H-indole-3-yl] (5-pyridazine-3-base-1,3,4-oxadiazole-2-yl) ketone
[1-(4-benzyl chloride base)-5-methoxyl group-1H-indol-3-yl] (5-pyridazine-3-base-1,3,4-oxadiazole-2-yl) ketone
[1-(4-benzyl chloride base)-5-methoxyl group-2-Methyl-1H-indole-3-yl] (5-pyrimidine-4-base-1,3,4-oxadiazole-2-yl) ketone
[1-(4-benzyl chloride base)-5-methoxyl group-1H-indol-3-yl] (5-pyrimidine-4-base-1,3,4-oxadiazole-2-yl) ketone
[1-(4-benzyl chloride base)-5-methoxyl group-2-Methyl-1H-indole-3-yl] (5-pyrazine-2-base-1,3,4-oxadiazole-2-yl) ketone
[1-(4-benzyl chloride base)-5-methoxyl group-1H-indol-3-yl] (5-pyrazine-2-base-1,3,4-oxadiazole-2-yl) ketone
[1-(4-benzyl chloride base)-5-methoxyl group-2-Methyl-1H-indole-3-yl] (5-pyrimidine-2-base-1,3,4-oxadiazole-2-yl) ketone
[1-(4-benzyl chloride base)-5-methoxyl group-1H-indol-3-yl] (5-pyrimidine-2-base-1,3,4-oxadiazole-2-yl) ketone
[1-(4-benzyl chloride base)-5-methoxyl group-2-Methyl-1H-indole-3-yl] (5-pyridazine-4-base-1,3,4-oxadiazole-2-yl) ketone
[1-(4-benzyl chloride base)-5-methoxyl group-1H-indol-3-yl] (5-pyridazine-4-base-1,3,4-oxadiazole-2-yl) ketone
[1-(4-benzyl chloride base)-5-methoxyl group-2-Methyl-1H-indole-3-yl] (5-phenyl-1,3,4-thiadiazoles-2-yl) ketone
[1-(4-benzyl chloride base)-5-methoxyl group-1H-indol-3-yl] (5-phenyl-1,3,4-thiadiazoles-2-yl) ketone
[1-(4-benzyl chloride base)-5-methoxyl group-2-Methyl-1H-indole-3-yl] (5-pyridine-2-base-1,3,4-thiadiazoles-2-yl) ketone
[1-(4-benzyl chloride base)-5-methoxyl group-1H-indol-3-yl] (5-pyridine-2-base-1,3,4-thiadiazoles-2-yl) ketone
[1-(4-benzyl chloride base)-5-methoxyl group-2-Methyl-1H-indole-3-yl] (5-pyridin-3-yl-1,3,4-thiadiazoles-2-yl) ketone
[1-(4-benzyl chloride base)-5-methoxyl group-1H-indol-3-yl] (5-pyridin-3-yl-1,3,4-thiadiazoles-2-yl) ketone
[1-(4-benzyl chloride base)-5-methoxyl group-2-Methyl-1H-indole-3-yl] (5-pyridin-4-yl-1,3,4-thiadiazoles-2-yl) ketone
[1-(4-benzyl chloride base)-5-methoxyl group-1H-indol-3-yl] (5-pyridin-4-yl-1,3,4-thiadiazoles-2-yl) ketone
[1-(4-benzyl chloride base)-5-methoxyl group-2-Methyl-1H-indole-3-yl] (5-pyrimidine-4-base-1,3,4-thiadiazoles-2-yl) ketone
[1-(4-benzyl chloride base)-5-methoxyl group-1H-indol-3-yl] (5-pyrimidine-4-base-1,3,4-thiadiazoles-2-yl) ketone
[1-(4-benzyl chloride base)-5-methoxyl group-2-Methyl-1H-indole-3-yl] (5-pyridazine-3-base-1,3,4-thiadiazoles-2-yl) ketone
[1-(4-benzyl chloride base)-5-methoxyl group-1H-indol-3-yl] (5-pyridazine-3-base-1,3,4-thiadiazoles-2-yl) ketone
[1-(4-benzyl chloride base)-5-methoxyl group-2-Methyl-1H-indole-3-yl] (5-pyrazine-2-base-1,3,4-thiadiazoles-2-yl) ketone
[1-(4-benzyl chloride base)-5-methoxyl group-1H-indol-3-yl] (5-pyrazine-2-base-1,3,4-thiadiazoles-2-yl) ketone
1-(4-benzyl chloride base)-5-methoxyl group-2-Methyl-1H-indole-3-yl] (5-pyrimidine-2-base-1,3,4-thiadiazoles-2-yl) ketone
1-(4-benzyl chloride base)-5-methoxyl group-1H-indol-3-yl] (5-pyrimidine-2-base-1,3,4-thiadiazoles-2-yl) ketone
[1-(4-benzyl chloride base)-5-methoxyl group-2-Methyl-1H-indole-3-yl] (5-pyridazine-4-base-1,3,4-thiadiazoles-2-yl) ketone
[1-(4-benzyl chloride base)-5-methoxyl group-1H-indol-3-yl] (5-pyridazine-4-base-1,3,4-thiadiazoles-2-yl) ketone
[1-(4-benzyl chloride base)-5-methoxyl group-2-Methyl-1H-indole-3-yl] (3-phenyl isothiazole-5-yl) ketone
[1-(4-benzyl chloride base)-5-methoxyl group-1H-indol-3-yl] (3-phenyl isothiazole-5-yl) ketone
[1-(4-benzyl chloride base)-5-methoxyl group-2-Methyl-1H-indole-3-yl] (3-pyridine-2-base isothiazole-5-yl) ketone
[1-(4-benzyl chloride base)-5-methoxyl group-1H-indol-3-yl] (3-pyridine-2-base isothiazole-5-yl) ketone
[1-(4-benzyl chloride base)-5-methoxyl group-2-Methyl-1H-indole-3-yl] (3-pyridin-3-yl isothiazole-5-yl) ketone
[1-(4-benzyl chloride base)-5-methoxyl group-1H-indol-3-yl] (3-pyridin-3-yl isothiazole-5-yl) ketone
[1-(4-benzyl chloride base)-5-methoxyl group-2-Methyl-1H-indole-3-yl] (3-pyridin-4-yl isothiazole-5-yl) ketone
[1-(4-benzyl chloride base)-5-methoxyl group-1H-indol-3-yl] (3-pyridin-4-yl isothiazole-5-yl) ketone
[1-(4-benzyl chloride base)-5-methoxyl group-2-Methyl-1H-indole-3-yl] (3-pyrimidine-4-base isothiazole-5-yl) ketone
[1-(4-benzyl chloride base)-5-methoxyl group-1H-indol-3-yl] (3-pyrimidine-4-base isothiazole-5-yl) ketone
[1-(4-benzyl chloride base)-5-methoxyl group-2-Methyl-1H-indole-3-yl] (3-pyridazine-3-base isothiazole-5-yl) ketone
[1-(4-benzyl chloride base)-5-methoxyl group-1H-indol-3-yl] (3-pyridazine-3-base isothiazole-5-yl) ketone
[1-(4-benzyl chloride base)-5-methoxyl group-2-Methyl-1H-indole-3-yl] (3-pyrazine-2-base isothiazole-5-yl) ketone
[1-(4-benzyl chloride base)-5-methoxyl group-1H-indol-3-yl] (3-pyrazine-2-base isothiazole-5-yl) ketone
[1-(4-benzyl chloride base)-5-methoxyl group-2-Methyl-1H-indole-3-yl] (3-pyrimidine-2-base isothiazole-5-yl) ketone
[[1-(4-benzyl chloride base)-5-methoxyl group-1H-indol-3-yl] (3-pyrimidine-2-base isothiazole-5-yl) ketone
1-(4-benzyl chloride base)-5-methoxyl group-2-Methyl-1H-indole-3-yl] (3-pyridazine-4-base isothiazole-5-yl) ketone
1-(4-benzyl chloride base)-5-methoxyl group-1H-indol-3-yl] (3-pyridazine-4-base isothiazole-5-yl) ketone
1-(4-benzyl chloride base)-5-methoxyl group-2-Methyl-1H-indole-3-yl] (5-phenyl-2-furyl) ketone
1-(4-benzyl chloride base)-5-methoxyl group-1H-indol-3-yl] (5-phenyl-2-furyl) ketone
[1-(4-benzyl chloride base)-5-methoxyl group-2-Methyl-1H-indole-3-yl] (5-pyridine-2-base-2-furyl) ketone
[1-(4-benzyl chloride base)-5-methoxyl group-1H-indol-3-yl] (5-pyridine-2-base-2-furyl) ketone
[1-(4-benzyl chloride base)-5-methoxyl group-2-Methyl-1H-indole-3-yl] (5-pyridin-3-yl-2-furyl) ketone
[1-(4-benzyl chloride base)-5-methoxyl group-1H-indol-3-yl] (5-pyridin-3-yl-2-furyl) ketone
[1-(4-benzyl chloride base)-5-methoxyl group-2-Methyl-1H-indole-3-yl] (5-pyridin-4-yl-2-furyl) ketone
[1-(4-benzyl chloride base)-5-methoxyl group-1H-indol-3-yl] (5-pyridin-4-yl-2-furyl) ketone
[1-(4-benzyl chloride base)-5-methoxyl group-2-Methyl-1H-indole-3-yl] (5-pyrimidine-4-base-2-furyl) ketone
[1-(4-benzyl chloride base)-5-methoxyl group-1H-indol-3-yl] (5-pyrimidine-4-base-2-furyl) ketone
[1-(4-benzyl chloride base)-5-methoxyl group-2-Methyl-1H-indole-3-yl] (5-pyridazine-3-base-2-furyl) ketone
[1-(4-benzyl chloride base)-5-methoxyl group-1H-indol-3-yl] (5-pyridazine-3-base-2-furyl) ketone
[1-(4-benzyl chloride base)-5-methoxyl group-2-Methyl-1H-indole-3-yl] (5-pyrazine-2-base-2-furyl) ketone
[1-(4-benzyl chloride base)-5-methoxyl group-1H-indol-3-yl] (5-pyrazine-2-base-2-furyl) ketone
[1-(4-benzyl chloride base)-5-methoxyl group-2-Methyl-1H-indole-3-yl] (5-pyrimidine-2-base-2-furyl) ketone
[1-(4-benzyl chloride base)-5-methoxyl group-1H-indol-3-yl] (5-pyrimidine-2-base-2-furyl) ketone
[1-(4-benzyl chloride base)-5-methoxyl group-2-Methyl-1H-indole-3-yl] (5-pyridazine-4-base-2-furyl) ketone
[1-(4-benzyl chloride base)-5-methoxyl group-1H-indol-3-yl] (5-pyridazine-4-base-2-furyl) ketone
[1-(4-benzyl chloride base)-5-methoxyl group-2-Methyl-1H-indole-3-yl] (2-phenyl-1,3-oxazole-5-yl) ketone
[1-(4-benzyl chloride base)-5-methoxyl group-1H-indol-3-yl] (2-phenyl-1,3-oxazole-5-yl) ketone
[1-(4-benzyl chloride base)-5-methoxyl group-2-Methyl-1H-indole-3-yl] (2-pyridine-2-base-1,3-oxazole-5-yl) ketone
[1-(4-benzyl chloride base)-5-methoxyl group-1H-indol-3-yl] (2-pyridine-2-base-1,3-oxazole-5-yl) ketone
[1-(4-benzyl chloride base)-5-methoxyl group-2-Methyl-1H-indole-3-yl] (2-pyridin-3-yl-1,3-oxazole-5-yl) ketone
[1-(4-benzyl chloride base)-5-methoxyl group-1H-indol-3-yl] (2-pyridin-3-yl-1,3-oxazole-5-yl) ketone
[1-(4-benzyl chloride base)-5-methoxyl group-2-Methyl-1H-indole-3-yl] (2-pyridin-4-yl-1,3-oxazole-5-yl) ketone
[1-(4-benzyl chloride base)-5-methoxyl group-1H-indol-3-yl] (2-pyridin-4-yl-1,3-oxazole-5-yl) ketone
[1-(4-benzyl chloride base)-5-methoxyl group-2-Methyl-1H-indole-3-yl] (2-pyrimidine-4-base-1,3-oxazole-5-yl) ketone
[1-(4-benzyl chloride base)-5-methoxyl group-1H-indol-3-yl] (2-pyrimidine-4-base-1,3-oxazole-5-yl) ketone
[1-(4-benzyl chloride base)-5-methoxyl group-2-Methyl-1H-indole-3-yl] (2-pyridazine-3-base-1,3-oxazole-5-yl) ketone
[1-(4-benzyl chloride base)-5-methoxyl group-1H-indol-3-yl] (2-pyridazine-3-base-1,3-oxazole-5-yl) ketone
[1-(4-benzyl chloride base)-5-methoxyl group-2-Methyl-1H-indole-3-yl] (2-pyrazine-2-base-1,3-oxazole-5-yl) ketone
[1-(4-benzyl chloride base)-5-methoxyl group-1H-indol-3-yl] (2-pyrazine-2-base-1,3-oxazole-5-yl) ketone
[1-(4-benzyl chloride base)-5-methoxyl group-2-Methyl-1H-indole-3-yl] (2-pyrimidine-2-base-1,3-oxazole-5-yl) ketone
[1-(4-benzyl chloride base)-5-methoxyl group-1H-indol-3-yl] (2-pyrimidine-2-base-1,3-oxazole-5-yl) ketone
[1-(4-benzyl chloride base)-5-methoxyl group-2-Methyl-1H-indole-3-yl] (2-pyridazine-4-base-1,3-oxazole-5-yl) ketone
[1-(4-benzyl chloride base)-5-methoxyl group-1H-indol-3-yl] (2-pyridazine-4-base-1,3-oxazole-5-yl) ketone
[1-(4-benzyl chloride base)-5-methoxyl group-2-Methyl-1H-indole-3-yl] (2-phenyl-1,3-oxazole-4-yl) ketone
[1-(4-benzyl chloride base)-5-methoxyl group-1H-indol-3-yl] (2-phenyl-1,3-oxazole-4-yl) ketone
[1-(4-benzyl chloride base)-5-methoxyl group-2-Methyl-1H-indole-3-yl] (2-pyridine-2-base-1,3-oxazole-4-yl) ketone
[1-(4-benzyl chloride base)-5-methoxyl group-1H-indol-3-yl] (2-pyridine-2-base-1,3-oxazole-4-yl) ketone
[1-(4-benzyl chloride base)-5-methoxyl group-2-Methyl-1H-indole-3-yl] (2-pyridin-3-yl-1,3-oxazole-4-yl) ketone
[1-(4-benzyl chloride base)-5-methoxyl group-1H-indol-3-yl] (2-pyridin-3-yl-1,3-oxazole-4-yl) ketone
[1-(4-benzyl chloride base)-5-methoxyl group-2-Methyl-1H-indole-3-yl] (2-pyridin-4-yl-1,3-oxazole-4-yl) ketone
[1-(4-benzyl chloride base)-5-methoxyl group-1H-indol-3-yl] (2-pyridin-4-yl-1,3-oxazole-4-yl) ketone
[1-(4-benzyl chloride base)-5-methoxyl group-2-Methyl-1H-indole-3-yl] (2-pyrimidine-4-base-1,3-oxazole-4-yl) ketone
[1-(4-benzyl chloride base)-5-methoxyl group-1H-indol-3-yl] (2-pyrimidine-4-base-1,3-oxazole-4-yl) ketone
[1-(4-benzyl chloride base)-5-methoxyl group-2-Methyl-1H-indole-3-yl] (2-pyridazine-3-base-1,3-oxazole-4-yl) ketone
[1-(4-benzyl chloride base)-5-methoxyl group-1H-indol-3-yl] (2-pyridazine-3-base-1,3-oxazole-4-yl) ketone
[1-(4-benzyl chloride base)-5-methoxyl group-2-Methyl-1H-indole-3-yl] (2-pyrazine-2-base-1,3-oxazole-4-yl) ketone
[1-(4-benzyl chloride base)-5-methoxyl group-1H-indol-3-yl] (2-pyrazine-2-base-1,3-oxazole-4-yl) ketone
[1-(4-benzyl chloride base)-5-methoxyl group-2-Methyl-1H-indole-3-yl] (2-pyrimidine-2-base-1,3-oxazole-4-yl) ketone
[1-(4-benzyl chloride base)-5-methoxyl group-1H-indol-3-yl] (2-pyrimidine-2-base-1,3-oxazole-4-yl) ketone
[1-(4-benzyl chloride base)-5-methoxyl group-2-Methyl-1H-indole-3-yl] (2-pyridazine-4-base-1,3-oxazole-4-yl) ketone
[1-(4-benzyl chloride base)-5-methoxyl group-1H-indol-3-yl] (2-pyridazine-4-base-1,3-oxazole-4-yl) ketone
[1-(4-benzyl chloride base)-5-methoxyl group-2-Methyl-1H-indole-3-yl] (2-phenyl-1,3-thiazoles-5-yl) ketone
[1-(4-benzyl chloride base)-5-methoxyl group-1H-indol-3-yl] (2-phenyl-1,3-thiazoles-5-yl) ketone
[1-(4-benzyl chloride base)-5-methoxyl group-2-Methyl-1H-indole-3-yl] (2-pyridine-2-base-1,3-thiazoles-5-yl) ketone
[1-(4-benzyl chloride base)-5-methoxyl group-1H-indol-3-yl] (2-pyridine-2-base-1,3-thiazoles-5-yl) ketone
[1-(4-benzyl chloride base)-5-methoxyl group-2-Methyl-1H-indole-3-yl] (2-pyridin-3-yl-1,3-thiazoles-5-yl) ketone
[1-(4-benzyl chloride base)-5-methoxyl group-1H-indol-3-yl] (2-pyridin-3-yl-1,3-thiazoles-5-yl) ketone
[1-(4-benzyl chloride base)-5-methoxyl group-2-Methyl-1H-indole-3-yl] (2-pyridin-4-yl-1,3-thiazoles-5-yl) ketone
[1-(4-benzyl chloride base)-5-methoxyl group-1H-indol-3-yl] (2-pyridin-4-yl-1,3-thiazoles-5-yl) ketone
[1-(4-benzyl chloride base)-5-methoxyl group-2-Methyl-1H-indole-3-yl] (2-pyrimidine-4-base-1,3-thiazoles-5-yl) ketone
[1-(4-benzyl chloride base)-5-methoxyl group-1H-indol-3-yl] (2-pyrimidine-4-base-1,3-thiazoles-5-yl) ketone
[1-(4-benzyl chloride base)-5-methoxyl group-2-Methyl-1H-indole-3-yl] (2-pyridazine-3-base-1,3-thiazoles-5-yl) ketone
[1-(4-benzyl chloride base)-5-methoxyl group-1H-indol-3-yl] (2-pyridazine-3-base-1,3-thiazoles-5-yl) ketone
[1-(4-benzyl chloride base)-5-methoxyl group-2-Methyl-1H-indole-3-yl] (2-pyrazine-2-base-1,3-thiazoles-5-yl) ketone
[1-(4-benzyl chloride base)-5-methoxyl group-1H-indol-3-yl] (2-pyrazine-2-base-1,3-thiazoles-5-yl) ketone
[1-(4-benzyl chloride base)-5-methoxyl group-2-Methyl-1H-indole-3-yl] (2-pyrimidine-2-base-1,3-thiazoles-5-yl) ketone
[1-(4-benzyl chloride base)-5-methoxyl group-1H-indol-3-yl] (2-pyrimidine-2-base-1,3-thiazoles-5-yl) ketone
[1-(4-benzyl chloride base)-5-methoxyl group-2-Methyl-1H-indole-3-yl] (2-pyridazine-4-base-1,3-thiazoles-5-yl) ketone
[1-(4-benzyl chloride base)-5-methoxyl group-1H-indol-3-yl] (2-pyridazine-4-base-1,3-thiazoles-5-yl) ketone
[1-(4-benzyl chloride base)-5-methoxyl group-2-Methyl-1H-indole-3-yl] (2-phenyl-1,3-thiazoles-4-yl) ketone
[1-(4-benzyl chloride base)-5-methoxyl group-1H-indol-3-yl] (2-phenyl-1,3-thiazoles-4-yl) ketone
[1-(4-benzyl chloride base)-5-methoxyl group-2-Methyl-1H-indole-3-yl] (2-pyridine-2-base-1,3-thiazoles-4-yl) ketone
[1-(4-benzyl chloride base)-5-methoxyl group-1H-indol-3-yl] (2-pyridine-2-base-1,3-thiazoles-4-yl) ketone
[1-(4-benzyl chloride base)-5-methoxyl group-2-Methyl-1H-indole-3-yl] (2-pyridin-3-yl-1,3-thiazoles-4-yl) ketone
[1-(4-benzyl chloride base)-5-methoxyl group-1H-indol-3-yl] (2-pyridin-3-yl-1,3-thiazoles-4-yl) ketone
[1-(4-benzyl chloride base)-5-methoxyl group-2-Methyl-1H-indole-3-yl] (2-pyridin-4-yl-1,3-thiazoles-4-yl) ketone
[1-(4-benzyl chloride base)-5-methoxyl group-1H-indol-3-yl] (2-pyridin-4-yl-1,3-thiazoles-4-yl) ketone
[1-(4-benzyl chloride base)-5-methoxyl group-2-Methyl-1H-indole-3-yl] (2-pyrimidine-4-base-1,3-thiazoles-4-yl) ketone
[1-(4-benzyl chloride base)-5-methoxyl group-1H-indol-3-yl] (2-pyrimidine-4-base-1,3-thiazoles-4-yl) ketone
[1-(4-benzyl chloride base)-5-methoxyl group-2-Methyl-1H-indole-3-yl] (2-pyridazine-3-base-1,3-thiazoles-4-yl) ketone
[1-(4-benzyl chloride base)-5-methoxyl group-1H-indol-3-yl] (2-pyridazine-3-base-1,3-thiazoles-4-yl) ketone
[1-(4-benzyl chloride base)-5-methoxyl group-2-Methyl-1H-indole-3-yl] (2-pyrazine-2-base-1,3-thiazoles-4-yl) ketone
[1-(4-benzyl chloride base)-5-methoxyl group-1H-indol-3-yl] (2-pyrazine-2-base-1,3-thiazoles-4-yl) ketone
[1-(4-benzyl chloride base)-5-methoxyl group-2-Methyl-1H-indole-3-yl] (2-pyrimidine-2-base-1,3-thiazoles-4-yl) ketone
[1-(4-benzyl chloride base)-5-methoxyl group-1H-indol-3-yl] (2-pyrimidine-2-base-1,3-thiazoles-4-yl) ketone
[1-(4-benzyl chloride base)-5-methoxyl group-2-Methyl-1H-indole-3-yl] (2-pyridazine-4-base-1,3-thiazoles-4-yl) ketone
[1-(4-benzyl chloride base)-5-methoxyl group-1H-indol-3-yl] (2-pyridazine-4-base-1,3-thiazoles-4-yl) ketone
1,3-benzoxazole-2-base [1-(4-benzyl chloride base)-5-methoxyl group-2-Methyl-1H-indole-3-yl] ketone
1,3-benzoxazole-2-base [1-(4-benzyl chloride base)-5-methoxyl group-1H-indol-3-yl] ketone
[1-(4-benzyl chloride base)-5-methoxyl group-2-Methyl-1H-indole-3-yl] ([1,3] oxazole is [4,5-b] pyridine-2-yl also) ketone
[1-(4-benzyl chloride base)-5-methoxyl group-1H-indol-3-yl] ([1,3] oxazole is [4,5-b] pyridine-2-yl also) ketone
[1-(4-benzyl chloride base)-5-methoxyl group-2-Methyl-1H-indole-3-yl] ([1,3] oxazole is [4,5-c] pyridine-2-yl also) ketone
[1-(4-benzyl chloride base)-5-methoxyl group-1H-indol-3-yl] ([1,3] oxazole is [4,5-c] pyridine-2-yl also) ketone
[1-(4-benzyl chloride base)-5-methoxyl group-2-Methyl-1H-indole-3-yl] ([1,3] oxazole is [5,4-c] pyridine-2-yl also) ketone
[1-(4-benzyl chloride base)-5-methoxyl group-1H-indol-3-yl] ([1,3] oxazole is [5,4-c] pyridine-2-yl also) ketone
[1-(4-benzyl chloride base)-5-methoxyl group-2-Methyl-1H-indole-3-yl] ([1,3] oxazole is [5,4-b] pyridine-2-yl also) ketone
[1-(4-benzyl chloride base)-5-methoxyl group-1H-indol-3-yl] ([1,3] oxazole is [5,4-b] pyridine-2-yl also) ketone
[1-(4-benzyl chloride base)-5-methoxyl group-2-Methyl-1H-indole-3-yl] (1-phenyl-1H-pyrazole-3-yl) ketone
[1-(4-benzyl chloride base)-5-methoxyl group-1H-indol-3-yl] (1-phenyl-1H-pyrazole-3-yl) ketone
[1-(4-benzyl chloride base)-5-methoxyl group-2-Methyl-1H-indole-3-yl] (1-pyridine-2-base-1H-pyrazole-3-yl) ketone
[1-(4-benzyl chloride base)-5-methoxyl group-1H-indol-3-yl] (1-pyridine-2-base-1H-pyrazole-3-yl) ketone
[1-(4-benzyl chloride base)-5-methoxyl group-2-Methyl-1H-indole-3-yl] (1-pyridin-3-yl-1H-pyrazole-3-yl) ketone
[1-(4-benzyl chloride base)-5-methoxyl group-1H-indol-3-yl] (1-pyridin-3-yl-1H-pyrazole-3-yl) ketone
[1-(4-benzyl chloride base)-5-methoxyl group-2-Methyl-1H-indole-3-yl] (1-pyridin-4-yl-1H-pyrazole-3-yl) ketone
[1-(4-benzyl chloride base)-5-methoxyl group-1H-indol-3-yl] (1-pyridin-4-yl-1H-pyrazole-3-yl) ketone
[1-(4-benzyl chloride base)-5-methoxyl group-2-Methyl-1H-indole-3-yl] (1-pyrimidine-4-base-1H-pyrazole-3-yl) ketone
[1-(4-benzyl chloride base)-5-methoxyl group-1H-indol-3-yl] (1-pyrimidine-4-base-1H-pyrazole-3-yl) ketone
[1-(4-benzyl chloride base)-5-methoxyl group-2-Methyl-1H-indole-3-yl] (1-pyridazine-3-base-1H-pyrazole-3-yl) ketone
[1-(4-benzyl chloride base)-5-methoxyl group-1H-indol-3-yl] (1-pyridazine-3-base-1H-pyrazole-3-yl) ketone
[1-(4-benzyl chloride base)-5-methoxyl group-2-Methyl-1H-indole-3-yl] (1-pyrazine-2-base-1H-pyrazole-3-yl) ketone
[1-(4-benzyl chloride base)-5-methoxyl group-1H-indol-3-yl] (1-pyrazine-2-base-1H-pyrazole-3-yl) ketone
[1-(4-benzyl chloride base)-5-methoxyl group-2-Methyl-1H-indole-3-yl] (1-pyrimidine-2-base-1H-pyrazole-3-yl) ketone
[1-(4-benzyl chloride base)-5-methoxyl group-1H-indol-3-yl] (1-pyrimidine-2-base-1H-pyrazole-3-yl) ketone
[1-(4-benzyl chloride base)-5-methoxyl group-2-Methyl-1H-indole-3-yl] (1-pyridazine-4-base-1H-pyrazole-3-yl) ketone
[1-(4-benzyl chloride base)-5-methoxyl group-1H-indol-3-yl] (1-pyridazine-4-base-1H-pyrazole-3-yl) ketone
[1-(4-benzyl chloride base)-5-methoxyl group-2-Methyl-1H-indole-3-yl] (1-phenyl-1H-pyrazoles-4-yl) ketone
[1-(4-benzyl chloride base)-5-methoxyl group-1H-indol-3-yl] (1-phenyl-1H-pyrazoles-4-yl) ketone
[1-(4-benzyl chloride base)-5-methoxyl group-2-Methyl-1H-indole-3-yl] (1-pyridine-2-base-1H-pyrazoles-4-yl) ketone
[1-(4-benzyl chloride base)-5-methoxyl group-1H-indol-3-yl] (1-pyridine-2-base-1H-pyrazoles-4-yl) ketone
[1-(4-benzyl chloride base)-5-methoxyl group-2-Methyl-1H-indole-3-yl] (1-pyridin-3-yl-1H-pyrazoles-4-yl) ketone
[1-(4-benzyl chloride base)-5-methoxyl group-1H-indol-3-yl] (1-pyridin-3-yl-1H-pyrazoles-4-yl) ketone
[1-(4-benzyl chloride base)-5-methoxyl group-2-Methyl-1H-indole-3-yl] (1-pyridin-4-yl-1H-pyrazoles-4-yl) ketone
[1-(4-benzyl chloride base)-5-methoxyl group-1H-indol-3-yl] (1-pyridin-4-yl-1H-pyrazoles-4-yl) ketone
[1-(4-benzyl chloride base)-5-methoxyl group-2-Methyl-1H-indole-3-yl] (1-pyrimidine-4-base-1H-pyrazoles-4-yl) ketone
[1-(4-benzyl chloride base)-5-methoxyl group-1H-indol-3-yl] (1-pyrimidine-4-base-1H-pyrazoles-4-yl) ketone
[1-(4-benzyl chloride base)-5-methoxyl group-2-Methyl-1H-indole-3-yl] (1-pyridazine-3-base-1H-pyrazoles-4-yl) ketone
[1-(4-benzyl chloride base)-5-methoxyl group-1H-indol-3-yl] (1-pyridazine-3-base-1H-pyrazoles-4-yl) ketone
[1-(4-benzyl chloride base)-5-methoxyl group-2-Methyl-1H-indole-3-yl] (1-pyrazine-2-base-1H-pyrazoles-4-yl) ketone
[1-(4-benzyl chloride base)-5-methoxyl group-1H-indol-3-yl] (1-pyrazine-2-base-1H-pyrazoles-4-yl) ketone
[1-(4-benzyl chloride base)-5-methoxyl group-2-Methyl-1H-indole-3-yl] (1-pyrimidine-2-base-1H-pyrazoles-4-yl) ketone
[1-(4-benzyl chloride base)-5-methoxyl group-1H-indol-3-yl] (1-pyrimidine-2-base-1H-pyrazoles-4-yl) ketone
[1-(4-benzyl chloride base)-5-methoxyl group-2-Methyl-1H-indole-3-yl] (1-pyridazine-4-base-1H-pyrazoles-4-yl) ketone
[1-(4-benzyl chloride base)-5-methoxyl group-1H-indol-3-yl] (1-pyridazine-4-base-1H-pyrazoles-4-yl) ketone
[1-(4-benzyl chloride base)-5-methoxyl group-2-Methyl-1H-indole-3-yl] (1-phenyl-1H-1,2,3-triazole-4-yl) ketone
[1-(4-benzyl chloride base)-5-methoxyl group-1H-indol-3-yl] (1-phenyl-1H-1,2,3-triazole-4-yl) ketone
[1-(4-benzyl chloride base)-5-methoxyl group-2-Methyl-1H-indole-3-yl] (1-pyridine-2-base-1H-1,2,3-triazole-4-yl) ketone
[1-(4-benzyl chloride base)-5-methoxyl group-1H-indol-3-yl] (1-pyridine-2-base-1H-1,2,3-triazole-4-yl) ketone
[1-(4-benzyl chloride base)-5-methoxyl group-2-Methyl-1H-indole-3-yl] (1-pyridin-3-yl-1H-1,2,3-triazole-4-yl) ketone
[1-(4-benzyl chloride base)-5-methoxyl group-1H-indol-3-yl] (1-pyridin-3-yl-1H-1,2,3-triazole-4-yl) ketone
[1-(4-benzyl chloride base)-5-methoxyl group-2-Methyl-1H-indole-3-yl] (1-pyridin-4-yl-1H-1,2,3-triazole-4-yl) ketone
[1-(4-benzyl chloride base)-5-methoxyl group-1H-indol-3-yl] (1-pyridin-4-yl-1H-1,2,3-triazole-4-yl) ketone
[1-(4-benzyl chloride base)-5-methoxyl group-2-Methyl-1H-indole-3-yl] (1-pyrimidine-4-base-1H-1,2,3-triazole-4-yl) ketone
[1-(4-benzyl chloride base)-5-methoxyl group 1-1H-indol-3-yl] (1-pyrimidine-4-base-1H-1,2,3-triazole-4-yl) ketone
[1-(4-benzyl chloride base)-5-methoxyl group-2-Methyl-1H-indole-3-yl] (1-pyridazine-3-base-1H-1,2,3-triazole-4-yl) ketone
[1-(4-benzyl chloride base)-5-methoxyl group-1H-indol-3-yl] (1-pyridazine-3-base-1H-1,2,3-triazole-4-yl) ketone
[1-(4-benzyl chloride base)-5-methoxyl group-2-Methyl-1H-indole-3-yl] (1-pyrazine-2-base-1H-1,2,3-triazole-4-yl) ketone
[1-(4-benzyl chloride base)-5-methoxyl group-1H-indol-3-yl] (1-pyrazine-2-base-1H-1,2,3-triazole-4-yl) ketone
[1-(4-benzyl chloride base)-5-methoxyl group-2-Methyl-1H-indole-3-yl] (1-pyrimidine-2-base-1H-1,2,3-triazole-4-yl) ketone
[1-(4-benzyl chloride base)-5-methoxyl group-1H-indol-3-yl] (1-pyrimidine-2-base-1H-1,2,3-triazole-4-yl) ketone
[1-(4-benzyl chloride base)-5-methoxyl group-2-Methyl-1H-indole-3-yl] (1-pyridazine-4-base-1H-1,2,3-triazole-4-yl) ketone
[1-(4-benzyl chloride base)-5-methoxyl group-1H-indol-3-yl] (1-pyridazine-4-base-1H-1,2,3-triazole-4-yl) ketone
How useful compound (for example FAAH inhibitor) comprising:
[1-(2, the 4-dichloro benzyl)-5-methoxyl group-2-Methyl-1H-indole-3-yl] (5-phenyl-1,3,4-oxadiazole-2-yl) ketone
[1-(2, the 4-dichloro benzyl)-5-methoxyl group-1H-indol-3-yl] (5-phenyl-1,3,4-oxadiazole-2-yl) ketone
[1-(2, the 4-dichloro benzyl)-5-methoxyl group-2-Methyl-1H-indole-3-yl] (5-pyridine-2-base-1,3,4-oxadiazole-2-yl) ketone
[1-(2, the 4-dichloro benzyl)-5-methoxyl group-1H-indol-3-yl] (5-pyridine-2-base-1,3,4-oxadiazole-2-yl) ketone
[1-(2, the 4-dichloro benzyl)-5-methoxyl group-2-Methyl-1H-indole-3-yl] (5-pyridin-3-yl-1,3,4-oxadiazole-2-yl) ketone
[1-(2, the 4-dichloro benzyl)-5-methoxyl group-1H-indol-3-yl] (5-pyridin-3-yl-1,3,4-oxadiazole-2-yl) ketone
[1-(2, the 4-dichloro benzyl)-5-methoxyl group-2-Methyl-1H-indole-3-yl] (5-pyridin-4-yl-1,3,4-oxadiazole-2-yl) ketone
[1-(2, the 4-dichloro benzyl)-5-methoxyl group-1H-indol-3-yl] (5-pyridin-4-yl-1,3,4-oxadiazole-2-yl) ketone
[1-(2, the 4-dichloro benzyl)-5-methoxyl group-2-Methyl-1H-indole-3-yl] (5-pyrimidine-4-base-1,3,4-oxadiazole-2-yl) ketone
[1-(2, the 4-dichloro benzyl)-5-methoxyl group-1H-indol-3-yl] (5-pyrimidine-4-base-1,3,4-oxadiazole-2-yl) ketone
[1-(2, the 4-dichloro benzyl)-5-methoxyl group-2-Methyl-1H-indole-3-yl] (5-pyrazine-2-base-1,3,4-oxadiazole-2-yl) ketone
[1-(2, the 4-dichloro benzyl)-5-methoxyl group-1H-indol-3-yl] (5-pyrazine-2-base-1,3,4-oxadiazole-2-yl) ketone
[1-(2, the 4-dichloro benzyl)-5-methoxyl group-2-Methyl-1H-indole-3-yl] (5-pyrimidine-2-base-1,3,4-oxadiazole-2-yl) ketone
[1-(2, the 4-dichloro benzyl)-5-methoxyl group-1H-indol-3-yl] (5-pyrimidine-2-base-1,3,4-oxadiazole-2-yl) ketone
[1-(2, the 4-dichloro benzyl)-5-methoxyl group-2-Methyl-1H-indole-3-yl] (5-pyridazine-3-base-1,3,4-oxadiazole-2-yl) ketone
[1-(2, the 4-dichloro benzyl)-5-methoxyl group-1H-indol-3-yl] (5-pyridazine-3-base-1,3,4-oxadiazole-2-yl) ketone
[1-(2, the 4-dichloro benzyl)-5-methoxyl group-2-Methyl-1H-indole-3-yl] (5-pyridazine-4-base-1,3,4-oxadiazole-2-yl) ketone
[1-(2, the 4-dichloro benzyl)-5-methoxyl group-1H-indol-3-yl] (5-pyridazine-4-base-1,3,4-oxadiazole-2-yl) ketone
[1-(4-benzyl chloride base)-2,5-dimethyl-1H-indol-3-yl] (5-phenyl-1,3,4-oxadiazole-2-yl) ketone
[1-(4-benzyl chloride base)-5-Methyl-1H-indole-3-yl] (5-phenyl-1,3,4-oxadiazole-2-yl) ketone
[1-(4-benzyl chloride base)-2,5-dimethyl-1H-indol-3-yl] (5-pyridine-2-base-1,3,4-oxadiazole-2-yl) ketone
[1-(4-benzyl chloride base)-5-Methyl-1H-indole-3-yl] (5-pyridine-2-base-1,3,4-oxadiazole-2-yl) ketone
[1-(4-benzyl chloride base)-2,5-dimethyl-1H-indol-3-yl] (5-pyridin-3-yl-1,3,4-oxadiazole-2-yl) ketone
[1-(4-benzyl chloride base)-5-Methyl-1H-indole-3-yl] (5-pyridin-3-yl-1,3,4-oxadiazole-2-yl) ketone
[1-(4-benzyl chloride base)-2,5-dimethyl-1H-indol-3-yl] (5-pyridin-4-yl-1,3,4-oxadiazole-2-yl) ketone
[1-(4-benzyl chloride base)-5-Methyl-1H-indole-3-yl] (5-pyridin-4-yl-1,3,4-oxadiazole-2-yl) ketone
[1-(4-benzyl chloride base)-2,5-dimethyl-1H-indol-3-yl] (5-pyrimidine-4-base-1,3,4-oxadiazole-2-yl) ketone
[1-(4-benzyl chloride base)-5-Methyl-1H-indole-3-yl] (5-pyrimidine-4-base-1,3,4-oxadiazole-2-yl) ketone
[1-(4-benzyl chloride base)-2,5-dimethyl-1H-indol-3-yl] (5-pyrazine-2-base-1,3,4-oxadiazole-2-yl) ketone
[1-(4-benzyl chloride base)-5-Methyl-1H-indole-3-yl] (5-pyrazine-2-base-1,3,4-oxadiazole-2-yl) ketone
[1-(4-benzyl chloride base)-2,5-dimethyl-1H-indol-3-yl] (5-pyrimidine-2-base-1,3,4-oxadiazole-2-yl) ketone
[1-(4-benzyl chloride base)-5-Methyl-1H-indole-3-yl] (5-pyrimidine-2-base-1,3,4-oxadiazole-2-yl) ketone
[1-(4-benzyl chloride base)-2,5-dimethyl-1H-indol-3-yl] (5-pyridazine-3-base-1,3,4-oxadiazole-2-yl) ketone
[1-(4-benzyl chloride base)-5-Methyl-1H-indole-3-yl] (5-pyridazine-3-base-1,3,4-oxadiazole-2-yl) ketone
[1-(4-benzyl chloride base)-2,5-dimethyl-1H-indol-3-yl] (5-pyridazine-4-base-1,3,4-oxadiazole-2-yl) ketone
[1-(4-benzyl chloride base)-5-Methyl-1H-indole-3-yl] (5-pyridazine-4-base-1,3,4-oxadiazole-2-yl) ketone
[1-(2, the 4-dichloro benzyl)-2,5-dimethyl-1H-indol-3-yl] (5-phenyl-1,3,4-oxadiazole-2-yl) ketone
[1-(2, the 4-dichloro benzyl)-5-Methyl-1H-indole-3-yl] (5-phenyl-1,3,4-oxadiazole-2-yl) ketone
[1-(2, the 4-dichloro benzyl)-2,5-dimethyl-1H-indol-3-yl] (5-pyridine-2-base-1,3,4-oxadiazole-2-yl) ketone
[1-(2, the 4-dichloro benzyl)-5-Methyl-1H-indole-3-yl] (5-pyridine-2-base-1,3,4-oxadiazole-2-yl) ketone
[1-(2, the 4-dichloro benzyl)-2,5-dimethyl-1H-indol-3-yl] (5-pyridin-3-yl-1,3,4-oxadiazole-2-yl) ketone
[1-(2, the 4-dichloro benzyl)-5-Methyl-1H-indole-3-yl] (5-pyridin-3-yl-1,3,4-oxadiazole-2-yl) ketone
[1-(2, the 4-dichloro benzyl)-2,5-dimethyl-1H-indol-3-yl] (5-pyridin-4-yl-1,3,4-oxadiazole-2-yl) ketone
[1-(2, the 4-dichloro benzyl)-5-Methyl-1H-indole-3-yl] (5-pyridin-4-yl-1,3,4-oxadiazole-2-yl) ketone
z
[1-(2, the 4-dichloro benzyl)-2,5-dimethyl-1H-indol-3-yl] (5-pyrimidine-4-base-1,3,4-oxadiazole-2-yl) ketone
[1-(2, the 4-dichloro benzyl)-5-Methyl-1H-indole-3-yl] (5-pyrimidine-4-base-1,3,4-oxadiazole-2-yl) ketone
[1-(2, the 4-dichloro benzyl)-2,5-dimethyl-1H-indol-3-yl] (5-pyrazine-2-base-1,3,4-oxadiazole-2-yl) ketone
[1-(2, the 4-dichloro benzyl)-5-Methyl-1H-indole-3-yl] (5-pyrazine-2-base-1,3,4-oxadiazole-2-yl) ketone
[1-(2, the 4-dichloro benzyl)-2,5-dimethyl-1H-indol-3-yl] (5-pyrimidine-2-base-1,3,4-oxadiazole-2-yl) ketone
[1-(2, the 4-dichloro benzyl)-5-Methyl-1H-indole-3-yl] (5-pyrimidine-2-base-1,3,4-oxadiazole-2-yl) ketone
[1-(2, the 4-dichloro benzyl)-2,5-dimethyl-1H-indol-3-yl] (5-pyridazine-3-base-1,3,4-oxadiazole-2-yl) ketone
[1-(2, the 4-dichloro benzyl)-5-Methyl-1H-indole-3-yl] (5-pyridazine-3-base-1,3,4-oxadiazole-2-yl) ketone
[1-(2, the 4-dichloro benzyl)-2,5-dimethyl-1H-indol-3-yl] (5-pyridazine-4-base-1,3,4-oxadiazole-2-yl) ketone
[1-(2, the 4-dichloro benzyl)-5-Methyl-1H-indole-3-yl] (5-pyridazine-4-base-1,3,4-oxadiazole-2-yl) ketone
[1-(4-benzyl chloride base)-2-Methyl-1H-indole-3-yl] (5-phenyl-1,3,4-oxadiazole-2-yl) ketone
[1-(4-benzyl chloride base)-1H-indol-3-yl] (5-phenyl-1,3,4-oxadiazole-2-yl) ketone
[1-(4-benzyl chloride base)-2-Methyl-1H-indole-3-yl] (5-pyridine-2-base-1,3,4-oxadiazole-2-yl) ketone
[1-(4-benzyl chloride base)-1H-indol-3-yl] (5-pyridine-2-base-1,3,4-oxadiazole-2-yl) ketone
[1-(4-benzyl chloride base)-2-Methyl-1H-indole-3-yl] (5-pyridin-3-yl-1,3,4-oxadiazole-2-yl) ketone
[1-(4-benzyl chloride base)-1H-indol-3-yl] (5-pyridin-3-yl-1,3,4-oxadiazole-2-yl) ketone
[1-(4-benzyl chloride base)-2-Methyl-1H-indole-3-yl] (5-pyridin-4-yl-1,3,4-oxadiazole-2-yl) ketone
[1-(4-benzyl chloride base)-1H-indol-3-yl] (5-pyridin-4-yl-1,3,4-oxadiazole-2-yl) ketone
[1-(4-benzyl chloride base)-2-Methyl-1H-indole-3-yl] (5-pyrimidine-4-base-1,3,4-oxadiazole-2-yl) ketone
[1-(4-benzyl chloride base)-1H-indol-3-yl] (5-pyrimidine-4-base-1,3,4-oxadiazole-2-yl) ketone
[1-(4-benzyl chloride base)-2-Methyl-1H-indole-3-yl] (5-pyrazine-2-base-1,3,4-oxadiazole-2-yl) ketone
[1-(4-benzyl chloride base)-1H-indol-3-yl] (5-pyrazine-2-base-1,3,4-oxadiazole-2-yl) ketone
[1-(4-benzyl chloride base)-2-Methyl-1H-indole-3-yl] (5-pyrimidine-2-base-1,3,4-oxadiazole-2-yl) ketone
[1-(4-benzyl chloride base)-1H-indol-3-yl] (5-pyrimidine-2-base-1,3,4-oxadiazole-2-yl) ketone
[1-(4-benzyl chloride base)-2-Methyl-1H-indole-3-yl] (5-pyridazine-3-base-1,3,4-oxadiazole-2-yl) ketone
[1-(4-benzyl chloride base)-1H-indol-3-yl] (5-pyridazine-3-base-1,3,4-oxadiazole-2-yl) ketone
[1-(4-benzyl chloride base)-2-Methyl-1H-indole-3-yl] (5-pyridazine-4-base-1,3,4-oxadiazole-2-yl) ketone
[1-(4-benzyl chloride base)-1H-indol-3-yl] (5-pyridazine-4-base-1,3,4-oxadiazole-2-yl) ketone
[1-(2, the 4-dichloro benzyl)-2-Methyl-1H-indole-3-yl] (5-phenyl-1,3,4-oxadiazole-2-yl) ketone
[1-(2, the 4-dichloro benzyl)-1H-indol-3-yl] (5-phenyl-1,3,4-oxadiazole-2-yl) ketone
[1-(2, the 4-dichloro benzyl)-2-Methyl-1H-indole-3-yl] (5-pyridine-2-base-1,3,4-oxadiazole-2-yl) ketone
[1-(2, the 4-dichloro benzyl)-1H-indol-3-yl] (5-pyridine-2-base-1,3,4-oxadiazole-2-yl) ketone
[1-(2, the 4-dichloro benzyl)-2-Methyl-1H-indole-3-yl] (5-pyridin-3-yl-1,3,4-oxadiazole-2-yl) ketone
[1-(2, the 4-dichloro benzyl)-1H-indol-3-yl] (5-pyridin-3-yl-1,3,4-oxadiazole-2-yl) ketone
[1-(2, the 4-dichloro benzyl)-2-Methyl-1H-indole-3-yl] (5-pyridin-4-yl-1,3,4-oxadiazole-2-yl) ketone
[1-(2, the 4-dichloro benzyl)-1H-indol-3-yl] (5-pyridin-4-yl-1,3,4-oxadiazole-2-yl) ketone
[1-(2, the 4-dichloro benzyl)-2-Methyl-1H-indole-3-yl] (5-pyrimidine-4-base-1,3,4-oxadiazole-2-yl) ketone
[1-(2, the 4-dichloro benzyl)-1H-indol-3-yl] (5-pyrimidine-4-base-1,3,4-oxadiazole-2-yl) ketone
[1-(2, the 4-dichloro benzyl)-2-Methyl-1H-indole-3-yl] (5-pyrazine-2-base-1,3,4-oxadiazole-2-yl) ketone
[1-(2, the 4-dichloro benzyl)-1H-indol-3-yl] (5-pyrazine-2-base-1,3,4-oxadiazole-2-yl) ketone
[1-(2, the 4-dichloro benzyl)-2-Methyl-1H-indole-3-yl] (5-pyrimidine-2-base-1,3,4-oxadiazole-2-yl) ketone
[1-(2, the 4-dichloro benzyl)-1H-indol-3-yl] (5-pyrimidine-2-base-1,3,4-oxadiazole-2-yl) ketone
[1-(2, the 4-dichloro benzyl)-2-Methyl-1H-indole-3-yl] (5-pyridazine-3-base-1,3,4-oxadiazole-2-yl) ketone
[1-(2, the 4-dichloro benzyl)-1H-indol-3-yl] (5-pyridazine-3-base-1,3,4-oxadiazole-2-yl) ketone
[1-(2, the 4-dichloro benzyl)-2-Methyl-1H-indole-3-yl] (5-pyridazine-4-base-1,3,4-oxadiazole-2-yl) ketone
[1-(2, the 4-dichloro benzyl)-1H-indol-3-yl] (5-pyridazine-4-base-1,3,4-oxadiazole-2-yl) ketone
[1-(2, the 4-dichloro benzyl)-5-methoxyl group-2-Methyl-1H-indole-3-yl] (3-phenyl-1,2,4-oxadiazole-5-yl) ketone
[1-(2, the 4-dichloro benzyl)-5-methoxyl group-1H-indol-3-yl] (3-phenyl-1,2,4-oxadiazole-5-yl) ketone
[1-(2, the 4-dichloro benzyl)-5-methoxyl group-2-Methyl-1H-indole-3-yl] (3-pyridine-2-base-1,2,4-oxadiazole-5-yl) ketone
[1-(2, the 4-dichloro benzyl)-5-methoxyl group-1H-indol-3-yl] (3-pyridine-2-base-1,2,4-oxadiazole-5-yl) ketone
[1-(2, the 4-dichloro benzyl)-5-methoxyl group-2-Methyl-1H-indole-3-yl] (3-pyridin-3-yl-1,2,4-oxadiazole-5-yl) ketone
[1-(2, the 4-dichloro benzyl)-5-methoxyl group-1H-indol-3-yl] (3-pyridin-3-yl-1,2,4-oxadiazole-5-yl) ketone
[1-(2, the 4-dichloro benzyl)-5-methoxyl group-2-Methyl-1H-indole-3-yl] (3-pyridin-4-yl-1,2,4-oxadiazole-5-yl) ketone
[1-(2, the 4-dichloro benzyl)-5-methoxyl group-1H-indol-3-yl] (3-pyridin-4-yl-1,2,4-oxadiazole-5-yl) ketone
[1-(2, the 4-dichloro benzyl)-5-methoxyl group-2-Methyl-1H-indole-3-yl] (3-pyrimidine-4-base-1,2,4-oxadiazole-5-yl) ketone
[1-(2, the 4-dichloro benzyl)-5-methoxyl group-1H-indol-3-yl] (3-pyrimidine-4-base-1,2,4-oxadiazole-5-yl) ketone
[1-(2, the 4-dichloro benzyl)-5-methoxyl group-2-Methyl-1H-indole-3-yl] (3-pyrazine-2-base-1,2,4-oxadiazole-5-yl) ketone
[1-(2, the 4-dichloro benzyl)-5-methoxyl group-1H-indol-3-yl] (3-pyrazine-2-base-1,2,4-oxadiazole-5-yl) ketone
[1-(2, the 4-dichloro benzyl)-5-methoxyl group-2-Methyl-1H-indole-3-yl] (3-pyrimidine-2-base-1,2,4-oxadiazole-5-yl) ketone
[1-(2, the 4-dichloro benzyl)-5-methoxyl group-1H-indol-3-yl] (3-pyrimidine-2-base-1,2,4-oxadiazole-5-yl) ketone
[1-(2, the 4-dichloro benzyl)-5-methoxyl group-2-Methyl-1H-indole-3-yl] (3-pyridazine-3-base-1,2,4-oxadiazole-5-yl) ketone
[1-(2, the 4-dichloro benzyl)-5-methoxyl group-1H-indol-3-yl] (3-pyridazine-3-base-1,2,4-oxadiazole-5-yl) ketone
[1-(2, the 4-dichloro benzyl)-5-methoxyl group-2-Methyl-1H-indole-3-yl] (3-pyridazine-4-base-1,2,4-oxadiazole-5-yl) ketone
[1-(2, the 4-dichloro benzyl)-5-methoxyl group-1H-indol-3-yl] (3-pyridazine-4-base-1,2,4-oxadiazole-5-yl) ketone
[1-(2, the 4-dichloro benzyl)-2,5-dimethyl-1H-indol-3-yl] (3-phenyl-1,2,4-oxadiazole-5-yl) ketone
[1-(2, the 4-dichloro benzyl)-5-Methyl-1H-indole-3-yl] (3-phenyl-1,2,4-oxadiazole-5-yl) ketone
[1-(2, the 4-dichloro benzyl)-2,5-dimethyl-1H-indol-3-yl] (3-pyridine-2-base-1,2,4-oxadiazole-5-yl) ketone
[1-(2, the 4-dichloro benzyl)-5-Methyl-1H-indole-3-yl] (3-pyridine-2-base-1,2,4-oxadiazole-5-yl) ketone
[1-(2, the 4-dichloro benzyl)-2,5-dimethyl-1H-indol-3-yl] (3-pyridin-3-yl-1,2,4-oxadiazole-5-yl) ketone
[1-(2, the 4-dichloro benzyl)-5-Methyl-1H-indole-3-yl] (3-pyridin-3-yl-1,2,4-oxadiazole-5-yl) ketone
[1-(2, the 4-dichloro benzyl)-2,5-dimethyl-1H-indol-3-yl] (3-pyridin-4-yl-1,2,4-oxadiazole-5-yl) ketone
[1-(2, the 4-dichloro benzyl)-5-Methyl-1H-indole-3-yl] (3-pyridin-4-yl-1,2,4-oxadiazole-5-yl) ketone
[1-(2, the 4-dichloro benzyl)-2,5-dimethyl-1H-indol-3-yl] (3-pyrimidine-4-base-1,2,4-oxadiazole-5-yl) ketone
[1-(2, the 4-dichloro benzyl)-5-Methyl-1H-indole-3-yl] (3-pyrimidine-4-base-1,2,4-oxadiazole-5-yl) ketone
[1-(2, the 4-dichloro benzyl)-2,5-dimethyl-1H-indol-3-yl] (3-pyrazine-2-base-1,2,4-oxadiazole-5-yl) ketone
[1-(2, the 4-dichloro benzyl)-5-Methyl-1H-indole-3-yl] (3-pyrazine-2-base-1,2,4-oxadiazole-5-yl) ketone
[1-(2, the 4-dichloro benzyl)-2,5-dimethyl-1H-indol-3-yl] (3-pyrimidine-2-base-1,2,4-oxadiazole-5-yl) ketone
[1-(2, the 4-dichloro benzyl)-5-Methyl-1H-indole-3-yl] (3-pyrimidine-2-base-1,2,4-oxadiazole-5-yl) ketone
[1-(2, the 4-dichloro benzyl)-2,5-dimethyl-1H-indol-3-yl] (3-pyridazine-3-base-1,2,4-oxadiazole-5-yl) ketone
[1-(2, the 4-dichloro benzyl)-5-Methyl-1H-indole-3-yl] (3-pyridazine-3-base-1,2,4-oxadiazole-5-yl) ketone
[1-(2, the 4-dichloro benzyl)-2,5-dimethyl-1H-indol-3-yl] (3-pyridazine-4-base-1,2,4-oxadiazole-5-yl) ketone
[1-(2, the 4-dichloro benzyl)-5-Methyl-1H-indole-3-yl] (3-pyridazine-4-base-1,2,4-oxadiazole-5-yl) ketone
[1-(2, the 4-dichloro benzyl)-2-Methyl-1H-indole-3-yl] (3-phenyl-1,2,4-oxadiazole-5-yl) ketone
[1-(2, the 4-dichloro benzyl)-1H-indol-3-yl] (3-phenyl-1,2,4-oxadiazole-5-yl) ketone
[1-(2, the 4-dichloro benzyl)-2-Methyl-1H-indole-3-yl] (3-pyridine-2-base-1,2,4-oxadiazole-5-yl) ketone
[1-(2, the 4-dichloro benzyl)-1H-indol-3-yl] (3-pyridine-2-base-1,2,4-oxadiazole-5-yl) ketone
[1-(2, the 4-dichloro benzyl)-2-Methyl-1H-indole-3-yl] (3-pyridin-3-yl-1,2,4-oxadiazole-5-yl) ketone
[1-(2, the 4-dichloro benzyl)-1H-indol-3-yl] (3-pyridin-3-yl-1,2,4-oxadiazole-5-yl) ketone
[1-(2, the 4-dichloro benzyl)-2-Methyl-1H-indole-3-yl] (3-pyridin-4-yl-1,2,4-oxadiazole-5-yl) ketone
[1-(2, the 4-dichloro benzyl)-1H-indol-3-yl] (3-pyridin-4-yl-1,2,4-oxadiazole-5-yl) ketone
[1-(2, the 4-dichloro benzyl)-2-Methyl-1H-indole-3-yl] (3-pyrimidine-4-base-1,2,4-oxadiazole-5-yl) ketone
[1-(2, the 4-dichloro benzyl)-1H-indol-3-yl] (3-pyrimidine-4-base-1,2,4-oxadiazole-5-yl) ketone
[1-(2, the 4-dichloro benzyl)-2-Methyl-1H-indole-3-yl] (3-pyrazine-2-base-1,2,4-oxadiazole-5-yl) ketone
[1-(2, the 4-dichloro benzyl)-1H-indol-3-yl] (3-pyrazine-2-base-1,2,4-oxadiazole-5-yl) ketone
[1-(2, the 4-dichloro benzyl)-2-Methyl-1H-indole-3-yl] (3-pyrimidine-2-base-1,2,4-oxadiazole-5-yl) ketone
[1-(2, the 4-dichloro benzyl)-1H-indol-3-yl] (3-pyrimidine-2-base-1,2,4-oxadiazole-5-yl) ketone
[1-(2, the 4-dichloro benzyl)-2-Methyl-1H-indole-3-yl] (3-pyridazine-3-base-1,2,4-oxadiazole-5-yl) ketone
[1-(2, the 4-dichloro benzyl)-1H-indol-3-yl] (3-pyridazine-3-base-1,2,4-oxadiazole-5-yl) ketone
[1-(2, the 4-dichloro benzyl)-2-Methyl-1H-indole-3-yl] (3-pyridazine-4-base-1,2,4-oxadiazole-5-yl) ketone
[1-(2, the 4-dichloro benzyl)-1H-indol-3-yl] (3-pyridazine-4-base-1,2,4-oxadiazole-5-yl) ketone
[2-chloro-1-(4-benzyl chloride base)-1H-indol-3-yl] (5-phenyl-1,3,4-oxadiazole-2-yl) ketone
[2-chloro-1-(4-benzyl chloride base)-5-Methyl-1H-indole-3-yl] (5-phenyl-1,3,4-oxadiazole-2-yl) ketone
[2-chloro-1-(4-benzyl chloride base)-5-methoxyl group-1H-indol-3-yl] (5-phenyl-1,3,4-oxadiazole-2-yl) ketone
[2-chloro-1-(4-benzyl chloride base)-1H-indol-3-yl] (5-pyridine-2-base-1,3,4-oxadiazole-2-yl) ketone
[2-chloro-1-(4-benzyl chloride base)-5-Methyl-1H-indole-3-yl] (5-pyridine-2-base-1,3,4-oxadiazole-2-yl) ketone
[2-chloro-1-(4-benzyl chloride base)-5-methoxyl group-1H-indol-3-yl] (5-pyridine-2-base-1,3,4-oxadiazole-2-yl) ketone
[2-chloro-1-(4-benzyl chloride base)-1H-indol-3-yl] (5-pyridin-3-yl-1,3,4-oxadiazole-2-yl) ketone
[2-chloro-1-(4-benzyl chloride base)-5-Methyl-1H-indole-3-yl] (5-pyridin-3-yl-1,3,4-oxadiazole-2-yl) ketone
[2-chloro-1-(4-benzyl chloride base)-5-methoxyl group-1H-indol-3-yl] (5-pyridin-3-yl-1,3,4-oxadiazole-2-yl) ketone
[2-chloro-1-(4-benzyl chloride base)-1H-indol-3-yl] (5-pyridin-4-yl-1,3,4-oxadiazole-2-yl) ketone
[2-chloro-1-(4-benzyl chloride base)-5-Methyl-1H-indole-3-yl] (5-pyridin-4-yl-1,3,4-oxadiazole-2-yl) ketone
[2-chloro-1-(4-benzyl chloride base)-5-methoxyl group-1H-indol-3-yl] (5-pyridin-4-yl-1,3,4-oxadiazole-2-yl) ketone
[2-chloro-1-(4-benzyl chloride base)-1H-indol-3-yl] (5-pyrimidine-4-base-1,3,4-oxadiazole-2-yl) ketone
[2-chloro-1-(4-benzyl chloride base)-5-Methyl-1H-indole-3-yl] (5-pyrimidine-4-base-1,3,4-oxadiazole-2-yl) ketone
[2-chloro-1-(4-benzyl chloride base)-5-methoxyl group-1H-indol-3-yl] (5-pyrimidine-4-base-1,3,4-oxadiazole-2-yl) ketone
[2-chloro-1-(4-benzyl chloride base)-1H-indol-3-yl] (5-pyrazine-2-base-1,3,4-oxadiazole-2-yl) ketone
[2-chloro-1-(4-benzyl chloride base)-5-Methyl-1H-indole-3-yl] (5-pyrazine-2-base-1,3,4-oxadiazole-2-yl) ketone
[2-chloro-1-(4-benzyl chloride base)-5-methoxyl group-1H-indol-3-yl] (5-pyrazine-2-base-1,3,4-oxadiazole-2-yl) ketone
[2-chloro-1-(4-benzyl chloride base)-1H-indol-3-yl] (5-pyrimidine-2-base-1,3,4-oxadiazole-2-yl) ketone
[2-chloro-1-(4-benzyl chloride base)-5-Methyl-1H-indole-3-yl] (5-pyrimidine-2-base-1,3,4-oxadiazole-2-yl) ketone
[2-chloro-1-(4-benzyl chloride base)-5-methoxyl group-1H-indol-3-yl] (5-pyrimidine-2-base-1,3,4-oxadiazole-2-yl) ketone
[2-chloro-1-(4-benzyl chloride base)-1H-indol-3-yl] (5-pyridazine-3-base-1,3,4-oxadiazole-2-yl) ketone
[2-chloro-1-(4-benzyl chloride base)-5-Methyl-1H-indole-3-yl] (5-pyridazine-3-base-1,3,4-oxadiazole-2-yl) ketone
[2-chloro-1-(4-benzyl chloride base)-5-methoxyl group-1H-indol-3-yl] (5-pyridazine-3-base-1,3,4-oxadiazole-2-yl) ketone
[2-chloro-1-(4-benzyl chloride base)-1H-indol-3-yl] (5-pyridazine-4-base-1,3,4-oxadiazole-2-yl) ketone
[2-chloro-1-(4-benzyl chloride base)-5-Methyl-1H-indole-3-yl] (5-pyridazine-4-base-1,3,4-oxadiazole-2-yl) ketone
[2-chloro-1-(4-benzyl chloride base)-5-methoxyl group-1H-indol-3-yl] (5-pyridazine-4-base-1,3,4-oxadiazole-2-yl) ketone
[2-chloro-1-(2, the 4-dichloro benzyl)-1H-indol-3-yl] (5-phenyl-1,3,4-oxadiazole-2-yl) ketone
[2-chloro-1-(2, the 4-dichloro benzyl)-5-Methyl-1H-indole-3-yl] (5-phenyl-1,3,4-oxadiazole-2-yl) ketone
[2-chloro-1-(2, the 4-dichloro benzyl)-5-methoxyl group-1H-indol-3-yl] (5-phenyl-1,3,4-oxadiazole-2-yl) ketone
[2-chloro-1-(2, the 4-dichloro benzyl)-1H-indol-3-yl] (5-pyridine-2-base-1,3,4-oxadiazole-2-yl) ketone
[2-chloro-1-(2, the 4-dichloro benzyl)-5-Methyl-1H-indole-3-yl] (5-pyridine-2-base-1,3,4-oxadiazole-2-yl) ketone
[2-chloro-1-(2, the 4-dichloro benzyl)-5-methoxyl group-1H-indol-3-yl] (5-pyridine-2-base-1,3,4-oxadiazole-2-yl) ketone
[2-chloro-1-(2, the 4-dichloro benzyl)-1H-indol-3-yl] (5-pyridin-3-yl-1,3,4-oxadiazole-2-yl) ketone
[2-chloro-1-(2, the 4-dichloro benzyl)-5-Methyl-1H-indole-3-yl] (5-pyridin-3-yl-1,3,4-oxadiazole-2-yl) ketone
[2-chloro-1-(2, the 4-dichloro benzyl)-5-methoxyl group-1H-indol-3-yl] (5-pyridin-3-yl-1,3,4-oxadiazole-2-yl) ketone
[2-chloro-1-(2, the 4-dichloro benzyl)-1H-indol-3-yl] (5-pyridin-4-yl-1,3,4-oxadiazole-2-yl) ketone
[2-chloro-1-(2, the 4-dichloro benzyl)-5-Methyl-1H-indole-3-yl] (5-pyridin-4-yl-1,3,4-oxadiazole-2-yl) ketone
[2-chloro-1-(2, the 4-dichloro benzyl)-5-methoxyl group-1H-indol-3-yl] (5-pyridin-4-yl-1,3,4-oxadiazole-2-yl) ketone
[2-chloro-1-(2, the 4-dichloro benzyl)-1H-indol-3-yl] (5-pyrimidine-4-base-1,3,4-oxadiazole-2-yl) ketone
[2-chloro-1-(2, the 4-dichloro benzyl)-5-Methyl-1H-indole-3-yl] (5-pyrimidine-4-base-1,3,4-oxadiazole-2-yl) ketone
[2-chloro-1-(2, the 4-dichloro benzyl)-5-methoxyl group-1H-indol-3-yl] (5-pyrimidine-4-base-1,3,4-oxadiazole-2-yl) ketone
[2-chloro-1-(2, the 4-dichloro benzyl)-1H-indol-3-yl] (5-pyrazine-2-base-1,3,4-oxadiazole-2-yl) ketone
[2-chloro-1-(2, the 4-dichloro benzyl)-5-Methyl-1H-indole-3-yl] (5-pyrazine-2-base-1,3,4-oxadiazole-2-yl) ketone
[2-chloro-1-(2, the 4-dichloro benzyl)-5-methoxyl group-1H-indol-3-yl] (5-pyrazine-2-base-1,3,4-oxadiazole-2-yl) ketone
[2-chloro-1-(2, the 4-dichloro benzyl)-1H-indol-3-yl] (5-pyrimidine-2-base-1,3,4-oxadiazole-2-yl) ketone
[2-chloro-1-(2, the 4-dichloro benzyl)-5-Methyl-1H-indole-3-yl] (5-pyrimidine-2-base-1,3,4-oxadiazole-2-yl) ketone
[2-chloro-1-(2, the 4-dichloro benzyl)-5-methoxyl group-1H-indol-3-yl] (5-pyrimidine-2-base-1,3,4-oxadiazole-2-yl) ketone
[2-chloro-1-(2, the 4-dichloro benzyl)-1H-indol-3-yl] (5-pyridazine-3-base-1,3,4-oxadiazole-2-yl) ketone
[2-chloro-1-(2, the 4-dichloro benzyl)-5-Methyl-1H-indole-3-yl] (5-pyridazine-3-base-1,3,4-oxadiazole-2-yl) ketone
[2-chloro-1-(2, the 4-dichloro benzyl)-5-methoxyl group-1H-indol-3-yl] (5-pyridazine-3-base-1,3,4-oxadiazole-2-yl) ketone
[2-chloro-1-(2, the 4-dichloro benzyl)-1H-indol-3-yl] (5-pyridazine-4-base-1,3,4-oxadiazole-2-yl) ketone
[2-chloro-1-(2, the 4-dichloro benzyl)-5-Methyl-1H-indole-3-yl] (5-pyridazine-4-base-1,3,4-oxadiazole-2-yl) ketone
C,55.39;H,2.83;Cl,21.33;N,14.04;O,6.42
[2-chloro-1-(2, the 4-dichloro benzyl)-5-methoxyl group-1H-indol-3-yl] (5-pyridazine-4-base-1,3,4-oxadiazole-2-yl) ketone
[2-chloro-1-(4-benzyl chloride base)-1H-indol-3-yl] (3-phenyl-1,2,4-oxadiazole-5-yl) ketone
[2-chloro-1-(4-benzyl chloride base)-5-Methyl-1H-indole-3-yl] (3-phenyl-1,2,4-oxadiazole-5-yl) ketone
[2-chloro-1-(4-benzyl chloride base)-5-methoxyl group-1H-indol-3-yl] (3-phenyl-1,2,4-oxadiazole-5-yl) ketone
[2-chloro-1-(4-benzyl chloride base)-1H-indol-3-yl] (3-pyridine-2-base-1,2,4-oxadiazole-5-yl) ketone
[2-chloro-1-(4-benzyl chloride base)-5-Methyl-1H-indole-3-yl] (3-pyridine-2-base-1,2,4-oxadiazole-5-yl) ketone
[2-chloro-1-(4-benzyl chloride base)-5-methoxyl group-1H-indol-3-yl] (3-pyridine-2-base-1,2,4-oxadiazole-5-yl) ketone
[2-chloro-1-(4-benzyl chloride base)-1H-indol-3-yl] (3-pyridin-3-yl-1,2,4-oxadiazole-5-yl) ketone
[2-chloro-1-(4-benzyl chloride base)-5-Methyl-1H-indole-3-yl] (3-pyridin-3-yl-1,2,4-oxadiazole-5-yl) ketone
[2-chloro-1-(4-benzyl chloride base)-5-methoxyl group-1H-indol-3-yl] (3-pyridin-3-yl-1,2,4-oxadiazole-5-yl) ketone
[2-chloro-1-(4-benzyl chloride base)-1H-indol-3-yl] (3-pyridin-4-yl-1,2,4-oxadiazole-5-yl) ketone
[2-chloro-1-(4-benzyl chloride base)-5-Methyl-1H-indole-3-yl] (3-pyridin-4-yl-1,2,4-oxadiazole-5-yl) ketone
[2-chloro-1-(4-benzyl chloride base)-5-methoxyl group-1H-indol-3-yl] (3-pyridin-4-yl-1,2,4-oxadiazole-5-yl) ketone
[2-chloro-1-(4-benzyl chloride base)-1H-indol-3-yl] (3-pyrimidine-4-base-1,2,4-oxadiazole-5-yl) ketone
[2-chloro-1-(4-benzyl chloride base)-5-Methyl-1H-indole-3-yl] (3-pyrimidine-4-base-1,2,4-oxadiazole-5-yl) ketone
[2-chloro-1-(4-benzyl chloride base)-5-methoxyl group-1H-indol-3-yl] (3-pyrimidine-4-base-1,2,4-oxadiazole-5-yl) ketone
[2-chloro-1-(4-benzyl chloride base)-1H-indol-3-yl] (3-pyrazine-2-base-1,2,4-oxadiazole-5-yl) ketone
[2-chloro-1-(4-benzyl chloride base)-5-Methyl-1H-indole-3-yl] (3-pyrazine-2-base-1,2,4-oxadiazole-5-yl) ketone
[2-chloro-1-(4-benzyl chloride base)-5-methoxyl group-1H-indol-3-yl] (3-pyrazine-2-base-1,2,4-oxadiazole-5-yl) ketone
[2-chloro-1-(4-benzyl chloride base)-1H-indol-3-yl] (3-pyrimidine-2-base-1,2,4-oxadiazole-5-yl) ketone
[2-chloro-1-(4-benzyl chloride base)-5-Methyl-1H-indole-3-yl] (3-pyrimidine-2-base-1,2,4-oxadiazole-5-yl) ketone
[2-chloro-1-(4-benzyl chloride base)-5-methoxyl group-1H-indol-3-yl] (3-pyrimidine-2-base-1,2,4-oxadiazole-5-yl) ketone
[2-chloro-1-(4-benzyl chloride base)-1H-indol-3-yl] (3-pyridazine-3-base-1,2,4-oxadiazole-5-yl) ketone
[2-chloro-1-(4-benzyl chloride base)-5-Methyl-1H-indole-3-yl] (3-pyridazine-3-base-1,2,4-oxadiazole-5-yl) ketone
[2-chloro-1-(4-benzyl chloride base)-5-methoxyl group-1H-indol-3-yl] (3-pyridazine-3-base-1,2,4-oxadiazole-5-yl) ketone
[2-chloro-1-(4-benzyl chloride base)-1H-indol-3-yl] (3-pyridazine-4-base-1,2,4-oxadiazole-5-yl) ketone
[2-chloro-1-(4-benzyl chloride base)-5-Methyl-1H-indole-3-yl] (3-pyridazine-4-base-1,2,4-oxadiazole-5-yl) ketone
[2-chloro-1-(4-benzyl chloride base)-5-methoxyl group-1H-indol-3-yl] (3-pyridazine-4-base-1,2,4-oxadiazole-5-yl) ketone
[2-chloro-1-(2, the 4-dichloro benzyl)-1H-indol-3-yl] (3-phenyl-1,2,4-oxadiazole-5-yl) ketone
[2-chloro-1-(2, the 4-dichloro benzyl)-5-Methyl-1H-indole-3-yl] (3-phenyl-1,2,4-oxadiazole-5-yl) ketone
[2-chloro-1-(2, the 4-dichloro benzyl)-5-methoxyl group-1H-indol-3-yl] (3-phenyl-1,2,4-oxadiazole-5-yl) ketone
[2-chloro-1-(2, the 4-dichloro benzyl)-1H-indol-3-yl] (3-pyridine-2-base-1,2,4-oxadiazole-5-yl) ketone
[2-chloro-1-(2, the 4-dichloro benzyl)-5-Methyl-1H-indole-3-yl] (3-pyridine-2-base-1,2,4-oxadiazole-5-yl) ketone
[2-chloro-1-(2, the 4-dichloro benzyl)-5-methoxyl group-1H-indol-3-yl] (3-pyridine-2-base-1,2,4-oxadiazole-5-yl) ketone
[2-chloro-1-(2, the 4-dichloro benzyl)-1H-indol-3-yl] (3-pyridin-3-yl-1,2,4-oxadiazole-5-yl) ketone
[2-chloro-1-(2, the 4-dichloro benzyl)-5-Methyl-1H-indole-3-yl] (3-pyridin-3-yl-1,2,4-oxadiazole-5-yl) ketone
[2-chloro-1-(2, the 4-dichloro benzyl)-5-methoxyl group-1H-indol-3-yl] (3-pyridin-3-yl-1,2,4-oxadiazole-5-yl) ketone
[2-chloro-1-(2, the 4-dichloro benzyl)-1H-indol-3-yl] (3-pyridin-4-yl-1,2,4-oxadiazole-5-yl) ketone
[2-chloro-1-(2, the 4-dichloro benzyl)-5-Methyl-1H-indole-3-yl] (3-pyridin-4-yl-1,2,4-oxadiazole-5-yl) ketone
[2-chloro-1-(2, the 4-dichloro benzyl)-5-methoxyl group-1H-indol-3-yl] (3-pyridin-4-yl-1,2,4-oxadiazole-5-yl) ketone
[2-chloro-1-(2, the 4-dichloro benzyl)-1H-indol-3-yl] (3-pyrimidine-4-base-1,2,4-oxadiazole-5-yl) ketone
[2-chloro-1-(2, the 4-dichloro benzyl)-5-Methyl-1H-indole-3-yl] (3-pyrimidine-4-base-1,2,4-oxadiazole-5-yl) ketone
[2-chloro-1-(2, the 4-dichloro benzyl)-5-methoxyl group-1H-indol-3-yl] (3-pyrimidine-4-base-1,2,4-oxadiazole-5-yl) ketone
[2-chloro-1-(2, the 4-dichloro benzyl)-1H-indol-3-yl] (3-pyrazine-2-base-1,2,4-oxadiazole-5-yl) ketone
[2-chloro-1-(2, the 4-dichloro benzyl)-5-Methyl-1H-indole-3-yl] (3-pyrazine-2-base-1,2,4-oxadiazole-5-yl) ketone
[2-chloro-1-(2, the 4-dichloro benzyl)-5-methoxyl group-1H-indol-3-yl] (3-pyrazine-2-base-1,2,4-oxadiazole-5-yl) ketone
[2-chloro-1-(2, the 4-dichloro benzyl)-1H-indol-3-yl] (3-pyrimidine-2-base-1,2,4-oxadiazole-5-yl) ketone
[2-chloro-1-(2, the 4-dichloro benzyl)-5-Methyl-1H-indole-3-yl] (3-pyrimidine-2-base-1,2,4-oxadiazole-5-yl) ketone
[2-chloro-1-(2, the 4-dichloro benzyl)-5-methoxyl group-1H-indol-3-yl] (3-pyrimidine-2-base-1,2,4-oxadiazole-5-yl) ketone
[2-chloro-1-(2, the 4-dichloro benzyl)-1H-indol-3-yl] (3-pyridazine-3-base-1,2,4-oxadiazole-5-yl) ketone
[2-chloro-1-(2, the 4-dichloro benzyl)-5-Methyl-1H-indole-3-yl] (3-pyridazine-3-base-1,2,4-oxadiazole-5-yl) ketone
[2-chloro-1-(2, the 4-dichloro benzyl)-5-methoxyl group-1H-indol-3-yl] (3-pyridazine-3-base-1,2,4-oxadiazole-5-yl) ketone
[2-chloro-1-(2, the 4-dichloro benzyl)-1H-indol-3-yl] (3-pyridazine-4-base-1,2,4-oxadiazole-5-yl) ketone
[2-chloro-1-(2, the 4-dichloro benzyl)-5-Methyl-1H-indole-3-yl] (3-pyridazine-4-base-1,2,4-oxadiazole-5-yl) ketone
[2-chloro-1-(2, the 4-dichloro benzyl)-5-methoxyl group-1H-indol-3-yl] (3-pyridazine-4-base-1,2,4-oxadiazole-5-yl) ketone
2-[2-chloro-1-(2, the 4-dichloro benzyl)-5-methoxyl group-1H-indol-3-yl]-N-(4,5-dimethyl-1,3-thiazoles-2-yl)-2-oxo ethanamide
2-[2-chloro-1-(2, the 4-dichloro benzyl)-5-Methyl-1H-indole-3-yl]-N-(4,5-dimethyl-1,3-thiazoles-2-yl)-2-oxo ethanamide
2-[2-chloro-1-(2, the 4-dichloro benzyl)-1H-indol-3-yl]-N-(4,5-dimethyl-1,3-thiazoles-2-yl)-2-oxo ethanamide
2-[1-(2, the 4-dichloro benzyl)-2-Methyl-1H-indole-3-yl]-N-(4,5-dimethyl-1,3-thiazoles-2-yl)-2-oxo ethanamide
2-[1-(2, the 4-dichloro benzyl)-2,5-dimethyl-1H-indol-3-yl]-N-(4,5-dimethyl-1,3-thiazoles-2-yl)-2-oxo ethanamide
2-[1-(2, the 4-dichloro benzyl)-5-methoxyl group-2-Methyl-1H-indole-3-yl]-N-(4,5-dimethyl-1,3-thiazoles-2-yl)-2-oxo ethanamide
2-[1-(2, the 4-dichloro benzyl)-2-Methyl-1H-indole-3-yl]-N-(4,5-dimethyl-1,3-thiazoles-2-yl)-2-oxo ethanamide
2-[1-(2, the 4-dichloro benzyl)-1H-indol-3-yl]-N-(4,5-dimethyl-1,3-thiazoles-2-yl)-2-oxo ethanamide
2-[1-(2, the 4-dichloro benzyl)-5-Methyl-1H-indole-3-yl]-N-(4,5-dimethyl-1,3-thiazoles-2-yl)-2-oxo ethanamide
2-[1-(2, the 4-dichloro benzyl)-5-methoxyl group-1H-indol-3-yl]-N-(4,5-dimethyl-1,3-thiazoles-2-yl)-2-oxo ethanamide
2-[2-chloro-1-(4-benzyl chloride base)-5-methoxyl group-1H-indol-3-yl]-N-(4,5-dimethyl-1,3-thiazoles-2-yl)-2-oxo ethanamide
2-[2-chloro-1-(4-benzyl chloride base)-5-Methyl-1H-indole-3-yl]-N-(4,5-dimethyl-1,3-thiazoles-2-yl)-2-oxo ethanamide
2-[2-chloro-1-(4-benzyl chloride base)-1H-indol-3-yl]-N-(4,5-dimethyl-1,3-thiazoles-2-yl)-2-oxo ethanamide
2-[1-(4-benzyl chloride base)-2-Methyl-1H-indole-3-yl]-N-(4,5-dimethyl-1,3-thiazoles-2-yl)-2-oxo ethanamide
2-[1-(4-benzyl chloride base)-2,5-dimethyl-1H-indol-3-yl]-N-(4,5-dimethyl-1,3-thiazoles-2-yl)-2-oxo ethanamide
2-[1-(4-benzyl chloride base)-5-methoxyl group-2-Methyl-1H-indole-3-yl]-N-(4,5-dimethyl-1,3-thiazoles-2-yl)-2-oxo ethanamide
2-[1-(4-benzyl chloride base)-5-methoxyl group-1H-indol-3-yl]-N-(4,5-dimethyl-1,3-thiazoles-2-yl)-2-oxo ethanamide
2-[1-(4-benzyl chloride base)-5-Methyl-1H-indole-3-yl]-N-(4,5-dimethyl-1,3-thiazoles-2-yl)-2-oxo ethanamide
2-[1-(4-benzyl chloride base)-1H-indol-3-yl]-N-(4,5-dimethyl-1,3-thiazoles-2-yl)-2-oxo ethanamide
The CRTH2 inhibitor
[2-methyl isophthalic acid-(3-trifluoro-methoxybenzyl) indolizine (indolizin)-3-yl] acetate
[2-chloro-5-methoxyl group-1-(3-trifluoro-methoxybenzyl)-1H-indol-3-yl] acetate
[7-chloro-2-methyl isophthalic acid-(3-trifluoro-methoxybenzyl)-1H-indol-3-yl] acetate
[2,7-two chloro-1-(3-trifluoro-methoxybenzyl)-1H-indol-3-yl] acetate
[2,5,6-three chloro-3-(3-trifluoro-methoxybenzyl)-1H-indoles-1-yl] acetate
[2,5,6-three chloro-1-(3-trifluoro-methoxybenzyl)-1H-indol-3-yl] acetate
[2,6-two chloro-3-(3-trifluoro-methoxybenzyl)-1H-indoles-1-yl] acetate
[2,5-two chloro-3-(3-trifluoro-methoxybenzyl)-1H-indoles-1-yl] acetate
[2,6-two chloro-1-(3-trifluoro-methoxybenzyl)-1H-indol-3-yl] acetate
[2,5-two chloro-1-(3-trifluoro-methoxybenzyl)-1H-indol-3-yl] acetate
(2E)-and 3-[2,6-two chloro-1-(3-trifluoro-methoxybenzyl)-1H-indol-3-yl] vinylformic acid
(2E)-and 3-[2,5,6-three chloro-1-(3-trifluoro-methoxybenzyl)-1H-indol-3-yl] vinylformic acid
(2E)-and 3-[6-chloro-2-methyl isophthalic acid-(3-trifluoro-methoxybenzyl)-1H-indol-3-yl] vinylformic acid
Synthetic method
The general synthetic method that is used to prepare compound as herein described comprises:
Part 1
Be used to prepare the general synthetic method of above-claimed cpd:
Schema 1.
Jackson,R.W.;Manske,R.H.Can.J.Research?1935,13,170-174。Wenkert,E.;Alonso,M.E.;Gottlieb,H.E.;Sanchez,E.L.;Pellicciari,R.;Cogolli,P.J.Org.Chem.1977,42,3945-3949。
Schema 2.
Dillard,R.D.;Bach,N.J.;Draheim,S.E.;Berry,D.R.;Carlson,D.G.;Chirgadze,N.Y.;Clawson,D.K.;Hartley,L.W.;Johnson,L.M.;Jones,N.D.;McKinney,E.R.;Mihelich,E.D.;Olkowski,J.L.;Schevitz,R.W.;Smith,A.C.;Snyder,D.W.;Sommers,C.D.;Wery,J.P.J.Med.Chem.1996,39,5119-5136。
Schema 3.
Collot,V.;Schmitt,M.;Marwah,P.;Bourguignon,J.J.Heterocycles?1999,51,2823-2847。
Schema 4.
Padras,M.S.C.;Jha,M.J.Org.Chem.2005,70,1828-1834。
Schema 5.
Mahboobi,S.;Eibler,E.;Koller,M.;Kumar,S.;Popp,A.J.Org.Chem.1999,64,4697-4704。
Schema 6.
Appleton,J.E.;Dack,K.N.;Green,A.D.;Steele,J.Tetrahedron?Lett.1993,34,1529-1532。
Schema 7.
Appleton,J.E.;Dack,K.N.;Green,A.D.;Steele,J.Tetrahedron?Lett.1993,34,1529-1532。
Schema 8
Demuynck,M.;DeClercq,P.;Vanderwalle,M.J.Org.Chem.1979,44.4863-4866。Grieco,P.A.;Nishizawa,M.;Oguri,T.;Burke,S.D.;Marinovic,N.J.Am.Chem.Soc.1977,99,5773-5780。
Part 2
Preparation 1-[(5-chlorothiophene-2-yl) carbonyl]-6-fluoro-5-hydroxy-2-methyl-1H-indol-3-yl } acetate
The preparation of this compound can followingly realize.
Step 1. preparation (3-fluoro-4-methoxyphenyl) hydrazine (2, R1=H, R2=CH3, R3=F).
With 3-fluoro-4-anisidine (1, R1=H, R2=CH3, R3=F) (95g 0.67mol) adds in the concentrated hydrochloric acid (250mL), at room temperature this suspension is stirred 18 hours, it is cooled to 0 ℃ then, and dropwise joins Sodium Nitrite (53.7g, 0.78mol) solution in water (200mL) under 0-5 ℃.When add finishing, under 0 ℃,, down it is dropwise joined tin chloride (II) dihydrate (638.9g, 2.83mol) stirred solution in concentrated hydrochloric acid (500mL) at 0-5 ℃ then with gained solution stirring 1 hour.This mixture heating up to room temperature, is stored it 18 hours down at 4 ℃ then.Collect resulting precipitation by filtering, water (400mL) and ether (1000mL) washing, and vacuum-drying.Make solid salt hydrochlorate alkalization by adding 10% aqueous sodium hydroxide solution (800mL), free alkali is extracted into ether (in 2 * 400mL), and (MgSO4) the dry extraction liquid that merges, and vacuum remove solvent with obtain be yellow solid (3-fluoro-4-methoxyphenyl) hydrazine (2, R1=H, R2=CH3, R3=F) (51.9g, 50%), fusing point 46-50 ℃;1H NMR (CDCl3/ 250MHz): 1.5 (s, 1H, NH-NH2), 3.85 (s, 3H, OCH3), 5.0 (s, 2H, NH-NH2), 6.44 (m, 1H, phenyl 6-H), 6.60 (dd, 1H, phenyl 5-H), 6.79 (t, 1H, phenyl 2-H).
Step 2A. preparation (6-fluoro-5-methoxyl group-2-Methyl-1H-indole-3-yl) acetate (4, R1=H,R2=CH3, R3=F, R4=B=H) and (4-fluoro-5-methoxyl group-2-Methyl-1H-indole-3-yl) acetate(4, R1=F, R2=CH3, R3=H, R4=B=H).
With levulinic acid (3, B=R4=H) (38mL, 354mmol) and 3-fluoro-6-methoxyl group-hydrazinobenzene hydrochloride salt (2, R1=H, R2=CH3, R3=F) (67.5g 350mmol) mixes, and adds the 150mL Glacial acetic acid, and under 80 ℃ this slurry is stirred 4 hours.Reaction is cooled to room temperature and joins in the frozen water (500mL).With methylene dichloride (aqueous solution of 3 * 500mL) extraction gained, and (MgSO4) dry organic phase, concentrate then and obtain the heavy-gravity semisolid.Add entry (450-500mL), and the slurry vigorous stirring is spent the night, with spatula is manual bulk solid is broken into fragment simultaneously.By the resulting fine brown solid of filtering separation, and the dry mixture that obtains 56.3 gram indoles, yield is 67%, according to HPLC, purity be~93% (according to NMR, (6-fluoro-5-methoxyl group-2-Methyl-1H-indole-3-yl) acetate (4, R1=H, R2=CH3, R3=F, R4=B=H) with (4-fluoro-5-methoxyl group-2-Methyl-1H-indole-3-yl) acetate (4, R1=F, R2=CH3, R3=H, R4=B=H) ratio is 7/1).Main isomer1H-NMR (CDCl3/ 300MHz) 2.27 (s, 3H), 3.82 (s, 2H), 3.84 (s, 3H), 6.92-6.97 (m, 2H, ArH).
Step 2B. prepares (6-fluoro-5-methoxyl group-2-Methyl-1H-indole-3-yl) acetate 2-trimethyl silicaneThe alkyl ethyl ester (4, R1=B=H, R2=CH3, R3=F, R4=CH2CH2Si (CH3)3).
Will from the indoles of step 2A (56.3g, 238mmol) with methylene dichloride (600mL) in 2-TMS ethanol (41mL, 1.25 equivalents) and 4-(dimethylamino) pyridine (DMAP) (4g) mix and be cooled to 0 ℃.Add 1-[3-(dimethylamino) propyl group in batches)]-3-ethyl-carbodiimide hydrochloride (EDCI) (50.2g, 1.1 equivalents) and under 0 ℃, should react and stir 30 minutes, and be heated to room temperature then and stir and spend the night.With methylene dichloride (600mL) diluted reaction mixture and water (2 * 200mL) washings, dry and the concentrated orange syrup of heavy-gravity that obtains, after grinding with hexane, this syrup induces solid to generate, this solid from hexane-re-crystallizing in ethyl acetate obtain the brown spicule (6-fluoro-5-methoxyl group-2-Methyl-1H-indole-3-yl) acetate 2-TMS ethyl ester (4, R1=H=B, R2=CH3, R3=F, R4=CH2CH2Si (CH3)3), 52g, yield are 65%, purity is>98%;1H-NMR (CDCl3/ 300MHz) 0.16 (s, 9H), 0.98 (m, 2H), 2.37 (s, 3H), 3.61 (s, 2H), 3.93 (s, 3H), 4.12 (m, 2H), 7.00-7.05 (m, 2H, ArH).Another regional isomer (4-fluoro-5-methoxyl group-2-Methyl-1H-indole-3-yl) acetate 2-TMS ethyl ester (4, R1=F, R3=B=H, R2=CH3, R4=CH2CH2Si (CH3)3) can separate by concentrated filtrate and by the silica gel chromatography purifying.
Step 3. preparation 1-[(5-chlorothiophene-2-yl) carbonyl]-6-fluoro-5-methoxyl group-2-Methyl-1H-indole-3-yl } and acetate 2-TMS ethyl ester (5, R1=H=B, R2=CH3, R3=F, R4=CH2CH2Si (CH3)3, the A=5-chlorothiophene).
In dry flask, with (6-fluoro-5-methoxyl group-2-Methyl-1H-indole-3-yl) acetate 2-TMS ethyl ester (4, R1=H=B, R2=CH3, R3=F, R4=CH2CH2Si (CH3)3), (1.0g, 2.96mmol) be dissolved in tetrahydrofuran (THF) (THF) (10mL) and hexamethylphosphoramide (HMPA) (1mL) in, and be cooled to-78 ℃.Add two (TMS) potassium amide 0.5M in the toluene (6.52mL), and will react and stir 30 minutes.Add the 5-chlorothiophene-2-carbonyl chloride (562mg among the 3mL THF, 3.1mmol), and stir 0.5 hour under will being reflected at-78 ℃ and stirred 0.5 hour down at 0 ℃, and use saturated ammonium chloride (20mL) to handle then, and with ethyl acetate (3 * 30mL) extractive reactions, MgSO4Dry and concentrate and obtain toughening oil, this oil by chromatography purification with the acquisition be light yellow oil 1-[(5-chlorothiophene-2-yl) carbonyl]-6-fluoro-5-methoxyl group-2-Methyl-1H-indole-3-yl acetate 2-TMS ethyl ester (5, R1=H=B, R2=CH3, R3=F, R4=CH2CH2Si (CH3)3, the A=5-chlorothiophene) and (600mg, 1.24mmol, 42%, purity>99%);1H-NMR (CDCl3/ 300MHz) result is consistent with given structure.
Step 4. preparation 1-[(5-chlorothiophene-2-yl) carbonyl]-6-fluoro-5-methoxyl group-2-Methyl-1H-indole-3-yl } and acetate (6, R1=H, R2=CH3, R3=F, R4=H, the A=5-chlorothiophene).
Be dissolved in 8mL THF the product fromstep 3 1-[(5-chlorothiophene-2-yl) carbonyl]-6-fluoro-5-methoxyl group-2-Methyl-1H-indole-3-yl acetate 2-TMS ethyl ester (5, R1=H=B, R2=CH3, R3=F, R4=CH2CH2Si (CH3)3, the A=5-chlorothiophene) and (600mg, solution 1.24mmol) tetrabutyl ammonium fluoride (1M, 3.1mL, 3.1mmol) solution-treated in THF.At room temperature stir this solution until ester fracture (about 1 hour), dilute this solution and use ethyl acetate extraction with saturated aqueous ammonium chloride then.With the extract that the salt water washing merges, MgSO4Dry and concentrate and obtain solid, this solid by the chromatography purification with hexane and eluent ethyl acetate obtain 280mg purity be 59% 1-[(5-chlorothiophene-2-yl) carbonyl]-6-fluoro-5-methoxyl group-2-Methyl-1H-indole-3-yl acetate (6, R1=H, R2=CH3, R3=F, R4=H, the A=5-chlorothiophene), 169 ℃ of fusing points.
1H?NMR(CDCl3/300MHz)7.35(d,1H,J=4.0Hz),7.09(d,1H,J=11.7Hz),7.00(d,1H,J=7.2Hz),6.98(d,1H,J=4.0Hz),3.93(s,3H),3.70(s,2H),2.42(s,3H)。
Step 5. preparation 1-[(5-chlorothiophene-2-yl) carbonyl]-6-fluoro-5-hydroxy-2-methyl-1H-indoles-3-yl } and acetate (6, R1=H=B, R2=H, R3=F, the A=5-chlorothiophene).
Will from the product of step 3 1-[(5-chlorothiophene-2-yl) carbonyl]-6-fluoro-5-methoxyl group-2-Methyl-1H-indole-3-yl acetate 2-TMS ethyl ester (5, R1=H=B, R2=CH3, R3=F, R4=CH2CH2Si (CH3)3, the A=5-chlorothiophene) and (400mg 0.83mmol) is dissolved in the 10mL exsiccant methylene dichloride, and is cooled to-78 ℃.(1M, 4.9mL 4.9mmol) handle this solution, and solution is heated to room temperature, stir 2 hours in addition under this temperature to use boron tribromide in the methylene dichloride then.Then solution is inclined to water, separate phase, and use the dichloromethane extraction water.With the extraction liquid that the salt water washing merges, MgSO4Dry and concentrate and obtain solid, this solid by the chromatography purification with methyl alcohol and methylene dichloride wash-out obtain 150mg purity be 49% 1-[(5-chlorothiophene-2-yl) carbonyl]-6-fluoro-5-hydroxy-2-methyl-1H-indol-3-yl acetate (6, R1=H=B, R2=H, R3=F, the A=5-chlorothiophene), 174 ℃ of fusing points,1H NMR (CDCl3/ 300MHz) 7.34 (d, 1H, J=3.9Hz), 7.13 (d, 1H, J=11.1Hz), 7.07 (d, 1H, J=8.4Hz), 6.98 (d, 1H, J=3.9Hz), 3.66 (s, 2H), 2.39 (s, 3H).
The 3rd part
General synthesis flow Fig. 1
Some useful compounds can prepare by general method described as follows.
Step 1. preparation phenylhydrazine, representative example: (3-fluoro-4-p-methoxy-phenyl) hydrazine (2).
The preparation of phenylhydrazine derivant (2) is from handling the commercially available aniline that gets (1) with the nitrous acid that produces from Sodium Nitrite and concentrated hydrochloric acid, and generates corresponding diazonium salt.In same reaction vessel, this diazonium salt is with S-WAT and salt acid treatment and to generate yield be 90% required hydrazine hydrochloride (2).Selectively, this diazonium salt can reduce with tin protochloride in hydrochloric acid.
Step 2. is by the synthetic preparation of Fisher indoles indoles, representative example: (6-fluoro-5-methoxyl group-2-Methyl-1H-indole-3-yl) acetate (5).
Hydrazine hydrochloride (2) and the condensation of levulinic acid (3) in acetate make that forming ratio is two kinds of regionalisomer indole derivativeses 4 and 5 of 1: 7.Main region isomer 5 can come out with pure isolated in form by the crystallization of reaction mixture.Selectively, the indoles mixture can obtain corresponding ester as the silica-based ethyl esterification of 2-front three with alcohol, and this ester can for example separate by chromatography then in several ways.
The acidylate ofstep 3. indoles 5b: preparation 1-[(5-chlorothiophene-2-yl) carbonyl]-6-fluoro-5-methoxyl group-2-Methyl-1H-indole-3-yl } acetate 2-TMS ethyl ester (6b).
Handling K-281 5b in dimethyl formamide (DMF), handle with chloride of acid such as 5-chlorothiophene-2-carbonyl chloride and obtain yield subsequently with sodium hydride is 82% acidylate indole derivatives 6b.This ester is removed by handling as trifluoroacetic acid with acid then, thereby generates corresponding acid, is 6a in this example.
Step 4. preparation 5-hydroxy indoxyl derivative: preparation 1-[(5-chlorothiophene-2-yl) carbonyl]-6-fluoro-5-Methoxyl group-2-Methyl-1H-indole-3-yl } acetate (7).
After ester such as 6b handle in methylene dichloride with excessive boron tribromide, can change into corresponding sour phenol by good yield, for example 7.Under these reaction conditionss, ester and 5-methoxyl group part all can be taken off alkyl and be formed acid and phenol respectively.If necessary, carboxylic acid can be by changing into their salt derivative with alkali such as sodium-hydroxide treatment.
General synthesis flow Fig. 2
Some compound can prepare according to following general synthesis flow Fig. 2.
In first step, the condensation and obtain the mixture of regional isomer K-281 4 and 5 (for example, if people use ethyl levulinate 3 (R=Et), then product (4 and 5) will be an ethyl ester, R=Et) in acetate of the ester of hydrazine (2) and levulinic acid.Ester can be separated, and acidylate obtains corresponding acyl derivative-as 6 in the present embodiment, R=Et by flow process process shown in Figure 1 then.The hydrolysis of ester obtains corresponding sour 6a.If necessary, ester and 5-methoxyl group can be removed in single operation, thereby obtain phenol as 7 after handling in methylene dichloride with boron tribromide.
General synthesis flow Fig. 3
Some compound can prepare according to following general synthetic schemes.
This route from phenylhydrazine derivant as 2 with the condensation of acetaldehyde, to obtain corresponding hydrazone 8.With chloride of acid-comeacidylate 8 for 5-chlorothiophene-2-carbonyl chloride in the present embodiment, handle in as methyl alcohol at alcohol with gaseous hydrochloric acid subsequently, after the excessive acid that neutralizes, provide the acidylate hydrazine of wanting 9.9 provide the mixture of regional isomer with the condensation of levulinic acid, and this mixture can separatedly obtain the indoles of acidylate then, is 6 and 10 in the present embodiment.If necessary, the 5-methoxyl group can change into corresponding 5-hydroxyl substituent by handling in methylene dichloride with boron tribromide then, for example prepares 7.
General synthesis flow Fig. 4
Some compound can prepare according to following general synthesis flow Fig. 4.
In tetrahydrofuran (THF), handle by corresponding indolic acid by in the presence of dewatering agent such as dicyclohexylcarbodiimide, combining the K-281 11 that makes with highly basic such as two (TMS) potassium amide with the silica-based ethanol of 2-front three; and generating the indoles negatively charged ion, this indoles negatively charged ion can obtain the N-sulfonyl-derivatives as 12 with the SULPHURYL CHLORIDE condensation.In the present embodiment, used SULPHURYL CHLORIDE is the 4-chlorobenzene sulfonyl chloride.In second step, after handling, N-alkylsulfonyl indoles 12 usefulness tetrabutyl ammonium fluorides change into correspondingindolic acid 13 in tetrahydrofuran (THF).If necessary, the usefulness boron tribromide handles 13 in methylene dichloride after, 5-methoxyl group substituting group can change into corresponding 5-hydroxyl.
General synthesis flow Fig. 5
Some compound can prepare according to following general synthesis flow Fig. 5.
In tetrahydrofuran (THF), handle by corresponding indolic acid by in the presence of dewatering agent such as dicyclohexylcarbodiimide, combining the K-281 11 that makes with highly basic such as two (TMS) potassium amide with the silica-based ethanol of 2-front three; and generating the indoles negatively charged ion, this indoles negatively charged ion can obtain N-acyl derivative 14 with the cinnamyl chloride condensation.In second step, after handling, N-acyl indol 14 usefulness tetrabutyl ammonium fluorides change into correspondingindolic acid 15 in tetrahydrofuran (THF).If necessary, the usefulness boron tribromide handles 15 in methylene dichloride after, 5-methoxyl group substituting group can change into corresponding 5-hydroxyl 16.
General synthesis flow Fig. 6
Some compound can prepare according to following general synthesis flow Fig. 6.
Handle K-281 17 and generate the indoles negatively charged ion in tetrahydrofuran (THF) with highly basic such as two (TMS) potassium amide, this indoles negatively charged ion can obtain N-benzyl derivative 18 with the alkylation of 4-bromine chloride.In second step, after handling, N-benzylindole 18 usefulness sodium hydroxide change into correspondingindolic acid 19 in water-containing tetrahydrofuran.If necessary, the usefulness boron tribromide handles 19 in methylene dichloride after, 5-methoxyl group substituting group can change into corresponding 5-hydroxyl 20.
General synthesis flow Fig. 7
Illustrated in general synthesis flow Fig. 7 is the general method that is used to prepare general formula (4) FAAH inhibitor compound.This is synthetic from indole-carboxylic acid derivative 1 and N, and the condensation of O-dimethyl hydroxylamine (by N, O-dimethyl hydroxylamine hydrochloride and triethylamine generate) in the presence of dewatering agent such as dicyclohexylcarbodiimide (DCC) begins, and obtains so-called Weinreb amide derivatives 2.With by handle thelithium derivative 3processing acid amides 2 that Xiang Ying De oxazole produces with n-Butyl Lithium, obtainformula 4 De Tong oxazole (ketooxazole) derivatives.
General synthetic schemes8
The alternative procedure that is used for preparinggeneral formula 4 compounds illustrates at general synthesis flow Fig. 8.Indole-carboxylic acid derivative 1 is by with oxalyl chloride or with thionyl chloride (SOCl2) handle and to change into corresponding chloride of acid 5.Chloride ofacid 5 is handled to realize Stille coupling (Stille coupling) as 6 with organic stannane in the presence of palladium catalyst then.If necessary, this afterreaction can be at the decarbonylation that carries out under the atmosphere of carbon monoxide with chloride of acid during suppressing the Stille coupling.In the change of above-mentioned schema,organotin alkane derivatives 3 can change into corresponding organic zinc derivative (ZnCl2), and can be coupled to chloride ofacid 5 then withproduction 4 compounds.
General synthesis flow Fig. 9
In some instances, it is favourable using the described route of general synthesis flow Fig. 9.This method begins and obtains correspondingalcohol 7 from the reduction ofcarboxylic moiety 1, and changes into correspondingaldehyde 8 at the oxidizing condition that is fit to as containing under Dai Si-Martin's oxygenant (Dess-Martin periodinane) reagent subsequently.Aldehyde 8 can be handled andpreparation alcohol 9 withorganolithium reagent 5 then, andalcohol 9 is again by changing into the ketone of wanting 4 with Dai Si-Martin's oxygenant reagent oxidation.
Use general synthesis flow Fig. 7,8 with the identical general method described in 9, it is possible preparing multiple ketone derivatives by the character that changes organolithium, organic zinc or organic tin derivates.Below unitized embodiment show how every kind of ketone of wanting can be made by suitable starting material.
Make as 2 by suitable phenyl lithium derivative and Weinreb acid amides.
By the 2-bromopyridine by handling with n-Butyl Lithium and making as 2 condensations with the Weinreb acid amides.Selectively, the 2-bromopyridine can change into 2-(three normal-butyl stannyls) pyridine, then under palladium catalysis with chloride of acid as 5 condensations.
By the 3-bromopyridine by handling with n-Butyl Lithium and making as 2 condensations with the Weinreb acid amides.Selectively, the 3-bromopyridine can change into 3-(three normal-butyl stannyls) pyridine, then under palladium catalysis with chloride of acid as 5 condensations.
By the 4-bromopyridine by handling with n-Butyl Lithium and making as 2 condensations with the Weinreb acid amides.Selectively, the 4-bromopyridine can change into 4-(three normal-butyl stannyls) pyridine, then under palladium catalysis with chloride of acid as 5 condensations.
By pyridazine by handling with excessive tetramethyl piperidine lithium and making as 2 condensations with the Weinreb acid amides.Selectively; 3 (2H)-pyridazinones are handled, are promoted to combine with six dibutyltin dilaurates by palladium catalyst subsequently with trifluoromethanesulfanhydride anhydride; thereby obtain 3-(three normal-butyl stannyls) pyridazine, then this 3-(three normal-butyl stannyls) pyridazine can be under palladium catalysis with chloride of acid as 5 condensations.
4-(three normal-butyl stannyls) pyridazine can obtain the ketone that these are wanted with chloride of acid as 5 condensations under palladium catalysis.
The reaction of three normal-butyl stannyl lithiums and 2-chloropyrimide obtains 2-(tributyl stannyl) pyrimidine, and 2-(tributyl stannyl) pyrimidine can obtain the ketone that these are wanted with chloride of acid as 5 condensations under palladium catalysis.
After 4 (3H)-pyrimidones are handled in pyridine with trifluoromethanesulfanhydride anhydride, obtain corresponding triflate, this triflate generates 4-(tributyl stannyl) pyrimidine with six dibutyltin dilaurates reaction back in the presence of two (triphenylphosphine) Palladous chloride (II).4-(tributyl stannyl) pyrimidine obtains the ketone that these are wanted with chloride of acid as 5 processing under palladium catalysis.
The 5-bromo pyrimi piperidine is handled with six dibutyltin dilaurates in the presence of palladium catalyst and is obtained 5-(tributyl stannyl) pyrimidine, and 5-(tributyl stannyl) pyrimidine can obtain the ketone that these are wanted as 5 processing with chloride of acid.
The ketone that 2-(tributyl stannyl) pyrazine of handling, making with three normal-butyl chlorination tin condensations subsequently with normal-butyl reason by chloropyrazine obtains wanting as 5 processing with chloride of acid.Selectively, from chloropyrazine handle with normal-butyl reason and the lithium derivative that obtains can be directly and the Weinreb acid amides as 2 condensations to prepare the ketone that these are wanted.
With [1,3] oxazole also [5,4-b] pyridine-2-base lithium handle aldehyde as 8, use Dai Si-initial alcohol of Martin's oxygenant reagent oxidation subsequently, can be used for preparing the ketone that these are wanted.
With [1,3] oxazole also [5,4-c] pyridine-2-base lithium handle aldehyde as 8, use Dai Si-initial alcohol of Martin's oxygenant reagent oxidation subsequently, can be used for preparing the ketone that these are wanted.
With [1,3] oxazole also [4,5-c] pyridine-2-base lithium handle aldehyde as 8, use Dai Si-initial alcohol of Martin's oxygenant reagent oxidation subsequently, can be used for preparing the ketone that these are wanted.
With [1,3] oxazole also [4,5-b] pyridine-2-base lithium handle aldehyde as 8, use Dai Si-initial alcohol of Martin's oxygenant reagent oxidation subsequently, can be used for preparing the ketone that these are wanted.
With 1,3-benzoxazole-2-base lithium is handled aldehyde as 8, use Dai Si-initial alcohol of Martin's oxygenant reagent oxidation subsequently, can be used for preparing the ketone that these are wanted.
General synthesis flow Figure 10
Illustrated in general synthesis flow Figure 10 is the method that is used to prepare trifluorumethylketone 10.According to Boivin, J.; El Kaim, L.; Zard, S.Z., Tetrahedron Lett.1992,33, the described method of 1285-1288,carboxylic acid 1 usefulness oxalyl chloride changes into corresponding chloride ofacid 5, changes into trifluorumethylketone by handling with trifluoroacetic anhydride then in the presence of pyridine.
General synthesis flow Figure 11
Illustrated in general synthesis flow Figure 11 is the method for α-ketone ester derivative of being used to prepare general formula 11.According to Li, Z.; Patil, G.S.; Golubski, Z.E.; Hori, H.; Tehrani, K.; Foreman, J.E.; Eveleth, D.D.; Bartus, R.T.; Powers, J.C., J.Med.Chem.1993,36, the method for 3472-3480, this process relate tocarboxylic acid 1 and chlorine oxo ethyl acetate in the presence of pyridine and 4-(dimethylamino) pyridine (DMAP) condensation to generate these keto esters of wanting 11.
General synthesis flow Figure 12
Illustrated in general synthesis flow Figure 12 is the method that is used to prepare the inhibitor of general formula 13-15.This order changes into corresponding chloride ofacid 5 fromcarboxylic acid 1 usefulness oxalyl chloride.5 usefulness diazomethanes are handled and to be provided yield fabulous corresponding diazo-ketones 12, and then diazo-ketones 12 can change into thecarboxylic acid 13 that carbochain prolongs after handling with silver benzoate in water-containing tetrahydrofuran.The oxygenate of 13 the enolate that is generated by N-Lithiodiisopropylamide obtains alpha-hydroxy acid 14.If necessary, alpha-keto amide 15 can change into chloride of acid by relating to, the process that alcohol become corresponding ketone with Dai Si-Martin's oxygenant reagent oxidation with ammonia treatment, at last produces from 14.
General synthesis flow Figure 13
General synthesis flow Figure 13 illustrates the method for the compound that can be used for preparing general formula 20.This method obtainsindole derivatives 18 fromarylhydrazine derivatives 16 and the condensation of 6-oxo acid benzyl ester in heptan (17) under standard Fisher indoles synthesis condition.Indole nitrogen obtainsnovel indole derivative 19 with the chloride of acid acidylate and finishes by generating the indoles negatively charged ion with highly basic such as sodium hydride usually.19 benzyl ester is removed by the hydrogenolysis that carbon carries on the palladium then, thereby the indolebutyric acid derivative of wanting 20 is provided.
The 4th part
Synthesizing of heterocyclic fused loop systems
The whole bag of tricks that is used for synthetic condensed heterocycle system is known.Below with reference to several method.Much other method is known and useful.
[1,3] thiazole also [4,5-b] pyridine-2-base can prepare according to WO2004058728.
[1,3] also [4,5-c] pyridine-2-base can be according to International Journal of SulfurChemistry for thiazole, B part: Quarterly Reports on Sulfur Chemistry (quarterly report of sulfur chemistry) (1972), 7 (2), 121-153 prepares.
[1,3] thiazole also [5,4-c] pyridine-2-base can be according to Journal of Heterocyclic Chemistry (1990), and 27 (3), 563-566 prepares.
[1,3] also [5,4-b] pyridine-2-base can be according to International Journal of SulfurChemistry for thiazole, B part: Quarterly Reports on Sulfur Chemistry (quarterly report of sulfur chemistry) (1972), 7 (2), 121-153 prepares.
[1,3] thiazole also [4,5-b] pyrazine-2-base can be according to Science of Synthesis (2002), and 11:835-912 prepares.
[1,3] thiazole also [4,5-d] pyrimidine-2-base can be according to Indian Journal of Chemistry (1971), and 9 (7), 651-654 prepares.
[1,3] thiazole also [4,5-d] pyridazine-2-base can be according to Bulletin de la Societe Chimique deFrance (1971), and (4), 1491-1496 prepares.
[1,3] oxazole also [4,5-d] pyrimidine-2-base can be according to Tetrahedron Letters (1990), and 31 (8), 1155-1157 prepares.
[1,3] oxazole also [5,4-d] pyrimidine-2-base can be according to Australian Journal of Chemistry (1970), and 23 (6), 1229-1248 prepares.
[1,3] oxazole also [4,5-b] pyridine-2-base can be according to Heterocycles (1995), and 41 (3), 477-485 prepares.
[1,3] oxazole also [4,5-c] pyridine-2-base can prepare according to EP 1203766.
[1,3] oxazole also [5,4-c] pyridine-2-base can prepare according to WO 2004064778.
[1,3] oxazole also [5,4-b] pyridine-2-base can prepare according to WO 2003048137.
Furo [2,3-b] pyridine-2-base can be according to Synthesis (1981), and (6), 464-465 prepares.
Furo [2,3-c] pyridine-2-base can be according to Journal of Heterocyclic Chemistry (1982), and 19 (5), 1207-1209 prepares.
Furo [3,2-c] pyridine-2-base can be according to Journal of Heterocyclic Chemistry (1971), and 8 (1), 57-60 prepares.
Furo [3,2-b] pyridine-2-base can be according to Journal of Heterocyclic Chemistry (1986), and 23 (3), 665-668 prepares.
Thieno-[3,2-d] pyrimidine-6-base can be according to Tetrahedron (1971), and 27 (2), 487-499 prepares.
Thieno-[2,3-d] pyrimidine-6-base can be according to Journal of Heterocyclic Chemistry (1975), and 12 (5), 921-924 prepares.
Pyridazine-the 6-base can be according to Phosphorus for thieno-[2,3-c], Sulfur and Silicon and theRelated Elements (2004), and 179 (2), 321-344 prepares.
Thieno-[2,3-d] pyridazine-2-base can be according to Bulletin de la Societe Chimique de France (1967), and (7), 2495-2507 prepares.
Thieno-[3,2-c] pyridazine-6-base can be according to Journal of the Chemical Society[part] C:Organic (1971), (7), 1285-1291 prepares.
Thieno-[2,3-b] pyrazine-6-base can be according to Journal of Heterocyclic Chemistry (1976), and 13 (2), 273-275 prepares.
Thieno-[3,2-b] pyridine-2-base can be according to Journal of Heterocyclic Chemistry (1984), and 21 (3), 785-789 prepares.
Thieno-[3,2-c] pyridine-2-base can be according to Journal of Heterocyclic Chemistry (1993), and 30 (1), 289-290 prepares.
Thieno-[2,3-c] pyridine-2-base can be according to Synthesis (2004), and (12), 1935-1937 prepares.
Thieno-[2,3-b] pyridine-2-base can be according to Journal of Organic Chemistry (1987), and 52 (19), 4280-4287 prepares.
3H-imidazo [4,5-b] pyridine-2-base can be according to Tetrahedron Letters (1993), and 34 (12), 1897-1900 prepares.
3H-imidazo [4,5-c] pyridine-2-base can be according to Khimiya GeterotsiklicheskikhSoedinenii (1994), and (10), 1411-1419 prepares.
7H-purine-8-base can be according to Chemische Berichte (1967), and 100 (7), 2280-2291 prepares.
1H-pyrrolo-[3,2-b] pyridine-2-base can be according to Journal of Heterocyclic Chemistry (1992), and 29 (2), 359-367 prepares.
1H-pyrrolo-[3,2-c] pyridine-2-base can be according to Heterocycles (1992), and 34 (12), 2379-2384 prepares.
1H-pyrrolo-[2,3-c] pyridine-2-base can be according to Synthesis (1996), and (7), 877-882 prepares.
1H-pyrrolo-[2,3-b] pyridine-2-base can be according to Journal of the Chemical Society[part] C:Organic (1969), (11), 1505-1514 prepares.
1H-pyrrolo-[2,3-d] pyridazine-2-base can be according to Comptes Rendus des Seances del ' Academie des Sciences, Serie C:Sciences Chimiques (1967), and 265 (22), 1271-1273 prepares.
5H-pyrrolo-[3,2-c] pyridazine-6-base can be according to Diss.Abstr.Int.B 1974,35 (3), and 1199 prepare.
7H-pyrrolo-[2,3-c] pyridazine-6-base can be according to Diss.Abstr.Int.B 1974,35 (3), and 1199 prepare.
5H-pyrrolo-[2,3-b] pyrazine-6-base can be according to Tetrahedron Letters (2004), and 45 (43), 8087-8090 prepares.
5H-pyrrolo-[3,2-d] pyrimidine-6-base can be according to Synthesis (1974), and (12), 837-859 prepares.
7H-pyrrolo-[2,3-d] pyrimidine-6-base can prepare according to WO 2003048120.
The 5th part
The preparation alpha-ketoamide derivative
Indole derivatives 1 is handled with sodium hydride in exsiccant dimethyl formamide (DMF) and is providedalkyl derivative 3 withbromotoluene 2 reactions.3 handle and obtain chloride ofacid 4 with oxalyl chloride in methylene dichloride, chloride ofacid 4 can with the amine reaction so that the amide derivatives withuniversal architecture 5 to be provided.Most of amine are commercially available to be got or can prepare by the method described in the document.These amine comprise by those represented amine of following CA registration number: 504-29-0 (Alfa Aesar, Ward Hill, MA, catalog number (Cat.No.) A12374); 108-91-8 (Sigma-Aldrich, St.Louis, MO, catalog number (Cat.No.) 240648); 765-30-0 (Sigma-Aldrich, St.Louis, MO, catalog number (Cat.No.) 125504); 2516-34-9 (Alfa Aesar, WardHill, MA, catalog number (Cat.No.) A13423); 1003-03-8 (Alfa Aesar, Ward Hill, MA, catalog number (Cat.No.) L01966); 96-50-4 (Alfa Aesar, Ward Hill, MA, catalog number (Cat.No.) A12026); 7720-39-0; 4570-45-0 (GLSynthesis Inc., Worcester, MA); 462-08-8 (Sigma-Aldrich, St.Louis, MO); 504-24-5; 591-54-8 (Sigma-Aldrich, St.Louis, MO, catalog number (Cat.No.) 261823); 5049-61-6 (Alfa Aesar, Ward Hill, MA, catalog number (Cat.No.) A13052); 109-12-6 (Alfa Aesar, Ward Hill, MA, catalog number (Cat.No.) B24594); (referring to people such as Turck, Tetrahedron 1993,49,599-606) for 5469-70-5; 20744-39-2 (SYNCHEM OHG, Kassel, Germany, catalog number (Cat.No.) ct267); 591-55-9; 14678-05-8 (referring to Iwai and Nakamura, Chemical ﹠amp;Pharmaceutical Bulletin 1966,14,1277-1286); 1750-42-1 (Sigma-Aldrich, St.Louis, MO, catalog number (Cat.No.) 424218); 14678-02-5 (Sigma-Aldrich, St.Louis, MO, catalog number (Cat.No.) 304271); 1072-67-9 (Sigma-Aldrich, St.Louis, MO, catalog number (Cat.No.) 232270); 1820-80-0 (Sigma-Aldrich, St.Louis, MO, catalog number (Cat.No.) 160644); 31230-17-8 (Alfa Aesar, Ward Hill, MA, catalog number (Cat.No.) A11642); 4592-62-5 (referring to Brown and Sainsbury, Science of Synthesis 2002,11:507-572); 82357-92-4 (referring to Goerdeler and Pohland, Angew.Chem.1960,72,77); 128146-85-0; 24340-76-9 (referring to people such as Samaritoni, Journal of Agricultural and Food Chemistry1997,45,1920-1930); 136-95-8 (Sigma-Aldrich, St.Louis, MO, catalog number (Cat.No.) 108812); 4570-41-6; 40926-66-7 (referring to people such as Kalcheva, Zeitschrift fuer Chemie1981,21,219-220); 114498-55-4 (Chemstep, Carbon Blanc, France, catalog number (Cat.No.) 17590); 118767-91-2 (Chemstep, Carbon Blanc, France, catalog number (Cat.No.) 17511), 4592-62-5,82357-92-4 (referring to Goerdeler and Horn, Ber.1963,96,1551-60); 1820-80-0 (Sigma-Aldrich, St.Louis, MO, catalog number (Cat.No.) 160644); 6826-24-0 is (referring to people such as Van Leusen, Journal of Organic Chemistry 1981,46, people such as 2069-72 and Tanimoto, Chemical ﹠amp; Pharmaceutical Bulletin 1984,32,1032-1039) and 33119-65-2 (referring to people such as Crank, Australian Journal of Chemistry 1985,38,447-458).
They also are included in people such as Van Leusen, Journal ofOrganic Chemistry 1981,46, and disclosed those amine among the 2069-2072, as
And at Herdeis and
Gebhard Heterocycles 1986,24, disclosed those amine of 1019-1024, as
Be used to prepare the general method of selected ketone derivatives.
The starting material that is used to prepare ArLi reagent comprises: and CA registration number 20662-89-9 (referring to people such as Whitney, Journal ofOrganic Chemistry 1990,55,929-935); 133229-54-6 (referring to people such as Whitney, Journal ofOrganic Chemistry 1991,56,3058-3063); 681135-55-7 (Chemstep, Carbon Blanc, France, catalog number (Cat.No.) 15867); 681135-57-9 (Chemstep, Carbon Blanc, France, catalog number (Cat.No.) 15866); 35299-74-2 (referring to people such as Boger, Journal ofMedicinal Chemistry 2005,48,1849-1856); 681135-59-1 (Chemstep, Carbon Blanc, France, catalog number (Cat.No.) 15865); 1006-68-4 (Ryan Scientific, Inc., Isle of Palms, SC, catalog number (Cat.No.) SEW 04470); 70380-73-3 (Ryan Scientific, Inc., Isle of Palms, SC, catalog number (Cat.No.) SEW 00968); 70380-74-4 (Ryan Scientific, Inc., Isle of Palms, SC, catalog number (Cat.No.) SEW 00967); 70380-75-5 (Ryan Scientific, Inc., Isle of Palms, SC, catalog number (Cat.No.) SEW 00891); 121855-80-9 (referring to people such as Davies, Journal of the Chemical Society, Perkin Transactions 1:Organic and Bio-Organic Chemistry 1989,837-838);
And compound
(referring to people such as Boger, Journal of
Medicinal Chemistry 2005,48,1849-1856);
(referring to people such as Crowe,
Tetrahedron 1995,51,8889-8900);
(referring to people such as Dondoni, Journal of
Organic Chemistry 1987,52 3413-3420) reaches
(referring to people such as Subramanyam, Tetrahedron Letters2002,43,6313-6315).
The general method for preparing selected ketone derivatives by the Friedel-Crafts acidylate of indoles
Following compounds (Ar) can be used for by preparing carboxylic acid and they at 3 acidylate indoles or commercially availablely getting or can obtain from described literature method: CA registration number 16042-25-4 (Maybridgeplc, Tintagel, Cornwall, United Kingdom, catalog number (Cat.No.) CC 08901); 59020-44-9 (J﹠amp; W PharmLab LLC, Morrisville, PA, catalog number (Cat.No.) 90-0085); 75390-44-2 (ACBBlocks Ltd, Moscow Russia, catalog number (Cat.No.) THA-0001); 59020-45-0 (Anichem LLC, Monmouth Junction, NJ, catalog number (Cat.No.) S10224); 59020-46-1 (announcing WO2002014311) referring to PCT; 59020-47-2 (Anichem LLC, Monmouth Junction, NJ, catalog number (Cat.No.) S10225); 862494-59-5 (announcing WO2005074645) referring to PCT; 721927-07-7 (announcing WO2004058728) referring to PCT; 794500-94-0 and 723733-05-9 (announcing WO2004058728) referring to PCT; 19163-24-7 (ASDI Inc, Newark, DE, catalog number (Cat.No.) 500022101); 119082-97-2 ((ASDI Inc, Newark, DE, catalog number (Cat.No.) 500021267); 35299-74-2 (referring to people such as Kauffmann, Angewandte Chemie, English international version 1971,10,741-3); 278803-20-6 and 216867-32-2 (AKos Consulting and Solutions GmbH, BaselSwitzerland, catalog number (Cat.No.) BBV-00006978 and BBV-00011817); 527-72-0; 21169-71-1 and 14442-12-7 (Sigma-Aldrich, St.Louis, MO, catalog number (Cat.No.) 88990,636258 and 633690); 499770-97-7; 10271-85-9 (AstaTech, Inc., Bristol, PA, catalog number (Cat.No.) 62856); 4576-90-3 (referring to people such as Holland, Journal of the Chemical Society 1965,7277-7282); 3209-71-0 (ChemPacific USA Sales Marketing and ResearchCenter, Baltimore, MD, catalog number (Cat.No.) 37117); 716362-11-7 and 716362-05-9 (Ambinter, Paris France, catalog number (Cat.No.) CIZ-0020 and CIZ-0022) and
(announcing WO2004054974) referring to PCT.
Make up the general method of 3-aryl-5-Suo isoxazole by the dipole cycloaddition of nitrile oxide (by oxime and N-chlorosuccinimide and triethylamine generation) and ethyl propiolate
Use this method,
CA registration number 1073-65-0 (Chemstep, Carbon Blanc, France, catalog number (Cat.No.) 20123) can be used for preparation
(referring to people such as Jose,
Synthetic Communications 2000,30 1509-1514) can be used for preparation to CA registration number 1193-98-2
CA registration number 83959-46-0 (Chemstep, Carbon Blanc, France, catalog number (Cat.No.) 18812) can be used for preparation
CA registration number 52348-44-4 (announcing EP194746A2 referring to the EP patent) can be used for preparation
And CA registration number 50901-50-3 (Chemstep, Carbon Blanc, France, catalog number (Cat.No.) 5053) can be used for preparation
As preparing described in the US3957805.
Be used for preparation and contain 1,2, the general method of the ketone derivatives of 4-oxadiazole
Be the commercially available tabulation that gets below or be used to prepare the formyl iminesReference: CA registration number 613-92-3,1772-01-6,1594-58-7 and 1594-57-6 (Sigma-Aldrich, StLouis, MO, catalog number (Cat.No.) S778176,542792,542814 and 542806); 51285-11-1 and 90993-49-0 (Chemstep, Carbon Blanc, France, catalog number (Cat.No.) 19221 and 18704); 90993-48-9 (referring to: be used to prepare the people such as Easmon of 3-cyano group pyridazine,Journal ofMedicinal Chemistry 1992,35,3288-3296 and the RobbaAnn.Chim. (Paris) 1960,380,414 that is used to prepare 3-pyridazine carboxamidoxime); 51285-05-3 (Oakwood Products, Inc, West Columbia, SC, catalog number (Cat.No.) 017309) and 39123-45-0 (referring to US3705157).
Be used for preparation and contain 1,3, the general method of the ketone derivatives of 4-oxadiazole
Be commercially available tabulation that gets or the reference that is used to obtain acylhydrazine below.
CA registration number 89463-74-1; 87362-28-5; 56932-26-4 (Chemstep, CarbonBlanc, France, catalog number (Cat.No.) 29632,18794,29637); 39513-54-7; 768-05-8 (J ﹠amp; WPharmLab LLC, Morrisville, PA, catalog number (Cat.No.) 70-0046,65-0113); 103028-60-0 (referring to people such as Ohta,
Nippon Kagaku Zasshi 1958,79,1452-1454); 13363-69-4 (referring to people such as Beringer,
Helvetica Chimica Acta 1966,49,2466-2469), 52938-97-3 (TCIAmerica, Portland, OR, catalog number (Cat.No.) P1394); 862089-25-6,56632-46-3 and 216867-35-5 (AKos Consulting and Solutions GmbH, Basel, Switzerland, catalog number (Cat.No.) BB V-00011847, BBV-00011848 and BBV-00011849); And
(referring to WO9854164);
(referring to people such as Beringer,
HelveticaChimica Acta 1966,49,2466-2469).
By with 3-indoles lithium and aldehyde reaction, prepare indolone with Dai Si-Martin's reagent oxidation subsequentlyGeneral method
Be commercially available tabulation that gets or the reference that is used for obtaining necessary aldehyde (ArCHO of above-mentioned reaction) below: CA registration number: 342601-31-4 (announcing WO2001038332) referring to PCT; 1120-95-2 (referring to people such as Wermuth, Journal ofMedicinal Chemistry 1987,30,239-249); CA registration number 1120-95-2 can be used for the aldehyde of synthetic following reaction:
(referring to people such as Gauthier, Org.Lett., 2002,4,375-378);
The CA registration number 342603-67-2 that can obtain from following reaction:
(referring to people such as Gauthier, Org.Lett., 2002,4,375-378.);
The CA registration number 545445-71-4 that can obtain from following reaction:
(referring to people such as Gauthier, Org.Lett., 2002,4,375-378.);
CA registration number 342601-17-6 (referring to WO2001038332); With CA registration number 106833-79-8 (referring to WO2002016355);
The general method for preparing ketone derivatives by organometallic reagent and the reaction of indoles Weinreb acid amides
Referring to people such as Boger, Journal ofMedicinal Chemistry 2005,48,1849-1856.Starting material(CA registration number 5998-89-0) can be by Dadkhah andPrijs 1962,45, the described method of 375-381 or use people such as Gauthier, and Org.Lett., 2002,4, the following reaction described in the 375-378 and obtaining:
Referring to people such as Boger, Journal of
Medicinal Chemistry 2005,48,1849-1856.For starting material
(CA registration number 5998-85-6) is referring to Dadkhah and Prijs 1962,45,375-381.
Starting material
(CA registration number 5998-92-5) derives from Florida Center forHeterocyclic Compounds (heterogeneous ring compound center, Florida) (Gainesville, FL, catalog number (Cat.No.) 1265).
Referring to people such as Gauthier, Org.Lett., 2002,4, people such as 375-378 and Boger,Journalof Medicinal Chemistry 2005,48,1849-1856.
Referring to people such as Gauthier, Org.Lett., 2002,4, people such as 375-378 and Boger,Journalof Medicmal Chemistry 2005,48,1849-1856.
Referring to people such as Gauthier, Org.Lett., 2002,4, people such as 375-378 and Boger,Journalof Medicinal Chemistry 2005,48,1849-1856.
Referring to people such as Gauthier, Org.Lett., 2002,4, people such as 375-378 and Boger,Journalof Medicinal Chemistry 2005,48,1849-1856.
For reagent
(CA registration number 95458-77-8), referring to people such as Haviv,
Journal ofMedicinal Chemistry 1988,31,1719-1728.For reagent
Referring to people such as Heldmann,
Tetrahedron Letters 1997,38,5791-5794.
Referring to people such as Hodgetts, Org.Lett., 2002,4,2905-2907.
Referring to people such as Hodgetts, Org.Lett., 2002,4,2905-2907.
Referring to people such as Hodgetts, Org.Lett., 2002,4,2905-2907.
Referring to people such as Hodgetts, Org.Lett., 2002,4,2905-2907.
Referring to people such as Hodgetts, Org.Lett., 2002,4,2905-2907.
Referring to people such as Hodgetts, Org.Lett., 2002,4,2905-2907.
Referring to people such as Hodgetts, Org.Lett., 2002,4,2905-2907.
Referring to people such as Hodgetts, Org.Lett., 2002,4,2905-2907.
Referring to people such as Hodgetts, Org.Lett., 2002,4,2905-2907.
Reagent
(CA registration number 10058-38-5) derives from MicroChemistryLtd. (Moscow, Russia, catalog number (Cat.No.) thiazole 750).
Be used for starting material
The preparation of (CA registration number 862500-42-3) is referring to WO2005075469.
Starting material
(CA registration number 248275-42-5) derives from AnichemLLC (Monmouth Junction, NJ, catalog number (Cat.No.) S10219).
Starting material
(CA registration number 216867-46-8) derives from AnichemLLC (Monmouth Junction, NJ, catalog number (Cat.No.) S10218).
Referring to people such as Hodgetts, Org.Lett.2002,4,1363-1365.Starting material(CA registration number 54045-74-8) derives from Combi-Blocks, and LLC (SanDiego, CA, HI-1117).
Referring to people such as Hodgetts, Org.Lett.2002,4,1363-1365.
Referring to people such as Hodgetts, Org.Lett.2002,4,1363-1365.
Referring to people such as Hodgetts, Org.Lett.2002,4,1363-1365.
Referring to people such as Hodgetts, Org.Lett.2002,4,1363-1365.
Referring to people such as Hodgetts, Org.Lett.2002,4,1363-1365.Starting material(CA registration number 7113-10-2) derives from SynChem Inc. (Des Plaines, IL, catalog number (Cat.No.) SC-22021).
Referring to people such as Hodgetts, Org.Lett.2002,4,1363-1365.Starting material
(CA registration number 170235-26-4) derives from SynChem Inc. (Des Plaines, IL, catalog number (Cat.No.) SC-21789).
Referring to people such as Hodgetts, Org.Lett.2002,4,1363-1365.
Referring to people such as Hodgetts, Org.Lett.2002,4,1363-1365.
Referring to people such as Hodgetts, Org.Lett.2002,4,1363-1365.
Referring to people such as Hodgetts, Org.Lett.2002,4,1363-1365.
Referring to people such as Hodgetts, Org.Lett.2002,4,1363-1365.
Referring to people such as Hodgetts, Org.Lett.2002,4,1363-1365.
Referring to people such as Hodgetts, Org.Lett.2002,4,1363-1365.
Organolithium(CA registration number 86149-24-8) can use as Subramanyam and Chang,Tetrahedron Letters 2002,43, and the following reaction described in the 6313-6315 is synthesized:
CA registration number 273-53-0 is commercially available getting (Alfa Aesar, Ward Hill, MA, catalog number (Cat.No.) A17489).
Grignard reagent
(CA registration number 126507-53-7) can use the method described in the WO2003087068 to prepare.Although show the organolithium derivative under most of examples, organolithium and grignard reagent all can preparation and uses in 5 schemes subsequently similarly.
Referring to people such as Boger, J.Med.Chem.2005,48,1849-1856.
Described in WO2003087068, prepare.
Referring to the people such as Boger that are used for general reaction scheme, J.Med.Chem.2005,48,1849-1856.
(CA registration number 273-56-3) can use Katner and Brown,
Journal ofHeterocyclic Chemistry 1990,27, the method described in the 563-536 and as above-mentioned prepared organolithium derivative or form derivative synthesize.
Referring to the people such as Boger that are used for general reaction scheme, J.Med.Chem.2005,48,1849-1856.
As people such as Heuser,
Tetrahedron Letters 2005,46 prepares described in the 9001-9004.
Referring to the people such as Boger that are used for general reaction scheme, J.Med.Chem.2005,48,1849-1856.
(CA registration number 273-62-1) as Takahashi and Koshiro, Chemical ﹠amp;
Pharmaceutical Bulletin 1959,7 prepares described in the 720-725, and the organolithium derivative
Prepare as above-mentioned.
Referring to the people such as Boger that are used for general reaction scheme, J.Med.Chem.2005,48,1849-1856.
For starting materialThe more information of (CA registration number 4747-46-0) is referring to people such as Tabak, andTetrahedron 1966,22,2703-2710.
For starting material
The more information of (CA registration number 154012-24-5) is referring to Holzer and Seiringer, Journal of Heterocyclic Chemistry 1993,30,865-872.
Starting material
(CA registration number 42166-50-7) derives from Beta Pharma, Inc. (New Haven, CT, catalog number (Cat.No.) 23097).
Starting material
(CA registration number 20815-52-5) derives from Prime Organics, Inc. (Lowell, MA, catalog number (Cat.No.) POI-58-21).
Starting material
(CA registration number 22930-71-8) derives from Chemstep (CarbonBlanc, France, catalog number (Cat.No.) 19541).
For starting material
The more information of (CA registration number 40972-16-5) is referring to Pinza and Pifferi, and Farmaco 1994,49,683-692.
For starting materialThe more information of (CA registration number 154012-27-8) is referring to Holzer and Seiringer, Journal of Heterocyclic Chemistry 1993,30,865-872.
Starting material
(CA registration number 7504-94-1) derives from Scientific Exchange, Inc. (Center Ossipee, NH, catalog number (Cat.No.) M-278979).
For starting material
The more information of (CA registration number 103394-79-2) is referring to Schuler and Wyss, E.Archives Internationales de Pharmacodynamie et deTherapie 1960,128,431-468.
For starting material
The more information of (CA registration number 885-94-9) is referring to Holzer and Seiringer, Journal of Heterocyclic Chemistry 1993,30,865-872.
For starting material
The more information of (CA registration number 171193-35-4) is referring to Holzer and Schmid, Journal of
Heterocyclic Chemistry 1995,32,1341-1349.
For starting material
The more information of (CA registration n 741717-60-2) is referring to people such as Antilla, Journal of
Organic Chemistry 2004,69,5578-5587.
Starting material
Can synthesize by following reaction:
More information is referring to people such as Antilla, Journal of
Organic Chemistry 2004,69,5578-5587.
Starting material
Can synthesize by following reaction:
More information is referring to people such as Schuler, Archives Internationales e Pharmacodynamieet de Therapie 1960,128,431-468.
Starting material can be synthesized by following method:
More information is referring to people such as Antilla, Journal ofOrganic Chemistry 2004,69,5578-5587.
Starting material can be synthesized by following method:
More information is referring to people such as Antilla, Journal ofOrganic Chemistry 2004,69,5578-5587.
Starting material can be synthesized by following method:
More information is referring to people such as Antilla, Journal ofOrganic Chemistry 2004,69,5578-5587.
Starting material can be synthesized by following method:
For starting material
The more information of (CA registration number 2055-52-9) is referring to people such as Huisgen,
Chemische Berichte 1965,98, people such as 4014-4021 and Fulloon, Journal of
Organic Chemistry 1996,61,1363-1368.
For starting material
The more information of (CA registration number 23947-14-0) is referring to people such as Huisgen,
Tetrahedron Letters 1969,30,2589-2594.
Starting material can be synthesized by following method:
About the more information of CA registration number 10296-29-4 referring to people such as Dyall, AustralianJournal of Chemistry 1996,49,761-765.
Referring to L ' abbe and Beenaerts, Tetrahedron 1989,45,749-756.Reaction obtained below starting material can use:
Referring to people such as Huisgen,Tetrahedron Letters 1969,30,2589-2594.
Reaction can be used for obtaining starting material below:
About starting material
The information of (CA registration number 512777-87-6) is referring to people such as Japelj, Journal of
Heterocyclic Chemistry 2005,42,1167-1173.
Referring to people such as Huisgen,Tetrahedron Letters 1969,30,2589-2594.
Starting material can be obtained by following reaction:
Be used for preparation and contain 1,2, the general method of the ketone derivatives of 4-oxadiazole:
In this scheme, HATU is O-(7-azepine benzo triazol-1-yl)-N, N, and N ' N '-tetramethyl-urea phosphofluoric acid ester (CA registration number 148893-10-1), TMSCN is Me3SiCN (7677-24-9) and Dess-Martin are oxygenant (CA registration number 87413-09-0).Also referring to people such as Lee, Biorg.Med.Chem.Lett.2006,16,4036-4040.
Other useful synthesis methods see people such as Nazare, Angew.Chem.Int.Ed.2004,43,4526-4528 and patent application WO9303022 (comprising the synthesis method described in the embodiment 1-428).
Marker
Should think that compound of the present invention can be existed by the different isotropic substance alternate forms of same atom with a kind of isotropic substance of specific atoms.For example, " hydrogen " can be1H,2H or3H; " carbon " can be12C,13C or14C; " nitrogen " can be14N or15N; " oxygen " can be16O,17O or18O; And analogue.Should think that compound of the present invention can exist with radiolabeled form, promptly described compound can comprise to contain and is different from nucleidic mass or the nucleidic mass of total mass number or the one or more atoms of usually finding at occurring in nature of total mass number.The radio isotope of hydrogen, carbon, phosphorus, fluorine, iodine and chlorine comprises respectively3H,14C,35S,18F,32P,33P,125I and36Cl.Other radioisotopic compounds that comprise these radio isotope and/or other atoms within the scope of the invention.The tritiate that especially preferably is easy to prepare and detects promptly3H and carbon-14 are promptly14The C radio isotope.Radiolabeled compound as herein described and prodrug thereof can prepare according to the well-known method of those skilled in the art usually.Easily, these radiolabeled compounds can disclosed process prepares in embodiment and the schema to carry out by the reagent with facile radiolabeled reagent replacement nonradioactive labeling.
These markers can be primary label thing (primary label) (wherein this marker comprises the element that can directly detect) or secondary labels thing (wherein the marker that is detected combines with the primary label thing, as commonly used in immune labeled).Being presented in the following books of the detection of marker, mark program and marker found:Introduction to Immunocytochemistry (immunocytochemistry is crossed the threshold), (second edition) Polak and Van Noorden, Springer Verlag, N.Y. (1997) andHandbook ofFluorescent Probes and Research Chemicals (handbook of fluorescent probe and research chemical), Haugland (1996)-by Molecular Probes, Inc., Eugene, associating handbook and catalogue that Oreg publishes.Primary label thing and secondary labels thing can comprise undetected element and the element that detected.Primary label thing and secondary labels useful among the present invention can comprise spectroscopic tags (spectral label), and described spectroscopic tags comprises fluorescent marker such as fluorescence dye (for example fluorescein and derivative such as fluorescein isothiocyanate (FITC) and Oregon GreenTM, rhodamine and derivative (for example texas Red (Texas red), tetramethyl rhodamine isothiocyanate (TRITC) or the like), digoxin, vitamin H, phycoerythrin, AMCA, CyDyesTMAnd analogue), radioactively labelled substance (comprising those above-mentioned markers), enzyme (for example horseradish peroxidase, alkaline phosphatase or the like), spectrum color scale designation thing such as Radioactive colloidal gold or tinted shade or plastics (for example polystyrene, polypropylene, latex or the like) pearl.Marker can be according to method well-known in the art and the direct or indirect coupling of compound as herein described.As implied above, according to required susceptibility, with compound conjugated easiness, stability requirement, available instrument and equipment with handle under regulation (disposal provision) selectable marker, can use many kinds of markers.Generally speaking, the interactional detector of monitoring protein/inhibitor is applicable to used particular marker.Typical detector comprise spectrophotometer, phototube and photorectifier, microscope, scintillometer, photographic camera, film and analogue, with and combination.The example of the detector that is fit to obtains from multiple commercial source known to the skilled widely.
The limiting examples of marker comprises utilizes those following markers: 1) chemoluminescence (using the substrate of horseradish peroxidase or alkaline phosphate ester and generation photon such as degradation production) and derive from for example Molecular Probes, Amersham, the test kit of Boehringer-Mannheim and LifeTechnologies/Gibco BRL; 2) color generates (using horseradish peroxidase or alkaline phosphate ester and the coloured sedimentary substrate of generation) (deriving from the test kit of Life Technologies/Gibco BRL and Boehringer-Mannheim); 3) fluorescence (for example using Cy-5 (Amersham), fluorescein and other fluorescent marks); With 4) radioactivity.The additive method that is used for mark and detection will be very tangible for a person skilled in the art.
In one embodiment, marker is a fluorescent marker.Fluorescent marker has to need still less to guard against (precaution) and is suitable for the high-throughput visualization technique advantage of (optical analysis comprises being used for the image digitazation analyzed at the integrated system that comprises computer) in processing.Usually, preferred marker feature is following one or more: hypersensitivity, high stability, low background, low environment susceptibility and to the high specific of mark.The fluorescence part of incorporating marker of the present invention into is normally known, described fluorescence partly comprises texas Red, digoxin, vitamin H, 1-amino naphthalenes and 2-amino naphthalenes, p, p '-diamino Stilbene class, the pyrene class, the phenanthridines quaternary salt, 9-aminoacridine, p, p '-diaminobenzene ketone imines, anthracene, oxa-carbon cyanines, part cyanines (merocyanine), the amino equilenin of 3-, perylene, 2-benzoxazoles, 2-Dui oxazolyl benzene, 1, the 2-phenonaphthazine, Vogan-Neu, two-3-aminopyridine salt, hellebrigenin, tsiklomitsin, sterophenol, benzimidazolyl-aniline, 2-oxo-3-chromene, indoles, xanthene (xanthen), umbelliferone phenoxazine, Whitfield's ointment (calicylate), ouabagenin, the porphyrin class, triarylmethane, flavine and a lot of other.A lot of fluorescent marks can be commercial from SIGMA Chemical Company (St Louis, MO), Molecular Probes, R﹠amp; Dsystems (Minneapolis, MN), Pharmacia LKB Biotechnology (Piscataway, N.J.), CLONTECH Laboratories, Inc. (Palo Alto, CA), Chem Genes Corp., Aldrich Chemical Company (Milwaukee, WI), Glen Research, Inc., GIBCOBRL Life Technologies, Inc. (Gaithersberg, MD), Fluka ChemicaBiochemikaAnalytika (Fluka Chemie AG, Buchs, Switzerland) and AppliedBiosystems (Foster City, CA), and a lot of other commercial source known to the skilled obtain.
Described marker can pass through tethers base (tether group) and compound covalent attachment as herein described.Described tethers base can be can with compound and the covalently bound any part of marker.Preferred group be replace or unsubstituted 1 to 10 carbon atom, more preferably 1 alkenyl to 4 carbon atoms, alkylene group or alkynylene.Particularly preferred group is unsubstituted alkynylene.
Be used to estimate external and method activity in vivo
The mensuration that COX is relevant
COX-1 and COX-2 suppress: the enzymatic determination of purifying
The external COX-1 of compound as herein described and COX-2 suppress activity can be used and derive from Cayman Chemical (Ann Arbor, detection kit MI) is measured.Because COX-1 and COX-2 make arachidonic acid change into PGH2(PGH2), so people can be by measuring test compounds to PGH in the existence of the COX-1 of purifying enzyme with in the presence of the COX-2 of purifying enzyme2The influence that generates comes the COX of evaluation test compound to suppress active.In this mensuration, PGH2Generation can be by using SnCl2With PGH2Be reduced into prostaglandin F2 α(PGF2 α), use to be fit to antibody by enzyme immunoassay (EIA) detection PGF then2 αMeasure.Fig. 1, Fig. 3, Fig. 5 and Fig. 6 provide the activity data of some compound of the inhibition of the enzymatic determination test COX-1 that uses COX-1 and COX-2 purifying and COX-2.
COX-1 and COX-2 suppress: people's whole blood assay
People's whole blood assay also can be used for measuring the inhibition activity of every kind of compound to COX-1 and COX-2.Briefly, people's whole blood is taken from the 3-6 position healthy volunteer who does not accept NSAIDS 2 weeks in the past.In order to measure the COX-1 activity in the whole blood, as people such as Berg (1999Inflamm.Res.48,369-379) described, the test compounds in 100 μ l whole bloods and the vehicle (vehicle) or separately 2 μ l sample aliquot of vehicle mixes, and hatched 1 hour down at 37 ℃.By under 4 ℃ with 12,000g made serum separate from sample in centrifugal 5 minutes to use then ELISA method (for example Cayman EIA test kit, catalog number (Cat.No.) 519031) to measure thromboxane B2 (TXB2) level.In order to measure the COX-2 activity in the whole blood, as described in people such as Berg (the same), the heparinization whole blood of 100 μ l mixes with the 1 μ l sample aliquot of 10mg/mL LPS (lipopolysaccharides) and 2 μ l sample aliquot of test compounds in the vehicle or independent vehicle, and hatches 24 hours down at 37 ℃.By under 4 ℃ with 12,000g made serum separate from sample in centrifugal 5 minutes to use then ELISA method (for example Cayman EIA test kit, catalog number (Cat.No.) 514010) to measure prostaglandin E2 (PGE2).Fig. 3 and Fig. 6 provide the activity data of some compound of the inhibition of using COX-1 and COX-2 people's whole blood assay test COX-1 and COX-2.
In COX-1 and COX-2 measure, 1-(4-chlorobenzene formacyl)-5-methoxyl group-2-Methyl-1H-indole-3-yl] acetate (indomethacin) is that non-selective Cox inhibitor is with comparing.The Cox-2 selective depressant is 4-[5-(4-aminomethyl phenyl)-3-(trifluoromethyl)-1H-pyrazol-1-yl] benzsulfamide (former times is examined in match), 4-(5-methyl-3-phenyl-isoxazole azoles-4-yl) benzsulfamide (valdecoxib) and 4-[4-(methylsulfonyl) phenyl]-3-benzofurane-2 (5H)-ketone (rofecoxib) is also with comparing.
The mensuration that FAAH is relevant
FAAH suppresses: full raji cell assay Raji of people and rat and human brain homogenate are measured
Compound suppresses the ability of FAAH and can measure in the full cell of people as herein described and people and rodent class brain homogenate thing.
The preparation of FAAH rat meninx (RBM) homogenate
With isoflurane with adult rat (Charles River CD strain, female, 200g) anesthesia and respectively quick sacrificed by decapitation.Each brain is shifted out fast, and in freezing in pipe (3 brains of every pipe) on ice.Will about 25mL " homogenization damping fluid " (20mM HEPES damping fluid, pH 7.0, contain 1mMMgCl2) add to 15g to 20g brain.Use Omni GLH refiner (Omni International, Marietta, Georgia), with brain homogenization on ice 1 minute.Homogenate is transferred to three centrifuge tubes, and under 4 ℃ with 36, centrifugal 20 minutes of 500g.Abandoning supernatant, and with every kind of throw out (pellet) resuspending in 25mL " homogenization damping fluid ".With the material recentrifuge of resuspending (36,500g, following 20 minutes) at 4 ℃.By resuspending in 10mL " homogenization damping fluid " throw out is merged, and in 37 ℃ of water-baths, hatched 15 minutes.Then pipe is placed on 5 minutes on ice, subsequently under 4 ℃ with 36, centrifugal 20 minutes of 500g.Abandoning supernatant, (50mM Tris-HCl damping fluid, pH 7.4, contain 1mM EDTA and 3mM MgCl at 40mL " resuspending damping fluid " with the film throw out then2) middle resuspending.Carry out the Bradford protein determination to determine protein concentration.Described albumen five equilibrium is put into screw cap freeze pipe (every pipe comprises~400 μ L), quick freezing under liquid nitrogen, and under-80 ℃, preserve up to being used for mensuration.Similarly experimental program can be used for obtaining the meninx homogenate from mouse.
The preparation of FAAH people's meninx (HBM) homogenate
Obtain about 10g refrigerated normal brain cortex tissue (for example from Analytical BiologicalServices (ABS), Inc. (Wilmington, DE)).Cerebral tissue thawed and be transferred on ice big ceramic mortar.(20mM HEPES damping fluid, pH 7.0, contain 1mM MgCl for " the homogenization damping fluid " that 50mL is ice-cold2) add to mortar, and with described tissue pestle homogenization.With homogenate under 4 ℃ with 36, centrifugal 20 minutes of 500g.Abandoning supernatant, and with throw out resuspending in " homogenization damping fluid ", centrifugal as described above then.Abandoning supernatant with throw out resuspending in 30mL " homogenization damping fluid ", and was hatched 20 minutes in 37 ℃ of water-baths once more.Then that homogenate is centrifugal as described above.Abandoning supernatant, and with the film throw out (the 50mMTris-HCl damping fluid, pH 7.4, contain 1mM EDTA and 3mM MgCl at 30mL " resuspending damping fluid "2) middle resuspending.Carry out the Bradford protein determination to determine protein concentration.Described albumen five equilibrium is put into screw cap freeze pipe (every pipe comprises~200 μ L), quick freezing under liquid nitrogen, and under-80 ℃, preserve up to being used for mensuration.
The preparation of FAAH human cancer cell film (HCM) homogenate
(ATCC Number HTB-22, Manassas VA) obtain people's mammary epithelial cell cancer MCF7 cell, and basically as cultivation as described in the ATCC from American Type Culture Collection (U.S. typical case culture collection institute).Briefly, with cell at foetal calf serum that is supplemented with 4mM L-glutamine, 10% final volume (ATCC catalog number (Cat.No.) 30-2020) and 0.1mg/mL biosynthetic human insulin (Sigma, St.Louis, and the minimum necessary substratum of Eagle MO) (Eagle ' s Minimum EssentialMedium) (ATCC catalog number (Cat.No.) 30-2003) middle growth.These cells are grown in 5% carbonic acid gas of air.When cell reaches~during 80% degrees of fusion (confluency), with Hanks balanced salt solution (ATCC catalog number (Cat.No.) 30-2213) rinsing adherent cell, it is swiped to suspension, and at room temperature by centrifugal collection the in medical centrifuge.Then by resuspending, centrifugal subsequently in the Hanks balanced salt solution, washed cell throw out.With cell precipitation thing quick freezing and storage under-80 ℃ in dry ice and ethanol bath.The cell precipitation thing is thawed and add 25mL homogenization damping fluid.It is described as above to regard to the rat cerebral even slurry thing then, the film homogenate of preparation MCF7 cell.Carry out the Bradford protein determination to determine protein concentration.Described albumen five equilibrium is put into screw cap freeze pipe (every pipe comprises~200 μ L), quick freezing under liquid nitrogen, and under-80 ℃, preserve up to being used for mensuration.
The active mensuration of FAAH
Use the improvement of people's (1997J.Pharmacol Exp Ther 283:729) such as people (1995 Life Sci 56:1999) such as Omeir and Fowler method, mensuration FAAH activity in homogenate (rat brain, human brain or people's mammary epithelial cell cancer MCF cell) separately.In order to measure the FAAH in the rat meninx homogenate (RBM), with RBM homogenate (7 μ g protein among the 10mM Tris pH 6.5 of 20 μ l final volume) in the existence of test compounds and under lacking (vehicle is that final concentration is 1% DMSO) mix with the following mixture of 180 μ l: the unlabelled arachidonic acid thanomin of 2.0 μ M, radiolabeled arachidonic acid thanomin [the thanomin 1-of 0.03 μ Ci3H] (40-60Ci/mmol, production number ART-626, American Radiolabelled Chemicals, St.Louis, MO), 1mg/mL bovine serum albumin (BSA of fatty acids not, electrophoresis level, Sigma, St.Louis, MO), 10mM Tris-HCl (pH 6.5) and 1mM EDTA, and 37 ℃ of hatchings 10 minutes down.Sample is placed on ice with end reaction.Use chloroform/methanol extraction or (2) by making reaction mixture by (1) by containing the glass fibre filter of gac, will3H-thanomin product and unreacted3H-arachidonic acid thanomin substrate separates.By add the 0.4mL chloroform/methanol (1: 1v/v) and violent biased sample, then by centrifugation water and organic phase, extract sample with chloroform/methanol.The radioactivity of finding in the aliquots containig (0.2mL) of water is (catalytic according to FAAH3The fracture of H-arachidonic acid thanomin) measures by the liquid scintillation counting(LSC) that has quench correction.As by as described in the people such as Jonsson (2001 Br J Pharmacol 133:1263), measure IC50Value.Optionally, use improvement, purification reaction by the described Solid-Phase Extraction method of people such as Wilson (2003Anal Biochem 318:270).This method can be done following improvement: will be reflected at 37 ℃ of down hatchings 10 minutes and after freezing, by adding 10 μ l sodium radio-phosphate,P-32 solutions [0.5M (pH 2.0)] with the reaction mixture acidifying on ice.As described in former by people such as Wilson (the same), the acidified reaction mixture of 90 μ l aliquots containigs is applied to the gac that comprises 80 μ l water on glass fibre filter top (as described in people such as Wilson (the same), used methanol wash before it), and the radioactivity of counting elutriant.Fig. 3, Fig. 5 and Fig. 9 a, 9b, 9c and 9d provide the activity data of some compound of the inhibition of using FAAH rat and human brain homogenate to measure test FAAH.Known FAAH inhibitor is cyclohexyl carboxylamine 3 '-(aminocarboxyl) biphenyl-3-base ester (URB597), [1-(4-chlorobenzene formacyl)-5-methoxyl group-2-Methyl-1H-indole-3-yl] acetate (indomethacin) and 5-benzoyl-2,3-dihydro-1H-pyrroles's piperazine-1-carboxylic acid (pain is coughed up acid) in these mensuration with comparing.
Full cell arachidonic acid thanomin hydrolysis is measured
Can use previously disclosed method people such as (, people such as 1998 J Biol Chem 273:32332 and Bisogno, 1997 J Biol Chem 272:3315) Maccarone, in full cell, measure the FAAH activity.Except the described clones of philtrum such as people such as Maccarone and Bisogno, MCF7 (ATCC title HTB-22) and T84 (ATCC title CCL-248) clone can be used for these mensuration.
The survey of endogenous in rat plasma and the cerebral tissue and exogenous arachidonic acid thanomin levelFixed
Test compounds can be measured to the influence of endogenous and exogenous arachidonic acid thanomin (AEA) level of taking.Put to death with the cyclical level of measuring the arachidonic acid thanomin and the level in cerebral tissue the name a person for a particular job rat of taking test compounds of different time.Experiment for the exogenous level of measuring the arachidonic acid thanomin, after taking test compounds, take arachidonic acid thanomin (Cayman Chemical, Ann Arbor, MI or Sigma Chemical, St.Louis, MO) (scope is 3-30mg/kg).Use back 5,15,30 or 60 minutes with sacrifice of animal at the arachidonic acid thanomin, and the animal sacrificed by decapitation that anesthesia is used.Shift out brain immediately, and reclaim blood plasma from the blood that is used for analyzing arachidonic acid thanomin level.
At first with full brain (for example from rat or the mouse) sample transfer of quick freezing to clean 50-mL tapered tube, and the wet brain weight of record.With 9: 1 ethyl acetate of 15mL: hexane and 40ng deuterate arachidonic acid thanomin (d8AEA) add in the brain sample.With Omni GLH refiner sample homogenizationization is become uniform slurries until solution then, just before finishing, add 5.0mL water.Finish and to guarantee behind the homogenization and be held on ice.Then with freeze pipe vortex and under 4 ℃ centrifugal 10 minutes with 3500rpm.With the 1mL water layer as the sample that is used for the Bradford protein content determination (Bradford, M.M.Anal.Biochem.1976,72:248).Ethyl acetate layer is reclaimed, be placed in the 15-mL Glass tubing, and in TurboVac, under nitrogen, evaporate.In case dry, just with sample at 1: 3 (v/v) CHCl of 1mL3: rebuild and vortex in the methyl alcohol.Brain sample transfer to 96 orifice plate for preparing is used for LC/MS/MS to be analyzed.
In methyl alcohol, prepare 0.0,0.50,1.0,5.0,10.0,50.0,100,500 and 1000ng/mL operating level liquid.0.5mg Pefabloc, 10 μ L operating level liquid are added to 90 μ L deposit rat plasma and vortex, and preparation is used for the reference liquid of LC/MS/MS.
The frozen plasma sample that will contain pefabloc thaws, and with 100 each sample transfer of μ L to Eppendorf tube.20ng d8AEA and the ice-cold acetone (being used for protein precipitation) of 100 μ L are added to each standard pipe and sample hose.Vortex tube, and with 13, centrifugal at least 5 minutes of 000rpm.Supernatant liquor is collected in little luxuriant core barrel and with acetone in TurboVac, evaporated 5-10 minute.Use 250 μ L1 then: 2 (v/v) methyl alcohol: CHCl3The supernatant soln that extracting, evaporating is crossed and with 13, centrifugal at least 5 minutes of 000rpm.Collect CHCl3The layer and under nitrogen (TurboVac) be evaporated to dried.Then with standard and sample at 1: 3 (v/v) CHCl of 200 μ L3: rebuild in the methyl alcohol.Prepared standard and plasma sample are transferred to 96 orifice plates, are used for LC/MS/MS and analyze.Can use the human plasma of taking or do not take test compounds and exogenous arachidonic acid thanomin similarly to test.
The LC/MS/MS method is used Waters 2777 sample managing systems, 1525 binary pump and Quattro micro mass spectrograph.Be separated in the Waters Xterra MS C8 with Thermo Electron Javelin Basic 8,2 * 10mm guard column, 5 μ m, 2.1 * 20mm analyze on the LC post and carry out with 0.30mL/ minute flow velocity and 25-μ L volume injected.(80: 20 acetonitriles: methyl alcohol), from 2.0 to 2.2 minutes, from 25%B to 90%B, every sample injection total run time was 6.0 minutes for the mobile phase A (the 10mM ammonium acetate in the water (pH 9.5)) of use binary linearity gradient and Mobile phase B.AEA and d8-AEA come out at~3.5 minutes wash-outs.Quattro micro sprays and operates in ionized multiple reaction monitoring (MRM) pattern having negative ion electrospray.The quality of using the optimizing collision that (experimentally measuring) monitoring 348m/z-62m/z (AEA) and 356m/z-62m/z (d8-AEA) are set changes.Use MicromassQuanLynx software analysis data, and use interior mark (d8-AEA) peak area and the ratio of the AEA peak area of response AEA concentration to produce typical curve.Use the linear regression calculating brain of typical curve and the AEA concentration in the plasma sample.AEA concentration in the blood plasma is reported into ng AEA/mL blood plasma, and the AEA concentration in the brain is reported into ng AEA/g protein (measuring the protein content of determining by Bradford).
Based on arachidonic acyl group 7-amino, the FAAH activity of 4-methylcoumarin acid amides (AAMCA)Measure
Basically use people such as Ramarao, mensuration described in the 2005 Anal Biochem.343:143-151, measure some compound as herein described and suppress FAAH catalytic hydrolysis AAMCA (fluorogenic substrate) to produce arachidonic acid and high fluorescence 7-amino, the ability of the ability of 4-methylcoumarin (AMC).Fig. 9 a provides the activity data of some compound of test in AAMCA measures.
In mouse blood and the cerebral tissue exogenous [3H] mensuration of arachidonic acid thanomin level
Test compounds to exogenous taking [3H] influence of arachidonic acid thanomin (comprising its metabolite) level and location (localization) can be as people such as Glaser, and 2005J Pharmacol Exp Ther.Nov8; Measure described in 2005.
The measurement of rectal temperature in mouse and the rat
Be presented at mouse and rat used after, comprise thatdirect effect cannaboid 1 type (CB1) receptor stimulant of Endocannabinoids arachidonic acid thanomin produces the quick decline (low temperature) of body temperature.For example described in people such as Smith (1994) the Pharmacol Exp Ther.270:219-27, test compounds can be tested by estimating this mensuration of ability that their strengthen the cryogenic effect of the arachidonic acid thanomin that intravenously (IV) takes.Briefly, mouse or rat can be used the test compounds of vehicle or various dosage.Then, behind the pretreatment time that is fit to, body nucleome temperature can use the temperature probe of the suitable size that is inserted into anus and rectum to measure and record.In case the record datum temperature then can make mouse or rat use the Endocannabinoids arachidonic acid thanomin of IV dosage.Subsequently, at the different time point measurement and write down body nucleome temperature near body nucleome temperature turns back to baseline or baseline.
The mensuration that MAGL is relevant
Use people such as Ghafouri, the mensuration described in the 2004 Br J Pharmacol 143:774-84, but test compounds is regulated (for example suppressing) the active ability of MAGL.Briefly, the cerebellum that obtains from the Sprague-Dawley rat that grows up is before thawed, and under 41 ℃ in the sodium phosphate buffer that contains 0.32M sucrose (50mM, pH 8) homogenization.With homogenate under 41 ℃ with 100, centrifugal 60 minutes of 000g.Collect supernatant liquor (' cytosol part (cytosol fraction) ') and throw out is suspended in the sodium phosphate buffer (50mM, pH 8) (' membrane portions ').Sample is measured up to being used for-70 ℃ of following refrigerated storages with aliquots containig.Protein concn is measured by the described method of people such as Ghafouri by using.Described mensuration also can use rat or people's meninx homogenate to carry out, and the preparation of described homogenate is described herein.As by people such as Dinh (2002) Proc.Natl.Acad.Sci.U.S.A., 99,10819-10824 is described, measures3H-2-AG or3The hydrolysis rate of H-2-oleoyl glycerine (2-OG, the shorter homologue of 2-AG).Briefly, membrane portions or cytosol part is diluted to suitable mensuration protein concentration containing in the tris-HCl damping fluid of 1mM EDTA (10mM, pH 7.2), except as otherwise noted.In the existence of 10ml test compounds or under lacking or have only under the vehicle, (165ml) adds in the Glass tubing with aliquots containig then.Blank comprises the mensuration damping fluid, rather than homogenate solution.Add then substrate (25ml, final concentration 2mM, except as otherwise noted), and with sample 37 ℃ of down hatchings 10 minutes.By adding 400 μ l chloroforms: methyl alcohol (1/1v/v-1), twice of the described pipe of vortex mixed and place them on ice stopped reaction.Then by centrifugal (10 minutes, 2500rpm) will be separated.Get the aliquots containig (200ml) of methyl alcohol/buffering liquid phase and by having the liquid scintillation spectrometry measurement of tritium content of quench correction.Optionally, test compounds is regulated (for example suppressing) active ability of MAGL can use people such as Saario, and the mensuration described in the 2004 Biochem Pharmacol 67:1381-7 is determined.Test is as being prepared at rat described herein or people's meninx homogenate by the described rat cerebellum membrane product of people such as Saario or its.Briefly, with containing 10mg membranin/film homogenate goods, 44mM tris-HCl (pH 7.4), 0.9mM EDTA, 0.5%BSA and as preincubation (the preincubation) (80mL of 1.25% (v/v) DMSO of test compounds solvent, following 30 minutes at 25 ℃), experimentize.Just before experiment, pre-incubated film is remained under 0 ℃.By adding the pre-incubated film cocktail of 40 μ L, obtaining 400 μ L final volume, begin hatching (following 90 minutes) at 25 ℃.Described final volume comprises 5mg membranin/film homogenate goods, 54mM Tris-HCl (pH 7.4), 1.1mM EDTA, 100mM NaCl, 5mMMgCl2, 1mM DTT, 0.5%BSA and 50mM substrate (2-AG, 1 (3)-AG or noladinether (the 2-AG analogue that is connected ether)).Time point at 0 and 90 minute; 100 μ L samples are shifted out from hatching; add acetonitrile (200 μ L) to stop enzyme reaction; and the pH of sample is reduced to 3.0 so that make 2-AG stable simultaneously with (adding in the acetonitrile) phosphoric acid, prevents that 2-AG from may chemical acyl group shift reaction become 1 (3)-AG after hatching.At HPLC analytically before the clear liquid, with sample at room temperature with 23, centrifugal 4 minutes of 700g.Specific enzymes activity to 2-AG or 1 (3)-AG is measured as described.Optionally, can use by the improvement of the described Solid-Phase Extraction method of people such as Wilson (2003Anal Biochem 318:270), measure terminated reaction from people's experimental programs such as people such as Ghafouri or Saario by purifying.As by as described in before the people such as Wilson, the terminated reaction mixture of 90 μ l is applied to the gac that comprises 80 μ l water (as by as described in the people such as Wilson, having used methanol wash before it) on glass fibre filter top.Hydrolysate is passed through in the active inhibition of MAGL3The formation of H-glycerine is measured.
The mensuration that CRTH2 is relevant
The CRTH2 agonist is measured
The CRTH2 agonist increases the expression of CD11b on eosinophilic granulocyte.Neutrophilic granulocyte is not expressed CRTH2.Yet they express the acceptor to other lipid regulating agents really, and it comprises 5-oxo-6,8,11,14-eicosatetraenoic acid (5-oxo-ETE), leukotriene B4 (LTB4) and platelet activation factor (PAF).Therefore, any CD11b that increases by neutrophilic granulocyte expresses and might be caused by the activity of CRTH2 rather than the activation of CRTH2.Therefore, preferred CRTH2 agonist compound has increased the expression of CD11b on eosinophilic granulocyte, but is not increased in the expression on the neutrophilic granulocyte.
Basically use (J Pharmacol Exp Ther 304:349-55 by people such as Monneret, 2003) described method, use CD11b express and measure, test the potential CRTH2 agonist activity of some compound, and the result of this analysis is presented among Fig. 2 a, Fig. 3 and Fig. 7, has wherein reported one or more result of experiment.
Briefly, at room temperature 0.9mM CaCl will contained2With 0.5mM MgCl2PBS in polymorphonuclear cell (0.5ml; 106/ ml cell) with test compounds hatching 10 minutes.Described hatching is by adding ice-cold FACSFlow (BD Biosciences; Cat#342003) and centrifugal (400g, following 5 minutes) and stop at 4 ℃.Then under 4 ℃ with mouse anti human VLA-4 (the 5 μ l of cell and PE mark; BD Biosciences) and the mouse anti human CD11b of FITC mark (10 μ l; Beckman Coulter) mixture hatching 30 minutes.Then with cell and Optilyse C (0.25ml; Beckman Coulter) hatching is 15 minutes, and is centrifugal, is fixed on the PBS (0.4ml that contains 1% formaldehyde then; No calcium and magnesium) in.The distribution of fluorescence intensity in 60,000 cells measured by flow cytometry.Eosinophilic granulocyte is exported according to their granularity (high lateral scattering) with the mark of VLA-4 (PE fluorescence).CD11b is according to measuring in the eosinophilic granulocyte zone owing to the fluorescence of FITC then.All data are made correction for the value that corresponding isotropic substance control antibodies is obtained.
The result who is presented among Fig. 2 a and Fig. 7 reports than by positive control 15R-methyl PGD2((5E, 9 α, 13E, 15R)-9,15-dihydroxyl-15-methyl isophthalic acid 1-oxo Prostato-5,13-diene-1-acid ((5E, 9 α, 13E, 15R)-9,15-dihydroxy-15-methyl-11-oxoprosta-5, the 13-dien-1-oicacid)) CD11b of the peak response that the produces per-cent of expressing.In measuring, this is considered to the CRTH2 agonist greater than the active compound of 30%CD11b.Fig. 3 and Fig. 7 provide the EC that uses this CRTH2 to measure some compound of being tested50Data.
In order to confirm that the activation that CD11b expresses by CRTH2 causes, carries out some contrast.Therefore, test of the influence of described compound to the expression of CD11b in neutrophilic granulocyte.If described compound has increased the expression of CD11b in neutrophilic granulocyte, the mobilization in eosinophilic granulocyte (mobilization) may be caused by the activity of CRTH2 acceptor rather than the activation of CRTH2 acceptor so.In all cases, only observing the CD11b that has tested in eosinophilic granulocyte expresses.
The CRTH2 antagonist is measured
Except cell is being used agonist 15R-methyl-PGD2Excite before them beyond the compound preincubation with different concns, above using basically agonist is measured described method, the described compound of use test passes through 15-R-methyl-PGD2Block the mensuration of the ability of the expression of CD11b in eosinophilic granulocyte, test the potential CRTH2 antagonistic activity of some compound.The result of this analysis is presented among Fig. 2 b.By adding 15-methyl-PGD subsequently2, the CRTH2 antagonist should be blocked CD11b and express.The result who is presented among Fig. 2 b reports methyl-PGD by 15R-2The inhibition per-cent of the peak response that produces.Ramatroban (3-((3R)-3-{[(4-fluorophenyl) alkylsulfonyl] amino }-1; 2; 3; 4-tetrahydrochysene-9H-carbazole-9-yl) propionic acid) and [1-(1,3-benzothiazole-2-ylmethyl)-5-fluoro-2-Methyl-1H-indole-3-yl] two kinds of known CRTH2 antagonists of acetate in this measures, be used as positive control.In this measures, have 85% or the compound of higher inhibition be considered to the CRTH2 antagonist.This mensuration also can be carried out in the presence of human plasma, and described human plasma is added to 10% final concentration in the hatching of beginning and PBS damping fluid.Fig. 3 and Fig. 7 provide the IC of the active % inhibition of the CRTH2 that uses this mensuration and some compound50Data.
Optionally, the CRTH2 antagonistic activity can be measured by the following calcium mobilization who carries out who is changed by the described experimental program of people such as Monneret (J PharmacolExp Ther 304:349-55,2003) to determine.Briefly, under 23 ℃, white corpuscle (107Cell/ml) at PluronicF-127 (0.02%; Molecular Probes) acetoxy-methyl ester (the 2 μ M of fluo-3 are used in existence down; Molecular Probes, Eugene Oregon) handled 60 minutes.Mixture with centrifugal 10 minutes of 200x g and throw out in PBS resuspending to obtain 5 * 106The concentration of cell/ml.Under 0 ℃, white corpuscle mouse anti human CD16 (the 3.3 μ l/10 of PC5 mark6Cell; Beckman-Coulter) handled 30 minutes.Add PBS (25ml), as above-mentioned centrifugal mixture, and throw out in PBS resuspending to obtain 3 * 106The concentration of white corpuscle/ml.After 30 minutes, shift out the sample aliquot (0.95ml) of white corpuscle suspension in hatching under 23 ℃, and with containing Ca++(36mM) and Mg++PBS (20mM) (50 μ l) handles.After 5 minutes, cell uses FACS Calibur instrument, and (Becton-Dickinson, San Jose CA) analyzes by flow cytometry.Each sample is total about 10 3 to 4 minutes time inside counting6Cell.Fluo-3 fluorescence is measured in eosinophilic granulocyte, neutrophilic granulocyte and monocyte, and these cells are output according to CD16 dyeing and lateral scattering.Begin to add test compounds in back 2 minutes at each run, add 15R-methyl-PGD after 2 minutes2By adding 15R-methyl-PGD2It is A23187 (10 μ M) that the back added Calcium ionophore in 1 minute, measures maximum calcium response.
The DP-1 receptor determination
The DP-1 receptor antagonist is measured
Human blood is collected in the vacutainer pipe (citrate vacutainer tube) that contains Citrate trianion.With thrombocyte with the 1-5 among the PBS * 107Cell/mL separates.(Sigma catalogue #15879) adds in the thrombocyte with isobutyl methylxanthine, obtains the final concentration of 1mM, then in the appropriate bore with 300 μ L thrombocyte five equilibrium to 96 hole assay plate.Then sample was hatched 8 minutes down at 37 ℃.Then, 3 μ L test compounds are added in the appropriate bore of assay plate, obtain the final concentration of 10 μ M.In order to set up typical curve, the BW-A868C (Cayman chemical catalogue #12060) that 3 μ L is fit to concentration adds in the delegation of assay plate.Typical curve prepares in dimethyl sulfoxide (DMSO), begins and dilutes 10 times to 0.1nM with 10 μ M.Under 37 ℃, sample was hatched 10 minutes then.3 μ L agonists contrast BW-245C (Cayman Chemical catalogue #12050) are added in each sample, and under 37 ℃, sample was hatched 10 minutes.After the hatching in 10 minutes, the ice-cold ethanol of 1mL is added in every kind of sample.Under 4 ℃, make sample with 600xg rotation 10 minutes.Shift out 200 μ L supernatant liquors, and in EIA damping fluid (Cayman Chemical provides, c-AMP EIA test kit-catalogue #581002), diluted 1: 10.The typical curve of cAMP also prepares in the EIA damping fluid, with 3000pmol/mL begin, dilute twice, until 28pmol/mL.The sample that 50 μ L were diluted adds in the appropriate bore of ELISA 96 orifice plates that scribble the mouse anti rabbit igg.Also the typical curve that 50 μ L were prepared is transferred to elisa plate.The 50 μ L ring AMP AChE tracer that to rebuild in 6mL EIA damping fluid adds in each sample (comprising typical curve).The 50 μ L ring AMP EIA antiserum(antisera) that to rebuild in 6mL EIA damping fluid adds in each sample (comprising typical curve).Under 4 ℃, sample was hatched 16-18 hour.After the hatching, slave plate distributes sample all night.With the lavation buffer solution wash plate that provides in the ring AMP EIA test kit 5 times.The 20mL ultrapure water is added in the phial (vial) of the Ellman reagent that provides in the ring AMP EIA test kit.The Ellman reagent that 200 μ L were rebuild adds in each sample well.Under the lucifuge sample was hatched 90 minutes simultaneously in room temperature.After 90 minutes, in the photofluorometer that is set to 412nm and terminal point pattern to the sample panel reading.The result that Fig. 3 and Fig. 8 provide the DP-1 antagonist of many kinds of compounds to measure.Described result is rendered as the per-cent of the peak response that is caused by known antagonist BW-A868C.
The DP-1 receptor stimulant is measured
Human blood is collected in the vacutainer pipe that contains Citrate trianion.With thrombocyte with the 1-5 among the PBS * 107Cell/mL separates.(Sigma catalogue #15879) adds to thrombocyte with isobutyl methylxanthine, obtains the final concentration of 1mM, then in the appropriate bore with 300 μ L thrombocyte five equilibrium to 96 hole assay plate.Then sample was hatched 8 minutes down at 37 ℃.3 μ L test compounds or agonist contrast are added in the appropriate bore of assay plate, obtain the final concentration of 10 μ M.Used agonist contrast is BW-245C (Cayman Chemical catalogue #12050).Under 37 ℃, sample was hatched 10 minutes then.After the hatching in 10 minutes, the ice-cold ethanol of 1mL is added in every kind of sample.Under 4 ℃, make sample with 600xg rotation 10 minutes.Shift out 200 μ L supernatant liquors, and in EIA damping fluid (CaymanChemical provides, c-AMP EIA test kit-catalogue #581002), diluted 1: 10.The typical curve of cAMP also prepares in the EIA damping fluid, with 3000pmol/mL begin, dilute twice, until 28pmol/mL.The sample that 50 μ L were diluted adds in the appropriate bore of ELISA 96 orifice plates that scribble the mouse anti rabbit igg.Also the typical curve that 50 μ L were prepared is transferred to elisa plate.The 50 μ L ring AMPAChE tracer that to rebuild in 6mL EIA damping fluid adds in each sample (comprising typical curve).The 50 μ L ring AMP EIA antiserum(antisera) that to rebuild in 6mL EIA damping fluid adds in each sample (comprising typical curve).Under 4 ℃, sample was hatched 16-18 hour.After the hatching, slave plate distributes sample all night.With the lavation buffer solution wash plate that provides in the ring AMP EIA test kit 5 times.The 20mL ultrapure water is added in the phial of the Ellman reagent that provides in the ring AMP EIA test kit.The Ellman reagent that 200 μ L were rebuild adds in each sample well.Under the lucifuge sample was hatched 90 minutes simultaneously in room temperature.After 90 minutes, in the photofluorometer that is set to 412nm and terminal point pattern to the sample panel reading.The result that Fig. 3 and Fig. 8 provide the DP-1 agonist of many kinds of compounds to measure.Described result is rendered as the per-cent of the peak response that is caused by known agonist BW-245C.
Thromboxane A2 (TXA2) relevant mensuration
TXA2Receptors bind is measured
Known CRTH2 antagonist Ramatroban also is a thromboxane A2 receptor antagonist.Use with
Deng the people, the mensuration described in the 1995 Biochemical Pharmacol 49:921-927 is similarly measured, and tests some compound as herein described and TXA
2The ability of receptors bind.The TXA of the human blood platelets that purifying is crossed
2Acceptor (0.6 to 0.8 μ g albumen/mL) thaw on ice, and in preincubation 1 hour in pH 7.4 or pH 6.0 damping fluids under 4 ℃.Hatching mixture (200 μ l final volume) is by HEPES (25mM), EDTA (2mM), CHAPs damping fluid (10mM TrisHCl, pH 8.0/1mM MgCl
2/ 1mM EGTA/0.5%CHAPS/10% glycerine/5mM 2 mercapto ethanol/1mMDTT) (5mM), phosphatide (asolectin) (0.5mg/mL), the TXA that crosses of 60-80ng purifying
2The test compounds of acceptor, vehicle or different concns, 50,000-70,000cpm[
125I] BOP (1S-(1 α, 2 β (5Z), 3 α (1E, 3R
*), 4 α)]-7-[3-(3-hydroxyl-4-(4 '-iodo phenoxy group)-1-butylene base) 7-oxabicyclo-[2.2.1] heptane-2-yl]-the 5-heptenoic acid; TXA
2Stand-in) and the I-BOP of different concns (0.05 to 250nM) form, and 30 ℃ of hatchings 1 hour down.(measure in 12 * 75mm) Glass tubings at silanization.Then mixture is filtered fast by Whatman GF/C glass fibre filter, with 0.3% polymine preimpregnation.Use icy HEPES (25mM)/EDTA (2mM)/CHAP (0.1mM) to carry out three other washings subsequently.Finish filtration procedure in 10 seconds.Use LKB γ-calculating instrument counting radioactivity.Non-specific binding is defined as the 657925 (TXA at 10 μ ML
2Receptor antagonist; People such as Warner (1997) Prostaglandins.54:581-99) the radioactive amount of bonded under the existence.Figure 10 provides as substituted the TXA of some compound as herein described of (displacement) measurement by I-BOP bonded %
2The receptors bind determination data.Known TXA
2Ramatroban is used as positive control in this measures.
Bleeding time
TXA2With TXA2Receptors bind is assembled and hemostasis with induced platelet.The evaluation test compound changes the ability in bleeding time in measuring in vivo.Orally administered test compounds or independent vehicle.Under general anesthesia, carry out the measurement in the clotting time in rat and the mouse with terminal point research.Animal Anesthesia is lain in a horizontal plane on the platform then, bind downwards they tail so that tail perpendicular to they health and be suspended on from table top 2cm place.The far-end of tail is clipped with scalpel.From the amount of bleeding of cross section with a kind of measurement the following four kinds of methods: the 1) setting time in water: with the time that tail is immersed in the water that is heated to 37 ℃ or the salt solution and record solidifies; 2) aerial setting time: the deposited edge to the grumeleuse that forms of Whatman filter paper was not moved grumeleuse carefully in per 30 seconds.Make and continued effusive blood 30 second interim from wound and fall identical point on the filter paper.Record is up to the time quantum that solidifies; 3) cubing: after crosscut, in 5 minute time length blood is collected in the Eppendorf pipe of Citrated.The cumulative volume of record whole blood; With 4) the absorbancy reading: tail is immersed among the 1mL 0.9%NaCl that is heated to 37 ℃ 10 minutes.By measure at 560nm that the brinish absorbancy is determined the blood loss and typical curve that this result and mouse blood according to known volume are made up relatively.
The mensuration that the D-amino-acid oxidase is relevant
The inhibition of pig kidney DAO
Pig kidney D-amino-acid oxidase (from the catalogue #A-5222 of Sigma) and D-Serine (from the catalogue #S-4250 of Sigma) are used to test the DAO inhibition activity of test compounds.Produce catalase by DAO decomposing D-Serine, described catalase can for example use

Red hydrogen peroxide assay reagents box (catalogue #A-22188, Molecular Probes, Inc.; Eugene OR) measures.Working solution prepares by mixing following material: distilled water (7.93mL), sodium phosphate buffer (1ml, 0.25M, pH 7.4), D-Serine solution (1.0ml, 100mM in the water), horseradish peroxidase (0.02ml, 100U/ml in the damping fluid) and Amplex Red solution (0.05ml, the 1mg dyestuff of the 200ul among the DMSO (50 μ M among the DMSO)).The work enzyme solution prepares by dilution D-amino-acid oxidase stock solution (65U/ml) 400 times.Working solution (99 μ l) is transferred in the hole of Microfluor microtiter plate and adds inhibitor solution (1 μ L) among the DMSO.The enzyme solution (20 μ l) of will working adds each hole, and after 15 minutes reaction times, use plate reader (excitation wavelength 544nm, emission wavelength, 590nM), by oxidimetry speed of reaction (hydrogen peroxide of release) by metric measurement Amplex Red.To using DMSO to carry out under the shortage that impinges upon inhibitor.Known DAO inhibitor Indoline-2-carboxylic acid in this measures with comparing.Fig. 3, Fig. 5 and Fig. 8 provide the analytical results of some compound in DAO measures.
The inhibition of people DAO
People D-amino-acid oxidase zyme extract is prepared by the HEK293 cell of people DAO clone's (huDAO) of short duration transfection or stable transfection by results.Under G418 selects by will with the huDAO gene of 100: 1 ratios (catalogue #TC118941, Origene, Rockville, MD) and pcDNA3.1 (CA) cotransfection is in the HEK293 cell and produce stable huDAO clone for Invitrogen, Carlsbad.(Invitrogen, Carlsbad CA) and behind the experimental program of the manufacturer with following details (specifics), realize of short duration huDAO transfection to use Lipofectamine 2000.In transfection the day before yesterday, with 2 * 107The every T150 bottle graft of cell kind HEK293 cell.With every bottle of 37.5ug and with 3: 1 DNA/Lipofectamine ratio transfection huDAO DNA (catalogue #TC118941, Origene, Rockville, MD).Before cell harvesting, the DNA/Lipofectamine mixture was hatched on cell 48 hours.HuDAO with transient expression and stably express obtains similar result.Following results extracting solution.Nutrient solution is shifted out from bottle, and substitute with Hank buffered saline solution (20mL).Swipe cell to the Hank damping fluid and transfer to new pipe then.With 3,000rpm rotated 10 minutes with sample.Incline and supernatant liquor and throw out resuspending in 50mM Tris-HCL pH8.7,1 μ MFAD and 1mM DTT, 20% glycerine (1mL).Then with sample homogenization on ice 20 seconds.With 3,000rpm is rotated down 5 minutes with homogenate.Shift out supernatant liquor, put aside.With throw out resuspending and homogenization on ice 20 seconds in 50mM Tris-HCL pH8.7,1 μ M FAD, 1mM DTT and 0.1% octyl group-β-D-glucose, 20% glycerine (1mL).With 3,000rpm rotated 5 minutes with homogenate.Collect supernatant liquor and merge, as main stock solution (master stock) with the supernatant liquor of collecting before.Serial dilution extracting solution then, and in D-amino-acid oxidase enzymatic determination Test extraction liquid to measure activity based on protein concn.Therefore, common 20 times of dilutions prepare stock solution in mensuration in the future.
People D-amino-acid oxidase (with the HEK293 cell of huDAO clone stable transfection) and D-Serine (from the catalogue #S-4250 of Sigma) are used to test the DAO inhibition activity of test compounds.Produce catalase by DAO decomposing D-Serine, described catalase can for example use

Red hydrogen peroxide assay reagents box (catalogue #A-22188, Molecular Probes, Inc.; Eugene OR) measures.Working solution prepares by mixing following material: distilled water (7.93mL), sodium phosphate buffer (1ml, 0.25M, pH 7.4), D-Serine solution (1.0ml, 100mM in the water), horseradish peroxidase (0.02ml, 100U/ml in the damping fluid) and Amplex Red solution (0.05ml, the 1mg dyestuff of the 200ul among the DMSO (50 μ M among the DMSO)).The work enzyme solution prepares for 20 times by dilution D-amino-acid oxidase stock solution usually.Working solution (99 μ l) is transferred in the hole of Microfluor microtiter plate and adds inhibitor solution (1 μ L) among the DMSO.The enzyme solution (20 μ l) of will working adds each hole, and after 15 minutes reaction times, use plate reader (excitation wavelength 544nm, emission wavelength, 590nM), by oxidimetry speed of reaction (hydrogen peroxide of release) by metric measurement Amplex Red.To using DMSO to carry out under the shortage that impinges upon inhibitor.Known DAO inhibitor Indoline-2-carboxylic acid in this measures with comparing.Fig. 8 B provides the analytical results of some compound in DAO measures.
The full raji cell assay Raji 1-of DAO toxicity
People D-amino-acid oxidase (huDAO) and D-Serine (from the catalogue #S-4250 of Sigma) are used to test the DAO inhibition activity of test compounds.Under G418 selects by will with the huDAO gene of 100: 1 ratios (catalogue #TC118941, Origene, Rockville, MD) and pcDNA3.1 (CA) cotransfection is in the HEK293 cell and produce stable huDAO clone for Invitrogen, Carlsbad.Produce hydrogen peroxide by decomposing D-Serine in the DAO cell, hydrogen peroxide causes the toxicity to monolayer cell.This toxicity is by for example AlamarBlueTMReagent (catalogue #BUF012B, AbDSerotec Ltd., Kidlington, Oxford UK) measures.At the 1st day that measures, successively following material is added in 96 orifice plates (Corning#3904) that a black, clean bottom, tissue culture handled: D-Serine (DMEM/10%FBS), 100ul huDAO cell (2 * 10 in 2ul inhibitor (100x among the 100%DMSO, or vehicle), the 100ul 70mM HEK medium5/ ml).With cell at 37 ℃/5%CO2Under cultivated 18-24 hour.At the 2nd day that measures, with 20ul AlamarBlueTMReagent adds to each hole, and plate is back to brooder, hatches 24 hours again.At the 3rd day that measures, Cytotoxic amount (hydrogen peroxide that is produced by huDAO in the cell causes) was passed through at fluorescent plate reader (excitation wavelength 545nm, emission wavelength, 590nM; @37 ℃) in measure the conversion of AlamarBlue reagent and measure.
The full raji cell assay Raji 2-Amplex of DAO Red
People D-amino-acid oxidase (huDAO) and D-Serine (from the catalogue #S-4250 of Sigma) are used to test the DAO inhibition activity of test compounds.Under G418 selects by with the huDAO gene (catalogue #TC 118941, Origene, Rockville, MD) and pcDNA3.1 (CA) cotransfection is in the HEK293 cell and produce stable huDAO clone for Invitrogen, Carlsbad.Produce hydrogen peroxide by decomposing D-Serine in the DAO cell, described hydrogen peroxide can for example use
Red hydrogen peroxide assay reagents box (catalogue #A-22188, Molecular Probes, Inc.; Eugene OR) measures.Successively following material is added in 96 orifice plates (Corning#3904) that a black, clean bottom, tissue culture handled: 2ul inhibitor (100x among the 100%DMSO, or vehicle), 100ul detection solution (the 0.05U/ml HRP/20mM HEPES 7.4 in 30mM D-Serine, 20uM Amplex Red, the Hanks balanced salt aqueous solution) and 100ul huDAO cell (6 * 10
5/ ml).The active speed with the hydrogen peroxide that is produced by cell of huDAO is proportional in the cell, and by under 37 ℃ the fluorescent plate reader (excitation wavelength 545nm, emission wavelength, 590nM) in 60 minutes dynamic reading measurement Amplex Red conversion and measure.
The amino acid whose detection of D-in serum and the urine
Obtain serum and urine samples, and be frozen in immediately in-80 ℃ of refrigerated tanks up to analysis.By with N-tert.-butoxy-carbonic acyl radical-L-halfcystine and o-phthalaldehyde(OPA) (people such as Hashimoto; JChromatogr (1992) 52:325-53) pre-column derivatization and in conjunction with the eluent gradient of methyl alcohol and 100mmol/L pH 7.2 acetate be used for the isolating anti-phase C-18 post of high pressure lipuid chromatography (HPLC) and, measure D-amino acid (aspartic acid, L-glutamic acid, glycine, D-Serine, the L-Serine) level of serum and urine in the fluoroscopic examination of 433nm excitation wavelength and 344nm emission wavelength.(Maxima 820, and Waters MA) measures with outer target Computer Analysis by peak height and interior mark for amino acid whose absolute concentration.D-amino acid levels (for example D-Serine) is measured under can and lacking in the existence of test compounds.
The amino acid whose detection of D-in brain and the blood plasma
Obtain brain and plasma sample, and be frozen in immediately in-80 ℃ of refrigerated tanks up to analysis.Use the albumen precipitation process from blood plasma, to extract amino acid, and with brain homogenization under acidic conditions.By using Marfey reagent (fluoro-dinitrophenyl-L-ala amide) (Bema M.J. and AckermannB.L. (2006) J Chromatogr B; Doi:10.1016/j.jchromb.2006.08.029) pre-column derivatization, and in conjunction be used on the isolating anti-phase C-18 post of high pressure lipuid chromatography (HPLC) at the eluent gradient of the 15mM ammonium acetate of the combination of water, methyl alcohol and acetonitrile with the mass spectrometric detection method of negative single ionic reaction pattern, measure the level of D-amino acid (tryptophane, L-Ala, leucine and proline(Pro)).Amino acid whose absolute concentration is measured by computer peak area ratio and interior mark.D-amino acid levels (for example D-Serine) is measured under can and lacking in the existence of test compounds.
D-Serine inductive renal toxicity
The D-Serine is relevant with renal toxicity with the D-PGIY, and induces in glycosuria, aminoaciduria, proteinuria and the polyuria one or more.Suppress the active compound of the DAO also toxic metabolite of may command D-amino-acid oxidase (for example D-Serine) such as the generation of hydrogen peroxide and ammonia.Hydrogen peroxide and the oxyradical of supervening can cause renal toxicity.As Williams and Lock, people such as 2005Toxicology:207:35-48 and Maekawa, described in the 2005 Chem Res Toxicol.18:1678-1682, can estimate the ability that D-Serine in compounds for reducing as herein described and the rat or D-PGIY are used relevant renal toxicity.
The affine force measurement of nmda receptor
In order to measure compound that this paper the reports avidity to the D-Serine binding site on the nmda receptor (being also referred to as " glycine site " or " brucine insensitivity glycine site "), radioligand-binding assay uses the film for preparing from rat cerebral cortex to carry out.Radioligand be [3H] MDL105,519 ((E)-3-(2)-phenyl-2-carboxyl vinyl)-4,6-two-chloro-1[3H]-Indoline-2-carboxylic acid) be known glycine site antagonist.Estimate by scintillation counting technique by the radioactive amount of compound metathetical.In the presence of the 1mM glycine, explain non-specific binding.According to by the specificity of test compounds [3H] MDL105, the value that 519 bonded % suppress is calculated avidity.Indoline-2-carboxylic acid is as positive control.This is determined at commercially available the getting of MDS Pharma Services (catalog number (Cat.No.) 232910).
The mensuration that CysLT2 is relevant
Radioligand-binding assay
Measure in (MDS pharma services, the whole world comprises Taiwan, catalogue #250480) at acceptor (radioligand combination), can estimate compound as herein described and people's cysteinyl (CysLT2) ability of receptors bind.About this mensuration and wherein the information of employed reagent in people (2000) Mol Pharmacol.58:1601 such as people such as Heise (2000) J BiolChem.275:30531 and Nothacker, describe.
Calcium response is regulated and is measured
In order to estimate the calcium response of the potential cysteinyl leukotriene receptor conditioning agent compound in epithelial cell and scavenger cell, and carry out as
Deng the following experiment described in the people (Arterioscler Thromb VascBiol-2003 volume: 23 (8) the 1343rd pages).Monocyte is by adhering to or the absorption of CD14 microballon is come out from peripheral blood monocyte purifying, and in RPMI-1640 substratum and 20% AHS with 1 * 10
6Cell/mL kept 5 to 9 days.Cultivation HUVEC (Human umbilical vein endothelial cells) (as people such as Nuszkowski, J Biol Chem.2001; 276:14212-14221 is described), and in passage 1 to 2 use.HUVEC or scavenger cell be with the fura 2-AM load of 4 μ mol/L, and in the existence of test compounds or vehicle or the change list of the calcium ion under lacking be shown as the excite ratio of 340nm/380nm at 510nm.For unicellular measurement, available 2 μ mol/Lfluo 4-AM load cells.Response can be recorded on the microscope (Axiovert 200M) that is equipped with confocal laser scanner head (LSM510).
Be used to estimate the mensuration of anti-injury sensation mechanism
But test compounds is to determine whether they influence the approach that relates to the injury sensation.The result of these mensuration can be used for studying the mechanism that test compounds mediates the effect of its anti-nociception.Except the relevant mensuration of FAAH, following method can be used for the mechanism of the effect of compound mediated its anti-nociception of evaluation test.
3 α, the rising of 5 α-THP
3 Alpha-hydroxies-5 alpha-pregnane (pregan)-20-ketone (3 α, 5 α-THP or U 0949) has been inhibition GABAAThe pregnane steroids of the effect of the agonist of receptor subtype, and known it in many kinds of animal systems, have anxiety and analgesic activity, the similar effect of philtrum is had supportive evidence.Therefore, 3 α that raise, the compound of 5 α-THP can have anti-nociceptive effect.With 3 α in the animal brain of test compounds processing, 5 α-THP level can be as the described following measurement of people such as VanDoren (1982 J Neuroscience 20:200).Briefly, the individual pallium hemisphere that cuts in ice-cold salt solution after euthanasia of steroid extracts.Cortex is freezing up to use down at-80 ℃.By supersound process sample is digested in 0.3N NaOH, and with 10% in the heptane of 3mL aliquots containig (v/v) ethyl acetate extraction three times.Aliquots containig is merged, then with the dilution of 4mL heptane.Extracting solution is coated on solid phase silicagel column (Burdick ﹠amp; Jackson, Muskegon MI), uses heptane wash, and goes out and 3 α from the post wash-out by 25% (v/v) acetone that adds in the heptane, steroid like 5 α-THP polar phase.Then at N2Descend dry elutriant, and steroid is dissolved in 20% (v/v) Virahol RIA damping fluid (0.1M NaH again2PO4, 0.9M NaCl, 0.1%w/v BSA, pH 7.0) in.Extraction efficiency is measured in the dissolved extracting solution at 50 μ l by the liquid scintillation spectrometry method again, and remaining sample is used for measuring 3 α by radioimmunoassay 5 α-THP.By adding 725 μ l RIA damping fluids, 100 μ l[3H] 3 α, 5 α-THP (20,000dpm) with anti--3 α of 100 μ l, 5 α-THP antibody, duplicate sample extracting solution (75 μ l) and 3 α that rebuild, 5 α-THP standard (5-40 in the 6.25%v/v ethanol, the 31%v/v Virahol in 000pg, the RIA damping fluid) of measuring.Total binding measure under the situation of 5 α-THP, and non-specific being combined under the situation that does not have antibody is measured there not being unlabelled 3 α.Make antibodies react at room temperature balance 120 minutes and stop by mixture being cooled to 4 ℃.By charcoal (DCC with the cold dextran coating of 300 μ l; 0.04% dextran, vapor enrichment H20.4% Powdered charcoal among the O) hatching is 20 minutes, bonded 3 α, and 5 α-THP separates among 5 α-THP from unconjugated 3 α.DCC by removing with 2000xg in centrifugal 10 minutes.The bonded radioactivity is measured by the liquid scintillation spectrometry method in the supernatant liquor.Sample value compares with 3 α that move simultaneously, 5 α-THP typical curve, and extraction efficiency is made correction.
Cannabined receptor combination and functionally active are measured
Compound can via with Cannabined receptor CB1And CB2Any or two combinations and produce anti-nociception effect, Cannabined receptor CB1And CB2Be in conjunction with Endocannabinoids, arachidonic acid thanomin (AEA) and 2-arachidonic acylglycerol (2-AG) and regulate multiple physiological responses such as the g protein coupled receptor of body temperature, pain, blood pressure and bowel movement (GPCR).SR 141716A (Rimonabant) is selectivity CB1 antagonist and just is being developed and is used for the treatment of obesity.CB1In brain, express people such as (, 1990 Nature 346:561) Matsuda, and CB2Express and in spleen, express people such as (, 1993 Nature 365:61) Munro by scavenger cell.These acceptors have all related to by mediate analgesic activity (for example, referring to people such as Clayton, 2002 Pain 96:253) in conjunction with agonist.Therefore, can measure test compounds with determine they whether with one or both people's cannaboid receptors bind.Cannabined receptor is estimated active available comprising in conjunction with many kinds of methods of mensuration or functional examination.The example of these mensuration is summarized below.Be used for CB1Bonded is measured described by people such as Matsuda (the same).This mensuration is used and is expressed CB1Reconstitution cell.With CB2Express CB in conjunction with using2Reconstitution cell measure with identical method.Briefly, in order to measure test compounds in conjunction with CB1Ability, the CB of mark1Part as [3H] WIN 55212-2 is (for CB1For 2nM with for CB2Be 0.8nM) and from express recombinant CB1The HEK-293 cell in the existence that is combined in test compounds and lacking down of isolating film measure.Non-specific binding at the excessive unlabelled WIN 55212-2 of several times (for CB1Be 5 μ M and for CB2Be 10 μ M) existence measure down separately.Combine with the ligands specific of acceptor and to be defined as the total binding in the presence of excessive unlabelled WIN 55212-2, measured and the difference between the non-specific binding.IC50Value and Hill coefficient (nH) the nonlinear regression analysis of competition curve by using Hill equation fitting of a curve measures.Suppress constant (Ki) according to Cheng Prusoff equation (Ki=IC50/ (1+ (L/KD)) calculate the concentration of radioligand during wherein L=measures, and KD=radioligand is to the avidity of acceptor.
Can radioligand-binding assay as the mensuration that provides by MDS Pharma Services (whole world comprises Taiwan, catalog number (Cat.No.) 217020 and 217100) in, the ability of assessing compound and people CB1 and CB2 receptors bind.These are measured with similar by described those mensuration of people (J Biol Chem, (1995) 270:13973-80) such as people such as Rinaldi-Carmona (J Pharmacol ExpTher (2004) 310:905-14) and Bouaboula.
As described below in conjunction with measuring.People CB1 (hCB1) and CB2 (hCB2) cDNA are cloned the vehicle (vector) that the expression of paired recombinant protein in Chinese hamster ovary (CHO) cell optimized.Plasmid arrives Chinese hamster ovary celI by precipitator method transfection.After the transfection 48 hours, Chinese hamster ovary celI is bestowed trypsin trypsined), and with 5 * 105The selected substratum (minimum necessary substratum-glutamine substratum, heat-inactivated dialysis-type foetal calf serum (10%), gentamicin (20mg/l), L-proline(Pro) (40mg/l), Sodium.alpha.-ketopropionate (0.5mM) and anti-pichia spp lysyloxidase reagent (1%)) that enters of the density of cell/ware.After 10 days, reclaim survival and clone and in the same medium that contains Fungizone (0.1%), cultivate.Between the 3rd to the 22nd passage, use cell.By using phosphate buffered saline (PBS) (PBS) washed twice, film is separated from the Chinese hamster ovary celI of the expression hCB1 of transfection or hCB2,50mM Tris-HCl swipes, among the pH 7.7 (buffer A), in Polytron with crushing in 7000rpm/ minute 1 minute, under 4 ℃ centrifugal 15 minutes then with 1100g.With supernatant liquor with 105, centrifugal 1 hour of 000g.With throw out resuspending and measure protein concn in buffer A.Film is preserved until use down at-80 ℃.Optionally, comprise of brain or the spleen preparation of the film of CB1 or CB2 by the rat that kills through broken end.Brain (not having cerebellum) and spleen are taken out, and make they under 4 ℃ buffer A (50mM Tris-HCl, pH7.4) in homogenization 30 seconds, in Polytron with 7000rpm/ minute homogenization 30 seconds, centrifugal 10 minutes then with 1100g.With supernatant liquor with 45, centrifugal 30 minutes of 000g.With throw out resuspending and measure protein concn in buffer A.Film is preserved until use down at-80 ℃.By being [3H]-CP 55,940 (0.2nM) hatching membrane (10-100 μ g) 1 hour with the cannabinoid receptor agonists in the 1ml buffer A down, carry out combination and measure at 30 ℃.Use Whatman GF/C filter (with the pre-treatment of 0.5% (w/v) polymine; Whatman, Clifton, (Brandel Inc., Gaithersburg MD) are used to gather in the crops and the film of rinsing mark (containing the cold buffer liquid A rinsing 3 times of 0.25% bovine serum albumin with 5ml) for quick filtering technique NJ) and 48 hole filtration units.Count with 4ml biofluor liquid scintillation with filter bonded radioactivity.Non-specific binding is measured down in the existence of unlabelled 1 μ M CP 55,940.For selectivity research, use the standard test scheme to carry out in conjunction with measuring.
The CB1/CB2 functional examination
The functional examination of monitoring g protein coupled receptor or downstream cellular response can be used for characterizing potential agonist activity or the antagonistic activity of institute's compound of interest to CB1 and CB2 acceptor.Direct activation (or suppressing activation) can be used GTP γ S to measure and monitor.This mensuration is described in scientific literature, and gets (MDS Pharma Services, the whole world comprises Taiwan, catalog number (Cat.No.) 306000 and 306050) for the mensuration of CB1 and CB2 is commercially available.These are measured with similar by described those mensuration of people (J Biol Chem (1998) 273:16865-73) such as people such as Gonsiorek (MolPharmacol (2000) 57:1045-50) and Breivogel.
GTP γ S measures and can followingly carry out.The CHO-K1 cell comes transfection with the plasmid of expressing CB1 or CB2.Transfection can be used the several different methods that comprises calcium phosphate transfection and finish according to the lipofectamine 2000 (Invitrogen) of production firm's specification sheets.The cell of transfection is gathered in the crops with 75% degrees of fusion with the cell dissociation damping fluid according to the specification sheets (Life Technologies) of production firm.By centrifugal collecting cell, and use immediately or storage under 80 ℃.With cell precipitation thing resuspending, and in being supplemented with as the homogenization damping fluid (10mM Tris-HCl, 5mM EDTA and 3mM EGTA, pH 7.6) of the 1mM phenylmethylsulfonyl fluoride (PMSF) of proteolytic enzyme and lactamase inhibitor in hatching 30 minutes on ice.Then with the Dounce refiner with type of stirrer RZR1 polytron homogenizer (Caframo, Wiarton, Ontario, Canada) with 900rpm with 20 times circulate (stroke) with cell homogenization.Intact cell and nuclear remove by low-speed centrifugal (under 4 ℃ with 500g 5 minutes).Film in the supernatant liquor by under 4 ℃ with 100,000g precipitated in centrifugal 30 minutes, then at glycyl-glycine buffer (20mM glycylglycine, 1mM MgCl2With 250mM sucrose, pH 7.2) middle resuspending and storage under 80 ℃.Protein determination carries out with the Bradford method.By being supplemented with GTP S binding buffer liquid (20mM HEPES, 100mM NaCl, the 5mM MgCl of 1 to 5 μ M GDP2With 0.2% (w/v) BSA (Factor V, no lipid), pH 7.4) in hatching cytolemma (1-7 μ g/ point, triplicate) 30 minutes in the existence of all cpds or under lacking under 30 ℃, carry out35S GTP γ S is in conjunction with mensuration.Be reflected in the 96 hole microplates and have 0.3nM[35S] GTP S (specific activity=1250Ci/mmol; NEN, Boston carries out in 100 μ l final volume MA).Reaction is by (Hamden CT) passes microfiltration plate (the UniFilter GF/C filter plate that is coated with 0.5% polymine with quick filtration of film with Tomtek 96 porocyte croppers; Packard, Meriden CT) stops.Filter at room temperature washs 10 times with 20mM HEPES and 10mM trisodium phosphate.Membrane-bound [35S] GTP S radioactivity is glimmered with TopCount NXT microplate and luminescent counter (Packard) is measured by liquid scintillation.The nonlinear regression analysis of data can be used Prism 2.0b, and (GraphPad, San Diego CA) carries out.
The activation of CB1 acceptor also influences cell proliferation.The CB1 agonist is characterised in that the cell proliferation that suppresses breast cancer cell line (MCF-7).This is described by people (Endocrinology (2000) p118-126) such as people (Proc Natl Acad Sci USA (1998) 95:8375-80) such as people such as Bisogno (Biochem J (2000) 351:817), De Petrocellis and Melck.Briefly, cell proliferating determining carries out with the MCF-7 cell in the 6 hole wares (with the density of about 50,000 cells/well) that comprise inferior fusion (subconfluent) cell.Test substances introduced in 3 hours behind the cell inoculation, change a subculture then every day.With the cell trypsin treatment, and after adding test substances, counted by hematimeter in 4 days.Using the CB1 agonist up to 100 μ M is that the arachidonic acid thanomin is observed the not significant minimizing of cell viablity (as by the trypan blue evaluation).3 hours adding materials (50,000 cells/well) behind cell inoculation.After 72 hours, count with the trypsin treatment cell and by hematimeter.Can suppress the ability of the antiproliferative effect of known CB1 agonist such as arachidonic acid thanomin by the characterization test compound, estimate antagonistic activity.
The measurement of pharmacokinetic parameter
In order to measure various pharmacokinetic parameters, collect the plasma sample of the animal of taking test compounds and analyze by LC/MS.Briefly, sample is by preparing with the methyl alcohol albumen precipitation.Collect autoprecipitation supernatant liquor and be evaporated to dried.Dry sample is being used for the initial flow condition resuspending of HPLC.The 10uL sample volume is injected in Thermo Electron Hyupersil GOLD 2.1 * 50 analytical columns.Compound comes out with short gradient wash-out from post, and (Toronto, Ontario) API 4000mass detects by Applied BiosystemsSciex.Concentration is measured by internal target relative response, and calculates according to the normal concentration curve of test compounds.Sciex Analyst software is used for coming quantitative sample according to one group of standard that has prepared and QC.Concentration to time curve by the PK curve that produces every kind of compound and PK parameter, AUCn(area under curve, n=in hour experiment length) WinNonLin (Pharsight, Corp., Mountain View, CA) data in and producing.Oral administration biaavailability (Fn) use following equation to calculate: F=(AUCOral/ AUCIV) * (dosageIV/ dosageOral).CMaxAnd TMaxVisual inspection by oral concentration curve is measured.CMaxBe by with time T (TMax) peak concentration of duration of experiment round-robin test compounds in blood of report.T1/2 t1/2At least two data points of use on the IV curve of expression elimination phase are calculated.Therefore, t1/2Slope (β) insertion equation t by line that the natural logarithm of compound concentration is after tested produced time (during eliminating mutually) mapping1/2Calculate among=0.693/ β.Volume of distribution (Vd) is used equation Vd=Cls/ β (Cls=System Cleaning rate, β=t1/2The slope of equation) calculates.Cls by absolute dosages divided by AUCIVDetermine.
Animal model
Be used to estimate the animal model of anti-inflammatory activity
In the several animal models any can be used for the validity that test compounds reduces inflammation and treatment pain.Useful compound can show the validity that reduces inflammation or pain in one or more animal models.
The foot pad that carrageenin brings out (foot pad) edema model
This model is as being described by people such as Winter (1962 Proc Soc Exp Biol Med 111:544) and can be used for the evaluation test compound to the analgesia and/or the effect of inflammation.Briefly, nearly the oral administration of former times or contrast vehicle (1% methylcellulose gum in the deionized water) is examined in test compounds, indomethacin or the match of three kinds of dosage to give animal (for example rat or mouse).Treated at last back 30 minutes to 1 hour, the pawl oedema is brought out by 0.1-0.15mL 2% carrageenin solution is injected left back pawl.The left back corpus unguis of every rat amasss before oral administration and used the plethysmometer to measure in 3 hours behind the injection carrageenin.The variation of each animal when the oedema volume of each time point is expressed as volume at oral administration, and the anti-inflammatory action of treatment group is expressed as and injects back 3 hours % with respect to independent vehicle group carrageenin and suppress.Oedema not the significance of difference between on the same group by one-way analysis of variance (ANOVA), non-matching Dunnett t checks and estimates subsequently.In this model, also can measure hyperpathia reaction and PGE2Generate people such as (, 1997 J Pharmacol and ExpTherap 283:1069) Zhang.
The arthritis model that complete Freund's adjuvant (Complete Freund ' s adjuvant) (CFA) brings out
In this model, at the 1st day, by Mycobacterium tuberculosis (the Mycobacteriumtuberculosis) (0.3mg in the 0.1mL light mineral oil that will kill; Complete Freund's adjuvant, (well-ground) suspension that grinds fully CFA) inject (subplantar) district under the vola of right back pawl, bring out sacroiliitis in the group of 8 Lewis source male rats that are weighed as 160 ± 10g.The rear solid end volume is measured by water displacement (water displacement) the 0th, 1 and 5 day (right back pawl has CFA) with the 0th, 14 and 18 day (left back pawl does not have CFA); Rat was weighed at the 0th and 18 day.Prepared fresh dissolving every day or be suspended in the test compounds of 2% tween 80, and Orally administered twice in injection CFA beginning in preceding 1 hour every day, continuous 5 days (the 1st day to the 5th day).For the vehicle control rats of CFA injection, the increase long-pending with respect to the corpus unguis of the 1st day (acute phase of inflammation) in the 5th day is generally between 0.7 to 0.9mL; And the increase long-pending with respect to the corpus unguis of the 14th day (lag period of inflammation) in the 18th day is generally between 0.2 to 0.4mL.Therefore, the anti-inflammatory activity in this model can be represented by the value of calculating during acute phase and lag period.Animal was also weighed at the 0th and 18 day; The vehicle control animal of CFA injection obtains the body weight between the 40g to 60g in the section usually at this moment.With respect to vehicle treatment contrast, corpus unguis is long-pending to reduce 30% or be considered to have remarkable anti-inflammatory activity more.Measure the average ± SEM of each treatment group, and the Dunnett check is used for the comparison between vehicle group and the treatment group.In P<0.05 o'clock, think that difference is significant.First day and the last day, the polyarthritis of fore paw, tail, nose and ear can visually be estimated and record, wherein positive (+) symbolic representation swelling response and negative (-) symbol is normal.Also can carry out the X ray radiography of rear solid end measures with the further radioactive index that is used for arthritic symptom.In this model, also can measure hyperpathia, allow measure analgesic activity people such as (, 1999 Brit Journ Pharmacol128:1252) Bertorelli of test compounds.
The air bag model
This model is described by people such as Masferrer (1994 Proc Natl Acad Sci USA 91:3228).Briefly, male Lewis rat (175-200g, Harlan Sprague-Dawley) is used the omoplate inner region at the subcutaneous injection of 20mL sterile air back to produce air cavity.Other 10mL air injected described chamber to keep space opening in per 3 days.Initial air was injected back 7 days, and the 2mL 1% carrageenin solution that is dissolved in Sterile Saline is directly injected described capsule to produce Inflammatory response.In the animal for the treatment of and not treating, measure the volume of transudate and be present in leukocytic quantity in the transudate and dye by Wright-Giemsa and measure.In addition, (CaymanChemicals, Ann Arbor MI) measure PGE in the capsule transudate from the animal for the treatment of and not treating by specific ELISA s2With 6-ketone-PGF1 α
Be used to estimate the animal model of analgesic activities
Thermal hyperalgesia in the rodent that carrageenin brings out
This model is described by people such as Hargreaves (1988Pain 32:77).Briefly, inflammation is brought out by right back pawl is injected in 2% carrageenin suspension (0.1-0.15mL) vola down.After 3 hours, the stimulation (vola test) that nociceptive threshold value uses hotness to be hurt is estimated.Light beam (maximum strength 44%) is focused under the rear solid end, and the threshold value that hotness is hurt is estimated by getting rid of the pawl response latency (dead line: 30 seconds).The baseline pain threshold value is measured in right back pawl before with test compounds or contrast oral administration.The result can be expressed as each rear solid end in the nociceptive threshold value of second (sec) and from the vehicle cell mean the nociceptive threshold value of each animal (average ± SEM) variation per-cent.The nociceptive threshold value of the pawl in the vehicle treatment group before carrageenin injection and relatively use Student t afterwards check and carry out, think that P<0.05 is the significant difference on the statistics.Residual variance after significance,statistical between treatment group and the vehicle group uses Graphpad software with one-way analysis of variance (P<0.05) is checked by Dunnett and is measured.
The phantom type of turning round that the phenyl benzoquinones brings out
This model is described by people such as Siegmund (1957 Proc Soc Exp Bio Med 95:729).Briefly, behind quantitative oral test compounds, morphine or thevehicle 1 hour, 0.02% phenyl benzoquinones (PBQ) solution (12.5mL/kg) is injected mouse by the intraperitoneal approach.The number of times that stretches (stretch) and turn round body in PBQ injection back from the 5th minute to the 10th minute record, and can be counting between the 35th minute to the 40th minute and between the 60th minute to the 65th minute, so that dynamic evaluation to be provided.The result be expressed as the number of times that stretches and turn round body (average ± SEM) with variation per-cent from the nociceptive threshold value of the mean value calculation of vehicle treatment group.Residual variance after the significance,statistical of any difference between treatment group and the control group uses SigmaStat software with one-way analysis of variance (P<0.05) is checked by Dunnett and is measured.
The arthritis model that kaolin brings out
This model is described by people such as Hertz (1980 Arzneim Forsch 30:1549), and can be used for estimating the effect to analgesia and inflammation.Briefly, sacroiliitis is brought out by the knee joint that the 0.1mL Kaolin clay suspension is injected the rat right rear leg.Reach subcutaneous administration test compounds after 2 hours again after 15 minutes.Reference compound can oral or subcutaneous administration.Per hour estimated gait (Gait) in back 1.5 hours to 5.5 hours in treatment, and following scoring: normal gait (0), mild disability (1), discontinuity improve pawl (2) and lift pawl (3).The result be expressed as the average gait scoring of calculating from the individual values of each time point (average ± SEM) with from the variation per-cent of the average score of the mean value calculation for the treatment of back 4.5 hours to 5.5 hours vehicle treatment groups.The significance,statistical of difference uses residual variance behind the one-way analysis of variance (P<0.05) of each time point to check by Dunnett to measure between treatment group and the vehicle treatment group.
Periphery mononeuropathy varying model
This model is described by people such as Bennett (1988 Pain 33:87), and can be used for estimating the anti-hyperpathia effect of Orally administered test compounds in periphery mononeuropathy varying model.The effect of test substances can be with treatment contrast or reference substance such as morphine compare.The flexible male Sprague Dawley rat (Sodital of crossing through anesthesia of periphery mononeuropathy; Through the intraperitoneal approach, sciatic lax ligation 45mg/kg) is brought out.After 14 days, nociceptive threshold value is used stimulation (the analgesimeter pawl pressure test of mechanoreception injury; Ugo Basile Italy) estimates.Orally administered test compound and reference compound and vehicle (10mL/kg contains 1% methylcellulose gum).Cumulative pressure is used for the rear solid end of animal up to arriving nociceptive reaction (sounding or the pawl that contracts).Treated back 60 minutes, pain threshold (gram of contact pressure) is measured in homonymy (impaired) and offside (int) rear solid end.The result is expressed as: the nociceptive threshold value in gram of the contact pressure of impaired pawl and not impaired pawl (vehicle treatment group) (average ± SEM) with from the variation per-cent of the nociceptive threshold value of the mean value calculation of vehicle treatment group.The not impaired pawl of vehicle treatment group and the relatively use Student t of the nociceptive threshold value between the impaired pawl check and carry out.The significance,statistical of difference use SigmaStat software between the treatment group of impaired rear solid end and the vehicle group (

V.2.0.3 (SPSS ScienceSoftware, Erkrath GmbH)) check by Dunnett with the residual variance behind the one-way analysis of variance (P<0.05) and to measure.
The diabetic neuropathy pawl is pressed test
The complete design solution details can be found in people such as Rakieten (1963 Cancer Chemother Rep29:91).Briefly, diabetes are brought out by the streptozotocin peritoneal injection in the rat.After 3 weeks, the hyperalgesic pawl of nociceptive threshold value in-service evaluation presses test to measure.Test compounds or use to impinging upon preceding 30 minutes intraperitoneal of pain measurement.
The acetate writhing test
Briefly, (0.5%, 10mL/kg) peritoneal injection is gone into preceding 1 hour Orally administered test compounds of rat with acetic acid.Observe every treated animal and turn round the body number of times and reduce 50 per-cents or more (〉=50) with respect to the control group of vehicle treatment during acetic acid is used back 5 minutes to 11 minutes, this shows possible analgesic activities.This mensuration is based on Inoue, the mensuration described in the people such as K. (1991Arzneim.Forsch./Drug Res.41:235).
Gate-Papacostas' tests
The complete design solution details can be found in people such as Hunskaar (1985 Neurosci.Meth.14:69).Briefly, use test compounds or contrast back 30 minutes, 20 μ l, 5% formalin solution is injected the right back pawl of rat by approach under the vola at intraperitoneal.The rear solid end number of times licked in record during the early stage and late period after the formalin injection.
Tail-flick test
The complete design solution details can be found in D ' Amour and Smith (1941 J Pharmacol.Exp Ther.72:74).Briefly, use test compounds or contrast back 30 minutes, light beam is focused on the tail of rat at intraperitoneal.Recording feature is the nociceptive response latency of tail of contracting.Be set at 15 seconds dead line.
Tail immersion test (Tail Immersion Test)
In this test, the tail of rat is immersed in 50-60 ℃ the water-bath.Measurement features is the nociceptive response latency (people such as Haubrich, people such as 1990 J Pharmacol Exp Ther255:511 and Lichtman, 2004 Pain 109:319) of tail of contracting.
Hot-plate test
The complete design solution details can be found in people such as Eddy (1950 J Pharmacol.Exp.Ther.98:121).Briefly, use test compounds or contrast back 30 minutes, mouse is positioned on the metal hot plate that maintains 52 ℃ at intraperitoneal.Recording feature is the nociceptive response latency of licking the reflection of fore paw or jumping out of hot plate.Be set at 30 seconds dead line.
Be used to estimate the active animal model of anxiety
The compound that adjusting FAAH activity is regulated the fatty acid amide level thus also can have the anxiety activity.Estimating the active animal model of anxiety comprises:
Overhead cross labyrinth (Elevated Plus Maze)
As described in van Gaalen and the Steckler (2000 Behavioural Brain Research 115:95), overhead cross labyrinth is made up of four labyrinth arms that come from central platform, effectively form plus sige (+) shape.Described labyrinth can be constituted and can be raise usually by synthetic glass.Two arms in the arm of labyrinth not by circummure around (opening) and in addition two arms by circummure around (closure).Is two opening arm illumination good and two arms that center on are dark (Crawley 2000 What ' s Wrong With My Mouse?: (what's the matter for my mouse for BehavioralPhenotyping of Transgenic and Knockout Mice?: the behavior phenotype of transgenosis and knock-out mice) .Wiley-Liss, New York).This test is to be precursor people such as (, 1985 J.Neuroscience Methods.14:149) Pellow with the conflict naturally between the detest characteristic of the trend of the new environment of animal detection and bright open base area.
The complete design solution details can be found in people such as Fedorova (2001 J.Pharm.Exp.Ther.299:332).Briefly, after using test compounds or contrast, animal is placed on separately on the central platform, facing to one in the open arms on viewer opposite.Entering the number of times of (entry) open arms and closure arm and time that animal spends in different chamber's (central platform, opening and closure arm) in labyrinth is recorded (as described in people such as Gaalen (the same)).As described in people such as Simonin (1998EMBOJ.17:886), move when animal and then to write down arm when all four pawls enter in the arm and visit (visit).Behavior came record by the viewer and/or via video camera at 5 minutes in the duration of test.Animal is more or to enter number of times mostly are active indexs of anxiety (indicator) than the time that spends in closure arm in open arms.
Overhead annular labyrinth (Elevated Zero Maze)
Overhead annular labyrinth is the improvement in overhead cross labyrinth.Overhead annular labyrinth is by forming with the synthetic glass device of annular shape (being that diameter is the ring-type runway of 46cm and the wide 5.5cm of being of runway), described synthetic glass device have two open fan sections of equal sizes and two by circummure around the fan section.It can be increased tooverhead 1 meter.Device described in the people (1994 Psychopharmacology, 116,56) such as this device and Shepherd is similar, but size is applicable to mouse.
The complete design solution details can be found in people such as Kathuria (2003 Nature Medicine 9:76).Briefly, use test compounds or contrast and suitable pretreat after the time, animal is held in place on the open fan section of front, closed fan section at intraperitoneal.To become entering of all four pawls at the time record in the new fan section.Behavior will come record by the viewer and/or via video camera in the duration of test at 5 minutes.Animal in open fan section than by circummure around the fan section in time of spending more or to enter number of times mostly are the active indexs of anxiety.
The animal model relevant with anaphylaxis
The test compounds that can be used in the several animal models any reduces the validity of irritated activity or inflammatory activity.Useful compound can show the validity that reduces anaphylaxis and inflammation in one or more animal models.
General eosinophilia
This model such as by people such as Shichijo (2003 J.Pharmacol.Exp.Ther.307:519-520) description.Briefly, male Brown Norway that 7 ages in week are big or Wistar rat are used 13 of 250-300 μ g/ rat, 14-dihydro-15-ketone-PGD2(DK-PGD2) be the solvent intravenous injection of CRTH2 agonist (being dissolved among ethanol and the PBS) or respective volume.Rat with or be the CRTH2/ thromboxane A without intravenous injection 3-30mg/kg Ramatroban [(+)-(3R)-3-(4-fluorobenzene sulfoamido)-1,2,3,4-tetrahydrochysene-carbazole-9-propionic acid]2Antagonist (be dissolved in NaOH, make pH neutrality by adding HCl, and take) pre-treatment with 10%Cremophor solution.After injection, collected peripheral blood to be used for blood smear on the 0th, 1,2,3,4 or 5 hour.Behind blood collecting,, and femoral head and condole shifted out from fl by the complete hemorrhage animal euthanasia that makes.The counting total white blood cells.The classification cell counting is carried out on the blood smear of using based on the May-Gruenwald of standard type and histology standard and GiemsA solution coat.
Contact hypersensitivity (contact hypersensitivity) brings out
In this model, the bringing out as by people such as Takeshita (2004.Int.Immunol.16 (7): generation 947-59) of contact hypersensitivity (CHS).At the 0th and 1 day, 400 μ l are dissolved in acetone: (1: 1,0.5% fluorescein isothiocyanate (FITC) DBP) was coated on the skin of abdomen of shaving of female Balb/c mouse in age in 7-8 week dibutyl phthalate (dibutylpthalate).After 6 days,, excite mouse by being coated with 0.5%FITC among the 20 μ l DBP on the both sides of auris dextra.(DBP) is coated on left ear with solvent control.Exciting being increased in of inductive ear thickness to excite back the 0th, 24,48 and 72 hour measures by slip-stick artist's milscale.The CHS reaction is measured by the increase that excites inductive ear thickness.CHS reaction=[(the auris dextra thickness after exciting-after exciting left ear thickness)-(the auris dextra thickness before exciting-before exciting left ear thickness)].
In order to detect the existence of leukocyte infiltration, at room temperature ear and skin of back are fixed 30 hours in the zinc fixing agent, and be embedded in the paraffin to be used for histology and immunohistochemical evaluation.In order to estimate eosinophilic granulocyte peroxidase activity (EPO), with skin biopsy homogenization in 1ml ice-cold buffer (0.05M Tris-HCl, pH 8.0, contain 0.1%Triton X-100).Under 4 ℃ with tissue sample with 10, centrifugal 20 minutes of 000g also collects supernatant liquor to be used to measure the EPO activity.In 96 hole microtiter plates, with substrate solution (100 μ l 0.05M Tris-HCl and 4mM H2O2In the 10mM O-Phenylene Diamine) add to 20 times the homogenate in damping fluid (100 μ l) of dilution.By before adding 100 μ l 2M sulfuric acid termination reactions, at room temperature reaction mixture was hatched 1 hour.Measure the absorbancy of microtiter plate.
Ai Wensi indigo plant (Evan ' s Blue) test
The complete design solution details can be at people such as Takeshita (2004.Int.Immunol.16 (7): find 947-59).Briefly, the female Balb/c mouse in 7 ages in week is used the cumulative 0.1-10 μ g/ site DK-PGD of concentration2Intracutaneous is injected in two positions on the back that they were shaved.Intravenous injection subsequently contains the 0.25ml salt solution of 1.25mg evans blue dye.Dyestuff was injected back 4 hours, made mouse euthanasia and collected skin of back.The oedema severity is estimated by the exosmose density of dyestuff of measurement.Inflammatory response is to DK-PGD2The influence that suppresses of pharmacology also will estimate by handling with CRTH2 antagonist such as Ramatroban.
Air flue cell proliferation and inflammation that Protalbinic acid brings out
The complete design solution details can be found in people such as Eynott (2003.J.Pharmacol.Ther.304:22-29).Briefly, at the 1st, 2 and 3 day with 1mg Protalbinic acid (OVA) and 100mg Al (OH) in peritoneal injection (i.p.) the 1mL 0.9%NaCl salt solution3Make the brown rat sensitization of Norway.Per then the 3rd day (the 6th, 9 with 12 days) make them contact 0.9%NaCl salt solution or 1%OVA aerosol 30 minutes.The 2mg/kg dexamethasone as positive control and at the 4th, 5,6,9 and 12 day once a day i.p. take.At 5-12 days, oral vehicle of secondary every day (15% beta-cyclodextrin among the DMSO) and test compounds.Exciting the sky, all animals the OVA anaphylactogen contact preceding 1 hour all processed, if desired, processed twice of anaphylactogen contact back~4-8 hour every day.In the end OVA excites back 24 hours, collects sample.For sample collection, use 10mg/kg xylazine and 60mg/kg Patients Under Ketamine Anesthesia rat by intraperitoneal.In case the rat holonarcosis, then for obtain serum via eyeball after approach collect blood.Then after cutting off aorta abdominalis, pour into rat by right ventricle's injection 30mL PBS via heart.Carry out tracheostomy then, and use the Hank balanced salt solution that remains on ice to collect bronchoalveolar lavage fluid (BAL) by 5 5mL rinsings.Accumulation of air flue inflammatory cell and cell proliferation are measured by BAL fluid collection and cell counting subsequently.Preparation cell centrifugation smearing machine (Cytospin) slide glass and eosinophilic granulocyte % measure by the every slide glass of counting~400 cells.5mg/kg every day to take test compounds twice.The active eosinophilic granulocyte that brings out based on the test compounds prevention Protalbinic acid ability of (as recently being determined by the eosinophilic granulocyte percentage in the BAL liquid) of inducing is marked.
Airway inflammation in the brown rat of the sensitization Norway that Protalbinic acid brings out
The test compounds pair cell is raised the influence that enters lung behind the antigen stimulation of this evaluation of measuring in the brown rat of sensitization Norway.This model is based on people such as Underwood, disclosed design among the 2002 British Journalof Pharmacology 137:263-275 and improved slightly design.Briefly, the 0th, 14 and 21 day with Protalbinic acid (100 μ g/ rats, i.p.), use AlumTM(20mg/ rat aluminium hydroxide and 20mg/ rat magnesium hydroxide i.p.) make the brown rat of male Norway (200-225g is from Harlan) allergy.Excite with the Protalbinic acid (10g/l, 30 minutes) or the salt solution aerosol that suck the 28th day rat.Beforeantigen stimulation 16 to 1 hours and behindantigen stimulation 1 to 6 hour oral vehicle (5ml/kg) or test compounds (1 or 10mg/kg, 5ml/kg).Budesonide (3mg/kg) is included as positive control and takes at identical time point.Terminal point is measured as follows; Exciting back 1 hour rat to have for estimating the PenH level that nearest asthma reaction was monitored 5 hours.
Estimate cell load and inflammatory states.Excite back 24 hours at Protalbinic acid, make rat euthanasia with excessive Sodital i.p..Take heparinized blood sample and the blood plasma maintenance of gained is freezing via cardiac puncture.Carry out bronchoalveolar lavage (BAL) (2 * 3ml RPMI substratum, each 30 seconds).Behind BAL, remove lobus sinister immediately, to remove the blood pond of cell, the 300mg lung is minced and is stored among the RPMI/FCS (foetal calf serum) that contains penicillin/streptomycin then with the RPMI perfusion.Residue is dabbling, as to mince lung tissue quick freezing and storage under-80 ℃.The remaining lobe of the lung is blown into to keep the pressure of 20mmHg with formalin, with the lung knotting and be housed in the formalin up to needs.
300mg tissue stand collagenase digesting and cell is reclaimed (for method, referring to people such as Underwood, (1997) Br.J.Pharm., 122,439-446).Use the Sysmex cell counter to come quantitatively from the total cell count of air flue inner chamber and lung tissue recovery.The classification cell counting (comprise 200 kinds of cell countings of eosinophilic granulocyte, neutrophilic granulocyte, plymphomonocyte, be expressed as per-cent and absolute cell counting) of the cell that reclaims from air flue inner chamber and lung tissue by opticmicroscope according to carrying out with the painted cell centrifugation goods of Wright-Giemsa staining.Remaining BAL sample is rotated down and supernatant liquor remains on-20 ℃.
Lung Eosinophilia in the rodent that dextrane gel (Sephadex) brings out
Male Swiss Webster mouse is used for the lung Eosinophilia's that dextrane gel brings out model.Concise and to the point, test group is accepted vehicle, test compounds (10mg/kg) or positive control dexamethasone (0.5mg/kg) by oral gavage, at the-1,0,1 day so that (p.o. b.i.d.), and put to death at the 2nd day and to use once in preceding 4 hours twice of dose volume every day of 10ml/kg.At the 0th day, test group was used 3mg/kg dextrane gel pearl G-100-120 (Sigma) or is not used dextrane gel with the dose volume intravenously of 5ml/kg separately.At the 2nd day, vehicle/test compounds/dexamethasone was used back 4 hours, by sucking CO2Make animal euthanasia, and, carry out the histopathology and the lavation evaluation of lung subsequently for the severity of eosinophilic granulocyte infiltration in all positions of bronchiole.Bronchoalveolar lavage fluid is collected for 3 times via the catheters irrigation lung by the cool brine with the 1ml aliquots containig, passes through then to fill with the results lung with formalin, and allows fixing minimum one day.White blood cell count(WBC) prepares from irrigating solution.In addition, prepare irrigating solution immediately to be used for the cell centrifugation smearing machine and to carry out the cell divide counting.Cell centrifugation smearing machine slide glass dyes with the Wrights-Giemsa staining.Full lung sections with phenodin and the dyeing of eosin staining be used for around the dextrane gel pearl bronchiole week the position inflammatory cell infiltration the morphometry of severity learn evaluation.Three sections of preparation from each animal (initial and the2nd step interval 100 μ m) are with the area or the diameter of the inflammation that is used to analyze about 5-8 dextrane gel pearl/mouse.Carry out the somatometry of physique digital image analysis with assess inflammation.Similarly the experimental design scheme can use the Lewis rat to carry out, and change wherein is at the 1st angel's animal euthanasia.
Use the mouse model of the allergic airway diseases of FlexiVent system
In this model, the animal of 10 every group (big male BALB/c mouse in 8-10 age in week) is used to estimate allergic airway diseases.Mouse was isolated 14 days.The 0th day (after finishing to isolate in 14 days the 1st day) and the 7th day, by the Protalbinic acid (OVA in the usefulness sterilized water; 10 μ g) and aluminium hydroxide (Alum; Mixture intraperitoneal (i.p.) injection 2mg) makes the laboratory animal immunity.Second treated animal is only with the sterilized water immunity and as non-immunity (feminine gender) contrast.At the 13rd, 14,15 and 16 day, dexamethasone (positive control), test compounds or independent vehicle were sent one day twice by oral gavage (all are with the dose volume of 10mg/kg and 10ml/kg).At the 14th and 15 day, make animal contact Protalbinic acid.The Protalbinic acid contactant is by making 1% hot accumulative Protalbinic acid (egg, V level; Sigma, St.Louis, MO) aerosolization and producing with filterable air dilution, was delivered to theexposure chamber 3 hours (H2000, Hazelton Systems) then.The total mass concentration of Protalbinic acid is measured by the gravimetric analysis of the filter sample that contact the time is per hour gathered.The target mass concentration of Protalbinic acid is 4mg/m3Chambers temp remains on 26 ± 2 ℃ and threw light on 12 hours ON/OFF cycles.Arbitrarily give animal foodstuff (TekladTMThe rodent diet of authentication (Harlan Teklad, Madison, WI)), except contacted the period at 3 hours.Water is arbitrarily available in the whole research time length.
At the 17th day, with Animal Anesthesia and by forced vibration technology (FlexiVent) test pulmonary function (reaction that methacholine chloride excites).The airway hyperreactivity (AHR) of the methacholine chloride (MCh) of the aerosolization that increases concentration is used the FlexiVent analyser, and (SCIREQ, Montreal Canada) measure.Briefly, every mouse is used i.p. avertin (Avertin) (250mg/kg; 0.02ml/g; 1.2% (w/v) tribromo-ethanol solution in the 0.8% tert-pentyl ethanol (2-methyl-2-butanols)) anaesthetize, and be placed on the hot-plate.Shave off and open a little shallow cut in hackle and the skin above tracheae.After separating salivary gland lobe, in tracheae, open a little otch, and insert tracheae withblunt end 20 gauge needle interfaces.By the fixing intubate of suture line, tractive skin and fix backward by cyanoacrylate adhesive.Ventilation is carried out via intubate by positive pressure operation on the Flexivent device.In case on ventilator, then i.p. use pancuronium bromide (paralyzer, 0.5mg/kg).Heart rate is monitored via Grass Instruments Recorderw/Tachograph.From baseline greater than the changes in heart rate of 50bpm need replenish anesthesia (avertin, ip).The avertin of dosage gives and monitors at least 60 seconds dosage to determine whether that needs are other of heart rate of animal with the dosage of 100mg/kg in addition.After the base measurement of resistance and conformability, the methacholine chloride (Mch of cumulative dosage; 3,6,12,25,50mg/ml spraying gun), and measure resistance and conformability via aerosol delivery.Calculate every kind of concentration methacholine chloride the air flue resistance and to average ± SEM mapping of all treatment groups.The variation of lung resistance (being the Mch dose-response curve) is checked by replicate measurement two-way analysis of variance (ANOVA) and Bonferroni afterwards and is estimated.Every other statistics relatively uses ANOVA and Dunnetts multiple comparisons to check to carry out.The value of p<0.05 is thought significance.
After AHR measures, collect blood and preservation to be used for further evaluation.Make animal euthanasia by euthanasia injection of solution then based on Sodital with lethaldose.Wash lung 3 times by conduit being inserted in the tracheae and, obtain bronchoalveolar lavage (BAL) cell from 7 animal per experimental group or control group with 0.8ml PBS (not containing calcium chloride and magnesium chloride).Total BAL cell is measured with hematimeter.The BAL cell rotates on slide glass by cytocentrifuge, and dyes with the Wright-Giemsa staining ofimprovement.Count 400 kinds of cells and measure the per-cent of the specific cell type of each animal.First part of irrigating solution sample (centrifugal back) is freezing separately to be used for cytokine analysis in the future.With whole lung quick freezing to be used for analysis in the future.
Three animals of not standing BAL in every group are used for histopathological analysis, and their lung with 10% buffered formalin via tracheal instillation, take out also fixing in identical solution.In general, detect each and treat three increments originally, every sample is made up of a plurality of axial slices of lung.All section alcian blue (alcian blue)-H﹠amp; E dyeing.To damage graduation according to subjective basis.To damage graduation is: minimum, slight, medium and remarkable (being respectively 1,2,3 and 4 according to severity) and the regulation that distributes: locality, local popularity, multizone (multifocal), multizone reach and close (coalescing) or diffustivity (according to being respectively 1,2,3,4 and 5).The severity of every treatment group and the result (product) of the scoring that distributes are asked average.
PGD2The eosinophilic granulocyte airway inflammation that brings out
The complete design solution details can be found in people such as Shiraishi (2004.J.Pharmacol.Ther.epubas DOI:10:1124/jpet.104.078212).Briefly, the brown rat of Norway is used last hour of prostanoid receptor stimulant with rat interleukin-5 or PBS intravenous injection in tracheae.These agonists can comprise following: PGD2, two kinds of CRTH2Specific agonist, DK-PGD2, 15R-methyl PGD2With 11-deoxidation-11-methylene radical-15-ketone-PGD2(MK-PGD2), DP acceptor-specific agonist BW 245C, thromboxane A2Acceptor (TP)-specific agonist ,-BOP and indomethacin.In some experiments, using agonist preceding 2 hours, use the TP antagonist that DP antagonist, BW A868C or intravenously that CRTH2/TP antagonist, Ramatroban, the intravenously of oral delivery send are sent.Agonist is used the back and was made rat euthanasia in 2,8 and 24 hours.Reclaim inflammatory cell in tracheae and the lung being used for cell counting by bronchoalveolar lavage, and estimate lung by histological examination.In independent experiment, rat is used PGD in tracheae2(100nmoles/ animal) or vehicle were accepted intravenous injection IL-5 (0.2ng/kg) or PBS in preceding 1 hour.Per hour collect the peripheral blood sample to be used for the hematology evaluation after taking IL-5.
The muroid allergic inflammation
The complete design solution details can be described in people (2000.Science 287:2013-2017) such as people such as Fujitani (2002J.Immunol 168:443-449) and Matsuoka.Briefly, at the 0th and 14 day, 10 μ g Protalbinic acid (OVA) immunity in the 0.2ml aluminium hydroxide (Alum) of transgenosis type mouse and wild-type mice.At the 21st day, mouse is contacted aerosolization OVA (50mg/ml in the Sterile Saline) 20 minutes.Excite back the 1st and 3 day at OVA, make mouse euthanasia, bronchoalveolar lavage, and irrigating solution is estimated by the classification cell counting.
The allergic rhinitis of anesthesia rodent
As in, make for 10 minutes twice cavy to OVA allergy at this by the aerosol solution that sucks 1%OVA by the described model of people such as Arimura (2001 J.Pharmacol.Ther.298:411-419).Aftersecond time sensitization 7 days, with Animal Anesthesia and use respirator to pass through the trachea cannula artificial ventilation.Another kind of glass intubate is inserted into nasopharynx from the side of larynx, and uses another respirator the air of fixed amount to be blown in the nasal cavity continuously via nasal intubation.Be blown into pressure and monitor, as the index of nose internal pressure by the pressure transmitter that is connected with the side arm of nasal intubation.The nose antigen stimulation carried out by the aerosol that uses ultrasonic atomizer to produce 3%OVA between nasal intubation and animal respirator in 3 minutes, measured the nose internal pressure then 30 minutes.Collect nasal discharge and nose to be used for further evaluation.
Also complete description in people such as Arimura (2001 J.Pharmacol.Ther.298:411-419) of two-phase allergic rhinitis model in the clear-headed cavy.
The anaphylaxis conjunctivitis model
The complete design solution details can be described in people such as Arimura (2001 J.Pharmacol.Ther.298:411-419).Briefly, 2.5%OVA solution part is used for described in top " the allergic rhinitis model of anesthesia rodent " design by two eyes of the clear-headed cavy of sensitization (10 μ l/ eye).After using, injects OVA the evans blue dye (20mg/kg i.v.) of the marker that oozes out as blood plasma immediately.The amount of the Ai Wensi indigo plant that will be exosmosed in 30 minutes in conjunctiva and eyelid is quantitative.Independently, histamine 0.001%, PGD20.01% or two kind combination be used for the eye of non-sensitized guinea pig, and measure dyestuff and ooze out.
The mensuration of the interleukin-13 in the bronchoalveolar lavage fluid
The commercially available ELISA test kit (Biosource that gets, catalogue #KRC0132) be used to measure the influence of compound to interleukin-13 (IL-13) level of the bronchoalveolar lavage fluid (BALF) of taking from rat, described rat has suffered some anaphylactogen (for example Protalbinic acid, dextrane gel, PGD2) cell proliferation of inductive air flue and inflammation.
After the collection, the BALF sample with Microcon YM-3 centrifugal device (Millipore, catalogue #42404) concentrate 5 times and-80 ℃ down storage up to use.Be reconstituted in the IL-13 standard that provides in the test kit by amount, preparation 500pg/mL standard inventory solution with the standard diluent that describes in detail on the standard phial.Typical curve is by preparing the standard inventory solution dilution to 7.8pg/mL continuously then.Every of 50 μ L typical curves and the spissated BALF sample of 50 μ L are added to elisa plate.The 150 mouse IL-13 of μ L Chinese People's Anti-Japanese Military and Political College biotin conjugates are added in these samples.Then plate was at room temperature hatched 2 hours.Then with plate with lavation buffer solution washing 4 times, and with 100 μ L1-x Streptavidin peroxidases add to institute porose in.Then sample was at room temperature hatched 30 minutes.After inciting somebody to action once more plate is washed 4 times with lavation buffer solution.100 μ L stabilization chromogens are added in every hole and with plate at room temperature hatched 45 minutes.For termination reaction, add 100 μ L stop baths and with plate at the 450nm reading.The level that comprises other cytokines of IL-1 β, IL-4, IL-5 and chemokine, ECF (eotaxin) can be estimated in the BALF sample equally to measure the influence of test compounds to the Th-2 correlation function.
The mensuration of Protalbinic acid specific immunoglobulin E in the serum
Compound can use according to people such as Salgado the influence of serum immune globulin E (IgE) level in the rodent of (for example Protalbinic acid) the air flue cell proliferation that suffers anaphylactogen and bring out and inflammation, Allergol.et Immunopathol., 16,2 (95-98), 1988 improved assay methods are measured.
Serum sample is taken from and is suffered by sucking the rat of the asthma that Protalbinic acid brings out, and-80 ℃ down storage up to use.With elisa plate be used in 1.25mg/mL Protalbinic acid bag that bag is cushioned preparation in the liquid (0.5M carbonate-supercarbonate, pH 9.6, Bethyl Labs, catalogue #E107) by and at 4 ℃ hatching is all night down.After 18 hours, with plate with lavation buffer solution (0.05% polysorbas20, pH 8.0, Bethyl Labs, catalogue #E106 for 50mM Tris, 0.14M NaCl) washing 1 time.Add 200 μ L blocking solutions (5% skimming milk/PBS) and with plate hatched 1 hour down at 4 ℃.Serum sample was diluted 1: 3000 in sample diluting liquid (the Post coat solution that contains 50mM Tris, 1%BSA, pH 8.00.05% polysorbas20, Bethyl Labs, catalogue #E104).After blocking solution hatching 1 hour, plate is added in the fit hole with washing soln washing 3 times and sample that 100 μ L were diluted.Then sample was at room temperature hatched 3 hours.In case hatching in 3 hours finishes, and plate is washed 5 times with lavation buffer solution.Goat-anti rat IgE HRP conjugate is detected antibody (Bethyl Labs, catalogue #A110-117P) to be diluted 1: 100 in 1% skimming milk/PBS solution.Then this solution of 100 μ L is added in the plate and with plate and hatched 1 hour down at 4 ℃.Then plate is washed 5 times with lavation buffer solution again.TMB peroxidase substrate (Bethyl Labs, catalogue #E102) prepares by adding equal-volume TMB peroxidase substrate and peroxidase solution B.100 μ L substrates are added in the plate and at room temperature hatched 15 minutes.Enzyme reaction comes termination reaction by adding 100 μ L 2M sulfuric acid (Sigma Aldrich).Then with plate reading under the wavelength of 450nm.
Under the situation of the compound (for example CRTH2 conditioning agent, CRTH2 inhibitor) that is used for the treatment of the disorder of gastrointestinal tract that inflammation wherein works, there are many kinds to can be used for the useful animal model of test compounds.
The TNBS colitis of rat:
A kind of complete design solution details of model can be found in people such as Morris (Gastroenterology96 (3): 795-803,1989).Briefly, in order to bring out the chronic colitis disease in the rat, the rubber catheter per rectum is inserted in the colon so that top apart from anus 8cm.Then, will be dissolved in 50%alcoholic acid 2,4,6-trinitro-benzene-sulfonic acid (TNBS 5-30mg) instils to colonic lumen through rubber catheter.Use back different time (24 hours and 1-8 week) at rectum TNBS and make rat euthanasia, and check infringement, inflammation and the ulcer of colon.Also estimate colon weight and colon myeloperoxidase (MPer) (MPO) activity.
The TNBS colitis of mouse:
Female C57BL/6 mouse is used for the model of the colitis that TNBS brings out.Briefly, test group is accepted vehicle separately by oral gavage or test compounds (is test compounds (10mg/kg) or positive control (dexamethasone; 0.5mg/kg)), the-1,0,1,2 day dose volume every day twice, and put to death at the 3rd day and to use once in preceding 4 hours with 10ml/kg.At the-1 day, before TNBS injection, made the mouse fasting in 16-20 hour.At the 0th day, mouse was infused in the colon, and rectum is separated about 4-7 minute with 50 μ l TNBS solution (Sigma) or vehicle/every mouse per rectum conduit.Make animal get back to cage and monitoring recovers fully being used for.Monitor behavior every day.Measure body weight when every day and end.By cervical dislocation make mouse euthanasia and (TNBS injected back 72 hours) autopsy in the 3rd day to estimate visual inspection, colon clinical observation, collect in the formalin of all colon to 10% neutral buffered to be used for the histopathology evaluation.Colon length when clinical evaluation comprises autopsy, colon weight, hemorrhage, narrow formation, ulcer, ight soil blood, mucus, diarrhoea, erythema, adhesion (adhesion) and oedema.Colon's pathology are by clinical score severity and the quantitative degree of inflammation of affected percentage area (for example foamy macrophage, lymphocyte and polymorphonuclear cell soak into), gland loss and epithelium loss.Mark with blind method.External myeloperoxidase (MPer) (MPO) assay method of the also available MPO enzymic activity of colon is estimated.The complete design solution details of alternative model can be found in people such as Dohi (Gastroenterology 119:724-733,2000).Briefly, give mouse (C57BL/6; 40 μ g/g and Balb/c 36 μ g/g) be dissolved in the mixture of phosphate buffered saline (PBS) and mix TNBS solution then with isopyknic ethanol with the final concentration that obtains the 2%TNBS in 50% ethanol.At the 0th and 7 day, the TNBS enema is applied to via the mouse of the glass microsyringe that the gastric intubation pin is housed with ketamine and xylazine anesthesia.(the 10th day) evaluation of tissue and cell after 3 days.
Mouse De azolactone colitis
The complete design solution details of this model can be found in people such as Kojima (J.Pharmacol.Sci.96:307-313,2004).Briefly, metal tubing is inserted colonic lumen 4cm through the anus of anesthetized mice.Azolactone solution (0.15mL/ mouse) is administered to colon by conduit.The 0th (colitis bring out before), collected the colon of mouse and the evidence and myeloperoxidase (MPer) (MPO) activity of inspection side colitis in 1,2,4 and 7 day.
In general, can use any colitis model, particularly chemical, haptens or antigen to be used to bring out the mouse or the rat model of colitis.
The mouse GI tract allergy that oral antigen brings out
A kind of complete design solution details of model can be found in people such as Hogan (Nat Immunol.2 (4): 353-60,2001).Briefly, by Protalbinic acid (50 μ g) and aluminium hydroxide (alum in the 0th day peritoneal injection 0.9% Sterile Saline; 1mg), make mouse sensitization.At the 12nd and 15 day, make the Orally administered pearl (20mg) of sealing Protalbinic acid or placebo enteric coating of mouse, Orally administered subsequently acidified water (300 μ l, pH 2.0).In some experiments, excited mouse in solubility Protalbinic acid (1mg) among the PBS (200 μ l) or contrast PBS stomach at the 12nd and 15 day.Make mouse euthanasia, and 72 hours measuring parameters behind the antigen stimulation in the end.Check the eosinophilic granulocyte inflammation of stomach intestinal tissue.The complete design solution details of another model can be found in people such as Forbes (Gastroenterology 127:105-118,2004).Briefly, 50 μ g Protalbinic acid/1mg alum by in the 0th day peritoneal injection 200 μ L 0.9% Sterile Saline make mouse sensitization.At the 12nd, 14 and 16 day, the pearl or the placebo pearl that make the Orally administered 20mg of mouse seal the Protalbinic acid enteric coating, Orally administered subsequently 200 μ L acidified waters (pH 2.0).Behind the last antigen stimulation 72 hours, make mouse euthanasia and measure disease parameters with the whole bag of tricks.In some experiments, the anti--anti-monoclonal antibody of D4 or the rat IgG control antibodies of injection rat IgG2b-disappearance in the 0th, 1 and 3 angel's mouse peritoneums.Measured the bronchial hyperreactivity that methacholine chloride is brought out at the 4th day.
Myeloperoxidase (MPer) is measured
This design is adjusted according to the description among the people (1989 Gastroenterology 96:795) such as people such as Arita (2005 Proc Natl Acad Sci USA 102:7671) and Morris.Briefly, estimate the active level of myeloperoxidase (MPer) of each colon's sample.Be organized in homogenization in the potassium phosphate buffer (pH 6.0) that contains 0.5% cetyl trimethylammonium bromide, carry out three circulations of supersound process and freeze thawing subsequently.Particulate matter removes by centrifugal (descending 13,000rpm 20 minutes at 4 ℃).10 μ l supernatant liquors are added in the 90 μ l potassium phosphate buffers (pH 6.0) that contain 0.2mg/ml two hydrochloric acid dianisidines (ODD) and 0.0006% hydrogen peroxide.Under 25 ℃ in the variation of 460nm, until 30 minutes with 30 seconds and 60 seconds interval measurement optical density(OD).
The diarrhoea that experimental oral anaphylactogen brings out
The complete design solution details can be found in people such as Brandt (J.Clin.Invest.112 (11): 1666-1677,2003).Briefly, make mouse sensitization twice (being separated by for 2 weeks) byperitoneal injection 50 μ g Protalbinic acids/1mg potassium aluminium sulfate adjuvant.After two weeks, make for 3 times mouse keep dorsal position weekly, and the Orally administered nearly 250 μ L Sterile Salines of 50mg Protalbinic acid that comprise.Before in each stomach, exciting, degrade under one's belt, made the mouse fasting 3-4 hour for limited antigen.In stomach, excite the back to pass through the vision monitoring mouse, estimate diarrhoea up to 1 hour.
Other colitis model are described in people (Scand.J.Gastroenterol 27:529-537,1992) such as people such as Elson (Gastroenterology 109:1344-1367,1995) and Kim.
Chitinase is measured
Acidic mammalian chitinase (AMCase) is brought out in asthma animal model, and people such as (, Science (2004) 304:1678-82) Zhu raises in concurrent present people's asthma.Therefore, AMCase can be the useful organisms marker of disease, and the compound AMCase capable of blocking of the reason of treatment asthma and/or symptom raises.The direct inhibition of AMCase can also be useful, improves inflammation and the airway hyperreactivity in the animal model because reported treatment with AMCase antibody.
Assay method is described in the scientific literature that comprises people (Science (2004) 304:1678-82) such as people (J Biol Chem (2000) 275:8032-7) such as Guo and Zhu.In the model of asthma, make mouse or rat to anaphylactogen (for example Protalbinic acid) sensitization, and soaked into and airway hyperreactivity to bring out lung by the aerosolization antigen stimulation subsequently.In the bronchoalveolar lavage fluid chitinase of (BALF) active with fluorescence substrate 4-methyl umbelliferone acyl (4-methylumbelliferyl) (4-MU) (Sigma) estimate.BALF with 0.02mM concentration at Citrate trianion/phosphate buffered saline buffer (0.1M/0.2M), the substrate hatching among the pH 5.2.Hatching is after 15 minutes down at 37 ℃, and reaction (final volume 110 μ l) stops with 1ml 0.3M glycine/NaOH damping fluid (pH 10.6), and (excites 350nm with photofluorometer; Emission 450nm) is measured the fluorescent agent 4-methyl umbelliferone that is discharged.4-methyl umbelliferone (Sigma) typical curve is used for quantitative enzymic activity.Protein concn uses Pierce micro-BCA protein determination kit to measure.The compound that is used for the treatment of asthma when in experimentation when the suitable time uses animal, can reduce the AMCase activity among the BALF.Optionally, directly suppress the active compound of AMCase when animal being used or containing in the device outside of enzyme of purifying, also can be used for treating asthma and/or allergy.
Psychotic animal model
Animal is housed in the environment of the Controllable Temperature that can freely obtain food and water.Make animal adapt to their new environment, and beginning preceding 1 week of experiment to touch their (so that they are familiar with the viewer).All experiments are carried out in the experiment room of independence, peace and quiet, luminance level, Controllable Temperature and sound attenuating.In test day, remove food and water and after experiment, put back to immediately at experimental session, so that there is not animal to be ready not have food and water above 8 hours.Observed behavior evaluation in following model one or more.
Routine (Sterotypical) behavior or the superfunction brought out by psychotomimetic drugs
Every animal is placed on separately in the plastic testing cage, and allows them to get used to cage nearly 30 minutes before test.After custom, make animal use psychotomimetic drugs (as MK-801, PCP or the like), immediately they are returned to test-cage then to be used for behavior observation.After injection, people such as (, 2005 Brain Res 1033:210-5) Hashimoto observed nearly and marked in 90 minutes to conventional behavior and general motion activity by the viewer and/or via video camera/active monitor.After each experiment, test-cage is with the thorough wiped clean of alcohol, hydroblasting and dry subsequently.This has eliminated any sense of smell clue that rodent can leave on the test-cage surface.Do not having under the certain situation of pharmacological agent, carrying out the base linc motion activity and measure to preceding 3 days of test day so that estimate the natural motion activity of animal.
Therefore, the cross-section study timetable that is used for conventional behavior and superfunction process is as follows: preceding 1 hour of general injection psychotomimetic drugs, take test compounds and they are put back in the tame cage to animal.Tested preceding 30 minutes in behavior, animal is positioned over makes it adaptation in the test-cage.After the adaptation, animal is put back in their test-cage separately then by the subcutaneous injection psychotomimetic drugs.After injection, observed nearly 90 minutes the record behavior by viewer and/or video recording tracker.After the behavior test, animal is got back in their the tame cage.The medicine that gives one week of animal is removed the phase, and revalues behavior with (counterbalanced) form of offsetting.When experiment finishes, pass through CO2Suck or Sodital excessive (>120mg/kg) make animal euthanasia.When being necessary that for the level of analyzing neurotransmitter and immediate early gene cerebral tissue is collected, carry out sacrificed by decapitation.If blood sampling is essential, then when finishing, research after all behavior observations finish, carries out.In order to gather blood, make animal be in terminal anesthesia by isoflurane or Sodital, and locate or by sampling at orbital sinus (retro-orbital sinus) with the sterile needle cardiac puncture by aseptic valinche.
Psychotomimetic drugs and antipsychotic drug are to the influence (prepulse inhibition model) of cognition
Alarm response is measured by terrified chamber.Each chamber is that the non-limiting synthetic glass cylinder of 8.2cm is formed by transparent diameter, and described cylinder is placed on 12.5 * 25.5cm platform in the ventilation casing.Lasting background noise and a series of sense of hearing dB that indoor tweeter produces 65 decibels (dB) stimulate.The vibrations of the synthetic glass cylinder that is caused by animal general alarm response are transduceed into simulating signal by the transduction equipment that is connected with platform.These signals are saved in computer.The PPI test phase is made up of the terrified test (120dB pulse) that shows at random, prepulse test (the 60-90dB prepulse is immediately following the 120dB pulse) and non-stimulated test usually.This stage continues 15-20 minute usually.Described acoustic stimuli are harmless for animal hearing.
Therefore, the cross-section study timetable of PPI can followingly carry out: take test compounds or antipsychotic drug (i.p. or s.c.) to animal.At once give animal general injection (i.p. or s.c.) vehicle or psychotomimetic drugs after this injection, and after 10 minutes they are placed on individually in the terrified chamber.Provide the 65dB levels of background noise to be used for 10 minute laundering period, begin PPI test phase (forming) then and continue 15 minutes by showing terrified test (120dB pulse), prepulse test (the 60-90dB prepulse is immediately following the 120dB pulse) and non-stimulated test.When test phase finishes, animal is put back in their the tame cage.Before the test phase of pharmacological agent, non-treatment, base measurement test phase can reach 5-7 days.After the behavior test, animal is put back in their the tame cage.The permission animal has the medicine in a week to eliminate the phase and revalues behavior with the form of offsetting.People such as Geyer (2001) Psychopharmacology157 (2-3): 117-154 has summarized the purposes of PPI model in research schizophrenia.
Depressed forced swimming model
Can screen compound as herein described and be used for alleviating ability in rodent forced swimming model inductive depression.The example of this design is people such as Porsolt, and people such as 1977 Arch IntPharmacodyn Ther.229:327-336 and Porsolt find among the 1979 Eur J Pharmacol.57:201-210.
In this model, animal is placed in the synthetic glass cylinder that fills water, does not obviously have the way of escaping in the cylinder from then on.Animal can be selected swimming or transfixion with strength.The actionless stage is represented the state of animal despair.The animal of taking known thymoleptic shows that the actionless time length shortens.Measure the actionless time by the viewer with stopwatch.
Depressed afterbody suspention (tail suspension) model
The test that is used to screen antidepressant compounds is afterbody suspention experiment.The example of this design can be found among the 1985 Psychopharmacology 85:367-370 people such as Steru.
This model is similar to the forced swimming model, animal is placed on cause under strenuous exercise and the transfixion stage alternative situation.In this measures, leave other objects and ground by the afterbody that makes animal, with they suspentions.As the forced swimming experiment, with the animal demonstration transfixion stage shortening of anti-depressant therapy.These transfixion stages measure with stopwatch by the viewer.
Be used to estimate the animal model of memory and cognitive ability
In people patient, there are many kind tests to can be used for measuring cognitive ability.Useful test comprises simple intelligent status checking (MMSE), alzheimer's disease measuring scale (ADAS), Boston naming test (BNT) and token test (Token Test) (TK).Testing evaluation is usually by beginning the per-cent increase of base line scoring with respect to the testing period in the mensuration testing period or reducing and analyze.These tests and other tests can be used for estimating the validity that is used for treating or preventing the promoting agent of cognitive impairment.
In analyzing the agent of candidate's memory protect, can be useful to the influence of the cognitive ability in the animal model to measuring test compounds.There are a lot of such tests to can be used for the evaluate candidate compound.
A kind of useful test relates to working memory (working memory)/attention of estimating in the mouse.Briefly, the influence of compound opposition body running memory can characterize in old mouse (promptly about 25 months big) and in young mice (promptly about 3 months big).The working memory of mouse at first can be endangered by pharmacological method (being the infringement of Scopolamine inductive).Working memory is the of short duration storage (people such as Bontempi of information, 2001 J Pharm and Exp Therap 299:297), and held itself out to be the initial form (people such as Glasky of alzheimer's disease, apoplexy and the old and feeble memory of being interrupted, 1994Pharm, Biochem and Behavior 47:325).Be used for the spontaneous conversion behavior of the another kind of useful thermometrically mouse of appraisal memory.Spontaneous transform definition is the congenital trend (Dember and Fowler, 1958Psychological Bulletin 55:412) that rodent is alternately freely selected in the T labyrinth during a series of continuous races.This is the successive processes that relies on working memory because the alternative ability need animal remember from be tested to the different specificity information of test (people such as Bontempi, 2003Neuropsychopharmacology Apr 2,2003,1-2).This test is parameter sensitivity, the test number of described parameter such as delay interval and increase and the pharmacological treatment (Stefani and Gold, 2001 Journal of Neuroscience 21:609) that influences the memory process to changing also.In implementing this test, at first allow the of short duration exploration of mouse T labyrinth with familiar devices.At second day, a mouse is placed in the starting point case that is connected with the main stem in T labyrinth.The elapsed time (selecting latent period) between starting point case and the selection arm is opened in measurement.Mouse is limited in the selected arm time (for example 30 seconds) that continues one section setting, then it is returned to the starting point case to carry out remaining continuous experiment in test period people such as (, 2003) Bontempi.The working memory performance (performance) of each mouse is recently estimated according to the alternative percentage of duration of test in test phase.Per-cent is defined as entering in the dissimilar arm in T labyrinth during long run test.
It is the another kind of useful animal model of test compounds to the influence of cognitive ability that the non-coupling in position (Delayed Non-Matching to Place) that postpones (DNMTP) is tested.In this test, (Levin E. and Caldwell are trained and tested to mouse in the radial labyrinth of overhead eight arms, DP (2006) Neurobiol Learn and Memory 86 (1) 117-122), described labyrinth has the central starting point case that is placed on room central authorities, and is placed on the room on every side with the various picture/objects as spatial cues.Each arm all has the food ball cup that is positioned at its far-end.Make the bereft animal of food be accustomed to the open device of all arms, and during the several successive free exploratory stage of every day, lure animal before the test day with bait.When all arms were all visited and all food balls are all used the light time, then the exploratory stage finishes people such as (, 2001 (the same), 2003 (the same)) Bontempi.Make the training of animals received DNMTP rule then.Testing period is made up of a plurality of tests of determining to be spaced apart.Test is made up of conceptual phase (twice force race) and test phase (twice selection race).When conceptual phase, make animal in two different open arms, carry out twice successive and force race.Force that to run be to allow animal movable with collection food ball and get back to central starting point case downwards when an arm in labyrinth is open.After forcing race for the second time, test phase and then begins.Two doors are open simultaneously with beginning selection race for the first time.A door shows first arm of visiting when conceptual phase, and another is the adjacent arm of not visiting.In case animal makes one's options and turns back to the starting point case then, then next opposite house is opened (selecting for the second time to run).Select for the second time to run to form by second arm and the adjacent new arm of visiting in conceptual phase.When select running, just make its enhancing during the arm of not visiting before only when animal enters in conceptual phase.This is the rule of the non-coupling in position; The rule of the arm of visiting before not getting back to.In case mouse is accepted the training of DNMTP rule, can introduce the variable delay time between conceptual phase and the test phase.Before the compound test, in continuous several days mouse is adapted to and postpone normal form (delay paradigm).Implementing the compound test in continuous several days, then is the removing phase that does not have the normal form training, is that the vehicle injection is to be used to measure the baseline performance then.Acute administration test compounds or vehicle injection before each testing period begins.Working memory is estimated by the performance when medicine sky and the baseline sky relatively.(Crawley is estimated in the effect of the cognition enhancer thing of supposing usually in the non-coupling task in position that postpones, What ' s Wrong With My Mouse? (what's the matter for my mouse for Behavioral Phenotyping of Transgenic and Knockout Mice? the behavior phenotype of transgenosis and knock-out mice), Wiley-Liss, New York, 2000).The DNMTP task is similar to timetable inductive operator task, and it comprises the delay coupling in the automatization room that is generally used for rat and the non-matching test in position that postpones (people such as Bontempi, 2001 (the same); Crawley, 2000 (the same)).
Except those above-mentioned working memories were measured, the another kind of useful animal model of estimating cognitive performance was that (Ennaceur ﹠amp is measured in new object identification (NOR); Delacoer 1988, Behavioral BrainRes.31,47-49).Briefly, by beginning to make their contact " being familiar with " objects make rodent contact " being familiar with " object and " newly " object after for some time then, this evaluation of measuring rodent keeps the ability of the memory of " being familiar with " object.If rodent identification " being familiar with " object, they will spend more times and explore " newly " object so.If lost the memory of " being familiar with " object, the time of two objects of rodent research is equal so.Evaluation test compound prolongation rodent can keep the ability of the time bar (as measured by exploring new object) of the memory of familiar objects.
Think that working memory test as those above-mentioned tests need each test to go up the identification and the use (mainly influencing the attention process) of fresh information, and the space need be through the used identical information of overtesting with reference to memory tasks.
Morris water maze task (D ' Hooge and De Deyn (2001) Brain Res Rev 36 (1) 60-90) be the space navigational duty, wherein animal uses visual cues to swim over to hiding platform.Stimulate animal to be found to platform the most direct the fastest approach so that flee from water.Test is made up of the pre-training of visible platform usually, this ability that is trained for the program element of test animal enforcement task in advance.Training for the position that hides platform obtains immediately following the visible platform.At last, probe test has been tested the ability that animal comprises the locus that hides platform before finding.Successful performance in the probe test shows that animal spends remarkable more times in the quadrant of being trained than in deconditioned quadrant.The defective of learning and memory be defined as in the visible platform task, act normally and in hiding platform task the performance not good enough.
Other tests have been widely used for screening cognitive enhanced compound (Crawley, 2000 as the avoidance task; People such as Sarter, 1992 Psychopharmacology 107:461).For example, in the passive avoidance task, animal is placed in the shuttle box (dark is the aptitude of rodent) that contains illumination chamber and dark chamber.Animals received is trained the vola electric shock (footshock) and the characteristic bonded of the dark chamber of natural tendency.Second day, the evaluation detest bonded memory in latent period (Crawley, 2000) that animal is placed on the illumination chamber and enters dark chamber.The latent defect of these tests is with respect to Morris water maze task, and program element (ability of acquisition, storage or refresh memory) can not break up from descriptive memory (the specificity project of canned data).The latent period that entered dark chamber in first day be in the avoidance task only in controlled variable.Known passive avoidance task can be subjected to fear and influence, the negative impact because animal is subjected to the vola electric shock, so people such as (, 2001 Jpn Journal of Pharmacology 87:240) Yamaguchi measured in this test through being usually used in replenishing other learning and memories.
The test of cognitive ability is generally used for combining with the test that designs the artifact (artifact) that is used for getting rid of the time infringement animal that carries out complex task.For example, can comprise that the locomotor activity of stereotypy measures (Crawley, 2000 (the same)) by test to the general influence of motor function (superfunction or calmness).Motor coordination and balance can be estimated by assay method such as rotary test.This test needs mouse to go ahead continuously to avoid fall (Crawley, 2000 (the same)) on the right cylinder of rotation.
Test compounds is to the effect of the neuropathic pain in spinal nerves ligation (SNL) model
Compound with in the similar method evaluation of method described in the US20050143443 embodiment 30 (the 224th section).(Harlan, Indianapolis IN) can freely obtain food and water, and are remaining on during the whole research on illumination in 12: the 12 hours/interlunation table to make bull Srague-Dawley rat.Make animal cloning remain on 21 ℃ and 60% humidity.Spinal nerves ligation (SNL) model (Kim and Chung (1992) Pain 50:355-63) is used to induce chronic neuropathic pain.Use the isoflurane anesthesia animal, remove left L5 transverse process, and L5 and the tight ligation of 6-0 silk suture of L6 spinal nerves.Then that wound is closed with inner suture and outside nail.The operation back was removed wound clips in 10-11 days.Measure the effect of test compounds to the abnormality test of mechanicalness pain.8Semmes-Weinstein silk (the Stoelting of (0.4,0.7,1.2,2.0,3.6,5.5,8.5 and 15g) is used and to be had different-stiffness to value after the baseline of nontoxic mechanicalness susceptibility, postoperative and the treatment, Wood Dale, Ill., USA) or according to the vonFrey hairs (people (1994) J Neurosci Methods 53:55-63 such as Chaplan) of last-laxative remedy estimate.Animal is placed on the perforated metal platform, and allows animal testing their environment of preadaptation minimum 30 minutes.Measure the standard error of average and average (SEM) of every animal of each treatment group.Although think normally pain not of this stimulation, significantly the reactivity increase brought out of damage is interpreted as unusual the measuring of mechanicalness pain in this test.Behind the baseline reading, use test compounds and per 2 hour record readings after compound administration 8 hours.The anticonvulsive agent gabapentin is as positive control.Use PrismTM4.01 (GraphPad, San Diego CA) carry out statistical analysis.The mechanicalness hyperergy of damage pawl is measured by the offside pawl and the homonymy pawl value that compare in the vehicle group.Data are used Mann-Whitney to check and are analyzed.Test vehicle group damage pawl value stability in time uses Friedman grade two-way analysis of variance to check.By carry out Kruskal-Wallis grade one-way analysis of variance, Dunn checks or the Mann-Whitney signed rank test afterwards subsequently, in each time point analytical test compound effects.
Test compounds is to the effect of operation pain model
Compound is to be similar to the method evaluation by the described method of people such as Whiteside (Br.J.Pharmacol (2004) 141:85-91).Briefly, under general anesthesia, rat stands to use Aseptic technique in the plantar surface of rear solid end, with from begin to extend to direction of toe of last the surgical cut of method of the plantar fascia of 1cm cutting skin and pawl from heel near-end 0.5cm.Vola muscle protuberance is also vertically cut.After light pressure hemostasis, skin is relative with twice interrupted suture.Wound location is treated with polyvidone-iodine and microbiotic powder, and allows rat to recover in their tame cage.The postoperative twenty four hours can be estimated the threshold value of noxious stimulation.Used evaluation can comprise mechanical hyperalgesia (the Randall ﹠amp that uses pawl pressure technology; Selitto, (1957) Arch.Int.Pharmacodynam., 3:409-419), according to last-following method use the sense of touch pain of von Frey hairs unusual people (1994) J NeurosciMethods 53:55-63 such as () Chaplan and utilize anergy survey meter (incapacitance meter) the hind leg heavy burden (Stoelting, CA).After measuring baseline response in 24 hours after surgery, compound can be used via IP, PO, SC and/or IV approach, and estimates analgesia and/or anti-allodynia (anti-allodynic) effect in 1,3,5 and 24 hour in the back of taking medicine.By variance analysis (ANOVA), the check analysis afterwards that is fit to subsequently such as Fischer PLSD check, analyze the threshold value response data.
Estimate the animal model of frequent micturition, the urinary incontinence and associated conditions
As people such as Ozawa, The Journal of Urology, the 162nd volume, the 2211-2216 page or leaf, 1999 and people such as Boucher, The Journal of Urology, the 164th volume, the 203-208 page or leaf, described in 2000, described compound can be estimated the influence of the urocystitis in rat that they bring out endoxan, cavy, the dog etc.People such as Carlo Alberto Maggi (Journal of the AutonomicNervous System, the 38th volume, 201-208 page or leaf, 1992) have described the model that can be used for the active bladder hyperactivity hyperkinesia of assessing compound disease function.
Vomiting is measured
Compound as herein described suppresses the ability of nausea and vomiting and can measure described in the 25:2773-2782 as at people such as Sharkey (2007) European Journal of Neuroscience.Briefly, before test with bull ferret (900-1500g, Mustela putoris furo, MarshallResearch Laboratories, NY, USA) fasting all night, but can freely obtain water.At emetic ismorphine 6 glucuronide (0.05mg/kg, s.c., M6G, Lipomed, Arlesheim, Switzerland) preceding 15 minutes, i.p. used vehicle (for example 2% dimethyl sulfoxide (DMSO), 1% tween 80 in the physiological saline) or test agent (for example with 1-2mg/kg FAAH inhibitor compound).Observe 1 hour counting of ferret vomiting incident (being defined as the rhythmicity belly shrinks with opening mouth and tangible the retch) and vomiting (being defined as the discharge of retch) with saliva and gastric juice.Also measure active by the number of times that the calculating ferret carries out the voluntomotory time at viewing duration.Data are expressed as the average ± SEM of n value (as every group of 5-8 animal).Use anova, Bonferroni checks comparative data afterwards subsequently, and if P<0.05, then thinking has significance,statistical.
Electrophysiological detection
Can estimate the effect of compound as herein described to product (hERG) activity of potassium channels of people ether-a go-go gene-correlation.The hERG passage is expressed in human embryo kidney (HEK) (HEK293) clone that lacks endogenous hERG passage.HEK293 cell hERG cDNA stable transfection.By with the G418-drug resistance gene coexpression that is attached in the expression plasmid, select stable transfection.Selective pressure is kept by G418 is included in the substratum.Cell is cultivated in being supplemented with the Dulbecco improvement Eagle substratum/nutrition mixture F-12 (D-MEM/F-12) of 10% foetal calf serum, 100U/mL Benzylpenicillin sodium, 100 μ g/mL Vetstreps and 500 μ g/mL G418 or analogue.Cell is remained on 95% air, the 5%CO of 37 ℃ and humidification2In the tissue culture incubator of atmosphere, stock solution remains on low temperature storage.Be used for electrophysiological cell and be coated in plastic culture dish.
Every day is prepared fresh test soln, positive control such as E-4031 (500nm), terfenadine (60nm) or cisapride (100nM) in HEPES-buffered physiological saline (HB-PS) solution (in the composition of mM), described normal saline solution comprises: NaCl, 137; KCl, 4.0; CaCl2, 1.8; MgCl2, 1; HEPES, 10; Glucose, 10; Regulate pH to 7.4 with NaOH or analogue.All test solns and contrast solution also comprise 0.3% dimethyl sulfoxide (DMSO) (DMSO).Therefore the vehicle contrast solution is HB-PS+DMSO 〉=0.3%.
Cell transfer is surpassed fusion (superfuse) to noting down in the chamber and with the vehicle contrast solution.The micro pipette solution of complete blood cell patch clamp record is mainly by following the composition (mM): potassium aspartate, 130; MgCl2, 5; EGTA, 5; ATP, 4; HEPES, 10; Adjust pH to 7.2 with KOH or analogue.Under 35 ± 2 ℃ temperature, carry out record.The micro pipette that is used for the patch clamp record uses P-97 micro pipette puller (puller), and (Sutter Instruments, Novato CA) is made by glass capillary.Commercial patch clamp amplifier is used for the whole blood record.Before digitizing, the electric current record is with 1/5 low press filtration of sampling frequency.
The cell of stably express hERG remains on-and 70-is to-80mV.Because activating, the beginning of test compounds hERG electric current and stable state use pulse mode (to regulate prepulse :+20 to+40mV 1 second with fixed amplitude; Repolarization is to-50mV, and repolarization is to-70mV subsequently, repeats at interval second with 5-10) measure.In order to estimate the contribution of endogenous electric current, write down positive control (for example E-4031,500nM) end of available final application super large concentration at every turn.Then residue not the electric current of blocking-up can be from data numeral go up off-line and deduct to measure test substances and be used for hERG activatory usefulness.
Stable state is defined as restricted constant velocity of variation (linear session dependency) in time.Use the per-cent that front or rear stable state is used to calculate the electric current that suppresses in each concentration in test compounds.(Cary NC), is compared the per-cent activation of each concentration in the test group with vehicle for JMP Version 5.0.1, SASInstitute to use single factor ANOVA, Dunnett multiple comparisons check subsequently.
The test compounds of different concns is used for cell to measure the effect to the hERG current amplitude.Measure the standard error (SEM) of the mean value of every group of at least 3 cells ± average and compare with the effect of positive control.
Selective determination
Optionally measure
Can use GPCRScreenTM(MDS Pharma Services; The whole world comprises Taiwan) analyze the target selectivity of compound as herein described, the activity of the anti-92 kinds of different people g protein coupled receptors of this screening system compound.
The serine hydrolase selective determination
But the active ability that test compounds (for example FAAH inhibitor, MAGL inhibitor, FAAH/MAGL double inhibitor) is regulated (for example suppressing) other serine hydrolases to measure them.Therefore, can use people such as Lichtman, process described in the 2004 Journal Pharmacol And ExperimentalTherapeutics 311:441-448 is estimated the active ability that compound as herein described is regulated other serine hydrolases, and described other serine hydrolases comprise cardiac enzymes triglyceride hydrolysis enzyme (TGH; People such as Alam, 2002 Biochemistry 41:6679-6687), fragrant ethanamide deacetylase (AAD; People such as Trickett, 2001 J Biol Chem 276:39522-39532), Procaine esterase 1 (CE-1; People such as Redinbo, 2003 Biochem Soc Trans 31:620-4), lipoprotein lipase (LPL; Stein and Stein, 2003 atherosclerosis 170:1-9) and brain lytic enzyme KIAA1363.In addition, people such as Leung, 2003 Nat Biotechnol 21:687-691 have described the screening of functional protein group, and wherein the competition of evaluation test compound is by the ability of the FP-rhodamine probe mark serine hydrolase of avtive spot orientation.The test anti-tissue protein group of test compounds (for example mouse, rat or human brain, the heart and kidney) and soluble part and membrane portions of (100pM-100 μ M) in a series of concentration, and, measure the IC of demonstration to the lytic enzyme of the susceptibility of one or more inhibitor from these data50Value.Then as people such as Kidd, described in the 2001 Biochemistry 40:4005-4015, use as people such as Liu biotinylation FP probe described in the 1999Proc Natl Acad Sci USA 96:14694-14699 and avidin (avidin) chromatography-mass spectrum program characterization test compound susceptibility lytic enzyme.Briefly, mouse tissue is containing Dounce-homogenization in the tris damping fluid of 320mM sucrose (50mM Tris-HCl damping fluid, pH 8.0), and separates through high speed centrifugation under 4 ℃.1100g 5 minutes and 22,30 minutes continuous rotation of 000g produces membrane portions, and it wash also resuspending in the Tris damping fluid.The supernatant liquor of rotation produces soluble part for the second time.With protein group sample (1mg/ml) is the test compounds preincubation 10 minutes of 100pM to 100 μ M with concentration range, and at room temperature use hexafluorophosphoric acid ester (FP)-rhodamine (100nM) people such as (, 2001Proteomics 1:1067-1071) Patricelli to handle 10 minutes.From dense DMSO stock solution, all add test compounds and FP-rhodamine to obtain 2% final DMSO concentration.Reaction comes cancellation by the 2x standard SDS-PAGE load buffer (reductibility) that adds 1 volume, move on SDS-PAGE, and (CA) gel is visual for MiraBio, Alameda to use Hitachi FMBioIIe flatbed fluorescent scanning instrument.The protein of mark is integrated band intensity quantitatively (for the volume stdn) by measuring.Think that the band intensity of the protein group sample handled with independent DMSO is 100% activity, and the proteinic band intensity that suppresses of tested compound is expressed as the per-cent of remaining activity.With the protein group sample test that is adjusted to 0.1mg/ml with effective inhibitor (IC of 0.5 to 50nM50Value<10nM).(GraphPad Software Inc., San Diego is CA) from the IC of each inhibitor concentration of dose-effect curve determination of three tests to use GraphPadPrism software50Value.People such as (, 2001) Kidd as described above uses biotinylation FP probe people such as (, 1999) Liu with avidin chromatography-mass spectrum program enzyme target spot avidity to be separated and identifies.
The picked-up of arachidonic acid thanomin
The level of arachidonic acid thanomin can change, degrade by synthetic (for example passing through FAAH) and sequester (for example picked-up) regulated.The picked-up of arachidonic acid thanomin has been described in the literature by many kinds of groups and has been differentiated and shown as the micromolecular inhibitor that suppresses this process.In some cases, these inhibitor also can have and comprise the other pharmacological activity [people such as Moore, Proc Natl Acad Sci (2005) 102:17852-7] that suppresses FAAH.Arachidonic acid thanomin picked-up measure can be in the contract laboratory such as MDS Pharma Services (whole world comprises Taiwan, catalog number (Cat.No.) 315500) commerce carry out.This mensuration is similar to by described mensuration of people (Proc Natl Acad Sci (2005) 102:17852-7) such as people (J BiolChem (1997) 272:3315-23) such as people (J Biol Chem (1998) 273:32332-9), Bisogno such as people such as Maccarrone (J Biol Chem (2000) 275:13484-92), Maccarrone and Moore.
The picked-up of arachidonic acid thanomin is determined at this description.Briefly, the picked-up of [1-14C] arachidonic acid thanomin (52mCi/mmol) research in complete CHP100 or U937, human neuroblastoma and human leukemia monocyte lymphoma system respectively.CHP100 or U937 cell do not contain in the substratum of serum in them with the density resuspending of 1 * 106 cell/ml.Use down 100nM[1-14C at 37 ℃] the arachidonic acid thanomin hatches cell suspending liquid (2ml/ test) and reaches the different timed intervals; Then they are washed 3 also final resuspending in containing the 2ml substratum of 1% bovine serum albumin in 200 μ l phosphate buffered saline (PBS)s.Extract membrane lipid (Maccarrone then, 1996, EurJ.Biochem, 241:297-302), resuspending mixes in 0.5ml methyl alcohol and with the 3.5ml Sigma-Fluor liquid scintillation mixture (Sigma) that is used for non-aqueous sample, measures radioactivity then in LKB1214 Rackbeta scintillometer.In order from the protein mediated arachidonic acid thanomin that enters cytolemma, to distinguish non-protein mediated, under 4 ℃, carry out control experiment.Also use [1-14C] arachidonic acid thanomin (scope is 0-750nM) of different concns to hatch (15 minutes) and measure the apparent Km and the Vmax of described picked-up to analyze (picked-up when in this case, 4 ℃ of picked-ups 4 ℃ the time are from 37 ℃ deducts) by Lineweaver-Burk.The picked-up of arachidonic acid thanomin is expressed as the arachidonic acid thanomin of the picomole that per minute/mg protein is ingested.Different test compounds are measured by every kind of test compounds is directly added to incubation culture medium with selected concentration the effect of arachidonic acid thanomin picked-up.Cell viablity after each the processing is checked with trypan blue.Not it should be noted that and observe [3H] CP55940 is the non-specific binding of the membrane plasmapheresis of effective cannaboid and CHP100 cell, but and U937 cell expressing the CB1 mRNA and the very low-level CB2 mRNA of detection level hardly; Therefore, with the CB receptors bind [1-14C] the arachidonic acid thanomin do not disturb picked-up experiment probably.
PDE4
PDE4 is the main cAMP metabolic enzyme of finding in inflammatory and immunocyte.Small molecules PDE4 inhibitor just is used for the treatment of the disease relevant with the airway inflammation that comprises asthma by active development.PDE4 measures by Research on Contract mechanism such as MDS Pharma Services (whole world comprises Taiwan, catalog number (Cat.No.) 154000) commerce and is undertaken.This mensuration be similar to by people such as Thompson (Adv Cyclic NucleotideRes (1979) 10:69-92], people such as Nicholson (Trends Pharmacol Sci (1991) 12:19-27] and people such as Cortijo (BrJ Pharmacol (1993) 108:562-8] described mensuration.
Fattyacid amide hydrolase 2 types suppress to measure
Use by with huFAAH-2cDNA (catalogue #TC106934, Origene, Rockville, MD) in the mensuration of the membranin of the Cos7 cell preparation of transient expression, the evaluation test compound suppresses people FAAH2 type (huFAAH-2; FAAH-2) ability.Briefly, in this measures with the 0.37uCi/mL oleoyl-[3H]-thanomin (OEA, American Radiolabeled Chemicals) in containing the buffer A of unmarked OEA (10mM Tris-HCl, pH 6.5,1mM EDTA and 0.1mg/ml lipid acid dissociate bovine albumin) dilution to obtain 5 μ M (200 μ l final volume).The test compounds that adds different concns, and begin by adding 20 μ g films.At 37 ℃ after following 10 minutes, (regulate the 0.5M KPO of pH to 2.1 with phosphoric acid by adding the 10ul acidic solution4) in termination reaction on ice.By with the difference of charcoal absorption (differential adsorption) will [3H]-the thanomin product separates from OEA, and counts in the microwell plate scintillometer.
Tubulin
During mitotic division, the DNA of cell is replicated, and is divided into two new cells then.Become two processes that form cell to relate to the spindle fibre that makes up with microtubule the chromosome segregation of newly duplicating, microtubule self is formed by the long-chain of the more small protein matter subunit that is called tubulin.Spindle microtubule albumen is connected with duplicated chromosome and one of tractive is copied to each side of somatoblast.If there are not these tubulins, then cell fission is impossible.Be similar to those mensuration described in people such as Bacher (Pure and AppliedChemistry (2001), 73:1459-1464) and Li and the Sham (Expert Opinion on TherapeuticPatents (2002), 12:1663-1702) (being included in wherein said document), carry out tubulin and suppress to measure.Optionally, tubulin suppresses to use external tubulin polymerization to measure (catalogue #CDS01-B; Cytoskeleton, Denver Colorado) measures.Microtubule is relevant is rich in proteic freeze-drying tubulin and is used for the program determination test compounds of recommending according to the manufacturer effect to tubulin polymerization.Briefly, the tubulin supernatant liquor (90uL) that replenishes with GTP in 96 orifice plates is hatched each experimental compound (10ul 10X mother liquor).In Molecular Devices plate reader, hatching under 37 ℃, and, continuing 1 hour at 340nm per minute record absorbancy reading.
PLA2
Phospholipase A2 makes membrane phospholipid slough acyl group to produce (except other products) arachidonic acid, and arachidonic acid is to be used for the synthetic precursor that comprises the eicosanoid of prostanoid and leukotrienes.Mainly contain 3 kinds of PLA2: secretor type (sPLA2), endochylema type Ca-dependent (cPLA2) and Ca-dependent (iPLA2) PLA2.All 3 kinds of degradables synthesize substrate 2-deoxidation-2-sulphur arachidonic phosphatidyl choline, and (arachidonic acyl group sulphur-PC) to discharge free mercaptan (thiol), the latter can be detected by DTNB (dithio-nitrobenzene formic acid).Therefore, the selectivity of any among three kinds of PLA2 suppress to utilize various purifying or partially purified PLA2 source be suppressed at mercaptan in the similar reaction by measurement and discharge and detect.In addition, having many kinds of PLA2 to measure describes or commercially available getting in scientific literature.For example, PLA2 suppresses to measure can be in the Research on Contract mechanism such as the MDS Pharma Services (whole world, comprise Taiwan, for example catalog number (Cat.No.) 160000 and 160100) or by using test kit to carry out as those test kits (for example catalog number (Cat.No.) 765021) of being supplied by Cayman Chemical.Reference comprises people (J Pharmacol ExpTher (1999) 288:1117-24) such as people (Anal Biochem (1994) 25-32) such as people (J Med Chem (1996) 39:5119-36), Reynolds such as people such as Huang (AnalBiochem (1994) 222:110-5), Dillard and Snyder.
Methods of treatment
Compound as herein described or its pharmaceutically acceptable composition can be bonded to the composition that is used to wrap implanted formula medicine equipment such as prosthese, artificial valve, artificial blood vessel, support and conduit.Therefore, in one aspect of the method, the present invention includes and be used to wrap implanted formula apparatus, comprise general formula as mentioned and each group and the described The compounds of this invention of subgroup and be suitable for wrapping composition by the carrier of described implantable device.In a further aspect, the present invention includes the implantable device with composition bag quilt, described composition comprises general formula and each group and described The compounds of this invention of subgroup and the carrier that is suitable for wrapping by described implantable device as mentioned.
Another aspect of the present invention relates to the biological activity that changes biological sample or patient, and its method comprises to be used compound as herein described or comprise described compound compositions or make described biological sample with compound as herein described or comprise that described compound compositions contacts described patient.Term used herein " biological sample " includes but not limited to cell culture or its extracting solution; Biopsy material from Mammals or the acquisition of its extracting solution; With blood, saliva, urine, ight soil, seminal fluid, tears or other body fluid or its extracting solution.
With compound as herein described or comprise that the biological activity that described compound compositions changes in biological sample is used for multiple purpose well known by persons skilled in the art.The example of these purposes includes but not limited to that blood transfusion, organ suppress, biological sample is preserved and biological assay.
The methods of treatment that FAAH is relevant
Expectation suppresses the active compound of FAAH and can be used for treating and/or preventing many kinds of illnesss.Expectation FAAH inhibitor reduces one or more symptoms of one or more these class illnesss.
Compound as herein described (for example FAAH inhibitor) can be used for preventing and/or treating, for example epilepsy and epileptic inductive infringement, contact exitotoxicity neurotoxin, excitotoxicity, ischemia (ischaemic) cerebral lesion, cerebral ischemia, traumatic injury (for example brain injury), depressed, anxiety, somnopathy, alzheimer's disease, Parkinson's disease, Huntington Chorea, amyotrophic lateral sclerosis, multiple sclerosis, the Tourette syndromes, schizophrenia, glaucoma, pain, habituation, inflammation, anaphylaxis, eating disorder, ypotension, hypertension, dyspnoea, cancer (tumor growth), the chemotherapy complication, suffocate, attention deficit disorder, and gastrointestinal tract disease (comprises nausea and vomiting, stomach ulcer, secretory diarrhea, paralytic ileus, inflammatory bowel disease, colorectal carcinoma and gastroesophageal reflux illness).
Glaucoma and illness in eye
Other illnesss that compound as herein described (for example FAAH inhibitor compound) can be used for preventing and/or treating glaucoma and has the ocular hypertension feature.
Somnopathy
Compound as herein described (for example FAAH inhibitor compound) can be used for preventing and/or treating the somnopathy that influences the ability that the patient is sleeping and/or maintenance is slept and/or cause the unclear dormancy of keeping alert while in bed (unrefreshing sleep).Term " somnopathy " comprises insomnia, sleep terror fright at night, grinds one's teeth in sleep, somnambulism, sleep apnea, restless leg syndrome, the unclear dormancy of keeping alert while in bed, seasonal affective disorder, diel rhythm adjustment disorder and similar type.
Insomnia is divided into sleeping aypnia (sleep onset insomnia) usually, and wherein the patient is sleeping needed above 30 minutes; With the maintenance insomnia (sleep maintenance insomnia) of sleeping, wherein patient's cost when expecting sleep period was awakened above 30 minutes or is for example awakened before the expectation wake-up time and again can't fall asleep.Somnopathy comprises endogenous obstacle such as sleep apnea and relates to the obstacle of behavior or exogen environmental factors.For example, somnopathy comprises that the patient is difficult to for example adapt to because the new diel rhythm of jet lag; Night shift, overtime work or erratic shift; And similar type.Somnopathy also can or just produce among the patient with the other drug treatment in the patient who suffers from other illnesss, i or I, and wherein these patients have difficulty in going to sleep and/or keep sleep or experience the unclear dormancy of keeping alert while in bed as a result.For example, disclosed method be used to induce because the experience chemotherapy or because damage or, because patient's sleep that emotional handicap has difficulty in going to sleep as depressed, anxiety or similar type.
Somnopathy comprises the obstacle of being thought somnopathy by those skilled in the art, and obstacle for example known in the art or suggestion are that somnopathy or discovery are the obstacles of somnopathy.For example referring to, Thorpy, MJ International Classification of sleep disorders (International Classification of somnopathy), revised edition: Diagnostic and Coding Manual (diagnosis and coding manual) .Americansleep disorders Association; Rochester, Minnesota 1997; With JCD CM, International Classification of Diseases (International Classification of disease), the 9th revision, Clinical Modification, National Center for Health Statistics, Hyattsville, MD.
Somnopathy can be divided into dyssomnias for example endogenous, exogen and diel rhythm obstacle usually; Parasomnias (parasomnias) for example wakes up, the Sleep-Wake conversion is relevant with rapid eye movement (REM) illness and other parasomniases; With mental disorder, obstacle that neurological disorder is relevant with other medical science obstacles; And other somnopathy.
Intrinsic sleep disorders for example comprises Psychophysiological insomnia, subjective sensation aypnia, special aypnia, narcolepsy, recurrent hypersomnia, special hypersomnia after property hypersomnia, the wound, obstructive sleep apnea syndrome, CSAS, central alveolar hypoventilation syndrome, Periodic limb movement disorder, restless leg syndrome and the similar type sent out sent out.
Extrinsic sleep disorders comprises for example eats (drink at night) syndrome, hypnotic drug dependency somnopathy, stimulant dependency somnopathy, alcohol dependence somnopathy, bringing out property of toxin somnopathy and similar type at Inadequate sleep hygiene, environment somnopathy, high-altitude aypnia, the insufficiency of accommodation of sleeping, the syndrome of not having enough sleep, limiting property somnopathy, sleeping dependency obstacle, food anaphylaxis aypnia, night.
Circadian rhythm sleep disorder shifts to an earlier date syndrome, non-24 hours sleep-awake pattern and similar type mutually when comprising for example time zone change (jet lag) syndrome, shift work somnopathy, erratic Sleep-Wake pattern, delayed sleep phase syndrome, sleep.
Wake that somnopathy comprises that for example entanglement wakes up up, sleep walking, sleep frightened (sleep terror) and similar type.
Sleep-awake conversion disorder for example comprises rhythmic exercise obstacle, sleep language disease, the night shank cramp and similar type that startles, sleeps.
The somnopathy that REM is relevant comprises for example nightmare, sleep paralysis, the relevant erectile disfunction of sleeping, the relevant chordee of sleep, the REM sleep occurs together, and Dou Xingxing stops fighting, REM sleeps behavior disorder and the similar type of occurring together.
Other parasomnias for example comprise sleep grind one's teeth in sleep, sleep the enuresis, swallow syndrome, night paroxysmal myodystonia, agnogenic night sudden-death syndrome, primary snoring, infant breathes time-out, congenital central hypoventilation syndrome, sudden infant death syndrome (SIDS), optimum newborn infant sleep myoclonus and similar type with the sleep relevant abnormalities." somnopathy " also can or just produce among the patient with the other drug treatment in the patient who suffers from other illnesss, i or I, wherein these patients have difficulty in going to sleep and/or keep sleep or experience the unclear dormancy of keeping alert while in bed, for example patient experience sleep deprivation as a result.For example, some patient is in experience other states such as chemotherapy or operation or owing to have difficulty in going to sleep behind the therapeutic treatment of other influences of pain or physical injury.
This area is well-known, and some medical conditions such as central nervous system (CNS) illness (for example mental disorder or neurological disorder such as anxiety disorder) can have somnopathy component, for example sleep deprivation.Therefore, the treatment somnopathy also comprises the somnopathy component of other illnesss of treatment such as CNS illness.Further, CNS treatment of conditions somnopathy component also can have the beneficial effect that alleviates other symptoms that illness is relevant therewith.For example, in experience anxiety some patient with sleep deprivation, treatment sleep deprivation component also can be treated the anxiety component.Therefore, the present invention also comprises the method for the treatment of this medical conditions.
The somnopathy relevant with mental disorder comprises psychosis, mood disorder, anxiety disorder, paranoid fears, habituation and similar type.For example, concrete mental disorder comprises depression, obsession, emotionality neurosis/illness, depressive neurosis/illness, anxiety neurosis, emotional handicap (dysthymicdisorder), behavior disorder, mood disorder, schizophrenia, manic depressions, delirium, alcoholism and similar type.
The somnopathy relevant with neurological disorder comprises for example cerebral retrogressive venereal disease disease, dementia, Parkinson's disease, the insomnia of familial lethality, sleep dependency epilepsy, sleep cerebral electricity epilepsy state, sleep associated headache and similar type.For example, the somnopathy relevant with other medical conditions comprises that nona, Nocturnal cardiac ischemia, chronic obstructive pulmonary disease, sleep dependency asthma, sleep dependency stomach esophagus backflow, peptic ulcer, fibrositis syndrome and similar type.
In some cases, somnopathy is also relevant with pain, the neuropathic pain that described pain is for example relevant with restless leg syndrome; Migraine; The hyperalgesia such as hyperpathia, cusalgia and the pain that strengthen or exaggerate are unusual; Acute pain; Bum pain; The atypia prosopodynia; Neuropathic pain; Backache; Complicacy zone pain syndrome I and II; Arthritis ache; Sport injury pain; With infect as the relevant pain of syndromes and postherpetic neuralgia after HIV, the poliomyelitis; Phantom limb pain; Labor pains; Pain caused by cancer; Pain after the chemotherapy; Pain after the apoplexy; Post-operative pain; Neurodynia; The state relevant (comprising irritable bowel syndrome, migraine and stenocardia) with visceral pain; And similar type.
Other somnopathy for example comprise in short-term the sleeper, sleeper when long, inferior awake syndrome, short continuous property clonic spasm, sleep hyperhidrosis, menstrual period dependency somnopathy, pregnant dependency somnopathy, terror hypnagogic hallucination, sleep dependency neurogenic expiratory dyspnea, sleep dependency laryngospasm, sleep apnea syndrome and similar type.
Insomnia is divided into sleeping aypnia usually, and wherein the patient is sleeping needed above 30 minutes; With the maintenance insomnia of sleeping, wherein patient's cost when expecting sleep period was awakened above 30 minutes or is for example awakened before the expectation wake-up time and again can't fall asleep.The effectively sleeping aypnia of treatment and the insomnia of sleep maintenance of some disclosed compound, the insomnia that causes by the diel rhythm adjustment disorder or the insomnia that causes by the CNS illness.In one embodiment, treatment patient's diel rhythm adjustment disorder.In another embodiment, treat the insomnia that the patient is caused by mood disorder.In other embodiment, treatment patient's sleep apnea, somnambulism, sleep terror fright at night, restless leg syndrome, sleeping aypnia and the insomnia of sleep maintenance.In other embodiment, treatment patient's sleeping aypnia or the insomnia of sleep maintenance.
Compound as herein described can be used for inducing, prolongs and/or increases sleep.This can comprise the treatment of somnopathy (promptly because some internal cause or external cause for example the abuse of pain, anxiety or anxiety, energizer or depressant drug or the of short duration disorder of mode of life are difficult to realize well sleep), and it can comprise to person's part to realize the selectivity hope of useful especially sleep period.For example, this hope can produce in expection second day or the critical event in future soon (people can wish that complete vigilance and energy recover for this reason).
Described compound can help to realize each in the following target: sleeping, and particularly the 1st stage sleep; Keep sleeping (staying asleep); Well sleep (sleeping well); Energy recovery type awakening (waking refreshed); Vigilance type awakening (waking alert); Enter the 1st stage sleep faster; The time length of sleep period increases; The time length of awakening and number of times reduce; The total duration of sleep increases; The possibility of well sleep increases; Reduce insomnia, particularly chronic or light moderate insomnia; Disorderly minimizing during sleep period; Improve with sleep therapy.Reaching these targets can determine by any standard or known subjectivity or objectivity means such as Karolinska scale, Loughborough Sleep diaries or actimetry.
The sleep that improves can help to keep awakening; On your toes; Keep energy to recover; And good performance in second day.
The compound as herein described of significant quantity be when the patient who has treatment to need is used, make the curee sleeping faster, cause more invigorative sleep, reduce or reduce sleep terror fright at night, grind one's teeth in sleep or the amount of time length, frequency or the intensity of somnambulism in time length of sleep period awakening or frequency.The amount of the disclosed compound to the patient to be administered will depend on concrete illness, method of application, administered compound (if there is) and curee's characteristic such as general health, other diseases, age, sex, genotype, body weight and drug tolerance altogether.The technician can determine proper dosage according to these factors and other factors.
Energy recovers " morning " daily record of the Loughborough Sleep diaries that the degree of (refreshedness) and sleep quality can be by having the top that is expressed as 1 energy recovery or sleep quality (minimum be expressed as 5) and determines.Therefore, the increase per-cent of energy recovery or sleep therapy is measured in this context by the minimizing of average energy recovery or sleep quality.
Experience vigilance extremely, very the reaction of vigilance or vigilance can be determined by forexample Karolinska 9 point scales.
Other observed values of sleep parameters comprise sleep disordered index (SDI) and time for falling asleep (TTSO), and they all can be measured by actimetry.
Described compound can be used for and the therapy associating that is used for the treatment of somnopathy at present, described therapy such as rIL-2 (Proleukin), amantadine, baclofen, Bepridil (Vascor), carisoprodol (Soma), clonazepam (Klonopin), diazepam (Valium), diphenhydramine (Sominex, Nytol), doxylamine (Unisom), estazolam (ProSom), flurazepam (Dalmane), gabapentin, lorazepam (Ativan), levodopa-carbidiopa (Sinemet), melatonin, Methylphenidylacetate (Ritalin), modafinil (Modanfinil) (Provigil), pemoline (Cylert), pergolide, pramipexole, promethazine, quazepam (Doral), Buddha's warrior attendant ethane (Flumadine), sibutramine (Meridia), sodium hydroxybutyrate, synthesis type conjugated estrogen hormone (Cenestin), temazepam (Restoril), triazolam (Halcion), Zaleplone (Sonata) and zolpidem (Ambien).
The illness that obesity is relevant
Compound disclosed herein (for example FAAH inhibitor compound) can be used for treatment of obesity and/or is used for reducing or management of body weight (or fat) or prevent and/or treat obesity or the relevant illness that relates to luxus consumption food, ethanol and other appetitive materials of other appetite.Described compound can be used for regulating lipid metabolism, minimizing body fat (for example by increasing the fat utilization rate) or reduces (or inhibition) appetite (for example passing through inducing satiation sense).Obesity is the state that wherein exists body fat excessive.Under a lot of examples, if the individual body-mass index (BMA) that has is more than or equal to 30kg/m2If or individuality has at least a altogether disease and BMI more than or equal to 27kg/m2, think that then this individuality is fat.In some cases, the curee who is in obesity danger is that BMI is 25kg/m2Extremely less than 30kg/m2Healthy in other respects curee or have at least a disease altogether and BMI is 25kg/m2Extremely less than 27kg/m2The curee.
It is believed that in the Aisa people, the danger relevant with obesity is increased among the lower BMI and takes place.In some cases, Asian obesity is meant that BMI that curee with the relevant common disease of at least a obesity inductive that needs weight reduction or improve by weight reduction or obesity has is more than or equal to 25kg/m2State.In the Aisa people, fat curee is meant to have the relevant common disease of at least a obesity inductive that needs weight reduction or improve by weight reduction or obesity and BMI more than or equal to 25kg/m sometimes2The curee.In some cases, the Aisa people who is in obesity danger is that BMI is greater than 23kg/m2Extremely less than 25kg/m2The curee.
The common disease that obesity inductive or obesity are relevant includes but not limited to diabetes, the non-insulin-dependent diabetes B, glucose tolerance lowers, impaired fasting glucose (IFG), insulin resistance syndrome, hyperlipemia (dyslipidemia), hypertension, hyperuricemia, gout, coronary artery disease, myocardial infarction, stenocardia, sleep apnea syndrome, Pickwickian syndrome, fatty liver, cerebral infarction, cerebral thrombosis, transient ischemic attack, orthopedic illness, the sacroiliitis deformity, pain in the back, menopathy and sterile.Especially, altogether disease comprises: hypertension, hyperlipidaemia, hyperlipemia, glucose intolerance, cardiovascular disorder, sleep apnea, the state that diabetes are relevant with other diabetes.
Treatment (illness that obesity is relevant with obesity) is meant uses compound as herein described with minimizing or keep fat curee's body weight.A kind of result of treatment can be that this obesity curee loses weight with respect to the instant body weight of fat curee before using compound as herein described.The another kind of result of treatment can be that prevention is before because the weight recovery of the body weight that diet, exercise or pharmacological agent are lost.The another kind of result of treatment reduces fat relevant disease incidence rate and/or seriousness.Treatment can suitably make by food or caloric minimizing that the curee absorbed, this comprise the total foodstuff picked-up minimizing or as the minimizing of absorbing of the diet specific components of carbohydrate or fat; And/or the inhibition of nutrition absorption; And/or the inhibition of metabolic rate minimizing; And the losing weight of patient that needs this treatment.This treatment also can make metabolic rate change, increases as metabolic rate, rather than the inhibition of metabolic rate minimizing, or except the inhibition that metabolic rate reduces, metabolic rate increases; And/or make the metabolic resistance that causes because of body weight loss usually reduce to minimum.
Prevention (illness that obesity is relevant with obesity) is meant uses compound as herein described to reduce or to remain in the curee's of obesity danger body weight.A kind of result of prevention can be an instant body weight with respect to the curee who is in obesity danger before using compound as herein described, and this is in the losing weight of curee of obesity danger.The another kind of result of treatment can be that prevention is before because the weight recovery of the body weight that diet, exercise or pharmacological agent are lost.If treatment is used at the curee's obesity premorbid that is in obesity danger, then Yu Fang another kind of result can be that obesity prevention takes place.If treatment is used at the curee's obesity premorbid that is in obesity danger, then Yu Fang another kind of result reduces the incidence and/or the seriousness of the relevant illness of obesity.In addition, if treatment begins in fat already curee, but generation, progress or the seriousness of the illness that then this treatment obesity prevention is relevant, the illness that described obesity is correlated with is such as but not limited to arteriosclerosis, type ii diabetes, PCOD, cardiovascular disorder, osteoarthritis, tetter, hypertension, insulin resistant, hypercholesterolemia, hypertriglyceridemia and chololithiasis.
The illness illness relevant with obesity, that cause by obesity or that result from obesity that obesity is relevant.The example of the illness that obesity is relevant comprises gluttony and Bulimia nerovsa, hypertension, diabetes, plasma insulin concentration raises and insulin resistant, hyperlipemia, hyperlipidaemia, carcinoma of endometrium, mammary cancer, prostate cancer and colorectal carcinoma, osteoarthritis, obstructive sleep apnea, chololithiasis, cholelith, heart trouble, rhythm abnormality and irregular pulse, myocardial infarction, congestive heart failure, coronary heart disease, sudden death, apoplexy, PCOD, craniopharyngioma, Prader-Willi syndrome, Frohlich syndrome, the insufficient curee of GH, the normal variant short stature, Turner syndrome and show that metabolic activity reduces or, for example suffer from the children of acute lymphoblastic leukemia as other pathologic state that the rest energy expenditure of the per-cent of total fat-free mass (fat-free mass) reduces.Compound as herein described can be used for minimizing or management of body weight (or fat) or prevents and/or treats obesity or the relevant illness that relates to luxus consumption food, ethanol and other appetitive materials of other appetite.Described compound can be used for regulating lipid metabolism, minimizing body fat (for example by increasing the fat utilization rate) or reduces (or inhibition) appetite (for example passing through inducing satiation sense).
More examples of the illness that obesity is relevant are metabolic syndrome (also being called syndrome X), insulin resistance syndrome, property and reproductive dysfunction such as sterile, male hypogonadism and female hirsutism, the gastroesophageal reflux that gastrointestinal motility disorder such as obesity are relevant, dyspnoea is as fat-low ventilation syndrome (Pickwickian syndrome), cardiovascular disorder, the systemic inflammation of inflammation such as vascular system, arteriosclerosis, hypercholesterolemia, hyperuricemia, back pain, gallbladder disease, gout and kidney.Compound as herein described also is used to reduce the danger of the Secondary cases consequence of obesity, for example reduces the danger of left ventricular hypertrophy.
The compounds may be administered in combination with an anti-obesity drugs, the anti-obesity drugs include, but are not limited to: 11β HSD-1 (11-β hydroxysteroid dehydrogenase type 1) inhibitors such as BVT 3498, BVT 2733,3 - (1 - Adamantyl)-4 - ethyl-5 - (ethylthio)-4H-1, 2,4 - triazole, 3 - (1 - adamantyl) -5 - (3,4,5 - Phenyl) -4 - methyl-4H-1, 2,4 - triazole 3 - adamantyl -4,5,6,7,8,9,10,11,12,3 a-decahydro 1,2,4 - triazolo [4,3-a] [11] annulene and WO01/90091, WO01/90090, WO01/90092 And those disclosed in WO02/072084 compound; 5HT (5 - HT) transporter inhibitors, such as Paroxetine, fluoxetine, fenfluramine, fluvoxamine, sertraline and imipramine and WO03/00663 Those disclosed in 5HT (5 - HT) transporter inhibitors; 5HT antagonists such as WO03/037871, WO03/037887 those 5HT antagonists and the like; 5HT1a modifiers such as WO03/031439 those disclosed in 5HT1a regulator and analogues; 5HT-2 agonists; 5HT2c (5 - serotonin receptor 2c) agonists, such BVT933, DPCA37215, IK264, PNU 22394, WAY161503, R-1065 and YM 348 and U.S. Patent No. 3,914,250 and PCT Publication No. WO02/36596, WO02/48124, WO02/10169, WO01/66548, WO02/44152, WO02/51844, WO02/40456 and WO02/40457 disclosed in that These 5HT2c (5 - HT receptor 2c) agonists; 5HT6 receptor modulators, such as WO03/030901, WO03/035061, WO03/039547 those 5HT6 receptor modulating agents and the like; ACC2 (acetyl-CoA carboxylase -2) inhibitors; acyl - estrogen, such as del Mar-Grasa, M. , Et al, Obesity Research ,9:202-9 (2001) and Japanese Patent Application No. JP 2000256190 in The disclosed oleoyl - estrone; α-lipoic acid (α-LA); bicyclic compounds such as anorexia 1426 (Aventis) and 1954 (Aventis) and WO00/18749, WO01/32638, WO01/62746, WO01/62747 and WO03/015769 compounds disclosed in; AOD9604; appetite suppressants such as WO03/40107 those appetite suppressant; ATL-962 (Alizyme PLC); benzocaine; benzene methamphetamine hydrochloride (Didrex); Fucus (ink Bladderwrack (focus vesiculosus)); BRS3 (bombesin receptor subtype 3) agonists; bupropion; Caffeine; CB1 (cannabinoid-1 receptor) antagonists / inverse agonists, such as rimonabant (Acomplia; Sanofi Synthelabo), SR-147778 (Sanofi Synthelabo), BAY 65-2520 (Bayer) And SLV 319 (Solvay) and U.S. Patent No. 4,973,587,5,013,837,5,081,122, 5,112,820,5,292,736,5,532,237,5,624,941,6,028,084 and 6,509,367 and WO96/33159, WO97/29079, WO98/31227, WO98/33765, WO98/37061, WO98/41519, WO98/43635, WO98/43636, WO99/02499, WO00/10967, WO00/10968, WO01/09120, WO01/58869, WO01/64632, WO01/64633, WO01/64634, WO01/70700, WO01/96330, WO02/076949, WO03/006007, WO03/007887, WO03/020217, WO03/026647, WO03/026648, WO03/027069, WO03/027076, WO03/027114, WO03/037332, WO03/040107, WO03/086940, WO03/084943 and US6, 509,367 and EPO Application No. EP-658546 as those disclosed in CB1 (cannabinoid-1 receptor) antagonist / inverse agonist; CCK agonists; CCK-A (cholecystokinin Su-A) agonists such as AR-R 15849, GI 181771, JMV-180, A-71378, A-71623 And SR146131, and U.S. Patent No. 5,739,106 as those described in CCK-A (CCK-A) Agonists; chitosan; chromium; CNTF (ciliary neurotrophic factor), such as GI-181771 (Glaxo-SmithKline), SR146131 (Sanofi Synthelabo), butabindide, PD170, 292 and PD149164 (Pfizer); CNTF derivatives, such as Asoka open (axokine) (Regeneron), and PCT Application No. WO94/09134, WO98/22128 and WO99/43813 Those disclosed in CNTF derivatives; conjugated linoleic acid; corticotropin-releasing hormone Agonists; DHEA; DGAT1 (diacylglycerol acyltransferase 1) inhibitors; DGAT2 (diacylglycerol acyltransferase 2) inhibitors; dicarboxylic acid ester transfer protein inhibitors; An Non-pull-one hydrochloride (Tenuate); dipeptidyl peptidase IV (DP-IV) inhibitors such as isoleucine thiazolidine Alkyl, valine pyrrolidine, NVP-DPP728, LAF237, P93/01,
TSL 225, TMC-2A/2B/2C, FE 999011, P9310/K364, VIP 0177, SDZ 274-444 and PCT Publication No. WO02/083128, WO02/062764, WO03/000180, WO03/000181, WO03/000250, WO03/002530, WO03/002531, WO03/002553, WO03/002593, WO03/004498, WO03/004496, WO03/017936, WO03/024942, WO03/024965, WO03/033524, WO03/037327 and compounds disclosed in EP1258476; ephedra; exenatide acetate (Exendin-4) (glp-1 inhibitors); FAS (fatty acid synthase) inhibitors such as cerulenin and C75; fat reuptake inhibitors (fat resorption inhibitor), such as those in WO03/053451 Fat reuptake inhibitors and the like; fatty acid transporter inhibitor; fiber (psyllium, plantain Genus, guar fiber); galanin (galanin) antagonists; Galega genus (Galega (Goat's Rue), France State lilac (French Lilac)); Garcinia cambogia; caddis genus (caddis incense Branch (teucrium chamaedrys)); growth hormone releasing peptide (ghrelin) antagonists, such as PCT Application No. WO 01/87335 and WO 02/08250, those disclosed in the growth hormone releasing peptide antagonist; GLP-1 (glucagon-like peptide-1) agonists (such as acetic exenatide); glp-1 (glucagon-like peptide -1); Glucocorticoid antagonist; glucose transporter inhibitor; growth hormone secretagogue receptor agonist Agonist / antagonists, such as NN703, hexarelin, MK-0677, SM-130686, CP-424, 391, L-692, 429 and L-163, 255 and as described in U.S. Patent No. 6,358,951, U.S. Patent Application No. 2002/049196 and 2002/022637 and PCT Application No. WO01/56592 and WO02/32888 Those disclosed in the growth hormone secretagogue receptor agonists / antagonists; growth hormone secretion Factors, as described in U.S. Patent No. 5,536,716 disclosed and described in detail in those growth hormone secretagogues Hormone; H3 (histamine H3) antagonists / inverse agonists, such as thiophene general amide, N-(4 - pentenyl) carbamate 3 - (1H-imidazol-4 - yl) propyl, clobenpropit, iodophenpropit, imoproxifan, GT2394 (Gliatech) and A331440, and PCT Publication No. WO02/15905 disclosed in Those H3 (histamine H3) antagonist / inverse agonists and O-[3 - (1H-imidazol-4 - yl) propanol] carbamate Ester (Kiec-Kononowicz, K., et al, Pharmazie ,55:349-55 (2000)), piperidine-containing histamine H3 receptor antagonists (Lazewska, D., et al, Pharmazie ,56:927-32 (2001), benzophenone Derivatives and related compounds (Sasse, A., et al, Arch.Pharm. (Weinheim) 334:45-52 (2001)), substituted N-phenyl carbamate (Reidemeister, S., et al, Pharmazie ,55:83-6 (2000)), and proxifan derivatives (Sasse, A., et al, J.Med.Chem.43 :3335-43 (2000)) And histamine H3 receptor modulators such as disclosed in WO03/024928 and WO03/024929 those Histamine H3 receptor modulators; interleukin -6 (IL-6), and their modifiers, as in WO03/057237 in Those interleukin -6 (IL-6) and its regulators and the like; L-carnitine; leptin derivatives, such as U.S. Pat. Nos. 5,552,524,5,552,523,5,552,522,5,521,283 and PCT International Publication No. WO 96/23513, WO 96/23514, WO 96/23515, WO 96/23516, WO 96/23517, WO 96/23518, WO 96/23519 and WO 96/23520, those disclosed in leptin derivatives; Leptin, including recombinant human leptin (PEG-OB, Hoffman La Roche) and recombinant methionyl human Leptin (Amgen); lipase inhibitors, such as tetrahydro Nepal statins (Orlistat / ...

), Triton WR 1339, RHC80267, Buddhist nun moor Si Tating, tea saponin and diethyl umbrella shape keto acyl (diethylumbelliferyl) phosphate, FL-386, WAY-121898, Bay-N-3176, figured silk fabrics ammonia lactone, esteracin, strategic point than lactone A, strategic point than lactone B and RHC 80267 and PCT publication No. WO01/77094 and U.S. Patent number 4,598,089,4,452,813,5,512,565,5,391,571,5,602,151,4,405,644,4,189,438 and 4, disclosed those lipase inhibitor in 242,453, disclosed compound in lipid metabolism conditioning agent such as crataegolic acid, erythrodiol, ursolic acid, uvaol, betulic acid, betuline and analog and WO03/011267, Mc3r (
melanocortin 3 acceptors) activator, Mc4r (
melanocortin 4 acceptors) activator, as CHIR86036 (Chiron), ME-10142, ME-10145 and HS-131 (Melacure) and at PCT publication No. WO99/64002, WO00/74679, WO01/991752, WO01/25192, WO01/52880, WO01/74844, WO01/70708, WO01/70337, WO01/91752, WO02/059095, WO02/059107, WO02/059108, WO02/059117, WO02/06276, WO02/12166, WO02/11715, WO02/12178, WO02/15909, WO02/38544, WO02/068387, WO02/068388, WO02/067869, WO02/081430, WO03/06604, WO03/007949, WO03/009847, WO03/009850, disclosed those Mc4r in WO03/013509 and WO03/031410 (melanocortin 4 acceptors) activator, Mc5r (melanocortin 5 acceptors) conditioning agent, as disclosed those Mc5r in WO97/19952, WO00/15826, WO00/15790, US20030092041 (melanocortin 5 acceptors) conditioning agent, MCH2R (melanin-concentrating hormone 2R) agonist/antagonist, the melanin-concentrating hormone antagonist, melanin-concentrating hormone 1 acceptor (MCHR) antagonist, as T-226296 (Takeda), SNP-7941 (Synaptic) and WO01/21169, WO01/82925, WO01/87834, WO02/051809, WO02/06245, WO02/076929, WO02/076947, WO02/04433, WO02/51809, WO02/083134, WO02/094799, WO03/004027, WO03/13574, WO03/15769, WO03/028641, WO03/035624, WO03/033476, disclosed those melanin-concentrating hormone 1 acceptor (MCHR) antagonists in WO03/033480 and Japanese patent application JP13226269 and JP1437059, the melanocortin activator, those melanocortin activators described in Mei Lanuotan II or WO99/64002 and WO00/74679, melbine

Disclosed those mGluR 5 modulators and analog in mGluR 5 modulators such as WO03/029210, WO03/047581, WO03/048137, WO03/051315, WO03/051833, WO03/053922, WO03/059904; MARI, as sibutramine (sibutratmine)
and salt, and U.S. Patent number 4,746,680,4,806,570 and 5,436,272 and United States Patent (USP) publication No. 2002/0006964, and WO01/27068 and WO01/62341 in disclosed those compounds, N (norepinephrine) transhipment inhibitor such as GW 320659, desipramine, talsupram and Nomifensine, water Chinese honey locust grass (nomame herba), non-selective serotonin/noradrenaline transporter inhibitor, as sibutramine or fenfluramine, NPY 1 antagonist such as BIBP3226, J-115814, BIBO 3304, LY-357897, CP-671906, GI-264879A and U.S. Patent number 6,001,836 and PCT patent publication No. WO96/14307, WO01/23387, WO99/51600, WO01/85690, WO01/85098, WO01/85173 and WO01/89528 in disclosed those
NPY 1 antagonists, NPY5 (neuropeptide tyrosine Y5) antagonist, as 152,804, GW-569180A, GW-594884A, GW-587081X, GW-548118X, FR235208, FR226928, FR240662, FR252384, 1229U91, GI-264879A, CGP71683A, LY-377897, LY-366377, PD-160170, SR-120562A, SR-120819A, JCF-104 and H409/22 and U.S. Patent number 6,140,354, 6,191,160, 6,258,837, 6,313,298, 6,326,375, 6,329,395, 6,335,345, 6,337,332, 6,329,395 and 6,340,683, european patent number EP-01010691 and EP-01044970 and PCT publication No. WO97/19682, WO97/20820, WO97/20821, WO97/20822, WO97/20823, WO98/27063, WO00/107409, WO00/185714, WO00/185730, WO00/64880, WO00/68197, WO00/69849, WO01/09120, WO01/14376, WO01/85714, WO01/85730, WO01/07409, WO01/02379, WO01/23388, WO01/23389, WO01/44201, WO01/62737, WO01/62738, WO01/09120, WO02/20488, WO02/22592, WO02/48152, WO02/49648, WO02/051806, WO02/094789, WO03/009845, WO03/014083, WO03/022849, the people such as WO03/028726 and Norman, disclosed those compounds in J.Med.Chem.43:4288-4312 (2000), opioid antagonist such as nalmefene

Disclosed those opioid antagonists in 3-methoxyl group naltrexone, naloxone and naltrexone and WO00/21509; Disclosed those aricine antagonists in aricine antagonist such as SB-334867-A and PCT publication No. WO01/96302, WO01/68609, WO02/44172, WO02/51232, WO02/51838, WO02/089800, WO02/090355, WO03/023561, WO03/032991 and WO03/037847; PDE (phosphodiesterase) inhibitor, as theophylline, PTX, Zaprinast, former times Dove, amrinone, Milrinone, cilostamide, rolipram and cilomilast; Peptide YY and fragment thereof and variant (YY for example
3-36(PYY
3-36) (N.Engl.J.Med.349:941,2003; Ikpeapge daspeelnry yaslrhylnl vtrqry) and those PYY activators described in PYY activator such as WO03/026591; Phendimetrazine; Phentermine, phosphate cotransporter inhibitor; Phosphodiesterase-3B (PDE3B) inhibitor; Phytopharm compound 57 (CP 644,673); Pyruvate; SCD-1 (stearyl-CoA desaturase-1) inhibitor; Those serotonin reuptake inhibitors in serotonin reuptake inhibitor such as Dexfenfluramine, Prozac and U.S. Patent number 6,365,633 and WO01/27060 and WO01/162341; T71 (Tularik; Inc.; Boulder CO); Disclosed those thyroid hormone beta-agonists in thyroid hormone beta-agonists such as KB-2611 (KaroBioBMS) and WO02/15845 and Japanese patent application JP 2000256190; Topiramate

disclosed those transcription factor conditioning agents in transcription factor conditioning agent such as WO03/026576, UCP-1 (UCPS-1), UCP-2 or UCP-3 activator such as phytanic acid, 4-[(E)-2-(5,6,7,8-tetrahydrochysene-5,5,8,8-tetramethyl-2-naphthyl)-1-acrylic] disclosed those activators in benzoic acid (TTNPB), retinoic acid and PCT number of patent application WO 99/00123, β 3 (beta-2 adrenoceptor 3) activator such as AD9677/TAK677 (Dainippon/Takeda), CL-316, 243, SB 418790, BRL-37344, L-796568, BMS-196085, BRL-35135A, CGP12177A, BTA-243, GW 427353, trecadrine, Zeneca D7114, N-5984 (Nisshin Kyorin), LY-377604 (Lilly) and SR 59119A, and U.S. Patent number 5, 705, 515, US 5, 451, 677 and PCT publication No. WO94/18161, WO95/29159, WO97/46556, WO98/04526 and WO98/32753, WO01/74782, WO02/32897, WO03/014113, WO03/016276, WO03/016307, WO03/024948, disclosed those β 3 (beta-2 adrenoceptor 3) activator in WO03/024953 and WO03/037881, beta-hydroxysteroid dehydrogenase-1 inhibitor (β-HSD-1), beta-hydroxy-Beta-methyl butyrate.
The illness that anxiety is relevant
Compound disclosed herein (for example FAAH inhibitor compound) can be used for treating anxiety disorder (comprising generalized anxiety disorder, paranoid fears and social anxiety disorder) and depression.Anxiety disorder is one group of physiological problem, and its principal character comprises overanxiexty, fear, worry, escape and compulsive ceremonial, and produces after utilizing health care service or cause abnormal morbid state and functional lesion.In the U.S. and most of other countries, anxiety disorder is one of widespread spiritual disease symptoms.Diagnostic andStatistical Manual of Mental Disorders (diagnostic ﹠ statistical manual of psychological disorders) (the 4th edition, revision in 1994, publish by American Psychiatric Association, Washington, D.C., the 393-444 page or leaf) anxiety disorder of listing in comprises the paranoid fears that is with or without agoraphobia, the agoraphobia that does not have the paranoid fears medical history, special phobia, social phobia, obsession (obsessive-compulsivedisorder, OCD), posttraumatic stress disorder (PTSD), acute stress disorder, generalized anxiety disorder (GAD), anxiety disorder owing to the general medicine state, material inductive anxiety disorder, the anxiety disorder of special phobia and not otherwise specified.
Compulsive be characterised in that ego dystonic recurrent and idea persistence, idea, impulsion or image (obsessional idea) and/or by it is believed that be over-drastic or irrational repeatability, purpose and deliberate behavior (compulsive behavior) arranged.Obsessional idea or compulsive behavior cause tangible misery, are consuming time and/or significantly hinder social activity or occupational function.
Paranoid fears is characterised in that the unexpected panic attack of the recurrent worry relevant with having other outbreak, worry the noticeable change of the connotation of outbreak or result and/or the behavior relevant with outbreak.The intensive that panic attack is defined as during discontinuous is frightened or uneasy, and wherein four of following symptom (or more) are taken place suddenly and peaked in 10 minutes: the heart rate of (1) palpitaition, pulsatile heart or acceleration; (2) perspire; (3) tremble or chatter; (4) the short of breath or consciousness of suffocating; (5) sensation of choke; (6) pectoralgia or uneasiness; (7) feel sick or belly painful; (8) feel dizzy instability, Light-headedness or faintness; (9) derealization (false sensation) or depersonalization (from own, separating); (10) frightened out of hand; (11) frightened dead; (12) paresthesia (numbness or sensation of pricking); (13) shiver with cold or hot flush.Paranoid fears may or can not with agoraphobia or irrational relevant, and incapabitated fear frequent and away from the public is relevant.
The social anxiety disorder that is also referred to as social phobia is characterised in that the individual contact with unfamiliar people or may be by one or more social activities that others examines or the obvious and lasting fear that show situation.Contact frightening situation and almost always evoke anxiety, and anxiety is near the intensity of panic attack.Frightening situation is avoided or is restrained oneself by intensive anxiety or misery.Escape, anxiety expection or painful works better, occupation or academic function or doings or the relation that significantly hinders the individual to frightening situation perhaps have tangible misery to having phobia.The performance anxiety of less degree or the shy treatment that does not need psychopharmacology usually.
Generalized anxiety disorder is characterised in that and continued at least 6 months and it is found that unmanageable overanxiexty and worry (apprehensive expectation).At least 3 of its certain and following 6 symptom are relevant: have the fidgets or feel impassioned or nervous, fatiguability, be difficult to absorbed or brains become blank, irritability, muscular tone and somnopathy.The Case definition of this illness is described in further detail in DSM-IV (American Psychiatric Association, 1994), and this DSM-IV incorporates this paper by reference into.
As needing the traumatic incident of contact by the defined posttraumatic stress disorder of DSMIII-R/IV (PTSD), described traumatic incident relate to death actual or tendency or major injury or own or other people healthy threat and be absorbed in strong fear, helpless or frightened reaction.Owing to the symptom that occurs of the traumatic incident of contact comprises that form with invasive idea, flashback or dream experiences this incident once more and to contacting the strong psychological stress and the physiological response of this incident clue; Escape to recall traumatic incident situation, do not have ability to recall the details of this incident and/or important active interest descended, become estranged other people, the extensive responsiveness numbness in future of restriction emotion scope or sensation foreshorten showing as; And the symptom of awakening automatically, this comprises hypervigilance, excessively alarm response, sleep disordered, absent minded and irritability or indignation outburst.The PTSD diagnosis requires symptom to exist at least one month and symptom to cause great clinically misery or infringement is social, professional or the function of other key areas.
Expecting that described compound will effectively be treated according to implementing suitable test is diagnosed as obsessional idea and the compulsive behavior of suffering from compulsive patient, and described test can include but not limited to following any: Yale Blang obsession scale (YBOCS) (adult), the national overall OCD scale of mental health research institute (NIMH GOCS) and CGI-disease seriousness scale.Further contemplate that described compound will effectively induce the improvement of measured some factor in these tests, for example the YBOCS overall score reduces several branches.Expect that also compound of the present invention will effectively prevent compulsive recurrence.
The invention provides treatment and suffer from compulsive curee's obsessional idea and compulsive method, described method comprises uses the described curee's of effective treatment the obsessional idea and the amount of compulsive any compound as herein described to described curee.
Expect that described compound will effectively treat according to the frequency of occurrences of panic attack or suffered from the patient's of paranoid fears paranoid fears by means of CGI-disease seriousness scale by diagnosis.Further contemplate that compound as herein described will effectively induce the improvement of measured some factor in these assessments, for example the frequency of panic attack reduces or panic attack is eliminated, the CGI of CGI-disease seriousness scale or 1 (improving greatly), 2 (improving very big) or 3 (improving minimum) totally improves the improvement of scoring.Expect that also compound of the present invention will effectively prevent the recurrence of paranoid fears.
Any of expecting that described compound will effectively treat according to implementing following test is diagnosed as the social manifest anxiety scale (LSAS) of the patient's who suffers from social anxiety disorder social anxiety disorder: Liebowitz, CGI-disease seriousness scale, Hamilton Anxiety Rating Scale (HAM-A), the depressed measuring scale (HAM-D) of Hamilton, social and the occupational function evaluation scale of the axle V of DSM-IV, axle II (ICD10) World Health Organization disability evaluation, timetable 2 (DAS-2), seat Chinese disability scale, the disabled feature of Schneier, World Health Organization's quality of life-100 (WHOQOL-100) or incorporate the Ballenger of this paper by reference into, people such as JC, 1998, other tests described in theJ Clin Psychiatry 59 Suppl 17:54-60.Further contemplate that compound as herein described will effectively induce as measured improvement in these tests, for example the CGI of the social manifest anxiety scale (LSAS) or 1 of Liebowitz (improving greatly), 2 (improving very big) or 3 (improving minimum) totally improves the baseline variation of scoring.Expect that also compound of the present invention will effectively prevent the recurrence of social anxiety disorder.
Expect that described compound will effectively treat the generalized anxiety disorder that is diagnosed as the patient who suffers from generalized anxiety disorder according to the Case definition described in the DSM-IV.Further contemplate that compound as herein described will effectively reduce the symptom of this illness, for example following symptom: excessively worried and anxiety, be difficult to control worried, have the fidgets or feel impassioned or nervous, fatiguability, be difficult to absorbed or brains become blank, irritability, muscular tone or sleep disordered.Expect that also compound of the present invention will effectively prevent the recurrence of generalized anxiety disorder.
Any of expecting that described compound will effectively treat according to implementing in the following test is diagnosed as the patient's who suffers from PTSD PTSD: the clinician implements the events affecting scale (IES) that PTSD scale part 2 (CAPS) and patient evaluate.Further contemplate that compound as herein described will effectively induce CAPS, IES, CGI-disease seriousness or CGI-totally to improve the improvement of the scoring of test.Expect that also compound of the present invention will effectively prevent the recurrence of PTSD.
Compound as herein described can be used for preventing, controlling or treat other associated conditions that schizophrenia, paranoia or Dopamine HCL transmit.
Described compound can with the anxiolytic combined administration.The kind of anxiolytic comprises: benzodiazepine (alprazolam for example
Chlordiazepoxide
Clonazepam, Chlorazepate (chlorazepate), diazepam, halazepam, lorazepam, oxazepam (oxazepram) and prazepam and pharmacy acceptable salt thereof); 5-HT1A agonist or antagonist, especially 5HT1A partial agonist (for example 5-HT1A acceptor portion agonist buspirone, flesinoxan, gepirone and ipsapirone and pharmacy acceptable salt thereof); Corticotropin releasing factor(CRF) (CRF) antagonist (comprising those corticotropin releasing factor(CRF)s (CRF) antagonist described in WO94/13643, WO94/13644, WO94/13661, WO94/13676 and the WO94/13677); Phenothiazines (comprising promethazine, chlorpromazine and trifluoperazine); Oxidase inhibitor (MAOI, for example Isocarboxazid
Phenelzine
Tranylcypromine
With selegiline and pharmacy acceptable salt thereof); The reversible inhibitor of monoamine oxidase (RIMA, for example moclobemide and pharmacy acceptable salt thereof); Tricyclics (TCA, for example amitriptyline
Amoxapine, clomipramine, Desipramine
Doxepin, imipramine
Maptroline, nortriptyline (
With
), trilafon, protriptyline and Trimipramine
And pharmacy acceptable salt)); The atypia thymoleptic comprise Wellbutrin, lithium, nefazodone, trazodone and viloxazine and pharmacy acceptable salt thereof; And selective serotonin reuptake inhibitor (SSRI, for example paroxetine
Venlafaxine, fluvoxamine, fluoxetine
Citalopram
Escitalopram and Sertraline
And pharmacy acceptable salt).
Described compound also can be used for common treatment with second medicament with analgesic activities.The anodyne that can be used for common treatment includes but not limited to: NSAID (acemetacin for example, Paracetamol, acetylsalicylic acid, Warner-Lambert), alminoprofen, Azapropazone, acetylsalicylic acid Compd 90459, bezpiperylon, the bucloxonic acid, carprofen, clidanac, diclofenac, diclofenac, diflunisal, difunisal (diflusinal), R-ETODOLAC, fenbufen, fenbufen, Fenclofenac, fenclozic acid, fenoprofen, fentiazac, Zentinic, Flufenamic Acid, flufenisal, flufenisal, R.D. 17345, flurbiprofen, flurbiprofen, Furofenac, ibufenac, Ibuprofen BP/EP, indomethacin, indomethacin, indoprofen, Isoxepac, isoxicam, Ketoprofen, Ketoprofen, ketorolac, meclofenamic acid, meclofenamic acid, mefenamic acid, mefenamic acid, miroprofen, mofebutazone, nabumetone Evil promazine, Naproxen Base, Naproxen Base, niflumic acid Evil promazine, oxpinac, Tacote, phenacetin, Phenylbutazone, Phenylbutazone, piroxicam, piroxicam, pirprofen, Y-8004, sudoxicam, tenoxicam, sulfasalazine, sulindac, sulindac, sutoprofen, tiaprofenic acid, tiopinac tioxaprofen, tolfenamic acid, Tolmetin, Tolmetin, zidometacin, zomepirac and zomepirac), non-narcotic analgesics such as U-26225A, opiates or narcotic analgesic (APF112 for example, β Fu Mana bends amine; buprenorphine; butorphanol; morphine monomethyl ether; cypridime; Wy-16225; paracodin; diphenoxylate; enkephalin pentapeptide; Fedotozine; fentanyl; hydrocodone; hydromorphone; levorphanol; Loperamide; Pethidine; mepivacaine; methadone; methyl naloxone; morphine; nalbuphine; Nalmefene; receive the Lip river hydrazone; naloxone; TREXUPONT; Naltrindole; nor-binaltorphimine; oxycodone; oxymorphone; pentazocine; Propoxyphene and trimebutine); the NK1 receptor antagonist (for example ezlopitant and SR-14033; SSR-241585); cck receptor antagonist (for example loxiglumide); the NK3 receptor antagonist (Talnetant for example; Osanetant SR-142801; SSR-241585); norepinephrine-serotonin reuptake inhibitor (NSRI; Midalcipran for example), capsaicin receptor agonist and antagonist, cannabinoid receptor agonists (for example arvanil), sialorphin, be the compound of enkephalinase (neprilysin) inhibitor or peptide, frakefamide (H-Tyr-D-Ala-Phe (F)-Phe-NH2WO01/019849A1), the peptide analogs of Tyr-Arg (kyotorphin), cck receptor agonist (for example Magainin), conotoxin peptide, thymosin, dexloxiglumide (the R isomer of loxiglumide; WO88/05774) and analgesia peptide (morphine peptide-1, interior morphine peptide-2, the steady element of pain, Dalargin (dalargin), leuprorelin acetate (lupron) and Substance P for example).
In addition, because some thymoleptic has analgesic activities or otherwise is of value to anodyne and is used in combination, so these thymoleptic can be used for common treatment.The example of these thymoleptic comprises: selective serotonin reuptake inhibitor (for example fluoxetine, paroxetine, Sertraline), the dual uptake inhibitor of serotonin-norepinephrine, Venlafaxine and Nefazadone.Some anticonvulsive agent has analgesic activities and is useful in treating altogether.These anticonvulsive agents comprise: gabapentin, Carbamzepine, Phenytoin Sodium Salt, valproate (valproate), clonazepam, topiramate and lamotrigine.It is believed that these medicaments are particularly useful to the treatment neuropathic pain, for example treat the diabetic neuropathy of trigeminal neuralgia, post-herpetic neuralgia and pain.The additional compounds that is used for common treatment comprises: α-2-3 adrenergic receptor agonists (for example tizanidine and clonidine), mexiletine, reflunomide, blocking-up NMDA (N-methyl-D-aspartate) acceptor (Dextromethorphane Hbr for example, ketamine and amantadine) compound, glycine antagonists, carisoprodol, cyclobenzaprine, various opiatess, non-opium sample cough medicine (Dextromethorphane Hbr for example, carmiphen, caramiphen and pentoxyverine), opium sample cough medicine (morphine monomethyl ether for example, hydrocodone, Metaxolone).Compound as herein described also can with following combinations of substances: the gaseous state nitrogen protoxide that can suck (being used for the treatment of lung vasoconstriction or airway constriction), thromboxane A2 receptor antagonist, stimulant (being caffeine), H
2-antagonist (for example Ranitidine HCL), antacid (for example aluminium hydroxide or magnesium hydroxide), antiflatulent (for example Simethicone), Decongestant (phyenlephrinium for example, Phenylpropanolamine, pseudoephedrine (pseudophedrine), oxymetazoline, suprarenin (ephinephrine), naphazoline, xylometazoline, hexahydrodesoxyephedrine or left-handed desoxyephedrine), prostaglandin(PG) (Misoprostol for example, enprostil, rioprostil, ronoprost (ornoprostol) or rosaprostol), diuretic(s), quiet type or non-sedating type histamine H I receptor antagonist/antihistaminic agent (can be blocked, suppress, reduce or otherwise hinder interactional any compound between histamine and its acceptor) (include but not limited to :-4 asternizole, acrivastine, antazoline, asternizole, azatadine, azelastine, astemizole (astamizole), Parabromdylamine, brompheniramine maleate, carbinoxamine, carebastine, cetirizine, chlorphenamine, chlorpheniramine maleate, Cimitidine Type A/AB, clemastine, marezine, Cyproheptadine, delotadine, dexchlorpheniramine, Dimetindene, diphenhydramine, diphenylpyraline, doxylamine succinate, doxylarnine, ebastine, Efletirizine, epinastine, famotidine (farnotidine), fexofenadine, hydroxyzine, hydroxyzine, ketotifen, levocabastine, levocetirizine, levocetirizine, Loratadine, Meclozine, Pyrilamine, mequitazine, methdilazine, mianserin, mizolastine, R 64947, norasternizole, norastemizole (noraztemizole), phenindamine, pheniramine, picumast, promethazine, pynlamine, pyrilamine, Ranitidine HCL, temelastine, terfenadine, Trimeprazine, tripelennamine and triprolidine); 5HT1 agonist such as triptan (for example sumatriptan or naratriptan), adenosine A 1 agonist, the EP part, sodium channel inhibitor (for example lamotrigine), substrate P antagonist (for example NK antagonist), cannaboid, the 5-lipoxidase inhibitor, LTRA/leukotriene antagonist/LTD4 antagonist (can be blocked, suppress, reduce or otherwise hinder interactional any compound between leukotriene and the Cys LTI acceptor) (include but not limited to: Zafirlukast, Singulair, Menglusitena

Pranlukast, iralukast, Pobilukast, SKB-106,203 and as US 5, being described to described in 565,473 has the compound of LTD4 antagonistic activity), DMARD (for example Rheumatrex), neurone stable form antiepileptic drug, monoamine energy uptake inhibitor (for example Venlafaxine), matrix metallo-proteinase inhibitor, nitric oxide synthetase (NOS) inhibitor such as iNOS or nNOS inhibitor, the release of tumour necrosis factor or the inhibitor of effect, Antybody therapy such as mab treatment, antiviral agent such as nucleosidic inhibitors (for example lamivudine) or immune system toner (for example Interferon, rabbit), local anesthetic, known FAAH inhibitor (PMSF for example, URB532, URB597 or BMS-1 and WO04033652, US6462054, US20030092734, US20020188009, those FAAH inhibitor described in US20030195226 and the WO04033422), thymoleptic (for example VPI-013), fatty acid amide (arachidonic acid thanomin for example, N-palmityl thanomin, the N-Oleoyl monoethanolamide, 2-arachidonic acyl glycerine or oleylamide), arvanil, anadamide described in US20040122089 and the analogue of arvanil and proton pump inhibitor (omeprazole for example, esomeprazole, lansoprazole, pantoprazole and rabeprazole).
Compound as herein described also can with for second medicament of cannabinoid receptor antagonists is used for common treatment, to prevent and/or treat the obesity illness relevant with other appetite.
Be used for the combination of common diseased state
It will be understood by those skilled in the art that treatment with compound combined administration as herein described can relate to by the identical or different illness target spot of the target spot of targeting compounds as herein described.
Can use compound as herein described earlier, use another kind of treatment then; Perhaps can use another kind of treatment or they earlier can or be combined in the single composition with two kinds of independent compositions and use simultaneously.Another kind of treatment is treatment known in the art, prevention or reduces for example any treatment of the symptom of somnopathy or other illnesss (for example other CNS illnesss) of target illness.In addition, embodiments more of the present invention contain and the compound that is used for other known treatment combined administrations of target illness.And another kind of treatment comprises any medicament that is of value to the patient when with disclosed compound combined administration.
For example, be in some embodiments of medicine in the another kind treatment, it is used with independent preparation or with the preparation the same with the preparation of compound described herein.Compound as herein described and any or multiple commercially available nonprescription drugs that gets or prescription drugs combined therapy are used, and described nonprescription drugs or prescription drugs include but not limited to biocide, mycostatic agent, sterilant, hormone, febrifuge, antidiabetic drug, bronchodilator, diarrhea, anti-arrhythmic, coronary artery dilator, glucosides, spasmolytic, antihypertensive drug, thymoleptic, anxiolytic, other psychotherapeutic agents, reflunomide, anodyne, contraceptive bian, NSAID (non-steroidal anti-inflammatory drug), hypoglycemic agents, pravastatin, anticonvulsive agent, other antiepileptic drugs, immunomodulator, anticholinergic, sympatholytic agent, sympathomimetic (sympathominietics), vasodilator, anti-coagulant, antiarrhythmics, prostaglandin(PG) with various pharmacologically actives, diuretic(s), sleep auxiliary (sleep aid), antihistaminic agent, antineoplastic agent, the oncolytic agent, androgen antagonist, antimalarial agent, the medicine of antileprotic and various other types.Referring to the The Basis of Therapeutics (therapeutics basis) (the 8th edition, Pergamon Press, Inc., USA, 1990) of Goodman and Gilman and The Merck Index (the Merck index) (the 11st edition, Merck﹠amp; Co., Inc., USA, 1989).
Be used for the treatment of the combination of diabetes
The medicament that is fit to that is used in combination with compound as herein described comprises antidiabetic drug as (1) PPAR gamma agonist, as row ketone (ciglitazone for example; Darglitazone; Englitazone; Isaglitazone (MCC-555); U-721017E; Rosiglitazone; Troglitazone; BRL49653; CLX-0921; Disclosed compound and analogue among 5-BTZD and GW-0207, LG-100641 and LY-300512 and analogue and PCT publication No. W097/10813, WO97/27857, WO97/28115, WO97/28137, WO97/27847, WO03/000685, WO03/027112, WO03/035602, WO03/048130, the WO03/055867; (2) biguanides is as buformin; N1,N1-Dimethylbiguanide; And phenformin, and analogue; (3) Protein Tyrosine Phosphatases-1B (PTP-1B) inhibitor is as disclosed those PTP-1B inhibitor among ISIS 113715 and WO03/032916, WO03/032982, WO03/041729, the WO03/055883; (4) sulfonylurea is as acetohexamide; Carbutamide; P-607 (chlorpropamide); P-607 (diabinese); Glyburide; Glipizide; Glyburide (Glyburide); Glimepiride; Gliclazide; Glipentide; Gliquidone; Glisolamide; Tolazamide; And tolbutamide, and analogue; (5) meglitinides, as repaglinide and nateglinide, and analogue; (6) α glucoside hydrolase inhibitor is as acarbose; Adiposine; Card lattice wave row sugar; Emiglitate; Miglitol; Voglibose; Paldimycin-Q; Salbostatin; CKD-711; MDL-25,637; MDL-73,945; With MOR 14, and analogue; (7) alpha-amylase inhibitor, as tendamistat, come together his fourth (trestatin) and A1-3688, and analogue; (8) insulin secretagogue (secreatagogue), as linogliride and A-4166, and analogue; (9) fatty acid oxidation inhibitors, as clomoxir and etomoxir, and analogue; (10) A2 antagonist is as midaglizole; Isaglidole; Deriglidole; Racemic idazoxan; Earoxan; And fluparoxan, and analogue; (11) Regular Insulin or insulin-simulated peptide are as biological group (biota), LP-100, novarapid, insulin detemir, Insulin lispro, Lantus, (long-acting and overlength is imitated) lente insulin; Lys-Pro Regular Insulin, GLP-1 (73-7) are (insulintropin); And GLP-1 (7-36)-NH2), and analogue; (12) non-thiazolidinediones, as JT-501 and Fa Gelie ketone (GW-2570/GI-262579), and analogue; (13) PPAR α/γ dual agonists is as BVT-142, CLX-0940, GW-1536, GW-1929, GW-2433, KRP-297, L-796449, LR-90, MK-0767, SB 219994, Mo Geta azoles (muraglitazar) and reglitazar (JTT-501) and WO99/16758, WO99/19313, WO99/20614, WO99/38850, WO00/23415, WO00/23417, WO00/23445, WO00/50414, WO01/00579, WO01/79150, WO02/062799, WO03/004458, WO03/016265, WO03/018010, WO03/033481, WO03/033450, WO03/033453, WO03/043985, disclosed those PPAR α/γ dual agonists among the WO031053976; (14) other insulin sensitivity enhancing medicines; (15) VPAC2 receptor stimulant; (16) GLK conditioning agent is as disclosed those GLK conditioning agents among the WO03/015774; (17) retinoid conditioning agent is as disclosed those retinoid conditioning agents among the WO03/000249; (18) GSK 3 β/GSK 3 inhibitor, as 4-[2-(2-bromophenyl)-4-(4-fluorophenyl-1H-imidazoles-5-agent] disclosed those compounds among pyridine and WO03/024447, WO03/037869, WO03/037877, WO03/037891, WO03/068773, EP 1295884, the EP 1295885, and analogue; (19) glycogen phosphorylase (HGLPa) inhibitor is as disclosed those glycogen phosphorylases (HGLPa) inhibitor among the WO03/037864; (20) ATP consumes promotor, consumes promotor as disclosed those ATP among the WO03/007990; (21) TRB3 inhibitor; (22) capsaicin receptor ligands is as disclosed those capsaicin receptor ligands among the WO03/049702; (23) hypoglycemic agents is as disclosed those hypoglycemic agentss among WO03/015781, the WO03/040114; (24) glycogen synthase kinase 3 inhibitor are as disclosed those glycogen synthase kinase 3 inhibitor among the WO03/035663; (25) and medicament, as WO99/51225 and US20030134890; With disclosed those medicaments among WO01/24786, the WO03/059870; (26) conjugated protein-1 (IRDBP-1) of insulin replies DNA, as conjugated protein-1 (IRDBP-1) of disclosed insulin replies DNA among the WO03/057827, and analogue; (27) adenosine A 2 antagonists, as disclosed those adenosine A 2 antagonists among WO03/035639, the WO03/035640, and analogue.
Be used for the treatment of the combination of hyperlipidaemia
The medicament that is fit to that is used in combination with compound as herein described comprise lipid lowerers as:
(1) bile acid multivalent chelator is as the dialkylaminoalkyl derivative of Colestyramine, colesevelam (colesevelem), colestipol, sephadex;
With
And analogue; (2) HMG-CoA reductase inhibitor, cut down his spit of fland, itavastatin, lovastatin, mevastatin, pitavastatin, Pravastatin, rivastatin, superstatin, Simvastatin, sirrivastatin and ZD-4522 as atorvastatin, Bervastatin, carvastatin, Cerivastatin, crilvastatin, Dalvastatin, fluvastatin, lattice logical sequence, and disclosed compound among analogue and the WO03/033481; (3) HMG-CoA synthetase inhibitors; (4) cholesterol absorption inhibitor is as stanol ester, β-Gu Zaichun, steroline such as tiqueside; With azetidin ketone such as ezetimibe, and analogue; (5) ACAT (ACAT) inhibitor, as avasimibe (Current Opinion in Investigational Drugs.3 (9): 291-297 (2003)), eflucimibe, KY505, SMP 797, CL-277,082 (Clin Pharmacol Ther.48 (2): 189-94 (1990)) and analogue; (6) CETP inhibitor, as Nature.406, (6792): JTT 705, the Tuo Chepu (CP-529 described in US20030186952 and the WO2000017164 that is identified among the 203-7 (2000), 414), CP 532,632, BAY63-2149, SC 591, SC 795, and analogue (comprising those analogues described in Current Opinion in Investigational Drugs.4 (3): the 291-297 (2003)); (7) inhibitor for squalene synthetic enzyme; (8) antioxidant is as probucol, AGI-1067 and analogue; (9) PPAR alfa agonists is as Sgd-24774, bezafibrate, binifibrate, Win-35833, S-8527, chlorine Bei Te, etofibrate, fenofibrate, gemcabene and gemfibrozil, lifibrol, GW 7647, BM 170744, LY518674; And other fiber acid derivatives as

With

With disclosed those fiber acid derivatives among WO03/033456, WO03/033481, WO03/043997, WO03/048116, WO03/053974, WO03/059864, the WO03/05875, and analogue; (10) FXR receptor modulators, as GW 4064, SR103912, and analogue; (11) lxr receptor conditioning agent, as disclosed those lxr receptor conditioning agents among GW 3965, T9013137 and XTC0179628 and US20030125357, WO03/045382, WO03/053352, the WO03/059874, and analogue; (12) lipoprotein synthetic inhibitor is as nicotinic acid; (13) renin-angiotensin system inhibitor; (14) PPAR δ partial agonist is as disclosed those PPAR δ partial agonists among the WO03/024395; (15) bile acide reuptake inhibithors, as BARI 1453, SC435, PHA384640, S8921, AZD7706, and analogue; (16) PPAR delta agonists, as GW 501516 and GW 590735 and analogue, disclosed those analogues among W097/28149, WO01/79197, WO02/14291, WO02/46154, WO02/46176, WO02/076957, WO03/016291, the WO03/033493 for example; (17) triglyceride level synthetic inhibitor; (18) microsomal triglyceride transhipment (MTTP) inhibitor, as inplitapide, LAB687 and CP346086, and analogue; (19) transcriptional regulatory agent; (20) squalene epoxidase inhibitor; (21) low-density lipoprotein (LDL) receptor inducer; (22) anticoagulant; (23) 5-LO or FLAP inhibitor; (24) nicotinic acid receptor agonists; (25) PPAR conditioning agent, as disclosed those PPAR conditioning agents among WO99/07357, WO99/11255, WO99/12534, WO99/15520, WO99/46232, WO00/12491, WO00/23442, WO00/236331, WO00/236332, WO00/218355, WO00/238553, WO01/25181, WO01/79150, WO02/79162, WO02/100403, WO02/102780, WO02/081428, WO03/016265, WO03/033453, WO03/042194, WO03/043997, the WO03/066581, and analogue; (26) with nicotinic acid bonded chromium, as disclosed among the WO03/039535; (27) acid derivative of disclosed replacement among the WO03/040114; (28) apolipoprotein B inhibitor is as disclosed those apolipoprotein B inhibitor among WO02/090347, WO02/28835, WO03/045921, the WO03/047575; (29) factor Xa conditioning agent is as disclosed those factor Xa conditioning agents among WO03/047517, WO03/047520, the WO03/048081.
Be used for the treatment of hypertensive combination
The medicament that is fit to that is used in combination with compound as herein described comprise antihypertensive drug as:
(1) diuretic(s), as comprise the thiazides of chlorthalidone, chlorothiazide, Antidrasi, Hydroflumethiazide, indapamide, polythiazide and hydrochlorothiazide; Loop diuretic is as bumetanide, Ethacrynic, Furosemide and torsemide; Potassium-sparing diuretic is as Ah miaow Lip river profit and triamterene; And aldosterone antagonists, as spironolactone, eplerenone (epirenone), and analogue; (2) β-suprarenal gland energy retarding agent, as acebutolol, atenolol USP 23, betaxolol, bevantolol, bisoprolol, Bopindolol, carteolol, carvedilol, celiprolol, esmolol, indenolol, metoprolol, nadolol, nebivolol, penbutolol, pindolol, Propranololum, sotalol, Tertatolol, Daim and timolol, and analogue; (3) calcium channel blocker, as amlodipine, Aranidipine, Azelnidipine, barnidipine, benidipine, Bepridil, cilnidipineb, Clevidipine, Odizem, efonidipine, felodipine, Procorum, Isrodipine, Lacidipine (62, Lemildipine, lercanidipine, nicardipine, nifedipine, nilvadipine, nimodipine, nisoldipine, nitrendipine, Manidipine, pranidipine and verapamil, and analogue; (4) angiotensin-converting enzyme (ACE) inhibitor is as benazepril; Captopril; Fill in blue Puli; Yipingshu; Delapril; Enalapril; Enalapril (enalopril); Fosinopril; Imidapril; Lisinopril; Losinopril; Moexipril; Quinapril; Quinaprilat; Ramipril; Perindopril; Perindropril; Quanipril; Spirapril; Temocapril (tenocapril); Trolapril and zofenopril, and analogue; (5) neutral endopeptidase inhibitor, as omapatrilat, candoxatril (cadoxatril) and ecadotril, Fasidotril (fosidotril), Sampatrilat, AVE7688, ER4030, and analogue; (6) endothelin antagonist, as tezosentan, A308165 and YM62899, and analogue; (7) vasodilator, as hydralazine, clonidine, minoxidil and nicotinic alcohol, and analogue; (8) angiotensin II receptor antagonists such as Saprisartan (aprosartan), Candesartan, Eprosartan, irbesartan, losartan, Olmesartan, Pratosartan (pratosartan), Tasosartan, telmisartan, valsartan and EXP-3137, FI6828K and RNH6270, and analogue; (9) α/Beta-3 adrenergic retarding agent such as nipradilol, Arottnolol and amosulalol, and analogue; (10) α 1 retarding agent, as terazosin, urapidil, Prazosin, bunazosin, trimazosin, Doxazosin, naftopidil, Indoramine, WHP 164 and XEN010, and analogue; (11) α 2 agonists, as lofexidine, thiamenidine, moxonidine, rilmenidine and guanabenz (guanobenz), and analogue; (12) aldosterone inhibitor, and analogue; (13) angiopoietin-2-wedding agent, those the angiopoietin-2-wedding agents described in WO03/030833.
The methods of treatment that Cox is relevant with FAAH
Described compound can be used for for example treating thinks that hope reduces or eliminates state or the illness of COX-2 activity and/or FAAH activity and/or MAGL.Therefore, described compound can be used for using any situation ofcox 2 inhibitor or FAAH inhibitor or MAGL inhibitor and being used for other situations.For example, described compound can be used to treat inflammatory conditions with relevant prodrug, be used for management of acute pain and chronic pain (analgesia) and be used for treatment fever (febrifuge), described inflammatory conditions comprise think inflammation be illness integral part illness with think that inflammation is those illnesss of relative less important part.Autoimmune disorder is one of medicable inflammatory conditions.
Medicable illness comprises: sacroiliitis (comprises rheumatoid arthritis, arthritis vertebralis, urarthritis, osteoarthritis (being osteoarthritis), systemic lupus erythematous, ankylosing spondylitis, acute painful shoulder, psoriasis and juvenile arthritis), asthma, atherosclerosis, osteoporosis, bronchitis, tendonitis, bursitis, the dermatitis illness (is a psoriasis, eczema, burn, dermatitis), enuresis disease, the eosinophilic granulocyte disease, disorder of gastrointestinal tract (comprises inflammatory bowel, peptide ulceration, regional enteritis, diverticulitis, gastrointestinal hemorrhage, Crohn's disease, gastritis, irritable bowel syndrome and ulcerative colitis), and the illness of being improved by short digestive tract power reinforcing medicine (be intestinal obstruction, for example post operative ileus and the intestinal obstruction during Sepsis; Gastroesophageal reflux disease (GORD or its synonym GERD); Eosinophilic esophagitis, gastroparesis such as diabetic gastroparesis; Food does not tolerate and food anaphylaxis and other functional bowel disorders, as non-ucler dyspepsia (NUD) and non-cardiac chest pain (NCCP)).
Described compound also can be used for treating and following relevant symptom: influenza or other virus infectiones, common cold, sprain and overwork, myositis, neurodynia, synovitis, damage is as those damages behind sport injury and surgery and the dental operation, coagulation disorders, kidney disease (for example impaired renal function), eye disease (comprises glaucoma, the retinitis, retinopathy, the acute injury of uveitis and ocular tissue), hepatopathy (promptly comprises chronic viral hepatitis B, chronic viral hepatitis C, alcoholic liver injury, primary biliary cirrhosis, autoimmune hepatitis, non-alcoholic fatty liver disease and liver transplantation are repelled in interior inflammatory hepatopathy), and the pneumonia disease (for example comprises asthma, allergic rhinitis, respiratory distress syndrome, chronic bronchitis and pulmonary emphysema).The composition that comprises compound as herein described and associated precursors medicine thereof for example also can be used for treating and following relevant inflammation: vascular disease, migraine, tension headache, periarteritis nodosa, thyroiditis, aplastic anemia, Hodgkin's disease (Hodgkin ' s disease), sclerosis, rheumatic fever, type i diabetes, myasthenia gravis, sarcoidosis, nephrotic syndrome, Behcet syndrome (Behcet ' s syndrome), polymyositis, oulitis, hypersensitivity, conjunctivitis, multiple sclerosis and local asphyxia (for example myocardial ischemia), and analogue.Described compound can be used for treatment neural inflammation relevant with encephalopathic disease (for example Parkinson's disease and alzheimer's disease) and the chronic inflammatory relevant with the cranium radiation injury.Described compound can be used for treating acute inflammation state (as those states that caused by infection) and chronic inflammatory state (as those states that caused by asthma, sacroiliitis and inflammatory bowel).Described compound also can be used for treating inflammation relevant with wound and non-inflammatory myalgia.Described compound also can to the operation or take anti-coagulant before those people use.Described compound can reduce the danger of thrombus cardiovascular event, described thrombus cardiovascular event is defined as known to platelet aggregation, thrombosis and any accident of the type that causes of ischemia clinical events subsequently, and this comprises thrombosis or thromboembolic states palsy, myocardial ischemia, myocardial infarction, stenocardia, transient ischemic attack (TIA; Paroxysmal blindness (amaurosis fagax)), reversible ischemic neurologic deficit and any similar thrombotic episodes in any vescular bed (internal organ, kidney, aorta, periphery etc.).
Described compound can suppress the uterine contraction and the prostaglandin(PG) inductive smooth muscle contraction that are caused by hormone.Described compound can be used for treating premature labor, menstrual cramps, irregular menses and dysmenorrhoea.
Compound as herein described neoplastic transformation capable of inhibiting cell and metastatic tumo(u)r growth.Compound as herein described can be relevant with the number that reduces the adenoma colorectal polypus.Therefore, compound and prodrug also can be used for reducing for example danger of solid tumor cancer of some cancer, described solid tumor cancer such as colorectal carcinoma or colorectal cancer.Described compound and prodrug also can be used for treating the prevention of all cancers, and described cancer comprises bladder cancer, cancer, lung cancer (comprise nonsmall-cell lung cancer), kidney, carcinoma of the pancreas, prostate cancer, carcinoma of gallbladder and cholangiocarcinoma and carcinoma of endometrium, cancer of the stomach, neuroglia cancer, hepatocellular carcinoma, adenoma of colon, mammary cancer, ovarian cancer and the salivary gland carcinoma relevant with the overexpression of HER-2/ schwann's sheath, uterine cervix, skin, oesophagus, head and neck.In addition, described compound and prodrug can be used for treating large bowel cancer and prostate cancer.Described compound also can be used for the situation of danger of cancer that the patient is in the atypical adenomatous hyperplasia that comprises oral precancerous lesion, cervical intraepithelial neoplasia (CIN), chronic hepatitis, bile duct proliferation, lung, prostate tumor, goes up actinic keratosis, knot adenomas, gastric metaplasia and the Barrett esophagus (Barrett ' s esophagus) of intracutaneous tumor-like lesion, bladder dysplasia, skin.
Compound as herein described also is used for the treatment of: cognitive illness such as dementia, particularly the degeneration dementia (comprises senile dementia, alzheimer's disease (and precursor), Pick's disease (Pick ' s disease), Huntington Chorea, Parkinson's disease and Ke-Ya Shi disease (Creutzfeldt-Jakob disease)) and vascular dementia (comprising multiple sclerotic dementia) and and intracranial spaceoccupying lesion, wound, infect and off status (comprising that HIV infects) arranged, metabolism, toxin, the dementia that anoxia is relevant with vitamin deficiency; The memory impairment relevant with slight cognitive impairment, the particularly age relevant with aging.
Compound also can prevent neuronal damage by the generation (and oxidative stress after this) that suppresses the neurone free radical, and therefore is used for the treatment of apoplexy; Epilepsy; And Epileptic fits (comprising epilepsy grand mal, petit mal epilepsy, myoclonic epilepsy and partial seizures).Described compound can be used for control or suppresses epilepsy (comprising by those epilepsies of chemical process inductive).
Described compound can be used for treating the pain of all kinds, and described pain comprises other forms such as postoperative pain, lumbosacral pain, muscle-skeletal pain, headache, migraine, myalgia, back pain and cervicodynia, toothache and the similar type of the pain relevant with the Coughing, the pain of being correlated with cancer, the preceding pain of operation, arthritis ache and chronic pain.Described compound also can be used for treating neuropathic pain.Sustainable several months of pain or several years that the neuropathic pain syndromes can take place behind neuronal damage and be produced are even after primary injury heals.Neuronal damage can take place in some zone in peripheral nerve, dorsal root, spinal cord or brain.The neuropathic pain syndromes is classified according to the disease or the incident that make it to take place traditionally.The neuropathic pain syndromes comprises: diabetic neuropathy; Sciatica; Backache, non-specific back pain; Multiple sclerosis pain; Fibromyalgia; The DPN that HIV is relevant; Neurodynia is as postherpetic neuralgia and trigeminal neuralgia; The pain relevant with chronic alcoholism, hypothyroidism, uremia or vitamin deficiency; Pain relevant (for example carpal tunnel syndrome) and the pain that produces by health wound, amputation/phantom limb pain, cancer, toxin or chronic inflammatory state with neurothlipsis.The symptom of neuropathic pain is unusual miscellaneous and often be described as spontaneous emissivity (shooting) and lancinating pain or ongoing burn pain.In addition, exist and the relevant pain of normal non-pain, as " numb " (paresthesia and insensitive), to tactile sensitivity increases pain (paralgesia dynamic, static or heat) behind (oxypathy), the non-noxious stimulation, rest pain sense (hyperpathia) after the sensitivity of noxious stimulation is increased (hyperpathia heat, cold, machinery), stimulation and removes or selectivity are felt approach disappearance or shortage (hypalgia).
Described compound also can be used for treating and/or preventing the proliferative disorders as the cyclooxygenase mediation that can occur in diabetic retinopathy and tumor-blood-vessel growth.Described compound can be used for suppressing the vasculogenesis that occurs as in moist macular degeneration.
Described compound also can be used for therapeutic behavioral problem and/or sexual function improving.
Some compound is used to prevent and/or treat pain, particularly acute or chronic neuropathic pain, migraine, the neuropathic pain that comprises the form relevant with simplexvirus and diabetes, the acute pain relevant with inflammatory diseases (sacroiliitis, rheumatoid arthritis, osteoarthritis, spondylitis, gout, vasculitis (vascularitis), Crohn's disease, irritable bowel syndrome) or chronic pain and at the acute pain of periphery/sharply pain or chronic pain.Described compound also can be used for preventing and/or treating vomiting (emesis), dizzy, vomiting and feel sick (especially after chemotherapy), food behavioral problem/diet not normal (be eating disorder, the emaciation of apositia and various character particularly, the body weight loss relevant with other expendable states with cancer, or Bulimia nerovsa), neuropathology, psychosis (for example dyskinesia of trembling, myodystonia, spasticity, compelling sex behavior, the Tourette syndromes, the depression in any character and source and the form of ownership of anxiety, emotionally disturbed, psychosis), acute or chronic nerve degenerative diseases (Parkinson's disease for example, alzheimer's disease, old psychiatric disorder, Huntington Chorea, with cerebral ischemia and the cranium infringement relevant with the marrow wound, the leprosy epilepsy, somnopathy (sleep apnea), cardiovascular disorder (hypertension particularly, irregular pulse, arteriosclerosis, heart attack, heart ischemia, renal ischaemia), cancer (the innocent tumour of skin, papilloma and brain tumor, prostate tumor, brain tumor (glioblastoma multiforme, medulloepithelioma, the marrow blastoma, neuroblastoma, primary tumor (tumor oforigin), astrocytoma, astroblastoma, ependymoma, oligodendroglioma, clump tumour (plexus tumor), neuroepithelioma, the epiphysis tumour, ependymoblastoma (ependyblastomas), malignant meningioma, sarcosis, malignant melanoma, schwann cell cancer (schwan cell cancer)), disorder of immune system (particularly comprises psoriasis, lupus erythematosus is at interior autoimmune disease), conjunctiva or connective tissue disease, house Glenn syndromes (Sjogren ' s syndrome), the spondylarthritis ankylosis, undifferentiated spondylarthritis, Behcet's disease, autoimmune hemolytic anemia, multiple sclerosis, amyotrophic lateral sclerosis, amyloidosis, transplant rejection and the paotoblastic disease of influence, anaphylactic disease (is anaphylactic type or delayed hypersensitivity, allergic rhinitis or conjunctivitis, contact dermatitis), virus or bacterial parasite communicable disease (are AIDS, meningitis), inflammatory diseases (arthritis disease particularly: sacroiliitis, rheumatoid arthritis, osteoarthritis, spondylitis, gout, vasculitis, Crohn's disease, irritable bowel syndrome, osteoporosis, psoriasis, ocular infection and illness (promptly the eye hypertension, glaucoma, moist macular degeneration), lung disease (is a respiratory tract disease, bronchospasm (bronchyospasms), cough, asthma, chronic bronchitis, chronic respiratory blocks, wind-puff), disorder of gastrointestinal tract (is an irritable bowel syndrome, intestinal inflammatory condition, ulcer, diarrhoea, acid reflux), the urinary incontinence, the bladder inflammation, dyskinesia, the psychomotor activity illness, the complex disease that hypertension is relevant with AIDS.Described compound can be used as the sleep auxiliary of Cure for insomnia or induced hypnotic.Described compound can be used for minimizing or management of body weight (or fat) or prevents and/or treats obesity or the relevant illness that relates to luxus consumption food, ethanol and other appetitive materials of other appetite.Described compound can be used for regulating lipid metabolism, minimizing body fat (for example by increasing the fat utilization rate) or reduces (or inhibition) appetite (for example passing through inducing satiation sense).Described compound can be used for preventing, controlling or treat other illnesss of schizophrenia, paranoia or other relevant illnesss or Dopamine HCL transmission.
Described compound also can be used for treating anxiety (comprising generalized anxiety disorder, paranoid fears and social anxiety disorder) and depression.
Described compound (for example FAAH inhibitor) also can be used for treating frequent micturition, for example is used for the treatment of the urinary incontinence, urgent uriesthesia (uresiesthesia urgency) or overactive bladder.Frequent micturition is meant the state that is characterized as than just often draining or discharge a small amount of urine more continually.Interstitial cystitis, chronic prostatitis, DPN (for example DPN that produces by neurogenic bladder or cerebral infarction), lower urinary tract prostatomegaly and the aging row that belong to the state relevant with frequent micturition.
The methods of treatment that CRTH2 is relevant
Think and wish to reduce or eliminate active state of COX-2 or illness for the compound as herein described of CRTH2 antagonist can be used for for example preventing and/or treating.For the compound as herein described of CRTH2 agonist can be used for for example preventing and/or treating following state, think hope in described state: (1) is by desensitization downward modulation CRTH2 activity; (2) reduce non-CRTH2 chemokine receptor activity or (3) agonism by CRTH2 and shift Th1 and Th2 cell balance by intersecting desensitization Th2.Wish that the CRTH2 agonist is characterized as in unbalance disease of the transcellular Th1/Th2 of Th1 or illness particularly usefully preventing and/or treating, described disease or illness be rheumatoid arthritis, type i diabetes, psoriasis, gastritis, irritable bowel syndrome, multiple sclerosis, painless thyroiditis, lupus and Crohn's disease for example.
For the compound of CRTH2 antagonist or agonist can be used for auxiliary disease or the illness that prevents and/or treats by for example Th2 cell, eosinophilic granulocyte, basophilic granulocyte, thrombocyte, Langerhans cell (Langerhanscell), dendritic cell or mast cell mediated, adjusting or influence.They also can be used for auxiliary prevention or treat by PGD2And meta-bolites is as 13,14-dihydro-15-ketone-PGD2With 15-deoxidation-Al 2,1 '-PGD2Mediation, the disease or the illness of regulating or influencing.
Wish that the CRTH2 antagonist is used to prevent and/or treat bad activatory disease or the illness that is characterized as Th2 cell, eosinophilic granulocyte and basophilic granulocyte, for example asthma, atopic dermatitis, allergic rhinitis, allergy (for example food anaphylaxis, dust allergy, pollen hypersensitivity, mould allergy) and Ge Leishi disease (Grave ' s Disease).
For the compound of CRTH2 antagonist or agonist (and similarly (similarly) is the compound of DP-1 agonist or antagonist) can be used for auxiliary disease, state and the illness that prevents and/or treats following type:
Respiratory tract/obstructive airway diseases and illness, it comprises: rhinorrhea, tracheostenosis, air flue shrinks, acute rhinitis, allergic rhinitis, atrophic rhinitis or chronic rhinitis are (as caseous rhinitis, hypertrophic rhinitis, the purulent rhinitis, rhinitis sicca), medicamentous rhinitis, membranous rhinitis (comprises croupous rhinitis, fibrinous rhinitis and pseudomembranous rhinitis), the scrofulous rhinitis, the catarrhus perennialis, seasonal rhinitis's (comprising nervous rhinitis's (ragweed fever) and vasomotor rhinitis), asthma is (as bronchial asthma, allergic asthma, intrinsic asthma, extrinsic asthma, exercise induced asthma, the freezing air induced asthma, occupational asthma, infectation of bacteria induced asthma and dust asthma, particularly chronic or deep-rooted type asthma (for example late-onset asthma and airway hyperreactivity)), bronchitis (comprises chronic bronchitis, acute bronchitis, arachidic bronchitis, catarrhal bronchitis, croupous bronchitis, phthinoid bronchitis and eosinophilic granulocyte bronchitis), pneumoconiosis disease, cause interstitial fibrosis such as interstitial lung disease (ILD) (idiopathic pulmonary fibrosis for example, or the ILD relevant with rheumatoid arthritis, or other autoimmune states) chronic pulmonary inflammatory disease, acute lung injury (ALI), adult respiratory distress syndrome (ARDS), chronic obstructive pulmonary disease, air flue or lung disease (CORD, COAD, COLD or COPD are as irreversible COPD), chronic sinusitis, conjunctivitis (for example anaphylaxis conjunctivitis), cystic fibrosis, extrinsic allergic alveolitis (alveolitits) (as farmer lung (farmer ' s lung) and relevant disease), fibroid lung, the supersensitivity lung disease, hypersensitivity pneumonitis, idiopathic interstitial pneumonia, nasal congestion, nasal polyposis, otitis media and cough (relevant with inflammation or iatrogenic inductive chronic cough), pleuritis, pulmonary congestion, wind-puff, bronchiectasis, sarcoidosis, comprise the pulmonary fibrosis of cryptogenic fibrosing alveolitis, antineoplaston that fibrosis is concurrent and chronic infection (comprising tuberculosis and aspergillosis and other fungi infestation), the vasculitis of lung vascular system and thrombus venereal disease disease, and pulmonary hypertension, the acute viral infection that comprises common cold, and because respiratory syncytial virus, influenza, the infection of coronavirus (comprising SARS) and adenovirus;
Systemic anaphylaxis or hypersensitivity reaction, drug allergy (for example to penicillin, cephalosporins), insect sting allergy and the relevant allergy (as migraine, rhinitis and eczema) of food that may have away from the influence of intestines;
Disease that bone is relevant with the joint and illness, it comprises osteoporosis, sacroiliitis (comprises rheumatic arthritis, infectious arthritis, autoimmunity sacroiliitis), seronegative spondyloanthropathy becomes (as ankylosing spondylitis, rheumatoid spondylitis (rheumatoid spondylitits), psoriatic arthritis, synthetism point pathology (enthesopathy), Behcet's disease, Marie-Strumpell sacroiliitis, the sacroiliitis of inflammatory bowel and Lay Te Shi disease (Reiter ' s disease)), systemic sclerosis, osteoarthritis/osteoarthropathy, primary and insecondary for example congenital hip dysplasia, scorching and the lumbar spine inflammation of cervical spine, and back pain and cervicodynia, Still disease (Still ' s disease), reactive arthritis and undifferentiated SpA (spondarthropathy), septic arthritis infects relevant joint disease and bone disorders such as tuberculosis (comprising pott's disease (Pott ' s disease) and fluffy plug Cotard (Poncet ' ssyndrome)) with other, acute and chronic crystal inductive synovitis (comprises the uric acid gout, the tendonitis that calcium pyrophosphate deposition disease is relevant with phosphatic rock calcium, scorching and the synovia inflammation of capsule (bursar)), primary and Secondary cases house Glenn syndromes, systemic sclerosis and limitation scleroderma, mixed connective tissue disease and undifferentiated connective tissue disease, inflammatory myopathy (comprising polymyalgia rheumatica (polymalgia rheumatica)), juvenile arthritis (comprising no matter being that the joint distributes or spy's property sent out inflammatory arthritis of relevant syndromes), other joint diseases (as intervertebral disc degeneration or temporomandibular joint regression), rheumatic fever and systemic complication thereof, vasculitis (comprises giant cell arteritis, Takayasu arteritis (Takayasu ' s arteritis), polyarteritis nodosa, microscopically arteritis and the vasculitis relevant) with virus infection, hypersensitivity reaction, cryoglobulin, paraprotein, back pain, familial Mediterranean fever, the Muckle-Wells syndromes, with familial Hibenian heat, Kikuchi disease (Kikuchi disease), drug-induced arthrodynia (arthalgias), tendonititides, polychondritis and myopathy;
Disease and illness that skin is relevant with eye, it comprises: glaucoma, eye hypertension, cataract, detachment of retina, psoriasis, xeroderma (xerodoma), eczematosis is (as atopic dermatitis, contact dermatitis and seborrheic dermatitis), vegetalitas dermatitis (phytodermatitis), solar dermatitis, the skin eosinophilia, chronic skin ulcer, skin lupus erythematosus, contact supersensitivity/allergic contact dermatitis (comprises malicious ivy, the supersensitivity of lacquer tree or Oak Tree), with eosinophilic granulocyte folliculitis (Ofuji disease), pruritus, drug rash, urticaria is (acute or chronic, supersensitivity or nonallergic), acne, erythema, dermatitis herpetiformis, scleroderma, vitiligo, lichen planus, lichen sclerosus et atrophicus, pyoderma gangraenosum (pyodenna gangrenosum), the skin sarcoid, pemphigus, pemphigoid, epidermolysis bullosa (epidennolysis bullosa), angioedema, vasculitis, erythema toxicum, the skin eosinophilia, alopecia areata, male pattern baldness, this Witter syndromes (Sweet ' ssyndrome), Shi Difen-strong gloomy syndromes (Stevens-Johnson syndrome), weber-Chris moves syndromes (Weber-Christian syndrome), erythema multiforme (erythema multiforne), cellulitis, botl, infectivity and non-infectious pimelitis, lymphocytoma cutis, the plain knurl skin carcinoma of non-black and other dysplasia infringements, blepharitis (blepharitis), iritis, scorching and the back glucose film inflammation of preceding glucose film, choroiditis, influence amphiblestroid autoimmunity, degeneration or inflammatory conditions, the ophthalmia (ophtllalmitis) that comprises sympathetic ophthalmia, sarcoidosis, axersis (for example axersis described in the US2005192357A1), comprise virus, fungi and bacterium are in interior infection;
Disease that gi tract are relevant with belly and illness, it comprises: belly/celiaca (for example celiac disease), cholecystitis, enteritis (comprising the eosinophilic gastroenteritis), eosinophilic esophagitis, eosinophilic gastroenteritis's disease, allergen inductive diarrhoea, the enteropathy relevant with seronegative arthropathy, gastritis, inflammatory bowel (Crohn's disease and ulcerative colitis), colitis, irritable bowel syndrome, glossitis, oulitis, periodontitis, the esophagitis that comprises reflux esophagitis, rectitis, hepatic fibrosis and liver cirrhosis, pancreatitis, acute and chronic hepatitis (alcoholic hepatitis, fat hepatitis and chronic viral hepatitis) the supersensitivity illness relevant with gi tract;
Hemopathy, it comprises: anaemia, myeloproliferative disease, hemorrhagic illness, leukopenia, eosinophilic granulocyte venereal disease disease, leukemia, lymphoma, plasma cell cachexy, spleen imbalance;
The metabolism wadding is random, and it includes but not limited to: obesity, amyloidosis, disorder of amino acid metabolism such as side chain disease, hyperaminoacidemia, hyper aminoaciduria, the urine metabolism disorder, hyperammonemia, mucopolysaccharidosis such as Maroteaux-Lamy syndrome, thesaurismosis such as glycogen storage diseases and lipoidosis, glycogen storage disease I type disease such as Cori disease, carbohydrate malabsorption in malabsorption disease such as the intestines, the oligosaccharide enzyme deficiency disease (lacks as maltin, lactase deficiencies, invertase deficiency), the fructose metabolic disturbance, the semi-lactosi metabolic disturbance, galactosemia, carbohydrate utilizes disorderly as diabetes, hypoglycemia, the pyruvate salt metabolism disorder, the low fat mass formed by blood stasis, hypolipoproteinemia, hyperlipidaemia, hyperlipoproteinemia, carnitine or carnitine acyl transferase deficiency disease, the Porphyrin Metabolism disorder, porphyria (porphyrin), purine metabolic disturbance, lysosomal disease, nerve and neural system metabolic trouble are (as ganglioside storage disease, the sphingolipid storage disorders, greenfield disease), leukodystrophy (leucodystrophy), the Lesch-Nyhan syndromes; Osteoporosis, osteomalacia such as osteoporosis, the minimizing of bone amount, osteogenesis imperfecta, osteopetrosis, osteonecrosis, bone paget's disease (Paget ' s disease), hypophosphatemia; Little disordered brain function, brain metabolism disorder become as inflammatory DPN, Guillain-Barre﹠1﹠ syndrome as dementia, alzheimer's disease, Huntington Chorea, Parkinson's disease, Pick's disease, toxic encephalopthy, demyelinating neuropathy; Primary relevant and Secondary cases metabolic disorder hyperfunction or hypokinetic any illness as coming from some hormone secretion type incretory gland and any combination thereof with the hormone defective, the general tired Cotard in west (Sipple ' s syndrome), the pituitary gland dysfunction and to other incretory gland (as Tiroidina, suprarenal gland, ovary and testis) influence, acromegaly, hyperthyroidism and hypothyroidism, the normal thyrocele of thyroid function, the normal ill syndrome of thyroid function, thyroiditis, and thyroid carcinoma, the overproduction of adrenal steroid or under production, adrenogenital syndrome, hypercortisolism (Cushing ' s syndrome), adrenocortical bronzed disease (Addison ' s disease), addisonian pernicious anemia, primary and secondary aldosteronism, diabetes insipidus, diabetes, carcinoid syndrome, unusually the disorder that causes by parathyroid function, islet dysfunction, diabetes, female incretion system disorders such as estrogen deficiency, resistant ovary syndrome; The disorder of katabolism I type, carbohydrate and storing up property of the lipid myopathy of myasthenia, myotony, Duchenne type and other muscular dystrophy, Steinert dystrophia myotonica, mitochondrial myopathy such as muscle, glycogenosis, myoglobinuria, malignant hyperthermia, polymyalgia rheumatica, dermatomyositis, primary cardiac myopathy, myocardosis; Ectoderm illness, neurofibromatosis, scleroderma and polyarteritis, Louis-Ba Er syndrome (Louis-Bar syndrome), von Hippel-Lindau disease, Sturge-Weber syndrome (Sturge-Weber syndrome), tuberous sclerosis, amyloidosis, porphyria; The masculinity and femininity sexual dysfunction; Secrete improperly tangleweed and outbreak, liddle's syndrome (Liddle ' s syndrome), Bartter syndrome (Bartter ' ssyndrome), Fan Keni I structural synthesis owing to antidiuretic hormone from pituitary gland and levy (Fanconi ' s I syndrome) and kidney electrolyte consumption;
The state that transplant rejection is relevant, it comprises: the acute and chronic consubstantiality xenograft rejection behind the solid organ transplantation, for example transplanting of kidney, the heart, liver, lung and cornea, chronic graft versus host disease, dermatoplasty repulsion and bone marrow depression are repelled;
The state that urogenital is relevant, it comprises: ephritis (interstitial nephritis, acute matter (supersensitivity) ephritis and glomerulonephritis), nephrotic syndrome, the urocystitis, acute urethritis and the chronic urethritis that comprise acute cystitis and chronic (matter) urocystitis and Hunner (Hunner ' s ulcer), prostatitis, epididymitis, ovaritis, salpingitis, vulvovaginitis, Peyronie's disease (Peyronie ' sdisease) and erective dysfunction;
Disease and illness that CNS is relevant, it includes but not limited to: nerve degenerative diseases, alzheimer's disease and other cementations (cementing) illness (comprising CJD and nvCJD), amyloidosis and other demyelination syndromess, cerebral atherosclerosis and vasculitis, temporal arteritis, myasthenia gravis, no matter acute and chronic very pain (is the acute of maincenter or periphery source, pain discontinuity or persistence) (comprise Encelialgia, headache, migraine, trigeminal neuralgia, the atypia prosopodynia, arthrodynia and ostalgia), the pain that causes by cancer and tumor invasion, the neuropathic pain syndromes (comprises diabetogenous, the DPN relevant after the bleb) with HIV, neural sarcoidosis, brain injury, cerebrovascular disease and consequence thereof, Parkinson's disease, cortex substrate degeneration disease, motor neuron, dull-witted, (comprise ALS (amyotrophic lateral sclerosis), multiple sclerosis, traumatic brain injury, apoplexy, brain injury after the apoplexy, brain injury and little blood vessel cerebrovascular disease after the wound), dull-witted, vascular dementia, dementia with Lewy body, frontotemporal dementia with 1 to the relevant Parkinson's disease of karyomit(e) 17, frontotemporal dementia, (comprise Pick's disease, progressivity nuclear paralysis, corticobasal degeneration, Huntington Chorea, the thalamus degeneration disease, the HIV dementia, dementia schizophrenia and korsakoff's neurosis (Korsakoff ' s psychosis)), also think pernicious, the CNS illness maincenter of infectivity or self-immunprocess and peripheral nervous system complication are in the implication of described definition;
Inflammatory or immunological disease or illness, it comprises: general inflammation (rhinitis, pneumonia and gi tract inflammation), Mastocytosis/mastocyte illness be (skin, the mast cells activation syndrome of general and paediatrics mastocyte disease), mazoitis (mammary gland), vaginitis, vasculitis (necrotizing vasculitis for example, skin vasculitis and hypersensitive vasculitis), Wegner granulomatosis (Wegener granulamatosis), myositis (comprises polymyositis (polyinyositis), dermatomyositis), the disease (comprising basophilic cell leukemia and basophilic leukocytosis) that basophilic granulocyte is relevant, the disease relevant such as Qiu-Shi two syndromes (Churg-Strauss syndrome) with eosinophilic granulocyte, the eosinophilic granulocyte granuloma, lupus erythematosus is (as systemic lupus erythematous, subacute cutaneous lupus erythema tosus and discoid lupus erythematosus), Hashimoto thyroiditis (Hashimoto ' s thyroiditis), the lattice RD (Grave ' s disease), type i diabetes, the complication that causes by diabetes, other immune disorders, eosinophilia's property fascitis, high IgE syndrome, bronzed disease, antiphospholipid syndrome, acquired immune deficiency syndrome (AIDS) (AIDS), leprosy, Sai Zhali syndrome (Sezary syndrome), paraneoplastic syndrome and other autoimmune disorders, a variety of of described disease or illness are named in this paper;
Cardiovascular disorder and illness, it comprises: congestive heart failure, myocardial infarction, the cardiac ischemia disease, all types of atrium and ventricular arrhythmia, hypertension, cerebral trauma, occlusive vascular disease, apoplexy, cerebro-vascular diseases, atherosclerosis, restenosis, the cardiovascular disorder and the illness that influence crown and periphery are circulations, pericarditis, myocarditis, inflammatory and autoimmunization cardiomyopathy (comprise the myocarditis sarcoma, endocarditis, cardiovalvulitis and the aortitis that comprises infectivity (as syphilis) aortitis), hypertensive vascular disease, peripheral vascular disease and atherosclerosis, vasculitis, the illness (comprising phlebitis and thrombosis (comprising venous thrombosis and cirsoid complication)) of contiguous vein and peripheral vein;
Oncology disease and illness, it comprises: common cancer (prostate cancer, mammary cancer, lung cancer, ovarian cancer, cancer of pancreas, intestinal cancer and colorectal carcinoma, the abdomen cancer, cancer of the stomach (and other any cancer in digestive system), liver tumor, pancreatic neoplasm, peritoneal tumor, incretory gland (suprarenal gland, parathyroid gland, hypophysis, testis, ovary, thymus gland, Tiroidina) tumour, eye neoplasms, tumour, the neck tumour, neural system (maincenter and periphery) tumour, lymphsystem tumor, pelvic tumor, dermatoma, bone tumor, soft tissue neoplasm, spleen tumor, breast tumor, genito-urinary system tumour and brain tumor), influence the malignant tumour (comprising leukemia) of marrow and influence malignant tumour such as the Huo Qijin and the non-Hodgkin lymphoma of lymphocytosis system, metastatic disease and tumor recurrence, and paraneoplastic syndrome, and hypergammaglobulinemia, lymphoproliferative diseases, illness and/or state, paraproteinemia, purpura (comprising idiopathic thrombocytopenic purpura), Walden Si Telunshi macroglobulinemia (Waldenstron ' sMacroglobulinemia), gaucher's disease (Gaucher ' s Disease), histiocytosis and any other hyperproliferative disease; And
Other diseases and illness, it comprises: pain, migraine, somnopathy, fever, Sepsis, idiopathic thrombocytopenic purpura (pupura), tissue adhesion, flush, the heart, brain, ischemia/the reperfusion injury of periphery four limbs, infect, virus infection, thrombosis, shock, septic shock, thermal conditioning (comprising fever), raynaud's disease (Raynaud ' s disease), gangrene, the disease that needs anticoagulant therapy, congestive heart failure, the mucus secretion illness, the lung ypotension, the prostanoid inductive smooth muscle contraction relevant with dysmenorrhoea and premature labor.
Described in US20050112075A1, for the compound of CRTH2 antagonist or agonist (and similarly being the compound of DP-1 agonist or antagonist) also can be used for reducing hair (for example mammiferous) growth.
Described in WO2004030674,, and be that the compound of CRTH2 antagonist can be used as the feed inhibitor for the compound of CRTH2 agonist can be used as feed promotor.
For the compound of CRTH2 conditioning agent is used for the treatment of pain.It is believed that pain can also be the CNS illness.Pain can be relevant with the CNS illness, after described CNS illness such as multiple sclerosis, Spinal injury, sciatica, back surgery failure syndrome, traumatic brain injury, epilepsy, Parkinson's disease, the apoplexy and the vascular lesion (for example infraction, hemorrhage, vascular malformation) of brain and spinal cord.Non-nervus centralis pain comprises and following relevant pain: mastectomy postoperative pain, phantom sensation, reflectivity sympathetic nerve atrophy (RSD), trigeminal neuralgia radiation vascular lesion (trigeminalneuralgiaradioculopathy), post-operative pain, the pain that HIV/AIDS is relevant, cancer pain, metabolic neuropathy (diabetic neuropathy for example, the vasculitic DPN of connective tissue disease secondary), with for example lung cancer or leukemia or lymphoma or prostate cancer, the secondary tumprigenicity polyneuropathy that colorectal carcinoma or cancer of the stomach are relevant, trigeminal neuralgia, cranial nerve pain and postherpetic neuralgia.The pain relevant with peripheral nerve infringement, central pain (promptly owing to cerebral ischemia) and various chronic pain are pain in the back, backache (back pain), inflammatory and/or (andlor) rheumatic pain.Headache (for example migraine without aura, absence of aura migraine and other migraine illnesss), paroxysmal and chronic tension-type headache, class tension-type headache, cluster headache and chronic paroxysmal hemicrania also all are the CNS illnesss.The pain syndrome of Encelialgia such as pancreas disease, interstitial cystitis, dysmenorrhoea, irritable bowel syndrome, Crohn's disease, biliary colic, ureteral colic, myocardial infarction and pelvic cavity (for example vulvodynia, testalgia, urethral syndrome and prostatodynia (protatodynia)) also all is the CNS illness.
Described in WO05102338, for the compound of CRTH2 conditioning agent is used for the treatment of neuropathic pain.Sustainable several months of pain or several years that the neuropathic pain syndromes can take place behind neuronal damage and be produced are even after primary injury heals.Neuronal damage can take place in some zone in peripheral nerve, dorsal root, spinal cord or brain.The neuropathic pain syndromes is classified according to the disease or the incident that make it to take place traditionally.The neuropathic pain syndromes comprises: diabetic neuropathy; Sciatica; Backache, non-specific back pain; Multiple sclerosis pain; Fibromyalgia; The DPN that HIV is relevant; Neurodynia is as postherpetic neuralgia and trigeminal neuralgia; The pain relevant with chronic alcoholism, hypothyroidism, uremia or vitamin deficiency; The pain relevant (being carpal tunnel syndrome) with neurothlipsis and by health wound, amputation/phantom limb pain), the pain that produces of cancer, toxin or chronic inflammatory state.The symptom of neuropathic pain is unusual miscellaneous and often be described as spontaneous emissivity and lancinating pain or ongoing burn pain.In addition, exist and the relevant pain of normal non-pain, as " numb " (paresthesia and insensitive), to tactile sensitivity increases pain (paralgesia dynamic, static or heat) behind (oxypathy), the non-noxious stimulation, rest pain sense (hyperpathia) after the sensitivity of noxious stimulation is increased (hyperpathia heat, cold, machinery), stimulation and removes or selectivity are felt approach disappearance or shortage (hypalgia).
The methods of treatment that TXA2 is relevant
For the compound of the conditioning agent of thromboxane A2 (TXA2) acceptor can be used for preventing or treats and the relevant indication of TXA2 function of receptors that changes, described indication includes but not limited to following: disturbance of cerebral circulation, cerebral infarction, hematencephalon, cerebrovascular thrombosis, thromboembolism, cerebral apoplexy, shock, ischemic heart disease, myocardial infarction, acute heart failure, the vasospasm illness, stenocardia, hypertension, atherosclerosis, arteriosclerosis, atherosclerosis obliterans, the occluding thrombus vasculitis, hyperlipidaemia, sebaceous cyst in cholesterol ester storage disease and the vein transplantation thing, as the relief of the perfusion again illness (reperfusion salvage disorders) after the local asphyxia damage, the diabetic nephropathy that is caused by diabetes becomes, diabetic neuropathy and hypertriglyceridemia, the proliferative process of occlusive vascular disease (comprises the arterial restenosis that prevents postangioplasty, the postoperative vessel wall thickening), IPVD, the expansion of the blood vessel that transplant operation back thrombosis and acceleration operation back; Dysfunction of platelet; Asthma, bronchial asthma, bronchospasm, pulmonary hypertension; Prevention and treatment liver and damage of intestines; Kidney disease (for example uronephrosis, transplant rejection and ephritis); The activation of immunity system coagulability, pain, asthma, the vasculogenesis relevant, prevent or method, the anaphylactic disease of the generation of the inflammatory conditions that delays to mediate by TXA2 with tumour in the development; Preeclampsia and preterm labor; The deterioration process of penile tissue, for example the erectile tissue functional defect that causes by for example alcoholism or Nicotine abuse; Neurocyte sex change that causes by the amyloid beta protein and the nerve cell death that causes by axonotmesis, central nervous system disease, neurodegenerative disease, the neurocyte sex change, the neurocyte sex change of amyloid-beta protein induce, nerve cell death, axonotmesis inductive nerve cell death and (particularly) dementia of the Alzheimer type are (as in following document US 6407096, US20040152695A1, WO0030683A1, WO9502408A1, WO9205782A1, EP0744950B1, EP0484581B1, EP0240107B1, EP0668279B1, mentioned among the EP0522887A1).
The methods of treatment that CysLT2 is relevant
For the compound of the conditioning agent of CysLT2 can be used for preventing or treats and the relevant indication of halfcystine leukotriene receptor function that changes, described indication includes but not limited to following: immune disorders, inflammatory conditions; With supersensitivity illness such as seasonal rhinitis, long-term property vasomotor rhinitis, acute urticaria, chronic urticaria, atopic dermatitis, contact dermatitis, pruritus, angioedema, conjunctivitis, chronic bronchitis, systemic anaphylaxis, serum sickness, bronchial asthma, phagopyrism and relevant inflammatory diseases (comprising inflammatory enteritis and psoriasis), rheumatoid illness (rheumatoid arthritis), the hypersensitivity illness, immune deficiency or pseudo-the allergy tolerance of acetylsalicylic acid or other non-steroidal anti-inflammatory drug (promptly to), allergy, vasculogenesis, respiratory distress syndrome, Crohn's disease, ulcer, ulcerative colitis, benign prostatauxe disease, oedema, with hormone, the growth of neurotransmitter and cytokine, development, the cell growth, differentiation, the illness that tissue repair is relevant with release, blood and bone stable state (osteoporosis); And disorder of gastrointestinal tract (especially for the gastric cells protection).Described compound is used for diagnosis and treatment: mental illness and nervous disorders, for example central nervous system or peripheral nervous system illness, it comprises for example delirium, dull-witted, severe mental retardation and dyskinesia such as Huntington Chorea or tourette's syndrome, epilepsy, schizophrenia, emotional handicap (depressed and two-phase sexual dysfunction), anxiety, the obstacle of thinking and will, sleep and the obstacle of awakening, moving cell disease such as neurogenic and myopathy venereal disease disease, nervus retrogression illness such as alzheimer's disease and Parkinson's disease, wound, ischemic, sclerosis, various forms of encephalopathics and demyelination; Antalgesic or state, it comprises for example vascular pain (stenocardia, ischemia myalgia, migraine and cluster headache (with other headache illnesss)), pain in the back, pelycalgia and sympathetic activity (comprising the inflammation relevant with sacroiliitis); With the illness of external secretion and internal secretion mediation, it comprises that for example air flue electrolyte metabolism illness is that cystic fibrosis, chronic air flue infect and other lung disorders.Described compound also can be used for the treatment or prevention of arterial atherosis, periphery artery occlusion venereal disease disease (PAOD), myocardial infarction (treatment, prevention and prevention of recurrence), acute coronary syndrome, unstable angina pectoris, non-ST section is raised type myocardial infarction (NSTEMI), the ST section is raised type myocardial infarction (STEMI), obesity, diabetes and metabolic disease, diseases of genito-urinary system, reproduction and sex medicine, cancer, neoplastic disease and myeloproliferative disease, the granulomatous disease of vasculitis, sensory organ obstacle and alopecia.The CysLT2 conditioning agent to the purposes of these illnesss such as following described in: WO0142269A1, WO0142269A1, WO0159118A1, WO177149A2, WO04004773A1, WO04035741A2, WO05021518A1, WO8806886A1, WO9204325A1, WO9533839A1, WO9910529A1, US6878525, US5227378, US20010039037A1, US20020150901A1, US20040019080A1, US20050113408A1, EP0342664B1, EP0410241B1, EP0559871B1, EP0874047A3.
These compounds also can relate to and the relevant illness of following tissue (acceptor of wherein said tissue adjusting is expressed), and described tissue comprises for example brain, pallium, dorsal root ganglion (DRG) neurone, sciatic nerve, spinal cord, heart, kidney, stomach flesh, liver, lung and skin.The illness that relates to brain includes but not limited to: relate to neuronic illness and relate to neuroglia such as the illness of stellate cell, oligodendrocyte, ependymocyte and microglia; Voltage rise height and hernia form and hydrocephalus in cerebral edema, the cranial cavity; Deformity and disorder of development are as neural tube defect, preceding abnormalities of brain, back cranium nest unusual and syringomyelia and hydromyelia; Perinatal period brain injury; Cerebrovascular disease is as those cerebrovascular diseases relevant with anoxic, ischemic and infraction (comprising ypotension, low perfusion and low stream mode-global brain ischemia and focal cerebral ischemia-local blood supply obstructive infraction), intracranial hemorrhage (comprise that brain (in the essence) is hemorrhage, subarachnoid hemorrhage and disruptiveness berry aneurysm) and vascular malformation, hypertensive cerebral cerebrovascular disease (comprising lacunar infarction, breach hemorrhage (slit hemorrhage) and hypertensive encephalopathy); Infect, as acute cerebral meningitis (comprising acute festering type (bacillary) meningitis and acute sterility (viral) meningitis), acute focal pyogenic infection (comprises cerebral abscess, subdural empyema and epidural abscess), the chronic bacillary meningoencephalitis (comprises tuberculosis and mycobacterium disease, neurosyphilis and neural borreliosis (Lyme disease)), viral meningoencephalitis (the viral encephalitis that comprises arthropod-borne (Arbo), herpes simplex virus type 1, herpes simplex virus type 2, varicella zoster virus (zoster), cytomegalovirus, poliomyelitis, rabies and human immunodeficiency virus I (comprise HIV-1 meningitis (subacute encephalitis), the cavity myelopathy, the myopathy that AIDS is relevant, peripheral neuropathy and children AIDS)), PML, subacute sclerosing panencephalitis, the fungoid meningoencephalitis, neural other communicable diseases; Propagated spongiform encephalopathy (transmissible spongifornnencephalopathy) (prion disease); The other diseases of demyelination (comprising multiple sclerosis, multiple sclerosis variant, acute disseminating property encephalomyelitis and acute necrotizing hemorrhagic encephalomyelitis) and demyelination; Degenerative disease, as influence the degenerative disease (comprising Parkinson's disease, special property Parkinson's disease (Parkinsonism), stein-leventhal syndrome, corticobasal degeneration (corticobasal degenration), multiple system atrophy (comprising striatonigral degeneration (striatonigral degenration), Shi-De syndrome (Shy-Drager syndrome) and olivopontocerebellar atrophy) and the Huntington Chorea sent out) of corticocerebral degenerative disease (comprising alzheimer's disease and Pick's disease), basal ganglion and brain stem; Spinocerebellar degeneration, it comprises spinocebellar ataxia (comprising Friedreich ataxia and ataxia telangiectasia), influences the degenerative disease of motor neuron (comprising amyotrophic lateral sclerosis (motor neurone disease), oblongata spinal cord atrophy (Kennedy syndrome) and Duchenne-Arandisease); Inborn errors of metabolism is as leukoencephalopathy (comprising Krabbe disease (Krabbe disease), metachromatic leukodystrophy, adrenoleukodystrophy, pelizaeus-Merzbacher disease (Pelizaeus-Merzbacher disease) and canavan's disease (Canavan disease)), mitochondrial encephalomyopathy (comprising Leigh disease (Leigh disease) and other mitochondrial encephalomyopathies); Toxic and acquired metabolic trouble, it comprises vitamin deficiency such as VitB1 (VITMAIN B1) deficiency disease and vitamin B12 deficiency disease, the neural sequela (comprising hypoglycemia, hyperglycemia and hepatogenic encephalopathy (hepatic encephatopathy)) of metabolism disorder, toxic illness (comprising carbon monoxide, methyl alcohol, ethanol and radiation (comprising the inductive damage of Rheumatrex and radiation combination institute)); Tumour (comprises that astrocytoma (comprises fibrous type (dispersivity) astrocytoma and glioblastoma multiforme as neurospongioma, pilocytic astrocytoma, pleomorphic xanthoastrocytoma), with the brain stem neurospongioma, oligodendroglioma and ependymoma and relevant other chamber quality damage), neural tumor, low branch voltinism tumour (comprising medulloblastoma), other parenchymal tumors (comprise primary brain lymphoma, germinoma and pineal gland parenchymal tumor), meningioma, metastatic tumo(u)r, paraneoplastic syndrome, peripheral nerve sheath knurl (comprises schwannoma, neurofibroma and pernicious peripheral nerve sheath knurl (pernicious schwann's cell tumor)), and neurocutaneous syndrome (phakomatoss) (comprises that neurofibromatosis (neurofibromotosis) (comprises neurofibromatosis I type (NF0 and neurofibromatosis 2 types (NF2)), tuberous sclerosis and Von Hippel Lindau disease).
The illness of peripheral nervous system comprises: the inflammatory DPN, as immune-mediated DPN (being Guillain-Barre﹠1﹠ syndrome syndrome); The infectivity polyneuropathy is as leprosy, diphtheria, varicella zoster virus; Hereditary neuropathy is as heredity motion andesthesionosis change 1, HMSN II, moral-Soxhlet disease (Dejerine-Sottas Disease); Acquired metabolic and toxic neuropathy become, and become as peripheral nerve pathology, metabolic and the trophicity peripheral nerve pathology of the ictal diabetes of growing up, DPN, the toxic neuropathy relevant with malignant tumour; Traumatic DPN; With the peripheral nerve tumour.
The illness that relates to kidney includes but not limited to: birth defect, and it includes but not limited to cystic kidney disease (including but not limited to cystic kidney dysplasia, autosomal dominant (adult) polycystic kidney disease, autosomal recessive (children) polycystic kidney disease and cystic kidney medullary substance disease (including but not limited to medullary sponge kidney and nephronophthisis-uremia MCD complex disease)), acquired (it is relevant to dialyse) cystic disease such as simple cyst; Renal glomerular disease, they pathology that comprise glomerular injury (include but not limited to that the original position immune complex deposit (includes but not limited to anti-GBM ephritis, Heymann ephritis and the antigenic antibody of anti-plantation), circulating immune complex ephritis, anti-messangial cell antibody, the immunity of brightic cell-mediated property, the activation of substituting complement pathway, epithelial cell damage and relate to glomerular injury medium (mediator) pathology of (comprising cellularity and solubility medium)), acute glomerulonephritis such as acute proliferative are (after the streptococcal infection, infect the back) glomerulonephritis (including but not limited to post-streptococcal glomerulonephritis and non-poststreptococcal acute glomerulonephritis), radical type (crescent property) glomerulonephritis, nephrotic syndrome, membranous glomerulonephritis (membranous nephropathy), minimal change ephrosis (lipoid nephropathy), FSG, membranoprolifer ative glomerulonephritis, IgA nephropathy (Berger disease), focal proliferation and necrotizing glomerulonephritis (focal glomerulonephritis (glomeralonephritis)), hereditary nephritis (including but not limited to Alport syndrome and film disease (benign familial hematuria)), chronic glomerulonephritis, the glomerular injury relevant with systemic disease (includes but not limited to systemic lupus erythematosus, henoch-Schonlein purpura (Henoch-Schonleinpurpura), bacterial endocarditis, the diabetes glomerulosclerosis, amyloidosis, fiber-like and immune antenna sample glomerulonephritis, with other systemic disorders); Influence the disease of a tubule and a matter, it comprises acute tubular necrosis (acute tabular necrosis) and tubulointerstitial nephritis (tabulointerstitial nephritis) (including but not limited to pyelonephritis and urinary tract infection), acute pyelonephritis, chronic pyelonephritis and reflux nephropathy, uroschesis, (include but not limited to acute drug induction type interstitial nephritis with tubulointerstitial nephritis by medicine and toxin-induced, anodyne abuse type ephrosis, the ephrosis relevant with NSAID (non-steroidal anti-inflammatory drug) and other Tubulointerstitial diseases (include but not limited to urate nephropathy, hypercalcemia and nephrocalcinosis and multiple myeloma)); Vascular disease, it comprises benign nephrosclerosis, malignant hypertension and radical type nephrosclerosis (nephroselerosis), renal artery stenosis and thrombotic microangiopathy (including but not limited to typicalness (children) hemolytic uremic syndrome, adult's hemolytic uremic syndrome/thrombotic thrombocytopenic purpura, the special property sent out HUS/TTP and other vascular disorders (including but not limited to atherosclerotic ischemia kidney disease, atheroembolism kidney disease, sickle cell property ephrosis, dispersivity cortical necrosis and renal infarction)); Urinary tract infraction (obstructive uropathy); Urolithiasis (urinary stone disease, calculus); And tumor of kidney, it includes but not limited to innocent tumour (as renal papilla shape adenoma, renal fibroma or wrong hook knurl (renal medullary interstital cell knurl), angioleiomyolipoma and oncocytoma) and malignant tumour (comprising renal cell carcinoma (hypemephroma, renal adenocarcinoma)), and described renal cell carcinoma comprises the urothelial carcinoma of renal plevis.
The illness that relates to heart includes but not limited to: heart failure, and it includes but not limited to cardiac hypertrophy, left heart failure and right heart failure; Ischemic heart disease, it includes but not limited to atherosclerosis, periphery artery occlusion disease (PAOD), stenocardia, myocardial infarction, chronic ischemic heart disease and sudden cardiac death; Hypertensive heart disease, it includes but not limited to systematicness (left side) hypertensive heart disease and lung (right side) hypertensive heart disease; Valvular heart disease, it includes but not limited to the complication of endocarditis (libman-Sacks disease (Libman-Sacks disease)), carcinoid heart disease and the artificial valve of the valve degeneration (for example calcific aortic stenosis, CBAV calcification and mitral annular calcification) that caused by calcification and mitral valve myxomatous degeneration (mitral valve prolapse), rheumatic fever and rheumatic heart disease, infectious endocarditis and non-infectious vegetation such as marantic endocarditis and systemic lupus erythematosus; Myocardosis, it includes but not limited to dilated cardiomyopathy, hypertrophic cardiomyopathy, restrictive cardiomyopathy and myocarditis; Pericardial disease, it includes but not limited to PE and hemopericardium and pericarditis (comprising acute pericarditis and healing pericarditis) and atrophic diseases; The tumprigenicity heart trouble, it includes but not limited to the heart effect of primary cardiac tumor (as myxoma, lipoma, corpora mammillaria elastofibroma, rhabdomyoma and sarcoma) and non-cardiac tumor; Congenital heart disease, it includes but not limited to left to right shunt-cyanosis in late period (as atrial septal defect, ventricular septal defect, patent ductus arteriosus and atrioventricular septal defect), right-left shunt-early stage cyanosis (being connected unusually as fallot's disease, transposition of conducting arteries, arterial trunk, tricuspid atresia and thoroughness pulmonary vein), occlusive birth defect (as aortic coaractation, pulmonic stenosis and locking and aortic stenosis and locking) and the illness that relates to heart transplantation.
Skin disorder includes but not limited to: the illness of pigmentation, photoaging and melanocyte, and it includes but not limited to vitiligo, freckle, black spot, macle, nevus cell nevus, dysplastic nevus and malignant melanoma; Benign epithelial tumor, it includes but not limited to seborrheic keratosis, acanthosis nigricans, fiber epithelium polyp, epidermal cyst, keratoacanthoma and annex (appurtenant) tumour; Before worsening and pernicious epidermis tumour, it includes but not limited to actinic keratosis, squamous cell carcinoma, rodent cancer and merkel's cells disease (include but not limited to pemphigus, bullous pemphigoid, dermatitis herpetiformis and non-inflammatory send out the blister disease: epidermolysis bullosa and porphyria); The epidermal appendages illness, it includes but not limited to acne vulgaris; Pimelitis, it includes but not limited to erythema nodosum and erythema induratum; With infection and invasion and attack (infestation), as wart, molluscum contagiosum, pustulosis, epidermis fungi infestation, psoriasis and arthropod bite, sting and invasion and attack.
The illness that relates to liver includes but not limited to liver injury; Jaundice and cholestasis such as bilirubin and bile form; Liver failure and liver cirrhosis are as liver cirrhosis, portal hypertension (comprising ascites, portosystemic shunt and splenomegaly); The infectivity illness is as viral hepatitis (comprise that hepatitis A-E infects and by the infection of other hepatitis viruss), clinical pathology syndrome such as carrier state, inapparent infection, acute viral hepatitis, slow virus hepatitis and fulminant hepatitis; Autoimmunization hepatitis; The hepatopathy of medicine and toxin-induced is as alcoholic liver disease; Congenital error of metabolism and paediatrics hepatopathy are as hemochromatosis, hepatolenticular degeneration (Wilson disease), antitrypsin deficiency disease and neonatal hepatitis; The stones in intrahepatic bile duct disease is unusual as Secondary cases cholehepatocirrhosis, primary biliary cirrhosis, primary sclerosing cholangitis and courage system; Cycle penalty, as enter liver impaired blood flow (comprising hepatic artery crisis and pylemphraxis and thrombosis), (comprise that hepatic vein thrombosis forms (Bu-Jia Cotard (Budd-Chiari syndrome) and venous occlusive disease) by impaired blood flow (comprising passive hyperemia and centrilobular necrosis and hepatic peliosis disease), the hepatic vein of liver are outlet obstructed; The hepatopathy relevant with gestation, intrahepatic cholestasis during as preeclampsia and eclampsia, acute fatty liver of pregnancy and gestation; The liver complication of organ or bone marrow transplantation is as the non-immunology damage of the drug toxicity after the bone marrow transplantation, the anti-host disease of transplanting and liver repulsion and liver allograft; Tumour and tumprigenicity symptom are as nodular hyperplasia, adenoma and malignant tumour (comprising primary hepatocarcinoma and metastatic tumo(u)r).
The illness that relates to lung and respiratory system includes but not limited to birth defect; Atelectasis; The angiogenic disease is as pulmonary congestion and oedema (comprising hemodynamic pulmonary edema and the oedema that is caused by microvascular lesions), adult respiratory distress syndrome (DAD), pulmonary embolism, hemorrhage and infraction and pulmonary hypertension and arteriosclerosis; Chronic obstructive pulmonary disease is as wind-puff, chronic bronchitis, asthma, chronic asthma, acetylsalicylic acid inductive asthma, bronchial asthma and bronchiectasis; Allergic rhinitis; Pneumonia (for example interstitial myositis etc.), severe respiration syndrome (SARS), acute respiratory distress syndrome (ARDS), allergic rhinitis, sinusitis (acute sinusitis for example, chronic sinusitis etc.), matter (wetting property between dispersivity, restricted) disease such as pneumoconiosis, sarcoidosis, idiopathic pulmonary fibrosis, desquamative interstitial pneumonitis, hypersensitivity pneumonitis, lung eosinophilia (lung eosinophilia property infiltration disease), the bronchiolitis obliterans organized pneumonia, dispersivity pulmonary apoplexy syndrome (comprises Goodpasture (Goodpasture syndrome), the special property sent out lung haemosiderosis and other hemorrhage syndromes), lung is with collagen vascular disease disease (pulmonary involvement in collagenvascular disorder), and pulmonary alveolar proteinosis; The treatment complication is as drug-induced lung disease, radiation inductive lung disease and lung transplantation; Tumour is as bronchogenic carcinoma (comprising paraneoplastic syndrome, bronchioalveolar carcinoma, neuroendocrine carcinoma (as carcinoid of bronchus, mix knurl and metastatic tumo(u)r)); The pleura pathology, it comprises inflammatory leural effusion, non-inflammatory leural effusion, pneumothorax and pleural tumor (comprising isolatism fibroma (pleura fibroma) and malignant mesothelioma).Described compound also can be used as expectorant or cough suppressant.
The methods of treatment that DAO is relevant
The compound as herein described that for example suppresses DAO can be used for treating the illness of memory or cognition or being used to strengthen the patient's who does not for example suffer the illness relevant with the loss of memory or Cognitive function damage memory or cognitive function.
The patient can just be selected from one or more illnesss of short-term memory, long-term memory forfeiture, alzheimer's disease and slight cognitive impairment.The patient can just suffer or be in the danger of developing Cognitive function damage, described developing Cognitive function damage with therapeutical agent treatment or with to be selected from one or more following illnesss relevant: dementia, Pick's disease, Ke-Ya Cotard and Parkinson's disease that vascular dementia, Huntington Chorea, cerebral edema, depression, two-phase sexual dysfunction, amnesia, AIDS are correlated with.Described compound can be used with second medicament, and described second medicament is bright, anticholinesterase, nmda receptor antagonist, M1 muscarinic receptor antagonist, vitamin-E/tocopherol, Statins, CX516, Aripiprazole, CPI-1189, leteprinim potassium, benzene serine (Ser.) tartrate (phenserine tartrate), Pravastatin, conjugated estrogen hormone, risperidone, SB737552, SR57667 or the SR57746 of tacrine, donepezil hydrochloride, lycoremine, Li Fansi for example.
Described compound can be used for treating optimum forgetful, the slight trend that can not recover or recall ever recorded, learn and be stored in the information in the memory.Optimumly forgetfully influence individual more than 40 years old and can be discerned (Russell, 1975, J.Consult Clin.Psychol.43:800-809) usually by criterion evaluation instrument such as Wechsler Memory Scale (Wechsler Memory Scale).
Described compound can be used for treating AD.It is known in the art being used to diagnose the method for AD.For example, state-run neuropathy and aphasis and palsy-alzheimer's disease-institute and alzheimer's disease and relative disease association (NINCDS-ADRDA) standard can be used for diagnosing AD (people such as McKhann, 1984 Neurology 34:939-944).Patient's cognitive function can be assessed scale-cognition time scale by alzheimer's disease and assess (ADAS-cog; People such as Rosen, 1984, Am.J.Psychiatry141:1356-1364).
Described compound can be used for treating neuropsychopathy such as schizophrenia, autism, ADD (ADD) and attention deficit-hyperkinetic syndrome (ADHD).They can be used for treating emotional handicap; The illness that anxiety is relevant; Eating disorder; The illness that substance abuse is relevant; Personality disorder; With other mental disorders.
Described compound can be used for treating and head damage or relevant cognition and the memory impairment (being sometimes referred to as amnesia according to the general diseases state) of wound.
Described compound also can be used for treating and includes but not limited to following state and illness: children learn illness and nerve degenerative diseases and illness, as MLS (cerebellar ataxia), ataxia, amyotrophic lateral sclerosis, mongolism (Down syndrome), multiple infarction dementia, epileptic state (status epilecticus), the damage (for example Spinal injury and head injury) of contusion property, virus infection inductive nervus retrogression, (for example AIDS, encephalopathic), epilepsy, optimum forgetful and closed head injury.Described compound also is used for the treatment of cerebral apoplexy, thromboembolic states palsy, hemorrhagic apoplexy, cerebral ischemia, cerebral vasospasm, the hypoglycemia amnesia (neurotoxic injury after hypoglycemia ' amnesia), hypoxemia, anoxic, perinatal asphyxia and the sudden cardiac arrest.
Described compound can be used for treating neuropathic pain.Sustainable several months of pain or several years that the neuropathic pain syndromes can take place behind neuronal damage and be produced are even after primary injury heals.Neuronal damage can take place in some zone in peripheral nerve, dorsal root, spinal cord or brain.The neuropathic pain syndromes is classified according to the disease or the incident that make it to take place traditionally.The neuropathic pain syndromes comprises: diabetic neuropathy; Sciatica; Backache, non-specific back pain; Multiple sclerosis pain; Fibromyalgia; The DPN that HIV is relevant; Neurodynia is as postherpetic neuralgia and trigeminal neuralgia; The pain relevant with chronic alcoholism, hypothyroidism, uremia or vitamin deficiency; The pain relevant (being carpal tunnel syndrome) with neurothlipsis and by health wound, amputation/phantom limb pain), the pain that produces of cancer, toxin or chronic inflammatory state.The symptom of neuropathic pain is unusual miscellaneous and often be described as spontaneous emissivity and lancinating pain or ongoing burn pain.In addition, exist and the relevant pain of normal non-pain, as " numb " (paresthesia and insensitive), to tactile sensitivity increases pain (paralgesia dynamic, static or heat) behind (oxypathy), the non-noxious stimulation, rest pain sense (hyperpathia) after the sensitivity of noxious stimulation is increased (hyperpathia heat, cold, machinery), stimulation and removes or selectivity are felt approach disappearance or shortage (hypalgia).
Described compound be used to delay or reduce the cognitive impairment or the loss of memory or be used to increase by the second compound combined administration of cognitive function or memory.
Described compound can be the component of pharmaceutical composition, and described pharmaceutical composition comprises the medicament that is used for the treatment of the loss of memory (tacrine for example
E 2020
Lycoremine
Li Fansi's is bright
Anticholinesterase, nmda receptor antagonist (for example memantine), M1 muscarinic receptor antagonist, vitamin-E/tocopherol, Statins (for example lovastatin), CX516 (
Cortex Pharmaceuticals, Irvine, CA), Aripiprazole (Bristol-Meyers Squibb, Lawrenceville, NJ), CPI-1189 (CentaurPharmaceuticals, Sunnyvale, CA), leteprinim potassium (
Neo Therapeutics, Inrine, CA), benzene serine (Ser.) tartrate (Axonyx, New York, NY), Pravastatin (
Bristol-Meyers Squibb, Lawrenceville, NJ), conjugated estrogen hormone (
Wyeth, Philadelphia, PA), risperidone (
Johnson ﹠amp; JohnsonPharmaceutcals Research and Development, Raritan, NJ), SB271046 (GlaxoSmithKline, Philadelphia, PA), SB737552 (GlaxoSmithKline, Philadelphia, PA), SR57667 (Sanofi-Synthelabo, New York, NY) and SR57746 (Sanofi-Synthelabo, New York, NY)).
Compound as herein described can be used with D-Serine or its analogue (for example precursor of the ester of the salt of D-Serine, D-Serine, alkylating D-Serine or D-Serine).They can be used with antipsychotic drug, thymoleptic or psychostimulant.
Depressed treatment can be used in combination with compound as herein described.The thymoleptic that are fit to comprise tricyclics (TCAs); Oxidase inhibitor (MAOIs); Serotonin selectivity reuptake inhibitor (SSRI); Dual serotonin and NRI; Serotonin-2 antagonists/reuptake inhibitor; α2/ serotonin-2/5-hydroxy-tryptamine-3 antagonist; With selectivity norepinephrine and dopamine reuptake inhibitor.
Antipsychotic drug can be used in combination with compound as herein described.This treatment comprises: nerve blocker (chlorpromazine for example
Atypia nerve blocker (clozapine
); Risperidone
And olanzapine
Some useful compound suppresses the activity of D-aspartate oxidase (DDO), and DDO is the enzyme of oxidation D-Asp, D-Glu, D-Asn, D-Gln, D-Asp-dimethyl-ester and N-methyl D-Asp.
Described compound can with DAO or DDO inhibitor or those DAOs or DDO inhibitor or the antagonist combined administration of antagonist described in the U. S. application 20030166554 of therefore incorporating this paper by reference into.Suitable DDO inhibitor can comprise: aminoethylcysteine-ketoimine (AECK, sulfo-Methionin ketoimine, 2H-1,4-thiazine-5,6-dihydro-3-carboxylic acid, S-aminoethyl-L-halfcystine ketoimine, 2H-1,4-thiazine-3-carboxylic acid, 5, the 6-dihydro-); Aminoethylcysteine (sulfo-Methionin); Mercaptamine; Pantetheine; Cystathionine; And S-adenosylmethionine.
Using of compound
Described compound can use separately or be used in combination with other compounds that are used for the treatment of inflammatory conditions.Combined therapy is useful in multiple situation, and described situation comprises the effective dose of one or more medicaments that wherein are used for combined therapy and undesirable toxicity or the relevant situation of side effect when not being used in combination.This is because combined therapy can be used to reduce the required dosage or the time length of using single medicament.
Therefore, described compound can be used for common treatment with second medicament such as antiphlogiston.The antiphlogiston that can be used for common treatment comprises: NSAID, compound for inhibitors of leukotriene biosynthesis, 5-lipoxidase (LO) inhibitor or 5-fats oxidn ras GTPase activating protein ras-GTP (FLAP) antagonist (masoprocol for example, tenidap, zileuton, pranlukast, tepoxalin, rilopirox and hydrochloric acid flezelastine, enazadrem phosphate, U 66858, ABT-761, Fenleuton, tepoxalin, Abbott-79175, Abbott-85761, N-(5-replacement)-thiophene-2-alkyl sulfonamide, 2,6-DI-tert-butylphenol compounds hydrazone (phenolhydrazones), methoxyl group tetrahydropyrans such as zeneca ZD-2138, compound S B-210661,2-cyano group naphthalene compound such as L-739 that pyridyl replaces, 010,2-cyano quinolines compound such as L-746,530, or indoles or quinoline compound are (as MK-591, MK-886 and BAY s x 1005)), p38 inhibitor (for example SB203580 and Vertex compound VX745), LTB4 antagonist and LTA4Hydrolase inhibitor, CRTH2 conditioning agent (for example Ramatroban), steroid or reflunomide (beclometasone for example, two beclometasones, Betamethasone Valerate, budesonide, bunedoside, Butixocort, dexamethasone, flunisolide, fluocortin, fluticasone, fluticasone propionate, hydrocortisone, methylprednisolone, Mometasone, prednisolone, prednisone, tipredane, tixocortol (tixocortal), triamcinolone and Triamcinolone Acetonide) and other compounds, described other compounds comprise: Bayer compd B AY1005 (CA registration number 128253-31-6), Ciba Geigy Compound C GS-25019C, LeoDenmark compd E TH-615, Lilly compound L Y-293111, Ono compound ONO-4057, Terumo compound TMK-688, Lilly compound L Y-213024,264086 and 292728, ONO compound ONO-LB457, Searle compound S C-53228, calcitriol, Lilly compound L Y-210073, LY-223982, LY-233469 and LY-255283, ONO compound ONO-LB-448, Searle compound S C-41930, SC-50605 and SC-51146, and SmithKlineSKF-104493.Such antiphlogiston also can comprise steroid, particularly glucocorticosteroid, as his Mometasone of budesonide, two beclometasone (beclamethasone), fluticasone propionate, ciclesonide or furancarboxylic acid; Or at the steroid described in WO02/88167, WO02/12266, WO02/100879, WO02/00679 (especially embodiment 3,11,14,17,19,26,34,37,39,51,60,67,72,173,90,99 and those steroid of 101), WO03/035668, WO03/048181, WO03/062259, WO03/064445 and the 1WO03/072592; The non-steroid glucocorticoid receptor agonist is as at those non-steroid glucocorticoid receptor agonists described in WO00/00531, WO02/10143, WO03/082280, WO03/082787, WO03/104195 and the WO04/005229; The LTB4 antagonist is as U.S. Patent number5,451,700Described in those LTB4 antagonists; The LTD4 antagonist is as Singulair and Zafirlukast; The PDE4 inhibitor, as cilomilast (ciiomilast) (Ariflo GlaxoSmithKline), roflumilast (Byk Gulden), V-11294A (Napp), BAY19-8004 (Bayer), SCH-351591 (Schering-Plough), arofylline (Almirall Prodesfarma), PD189659 (Parke-Davis), AWD-12-281 (Asta Medica), CDC-801 (Celgene), SelCID (TM) CC-10004 (Ceigene), KW 4490 (Kyowa Hakko Kogyo), WO03/104204, WO03/104205, WO04/000814, WO04/000839 and WO04005258 (Merck), and those PDE4 inhibitor described in WO98/18796 and the WO03/39544; The A2a agonist is as EP1052264, EP1241176, EP409595A2, WO94/17090, WO96/02543, WO96/02553, WO98/28319, WO99/24449, WO99/24450, WO99/24451, WO99/38877, WO99/41267, WO99/67263, WO99/67264, WO99/67265, WO99/67266, WO00/23457, WO00/77018, WO00/78774, WO01/23399, WO01/27130, WO01/27131, WO01/60835, WO01/94368, WO02/00676, WO02/22630, those A2a agonists described in WO02/96462 and the WO03/086408; The A2b antagonist, those A2b antagonists described in WO02/42298; And β (the O-2 adrenoceptor agonists is as salbutamol (salbutamol), Orciprenaline, terbutaline, Salmeterol, Partusisten, procaterol, formoterol, bitolterol mesilate, pirbuterol and chirality enantiomorph and pharmacy acceptable salt; With the compound of the formula (I) of WO00/75114 the form of salt or solvate (free or).
Described compound can be examined former times, valdecoxib, parecoxib, rofecoxib, L-791456 and Lumaricoxib and be used in combination with selective COX-2-2 inhibitor such as meloxicam, match.
Described compound can be used for common treatment with the medicament that is used for the treatment of anxiety disorder, and described medicament comprises: benzodiazepines (for example
), SSRI (for example
), oxidase inhibitor (MAOI) and tricyclics (TCA, for example amitriptyline (amitryptilline)).
Described compound can be used in combination with anti-infective such as fusidic acid and antifungal drug such as clotrimazole (all being used for the treatment of atopic dermatitis).
Described compound can (comprise etanercept with the medicament that is used for the treatment of rheumatoid arthritis
And infliximab
) be used for common treatment.
Described compound also can be used for common treatment with second medicament with analgesic activities.The anodyne that can be used for common treatment includes but not limited to: NSAID (acemetacin for example, Paracetamol, acetylsalicylic acid, Warner-Lambert), alminoprofen, Azapropazone, acetylsalicylic acid, Azapropazone Compd 90459, bezpiperylon, the bucloxonic acid, carprofen, clidanac, diclofenac, diclofenac, diflunisal, difunisal, R-ETODOLAC, fenbufen, fenbufen, Fenclofenac, fenclozic acid, fenoprofen, fentiazac, Zentinic, Flufenamic Acid, flufenisal, flufenisal, R.D. 17345, flurbiprofen, flurbiprofen, Furofenac, ibufenac, Ibuprofen BP/EP, indomethacin, indomethacin, indoprofen, Isoxepac, isoxicam, Ketoprofen, Ketoprofen, ketorolac, meclofenamic acid, meclofenamic acid, mefenamic acid, mefenamic acid, miroprofen, mofebutazone, nabumetone Evil promazine, Naproxen Base, Naproxen Base, niflumic acid Evil promazine, oxpinac, Tacote, phenacetin, Phenylbutazone, Phenylbutazone, piroxicam, pirprofen, Y-8004, sudoxicam, tenoxicam, sulfasalazine, sulindac, sulindac, sutoprofen, tiaprofenic acid, tiopinac tioxaprofen, tolfenamic acid, Tolmetin, Tolmetin, zidometacin, zomepirac and zomepirac), non-narcotic analgesics such as U-26225A, opiates or narcotic analgesic (APF112 for example, β Fu Mana bends amine; buprenorphine; butorphanol; morphine monomethyl ether; cypridime; Wy-16225; paracodin; diphenoxylate; enkephalin pentapeptide; Fedotozine; fentanyl; hydrocodone; hydromorphone; lignocaine; levorphanol; Loperamide; Pethidine; mepivacaine; methadone; methyl naloxone; morphine; nalbuphine; Nalmefene; receive the Lip river hydrazone; naloxone; TREXUPONT; Naltrindole; nor-binaltorphimine; oxycodone; oxymorphone; pentazocine; Propoxyphene and trimebutine); the NK1 receptor antagonist (for example ezlopitant and SR-14033; SSR-241585); cck receptor antagonist (for example loxiglumide); the NK3 receptor antagonist (NKP-608C for example; Talnetant (SB-233412); D-418; Osanetant SR-142801; SSR-241585); norepinephrine-serotonin reuptake inhibitor (NSRI; Midalcipran for example), capsaicin receptor agonist and antagonist, cannabinoid receptor agonists (for example arvanil), sialorphin, be the compound of enkephalinase inhibitor or peptide, frakefamide (H-Tyr-D-Ala-Phe (F)-Phe-NH2WO01/019849A1), the peptide analogs of Tyr-Arg (kyotorphin), cck receptor agonist (for example Magainin), conotoxin peptide, thymosin, dexloxiglumide (the R isomer of loxiglumide; WO88/05774) and analgesia peptide (morphine peptide-1, interior morphine peptide-2, the steady element of pain, Dalargin, leuprorelin acetate and Substance P for example).
Can for example being used for the treatment of with compound combination as herein described, other medicaments of neuropathic pain include but not limited to: (i) opium kind analgesics such as morphine, heroine, hydromorphone, oxymorphone, levorphanol, levallorphan, methadone, Pethidine, fentanyl, Cocaine, morphine monomethyl ether, paracodin, oxycodone, hydrocodone, Propoxyphene, Nalmefene, nalorphine, naloxone, TREXUPONT, buprenorphine, butorphanol, nalbuphine or pentazocine; (ii) NSAID (non-steroidal anti-inflammatory drug) (NSAID) is as acetylsalicylic acid, diclofenac, difunisal, R-ETODOLAC, fenbufen, fenoprofen, flufenisal, flurbiprofen, Ibuprofen BP/EP, indomethacin, Ketoprofen, ketorolac, meclofenamic acid, mefenamic acid, nabumetone, Naproxen Base, Evil promazine, Phenylbutazone, piroxicam, sulindac, Tolmetin or zomepirac or its pharmacy acceptable salt; (iii) barbiturate(s) is as Amobarbital, somnifen, Secbutabarbital, butalbital, Mephogarbital, metharbital, Methohexitone, Sodital, phenylethyl barbituric acid (phenobartital), secobarbital, Talbutal, thiosezonal (theamylal) or Thiothal or its pharmacy acceptable salt; The benzodiazepines that (iv) has sedative effect, for example chlordiazepoxide, the tall and erect hydrochlorate of chlorine, diazepam, flurazepam, lorazepam, oxazepam, temazepam or triazolam and pharmacy acceptable salt thereof; (the H1 antagonist that v) has sedative effect is as diphenhydramine, pyrilamine, promethazine, chlorphenamine or chloreyclizine or its pharmacy acceptable salt; (vi) tranquilizer, for example glutethimide, meprobamate, methaqualone or Dichloralphenazone or its pharmacy acceptable salt; (vii) skeletal muscular relaxant, for example baclofen, carisoprodol, chlorzoxazone, cyclobenzaprine, methocarbamol or orphrenadine or its pharmacy acceptable salt; (viii) nmda receptor antagonist, for example Dextromethorphane Hbr ((+)-3-hydroxy-n-methylmorphine) or its meta-bolites Levorphanol d-form ((+)-3-hydroxy-n-methylmorphine), ketamine, memantine, Pyrroloquinoline quinone or suitable-4-(phosphonomethyl)-2 piperidine carboxylic acid or its pharmacy acceptable salt; (ix) alpha-adrenergic medicine, as Doxazosin, tamsulosin, clonidine or 4-amino-6,7-dimethoxy-2-(5-methane sulfonamido-1,2,3,4-tetrahydroisoquinoline-2-yl)-5-(2-pyridyl) quinazoline; (x) tricyclics, for example Desipramine, imipramine, amitriptyline (amytriptiline) or nortriptyline; (xi) anticonvulsive agent, for example Carbamzepine, Sodium Valproate or valproate; (xii) tachykinin (NK) antagonist, NK-3 particularly, NK-2 or NK-1 antagonist, (aR for example, 9R)-and 7-[3, two (trifluoromethyl) benzyls of 5-)-8,9,10,11-tetrahydrochysene-9-methyl-5-(4-aminomethyl phenyl)-7H-[1,4] diazocine [2,1-g] [1,7] naphthyridines-6,13-diketone (TAK-637), 5-[[(2R, 3S)-2-[(1R)-1-[3, two (trifluoromethyl) phenyl of 5-] oxyethyl group-3-(4-fluorophenyl)-4-morpholinyl] methyl]-1,2-dihydro-3H-1,2,4-triazole-3-ketone (MK-869), lanepitant, Dapitant or 3-[[2-methoxyl group-5-(trifluoromethoxy) phenyl] methylamino-]-2-phenyl-piperidines (2S, 3S); (xiii) muscarine antagonist, for example Oxybutynin, tolterodine, propiverine, trospium chloride (tropsiumchloride) or darifenacin; (xiv) cox 2 inhibitor, for example former times, rofecoxib or valdecoxib are examined in match; (xv) non-selective COX inhibitor (preferably having the GI provide protection) is as nitro flurbiprofen (HCT-1026); (xvi) coal tar anodyne, particularly Paracetamol; (xvii) neuroleptic is as droperidol; (xviii) capsaicin receptor agonist (as resinferatoxin) or antagonist (as capsazepine); (xix) beta-adrenergic agent, for example Proprasylyte; (xx) local anesthetic is as mexiletine; (xxi) reflunomide, for example dexamethasone; (xxii) 5-hydroxytryptamine receptor agonist or antagonist; (xxiii) cholinergic (nicotine) anodyne; (xxiv) U-26225A (trade mark); (xxv) PDEV inhibitor is as Virga, Vardenafil or taladafil; (xxvi) alpha-2-delta ligand is as gabapentin or lyrica; (xxvii) cannaboid (canabinoid).
In addition, because some thymoleptic has analgesic activities or otherwise is of value to anodyne and is used in combination, so these thymoleptic can be used for common treatment.The example of these thymoleptic comprises: selective serotonin reuptake inhibitor (for example fluoxetine, paroxetine, Sertraline), the dual uptake inhibitor of serotonin-norepinephrine, Venlafaxine and Nefazadone.Some anticonvulsive agent has analgesic activities and is useful in treating altogether.These anticonvulsive agents comprise: gabapentin, Carbamzepine, Phenytoin Sodium Salt, valproate, clonazepam, topiramate and lamotrigine.It is believed that these medicaments are particularly useful to the treatment neuropathic pain, for example treat the diabetic neuropathy of trigeminal neuralgia, post-herpetic neuralgia and pain.The additional compounds that is used for common treatment comprises: α-2-3 adrenergic receptor agonists (for example tizanidine and clonidine), mexiletine, reflunomide, the compound of blocking-up NMDA (N-methyl-D-aspartate) acceptor (Dextromethorphane Hbr for example, ketamine and amantadine), glycine antagonists, carisoprodol, cyclobenzaprine, various opiatess, non-opium sample cough medicine (Dextromethorphane Hbr for example, carmiphen, caramiphen and pentoxyverine), opium sample cough medicine (morphine monomethyl ether for example, hydrocodone, Metaxolone).Described compound also can with following combinations of substances: imbedibility gaseous state nitrogen protoxide (being used for the treatment of lung vasoconstriction or airway constriction), thromboxane A2 receptor antagonist, stimulant (being caffeine), H
2-antagonist (for example Ranitidine HCL), antacid (for example aluminium hydroxide or magnesium hydroxide), antiflatulent (for example Simethicone), Decongestant (phyenlephrinium for example, Phenylpropanolamine, pseudoephedrine, oxymetazoline, oxymetazoline hydrochloride, suprarenin, naphazoline, naphcon, xylometazoline, xylometazoline hydrochloride, tetrahydrozoline hydrochloride, tramazoline hydrochloride or ethylnorephinephrine hydrochloride, hexahydrodesoxyephedrine or left-handed desoxyephedrine), prostaglandin(PG) (Misoprostol for example, enprostil, rioprostil, ronoprost or rosaprostol), diuretic(s), quiet type or non-sedating type histamine H I receptor antagonist/antihistaminic agent (can be blocked, suppress, reduce or otherwise hinder interactional any compound between histamine and its acceptor) (include but not limited to :-4asternizole, Paracetamol, acrivastine, antazoline, asternizole, azatadine, azelastine, astemizole, Parabromdylamine, brompheniramine maleate, carbinoxamine, carebastine, cetirizine, chlorphenamine, chlorpheniramine maleate, Cimitidine Type A/AB, clemastine, marezine, Cyproheptadine, delotadine, Desloratadine, Loratadine, dexchlorpheniramine, Dimetindene, diphenhydramine, diphenylpyraline, doxylamine succinate, doxylarnine, ebastine, Efletirizine, epinastine, famotidine, fexofenadine, hydroxyzine, hydroxyzine, ketotifen, levocabastine, levocetirizine, levocetirizine, Loratadine, Meclozine, Pyrilamine, mequitazine, methdilazine, mianserin, mizolastine, R 64947, norasternizole, norastemizole, phenindamine, pheniramine, picumast, promethazine, pynlamine, pyrilamine, Ranitidine HCL, temelastine, terfenadine, Trimeprazine, tripelennamine and triprolidine); Histamine 4 receptor antagonists; 5HT1 agonist such as triptan (for example sumatriptan or naratriptan), adenosine A l agonist, the EP part, sodium channel inhibitor (for example lamotrigine), substrate P antagonist (for example NK antagonist), cannaboid, the 5-lipoxidase inhibitor, LTRA/leukotriene antagonist/LTD4 or LTC4 or LTB4 or LTE4 antagonist (can be blocked, suppress, reduce or otherwise hinder interactional any compound between leukotriene and the Cys LTI acceptor) (include but not limited to: Zafirlukast, verlukast (MK-679), Singulair, Menglusitena

Pranlukast, iralukast (CGP 45715A), Pobilukast, BAY x 7195, SKB-106,203, thiodiphenylamine-3-base be as L-651,392, amidino compounds such as CGS-25019c, benzoxalamine such as Ontazolast); Inferior acid amides amides of benzene first such as BIIL 284/260, Ro 23-3544, RG-12525, Ro-245913 and as US 5, being described to described in 565,473 has compound, DMARD (for example Rheumatrex), neurone stable form antiepileptic drug, monoamine energy uptake inhibitor (for example Venlafaxine), matrix metallo-proteinase inhibitor (stromelysins, collagenase and gelatinase and the aggrecanase enzyme of LTD4 antagonistic activity; Especially collagenase-1 (MMP-1), collagenase-2 (MMP-8), collagenase-3 (MMP-13), stromelysin-1 (MMP-3), matrix lysin-2 (MMP-10) and matrix lysin-3 (MMP-11) and MMP-9 and MMP-12 comprise the medicine as Vibravenos), nitric oxide synthetase (NOS) inhibitor such as iNOS or nNOS inhibitor, the release of tumour necrosis factor or the inhibitor of effect, Antybody therapy such as mab treatment, antiviral agent such as nucleosidic inhibitors (for example lamivudine) or immune system toner (for example Interferon, rabbit), local anesthetic, known FAAH inhibitor (PMSF for example, URB532, URB597 or BMS-1 and WO04033652, US6462054, US20030092734, US20020188009, those FAAH inhibitor described in US20030195226 and the WO04033422), thymoleptic (for example VPI-013), fatty acid amide (arachidonic acid thanomin for example, N-palmityl thanomin, the N-Oleoyl monoethanolamide, 2-arachidonic acyl glycerine or oleylamide), arvanil, anadamide described in US20040122089 and the analogue of arvanil and proton pump inhibitor (omeprazole for example, esomeprazole, lansoprazole, pantoprazole and rabeprazole).
Described compound also can with for second medicament of cannabinoid receptor antagonists is used for common treatment, to prevent and/or treat the obesity illness relevant with other appetite.
Medicament also can be used altogether with following one or more:
Immunostimulating Nucleotide, it comprises the motif of inducing Th1 immune response and/or the inhibition immunoreactive immunostimulating motif of Th2 or skeleton such as CpG motif, poly--G motif and being rich in T.The example of immunostimulating Nucleotide is open in US20030087848;
The passivation antibody (for example monoclonal or polyclonal) of interleukin (for example IL-4 and IL-5) (for example referring to people such as Leckie, 2000 Lancet 356:2144);
Solubility Chemokine Receptors (for example recombinant soluble IL-4 acceptor (Steinke and Borish, 2001 Respiratory Research 2:66));
Chemokine receptor modulators, it includes but not limited to the antagonist (CCR1 (CP-481 for example for example of Chemokine Receptors superfamily, 715 (people such as Gladue, J Biol Chem 278:40473)), CCR2, CCR2A, CCR2B, CCR3 (for example UCB35625 (people such as Sabroe, J Biol Chem 2000275:25985)), CCR4, CCR5, CCR6, CCR7, CCR8, CCR9, CCR10 and CCR11 (C-C family); The CX3CR1 and the XC family of CXCR1, CXCR2, CXCR3, CXCR4 and CXCR5 (C-X-C family) and C-X3-C family).These conditioning agents are included in US20060052413, US20060025432, WO0039125A1, WO02070523A1, WO03035627A1, WO03084954A1, WO04011443A1, WO04014875A1, WO04018425A1, WO04018435A1, WO04026835A1, WO04026880A1, WO04039376A1, WO04039377A1, WO04039787A1, WO04056773A1, WO04056808A1, WO05021513A1, WO04056809A1, EP1541573A1, WO05040167A1, WO05058881A1, WO05073192A1, WO05070903A2, WO05101989A2, WO06024823, WO06001751, those compounds described in WO06001752 and the EP1571146A1; PGD2Receptor antagonist, it includes but not limited in U.S. published application US20020022218, US20010051624 and US20030055077, PCT published application W09700853, W09825919, WO03066046, WO03066047, WO03101961, WO03101981, WO04007451, WO0178697, WO04032848, WO03097042, WO03097598, WO03022814, WO03022813 and WO04058164, European patent application EP 945450 and EP944614 by described to having PGD2The compound of antagonistic activity and people such as Torisu, people such as 2004 Bioorg Med Chem Lett 14:4557 and Torisu, people such as 2004 Bioorg Med Chem Lett 2004 14:4891 and Torisu, 2004 Bioorg ﹠amp; Listed those PGD among the Med Chem 200412:46852Receptor antagonist;
The adhesion molecule inhibitor, it comprises the VLA-4 antagonist;
Purinergic receptor antagonists is as disclosed P2X7 receptor antagonist among the WO06025783; Immunosuppressor, as ciclosporin (Ciclosporin A,
), tacrolimus (FK-506,
), pimecrolimus, rapamycin (sirolimus,
) and other FK-506 type immunosuppressor and Mai Kao acid esters for example examine acid esters for wheat
Beta-2-agonists, it includes but not limited to: salbutamol
Bambuterol, bitolterol (bitoterol), clenbuterol, Partusisten, formoterol, Isoetarine
Alotec
Pirbuterol (pitbuterol)
Reproterol, rimiterol, Salmeterol, terbutaline
Suprarenin, Racemic isoproterenol
Adrenaline acid tartrate
Ephedrine, Orciprenaline (orciprenlaine), Partusisten and Isoetarine;
β2Ji Dongji-reflunomide combination, it includes but not limited to: Salmeterol-fluticasone
Formoterol-budesonide
Bronchodilator, it includes but not limited to methyl xanthine such as theophylline and aminophylline;
Mast cell stabilizers, it includes but not limited to Cromoglycic Acid, Sodium Cromoglicate (cromolynsodium), Sodium Cromoglicate (sodium cromoglycate), nedocromil and proxicromil;
Anticholinergic, it includes but not limited to: coromegine, Benzatropine, biperiden, fluorine holder ammonium (flutropium), tropine, Scopolamine, ilutropium, Rinovagos, ipratropium bromide, epoxytropine tropate, Oxybutynin, sharp spray Xining, scopolamine, oxitropium bromide, tiotropium bromide, Tarodyn (glycopyrrrolate), pirenzepine (pirenzopine), telenzepine, tiotropium salt and CHF 4226 (Chiesi), and WO01/04118, WO02/51841, WO02/53564, WO03/00840,119.WO03/87094, WO04/05285, WO02/00652, WO03/53966, EP424021, U.S. Patent number5,171,744, U.S. Patent number3,714,357With those anticholinergics described in the WO03/33495;
Cough medicine, it includes but not limited to: Dextromethorphane Hbr, morphine monomethyl ether and hydromorphone;
Decongestant, it includes but not limited to: pseudoephedrine and Phenylpropanolamine;
Expectorant, it includes but not limited to: Guaifenesin (guafenesin), Guaiacolsulfonic acid salt (guaicolsulfate), terpin, ammonium chloride, guaiacol glyceryl ester (glycerol guaicolate) and organidin;
The PDE inhibitor, it includes but not limited to Filaminast, denbufylline (denbufyllene), Piclamilast, roflumilast, Zardaverine, cilomilast and rolipram;
The recombinant human monoclonal antibody, it includes but not limited to the Ao Mazuo monoclonal antibody
With his sharp pearl monoclonal antibody (tnx-901);
Pulmonary surfactant, it includes but not limited to dsc-104;
Cardiovascular drug is as calcium channel blocker, receptor, retarding agent, angiotensin-converting enzyme (ACE) inhibitor, Angiotensin-2 receptor antagonist; Lipid lowerers is as Statins or the special class of shellfish; The blood cell morphology conditioning agent is as pentoxifylline; Thrombolytic agent or anti-coagulant are as anticoagulant;
Antithrombotic is as thrombolytic agent (for example streptokinase, alteplase, Eminase and reteplase), heparin, r-hirudin and warfarin derivative, beta-Blocking agent (for example atenolol USP 23), beta-adrenergic agonist (for example Racemic isoproterenol), ACE inhibitor and vasodilator (for example Sodium Nitroprusside, nicardipine hydrochloride, pannonit and enalaprilat (enaloprilat));
Antidiabetic drug is as Regular Insulin and insulin-simulated peptide, sulfonylurea (for example glyburide, meglinatide), biguanides such as N1,N1-Dimethylbiguanide
Alpha-glucosidase inhibitor (acarbose), PPAR-gamma agonist and/or thiazolinone compound are (as rosiglitazone
Troglitazone
Ciglitazone, pioglitazone
And englitazone);
ALENDRONATE FOSAMAX, it comprises hormone preparation such as raloxifene or diphosphonate such as Alendronate;
Interferon formulation (as interferon beta-I α, interferon beta-I β and interferon-alpha, interferon-and IFN-);
Gold compound is as auranohm, mandarin orange (aurantium), auranofin and Aurothioglucose;
Cytokine modulators, it includes but not limited to tumour necrosis factor (TNF) inhibitor (etanercept for example
Antybody therapy such as adalimumab, CDP-870, mouse monoclonal antibody (orthoclone) (OKT3), Dary pearl monoclonal antibody
Basiliximab
), infliximab
D2E6 TNF antibody), interleukin (comprising the compound described in IL1, IL2, IL3, IL4, IL5, IL6, IL7, IL8, IL9, IL10, IL11, IL12, IL13, IL14, IL15, IL16, IL17 and WO05042502A1 and the WO05061465A1), interleukin antagonist or inhibitor such as Kineret (kineret) and pentoxifylline.
Lubricant or tenderizer are as Vaseline and lanolin, keratolytic agent, vitamins D
3Derivative (for example Sha Lidu or derivatives thereof, Dithranol, calcipotriene and calcipotriol
), PUVA, anthraline
Etretinate
And isotretinoin;
Nicotinic acid or another kind of nicotinic acid receptor agonists (for example, people can use CRTH2 or DP-1 antagonist altogether, with the flush that reduces, prevents or elimination is relevant with using nicotinic acid or nicotinic receptor agonists).In certain embodiments, antagonism DP-1 activity is had compound optionally as herein described and nicotinic acid or nicotinic acid receptor agonists use altogether, under the obvious flush of shortage, to prevent and/or treat atherosclerosis.In other embodiments, antagonism CRTH2 activity is had compound optionally as herein described and nicotinic acid or nicotinic acid receptor agonists use altogether, under the obvious flush of shortage, to prevent and/or treat atherosclerosis;
Antiseptic-germicide is as penicillin derivative, tetracyclines, Macrolide, beta-lactam, fluoroquinolone, metronidazole, imbedibility aminoglycoside; Antiviral agent, it comprises acyclovir, Famciclovir, valacyclovir, ganciclovir, cidofovir, amantadine, Rimantadine, ribavirin, zanamivir and oseltamivir; Proteinase inhibitor is as Indinavir, viracept see nelfinaivr, ritonavir and Saquinavir; Nucleoside reverse transcriptase inhibitor is as didanosine, lamivudine, stavudine, prick him and border on (ozalcitabine) or zidovudine in the west; Or non-nucleoside reverse transcriptase inhibitor, as nevirapine or efavirenz;
The CNS agent is as bright, propentofylline or the metrifonate of thymoleptic (as Sertraline), anti-Parkinson medicine (as L-deprenyl, levodopa, Ropinirole, pramipexole, MAOB inhibitor such as selegiline (selegine) and rasagiline, comP inhibitor such as tolcapone, A-2 inhibitor, dopamine reuptake inhibitor, nmda antagonist, nicotinic agonist, dopamine agonist or neuronal nitric oxide synthetase inhibitors) or anti-Alzheimer medicine such as E2020, Li Fansi;
The medicine that is used for the treatment of cancer, for example: (i) anti proliferative/antitumour drug such as alkylating agent (for example cis-platinum, carboplatin, endoxan, mustargen, melphalan, Chlorambucil, busulfan or nitrosourea); Antimetabolite (for example antifol such as fluorine pyrimidine, 5 FU 5 fluorouracil, Tegafur, Raltitrexed, Rheumatrex, cytosine arabinoside, hydroxyurea, gemcitabine or taxol); Antitumor antibiotics (for example anthracene nucleus class such as Zorubicin, bleomycin, Dx, daunorubicin, epirubicin, idarubicin, Mitomycin-C, actinomycin or Plicamycin); Antimitotic agent (for example vinca alkaloids such as vincristine(VCR), vinealeucoblastine(VLB), vindesine or vinorelbine, or Taxan such as taxol or Docetaxel); Or topoisomerase enzyme inhibitor (for example epipodophyllotoxin such as Etoposide, teniposide, amsacrine, Hycamtin or camptothecine); (ii) cytostatics such as estrogen antagonist (tamoxifen for example, toremifene, raloxifene, droloxifene or idoxifene (iodoxyfene)), estrogen receptor is born conditioning agent (for example fulvestrant), androgen antagonist (bicalutamide for example, flutamide, Nilutamide or cyproterone acetate), lhrh antagonist or LHRH agonist (goserelin for example, Leuprolide or buserelin), lutein (progestrogen) (for example Magace), aromatase inhibitor (Anastrozole for example, letrozole, vorozole (vorazole) or Exemestane) or 5 inhibitor such as finasteride; The (iii) medicine (for example inhibitors of metalloproteinase such as Marimastat or urokinase plasminogen activator receptor depressant of functions) of anticancer invasion and attack; (iv) somatomedin depressant of functions (for example monoclonal antibody such as Herceptin (Herceptin) or Erbitux (Cetuximab), farnesyl transferase inhibitor, tyrosine kinase inhibitor or serine/threonine kinase inhibitor, epidermal growth factor family inhibitor (EGFR family tyrosine kinase inhibitor such as N-(3-chloro-4-fluorophenyl)-7-methoxyl group-6-(3-morpholino propoxy-) quinazoline-4-amine (Gefitinib for example, AZD1839), N-(3-ethynyl phenyl)-6, two (2-methoxy ethoxy) quinazolines of 7--4-amine (Tarceva, OSI-774) or 6-acrylamido-N-(3-chloro-4-fluorophenyl)-7-(3-morpholino propoxy-) quinazoline-4-amine (CI 1033)), platelet-derived growth factor man group inhibitor, or pHGF man group inhibitor; (v) anti-angiogenic agent is as the medicine (for example anti-vascular endothelial cell growth factor antibody rhuMAb-VEGF, i.e. disclosed compound among WO97/22596, WO97/30035, WO97/32856 or the WO98/13354) of the effect that suppresses vascular endothelial growth factor or via the compound of another kind of mechanism effect (for example linomide, integrate plain ocvp3 depressant of functions or angiostatin); (vi) disclosed compound among vascular lesion agent such as combretastatin A4 or WO99/02166, WO00/40529, WO00/41669, WO01/92224, WO02/04434 or the WO02/08213; (vii) be used for the medicament of antisense therapy, as medicament such as ISIS 2503, the anti-ras antisense of the target spot listed above of leading; (method, GDEPT (gene targeting enzyme-prodrug therapy) method that the medicament that viii) is used for gene therapy method, described gene therapy method for example replace aberrant gene such as unusual p53 or unusual BRCA1 or BRCA2 is as those methods of using Isocytosine deaminase, thymidine kinase or the bacillary nitroreductase of lo and increase method such as the multi-medicine resistance gene therapy of patient to chemotherapy or radiotherapeutic tolerance; Or (ix) be used for the medicine of immunotherapy method, described immunotherapy method for example increase method in the immunogenic external and body of patient tumors cell (turnout cell), as with the transfection of cytokine such as interleukin-22, interleukin 4 or granulocyte-macrophage colony stimutaing factor, reduce the T cellular energy method, use the immunocyte (as the dendritic cells of cytokine transfection) of transfection method, use cytokine transfection tumor cell line method and use the method for antiidiotypic antibody;
The multiple sclerosis therapeutical agent is as interferon beta-I β
Interferon beta-I α
Azathioprine
The acetic acid glatiramer
Glucocorticosteroid (for example prednisolone) and endoxan; With
Other compounds, as 5-aminosalicylic acid and prodrug thereof, DNA alkylating agent (endoxan for example, ifosfamide), metabolic antagonist (azathioprine for example, Ismipur, Rheumatrex, antifol, and 5 FU 5 fluorouracil, the pyrimidine antagonist), microtubule agent interfering (vincristine(VCR) for example, vinealeucoblastine(VLB), taxol, colchicine, R 17934 and vinorelbine), DNA intercalator (Dx for example, daunorubicin and cis-platinum), DNA synthetic inhibitor such as hydroxyurea, DNA linking agent such as ametycin, hormonotherapy (for example tamoxifen and flutamide), leflunomide, Oxychloroquine, the d-Trolovol, diacerein, the intraarticular treatment is as derivatives of hyaluronic acids, nutritious supplementary such as glycosamine, the combination of aminosalicylate and sulfapyridine (sulfapyndine) is (as mesalazine, Balsalazide and olsalazine), immunomodulator such as thiopurine, tyrosine kinase inhibitors, platelet activation factor (PAP) antagonist, interleukin converting enzyme (ICE) inhibitor, inosine-5 '-monophosphate desaturase (IMPDH inhibitor), kethepsin (cathepsin), kinase inhibitor such as tyrosine kinase inhibitor are (as Btk, Itk, Jak3 or MAP, for example Gefitinib (Geftinib) or imatinib mesylate), the serine/threonine kinase inhibitor is (as map kinase inhibitor such as p38, INK, protein kinase A, protein kinase B or protein kinase C, or IKK), or relate to the kinases (as cell cycle protein dependent kinase (cylin dependent kinase)) of Cycle Regulation, glucose-6 phosphoric acid salt dehydrogenase inhibitor, xanthine oxidase inhibitor (for example allopurinol), uricosuric (probenecid for example, sulfinpyrazone (sulenpyrazone) or benzbromarone), growth hormone cinogenic agent, transforming growth factor, platelet-derived growth factor, inoblast growth factor (basic fibroblast growth factor for example, rHuGM-CSF (GM-CSF), Zostrix, elastatinal (as UT-77 or ZD-0892), TNF-α converting enzyme inhibitor (TACE), regulate the medicament (TLR) of the function of sample acceptor, transcription factor activation inhibitor such as NFkB, API or STATS, and cytostatics (imatinib (STI571 for example;

) and Rituximab
).
When compound as herein described (for example DAO inhibitor) is applied when treating the relevant illness of CNS for example, its can with one or more d-amino acid (for example, one or more among D-Asp, D-Ser, D-Ala, D-Leu and the D-Pro) combined administration.
Combined therapy
Combined therapy can be by using two or more medicines (each is all prepared respectively or use) or finishing by use two or more medicines with unitary agent.In other combinations also are included in by combined therapy.For example, two kinds of medicines can be prepared together and combine with the independent preparation that contains the 3rd medicine and use.Although two or more medicines in the combined therapy can be used simultaneously, do not need to use simultaneously them.For example, using of first medicine (or combination of medicine) can using several minutes, several hours, several days or a few week prior to second medicine (or combination of medicine).Therefore, two or more medicines can be in several minutes each other or each other 1,2,3,6,9,12,15,18 or 24 hour in or in each other 1,2,3,4,5,6,7,8,9,10,12,14 day or use in 2,3,4,5,6,7,8,9 or 10 weeks each other.In some instances, even interval that might be longer.Although wish that in a lot of examples two or more medicines that are used for combined therapy are present in the patient body simultaneously, this also needn't be like this.
Combined therapy also can comprise one or more medicines of being used in combination two or more use.For example, if medicine X and medicine Y are used in combination, people can for example use with the order of X-Y-X, X-X-Y, Y-X-Y, Y-Y-X, X-X-Y-Y etc. with any their one or many of combination sequential application so.
Use
Medicine alone or in combination can mix with any pharmaceutically acceptable carrier or medium.Therefore, they can with when use the material mixing that Shi Buhui produces disadvantageous, hypersensitive or other unwanted reactions in aspect to the patient.Employed carrier or medium can comprise solvent, dispersion agent, dressing, absorption enhancer, sustained release agent and one or more inert excipients (comprising starch, polyvalent alcohol, granulation agent, Microcrystalline Cellulose, thinner, lubricant, tackiness agent, disintegrating agent and analogue) etc.If desired, the tablet amounts of disclosed composition can be come dressing by standard aqueous or non-aqueous technology.
Described medicine can be the form of pharmacy acceptable salt.This salt is made by pharmaceutically acceptable nontoxicity alkali (comprising mineral alkali and organic bases).The example of the salt that obtains from mineral alkali comprises aluminium salt, ammonium salt, calcium salt, mantoquita, trivalent iron salt, ferrous salt, lithium salts, magnesium salts, manganese salt, manganous salt, sylvite, sodium salt, zinc salt and analogue.In some embodiments, described salt can be ammonium salt, calcium salt, magnesium salts, sylvite or sodium salt.The example of the salt that obtains from mineral alkali comprises aluminium salt, ammonium salt, calcium salt, mantoquita, trivalent iron salt, ferrous salt, lithium salts, magnesium salts, manganese salt, manganous salt, sylvite, sodium salt, zinc salt and analogue.In some embodiments, described salt can be ammonium salt, calcium salt, magnesium salts, sylvite or sodium salt.The example of the salt that obtains from pharmaceutically acceptable organic nontoxicity alkali comprises primary amine, secondary amine and tertiary amine, Benethamine diacetale, N, N '-dibenzyl quadrol, diethylamine, 2-diethylaminoethanol, the 2-dimethylaminoethanol, diethanolamine, thanomin, quadrol, N-ethylmorpholine, N-ethylpiperidine, epolamine (epolamine), glycosamine (glucamine), glycosamine (glucosamine), Histidine, breathe out amine, Isopropylamine, Methionin, methylglucosamine, meglumine, morpholine, piperazine, piperidines, versamid 900, PROCAINE HCL, PHARMA GRADE, purine, Theobromine, triethylamine, Trimethylamine 99, tripropyl amine and trolamine, the salt of tromethane.The example of other salt comprises Tutofusin tris (tris) salt, betel nut alkali salt, arginic acid salt, barium salt, beet alkali salt, bismuth salt, chloroprocaine salt, choline salt, chlorine imidazole salts, deanol salt, imidazole salts and morpholine ethanol salt.Be Tutofusin tris salt in one embodiment.
Described medicine can be with the sheet of the activeconstituents that for example contains predetermined amount or cachet, pill, gel, paste agent, syrup, bolus (bolus), electuary (electuary), slurry (slurry), capsule; Powder; Particle; With solution in waterborne liquid or the non-aqueous liquid or suspension; With oil-in-water liquid emulsion or water-in-oil liquid emulsion (referring to for example EP736299) or Orally administered with some other forms via Liposomal formulation.Orally administered composition can comprise tackiness agent, lubricant, inert diluent, lubricant (lubricating), tensio-active agent or dispersion agent, seasonings and wetting Agent for Printing Inks.Orally administered preparation as sheet can choose wantonly by dressing or indentation and can be prepared so as to provide lasting, delay or sustained release as described in activeconstituents in the preparation.Described medicine also can be used by captisol delivery technique, rectal suppository or parenteral.
Sheet can be chosen wantonly with one or more ancillary components and prepare by compacting or mold pressing.Compressed tablet (compressed tablet) can by compacting in suitable machine optional with the preparing of tackiness agent, lubricant, inert diluent, lubricant, tensio-active agent or dispersant with free-flowing form such as powder or particulate activeconstituents.Molded tablet (molded tablet) can prepare by the mixture of mold pressing in suitable machine with the moistening powder compound of inert liquid diluent.Sheet can choose wantonly by dressing or indentation and can be prepared so as to provide lasting, delay or this sheet of sustained release in activeconstituents.Pharmaceutical composition can comprise " pharmaceutically acceptable inert support ", and this statement is intended to comprise one or more inert excipients, and described inert excipient comprises starch, polyvalent alcohol, granulation agent, Microcrystalline Cellulose, thinner, lubricant, tackiness agent, disintegrating agent and analogue.If desired, the tablet amounts of disclosed composition can be come dressing by standard aqueous or non-aqueous technology, and " pharmaceutically acceptable carrier " also comprises the sustained release instrument.
Composition of the present invention also can be chosen wantonly and comprise other treatment composition, anti-caking agent, sanitas, sweeting agent, tinting material, seasonings, siccative, softening agent, dye well analogue.Any such optional ingredients must be compatible with described compound to guarantee stability of formulation.
Described composition can comprise other additives (as needs), and described additive comprises for example lactose, glucose, fructose, semi-lactosi, trehalose, sucrose, maltose, raffinose, maltose alcohol, melizitose, stachyose, Saccharum lactis, palatinite, starch, Xylitol, N.F,USP MANNITOL, inositol and analogue and hydrate and amino acid (as L-Ala, glycine and trimethyl-glycine) and peptide and protein such as white protein (albumen).
The example that is used as the vehicle of pharmaceutically acceptable carrier and pharmaceutically acceptable inert support and aforesaid supplementary component includes but not limited to tackiness agent, weighting agent, disintegrating agent, lubricant, biocide and Drug coating, as:
Tackiness agent: Lalgine, Mierocrystalline cellulose and derivative thereof (for example ethyl cellulose, cellulose acetate, carboxymethyl cellulose, calcium carboxymethylcellulose, Xylo-Mucine), Citric acid monohydrate Food grade, W-Gum, gelatin, guar gum, Walocel MT 20.000PV, hydroxypropylcellulose, Vltra tears, methylcellulose gum, Microcrystalline Cellulose (AVICEL for example
TM, as AVICEL-PH-101
TM, AVICEL-PH-103
TMAnd AVICEL-PH-105
TM(FMC Corporation, Marcus Hook, PA USA sells)), natural and synthetical glue such as gum arabic, other alginatess, other starch, polyoxyethylene, polyvinyl alcohol, Povidone, yam starch, powdery tragakanta, the pregelatinized Starch (STARCH that sells by Colorcon for example
With STARCH 1500
), sodium alginate or its mixture;
Weighting agent: aluminum magnesium hydroxide, aluminum oxide, lime carbonate (for example particle or powder), calcium hydroxide, calcium sulfate (for example particle or powder), dextrates, dextrose, secondary calcium phosphate, calcium phosphate dibasic anhydrous, fructose (particle or powder), honey, lactose hydrous, ferric oxide is (for example yellow, black, redness, for example ferric oxide), kaolin, lactose, lactose and aspartame, lactose and Mierocrystalline cellulose, lactose and Microcrystalline Cellulose, lactose hydrous (lactose anhydrate),Spherolac 100, magnesium aluminate, magnesiumcarbonate, magnesium hydroxide,Star Dri 5, maltose, seminose, Microcrystalline Cellulose, Microcrystalline Cellulose and guar gum, molasses, Solka-floc, pregelatinized Starch, silicic acid, silica anhydride (silicicanhydride), silicified microcrystalline cellulose, sodium-chlor, sorbyl alcohol, soybean lecithin, starch, sucrose, talcum, triactin, tricalcium phosphate, xanthan gum (xanthar gum) or its mixture;
Disintegrating agent: agar, Lalgine, lime carbonate, clay, croscarmellose sodium, Crospovidone, glue (as gelling gum),Spherolac 100, low-substituted hydroxypropyl cellulose, Microcrystalline Cellulose, other algins (algin), other Mierocrystalline celluloses, other starch, Polacrilin potassium, yam starch or tapioca (flour), polyvidone, pregelatinized Starch, Simethicone emulsion, Explotab or its mixture;
Tensio-active agent:tween 80 or polyoxyethylene-polyoxypropylene multipolymer, polyoxyethylene sorbitan or its mixture;
Lubricant: the coagulated aerosol of synthetic silica (Degussa Co.Plano TX USA), pyrolysis-type silicon-dioxide (CAB-O-SIL, Cabot Co., Boston, MA USA), agar, calcium stearate, Laurate ethyl, ethyl oleate, glycerine, hydrogenated vegetable oil (peanut oil for example, Oleum Gossypii semen, sunflower oil, sesame oil, sweet oil, Semen Maydis oil and soybean oil), liquid paraffin,light, Magnesium Stearate, N.F,USP MANNITOL, mineral oil, other glycol, palmitinic acid, polyoxyethylene glycol, Sodium Lauryl Sulphate BP/USP, sodium stearyl fumarate, sorbyl alcohol, stearic acid, (AEROSIL 200 for Syloid silica gel, W.R.Grace Co., Baltimore, MD USA), talcum, fatty acid lubricant based on plant, Zinic stearas, or its mixture;
Anti-caking agent: Calucium Silicate powder, Magnesium Silicate q-agent, silicon-dioxide, colloid silica, talcum or its mixture;
Biocide: benzalkonium chloride, benzethonium chloride, phenylformic acid, phenylcarbinol, Tegosept B, cetylpyridinium chloride, cresols, butylene-chlorohydrin, dehydro-acetic acid, ethyl p-hydroxybenzoate, Tegosept M, phenol, phenylethyl alcohol, Phenylmercuric Acetate, Phenylmercurinitrate, potassium sorbate, propylben, Sodium Benzoate, Sodium dehydroacetate, Sodium Propionate, polysorbate, Sorbic Acid, Thiomersalate (thimersol), thymol (thymo) or its mixture;
Drug coating: gama wax (candellilla wax), carnauba wax (carnuba wax), cellulose acetate-phthalate, ethyl cellulose, gelatin, gelling gum, hydroxypropylcellulose, Hydroxypropyl Methylcellulose Phathalate, Vltra tears (hypromellose),Star Dri 5, methacrylic ester, methylcellulose gum, Microcrystalline Cellulose and carrageenin, Microcrystalline Wax, pharmaceutical glaze, (for example polyoxyethylene glycol 8000 for polyoxyethylene glycol, Macrogol 3000), polyvinyl acetate phthalate, shellac, Xylo-Mucine, sucrose, titanium dioxide, or its mixture;
Tinting material: FD﹠amp; C blue No. 1, D﹠amp; Theyellow #10 aluminium of C color lake, FD﹠amp; Theyellow #6/ sunset yellow FCF of C aluminium color lake, FD﹠amp; C dark red aluminium color lake and FD﹠amp; Theblue #1 of C or its mixture; And
Antioxidant: butylated hydroxy anisole, sodium ascorbate, sodium metabisulfite (sodiummetabisulfate), oxysuccinic acid, citric acid, xitix, Butylated Hydroxytoluene, vitamins C, Tenox PG or its mixture.
Described preparation also can comprise other vehicle and kind thereof, they include but not limited to the L-Histidine,
Poloxamers (as

With Poloxamer 188), xitix, gsh, penetration enhancers (lipid for example, Sodium cholic acid, acylcarnitines, salicylate, mixed type bile sodium, the lipid acid micella, sequestrant, lipid acid, tensio-active agent, middle chain triglyceride), proteinase inhibitor (Trypsin inhibitor SBTI for example, organic acid), pH depressant and effective absorption enhancer (including but not limited to those absorption enhancers described in US6086918 and the US5912014) that promotes bioavailability, emulsifiable paste and lotion (as Star Dri 5 and carrageenin); The material (as dextrose, fructose, Spherolac 100, lactose and aspartame, lactose and Mierocrystalline cellulose, Star Dri 5, maltose, N.F,USP MANNITOL, Microcrystalline Cellulose and guar gum, crystalline sorbitol) that is used for chewable tablet; Parenteral injected material (as N.F,USP MANNITOL and polyvidone); Softening agent (as Uniflex DBS, the softening agent that is used for dressing, phthalic acid polyvinylacetate); Powder lubricant (as Glyceryl Behenate); Soft gelatin capsule (as the sorbyl alcohol particular solution); The ball (as sugared ball) that is used for dressing; Spheronizer material (as Glyceryl Behenate and Microcrystalline Cellulose); Suspension agent/jelling agent (as carrageenin, gelling gum, N.F,USP MANNITOL, Microcrystalline Cellulose, polyvidone, Explotab, xanthan gum); Sweetener (as aspartame, aspartame and lactose, dextrose, fructose, honey, Star Dri 5, maltose, N.F,USP MANNITOL, molasses, crystalline sorbitol, sorbyl alcohol particular solution, sucrose); Wet granulation agent (as lime carbonate, lactose hydrous, Spherolac 100, Star Dri 5, N.F,USP MANNITOL, Microcrystalline Cellulose, polyvidone, starch), caramel, Xylo-Mucine, cherry creamy taste (flavor) and cherry-flavored, Citric Acid, usp, Anhydrous Powder, citric acid, Icing Sugar (confectioner ' s sugar), D﹠amp; Red No. 33 of C, D﹠amp; The yellow #10 aluminium of C color lake, Zonon D, ethanol 15%, FD﹠amp; The yellow No. 6 aluminium color lake of C, FD﹠amp; The blue #1 aluminium of C color lake, FD﹠amp; C blue No. 1, FD﹠amp; The blue No. 2 aluminium color lake of C, FD﹠amp; Green No. 3 of C, FD﹠amp; Red No. 40 of C, FD﹠amp; The yellow No. 6 aluminium color lake of C, FD﹠amp; C yellow No. 6, FD﹠amp; Yellow No. 10 of C, glyceryl palmitostearate, glyceryl monostearate, indigo carmine, Yelkin TTS, N.F,USP MANNITOL, Tegosept M and propylben, monoammonium glycyrrhizinate, natural and artificial orange flavor, pharmaceutical glaze, poloxamer 188, poly-dextrose, polysorbate20, polysorbate80, polyvidone, pregelatinized corn starch, pregelatinized Starch, red iron oxide, soluble saccharin, carboxymethylether sodium, sodium-chlor, Trisodium Citrate, sodium phosphate, the strawberry flavor, synthetic Black Rouge, synthetic red iron oxide, titanium dioxide and Chinese wax.
Solid oral dosage form with the dressing system (for example can be chosen wantonly
Fx film dressing system, for example
Blue (OY-LS-20921),
In vain (YS-2-7063),
(YS-1-7040) and black ink (S-1-8106) handle in vain.
The oral dosage scope that is used to be grown up was generally from 0.005mg/ days to 10g/ days.Usually can comprise with this dosage or with the amount of the many times of effective compounds as herein described of this dosage with the sheet of discrete unit supply or other manifestation, for example contain the unit of 5mg to 500mg, usually about 10mg to 200mg.The accurate amount of the compound that the patient is used will be the responsibility of making an inspection tour the doctor.Yet used dosage will depend on multiple factor, and described factor comprises patient's age and sex, accurate illness and severity thereof to be treated.
Dose unit (for example oral dosage units) can comprise for example from 1 to 30 μ g, 1 to 40 μ g, 1 to 50 μ g, 1 to 100 μ g, 1 to 200 μ g, 1 to 300 μ g, 1 to 400 μ g, 1 to 500 μ g, 1 to 600 μ g, 1 to 700 μ g, 1 to 800 μ g, 1 to 900 μ g, 1 to 1000 μ g, 10 to 30 μ g, 10 to 40 μ g, 10 to 50 μ g, 10 to 100 μ g, 10 to 200 μ g, 10 to 300 μ g, 10 to 400 μ g, 10 to 500 μ g, 10 to 600 μ g, 10 to 700 μ g, 10 to 800 μ g, 10 to 900 μ g, 10 to 1000 μ g, 100 to 200 μ g, 100 to 300 μ g, 100 to 400 μ g, 100 to 500 μ g, 100 to 600 μ g, 100 to 700 μ g, 100 to 800 μ g, 100 to 900 μ g, 100 to 1000 μ g, 100 to 1250 μ g, 100 to 1500 μ g, 100 to 1750 μ g, 100 to 2000 μ g, 100 to 2250 μ g, 100 to 2500 μ g, 100 to 2750 μ g, 100 to 3000 μ g, 200 to 300 μ g, 200 to 400 μ g, 200 to 500 μ g, 200 to 600 μ g, 200 to 700 μ g, 200 to 800 μ g, 200 to 900 μ g, 200 to 1000 μ g, 200 to 1250 μ g, 200 to 1500 μ g, 200 to 1750 μ g, 200 to 2000 μ g, 200 to 2250 μ g, 200 to 2500 μ g, 200 to 2750 μ g, 200 to 3000 μ g, 300 to 400 μ g, 300 to 500 μ g, 300 to 600 μ g, 300 to 700 μ g, 300 to 800 μ g, 300 to 900 μ g, 300 to 1000 μ g, 300 to 1250 μ g, 300 to 1500 μ g, 300 to 1750 μ g, 300 to 2000 μ g, 300 to 2250 μ g, 300 to 2500 μ g, 300 to 2750 μ g, 300 to 3000 μ g, 400 to 500 μ g, 400 to 600 μ g, 400 to 700 μ g, 400 to 800 μ g, 400 to 900 μ g, 400 to 1000 μ g, 400 to 1250 μ g, 400 to 1500 μ g, 400 to 1750 μ g, 400 to 2000 μ g, 400 to 2250 μ g, 400 to 2500 μ g, 400 to 2750 μ g, 400 to 3000 μ g, 500 to 600 μ g, 500 to 700 μ g, 500 to 800 μ g, 500 to 900 μ g, 500 to 1000 μ g, 500 to 1250 μ g, 500 to 1500 μ g, 500 to 1750 μ g, 500 to 2000 μ g, 500 to 2250 μ g, 500 to 2500 μ g, 500 to 2750 μ g, 500 to 3000 μ g, 600 to 700 μ g, 600 to 800 μ g, 600 to 900 μ g, 600 to 1000 μ g, 600 to 1250 μ g, 600 to 1500 μ g, 600 to 1750 μ g, 600 to 2000 μ g, 600 to 2250 μ g, 600 to 2500 μ g, 600 to 2750 μ g, 600 to 3000 μ g, 700 to 800 μ g, 700 to 900 μ g, 700 to 1000 μ g, 700 to 1250 μ g, 700 to 1500 μ g, 700 to 1750 μ g, 700 to 2000 μ g, 700 to 2250 μ g, 700 to 2500 μ g, 700 to 2750 μ g, 700 to 3000 μ g, 800 to 900 μ g, 800 to 1000 μ g, 800 to 1250 μ g, 800 to 1500 μ g, 800 to 1750 μ g, 800 to 2000 μ g, 800 to 2250 μ g, 800 to 2500 μ g, 800 to 2750 μ g, 800 to 3000 μ g, 900 to 1000 μ g, 900 to 1250 μ g, 900 to 1500 μ g, 900 to 1750 μ g, 900 to 2000 μ g, 900 to 2250 μ g, 900 to 2500 μ g, 900 to 2750 μ g, 900 to 3000 μ g, 1000 to 1250 μ g, 1000 to 1500 μ g, 1000 to 1750 μ g, 1000 to 2000 μ g, 1000 to 2250 μ g, 1000 to 2500 μ g, 1000 to 2750 μ g, 1000 to 3000 μ g, 2 to 500 μ g, 50 to 500 μ g, 3 to 100 μ g, 5 to 20 μ g, 5 to 100 μ g, 50 μ g, 100 μ g, 150 μ g, 200 μ g, 250 μ g, 300 μ g, 350 μ g, 400 μ g, 450 μ g, 500 μ g, 550 μ g, 600 μ g, 650 μ g, 700 μ g, 750 μ g, 800 μ g, 850 μ g, 900 μ g, 950 μ g, 1000 μ g, 1050 μ g, 1100 μ g, 1150 μ g, 1200 μ g, 1250 μ g, 1300 μ g, 1350 μ g, 1400 μ g, 1450 μ g, 1500 μ g, 1550 μ g, 1600 μ g, 1650 μ g, 1700 μ g, 1750 μ g, 1800 μ g, 1850 μ g, 1900 μ g, 1950 μ g, 2000 μ g, 2050 μ g, 2100 μ g, 2150 μ g, 2200 μ g, 2250 μ g, 2300 μ g, 2350 μ g, 2400 μ g, 2450 μ g, 2500 μ g, 2550 μ g, 2600 μ g, 2650 μ g, 2700 μ g, 2750 μ g, 2800 μ g, 2850 μ g, 2900 μ g, 2950 μ g, 3000 μ g, 3250 μ g, 3500 μ g, 3750 μ g, 4000 μ g, 4250 μ g, 4500 μ g, 4750 μ g, 5000 μ g, 1 to 30mg, 1 to 40mg, 1 to 100mg, 1 to 300mg, 1 to 500mg, 2 to 500mg, 3 to 100mg, 5 to 20mg, 5 to 100mg (1mg for example, 2mg, 3mg, 4mg, 5mg, 6mg, 7mg, 8mg, 9mg, 10mg, 11mg, 12mg, 13mg, 14mg, 15mg, 16mg, 17mg, 18mg, 19mg, 20mg, 25mg, 30mg, 35mg, 40mg, 45mg, 50mg, 55mg, 60mg, 65mg, 70mg, 75mg, 80mg, 85mg, 90mg, 95mg, 100mg, 150mg, 200mg, 250mg, 300mg, 350mg, 400mg, 450mg, compound as herein described 500mg).In certain embodiments, described dose unit and per daily dose equate.In various embodiments, described dose unit whenever using by day, whenever not using by day, before using, after lower fat dessert, sleep with food (for example with breakfast) after the fasting in all night, use with food with food.In various embodiments, once a day, use described dose unit one day twice, one day three times, one day four times.
In single formulation, two or more activeconstituentss are mixed the chemical interaction that may cause between the various active medicines.For example, acidic active component and alkaline activeconstituents mutually reactive and acidic active component can promote the acid labile substances degraded.Therefore, in some formulation, acidic substance and alkaline matter can be in compressed tablets or physically be separated into two different or isolated layers in the label of compression coated tablets and shells.The medication compatible with alkaline matter with acidic substance has the flexibility ratio that is placed on arbitrary layer.In some multi-layer composition, at least a activeconstituents can be by enteric coating.In some embodiment therein, at least a activeconstituents can be provided with the sustained release form.In some embodiment of the combination of using three kinds or more kinds of active substances, these materials can be used as the physically separated fragment (segment) that can choose wantonly by film-coated compacting multilayer tablet and are provided.
Therapeutic combination as herein described can be mixed with sheet or the capsule that comprises a plurality of pearls, particle or ball.All activeconstituentss that comprise the VITAMIN combination are formulated into particle or pearl or ball, and their further protected clothing, casing or film-coat dressing are to avoid possible chemical interaction then.Use the well-known technology of those skilled in the art to finish granulation and the dressing of particle or pearl.At least a activeconstituents can exist with the sustained release form.Finally, these coated granules or integument are inserted hard gelatin capsule or are pressed in flakes.
Therapeutic combination as herein described can be mixed with the microplate (microtablet) that comprises all activeconstituentss or the capsule of small pieces (minitablet).The microplate of single medicine can use the pharmaceutical procedures of well-known preparation such as direct compacting, dry granulation or wet granulation to prepare.Single microplate can be received in hard gelatin capsule.Final formulation can comprise one or more microplates of every kind of one-component.Described microplate can be by film coating or enteric coating.
Therapeutic combination as herein described can be mixed with the capsule that comprises one or more microplates and powder or one or more microplates and particle or pearl.For fear of the interaction between the medicine, some activeconstituentss of described combination can be mixed with microplate, and other activeconstituents is inserted capsule as powder, particle or integument.Microplate can be by film coating or enteric coating.At least a activeconstituents can be provided with the sustained release form.
Therapeutic combination as herein described can be mixed with: wherein activeconstituents is scattered in the interior phase and foreign minister of sheet.For the chemically incompatible component of proposed combination is separated, use pharmaceutical procedures well-known in the art that seldom interactional component is changed into particle or pearl.Then prepared particle or pearl (interior phase) are mixed with the foreign minister who comprises remaining activeconstituents and at least a pharmaceutically acceptable vehicle.In comprising thus mutually and foreign minister's mixture be pressed in flakes or be molded in blocks.Described particle or pearl can be the pearl or the particle of sustained release or release immediately, and can use the enteric polymer in methods known in the art and material, use aqueous systems or the non-aqueous system to come further dressing.
Therapeutic combination as herein described can be mixed with the single dose unit that comprises suitable buffer reagent.All powdery compositions of described combination are mixed and one or more buffer reagents of suitable amount are added to mixture so that minimum is reduced in possible interaction.
Medicine as herein described alone or in combination can mix with any pharmaceutically acceptable carrier or medium.Therefore, they can with when use the material mixing that Shi Buhui produces disadvantageous, hypersensitive or other unwanted reactions in aspect to the patient.Employed carrier or medium can comprise solvent, dispersion agent, dressing, absorption enhancer, sustained release agent and one or more inert excipients (comprising starch, polyvalent alcohol, granulation agent, Microcrystalline Cellulose, thinner, lubricant, tackiness agent, disintegrating agent and analogue) etc.If desired, the tablet amounts of disclosed composition can be come dressing by standard aqueous or non-aqueous technology.
Described promoting agent can be free acid or free alkali or its pharmacy acceptable salt.Can use preceding or more early the time with directly dissolving or disperse of solid.In some cases, described preparation comprises the sanitas of prophylaxis of microbial growth.The medicament forms that is suitable for injecting can comprise sterile aqueous or organic solution or dispersion, and described solution or dispersion comprise for example water, alcohol, organic solvent, oil or other solvents or dispersion agent (for example glycerine, propylene glycol, polyoxyethylene glycol and vegetables oil).Described preparation can comprise antioxidant, buffer reagent, fungistat and make described preparation and expection receptor's the isoosmotic solute of blood and water-based and non-aqueous sterile suspensions that described water-based and non-aqueous sterile suspensions can comprise suspension agent, solubilizing agent, thickening material, stablizer and sanitas.Pharmaceutically active agents can be sterilized by filtration sterilization or by other suitable methods.
Suitable pharmaceutical composition according to the present invention generally includes a certain amount of active compound and acceptable pharmacy thinner or vehicle such as sterile aqueous solution, to provide a series of final concentrations according to desired use.Technology of preparing is well-known usually in the art, as Remington ' sPharmaceutical Sciences (pharmaceutical science of Lei Mingdun), and the 18th edition, Mack PublishingCompany, 1995 are illustrational.
Preparation
With its free form or with the promoting agent of salt form can with such as polylactic acid-glycollic acid (polylactic-glycoloic acid) (PLGA), poly--(I)-lactic acid-ethanol-tartrate (P (I) LGT) (WO01/12233), polyglycolic acid (U.S.3,773,919), poly(lactic acid) (U.S.4,767,628), poly-(M-caprolactone) and poly-(alkylene oxide) mixed with polymers (U.S.20030068384) are to produce extended release preparation.This preparation can be used for implant, and described implant discharges compound or another kind of promoting agent (referring to for example U.S.6,620,422) according to the particle diameter of polymkeric substance, polymkeric substance and the size of described implant in the time of a few days, a few weeks or months.Other extended release preparations are at EP 0467389A2, WO93/241150, U.S.5,612,052, WO97/40085, WO03/075887, WO01/01964A2, U.S.5,922,356, WO94/155587, WO02/074247A2, WO98/25642, U.S.5,968,895, U.S.6,180,608, U.S.20030171296, U.S.20020176841, U.S.5,672,659, U.S.5,893,985, U.S.5,134,122, U.S.5,192,741, U.S.5,192,741, U.S.4,668,506, U.S.4,713,244, U.S.5,445,832, U.S.4,931,279, U.S.5,980,945, WO02/058672, WO9726015, describe among WO97/04744 and the US20020019446.In these extended release preparations, the compound particulate mixes with polymer particles.U.S.6,011,011 and WO94/06452 the extended release preparation that polyoxyethylene glycol (wherein most preferably PEG 300 and PEG 400) or triactin are provided has been described.WO03/053401 has described the preparation that can increase bioavailability simultaneously and the sustained release of medicine in gi tract is provided.Other sustained release preparation is at WO02/38129, EP 326151, U.S.5, and 236,704, WO02/30398, WO98/13029; U.S.20030064105, U.S.20030138488A1, U.S.20030216307A1, U.S.6 describe in 667,060, WO01/49249, WO01/49311, WO01/49249, WO01/49311 and U.S.5,877,224.
The sustained release preparation
Generally speaking, people can provide the sustained release of promoting agent as herein described by using multiple polymers carrier and the Controlled Release System that comprises erodible and non-erodible matrix, perviousness control device, various reservoir devices device, enteric coating and multiparticulates control device.
Matrix device is used to control the usual means that various promoting agents discharge.In this device, promoting agent as herein described exists with the dispersion in the polymeric matrix usually, and forms by compacting polymer mixture or by dissolving or fusing usually.The dosage releasing properties of these devices can be dependent on solubleness or the solubleness of the absorbent solution in the pore network under the situation of porous matrix (sink solution) and the tortuosity of described network of the promoting agent in the polymeric matrix.In an example, when using erodible polymeric matrix, matrix absorption water and form are caught the water-swellable gel of (entrap) promoting agent.Matrix corrosion gradually, swelling, disintegration or dissolving in gi tract then, thereby sustained release one or more promoting agents as herein described.In non-erodible device, described promoting agent discharges by diffusing through inert base.
Promoting agent as herein described can be in conjunction with entering erodible or non-erodible polymeric matrix sustained release device.In erodable or swelling or be dissolved in the pure water or need exist acid or alkali to make described polymeric matrix ionization say that to being enough to cause on corrosion or the dissolved meaning so-called erodible matrix is meant the erodible or water-swellable or water miscible of water.When contacting with the aqueous environments that uses, erodible polymeric matrix absorbs water and forms the water-swellable gel or the matrix of catching promoting agent as herein described.The corrosion gradually in the environment that uses of water-swellable matrix, swelling, disintegration or dissolving, thus with compound sustained release as herein described in the environment that uses.
Promoting agent as herein described can in conjunction with the erodible polymeric matrix that enters can be described as be at usually its form after with one group of vehicle of described promoting agent blended, they absorb water and form the water-swellable gel or the matrix of catching medicament forms when contacting with the aqueous environments that uses.Drug release can take place by multiple mechanism, and for example this matrix can be from disintegration or dissolving around the particulate of promoting agent or the particulate, and perhaps promoting agent is dissolvable in water in the aqueous solution of imbibition and spreads from sheet, pearl or the particle of described device.A kind of composition of this water-swellable matrix is water-swellable, erodible or soluble polymer, and this polymkeric substance can be described as osmotic polymer (osmopolymer), hydrogel or water-swellable polymer usually.This polymkeric substance can be straight chain, side chain or crosslinked.Described polymkeric substance can be homopolymer or multipolymer.In certain embodiments, they can be the synthetic polymers that is derived from vinyl, acrylate, methacrylic ester, urethane, ester and oxide monomer.In other embodiment, they can be that the derivative of polymkeric substance of natural generation is as poly-polysaccharide (for example chitin, chitosan, dextran and pullulan (pullulan); Agaropectin, gum arabic, POLY-karaya, Viscogum BE, tragakanta, carrageenin, gum ghatti, guar gum, xanthan gum and Sclerotium gum), starch (for example dextrin and Star Dri 5), hydrophilic colloid (for example pectin), phosphatide (for example Yelkin TTS), alginates (for example ammonium alginate, sodium alginate, potassium alginate or alginate calcium, propylene glycol alginate), gelatin, collagen and cellulosics (cellulosics).Cellulosics is to react the cellulose polymer compound of modification with the substituting group that forms that ester is connected or ether connection by at least a portion of the hydroxyl on the carbohydrate repeating unit with compound.For example, the cellulosics ethyl cellulose has the ethyl substituting group of the ether connection that is connected with the carbohydrate repeating unit, and the cellulosics cellulose acetate has the acetic acid substituting group that ester connects.In certain embodiments, the cellulosics that is used for erodible matrix comprises water-soluble and the erodible cellulosics of water, for example they comprise ethyl cellulose (EC), the first and second basic Mierocrystalline celluloses (MEC), carboxymethyl cellulose (CMC), CMEC, Natvosol (HEC), hydroxypropylcellulose (HPC), cellulose acetate (CA), cellulose propionate (CP), cellulose butyrate (CB), cellulose acetate butyrate (CAB), CAP, CAT, Vltra tears (HPMC), HPMCP, HPMCAS, acetic acid-1,2,4-benzenetricarboxylic acid Vltra tears (HPMCAT) and ethyl hydroxy ethyl cellulose (EHEC).In certain embodiments, cellulosics comprise other low viscosity of various level (MW is less than or equals 50,000 dalton, for example, Dow MethocelTMSeries E5, E15LV, E50LV and K100LY) and high viscosity (MW is greater than 50,000 dalton, for example E4MCR, E10MCR, K4M, K15M and K100M and MethocelTMK series) HPMC.The commercially available type that gets of other of HPMC comprises Shin Etsu Metolose 90SH series.
The selection of substrate material can and be kept high drug level to the maximum drug level that obtains by described device and have big influence.Described substrate material can be the polymkeric substance of the increase concentration described in the WO05/011634 for example.
Other materials as erodible substrate material includes but not limited to pullulan, polyvinylpyrrolidone, polyvinyl alcohol, polyvinyl acetate (PVA), glycerol fatty acid ester, polyacrylamide, polyacrylic acid, multipolymer (the EUDRAGITO of ethylacrylic acid or methacrylic acid, Rohm America, Inc., Piscataway, New Jersey) and other acrylic acid derivatives such as butyl methacrylate, methyl methacrylate, Jia Jibingxisuanyizhi, ethyl propenoate, methacrylic acid 2-dimethylaminoethyl and muriatic homopolymer of methacrylic acid front three amino ethyl ester and multipolymer.
Erodible matrix polymer can comprise the additive and the vehicle of the known multiple same type of pharmaceutical field, and described additive and vehicle can comprise osmotic polymer, proenzyme (osmagen), strengthen dissolving or delay dissolved reagent and promote the vehicle of the stable or processing of described device.
Optionally, non-erodible matrix device be used or be incorporated into to promoting agent of the present invention can by non-erodible matrix device.In this device, promoting agent as herein described is distributed in the inert base.Described promoting agent discharges by diffusing through inert base.The example that is applicable to the material of inert base comprises insoluble plastics (for example methyl acrylate-methylmethacrylate copolymer, polyvinyl chloride, polyethylene), hydrophilic polymer (for example ethyl cellulose, cellulose acetate, cross-linked polyvinylpyrrolidone (also being called polyvinylpolypyrrolidone)) and fatty compounds (for example carnauba wax, Microcrystalline Wax and triglyceride level).This device further describes in the 20th edition (2000) at Remington:The Science and Practice of Pharmacy (Lei Mingdun: the science of pharmacy and put into practice).
Matrix sustained release device can prepare by other devices of promoting agent as herein described and other mixed with excipients being made mixture sheet, capsule sheet, ball together, then or form by force of compression.This compression set can use the multiple tabletting machine that is used for making pharmaceutical devices any and form.Example comprises Singlepunchtabletpress, Rotarytabletpress and multi-layer rotary tabletting machine, and all are well known in the art.For example, referring to Remington:The Science and Practice ofPharmacy (Lei Mingdun: the science of pharmacy and put into practice), the 20th edition, 2000.Compression set can have Any shape, and this comprises circle, ellipse, oblong, cylindrical or trilateral.The upper surface of compression set and lower surface can be flat, circle, recessed or protruding.
In certain embodiments, when device formed by compression, described device had at least 5 kilogram forces (Kp)/cm2(7Kp/cm at least for example2) intensity (strength).Intensity is divided by the disruptive force that makes the needed hardness of sheet fracture that is formed by material that is also referred to as perpendicular to the maximum cross-section area of the sheet of disruptive force.Disruptive force can use the Schleuniger table hardness tester, and Model 6D measures.The force of compression that need reach this intensity will depend on the size of sheet, but usually will be greater than about 5kP/cm2Friability (Friability) is the tolerance of well-known device to the resistance of surface abrasion, and it measures the per-cent of weight loss after making device stand the standard vibration process.0.8% to 1.0% friability value is considered to constitute the acceptable upper limit.Have greater than 5kP/cm2The device of intensity normally very blocky, the friability that has is less than 0.5%.The additive method that is used to form matrix sustained release device is well-known in pharmaceutical field.For example, referring to Remington:The Science andPractice of Pharmacy (Lei Mingdun: the science of pharmacy and put into practice), the 20th edition, 2000.
As mentioned above, promoting agent as herein described also can be incorporated into the perviousness control device.This device generally includes core that contains one or more promoting agents as herein described and water permeate, non-solubility and the non-erodible dressing that centers on described core, and described dressing control water flows into the core so that make drug release to the environment that uses by crimping section or whole core from the aqueous environments that uses.In certain embodiments, described dressing is that polymkeric substance, water are permeable, and has at least one delivery port.The core of described permeator is optional to comprise that permeate agent, described permeate agent play the effect that absorbs water via this semipermeable partition from surrounding environment.The permeate agent that is comprised in the core of this device can be the water-swellable hydrophilic polymer, and perhaps it can be a proenzyme, is also referred to as osmotically active agent (osmagent).Pressure produces in device, and it forces described promoting agent to discharge described device via hole (hole dimension be designed so that solute spreads reduce to the minimum accumulation that prevents hydrostatic head simultaneously).The limiting examples of perviousness control device is open in U.S. PatentApplication Serial Number 09/495,061.
Permeate agent produces the motivating force that is used for from the environment that uses water being conveyed into the core of device.Permeate agent includes but not limited to water-swellable hydrophilic polymer and proenzyme (or osmagen).Therefore, described core can comprise water-swellable hydrophilic polymer (ionic and non-ionic type), and it typically refers to osmotic polymer and hydrogel.The scope that is present in the amount of the water-swellable hydrophilic polymer in the core can be for about 5 to about 80wt% (for example comprising 10 to 50wt%).The limiting examples of core material comprises hydrophilic ethylene base and acrylate copolymer, polysaccharide such as alginate calcium, polyoxyethylene (PEO), polyoxyethylene glycol (PEG), polypropylene glycol (PPG), poly-(methacrylic acid 2-hydroxyl ethyl ester), poly-(vinylformic acid), poly-(methacrylic acid), polyvinylpyrrolidone (PVP) and cross-linked pvp, polyvinyl alcohol (PVA), PVA/PVP multipolymer and have hydrophobic monomer such as a methyl methacrylate, the PVA/PVP multipolymer of vinyl acetate and analogue, the hydrophilic polyurethane that contains big PEO block, croscarmellose sodium, carrageenin, Natvosol (HEC), hydroxypropylcellulose (HPC), Vltra tears (HPMC), carboxymethyl cellulose (CMC) and carboxyethyl cellulose (CEC), sodium alginate, Polycarbophil, gelatin, xanthan gum and Explotab.Other materials comprises the hydrogel of the polymer network that contains interpenetration, and described hydrogel can or pass through condensation polymerization by addition and form, and its component can comprise wetting ability and hydrophobic monomer those monomers as just having mentioned.The water-swellable hydrophilic polymer includes but not limited to PEO, PEG, PVP, croscarmellose sodium, HPMC, Explotab, polyacrylic acid and its cross-linked form or mixture.
Described core also can comprise proenzyme (or osmagent).The scope that is present in the amount of the proenzyme in the core can be about 2 to about 70% (for example, comprising 10 to 50%).The suitable proenzyme of type species is water miscible organic acid, salt and sugar, and the osmotic pressure gradient of the barrier of dressing is on every side passed in realization thereby they can absorb water.Typical useful proenzyme includes but not limited to sal epsom, magnesium chloride, calcium chloride, sodium-chlor, lithium chloride, vitriolate of tartar, yellow soda ash, S-WAT, Lithium Sulphate, Repone K, sodium sulfate, N.F,USP MANNITOL, Xylitol, urea, sorbyl alcohol, inositol, raffinose, sucrose, glucose, fructose, lactose, citric acid, succsinic acid, tartrate and composition thereof.In certain embodiments, proenzyme is glucose, lactose, sucrose, N.F,USP MANNITOL, Xylitol, sodium-chlor, comprises their combination.
Described core can comprise multiple additives and vehicle, and they strengthen the performance of formulation or promote stability, compressibility or help handles.These additives and vehicle comprise pressing aid agent (tabletingaid), tensio-active agent, water-soluble polymers, PH conditioning agent, weighting agent, tackiness agent, pigment, disintegrating agent, antioxidant, lubricant and seasonings.The limiting examples of additive and vehicle includes but not limited to described those additives of this paper elsewhere and vehicle, and Microcrystalline Cellulose, the metal-salt of acid (aluminum stearate for example, calcium stearate, Magnesium Stearate, sodium stearate, Zinic stearas), pH value control agent (buffer reagent for example, organic acid, organic acid salt, organic bases and mineral alkali), lipid acid, hydrocarbon polymer and Fatty Alcohol(C12-C14 and C12-C18) (stearic acid for example, palmitinic acid, whiteruss, stearyl alcohol and palmityl alcohol (palmitol)), fatty acid ester (for example (single-or two-) stearin, triglyceride level, palm stearin acid (palmiticstearic) glyceryl ester, sorbitan ester (sorbitan monostearate for example, sucrose monostearate, sucrose palmitic acid ester, sodium stearyl fumarate), the polyoxyethylene sorbitan ester), tensio-active agent (alkyl-sulphate (Sodium Lauryl Sulphate BP/USP for example for example, lauryl magnesium sulfate), polymkeric substance (polyoxyethylene glycol for example, the polyoxygenated ethylidene glycol, polyoxyethylene, polyethenoxy ether comprises its multipolymer), tetrafluoroethylene), and inorganic materials (talcum for example, calcium phosphate), cyclodextrin, sucrose (lactose for example, Xylitol), Explotab).The limiting examples of disintegrating agent is Explotab (Explotab for exampleTMCLV, (Microcrystalline Cellulose (Avicel for exampleTM), microcrystal silicon Mierocrystalline cellulose (ProSolv for exampleTM), croscarmellose sodium (Ac-Di-Sol for exampleTM).When promoting agent as herein described is the solid amorphous dispersion that forms by solvent method, this additive directly is added to spray-dired solution in the time of can working as the polymeric dispersions that forms promoting agent as herein described/increase concentration, so that described additive dissolves with slurry or is suspended in the solution; Optionally, this additive can add behind spray-drying process to help to form final sustained release device.
The unrestricted example of permeator is made up of one or more medicine layers that contain promoting agent as herein described such as solid amorphous drug/polymer dispersion and the swell layer (sweller layer) that comprises water-swellable polymer, and has around the dressing of medicine layer and swell layer.Every layer can comprise other vehicle, as pressing aid sheet, osmagent, tensio-active agent, water-soluble polymers and water-swellable polymer.
This osmotic delivery device can be manufactured into various geometrical shapies, and described shape comprises bilayer (its SMIS comprises medicine layer adjacent one another are and swell layer), three layers (its SMIS comprise be clipped in two swell layer between the medicine layer) and concentricity (its SMIS comprises the center swelling agent that is surrounded by medicine layer).This dressing comprises to the water infiltration but to being included in medicine and the impervious basically film of vehicle wherein.Described dressing comprises and is used for one or more exit passageways or the hole that delivery of pharmaceutically active agents communicates with medicated layer.The medicated layer of described core comprises pharmaceutically active agents (comprising optional osmagent and hydrophilic water soluble polymer), and swell layer is formed (being with or without other permeate agent) by expandable hydrogel.
In the time of in being positioned over water medium, sheet absorbs water by film, thereby makes promoting agent form assignable water-based promoting agent, and makes hydrogel layer expand and pushing pastille promoting agent, forces promoting agent to discharge exit passageway.This promoting agent is inflatable, helps to force the medicine exhaust channel.Medicine can be sent from be dissolved or dispersed in the such delivery system from the described promoting agent that exit passageway is discharged.
The speed that medicine is sent is controlled by the factor such as the surface-area of the hydrophilicity of the osmotic pressure of the perviousness of dressing and thickness, medicated layer, hydrogel layer and device.It will be understood by those skilled in the art that the thickness that increases dressing will reduce rate of release, and following any will increase rate of release: the perviousness of increase dressing; Increase the wetting ability of hydrogel layer; Increase the osmotic pressure of medicated layer; Or the surface-area of increase device.
Except that promoting agent as herein described itself, the other materials that is used to form the pastille promoting agent comprises the pharmaceutically acceptable carrier of HPMC, PEO and PVP and other.In addition, can add osmagent such as sugar or salt, described sugar or salt include but not limited to sucrose, lactose, Xylitol, N.F,USP MANNITOL or sodium-chlor.The material that is used to form hydrogel layer comprises that (for example having molecular-weight average is about 5 for CMC sodium, PEO, 000,000 to about 7,500,000 daltonian polymkeric substance), poly-(vinylformic acid), (polyacrylic ester) sodium, croscarmellose sodium, Explotab, PVP, cross-linked pvp and other high molecular hydrophilic materials.
In the example of double-deck geometrical shape, delivery port or exit passageway can be positioned at a side of the sheet that comprises pharmaceutically active agents or can be positioned at described both sides or even be positioned at described edge so that medicine layer is connected with the outside of device with swell layer.Can produce exit passageway by mechanical means or by laser drill or by during the sheet compacting, on described, forming the zone that is difficult to dressing or pass through other means by means of speciality tool.
Described in US3845770, the also available homogeneous core that is surrounded by the semi-permeable film dressing of permeator makes.Label can combinedly be incorporated into by promoting agent as herein described and the semi-permeable film dressing can be used via conventional coating tablets technology such as pan coating machine (pan coater).Medicine is sent passage and can be formed in this dressing by boring in dressing or by using laser or mechanical means then.Optionally, as mentioned above, this passage can break or forms by form the zone be difficult to dressing on described by a part that makes dressing.In one embodiment, permeator comprises: (a) individual layer compressed core, it comprises: (i) promoting agent as herein described, (ii) Natvosol and (iii) osmagent wherein are present in Natvosol in the core and are about 2.0% osmagent to about 35% weight and existence and be about 15% to about 70% weight; (b) around the water permeate layer of core; (c) at least one passage, it is used for medicine is delivered to fluid environment around described in water permeate layer (b).In certain embodiments, described device can be shaped to and make surface-area and volumetric ratio (water-swellable sheet) greater than 0.6mm-1(for example, comprise greater than 1.0mm-1).The passage of connection-core and fluid environment can be provided with along the sheet region.In certain embodiments, described shape is rectangular, and wherein said processing axle promptly defines the ratio of the main shaft of shape of sheet and secondary axes for (for example, to comprise 1.5 and 2.5) between 1.3 to 3.In one embodiment, the combination of promoting agent as herein described and osmagent has average ductility from about 100 to about 200Mpa, the average tensile strength from about 0.8 to about 2.0Mpa and less than about 0.2 average brittle rupture index (brittle fracture index).The individual layer core can be chosen additive and/or pharmaceutically acceptable vehicle, carrier or the thinner that comprises disintegrating agent, improves bioavailability wantonly.
In certain embodiments, wish operating period of this permeator with the particle entrainment of promoting agent as herein described in extruding property fluid.For abundant entrained particles, described promoting agent medicament forms just was scattered in the fluid before particle has an opportunity to move into label.A kind of method that realizes this purpose is to be used for making compressed core to be broken into the disintegrating agent of its particulate constituent by adding.The limiting examples of standard disintegrating agent comprises such as Explotab (Explotab for exampleTMCLV), Microcrystalline Cellulose (Avicel for exampleTM), microcrystal silicon Mierocrystalline cellulose (ProSoIv for exampleTM) and Xylo-Mucine (Ac-Di-Sol for exampleTM) material and other disintegrating agents well known by persons skilled in the art.According to microparticle formulation, some disintegrating agent effects are better than other disintegrating agents.When some disintegrating agent and water-soluble when bloated, they are tending towards forming gel, thereby hinder medicine and send from device.When water enters core, the quicker dispersion of drug particles that non-gelling, non-swelling property disintegrating agent are provided at in-core.In certain embodiments, non-gelling, non-swelling property disintegrating agent are resins, for example ion exchange resin.In one embodiment, described resin is AmberliteTMIRP 88 (derive from Rohm and Haas, Philadelphia, PA).When using, described disintegrating agent is that the amount of about 1-25% of core promoting agent exists with the scope.
Add water-soluble polymers, pass can be sent that passage (for example mouthful) is preceding to make their keep being suspended in the device at the particle of promoting agent.High-viscosity polymer is used for pre-anti-settling.Yet, be extruded under relative low pressure with the polymkeric substance of described promoting agent combination and pass passage.Under given extrusion pressure, rate of extrusion increases with viscosity usually and descends.Form high viscosity solution with some polymkeric substance of the particle of promoting agent as herein described combination with water, but the low relatively power of usefulness can be extruded from sheet still.By contrast, because particles settling, the polymkeric substance with lower molecular wt (<about 300,000) can not form at the sheet in-core and allow the enough heavy-gravity solution sent fully.When this device of preparation and when not adding polymkeric substance, the particulate sedimentation is a problem, unless that it causes medicine to be sent is less-constantly shake sheet so that particle avoids being deposited in in-core.Big and/or have high-density so that subsidence rate when increasing when particle, sedimentation also is a problem.
In certain embodiments, the water-soluble polymers that is used for this permeator not can with drug interaction.In certain embodiments, water-soluble polymers is a non-ionic polyalcohol.Formation have high viscosity but under low pressure still the limiting examples of the non-ionic polyalcohol of extrudable solution be NatrosolTM(the high molecular weight hydroxyethyl Mierocrystalline cellulose derives from Hercules Incorporated to 250H, Aqualon Division, Wilmington, DE; MW equals about 1 megadalton and the polymerization degree and equals about 3,700).When making up with osmagent, Natrosol 250HTMConcentration with about 3% weight of being low to moderate core provides effective medicine to send.Natrosol 250HTMNF is the high viscosity grade nonionic cellulose ether, and it dissolves in hot water or the cold water.Under 25 ℃, the viscosity of using 1% solution of Brookfield LVT (30rpm) Natrosol 250H is about 1,500 to about 2, between the 500cps.
In certain embodiments, the weight-average molecular weight that is used for the HEC polymer of these mono-layer osmotic sheets is about 300,000 to about 1.5 hundred ten thousand.HEC polymer is present in the core with about 2.0% amount to about 35% weight usually.
The another kind of example of permeator is the infiltration capsule.The part of capsule shell or capsule shell can be semipermeable.Capsule can be filled by powder or liquid, described powder or liquid by promoting agent as herein described, absorb water and form with the vehicle that osmotic potential is provided and/or the vehicle of water-swellable polymer or optional solubilising.The capsule core also can be prepared into so that it has bilayer or the multilayer promoting agent that is similar to above-mentioned bilayer, three layers or concentricity geometric shape.
Be used for the swelling property sheet that another kind of permeator of the present invention comprises dressing, for example, described in EP378404.The swelling property sheet of dressing comprises and contains promoting agent as herein described and swelling property material (being preferably hydrophilic polymer) and with the label of film dressing, described film comprises hole or hole, in the water-based environment for use, promoting agent can be extruded and transport to hydrophilic polymer by described hole or hole.Optionally, described film can comprise water-soluble pore former polymkeric substance or low-molecular-weight (porosigen).Pore former is dissolved in the water-based environment for use, provides hydrophilic polymer and the promoting agent can be by its hole of extruding.The example of pore former is water-soluble polymers such as HPMC, PEG and low-molecular weight compound such as glycerine, sucrose, glucose and sodium-chlor.In addition, can hole in dressing and form in this dressing in the hole by using laser or other mechanical means.In this class permeator, mould material can comprise any film-forming polymer (polymkeric substance that comprises water permeate or watertightness), and condition is that to place film on the label be porousness or comprises water-soluble pore former or have the macroscopic water that is used for and enter hole with drug release.The embodiment that this class continues releasing device can also be a multiwalled, for example, and described in EP378404.
When promoting agent as herein described is that liquid or oil are during as Lipid carriers preparation (described in WO05/011634), infiltration sustained release device can comprise soft gel or the gelatine capsule that is formed by composite and comprise liquid preparation, and wherein said wall is included in the barrier layer that forms on the described capsular outside surface, at expandable layer that forms on the described barrier layer and the semipermeability layer that forms on described expandable layer.Delivery port connects liquid preparation and water-based environment for use.This device is for example described in US6419952, US6342249, US5324280, US4672850, US4627850, US4203440 and the US3995631.
Infiltration sustained release device of the present invention also can comprise dressing.In certain embodiments, infiltration sustained release device dressing shows one or more of following feature: be water permeate, have at least one hole of being used for delivering drugs and be non-solubility and non-erodible at the deenergized period of pharmaceutical preparation, so that medicine sends basically fully by delivery port or hole, this is with mainly to pass sending of coating material itself via infiltration opposite.Delivery port comprises any passage, opening or hole, no matter they are with mechanical means, by laser drill, by when the dressing process or original position hole in use forms or make by breaking in use.In certain embodiments, described dressing is that amount with respect to about 5 to 30wt% (for example, comprising 10 to 20wt%) of core weight exists with scope.
A kind of form of dressing is to have before use or the semipermeability polymeric film in the hole that forms therein when using.The thickness of this polymeric film can (for example, comprise between about 100 to 500 μ m) variation between about 20 to 800 μ m.The range size of the diameter of described delivery port can be 0.1 to 3000 μ m or bigger (for example, comprising that diameter is about 50 to 3000 μ m) usually.This mouthful can form behind dressing maybe and can original position form by breaking of dressing by machine drilling or laser drill; This breaking can be controlled by entering described dressing in conjunction with relatively little thin part consciously.Delivery port also can be by water-soluble material plug corrosion or by thin the breaking of part of the dressing on the impression in the core original position forms.In addition, in the situation as the asymmetric membrane dressing of disclosed type in US5612059 and US5698220, delivery port can form when dressing.For example when use can have a collection of pearl of substantially the same or variable promoting agent, delivery port can original position form by breaking of dressing.Medicine mainly discharges from this pearl after dressing breaks and after breaking, this release can be cumulative or unexpected relatively.When this batch pearl has variable promoting agent, described promoting agent can be selected so that described pearl break in different time using the back, thereby make whole releases of medicine continue the time of expectation.
Dressing can be fine and close, micro porous or asymmetrical, has the compact area that is supported by thick porousness zone, as disclosed those dressings among US5612059 and the US5698220.When dressing was densification, described dressing can mainly be made up of the water permeate material.When dressing when being porous, it can mainly be made up of water permeate or impervious material.When dressing mainly was made up of porousness water semipermeable materials, water passed the hole of described dressing with liquid or vapor permeates.Utilize the limiting examples of the permeator of fine and close dressing to comprise US3995631 and US3845770.This fine and close dressing is permeable to external fluid such as water, and can mainly be made up of any material of mentioning in these patents and other water permeate polymkeric substance known in the art.
Film can also be porous (a for example disclosed film in US5654005 and US5458887) or even by the water resisting property polymer formation.But US5120548 has described the another kind of appropriate methodology that is used for forming from the mixture of the water-soluble additive of insoluble polymer and elimination dressing.Porous membrane also can form as disclosed pore-forming material (pore-former) among the US4612008 by adding.In addition, vapour permeability dressing even can form by extremely hydrophobic material such as polyethylene or poly(vinylidene fluoride), condition is that this dressing is porous, when described material when being fine and close, it is that water is impermeable basically.The material that is used to form dressing include but not limited to various other vinylformic acid of level, vinyl, ether, polymeric amide, polyester and under pH relevant on the physiology be water permeate and water-insoluble or by chemical transformation as becoming water-insoluble derivatived cellulose easily by crosslinked.The limiting examples that is used to form the suitable polymers (or cross-linked form) of described dressing comprises plastifying, unplasticizied and enhanced cellulose acetate (CA), two cellulose acetates, cellulosetri-acetate, propionic acid CA, nitrocellulose, cellulose acetate butyrate (CAB), ethyl carbamic acid CA, CAP, methyl carbamic acid CA, succsinic acid CA, acetic acid-1,2,4-benzenetricarboxylic acid Mierocrystalline cellulose (CAT), dimethylamino acetate CA, ethyl carbonate CA, Mono Chloro Acetic Acid CA, ethyl oxalic acid CA, methylsulphonic acid CA, butyl sulfonic acid CA, tosic acid CA, acetate agar, the amylose starch triethyl, the beta glucan acetic ester, the beta glucan triacetate, acetaldehyde dimethyl acetic acid ester, the Viscogum BE triacetate, hydroxylation ethylene-vinyl yl acetate (hydroxiated ethylene-vinylacetate), EC, PEG, PPG, the PEG/PPG multipolymer, PVP, HEC, HPC, CMC, CMEC, HPMC, HPMCP, HPMCAS, HPMCAT, poly-(vinylformic acid) and ester and poly-(methacrylic acid) and ester and its multipolymer, starch, dextran, dextrin, chitosan, collagen, gelatin, polyolefine, polyethers, polysulfones, polyethersulfone, polystyrene, polyvinyl halides, polyvinyl ester and ether, natural wax and synthetic wax.In various embodiments, Drug coating comprises cellulose polymer compound, particularly ether of cellulose, cellulose ester and cellulose ester ether, the derivatived cellulose that promptly has ester and the substituent mixture of ether, coating material is made or is obtained by poly-(vinylformic acid) and ester, poly-(methacrylic acid) and ester and its multipolymer, Drug coating comprises cellulose acetate, and dressing comprises cellulose polymer compound and PEG, and dressing comprises cellulose acetate and PEG.
Dressing with the mode of routine, usually by with coating material dissolving or be suspended in the solvent and then by dipping, spray (spray coating) or undertaken by pan coating.In certain embodiments, dressing solution comprises 5 to 15wt% polymkeric substance.The typical solvent of using with above mentioned cellulose polymer compound includes but not limited to acetone, methyl acetate, ethyl acetate, isopropyl acetate, n-butyl acetate, methyl iso-butyl ketone (MIBK), methyl propyl ketone, ethylene glycol monoethyl ether, single ethyl acetic acid glycol ester, methylene dichloride, ethylene dichloride, propylene dichloride, nitroethane, nitropropane, tetrachloroethane, 1,4-diox, tetrahydrofuran (THF), diglyme, water and composition thereof.Pore-forming material and non-solvent (as water, glycerine and ethanol) or softening agent (as diethyl phthalate) can also add with any amount, and condition is that polymkeric substance keeps under vapo(u)rizing temperature solvable.Pore-forming material and the purposes of making dressing thereof are as described in the US5612059.As disclosed in US5798119, dressing can also be the hydrophobic micropore layer, and wherein said hole is filled with gas basically and be not wetting by water medium, is permeable to water vapour still.This hydrophobicity but water vapour permeability dressing mainly are made up of hydrophobic polymer such as polyolefine, polyacrylic acid derivative, polyethers, polysulfones, polyethersulfone, polystyrene, polyvinyl halides, polyvinyl ester and ether, natural wax and synthetic wax usually.The hydrophobic micropore coating material includes but not limited to polystyrene, polysulfones, polyethersulfone, polyethylene, polypropylene, polyvinyl chloride, polyvinylidene difluoride (PVDF) and tetrafluoroethylene.This hydrophobic coatings can use gas quench method, liquid quench method, hot method, from dressing the leaching soluble material or by in the sintering coated granule any, prepare by known phase inversion process.In hot method, the polymers soln in the solubility promoter is carried out liquid-liquid phase separation in cooling step.When not preventing the evaporation of described solvent, the film that is generated is porous normally.This coating method can by for example in US4247498, US4490431 and US4744906 disclosed method carry out.Infiltration sustained release device can use the pharmaceutical field known procedures to prepare.For example, referring to Remington:The Science and Practice of Pharmacy (Lei Mingdun: the science of pharmacy and put into practice), the 20th edition, 2000.
As above further described, promoting agent as herein described can be with the form supply of particulate, and the magnitude range of described particulate is generally about 10 μ m to about 2mm (for example comprising that diameter is about 100 μ m to 1mm).This multiparticulates for example can be packaged in the capsule that forms with capsule such as gelatine capsule or by water-soluble polymers such as HPMCAS, HPMC or starch; Make up a prescription and be suspension or liquid slurry; Perhaps they can form sheet, capsule sheet or ball by compression or additive method known in the art.This multiparticulates can be by any known method such as wet granulation technology and dry granulation technology, extrude/round as a ball, roll, melt-and condense or prepare by spraying-pelleted seed core.For example, in wet granulation technology and dry granulation technology, promoting agent as herein described and optional vehicle granulation can be formed the multiparticulates of wishing size.Other vehicle such as tackiness agent (as Microcrystalline Cellulose) can with as described in promoting agent mix to help processing and to form many particles.Under the situation of wet granulation, tackiness agent such as Microcrystalline Cellulose can be contained in the granulation fluid, to help to form suitable many particles.For example, referring to Remington:TheScience and Practice of Pharmacy (Lei Mingdun: the science of pharmacy and put into practice), the 20th edition, 2000.Under any circumstance, the particle of gained itself can constitute therapeutic composition or they can come dressing by various film forming materials such as enteric polymer or hydroexpansivity or water-soluble polymers, or they can make up a prescription to the patient helping with other vehicle or vehicle combination.
In certain embodiments, can be desirable to provide the instant-free of one or more promoting agents as herein described and the sustained release of one or more other promoting agents.For example, in one embodiment, compound as herein described can be supplied with the therapeutic activity agent altogether as herein described with the sustained release form with IR formulation.For example, in one embodiment, compound as herein described can be supplied with the therapeutic activity agent altogether as herein described with the instant-free form with the sustained release form.
Described promoting agent can be incorporated in the micro emulsion, described micro emulsion normally by the interfacial film of surfactant molecule thermodynamically stable, isotropic clarification dispersion liquid (Encyclopedia of Pharmaceutical Technology (pharmaceutical technology encyclopedia) (New York:Marcel Dekker of stable two kinds of immiscible fluids (as oil and water), 1992), the 9th volume).For the preparation of micro emulsion, tensio-active agent (emulsifying agent), cosurfactant (assistant for emulsifying agent), oil phase and water are necessary.Suitable tensio-active agent comprises any tensio-active agent that is used to prepare emulsion, for example is generally used for preparing the emulsifying agent of emulsifiable paste.Cosurfactant (or " assistant for emulsifying agent ") is selected from the group of Polyglycerine derivative, glycerol derivative and Fatty Alcohol(C12-C14 and C12-C18) usually.Preferred solvent/assistant for emulsifying agent makes up usually but may not be selected from the group of being made up of following: glyceryl monostearate and polyoxyethylene stearic acid ester; Polyoxyethylene glycol and Ethylene Glycol Palmitostearate; And Trivent OCG and Triglyceride DDD and oleoyl polyethylene glycol glycerol ester.Water not only comprises water, and generally include buffer reagent, glucose, propylene glycol, polyoxyethylene glycol (preferred low molecular poly (for example PEG 300 and PEG 400)) and/or glycerine and analogue, and oil phase generally includes, for example the vegetables oil of fatty acid ester, modification, silicone oil; The mixture of monoglyceride, triglyceride and triglyceride level; The monoesters of PEG and diester (for example oleoyl polyethylene glycol glycerol ester) etc.
Compound as herein described can be incorporated into pharmaceutically acceptable nano particle, nanometer ball and Nano capsule preparation (Delie and Blanco-Prieto 2005 Molecule 10:65-80).Nano capsule can be caught compound (people such as Henry-Michelland, 1987 with stable and reproducible mode usually; People such as Quintanar-Guerrero, 1998; People such as Douglas, 1987).Be the side effect of avoiding causing because of cell interpolymer overburden, ultrafine particulate (the about 0.1 μ m of size) can use the polymkeric substance that can be degraded in vivo to design (for example biodegradable poly-alkyl-cyanoacrylate nano particle).In prior art (people such as Couvreur, 1980; 1988; People such as zur Muhlen, 1998; People such as Zambaux, 1998; People such as Pinto-Alphandry, 1995 and U.S. Patent number 5,145,684) in this particle has been described.
Compound as herein described can be prepared with the pH sensitive material, and described pH sensitive material can comprise those pH sensitive materials described in the WO04041195 (comprising wherein said sealing dressing and enteric coating) and finish the pH susceptibility dressing of sending (comprising those pH susceptibility dressings described in US4910021 and the WO9001329) in colon.US4910021 has described use pH sensitive material and has come the dressing capsule.WO9001329 has described and used pH susceptibility dressing on acidiferous pearl, and the acid in the wherein said pearl core prolongs the stripping of pH susceptibility dressing.U.S. Patent number 5,175,003 disclose be used for drug delivery system mainly by pH susceptibility enteric material with can give the described enteric material dual mechanism polymeric blends that infiltrative film forming softening agent is formed; Mainly by form and comprise sometimes the pharmaceutically matrix ball of neutral nuclear with the dual mechanism polymeric blends of drug osmotic; The ball of film dressing, it comprises the matrix ball that comes dressing with the dual mechanism polymeric blends coating of identical or different composition; With the pharmaceutical dosage form that contains the matrix ball.Described matrix ball by diffusion in acid pH and by usually about 5.0 or disintegration during higher pH level discharge the solubility in acid medicine.Compound as herein described can be prepared in the target Controlled Release System that the pH described in the WO04052339 triggers.Compound as herein described can be prepared according to following each described methodology: WO03105812 (but polymkeric substance of the hydration of extruding); WO0243767 (the film translocator that enzyme can rupture); WO03007913 and WO03086297 (mucosa-adherent system); WO02072075 (the double-layer lamination preparation that comprises pH depressant and absorption enhancer); WO04064769 (amidated peptide); WO05063157 (having pseudo-sex change (pseudotropic) and/or thixotropic solid lipid suspension after the fusing); WO03035029 and WO03035041 (erodible, gastric retention formulation); US5007790 and US5972389 (sustained release forms); WO04112711 (oral prolongation release composition); WO05027878, WO02072033 and WO02072034 (delayed release compositions) with natural gum or synthetical glue; WO05030182 (sustained release preparation) with rising rate of release; WO05048998 (microencapsulation system); US patent 5,952,314 (biological polymer); US5108758 (glassy amylose matrix is sent); US5840860 (based on sending of treated starch); JP10324642 (comprising chitosan and the material of anti-stomach the delivery system) as wheat gliadin or zein; US5866619 and US6368629 (sugar that contains polymkeric substance); US6531152 (having described the drug delivery system that contains water-soluble core (Pectin calcium or other water-soluble polymerss) and the outer dressing of disruptive (for example hydrophobic polymer Eudragrit)); US6234464; US 6403130 (dressing with the polymkeric substance that contains casein and high methoxyl pectin; WO0174175 (Maillard reaction product); WO05063206 (preparation that solubleness increases); WO04019872 (transitivity fusion rotein).Compound as herein described can use gi tract gaseous-waste holdup system technology (GIRES; Merrion Pharmaceuticals) prepares.GIRES is included in the sustained release formulation in the swelling property capsule (pouch), and described capsule is placed on and is used for Orally administered pharmaceutical capsule.After this capsule stripping, produce gas system described capsule is expanded under one's belt, make it in stomach, to be detained 16-24 hour, discharge compound as herein described in the section at this moment always.
Compound as herein described can preparation in permeator (being included in disclosed permeator among US4503030, US5609590 and the US5358502).US4503030 discloses the permeator that is used for medicine is dispersed to GI some pH zone.More particularly, the present invention relates to comprise around the permeator of the wall that is formed by semipermeability pH sensitive compositions that contains coyote hole, it has the passage that passes described wall of coupling device outside and described chamber.Described device the pH that has less than 3.5 gastrointestinal region in control speed delivering drugs, and described device destroys (self-destruct) and all its medicines of release at the pH that has in greater than 3.5 gastrointestinal region automatically, thereby the overall utilization of drug absorption is provided.U.S. Patent number 5,609,590 and 5,358,502 disclose the infiltration bursting device (osmotic bursting device) that is used for beneficial agent is dispensed to aqueous environments.Described device comprises at least in part by membrane-enclosed beneficial agent of semipermeability and osmagent.Described beneficial agent also can play osmagent.Described semi-permeable film is permeable to water, and is not saturating basically to beneficial agent and osmagent.Triggering instrument (trigger mean) is connected with semi-permeable film (for example being connected two capsule halves).Described triggering instrument is activated and triggers final but unexpected the sending of beneficial agent by 3 to 9 pH.These devices make the beneficial agent core trigger release as agglomerate pH by the infiltration explosion.
Compound as herein described can be according to U.S. Patent number 5,316, and the invention described in 774 is prepared, described disclosure of the Invention be used for the composition that sustained release contains the active substance of polymer beads matrix, wherein each particle defines the network of endoporus.Described active substance is in retarding agent is trapped in described pore network, and described retarding agent has the selected physical property of the rate of release of described active substance from interior pore network of change and chemical property.In one embodiment, use enteric material, drug selectivity can be delivered to intestines as retarding agent.Described enteric material is kept perfectly under one's belt but degrades under the pH of intestines condition.In another embodiment, extended release preparation uses retarding agent, and it is stable that described retarding agent keeps under the desired conditions of described active substance environment to be discharged into.Using the pH sensitive material separately is difficult to finish the site specific delivery, this is because beneficial agent seepage before the Delivery time that discharges site or expectation, and to finish long-time hysteresis before discharging described activeconstituents behind the high pH of contact be difficult (because quick stripping or degraded of pH sensitive material).
Described promoting agent also can be prepared in the mixing system in conjunction with pH sensitive material and osmotic delivery system.These mixing devices provide the delayed startup of the lasting release of beneficial agent.In a kind of device, pH susceptibility matrix or dressing dissolving discharge permeator, and described release permeator provides the lasting release (referring to U.S. Patent number 4,578,075,4,681,583 and 4,851,231) of beneficial agent.Second device is made up of the semipermeability dressing, and described semipermeability dressing is made of the polymer blend of insoluble material and pH sensitive material.When pH increased, the perviousness of described dressing increased, and the rate of release of beneficial agent is increased, referring to U.S. Patent number 4,096, and 238,4,503,030,4,522,625 and 4,587,117.
Compound as herein described can be according toUS Patent number 5; 484; prepare in 610 the trimer; described patent disclosure pH and temperature are had the trimer of susceptibility; described trimer is to be used to make biologically active agent to pass the useful carrier of the gastric juice of stomach with shielded form conduction.Described trimer expands at the higher enteron aisle place of physiological pH, thereby makes biologically active agent be released in the intestines. the trimer is linear and from 35 to 99wt% of the Temperature allergic component (given in the following terpolymer temperature LCST (lower critical solution temperature) properties), has a pKa ranging from 2 to 8, 1 to 30wt% of the pH-sensitive component (a carboxylic acid group which The ionizing or deionized bioactive agent acts to prevent the loss at low pH but allow a bioactive agent in the physiological pH of about 7.4 is released) and a hydrophobic component (which is stable below the LCST temperature and compensating a bioactive agent the effect of the trimer) composition. Described trimer provides safe biologically active agent load-the be used for simple procedure that formulation is made; And this trimer plays the protectiveness carrier in the sour environment of stomach, and the influence of also protecting biologically active agent to avoid digestive ferment discharges in enteron aisle until biologically active agent....
Compound as herein described can be prepared in those pH sensitive polymers described in 865 according to U.S. Patent number 6,103.U.S. Patent number 6,103,865 disclose the pH sensitive polymer that comprises sulfoamido, and its physical properties (as swellability and solubleness) can change with pH, and it can be used for drug delivery system, biomaterial, transmitter and analogue and preparation method thus.Described pH sensitive polymer via the sulfoamido that pKa is different be introduced into the hydrophilic radical of polymkeric substance, by combining with the hydrophilic radical (as acrylamide, N,N-DMAA, vinylformic acid, N-N-isopropylacrylamide and analogue) of polymkeric substance or preparing with other polymerisable monomer copolymerizations.These pH sensitive polymers can have linear polymer, connect the structure of the network polymer of target multipolymer, hydrogel or interpenetration.
Compound as herein described can be according to U.S. Patent number 5,656, and 292 prepare, described patent disclosure be used for the composition of activeconstituents (especially medicine) sustained release of pH dependency or pH regulator.The mixture of the starch molecule that described composition replaces by compressible activeconstituents with acetic ester and dicarboxylic ester residue is formed.Preferred dicarboxylic acid is a succinate.The average substitution degree of acetic ester residue is at least 1, and the average substitution degree of dicarboxylic ester residue is 0.2-1.2.Described starch molecule can have acetic ester residue and the dicarboxylic ester residue that connects with identical starch molecule skeleton or be connected with independent starch molecule skeleton.The invention also discloses and be used for by transesterification or mixing starch acetic ester and starch dicarboxylic ester prepare the method for described starch acetate dicarboxylic ester respectively.
Compound as herein described can be according to U.S. Patent number 5,554, and 147,5,788,687 and 6,306, method described in 422 is prepared, described patent disclosure be used for the method for sustained release biologically active agent, wherein said promoting agent discharges from hydrophobicity, pH sensitive polymer matrix.When environment pH reached 8.5, described polymeric matrix expanded, and release bioactive agent.The polymkeric substance of hydrophobicity and slightly acidic comonomer is disclosed and is used for Controlled Release System.Also disclosed is the particular that can use Controlled Release System.Described pH sensitive polymer is being used for the latex catheter that ureteral catheter inserts by dressing.With the ureteral catheter that contains the pH sensitive polymer dressing that is encapsulated in its intramatrical microbiotic or urease inhibitor when the high pH of the contact urine, with release bioactive agent.
Compound as herein described can be prepared in 187 the bioadhesive polymers or with described bioadhesive polymers according to U.S. Patent number 6,365.Described with the micro-capsule form that comprises medicine or biologically active substance among the US6365187 or as the bioadhesive polymers of the dressing on the described micro-capsule, described micro-capsule is used for the therapeutic or the diagnostic purpose of gastrointestinal tract disease.Polymer microballoon all has 11mN/cm at least2(110N/m2) bioadhesion power.Also described be used to make the technology of bioadhesive microballoon and be used to measure microballoon and body in the method for bioadhesion power between the GI institute selections.This quantitative method provides following method: set up dependency between chemical property, surface morphology and medicine carrying microballoons size (on the one hand) and the bioadhesion power (on the other hand), thereby allow the most promising material of screening from big relatively one group of natural polymer and synthetic polymer (considering that theoretically they should can be used for preparing the bioadhesive microballoon).Drug solution in buffer saline and the similar vehicle is often used in producing in the spraying gun aerosol.Simple spraying gun is operated according to the Bernoulli principle and application of air or Oxygen Flow produce spraying granule.Complicated spraying gun using ultrasound produces spraying granule.These two types is well-known in the art, and describes in the The Science and Practice of the standard textbook of pharmacy such as the American Pharmacy of Sprowls (U.S.'s pharmacy) and Remington ofPharmacy (science of pharmacy and put into practice).Be used to produce aerocolloidal other device applied compression gases (being generally hydrogen fluorohydrocarbon and Chlorofluorocarbons (CFCs)), described pressurized gas mixes in pressurized container with medicine and any essential vehicle, and these devices are described in standard textbook such as Sprowls and Remington equally.
Described promoting agent can be used by (intranasaly) in for example intravenous injection, intramuscularly, subcutaneous injection, peritoneal injection, external application, hypogloeeis, intraarticular (in the joint), intracutaneous, oral cavity (buccal), eye (comprising intraocular), the nose (comprise and use intubate) or by other approach.For example, described promoting agent can be via micell formulations (for example referring to WO97/11682), via Liposomal formulation (for example referring to EP736299, WO99/59550 and WO97/13500), via the preparation described in the WO03/094886 or with some other form, with the sheet that comprises the predetermined amount activeconstituents or cachet, gel, pill, paste, syrup, bolus, electuary, slurry, capsule, powder, particle, with solution in waterborne liquid or the non-aqueous liquid or suspension, Orally administered with oil-in-water liquid emulsion or water-in-oil liquid emulsion.Orally administered composition can comprise tackiness agent, lubricant, inert diluent, lubricant, tensio-active agent or dispersion agent, seasonings and wetting Agent for Printing Inks.Orally administered preparation as sheet can choose wantonly by dressing or indentation and can be prepared so as to provide lasting, delay or sustained release as described in activeconstituents in the preparation.But described promoting agent also transdermal (promptly via reservoir devices or matrix type patch preparations, micropin, thermic hole, hypodermic needle, iontophoresis, electroporation, ultrasonic or phonophoresis, other forms of fast injection or the combination (people such as Prausnitz of any preceding method, 2004, Nature Reviews DrugDiscovery 3:115)) use.Described promoting agent can use the hydrogel particle formulations described in the U.S.20020061336, use high speed transdermal particle injection technique to use.Other granular preparation is described in WO00/45792, WO00/53160 and WO02/19989.The example that comprises the preparation capable of permeating skin of plaster and absorption enhancer dimethyl isosorbide can be found in WO89/04179.WO96/11705 provides the preparation that is suitable for transdermal administration.Described promoting agent can be used with the form of suppository or by the method for other vaginas or rectum.Described promoting agent can be used with the transmembrane preparation described in the WO90/07923.Described promoting agent can be via U.S.6, and the dehydration particle described in 485,706 is non-invasively used.Described promoting agent can be used with the pharmaceutical preparation of the enteric coating described in the WO02/49621.Described promoting agent can use U.S.5, and the preparation described in 179,079 comes intranasal administration.The preparation that is suitable for the parenteral injection is described in WO00/62759.Described promoting agent can use the casein preparation described in U.S.20030206939 and the WO00/06108 to use.Described promoting agent can use the microparticle formulation described in the U.S.20020034536 to use.
Can utilize several technology to use separately or with the promoting agent of other combination of components that are fit to by the lung approach, described technology include but not limited to intratracheal instillation (solution being delivered in the lung), tracheae lactones plastid by syringe send, be blown into (by syringe or any other similarly device powder formulation is administered in the lung) and aerosol suction.Aerosol (for example injection or ultrasonic atomizer, metered-dose inhaler (MDI) and Diskus (DPI)) also can be used for using in the nose.Aerosol preparations is the solid material in gaseous medium and the stable dispersion or the suspension of drop, and can be placed in the acceptable propelling agent of supercharging, described propelling agent such as hydro fluorocarbons (HFA, be HFA-134a and HFA-227, or its mixture), Refrigerant 12 (or mixture of gaseous chlorine fluorohydrocarbon propelling agent such as propelling agent 11,12 and/or 114), propane, nitrogen and analogue.The lung preparation also can comprise penetration enhancer such as lipid acid and carbohydrate, sequestrant, enzyme inhibitors (for example proteinase inhibitor), adjuvant (for example glycocholate, surfactivity element (surfactin), sorbester p37 and Nafamqstat mesilate), sanitas (for example benzalkonium chloride or butylene-chlorohydrin) and ethanol (normally mostly be most 5% weight but may mostly be 20% weight most).Because ethanol can improve the function of metering valve and also improve the stability of dispersion in some instances, so ethanol is contained in the aerosol composition usually.The lung preparation also can comprise tensio-active agent, and described tensio-active agent comprises but be not limited to biliary salts and U.S.6,524,557 with those tensio-active agents described in therein the reference.U.S.6, the tensio-active agent described in 524,557 for example C8-C16 soap, biliary salts, phosphatide or alkyl sugar are useful, and this is because it is reported that in them some also strengthen the absorption of the compound in the preparation.Also being suitable for of the present invention is the dry powder formulations that comprises the active compound of the treatment significant quantity of mixing with suitable carrier and being suitable for being used in combination with Diskus.The absorption enhancer that can join dry powder formulations of the present invention comprises U.S.6, those absorption enhancers described in 632,456.WO02/080884 has described the novel method that is used for the powder surface modification.Aerosol preparations can comprise U.S.5,230,884, U.S.5,292,499, WO017/8694, WO01/78696, U.S.2003019437, U.S.20030165436 and WO96/40089 (it comprises vegetables oil).The extended release preparation that is suitable for sucking is described in U.S.20010036481A1,20030232019A1 and U.S.20040018243A1 and WO01/13891, WO02/067902, WO03/072080 and WO03/079885.The lung preparation that comprises particulate is described in WO03/015750, U.S.20030008013 and WO00/00176.The lung preparation that comprises stable glassy state powder is at U.S.20020141945 and U.S.6, describes in 309,671.Other aerosol preparations are at EP1338272A1, WO90/09781, U.S.5,348,730, U.S.6,436,367, WO91/04011 and U.S.6,294, describe in 153, and U.S.6,290,987 have described the preparation based on liposome, and described preparation can be used via aerosol or additive method.The powder formulation that is used for sucking is described at U.S.20030053960 and WO01/60341.Described in U.S.20010038824, but described promoting agent intranasal administration.
Drug solution in buffer saline and the similar vehicle is often used in producing in the spraying gun aerosol.Simple spraying gun is operated according to the Bernoulli principle and application of air or Oxygen Flow produce spraying granule.Complicated spraying gun using ultrasound produces spraying granule.These two types is well-known in the art, and describes in the The Science and Practice of the standard textbook of pharmacy such as the AmericanPharmacy of Sprowls (U.S.'s pharmacy) and Remington of Pharmacy (science of pharmacy and put into practice).Be used to produce aerocolloidal other device applied compression gases (being generally hydrogen fluorohydrocarbon and Chlorofluorocarbons (CFCs)), described pressurized gas mixes in pressurized container with medicine and any essential vehicle, and these devices are described in standard textbook such as Sprowls and Remington equally.
Described promoting agent can merge with immunoglobulin (Ig) or albumin or be incorporated into liposome to improve the transformation period.Described promoting agent also can with polyoxyethylene glycol (PEG) chain conjugation.The method that is used for Pegylation can be at Harris and Chess with the other preparation that comprises PEG-conjugate (promptly based on the hydrogel of PEG, the liposome of PEG modification), finds in Nature Reviews Drug Discovery 2:214-221 and the reference wherein.Described promoting agent can be used via nanometer spirrillum or helical delivery vehicle (BioDelivery Sciences International).Described promoting agent can use as U.S.5, and the preparation described in 204,108 comes transdermal (promptly passing mucomembranous surface such as vagina, eye or nose) to send.Described promoting agent can be prepared in the micro-capsule described in WO88/01165.Described promoting agent can use at U.S.20020055496, WO00/47203 and U.S.6, and the preparation described in 495,120 uses in the oral cavity.Described promoting agent can use at the nanoemulsions preparation described in the WO01/91728A2 and send.
Described promoting agent can be free acid or free alkali, or acceptable salt on its pharmacology.Can use preceding or more early the time with directly dissolving or disperse of solid.In some cases, described preparation comprises the sanitas of prophylaxis of microbial growth.The medicament forms that is suitable for injecting can comprise sterile aqueous or organic solution or dispersion, and described solution or dispersion comprise for example water, alcohol, organic solvent, oil or other solvents or dispersion agent (for example glycerine, propylene glycol, polyoxyethylene glycol and vegetables oil).Described preparation can comprise antioxidant, buffer reagent, fungistat and make described preparation and expection receptor's the isoosmotic solute of blood and water-based and non-aqueous sterile suspensions that described water-based and non-aqueous sterile suspensions can comprise suspension agent, solubilizing agent, thickening material, stablizer and sanitas.Pharmaceutically active agents can be sterilized by filtration sterilization or by other suitable methods.
Suitable pharmaceutical composition according to the present invention generally includes a certain amount of active compound and acceptable pharmacy thinner or vehicle such as sterile aqueous solution, to provide a series of final concentrations according to desired use.Technology of preparing is well-known usually in the art, as Remington ' sPharmaceutical Sciences (Lei Mingdun pharmaceutical science), and the 18th edition, Mack PublishingCompany, 1995 are illustrational.
The method that increases the chemical stability of promoting agent as herein described and/or physical stability is found in WO00/04880 and WO97/04796 and the reference wherein quoted.
The method that increases the bioavailability of promoting agent as herein described is found in U.S.20030198619, WO01/49268, WO00/32172 and WO02/064166.Potenlini (glycyrrhizinate) also can be used as absorption enhancer (for example referring to EP397447).WO03/004062 has discussed and can be used for the GI Ulex europaeus of promoting agent target I (UEAI) and UEAI stand-in.
Test kit (kit)
Compound as herein described and pharmaceutical preparation can be included in the test kit.Test kit can comprise two or more promoting agents of single dose or multiple doses, every kind of quilt is packed separately or two or more promoting agents of preparation or single dose or multiple doses are combined packing or preparation.Therefore, one or more promoting agents can be present in first container, and test kit can be chosen one or more promoting agents that are included in second container wantonly.This container or each container are placed in the packing, and described packing can be chosen wantonly and comprises and use specification sheets or dosage instructions.Test kit can comprise other parts such as syringe or other instruments and thinner that is used for administering active agents or other instruments that are used for preparation.Therefore, test kit can comprise: the pharmaceutical composition that a) comprises compound as herein described and pharmaceutically acceptable carrier, vehicle or thinner; And b) container or packing.Test kit can be chosen wantonly and comprise specification sheets, and described specification sheets has been described the method that makes pharmaceutical composition in one or more (for example prevent or treat in disease as herein described and the illness one or more) in method as herein described.Test kit can be chosen wantonly and comprise and contain second pharmaceutical composition that is useful on one or more other promoting agents as herein described of common therepic use, pharmaceutically acceptable carrier, vehicle or thinner.Comprise the pharmaceutical composition of compound as herein described and be contained in second medical compounds in the test kit can be in a kind of pharmaceutical composition optional combination.
Test kit comprises the container that is used to hold pharmaceutical composition or packing and can comprise that container separately is as bottle that separates or the paper tinsel bag (foil packet) that separates.Container can be for example paper or packing case carton, glass or Plastic Bottle or jar, resealable bag (for example, in order to put into different containers " filling again ") with retention tab or have according to treatment time table be used to extrude the film packaging (blister pack) of the single dose of packing.Surpass a container and can one be used from unitary package so that on market, be feasible with single formulation transaction.For example, sheet can be included in the bottle, and described bottle is included in the case again.
The example of test kit is a so-called blister pack.Film packaging is well-known in packaging industry and is widely used in the packing of pharmaceutical unit dosage forms (sheet, capsule, and analogue).Film packaging is made up of the material of a relative rigidity usually, and described material is covered by the paper tinsel of preferred transparent plastic material.During wrapping process, groove (recess) forms in plastic foil.Described groove has individual slices to be packaged or capsular size and shape or can have and holds a plurality of sheets to be packaged and/or capsular size and shape.Then, described or capsule correspondingly are put in the groove, and the thin slice of the material of relative rigidity is pasting plastic foil and is sealed in groove and forms on the face of the opposite paper tinsel of direction.Therefore, sheet or capsule are sealed separately or are sealed in (as needs) groove between plastic foil and thin slice jointly.Preferably, the intensity of thin slice be by manually on groove applying pressure, thin slice forms opening in the position of groove thus, makes sheet or capsule to take out from film packaging.Sheet or capsule can take out via described opening then.
Can expect to provide to contain and be suitable for clinicist, pharmacist or curee's the information of when being taken about medicine and/or the written memory aid (memory aid) of specification sheets." per daily dose " can be at appointed date single or capsule or several sheets or capsule to be taken.When test kit comprised independent composition, the per daily dose of one or more compositions of test kit can be made up of a sheet or capsule, and the per daily dose another kind of or multiple composition of test kit can be made up of several sheets or capsule.Test kit can adopt and be designed to the order that uses with expection one next distributes the form of the divider (dispenser) of per daily dose.Described divider can be equipped with memory aid so that further promote the dosage regimen compliance.The example of this memory auxiliary is the mechanical counter that shows the per daily dose number that has been assigned with.Another example of this memory auxiliary is the battery powered microchip stores device that is connected with liquid crystal reader or sound prompting signal, and described sound prompting signal is for example read the date and/or the reminds people of having taken nearest per daily dose and taken the time of dosage next time.
Many embodiments have been described.However, it should be understood that not departing under the spirit and scope of the present invention and can make various changes.