


技术领域technical field
本发明属于导航技术测量领域,涉及一种捷联磁惯性组合系统。The invention belongs to the field of navigation technology measurement and relates to a strapdown magnetic-inertial combination system.
背景技术Background technique
捷联惯导系统从上世纪60年代初得到成熟的探索,尤其在1969年,捷联惯导系统作为“阿波罗”-13号登月飞船的应急备份装置,在其服务舱发生爆炸时将飞船成功的引导到返回地球的轨道上时起到了决定性的作用,成为捷联式惯导系统发展中的一个里程碑。从本世纪七十年代以来,在惯性传感器及惯性导航系统技术方面又取得了长足的进步,成功的研制了各种类型的惯性传感器(如激光陀螺、光纤陀螺、动态调谐陀螺等),并得到了广泛的应用。在系统技术方面,捷联式惯导系统也得到了极大的发展,除了精度要求比较高的战略应用(战略导弹、战略核潜艇)之外,捷联惯导系统几乎取代了所有的平台式惯导系统。据资料报道,美国军用惯导系统1984年前全部为平台惯导,到1989年一半改为捷联惯导,1994年捷联式已经占有90%。The strapdown inertial navigation system has been maturely explored since the early 1960s. Especially in 1969, the strapdown inertial navigation system was used as an emergency backup device for the "Apollo"-13 lunar landing spacecraft. It played a decisive role in the successful guidance of the spacecraft to the orbit back to the earth, which became a milestone in the development of the strapdown inertial navigation system. Since the 1970s, great progress has been made in the technology of inertial sensors and inertial navigation systems, and various types of inertial sensors (such as laser gyroscopes, fiber optic gyroscopes, dynamic tuning gyroscopes, etc.) have been successfully developed, and obtained a wide range of applications. In terms of system technology, the strapdown inertial navigation system has also been greatly developed. Except for strategic applications (strategic missiles, strategic nuclear submarines) that require relatively high precision, the strapdown inertial navigation system has almost replaced all platform inertial navigation systems. guidance system. According to reports, before 1984, the U.S. military inertial navigation system was all platform inertial navigation, and by 1989, half of it was changed to strapdown inertial navigation. In 1994, strapdown inertial navigation accounted for 90%.
目前用于旋转弹的捷联惯性组合,由于缺少敏感高速横滚角速率的陀螺仪,都在采取各种方法避免使捷联惯性测量单元承受弹体的旋转环境。如:美国为首的5国正在联合研制的GMLRS227mm远程制导火箭弹,为了避免惯性测量单元承受旋转环境,采取了增加一个滑动轴承,隔离发动机的旋转,通过空气舵使制导舱保持倾斜稳定。这种方式的缺点是系统复杂、增加了无效重量,牺牲了一部分舵资源。美国正在研究能够测量范围达3600°/s、标度因数误差小于5PPM的角速率陀螺仪,但是成本问题也难以在短期内得到解决。Due to the lack of gyroscopes sensitive to high-speed roll angular rate, the current strapdown inertial combination used for rotating projectiles is adopting various methods to prevent the strapdown inertial measurement unit from being subjected to the rotating environment of the projectile. For example, the GMLRS227mm long-range guided rocket jointly developed by five countries headed by the United States, in order to prevent the inertial measurement unit from being subjected to a rotating environment, a sliding bearing is added to isolate the rotation of the engine, and the guidance cabin is kept tilted and stable through the air rudder. The disadvantage of this method is that the system is complex, the ineffective weight is increased, and part of the rudder resources are sacrificed. The United States is researching an angular rate gyroscope with a measurement range of 3600°/s and a scale factor error of less than 5PPM, but the cost problem is difficult to solve in the short term.
发明内容Contents of the invention
为了解决上述的技术问题,本发明提出了一种新的捷联惯性组合系统,其目的在于解决对转速在10r/s~20r/s的旋转弹下的姿态测量,能实时解算旋转弹的姿态,具有很强的环境适用性,以有效解决现有旋转弹的制导改造需要。In order to solve the above-mentioned technical problems, the present invention proposes a new strapdown inertial combination system, the purpose of which is to solve the attitude measurement of the rotating bullet with a rotational speed of 10r/s~20r/s, and to solve the problem of the rotating bullet in real time. Attitude has strong environmental applicability to effectively solve the guidance transformation needs of existing rotary bombs.
本发明提供了一种捷联磁惯性组合系统,两只单轴角速率微机械陀螺、一个双轴地磁滚转角测量单元、第一解算模块、第二解算模块、信号调理模块、采集模块、输出模块和供电模块以捷联方式直接固连在弹体上;微机械陀螺与双轴地磁滚转角测量单元相互正交;The invention provides a strapdown magnetic-inertial combination system, two single-axis angular rate micro-mechanical gyroscopes, a two-axis geomagnetic roll angle measurement unit, a first calculation module, a second calculation module, a signal conditioning module, and an acquisition module , the output module and the power supply module are directly connected to the projectile in a strap-down manner; the micromechanical gyroscope and the two-axis geomagnetic roll angle measurement unit are orthogonal to each other;
供电模块,用于为两只单轴角速率微机械陀螺、一个双轴地磁滚转角测量单元、第一解算模块、第二解算模块、信号调理模块、采集模块和输出模块供电;The power supply module is used to supply power to two single-axis angular rate micro-machined gyroscopes, a two-axis geomagnetic roll angle measurement unit, a first calculation module, a second calculation module, a signal conditioning module, an acquisition module and an output module;
信号调理模块,用于接收单轴角速率微机械陀螺输出的角速率信号并进行滤波和放大;用于接收双轴地磁滚转角测量单元输出的正弦信号并进行滤波和放大;The signal conditioning module is used to receive and filter and amplify the angular rate signal output by the single-axis angular rate micro-mechanical gyroscope; it is used to receive the sinusoidal signal output by the dual-axis geomagnetic roll angle measurement unit and perform filtering and amplification;
采集模块,用于对信号调理模块调理后的单轴角速率微机械陀螺输出的角速率信号和双轴地磁滚转角测量单元输出的正弦信号进行模/数变换,并将模/数变换后的正弦信号发送至第一解算模块,将模/数变换后的角速率信号输出至第二解算模块;The acquisition module is used to perform analog/digital conversion on the angular rate signal output by the single-axis angular rate micro-mechanical gyro and the sinusoidal signal output by the dual-axis geomagnetic roll angle measurement unit after conditioning by the signal conditioning module, and convert the analog/digital converted The sinusoidal signal is sent to the first calculation module, and the angular rate signal after the analog/digital conversion is output to the second calculation module;
第一解算模块,用于根据模/数变换后的正弦信号解算滚转角γ以及滚转角速率ωx;The first calculation module is used to calculate the roll angle γ and the roll angle rate ωx according to the sinusoidal signal after the analog/digital conversion;
第二解算模块,用于根据模/数变换后的角速率信号和第一解算模块发送的滚转角速率ωx解算方位角ψ和俯仰角θ;The second calculation module is used to calculate the azimuth ψ and the pitch angle θ according to the angular rate signal after the analog/digital conversion and the roll angular rate ωx sent by the first calculation module;
输出模块,用于输出滚转角γ、方位角ψ和俯仰角θ。The output module is used to output roll angle γ, azimuth ψ and pitch angle θ.
第一解算模块根据以下公式解算滚转角:The first calculating module calculates the roll angle according to the following formula:
当Hy>0时,γ=90-[arctan(Hz/Hy)]×180/π;When Hy>0, γ=90-[arctan(Hz/Hy)]×180/π;
当Hy<0时,γ=270-[arctan(Hz/Hy)]×180/π;When Hy<0, γ=270-[arctan(Hz/Hy)]×180/π;
当Hy=0且Hz<0时,γ=180;When Hy=0 and Hz<0, γ=180;
当Hy=0且Hz>0时,γ=0;When Hy=0 and Hz>0, γ=0;
其中,Hy和Hz分别为地磁敏感双轴信号。Among them, Hy and Hz are geomagnetically sensitive biaxial signals, respectively.
第二解算模块根据以下方法解算方位角ψ和俯仰角θ:The second calculation module calculates the azimuth ψ and the elevation angle θ according to the following method:
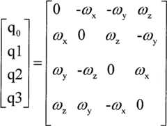
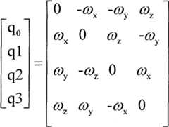
根据公式得到四元数:q0,q1,q2,q3;According to the formula Get the quaternion: q0 , q1 , q2 , q3 ;
将游动方位坐标系与弹体坐标系的方向余弦矩阵式为等效为四元数姿态矩阵:
θ=arcsin(T32)θ=arcsin(T32 )
根据公式ψab=arctg(-T12/T22)得到方位角ψ和俯仰角θ;According to the formula ψab =arctg(-T12 /T22 ), the azimuth ψ and the elevation angle θ are obtained;
ψ=ψab-αψ=ψab -α
其中,α为初始方位,ωy和ωz分别为两只单轴角速率微机械陀螺测得的角速率信号进行模/数变换后的角速率信号。Among them, α is the initial orientation, ωy and ωz are the angular rate signals after analog/digital conversion of the angular rate signals measured by two single-axis angular rate micro-machined gyroscopes.
双轴地磁滚转角测量单元由双轴磁阻芯片实现。The two-axis geomagnetic roll angle measurement unit is realized by a two-axis magnetoresistive chip.
信号调理模块由巴特沃斯滤波器和仪表放大器组成。The signal conditioning block consists of a Butterworth filter and an instrumentation amplifier.
捷联磁惯性组合系统还包括相互正交的三只微机械加速度计;The strapdown magnetic-inertial combination system also includes three micro-mechanical accelerometers that are orthogonal to each other;
信号调理模块,还用于接收微机械加速度计输出的加速度信号并进行滤波和放大;The signal conditioning module is also used to receive the acceleration signal output by the micromechanical accelerometer and perform filtering and amplification;
采集模块,还用于对信号调理模块调理后的微机械加速度计输出的加速度信号进行模/数变换,并将模/数变换后的加速度信号输出至第二解算模块;The acquisition module is also used to perform analog/digital conversion on the acceleration signal output by the micromechanical accelerometer conditioned by the signal conditioning module, and output the acceleration signal after the analog/digital conversion to the second calculation module;
供电模块,还用于为微机械加速度计供电。The power supply module is also used to power the micromachined accelerometer.
捷联磁惯性组合系统具有外壳、第一层框架板、第二层框架板和第三层框架板;The strapdown magnetic-inertial combination system has a shell, a first-layer frame plate, a second-layer frame plate and a third-layer frame plate;
双轴地磁滚转角测量单元单独灌封成整体安装在第三层框架板上;The dual-axis geomagnetic roll angle measurement unit is potted separately and installed on the third frame as a whole;
单轴角速率微机械陀螺和微机械加速度计灌封成整体,调整好交叉耦合后,安装在第二框架板上;供电模块安装在第二框架板上;The single-axis angular rate micro-machined gyroscope and the micro-machined accelerometer are potted as a whole, and after the cross-coupling is adjusted, they are installed on the second frame board; the power supply module is installed on the second frame board;
第一解算模块、第二解算模块、信号调理模块、采集模块和输出模块安装在第一层框架板上;The first calculation module, the second calculation module, the signal conditioning module, the acquisition module and the output module are installed on the first layer frame board;
外壳上设置有安装座,通过安装孔与弹体固定连接。The housing is provided with a mounting seat, which is fixedly connected with the elastic body through the mounting hole.
外壳、第一层框架板、第二层框架板和第三层框架板均由无磁铝构成。The shell, the first layer frame plate, the second layer frame plate and the third layer frame plate are all constructed of non-magnetic aluminum.
双轴地磁滚转角测量单元与第三层框架板之间垫有阻尼片;A damping sheet is placed between the biaxial geomagnetic roll angle measurement unit and the third frame plate;
单轴角速率微机械陀螺和微机械加速度计与第二框架板之间垫有阻尼片;供电模块与第二框架板之间垫有阻尼片;A damping sheet is placed between the single-axis angular rate micromachined gyroscope and the micromachined accelerometer and the second frame plate; a damping sheet is placed between the power supply module and the second frame plate;
第一解算模块、第二解算模块、信号调理模块、采集模块和输出模块与第一层框架板之间垫有阻尼片。A damping sheet is placed between the first calculation module, the second calculation module, the signal conditioning module, the acquisition module and the output module and the first layer of the frame plate.
双轴地磁滚转角测量单元输出的正弦信号直接输入采集单元。The sinusoidal signal output by the two-axis geomagnetic roll angle measurement unit is directly input into the acquisition unit.
本发明提供了一种捷联磁惯性组合系统的工作方法,包括:The invention provides a working method of a strapdown magnetic-inertial combination system, comprising:
步骤S1,信号调理模块接收单轴角速率微机械陀螺输出的角速率信号并进行滤波和放大,以及接收双轴地磁滚转角测量单元输出的正弦信号并进行滤波和放大;Step S1, the signal conditioning module receives and filters and amplifies the angular rate signal output by the single-axis angular rate micro-mechanical gyroscope, and receives and filters and amplifies the sinusoidal signal output by the dual-axis geomagnetic roll angle measurement unit;
步骤S2,采集模块对信号调理模块调理后的单轴角速率微机械陀螺输出的角速率信号和双轴地磁滚转角测量单元输出的正弦信号进行模/数变换,并将双轴地磁滚转角测量单元输出的正弦信号发送至第一解算模块,模/数变换将单轴角速率微机械陀螺输出的角速率信号输出至第二解算模块;Step S2, the acquisition module performs analog/digital conversion on the angular rate signal output by the single-axis angular rate micro-mechanical gyroscope after conditioning by the signal conditioning module and the sinusoidal signal output by the dual-axis geomagnetic roll angle measurement unit, and measures the dual-axis geomagnetic roll angle The sinusoidal signal output by the unit is sent to the first calculation module, and the analog/digital conversion outputs the angular rate signal output by the single-axis angular rate micro-mechanical gyroscope to the second calculation module;
步骤S3,第一解算模块根据模/数变换后的正弦信号解算滚转角γ以及滚转角速率ωx;Step S3, the first calculation module calculates the roll angle γ and the roll angle rate ωx according to the sinusoidal signal after analog/digital conversion;
步骤S4,第二解算模块根据模/数变换后的角速率信号和第一解算模块发送的滚转角速率ωx解算方位角ψ和俯仰角θ;Step S4, the second calculating module calculates the azimuth ψ and the pitch angle θ according to the angular rate signal after the analog/digital conversion and the roll angular rate ωx sent by the first calculating module;
步骤S5,输出模块输出滚转角γ、方位角ψ和俯仰角θ;Step S5, the output module outputs roll angle γ, azimuth ψ and pitch angle θ;
捷联磁惯性组合系统中的两只单轴角速率微机械陀螺、一个双轴地磁滚转角测量单元、第一解算模块、第二解算模块、信号调理模块、采集模块、输出模块和供电模块以捷联方式直接固连在弹体上;微机械陀螺与双轴地磁滚转角测量单元相互正交;Two single-axis angular rate micro-mechanical gyroscopes, a two-axis geomagnetic roll angle measurement unit, a first calculation module, a second calculation module, a signal conditioning module, an acquisition module, an output module and a power supply in a strapdown magnetic-inertial combination system The module is directly fixed on the missile body in a strapdown manner; the micromechanical gyroscope and the two-axis geomagnetic roll angle measurement unit are orthogonal to each other;
供电模块为两只单轴角速率微机械陀螺、一个双轴地磁滚转角测量单元、第一解算模块、第二解算模块、信号调理模块、采集模块和输出模块供电。The power supply module supplies power for two single-axis angular rate micro-mechanical gyroscopes, a two-axis geomagnetic roll angle measurement unit, a first calculation module, a second calculation module, a signal conditioning module, an acquisition module and an output module.
步骤S3中,第一解算模块根据以下公式解算滚转角:In step S3, the first calculation module calculates the roll angle according to the following formula:
当Hy>0时,γ=90-[arctan(Hz/Hy)]×180/π;When Hy>0, γ=90-[arctan(Hz/Hy)]×180/π;
当Hy<0时,γ=270-[arctan(Hz/Hy)]×180/π;When Hy<0, γ=270-[arctan(Hz/Hy)]×180/π;
当Hy=0且Hz<0时,γ=180;When Hy=0 and Hz<0, γ=180;
当Hy=0且Hz>0时,γ=0;When Hy=0 and Hz>0, γ=0;
其中,Hy和Hz分别为地磁敏感双轴信号。Among them, Hy and Hz are geomagnetically sensitive biaxial signals, respectively.
步骤S4中,第二解算模块根据以下方法解算方位角ψ和俯仰角θ:In step S4, the second calculation module calculates the azimuth ψ and the elevation angle θ according to the following method:
根据公式得到四元数:q0,q1,q2,q3;According to the formula Get the quaternion: q0 , q1 , q2 , q3 ;
将游动方位坐标系与弹体坐标系的方向余弦矩阵式为等效为四元数姿态矩阵:
θ=arcsin(T32)θ=arcsin(T32 )
根据公式ψab=arctg(-T12/T22)得到方位角ψ和俯仰角θ;According to the formula ψab =arctg(-T12 /T22 ), the azimuth ψ and the elevation angle θ are obtained;
ψ=ψab-αψ=ψab -α
其中,α为初始方位,ωy和ωz分别为两只单轴角速率微机械陀螺测得的角速率信号进行模/数变换后的角速率信号。Among them, α is the initial orientation, ωy and ωz are the angular rate signals after analog/digital conversion of the angular rate signals measured by two single-axis angular rate micro-machined gyroscopes.
双轴地磁滚转角测量单元由双轴磁阻芯片实现。The two-axis geomagnetic roll angle measurement unit is realized by a two-axis magnetoresistive chip.
信号调理模块由巴特沃斯滤波器和仪表放大器组成。The signal conditioning block consists of a Butterworth filter and an instrumentation amplifier.
捷联磁惯性组合系统还包括相互正交的三只微机械加速度计;The strapdown magnetic-inertial combination system also includes three micro-mechanical accelerometers that are orthogonal to each other;
步骤S1中,信号调理模块还接收微机械加速度计输出的加速度信号并进行滤波和放大;In step S1, the signal conditioning module also receives the acceleration signal output by the micromechanical accelerometer and performs filtering and amplification;
步骤S2中,采集模块还对信号调理模块调理后的微机械加速度计输出的加速度信号进行模/数变换,并将模/数变换后的加速度信号输出至第二解算模块;In step S2, the acquisition module also performs analog/digital conversion on the acceleration signal output by the micromechanical accelerometer conditioned by the signal conditioning module, and outputs the accelerated signal after the analog/digital conversion to the second calculation module;
供电模块,还用于为微机械加速度计供电。The power supply module is also used to power the micromachined accelerometer.
捷联磁惯性组合系统具有外壳、第一层框架板、第二层框架板和第三层框架板;The strapdown magnetic-inertial combination system has a shell, a first-layer frame plate, a second-layer frame plate and a third-layer frame plate;
双轴地磁滚转角测量单元单独灌封成整体安装在第三层框架板上;The dual-axis geomagnetic roll angle measurement unit is potted separately and installed on the third frame as a whole;
单轴角速率微机械陀螺和微机械加速度计灌封成整体,调整好交叉耦合后,安装在第二框架板上;供电模块安装在第二框架板上;The single-axis angular rate micro-machined gyroscope and the micro-machined accelerometer are potted as a whole, and after the cross-coupling is adjusted, they are installed on the second frame board; the power supply module is installed on the second frame board;
第一解算模块、第二解算模块、信号调理模块、采集模块和输出模块安装在第一层框架板上;The first calculation module, the second calculation module, the signal conditioning module, the acquisition module and the output module are installed on the first layer frame board;
外壳上设置有安装座,通过安装孔与弹体固定连接。The housing is provided with a mounting seat, which is fixedly connected with the elastic body through the mounting hole.
外壳、第一层框架板、第二层框架板和第三层框架板均由无磁铝构成。The shell, the first layer frame plate, the second layer frame plate and the third layer frame plate are all constructed of non-magnetic aluminum.
双轴地磁滚转角测量单元与第三层框架板之间垫有阻尼片;A damping sheet is placed between the biaxial geomagnetic roll angle measurement unit and the third frame plate;
单轴角速率微机械陀螺和微机械加速度计与第二框架板之间垫有阻尼片;供电模块与第二框架板之间垫有阻尼片;A damping sheet is placed between the single-axis angular rate micromachined gyroscope and the micromachined accelerometer and the second frame plate; a damping sheet is placed between the power supply module and the second frame plate;
第一解算模块、第二解算模块、信号调理模块、采集模块和输出模块与第一层框架板之间垫有阻尼片。A damping sheet is placed between the first calculation module, the second calculation module, the signal conditioning module, the acquisition module and the output module and the first layer of the frame plate.
双轴地磁滚转角测量单元输出的正弦信号直接输入采集单元。The sinusoidal signal output by the two-axis geomagnetic roll angle measurement unit is directly input into the acquisition unit.
本发明可以实现如下有益效果:1)体积小,抗高过载冲击;2)对于横滚角速率的测量不再使用原有的角速率陀螺,而是直接使用地磁滚转角测量单元来解算旋转弹的横滚角及横滚角速率,由于可以直接获取横滚角位置,从而避免了由积分获取位置量所带来的积分积累误差。解算装置通过所测的横滚角及横滚角速率来完成对其它姿态信号的解旋测量。The present invention can achieve the following beneficial effects: 1) small size, high overload impact resistance; 2) no longer use the original angular rate gyro for the measurement of the roll angular rate, but directly use the geomagnetic roll angle measurement unit to solve the rotation Since the roll angle and roll angle rate of the projectile can be obtained directly, the integral accumulation error caused by the integral acquisition of the position value can be avoided. The solving device completes the unrotating measurement of other attitude signals through the measured roll angle and roll angle rate.
附图说明Description of drawings
图1是磁惯性组合系统各模块结构图;Fig. 1 is a structural diagram of each module of the magnetic-inertial combined system;
图2是磁惯性组合系统的内部结构示意图;Fig. 2 is a schematic diagram of the internal structure of the magnetic-inertial combined system;
图3是磁惯性组合的产品图;Figure 3 is a product map of the magnetic-inertial combination;
图4是利用地磁敏感双轴信号来解算滚转角的坐标示意图;Fig. 4 is a schematic diagram of coordinates for calculating the roll angle by using geomagnetically sensitive dual-axis signals;
图5是坐标系的相互转换关系示意图;Fig. 5 is a schematic diagram of the mutual conversion relationship of the coordinate system;
图6是磁惯性组合系统的工作流程示意图。Fig. 6 is a schematic diagram of the workflow of the magnetic-inertial combined system.
具体实施方式Detailed ways
本发明的磁惯性组合系统是按照如下的技术方案实施的:主要由两只单轴角速率微机械陀螺、三只微机械加速度计、一个双轴地磁滚转角测量单元、弹载计算机及电源电路以捷联方式直接固连在结构本体上。所有元器件,MEMS传感器都采用固体芯片,分层通过阻尼片装在板级上,利用阻尼胶灌封在壳体内,成为整体。工作流程:装订旋转弹的射向、所处当地磁倾角、磁偏角,随着弹体的转动,地磁滚转角测量单元获取正弦变化的磁信号,然后根据这正弦变化的磁信号,解算出主轴的滚转角和滚转速率。俯仰轴和偏航轴的速率可由安装在对应轴上的两只单轴角速率微机械陀螺测出,然后通过解旋计算所得。类似的三轴加速度可由正交安装的三只微机械加速度计所测的。The magnetic-inertial combination system of the present invention is implemented according to the following technical scheme: it mainly consists of two uniaxial angular rate micro-machined gyroscopes, three micro-machined accelerometers, a two-axis geomagnetic roll angle measurement unit, a missile-borne computer and a power supply circuit It is directly fixed on the structural body in a strapdown manner. All components and MEMS sensors use solid chips, which are mounted on the board level through damping sheets in layers, and are potted in the housing with damping glue to form a whole. Workflow: Binding the shooting direction of the rotating projectile, the local magnetic inclination angle, and the magnetic declination angle. With the rotation of the projectile body, the geomagnetic roll angle measurement unit obtains the magnetic signal of the sinusoidal change, and then calculates the magnetic signal according to the sinusoidal change. The roll angle and roll rate of the spindle. The rates of the pitch axis and the yaw axis can be measured by two single-axis angular rate micro-mechanical gyroscopes installed on the corresponding axes, and then calculated by derotation. Similar triaxial accelerations can be measured by three micromachined accelerometers mounted orthogonally.
下面结合附图,对本发明做进一步的详细描述。The present invention will be described in further detail below in conjunction with the accompanying drawings.
图1给出了本发明的系统模块结构图。它包括双轴地磁滚转角测量单元1,MEMS(微机电系统)陀螺2,MEMS加速度计3,信号调理模块4,采集模块5,单片机解算模块6,DSP姿态解算模块7和输出模块8。双轴地磁滚转角测量单元1由双轴磁阻传感器及其配套的信号处理电路组成。MEMS陀螺2由单轴微机械陀螺组成。MEMS加速度计3由三轴正交的微机械加速度计组成。信号调理模块4为差分放大电路和四阶巴特沃斯低通滤波器构成,滤波器截止频率100H。采集模块5由高速ADC板构成,它是12通道,采样精度16bit,单路采样速率50KHz的ADC板。单片计算机解算模块6中的单片计算机是采用Cygnal公司的C8051F020,最高运行频率可达到25MHz,同时具有比较大的FLASH和RAM。DSP姿态解算模块7采用TI公司的DSP芯片TMS320F2801及电源芯片TPS70151。输出模块8主要由串口芯片Max3488组成。电源模块9采用DC-DC模块和78系列稳压芯片为系统提供3.3V,5V,15V等电压。其中滚转角、滚转速率解算程序装载在单片计算机解算模块中,姿态解算算法装载在DSP姿态解算模块7中。Fig. 1 has provided the system module structural diagram of the present invention. It includes a dual-axis geomagnetic roll
图1中的MEMS加速度计并不是本发明必须的模块,MEMS加速度计测得的信号经过调理和采集之后输入DSP姿态解算模块并处理后,由输出模块输出,它主要是用来为后续的导航提供依据。The MEMS accelerometer among Fig. 1 is not the necessary module of the present invention, and the signal that MEMS accelerometer records is input DSP attitude calculation module after conditioning and acquisition and after processing, is output by output module, and it is mainly used for follow-up Navigation provides the basis.
工作时,由弹上电源通过供电模块9供电,利用双轴地磁滚转角测量模块1对地磁场进行敏感,利用MEMS陀螺2和MEMS加速度计3对转动速率和三轴及加速度进行敏感,随着弹体的转动,输出正弦的敏感信号,这些敏感信号经过信号调理模块4,经过采集模块5进行AD采样,分别输出给单片计算解算模块7和DSP解算模块8进行三个姿态角的解算,最后通过输出模块8输出给后续的控制系统,进行惯性制导。During work, the power supply on the bullet is powered by the
图1中滚转角测量单元用于测出随弹体滚转变化的双轴正弦信号,它是采用双轴磁阻芯片HMC1022芯片实现的。The roll angle measurement unit in Figure 1 is used to measure the biaxial sinusoidal signal that changes with the projectile roll, which is realized by using the biaxial magnetoresistive chip HMC1022.
信号调理模块4主要用于信号滤波和放大,它可以采用二到四阶巴特沃斯滤波器进行滤波,能很好的滤除100Hz以上的干扰信号。同时利用仪表放大器对滤波后的信号进行放大,以供给采集模块5。The
采集模块5是将模拟信号转换为数字信号,把地磁信号提供给单片机解算模块,陀螺信号和加速度信号提供给DSP姿态解算模块。The
单片机解算模块利用地磁敏感双轴信号来解算滚转角,具体方法如下:The MCU calculation module uses geomagnetically sensitive dual-axis signals to calculate the roll angle. The specific method is as follows:
如图4所示:设地磁敏感双轴信号为Hy,Hz,当传感器位于不同滚转角指向时,Hy,Hz会随之发生变化,通过如下公式,即可解算出0°~360°的滚转角γ。根据各个时刻解算的滚转角γ,能实时给出滚转角速率。As shown in Figure 4: Let the geomagnetically sensitive dual-axis signal be Hy, Hz. When the sensor is positioned at different roll angles, Hy, Hz will change accordingly. The roll of 0° to 360° can be calculated by the following formula: Corner gamma. According to the calculated roll angle γ at each moment, the roll angle rate can be given in real time.
由于需要解算的滚转角γ是在0°~360°内,而反正切函数解算的角度范围只有-90~90,故需要分段处理,如下式:Since the roll angle γ to be calculated is within 0° to 360°, and the angle range to be calculated by the arctangent function is only -90 to 90, it needs to be processed in sections, as follows:
当Hy>0时:When Hy>0:
γ=90-[arctan(z/y)]×180/π (1)γ=90-[arctan(z/y)]×180/π (1)
当Hy<0时:When Hy<0:
γ=270-[arctan(z/y)]×180/π (2)γ=270-[arctan(z/y)]×180/π (2)
当Hy=0,Hz<0时When Hy=0, Hz<0
γ=180 (3)γ=180 (3)
当Hy=0,Hz>0时When Hy=0, Hz>0
γ=0 (4)γ=0 (4)
设滚转角速率为ωx,可由如下公式得到:Assuming that the roll rate is ωx , it can be obtained by the following formula:
ωx=dγ/dt (5)ωx =dγ/dt (5)
姿态解算模块采用游动方位坐标系的捷联式惯性导航数学平台,采用四元数法与等效转动矢量的方法进行姿态矩阵的解算以从中提取姿态角信息。The attitude calculation module adopts the strapdown inertial navigation mathematical platform of the swimming azimuth coordinate system, and uses the quaternion method and the equivalent rotation vector method to solve the attitude matrix to extract the attitude angle information.
载体的姿态可用方位角ψ、俯仰角θ和滚转角γ表示。The attitude of the carrier can be expressed by azimuth ψ, pitch θ and roll γ.
如图4,游动方位坐标系与弹体坐标系的方向余弦矩阵式为:As shown in Figure 4, the direction cosine matrix formula of the swimming azimuth coordinate system and projectile coordinate system is:
由四元法可知:From the quaternion method we know:
由(6)可得到四元数:q0,q1,q2,q3。Wy就是两只单轴MEMS陀螺测得的角速率。Quaternions can be obtained from (6): q0 , q1 , q2 , q3 . Wy is the angular rate measured by two single-axis MEMS gyroscopes.
则式(5)的方向余弦矩阵可等效为四元数姿态矩阵:Then the direction cosine matrix of formula (5) can be equivalent to the quaternion attitude matrix:
对式(8)实时求解q0,q1,q2,q3的值,即可实时求出俯仰角和方位角为:Solving the values of q0 , q1 , q2 , and q3 in real time for formula (8), the pitch angle and azimuth angle can be calculated in real time as:
θ=arcsin(T32)θ=arcsin(T32 )
ψab=arctg(-T12/T22) (9)ψab =arctg(-T12 /T22 ) (9)
ψ=ψab-αψ=ψab -α
其中α为初始方位,其中滚转角通过地磁滚转角测量单元给出。where α is the initial orientation, and the roll angle is given by the geomagnetic roll angle measurement unit.
双轴地磁滚转角测量模块1输出的双轴正弦信号也可以不经过信号调理模块4,而直接输入到采集模块5;其余各模块之间的连接关系如图1所示,同样也可以实现本发明。The dual-axis sinusoidal signal output by the dual-axis geomagnetic roll
图2给出了本发明磁惯性组合的内部安装示意图;本发明磁惯性组合所有元器件都采用固体芯片,分装在3层框架板10~12,每块板级和固体芯片之间都垫有阻尼片。其中磁滚转角测量单元1单独灌封成整体,安装在框架板12上,MEMS陀螺2和MEMS加速度计3灌封成整体,调整好交叉耦合后,安装在框架板11上,框架板11的富余空间上安装供电模块9,计算机模块包括单片计算机解算模块6,DSP姿态解算模块7,安装在框架板10上。其中采集模块,信号调理模块和输出模块也安装在框架板10上。壳体13有安装座,通过安装孔14与弹体固定连接,壳体上有坐标线及产品编号(图中未画出),整个壳体7和框架板10~12都是采用无磁铝构成。Fig. 2 has provided the internal installation schematic diagram of magnetic-inertial combination of the present invention; All components and parts of magnetic-inertial combination of the present invention all adopt solid chip, subpackage in 3 layers of
图3给出了本发明磁惯性组合产品外观图。Figure 3 shows the appearance of the magnetic-inertial combination product of the present invention.
整个系统设计采用模块化处理,各个模块功能单一,方便调试。The whole system design adopts modular processing, and each module has a single function, which is convenient for debugging.
图6是本发明提供的磁惯性组合系统的工作流程示意图,包括:Fig. 6 is a schematic diagram of the workflow of the magnetic-inertial combined system provided by the present invention, including:
步骤601,信号调理模块接收单轴角速率微机械陀螺输出的角速率信号并进行滤波和放大,以及接收双轴地磁滚转角测量单元输出的正弦信号并进行滤波和放大;Step 601, the signal conditioning module receives and filters and amplifies the angular rate signal output by the single-axis angular rate micro-mechanical gyroscope, and receives and filters and amplifies the sinusoidal signal output by the dual-axis geomagnetic roll angle measurement unit;
步骤602,采集模块对信号调理模块调理后的单轴角速率微机械陀螺输出的角速率信号和双轴地磁滚转角测量单元输出的正弦信号进行模/数变换,并将双轴地磁滚转角测量单元输出的正弦信号发送至第一解算模块,模/数变换将单轴角速率微机械陀螺输出的角速率信号输出至第二解算模块;Step 602, the acquisition module performs analog-to-digital conversion on the angular rate signal output by the single-axis angular rate micro-mechanical gyroscope after conditioning by the signal conditioning module and the sinusoidal signal output by the dual-axis geomagnetic roll angle measurement unit, and measures the dual-axis geomagnetic roll angle The sinusoidal signal output by the unit is sent to the first calculation module, and the analog/digital conversion outputs the angular rate signal output by the single-axis angular rate micro-mechanical gyroscope to the second calculation module;
步骤603,第一解算模块根据模/数变换后的正弦信号解算滚转角γ以及滚转角速率ωx;Step 603, the first calculation module calculates the roll angle γ and the roll angle rate ωx according to the sinusoidal signal after analog/digital conversion;
步骤604,第二解算模块根据模/数变换后的角速率信号和第一解算模块发送的滚转角速率ωx解算方位角ψ和俯仰角θ;Step 604, the second calculation module calculates the azimuth ψ and the pitch angle θ according to the angular rate signal after the analog/digital conversion and the roll angular rate ωx sent by the first calculation module;
步骤605,输出模块输出滚转角γ、方位角ψ和俯仰角θ。Step 605, the output module outputs roll angle γ, azimuth ψ and pitch angle θ.
本领域的技术人员在不脱离权利要求书确定的本发明的精神和范围的条件下,还可以对以上内容进行各种各样的修改。因此本发明的范围并不仅限于以上的说明,而是由权利要求书的范围来确定的。Various modifications can be made to the above contents by those skilled in the art without departing from the spirit and scope of the present invention defined by the claims. Therefore, the scope of the present invention is not limited to the above description, but is determined by the scope of the claims.
| Application Number | Priority Date | Filing Date | Title |
|---|---|---|---|
| CN2009100847799ACN101561280B (en) | 2009-05-19 | 2009-05-19 | Strap-down magnetic inertia combination system |
| Application Number | Priority Date | Filing Date | Title |
|---|---|---|---|
| CN2009100847799ACN101561280B (en) | 2009-05-19 | 2009-05-19 | Strap-down magnetic inertia combination system |
| Publication Number | Publication Date |
|---|---|
| CN101561280A CN101561280A (en) | 2009-10-21 |
| CN101561280Btrue CN101561280B (en) | 2011-04-13 |
| Application Number | Title | Priority Date | Filing Date |
|---|---|---|---|
| CN2009100847799AExpired - Fee RelatedCN101561280B (en) | 2009-05-19 | 2009-05-19 | Strap-down magnetic inertia combination system |
| Country | Link |
|---|---|
| CN (1) | CN101561280B (en) |
| Publication number | Priority date | Publication date | Assignee | Title |
|---|---|---|---|---|
| CN101900559B (en)* | 2009-11-06 | 2013-07-03 | 北京自动化控制设备研究所 | Biaxial rotation modulation method of strapdown inertial navigation system |
| CN102175242B (en)* | 2011-01-24 | 2012-08-29 | 中北大学 | Semi-strapdown structure suitable for high-rotating-speed flying-body attitude measurement |
| CN102322858B (en)* | 2011-08-22 | 2013-01-09 | 南京航空航天大学 | Geomagnetic matching navigation method for geomagnetic-strapdown inertial navigation integrated navigation system |
| CN103557863B (en)* | 2013-10-15 | 2016-05-04 | 哈尔滨工程大学 | The damping method of underwater hiding-machine |
| CN103940449B (en)* | 2014-04-22 | 2015-09-23 | 北京理工大学 | A kind of moving base Alignment Method |
| CN103925917B (en)* | 2014-05-05 | 2016-10-26 | 上海新跃仪表厂 | A kind of measurement system and method for carrier rocket attitude angular rate signal |
| CN104931046A (en)* | 2015-05-29 | 2015-09-23 | 苏州合欣美电子科技有限公司 | Miniature inertial measurement system |
| CN104931047A (en)* | 2015-05-29 | 2015-09-23 | 苏州合欣美电子科技有限公司 | Micro-inertial measurement system based on voltage-stabilizing circuit |
| CN106908050A (en)* | 2015-12-22 | 2017-06-30 | 上海亨通光电科技有限公司 | A kind of fibre optic gyroscope at exportable attitude orientation angle |
| CN106706959B (en)* | 2016-11-22 | 2019-02-05 | 三峡大学 | A single-axis MEMS accelerometer based on anisotropic magnetoresistance effect |
| CN106771354B (en)* | 2016-11-22 | 2019-02-05 | 三峡大学 | A single-axis MEMS accelerometer |
| CN106771360B (en)* | 2016-11-22 | 2019-04-09 | 三峡大学 | A single-axis MEMS accelerometer |
| CN107543545B (en)* | 2017-10-30 | 2019-07-19 | 中国人民解放军国防科技大学 | Polar region double-navigation inertial navigation system positioning information fusion method |
| CN111220031B (en)* | 2018-11-26 | 2021-03-02 | 北京理工大学 | Remote guidance aircraft with full range coverage |
| CN110017808B (en)* | 2019-03-26 | 2021-08-27 | 北京理工大学 | Method for resolving aircraft attitude by using geomagnetic information and accelerometer |
| CN112284382A (en)* | 2020-10-23 | 2021-01-29 | 哈尔滨工程大学 | Combined navigation information processing device, underwater navigation system |
| Publication number | Priority date | Publication date | Assignee | Title |
|---|---|---|---|---|
| CN1888386A (en)* | 2006-07-17 | 2007-01-03 | 北京航空航天大学 | Strapdown inertial combine measurement controller adapted to whole-optical fiber digital slope level |
| US7219033B2 (en)* | 2005-02-15 | 2007-05-15 | Magneto Inertial Sensing Technology, Inc. | Single/multiple axes six degrees of freedom (6 DOF) inertial motion capture system with initial orientation determination capability |
| Publication number | Priority date | Publication date | Assignee | Title |
|---|---|---|---|---|
| US7219033B2 (en)* | 2005-02-15 | 2007-05-15 | Magneto Inertial Sensing Technology, Inc. | Single/multiple axes six degrees of freedom (6 DOF) inertial motion capture system with initial orientation determination capability |
| CN1888386A (en)* | 2006-07-17 | 2007-01-03 | 北京航空航天大学 | Strapdown inertial combine measurement controller adapted to whole-optical fiber digital slope level |
| Title |
|---|
| 张萌,马铁华, 曹咏弘,祖静.旋转弹导航系统研究.《兵工学报》.2008,第29卷(第7期),793-797.* |
| Publication number | Publication date |
|---|---|
| CN101561280A (en) | 2009-10-21 |
| Publication | Publication Date | Title |
|---|---|---|
| CN101561280B (en) | Strap-down magnetic inertia combination system | |
| CN101561281B (en) | Working method of strap-down magnetic inertia combination system | |
| CN106052682B (en) | A kind of hybrid inertial navigation system and air navigation aid | |
| CN103868648B (en) | The centroid measurement method of three axle air supporting emulation experiment platforms | |
| CN106507770B (en) | A kind of method with gravity gradient satellite rail control is realized without towing technology | |
| CN102322860B (en) | Sensor tilting inertia measurement unit structure | |
| CN107883940A (en) | A kind of guided cartridge high dynamic attitude measurement method | |
| CN112556724A (en) | Initial coarse alignment method for low-cost navigation system of micro aircraft in dynamic environment | |
| CN104697521A (en) | Method for measuring posture and angle speed of high-speed rotating body by gyro redundant oblique configuration mode | |
| CN104698485A (en) | BD, GPS and MEMS based integrated navigation system and method | |
| CN103017764A (en) | Autonomous navigation and attitude measurement device for high speed train | |
| CN109459008A (en) | The small-sized middle high-precision optical fiber gyro north finding device of one kind and method | |
| CN112179340A (en) | Double-shaft rotation modulation method for redundancy configuration inertia measurement unit | |
| CN102087110A (en) | Miniature underwater moving vehicle autonomous attitude detecting device and method | |
| CN112611400A (en) | Single-shaft turntable-based inertial measurement unit on-site calibration method | |
| CN105674815A (en) | Attitude measuring device applied to high-speed rotating projectile body | |
| CN104266647A (en) | Rapid anti-disturbance north finding instrument based on transposition north finding technology and north finding method | |
| CN113701752A (en) | Full strapdown attitude measurement device and method for spinning projectile | |
| Parfiriev et al. | Model of inertial navigation system for unmanned aerial vehicle based on MEMS | |
| Fontanella et al. | Advanced low-cost integrated inertial systems with multiple consumer grade sensors | |
| CN105716626B (en) | A kind of stator rotation modulation error compensating method of suspension class gyroscope | |
| CN103869097A (en) | Method for measuring angular speeds of course angle and pitching angle of spinning projectile | |
| Xue et al. | MEMS-based multi-sensor integrated attitude estimation technology for MAV applications | |
| CN113932803B (en) | Inertial/geomagnetic/satellite integrated navigation system suitable for high-dynamic aircraft | |
| US3483746A (en) | Three-axis inertial reference sensor |
| Date | Code | Title | Description |
|---|---|---|---|
| C06 | Publication | ||
| PB01 | Publication | ||
| C10 | Entry into substantive examination | ||
| SE01 | Entry into force of request for substantive examination | ||
| C14 | Grant of patent or utility model | ||
| GR01 | Patent grant | ||
| C17 | Cessation of patent right | ||
| CF01 | Termination of patent right due to non-payment of annual fee | Granted publication date:20110413 Termination date:20130519 |