






(一)技术领域(1) Technical field
本发明涉及的是一种误差抑制方法,特别是涉及一种基于单轴旋转的光纤陀螺捷联惯性导航系统的误差抑制方法。The invention relates to an error suppression method, in particular to an error suppression method based on a fiber optic gyro strapdown inertial navigation system based on single-axis rotation.
(二)背景技术(2) Background technology
捷联惯性导航系统SINS是一种完全自主的导航系统,利用陀螺仪和加速度计测量载体相对惯性空间的线运动和角运动参数,在给定初始条件下,由计算机进行积分运算,连续、实时地提供位置、速度和姿态信息。由于SINS完全依靠自身的惯性元件,不依靠任何外界信息测量导航参数,因此,它具有隐蔽性好,Strapdown Inertial Navigation System SINS is a completely autonomous navigation system. It uses gyroscopes and accelerometers to measure the linear and angular motion parameters of the carrier relative to the inertial space. provide position, velocity and attitude information accurately. Since SINS completely relies on its own inertial components and does not rely on any external information to measure navigation parameters, it has good concealment and
不受气候条件限制,不受干扰等优点,是一种完全自主式、全天候的导航系统,已广泛应用于航空、航天、航海等领域。根据SINS的基本原理,SINS在导航过程中惯性器件常值偏差的存在是导致惯导系统导航精度难以提高的主要因素。如何有效限制惯性导航误差发散、提高惯性导航系统精度是惯性导航领域一项非常重要的课题。Not limited by weather conditions, free from interference and other advantages, it is a completely autonomous, all-weather navigation system, which has been widely used in aviation, aerospace, navigation and other fields. According to the basic principle of SINS, the existence of the constant value deviation of the inertial device in the navigation process of SINS is the main factor that makes it difficult to improve the navigation accuracy of the inertial navigation system. How to effectively limit the divergence of inertial navigation errors and improve the accuracy of inertial navigation systems is a very important topic in the field of inertial navigation.
为了提高捷联系统自身的精度,一方面可以提高惯性元件的精度,但是由于受加工技术水平的限制,无限制的提高元件的精度是很难实现的;另一方面就是采取捷联惯性导航系统的误差抑制技术,自动抵消惯性器件的误差对系统精度的影响。这样就可以应用现有精度的惯性元件构成较高精度的捷联惯性导航系统。In order to improve the accuracy of the strapdown system itself, on the one hand, the accuracy of the inertial components can be improved, but due to the limitation of the processing technology level, it is difficult to achieve unlimited improvement of the accuracy of the components; on the other hand, the strapdown inertial navigation system is adopted The advanced error suppression technology can automatically offset the influence of the error of the inertial device on the system accuracy. In this way, the existing high-precision inertial components can be used to form a higher-precision strapdown inertial navigation system.
惯导系统的误差抑制,不是依赖于外部辅助对误差状态进行估计,而是研究惯性导航误差在特定运动条件下的传播规律,并依据此规律限制误差发散,提高导航精度的方法。转动抑制是最典型的误差抑制方法:通过绕一个轴或多个轴转动惯性测量单元(IMU),对导航误差进行调制,达到控制导航误差发散、提高导航精度的目的。The error suppression of the inertial navigation system does not rely on external assistance to estimate the error state, but to study the propagation law of inertial navigation errors under specific motion conditions, and based on this law to limit the error divergence and improve navigation accuracy. Rotation suppression is the most typical error suppression method: by rotating the inertial measurement unit (IMU) around one or more axes, the navigation error is modulated to control the divergence of navigation errors and improve navigation accuracy.
单轴旋转仅能补偿两个敏感轴方向上惯性器件的常值偏差;双轴旋转虽然可以补偿三个敏感轴方向上惯性器件的常值偏差,但是旋转机构的复杂化导致了系统的可靠性及导航解算效率的降低。因此,如何设计合理的单轴旋转补偿方式提高光纤惯导系统的导航精度有重要的意义。Single-axis rotation can only compensate for the constant value deviation of inertial devices in the directions of two sensitive axes; although dual-axis rotation can compensate for the constant value deviation of inertial devices in the directions of three sensitive axes, the complexity of the rotating mechanism leads to the reliability of the system And the reduction of navigation solution efficiency. Therefore, how to design a reasonable single-axis rotation compensation method to improve the navigation accuracy of the fiber optic inertial navigation system is of great significance.
(三)发明内容(3) Contents of the invention
本发明的目的在于提供一种将惯性测量单元绕载体方位轴连续旋转,既保证了三个敏感轴方向上惯性器件的常值偏差得以调制,又避免了双轴旋转所需的复杂的旋转机构及导航解算算法的基于单轴旋转的光纤陀螺捷联惯性导航系统误差抑制方法。The purpose of the present invention is to provide a continuous rotation of the inertial measurement unit around the azimuth axis of the carrier, which not only ensures that the constant value deviation of the inertial device in the direction of the three sensitive axes can be modulated, but also avoids the complicated rotation mechanism required for dual-axis rotation An error suppression method for fiber optic gyroscope strapdown inertial navigation system based on single-axis rotation and navigation solution algorithm.
本发明的技术解决方案为:一种捷联惯导系统的单轴旋转调制方法,其特征在于将惯性测量单元绕不与自身重合的载体方位轴连续转动,利用惯性测量单元连续转动过程中IMU坐标系与载体坐标系的相对位置关系,即可确定惯性器件常值偏差的抑制形式,其具体步骤如下:The technical solution of the present invention is: a single-axis rotation modulation method of a strapdown inertial navigation system, which is characterized in that the inertial measurement unit is continuously rotated around the carrier azimuth axis that does not coincide with itself, and the IMU is used during the continuous rotation of the inertial measurement unit. The relative position relationship between the coordinate system and the carrier coordinate system can determine the suppression form of the constant value deviation of the inertial device. The specific steps are as follows:
(1)利用全球定位系统GPS确定载体的初始位置参数,将它们装订至导航计算机中;(1) Utilize the global positioning system GPS to determine the initial position parameters of the carrier, and bind them into the navigation computer;
(2)光纤陀螺捷联惯性导航系统进行预热后采集光纤陀螺仪和石英加速度计输出的数据。其中,三个陀螺的常值漂移相等、三个加速度计零位偏差相等。根据加速度计的输出与重力加速度的关系以及陀螺仪输出与地球自转角速率的关系初步确定此时载体的姿态信息(纵摇角θ、横摇角γ和航向角ψ)完成系统的初始对准,建立惯导系统的初始捷联矩阵Tbn:(2) The fiber optic gyroscope strapdown inertial navigation system collects the output data of the fiber optic gyroscope and quartz accelerometer after warming up. Among them, the constant value drift of the three gyroscopes is equal, and the zero position deviation of the three accelerometers is equal. According to the relationship between the output of the accelerometer and the acceleration of gravity and the relationship between the output of the gyroscope and the angular rate of the earth's rotation, the attitude information of the carrier at this time (pitch angle θ, roll angle γ and heading angle ψ) is initially determined to complete the initial alignment of the system , to establish the initial strapdown matrix Tbn of the inertial navigation system:
(3)惯性测量单元绕载体坐标系oyb轴正向旋转45度(如附图2),确定IMU坐标系与载体坐标系之间的初始相对位置:(3) The inertial measurement unit is rotated 45 degrees positively around the oyb axis of the carrier coordinate system (as shown in Figure 2), and the initial relative position between the IMU coordinate system and the carrier coordinate system is determined:
载体坐标系与IMU坐标系具有同一坐标原点o,oys轴与oyb轴相重合,oxs轴、ozs轴、oxb轴和ozb轴位于同一平面内,但ozs轴与ozb轴的夹角为45°,ozs轴与oxb轴的夹角为90°-45°=45°。The carrier coordinate system and the IMU coordinate system have the same coordinate origin o, the oys axis coincides with the oyb axis, and the oxs axis, ozs axis, oxb axis and ozb axis are located in the same plane, but the ozs axis and ozb The angle between the axes is 45°, and the angle between the ozs axis and the oxb axis is 90°-45°=45°.
(4)确定两坐标系相对初始位置关系后,惯性测量单元绕载体坐标系方位轴ozb正向以角速度ω=6°/s连续转动(如附图3):(4) After determining the relative initial position relationship of the two coordinate systems, the inertial measurement unit rotates continuously at an angular velocity ω=6°/s around the azimuth axis ozb of the carrier coordinate system (as shown in Figure 3):
IMU转动过程中,IMU坐标系到载体坐标系的转换矩阵为:During the rotation of the IMU, the transformation matrix from the IMU coordinate system to the carrier coordinate system is:
(5)将惯性测量单元旋转后光纤陀螺仪和石英加速度计生成的数据转换到载体坐标系下,得到惯性器件常值偏差的调制形式:(5) After the IMU rotates, the data generated by the fiber optic gyroscope and the quartz accelerometer are converted to the carrier coordinate system, and the modulation form of the constant value deviation of the inertial device is obtained:
光纤陀螺仪和加速度计的输出值分别为ωiss和fiss:The output values of the fiber optic gyroscope and accelerometer are ωiss and fiss respectively:
其中,
光纤陀螺仪和加速度计的输出从IMU坐标系到载体坐标系的变换可以表示为:The transformation of the output of the fiber optic gyroscope and accelerometer from the IMU coordinate system to the carrier coordinate system can be expressed as:
惯性测量单元绕载体坐标系oyb轴正向旋转45度,此时可以得到εzcos45°=εxcos(90°-45°)、载体坐标系ozb轴方向上不受陀螺常值漂移和加速度计零位偏差的影响,此时载体相对惯性空间的运动角速度及载体相对惯性空间的线运动加速度在载体坐标系的投影分别如下:The inertial measurement unit rotates 45 degrees positively around the oyb axis of the carrier coordinate system. At this time, εz cos45°=εx cos(90°-45°), The direction of the ozb- axis of the carrier coordinate system is not affected by the constant value drift of the gyroscope and the zero position deviation of the accelerometer. At this time, the projections of the angular velocity of the carrier relative to the inertial space and the linear motion acceleration of the carrier relative to the inertial space on the carrier coordinate system are as follows:
其中,ωibbx、ωibby、ωibbz分别为载体相对惯性空间的运动角速度在载体坐标系的oxb轴、oyb轴、ozb轴上的分量;fibbx、fibby、fibbz分别为载体相对惯性空间的线加速度在载体坐标系的oxb轴、oyb轴、ozb轴上的分量。Among them, ωibbx , ωibby , and ωibbz are the components of the angular velocity of the carrier relative to the inertial space on the oxb axis, oyb axis, and ozb axis of the carrier coordinate system; fibbx , fibby , fibbz are the components of the linear acceleration of the carrier relative to the inertial space on the oxb axis, oyb axis, and ozb axis of the carrier coordinate system.
至此,载体坐标系中方位轴上惯性器件的常值偏差得到抵消;水平方向上惯性器件的常值偏差被调制成周期变化的量,经过惯导系统中积分环节,该常值偏差对系统的作用为零。So far, the constant value deviation of the inertial device on the azimuth axis in the carrier coordinate system is offset; the constant value deviation of the inertial device in the horizontal direction is modulated into a periodical variable amount, and after the integration link in the inertial navigation system, the constant value deviation has a great influence on the system Effect is zero.
(6)将步骤(5)获得的载体系下光纤陀螺的输出值ωibb带入惯导系统中采用四元数法对捷联矩阵Tbn进行更新:(6) Bring the output value ωibb of the fiber optic gyroscope under the carrier system obtained in step (5) into the inertial navigation system and use the quaternion method to update the strapdown matrix Tbn :
其中:ωien为地球自转角速度在导航系下的分量;ωenn为导航坐标系相对地球坐标系的运动角速度在导航系下的分量;ωnbb为载体相对导航坐标系的运动角速度在载体坐标系上的分量。Among them: ωien is the component of the angular velocity of the earth's rotation in the navigation system; ωenn is the component of the angular velocity of the navigation coordinate system relative to the earth coordinate system in the navigation system; ωnbb is the angular velocity of the carrier relative to the navigation coordinate system in Components in the vector coordinate system.
更新四元数和姿态矩阵:Update the quaternion and pose matrix:
设载体坐标系相对导航坐标系的转动四元数为:Let the rotation quaternion of the carrier coordinate system relative to the navigation coordinate system be:
Q=q0+q1ib+q2jb+q3kbQ=q0 +q1 ib +q2 jb +q3 kb
其中:ib、jb、kb分别表示载体坐标系oxb轴、oyb轴、ozb轴上的单位方向向量。Where: ib , jb , and kb represent unit direction vectors on the oxb axis, oyb axis, and ozb axis of the carrier coordinate system, respectively.
四元数的即时修正可以通过解四元数微分方程
其中:ωnbbx、ωnbby、ωnbbz分别表示载体相对导航系的运动角速度在载体坐标系oxb轴、oyb轴、ozb轴上的分量。Among them: ωnbbx , ωnbby , and ωnbbz represent the components of the angular velocity of the carrier relative to the navigation system on the oxb axis, oyb axis, and ozb axis of the carrier coordinate system, respectively.
姿态矩阵Tbn的更新过程为:The update process of attitude matrix Tbn is:
(7)利用石英加速度计的输出值fibb和步骤(6)计算的姿态矩阵Tbn,计算出经过IMU旋转调制后载体的速度和位置。(7) Using the output value fibb of the quartz accelerometer and the attitude matrix Tbn calculated in step (6), calculate the velocity and position of the carrier after the IMU rotation modulation.
1)计算导航系下加速度:1) Calculate the acceleration under the navigation system:
2)计算载体的水平速度和位置:2) Calculate the horizontal velocity and position of the carrier:
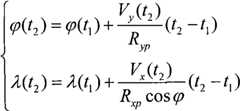
根据t1时刻的载体东向水平速度Vx(t1)和北向水平速度Vy(t1),求取t1时刻载体水平速度的变化率为:According to the carrier’s eastward horizontal velocity Vx (t1 ) and northward horizontal velocity Vy (t1 ) at time t1 , the rate of change of carrier’s horizontal velocity at time t1 is calculated as:
在t2时刻水平速度和载体位置分别为:The horizontal velocity and carrier position at timet2 are respectively:
3)计算载体速度误差和位置误差:3) Calculate carrier velocity error and position error:
其中:Vx0、Vy0分别表示初始时刻载体的东向和北向速度;ΔVx、ΔVy分别表示载体东向、北向速度的变化量;λ0分别表示初始时刻载体所处位置的经度和纬度;Δλ分别表示载体的纬度、经度的变化量;Rxp、Ryp分别表示地球子午圈、卯酉圈的曲率半径;t1、t2为惯导系统的解算过程中两个相邻的时间点。Among them: Vx0 and Vy0 represent the eastward and northward velocity of the carrier at the initial moment respectively; ΔVx and ΔVy represent the variation of the carrier’s eastward and northward velocity respectively; λ0 represents the longitude and latitude of the carrier's position at the initial moment, respectively; Δλ respectively represent the change of the latitude and longitude of the carrier; Rxp and Ryp represent the curvature radius of the earth's meridian circle and Maoyou circle respectively; t1 and t2 are two adjacent times in the solution process of the inertial navigation system point.
本发明与现有技术相比的优点在于:本发明打破了传统单轴旋转不能补偿三个方向上惯性器件常值偏差及双轴旋转所需的复杂旋转机构和导航解算算法的约束,提出一种旋转轴与陀螺敏感轴成一定角度的捷联惯导系统误差旋转调制方案,该方法可以将三轴方向上的惯性器件常值偏差进行调制,有效地提高导航定位精度。Compared with the prior art, the present invention has the advantages that: the present invention breaks the constraint that traditional single-axis rotation cannot compensate the constant value deviation of inertial devices in three directions and the complex rotation mechanism and navigation solution algorithm required by dual-axis rotation, and proposes A strapdown inertial navigation system error rotation modulation scheme in which the rotation axis and the gyro sensitive axis form a certain angle, the method can modulate the constant value deviation of the inertial device in the three-axis direction, and effectively improve the navigation positioning accuracy.
对本发明有益的效果说明如下:The beneficial effects of the present invention are described as follows:
在Matlab仿真条件下,对该方法进行仿真实验:Under the condition of Matlab simulation, the simulation experiment of this method is carried out:
载体作三轴摇摆运动。载体以正弦规律绕纵摇轴、横摇轴和航向轴摇摆,其数学模型为:The carrier makes a three-axis rocking motion. The carrier swings around the pitch axis, roll axis and yaw axis in a sinusoidal law, and its mathematical model is:
其中:θ、γ、ψ分别表示纵摇角、横摇角和航向角的摇摆角度变量;θm、γm、ψm分别表示相应的摇摆角度幅值;ωθ、ωγ、ωψ分别表示相应的摇摆角频率;φθ、φγ、φψ分别表示相应的初始相位;ωi=2π/Ti,i=θ、γ、ψ,Ti表示相应的摇摆周期,k为初始航向角。仿真时取:θm=12°,γm=15°,ψm=10°,Tθ=8s,Tγ=10s,Tψ=6s,k=0。Among them: θ, γ, ψ represent the roll angle variables of pitch angle, roll angle and heading angle respectively;θm ,γm ,ψm represent the corresponding swing angle amplitudes; Indicates the corresponding swing angle frequency; φθ , φγ , φψ respectively represent the corresponding initial phase; ωi = 2π/Ti , i = θ, γ, ψ, Ti represents the corresponding swing period, and k is the initial heading horn. During simulation, take: θm =12°, γm =15°, ψm =10°, Tθ =8s, Tγ =10s, Tψ =6s, k=0.
载体初始位置:北纬45.7796°,东经126.6705°;The initial position of the carrier: 45.7796° north latitude, 126.6705° east longitude;
初始姿态误差角:三个初始姿态误差角均为零;Initial attitude error angle: the three initial attitude error angles are all zero;
赤道半径:Re=6378393.0m;Equatorial radius: Re = 6378393.0m;
椭球度:e=3.367e-3;Ellipsoid: e=3.367e-3;
由万有引力可得的地球表面重力加速度:g0=9.78049;The gravitational acceleration on the earth's surface obtained from the universal gravitation: g0 =9.78049;
地球自转角速度(弧度/秒):7.2921158e-5;Earth rotation angular velocity (rad/s): 7.2921158e-5;
陀螺仪常值漂移:0.01度/小时;Gyroscope constant value drift: 0.01 degrees/hour;
加速度计零偏:10-4g0;Accelerometer zero bias: 10-4 g0 ;
常数:π=3.1415926;Constant: π=3.1415926;
利用发明所述方法得到载体姿态角误差曲线、速度误差曲线和位置误差曲线分别如图4、图5、图6所示。结果表明有摇摆干扰条件下,采用本发明方法可以获得较高的定位精度。Using the method described in the invention to obtain carrier attitude angle error curves, velocity error curves and position error curves are shown in Fig. 4, Fig. 5 and Fig. 6 respectively. The results show that under the condition of sway interference, the method of the invention can obtain higher positioning accuracy.
(四)附图说明(4) Description of drawings
图1为本发明的基于IMU单轴旋转的捷联惯性导航系统误差抑制方法流程图;Fig. 1 is the flow chart of the error suppression method of the strapdown inertial navigation system based on IMU uniaxial rotation of the present invention;
图2为初始时刻IMU坐标系与载体坐标系的初始相对位置关系;Figure 2 shows the initial relative positional relationship between the IMU coordinate system and the carrier coordinate system at the initial moment;
图3为IMU转动过程中,IMU坐标系与载体坐标系的相对位置关系;Figure 3 shows the relative positional relationship between the IMU coordinate system and the carrier coordinate system during the rotation of the IMU;
图4为载体摇摆条件下,基于IMU静止时的载体姿态角误差实验曲线;Figure 4 is the experimental curve of the carrier attitude angle error based on the static IMU under the carrier swing condition;
图5为载体摇摆条件下,基于IMU静止时的载体速度误差实验曲线;Figure 5 is the experimental curve of the carrier speed error based on the static IMU under the carrier swing condition;
图6为载体摇摆条件下,基于IMU静止时的载体位置误差实验曲线。Fig. 6 is the experimental curve of the carrier position error based on the static state of the IMU under the carrier swing condition.
图7为载体摇摆条件下,本发明的基于IMU单轴连续旋转的载体姿态角误差实验曲线;Fig. 7 is the experimental curve of the attitude angle error of the carrier based on the single-axis continuous rotation of the IMU under the condition of the carrier swing;
图8为载体摇摆条件下,本发明的基于IMU单轴连续旋转的载体速度误差实验曲线;Fig. 8 is the experimental curve of the carrier speed error based on the IMU single-axis continuous rotation of the present invention under the carrier swing condition;
图9为载体摇摆条件下,本发明的基于IMU单轴连续旋转的载体位置误差实验曲线。FIG. 9 is an experimental curve of the position error of the carrier based on the single-axis continuous rotation of the IMU under the condition of the carrier swinging.
(五)具体实施方式(5) Specific implementation methods
下面结合附图对本发明的具体实施方式进行详细地描述:The specific embodiment of the present invention is described in detail below in conjunction with accompanying drawing:
(1)利用全球定位系统GPS确定载体的初始位置参数(包括经度、纬度),将它们装订至导航计算机中。(1) Use the global positioning system (GPS) to determine the initial position parameters (including longitude and latitude) of the carrier, and bind them to the navigation computer.
(2)光纤陀螺捷联惯性导航系统进行预热后采集光纤陀螺仪和石英加速度计输出的数据。其中,三个陀螺的常值漂移相等、三个加速度计零位偏差相等。根据加速度计的输出与重力加速度的关系以及陀螺仪输出与地球自转角速率的关系初步确定此时载体的姿态信息(纵摇角θ、横摇角γ和航向角ψ)完成系统的初始对准,建立惯导系统的初始捷联矩阵Tbn:(2) The fiber optic gyroscope strapdown inertial navigation system collects the output data of the fiber optic gyroscope and quartz accelerometer after warming up. Among them, the constant value drift of the three gyroscopes is equal, and the zero position deviation of the three accelerometers is equal. According to the relationship between the output of the accelerometer and the acceleration of gravity and the relationship between the output of the gyroscope and the angular rate of the earth's rotation, the attitude information of the carrier at this time (pitch angle θ, roll angle γ and heading angle ψ) is initially determined to complete the initial alignment of the system , to establish the initial strapdown matrix Tbn of the inertial navigation system:
(3)惯性测量单元绕载体坐标系oyb轴正向旋转45度(如附图2),确定IMU坐标系与载体坐标系之间的初始相对位置:(3) The inertial measurement unit is rotated 45 degrees positively around the oyb axis of the carrier coordinate system (as shown in Figure 2), and the initial relative position between the IMU coordinate system and the carrier coordinate system is determined:
载体坐标系与IMU坐标系具有同一坐标原点o,oys轴与oyb轴相重合,oxs轴、ozs轴、oxb轴和ozb轴位于同一平面内,但ozs轴与ozb轴的夹角为45°,ozs轴与oxb轴的夹角为90°-45°=45°。The carrier coordinate system and the IMU coordinate system have the same coordinate origin o, the oys axis coincides with the oyb axis, and the oxs axis, ozs axis, oxb axis and ozb axis are located in the same plane, but the ozs axis and ozb The angle between the axes is 45°, and the angle between the ozs axis and the oxb axis is 90°-45°=45°.
(4)确定两坐标系相对初始位置关系后,惯性测量单元绕载体坐标系方位轴ozb正向以角速度ω=6°/s连续转动(如附图3):(4) After determining the relative initial position relationship of the two coordinate systems, the inertial measurement unit rotates continuously at an angular velocity ω=6°/s around the azimuth axis ozb of the carrier coordinate system (as shown in Figure 3):
IMU转动过程中,IMU坐标系到载体坐标系的转换矩阵为:During the rotation of the IMU, the transformation matrix from the IMU coordinate system to the carrier coordinate system is:
(5)将惯性测量单元旋转后光纤陀螺仪和石英加速度计生成的数据转换到载体坐标系下,得到惯性器件常值偏差的调制形式:(5) After the inertial measurement unit rotates, the data generated by the fiber optic gyroscope and the quartz accelerometer are converted to the carrier coordinate system, and the modulation form of the constant value deviation of the inertial device is obtained:
光纤陀螺仪和加速度计的输出值分别为ωiss和fiss:The output values of the fiber optic gyroscope and accelerometer are ωiss and fiss respectively:
其中,
光纤陀螺仪和加速度计的输出从IMU坐标系到载体坐标系的变换可以表示为:The transformation of the output of the fiber optic gyroscope and accelerometer from the IMU coordinate system to the carrier coordinate system can be expressed as:
惯性测量单元绕载体坐标系oyb轴正向旋转45度,三个陀螺的常值漂移相等,三个加速度计零位偏差相等,此时可以得到εzcos 45°=εxcos(90°-45°)、载体坐标系ozb轴方向上不受陀螺常值漂移和加速The inertial measurement unit rotates 45 degrees positively around the oyb axis of the carrier coordinate system, the constant drift of the three gyroscopes is equal, and the zero position deviation of the three accelerometers is equal. At this time, εz cos 45° = εx cos(90° -45°), The carrier coordinate system is not subject to gyro constant drift and acceleration in the direction of the ozb axis
度计零位偏差的影响,此时载体相对惯性空间的运动角速度及载体相对惯性空间The impact of the zero position deviation of the metric, at this time the angular velocity of the carrier relative to the inertial space and the relative inertial space of the carrier
的线运动加速度在载体坐标系的投影分别如下:The projections of the linear motion acceleration on the carrier coordinate system are as follows:
其中,ωibbx、ωibby、ωibbz分别为载体相对惯性空间的运动角速度在载体坐标系的oxb轴、oyb轴、ozb轴上的分量;fibbx、fibby、fibbz分别为载体相对惯性空间的线加速度在载体坐标系的oxb轴、oyb轴、ozb轴上的分量。Among them, ωibbx , ωibby , and ωibbz are the components of the angular velocity of the carrier relative to the inertial space on the oxb axis, oyb axis, and ozb axis of the carrier coordinate system; fibbx , fibby , fibbz are the components of the linear acceleration of the carrier relative to the inertial space on the oxb axis, oyb axis, and ozb axis of the carrier coordinate system.
至此,载体坐标系中方位轴上惯性器件的常值偏差得到抵消;水平方向上惯性器件的常值偏差被调制成周期变化的量,经过惯导系统中积分环节,该常值偏差对系统的作用为零。So far, the constant value deviation of the inertial device on the azimuth axis in the carrier coordinate system is offset; the constant value deviation of the inertial device in the horizontal direction is modulated into a periodical variable amount, and after the integration link in the inertial navigation system, the constant value deviation has a great influence on the system Effect is zero.
(6)将步骤(5)获得的载体系下光纤陀螺的输出值ωibb带入惯导系统中采用四元数法对捷联矩阵Tbn进行更新:(6) Bring the output value ωibb of the fiber optic gyroscope under the carrier system obtained in step (5) into the inertial navigation system and use the quaternion method to update the strapdown matrix Tbn :
其中:ωien为地球自转角速度在导航系下的分量;ωenn为导航坐标系相对地球坐标系的运动角速度在导航系下的分量;ωnbb为载体相对导航坐标系的运动角速度在载体坐标系上的分量。Among them: ωien is the component of the angular velocity of the earth's rotation in the navigation system; ωenn is the component of the angular velocity of the navigation coordinate system relative to the earth coordinate system in the navigation system; ωnbb is the angular velocity of the carrier relative to the navigation coordinate system in Components in the vector coordinate system.
更新四元数和姿态矩阵:Update the quaternion and pose matrix:
设载体坐标系相对导航坐标系的转动四元数为:Let the rotation quaternion of the carrier coordinate system relative to the navigation coordinate system be:
Q=q0+q1ib+q2jb+q3kb (7)Q=q0 +q1 ib +q2 jb +q3 kb (7)
其中:ib、jb、kb分别表示载体坐标系oxb轴、oyb轴、ozb轴上的单位方向向量。Where: ib , jb , and kb represent unit direction vectors on the oxb axis, oyb axis, and ozb axis of the carrier coordinate system, respectively.
四元数的即时修正可以通过解四元数微分方程
其中:ωnbbx、ωnbby、ωnbbz分别表示载体相对导航系的运动角速度在载体坐标系oxb轴、oyb轴、ozb轴上的分量。Among them: ωnbbx , ωnbby , and ωnbbz represent the components of the angular velocity of the carrier relative to the navigation system on the oxb axis, oyb axis, and ozb axis of the carrier coordinate system, respectively.
姿态矩阵Tbn的更新过程如下:The update process of attitude matrix Tbn is as follows:
(7)利用石英加速度计的输出值fibb和步骤(6)计算的姿态矩阵Tbn,计算出经过IMU旋转调制后载体的速度和位置。(7) Using the output value fibb of the quartz accelerometer and the attitude matrix Tbn calculated in step (6), calculate the velocity and position of the carrier after the IMU rotation modulation.
1)计算导航系下加速度:1) Calculate the acceleration under the navigation system:
2)计算载体的水平速度和位置:2) Calculate the horizontal velocity and position of the carrier:
根据t1时刻的载体东向水平速度Vx(t1)和北向水平速度Vy(t1),求取t1时刻载体水平速度的变化率为:According to the carrier’s eastward horizontal velocity Vx (t1 ) and northward horizontal velocity Vy (t1 ) at time t1 , the rate of change of carrier’s horizontal velocity at time t1 is calculated as:
在t2时刻水平速度和载体位置分别为:The horizontal velocity and carrier position at timet2 are respectively:
3)计算载体速度误差和位置误差:3) Calculate carrier velocity error and position error:
其中:Vx0、Vy0分别表示初始时刻载体的东向和北向速度;ΔVx、ΔVy分别表示载体东向、北向速度的变化量;λ0分别表示初始时刻载体所处位置的经度和纬度;Δλ分别表示载体的纬度、经度的变化量;Rxp、Ryp分别表示地球子午圈、卯酉圈的曲率半径;t1、t2为惯导系统的解算过程中两个相邻的时间点。Among them: Vx0 and Vy0 represent the eastward and northward velocity of the carrier at the initial moment respectively; ΔVx and ΔVy represent the variation of the carrier’s eastward and northward velocity respectively; λ0 represents the longitude and latitude of the carrier's position at the initial moment, respectively; Δλ respectively represent the change of the latitude and longitude of the carrier; Rxp and Ryp represent the curvature radius of the earth's meridian circle and Maoyou circle respectively; t1 and t2 are two adjacent times in the solution process of the inertial navigation system point.
| Application Number | Priority Date | Filing Date | Title |
|---|---|---|---|
| CN2009100717333ACN101514899B (en) | 2009-04-08 | 2009-04-08 | Error Suppression Method of Fiber Optic Gyro Strapdown Inertial Navigation System Based on Single-axis Rotation |
| Application Number | Priority Date | Filing Date | Title |
|---|---|---|---|
| CN2009100717333ACN101514899B (en) | 2009-04-08 | 2009-04-08 | Error Suppression Method of Fiber Optic Gyro Strapdown Inertial Navigation System Based on Single-axis Rotation |
| Publication Number | Publication Date |
|---|---|
| CN101514899A CN101514899A (en) | 2009-08-26 |
| CN101514899Btrue CN101514899B (en) | 2010-12-01 |
| Application Number | Title | Priority Date | Filing Date |
|---|---|---|---|
| CN2009100717333AExpired - Fee RelatedCN101514899B (en) | 2009-04-08 | 2009-04-08 | Error Suppression Method of Fiber Optic Gyro Strapdown Inertial Navigation System Based on Single-axis Rotation |
| Country | Link |
|---|---|
| CN (1) | CN101514899B (en) |
| Publication number | Priority date | Publication date | Assignee | Title |
|---|---|---|---|---|
| CN101706287B (en)* | 2009-11-20 | 2012-01-04 | 哈尔滨工程大学 | Rotating strapdown system on-site proving method based on digital high-passing filtering |
| CN102003968B (en)* | 2010-09-03 | 2012-03-14 | 哈尔滨工程大学 | Single-axle table calibration method for fiber optic gyro strapdown inertial navigation system |
| CN102052921B (en)* | 2010-11-19 | 2012-08-22 | 哈尔滨工程大学 | Method for determining initial heading of single-axis rotating strapdown inertial navigation system |
| CN102564459B (en)* | 2012-01-17 | 2015-03-11 | 北京理工大学 | Method for calibrating single-shaft-rotation modulation strapdown inertial navigation system at sea |
| CN102788597B (en)* | 2012-08-16 | 2014-10-29 | 辽宁工程技术大学 | Error suppressing method of rotary strap-down inertial navigation system based on space stabilization |
| CN102788598B (en)* | 2012-08-16 | 2014-12-03 | 辽宁工程技术大学 | Error suppressing method of fiber strap-down inertial navigation system based on three-axis rotation |
| US9714955B2 (en)* | 2012-11-02 | 2017-07-25 | Qualcomm Incorporated | Method for aligning a mobile device surface with the coordinate system of a sensor |
| CN103090866B (en)* | 2012-11-02 | 2015-05-27 | 哈尔滨工程大学 | Method for restraining speed errors of single-shaft rotation optical fiber gyro strapdown inertial navigation system |
| CN102997919B (en)* | 2012-11-22 | 2015-07-15 | 北京理工大学 | Method for improving error inhibition effect of rotary type strapdown inertial navigation by insulation of carrier movement |
| CN103090865B (en)* | 2013-01-06 | 2015-08-12 | 哈尔滨工程大学 | A kind of modulation type strapdown inertial navigation system attitude error suppressing method |
| CN104121926B (en)* | 2013-04-26 | 2017-06-16 | 北京自动化控制设备研究所 | The rotating shaft of dual-axis rotation inertial navigation system and the Calibration Method of sensitive between centers fix error angle |
| CN103292809B (en)* | 2013-05-14 | 2016-03-09 | 哈尔滨工程大学 | A kind of single shaft rotary inertial navigation system and special error method of self compensation thereof |
| CN103900566B (en)* | 2014-03-06 | 2016-09-14 | 哈尔滨工程大学 | A kind of eliminate the method that rotation modulation type SINS precision is affected by rotational-angular velocity of the earth |
| CN103940445B (en)* | 2014-04-10 | 2016-08-17 | 哈尔滨工程大学 | A kind of single-shaft-rotation inertial navigation system inertial device error compensation method |
| CN104121928B (en)* | 2014-05-29 | 2016-09-28 | 湖北航天技术研究院总体设计所 | A kind of it be applicable to low precision and have the Inertial Measurement Unit scaling method of azimuth reference single shaft indexing apparatus |
| CN104503473B (en)* | 2014-11-18 | 2017-01-18 | 北京空间机电研究所 | Inertial stabilization controller |
| CN104697521B (en)* | 2015-03-13 | 2019-01-11 | 哈尔滨工程大学 | A method of high-speed rotary body posture and angular speed are measured using gyro redundancy oblique configuration mode |
| CN104748692B (en)* | 2015-03-24 | 2017-08-25 | 上海大学 | Three rollers integrally load the photoelastic stream testing machine of needle roller |
| CN104990550B (en)* | 2015-07-29 | 2017-11-14 | 北京航空航天大学 | A kind of three cell cube rotation modulation formula remaining strapdown inertial navigation systems |
| CN105116430B (en)* | 2015-08-21 | 2017-06-27 | 北京航天万达高科技有限公司 | The sea pool state based on Kalman filtering for the pseudo- course of communication in moving searches star method |
| CN105588562B (en)* | 2015-12-16 | 2018-12-04 | 北京理工大学 | The method of carrier angular movement is isolated in a kind of rotation modulation inertial navigation system |
| CN105628025B (en)* | 2015-12-31 | 2018-06-29 | 中国人民解放军国防科学技术大学 | A kind of constant speed offset frequency/machine laser gyroscope shaking inertial navigation system air navigation aid |
| CN108051866B (en)* | 2017-10-30 | 2019-04-26 | 中国船舶重工集团公司第七0七研究所 | Based on strap down inertial navigation/GPS combination subsidiary level angular movement isolation Gravimetric Method |
| CN108168516B (en)* | 2017-12-13 | 2020-07-03 | 陕西宝成航空仪表有限责任公司 | Method for measuring inclined included angle between to-be-measured table top and reference horizontal plane based on fiber-optic gyroscope |
| FR3097316B1 (en)* | 2019-06-14 | 2022-01-28 | Safran Electronics & Defense | Method for monitoring the performance of inertial measurement units |
| CN110187400B (en)* | 2019-07-12 | 2020-11-10 | 中国人民解放军国防科技大学 | Course tracking-based sea-air gravity disturbance horizontal component measurement error modulation method |
| CN110319809B (en)* | 2019-07-16 | 2021-05-14 | 江西省水利厅工程建设稽察事务中心 | Line monitoring device and monitoring method for dam interior and exterior |
| CN118443012B (en)* | 2024-07-08 | 2024-09-24 | 中国船舶集团有限公司第七〇七研究所 | Four-axis rotation inertial navigation system and stabilizing and rotation modulation method thereof |
| Publication number | Priority date | Publication date | Assignee | Title |
|---|---|---|---|---|
| CN101029833A (en)* | 2007-03-12 | 2007-09-05 | 北京航空航天大学 | Method for calibrating connected MEMS gyro dynamic error |
| CN101183004A (en)* | 2007-12-03 | 2008-05-21 | 哈尔滨工程大学 | A Method for Eliminating Oscillation Errors of Fiber Optic Gyro Strapdown Inertial Navigation System Online and Real Time |
| CN101261130A (en)* | 2008-04-15 | 2008-09-10 | 哈尔滨工程大学 | A method for evaluating transfer alignment accuracy of marine optical fiber strapdown inertial navigation system |
| Publication number | Priority date | Publication date | Assignee | Title |
|---|---|---|---|---|
| CN101029833A (en)* | 2007-03-12 | 2007-09-05 | 北京航空航天大学 | Method for calibrating connected MEMS gyro dynamic error |
| CN101183004A (en)* | 2007-12-03 | 2008-05-21 | 哈尔滨工程大学 | A Method for Eliminating Oscillation Errors of Fiber Optic Gyro Strapdown Inertial Navigation System Online and Real Time |
| CN101261130A (en)* | 2008-04-15 | 2008-09-10 | 哈尔滨工程大学 | A method for evaluating transfer alignment accuracy of marine optical fiber strapdown inertial navigation system |
| Publication number | Publication date |
|---|---|
| CN101514899A (en) | 2009-08-26 |
| Publication | Publication Date | Title |
|---|---|---|
| CN101514899B (en) | Error Suppression Method of Fiber Optic Gyro Strapdown Inertial Navigation System Based on Single-axis Rotation | |
| CN103245360B (en) | Carrier-borne aircraft rotation type strapdown inertial navigation system Alignment Method under swaying base | |
| CN101893445B (en) | Fast Initial Alignment Method for Low Precision Strapdown Inertial Navigation System in Swing State | |
| CN103090867B (en) | Error restraining method for fiber-optic gyroscope strapdown inertial navigation system rotating relative to geocentric inertial system | |
| CN103471616B (en) | Initial Alignment Method under a kind of moving base SINS Large azimuth angle condition | |
| CN101706287B (en) | Rotating strapdown system on-site proving method based on digital high-passing filtering | |
| CN101514900B (en) | A single-axis rotation strapdown inertial navigation system initial alignment method | |
| CN101718560B (en) | Strapdown system error inhibition method based on uniaxial four-position rotation and stop scheme | |
| CN102829781B (en) | Implementation method of rotation type strapdown optical-fiber compass | |
| CN101713666B (en) | Single-shaft rotation-stop scheme-based mooring and drift estimating method | |
| CN100541132C (en) | Mooring fine alignment method for marine fiber optic gyro strapdown attitude system under large misalignment angle | |
| CN101629826A (en) | Coarse alignment method for fiber optic gyro strapdown inertial navigation system based on single axis rotation | |
| CN103743413B (en) | Heeling condition modulated is sought northern instrument alignment error On-line Estimation and is sought northern error compensating method | |
| CN108871326B (en) | A kind of single-shaft-rotation modulation inertia-astronomy deep integrated navigation method | |
| CN102798399A (en) | SINS error inhibiting method based on biaxial rotation scheme | |
| CN102679978B (en) | Initial alignment method of static base of rotary type strap-down inertial navigation system | |
| CN102788598B (en) | Error suppressing method of fiber strap-down inertial navigation system based on three-axis rotation | |
| CN102749079A (en) | Optical fiber strapdown inertial navigation double-shaft rotation modulation method and double-shaft rotation mechanism | |
| CN103148854A (en) | Attitude measurement method of micro-electro mechanical system (MEMS) inertial navigation system based on single-shaft forward revolution and reverse revolution | |
| CN103256943A (en) | Compensation method for scale factor error in single-axial rotating strapdown inertial navigation system | |
| CN101963513A (en) | Alignment method for eliminating lever arm effect error of strapdown inertial navigation system (SINS) of underwater carrier | |
| CN101915579A (en) | A New Initial Alignment Method for Large Misalignment Angles of SINS Based on CKF | |
| CN108195400A (en) | The moving alignment method of strapdown micro electro mechanical inertia navigation system | |
| CN103148868B (en) | Based on the combination alignment methods that Doppler log Department of Geography range rate error is estimated under at the uniform velocity sailing through to | |
| CN109752000A (en) | A method for initial alignment of MEMS dual-axis rotational modulation strapdown compass |
| Date | Code | Title | Description |
|---|---|---|---|
| C06 | Publication | ||
| PB01 | Publication | ||
| C10 | Entry into substantive examination | ||
| SE01 | Entry into force of request for substantive examination | ||
| C14 | Grant of patent or utility model | ||
| GR01 | Patent grant | ||
| CF01 | Termination of patent right due to non-payment of annual fee | ||
| CF01 | Termination of patent right due to non-payment of annual fee | Granted publication date:20101201 Termination date:20170408 |