Movatterモバイル変換


[0]ホーム

URL:


CN101367809B - Penem derivatives containing mercaptopyrrolidine carbohydrazide - Google Patents

Penem derivatives containing mercaptopyrrolidine carbohydrazide
Download PDF

Info

Publication number
CN101367809B
CN101367809BCN2008101293432ACN200810129343ACN101367809BCN 101367809 BCN101367809 BCN 101367809BCN 2008101293432 ACN2008101293432 ACN 2008101293432ACN 200810129343 ACN200810129343 ACN 200810129343ACN 101367809 BCN101367809 BCN 101367809B
Authority
CN
China
Prior art keywords
methyl
amino
compound
hydrogen atom
acceptable salt
Prior art date
Legal status (The legal status is an assumption and is not a legal conclusion. Google has not performed a legal analysis and makes no representation as to the accuracy of the status listed.)
Expired - Fee Related
Application number
CN2008101293432A
Other languages
Chinese (zh)
Other versions
CN101367809A (en
Inventor
黄振华
Current Assignee (The listed assignees may be inaccurate. Google has not performed a legal analysis and makes no representation or warranty as to the accuracy of the list.)
Xuanzhu Biopharmaceutical Co Ltd
Original Assignee
Shandong Xuanzhu Pharma Co Ltd
Priority date (The priority date is an assumption and is not a legal conclusion. Google has not performed a legal analysis and makes no representation as to the accuracy of the date listed.)
Filing date
Publication date
Application filed by Shandong Xuanzhu Pharma Co LtdfiledCriticalShandong Xuanzhu Pharma Co Ltd
Priority to CN2008101293432ApriorityCriticalpatent/CN101367809B/en
Publication of CN101367809ApublicationCriticalpatent/CN101367809A/en
Application grantedgrantedCritical
Publication of CN101367809BpublicationCriticalpatent/CN101367809B/en
Expired - Fee Relatedlegal-statusCriticalCurrent
Anticipated expirationlegal-statusCritical

Links

Classifications

Landscapes

Abstract

The present invention belongs to the technical field of medicine, in particular to a penem derivative containing mercaptopyrrolidine formylhydrazine shown in the formula (1) and a pharmaceutically acceptable salt, an easily hydrolyzed ester, an isomer, a hydrate and a hydrate of the ester or the salt thereof: wherein, R<1>, R<2>, R<3>, R<4>, R<5>, R<6> and X are defined in the description. The present invention also relates to preparation methods of the compounds, drug combinations and applications of the compounds in the preparation of drugs for treating and/or preventing infective diseases.

Description

The Pennem derivates that contains sulfhydryl pyrrolidine formhydrazide
1, technical field
The invention belongs to medical technical field, be specifically related to contain the hydrate of ester, its isomer, its hydrate and ester or salt of Pennem derivates, its pharmacy acceptable salt, its facile hydrolysis of sulfhydryl pyrrolidine formhydrazide, the preparation method of these compounds, the pharmaceutical composition that contains these compounds, and these compounds are in the purposes that is used for preparing the medicine that treats and/or prevents infectious diseases.
2, background technology
Carbapenem antibiotic is the class β-Nei Xiananleikangshengsu that the seventies grows up.Because of its has a broad antifungal spectrum, anti-microbial activity is strong, and stable to β-Nei Xiananmei, and receives much concern.Its constructional feature is, the sulphur that the penam parent nucleus is 1 is replaced by carbon, and 2 have two keys, the effect of the five-ring of compound penicillin and the conjugated double bond activation beta-lactam nucleus of cynnematin; 6 hydroxyethyl side chains are transoid conformation.
This similar drug that has gone on the market at present has imipenum, meropenem, S-4661, biapenem, ertapenem etc.Because antibiotic abuse causes the continuous increase of bacterial drug resistance, and because the limitation that digestive tube absorbs, the carbapenems of listing clinically can only be as the injection administration at present, clinical availability is not high, and except that ertapenem the transformation period all shorter, can not meet clinical needs.
Therefore, be badly in need of research and development and have better antibacterial activity, and have the long-acting carbapenem antibiotic of good chemical stability and DHP-I stability.
3, summary of the invention
Technical scheme of the present invention is as follows:
The invention provides the hydrate of ester, its isomer, its hydrate and the ester or the salt of the compound shown in the general formula (1), its pharmacy acceptable salt, its facile hydrolysis:
Figure S2008101293432D00011
Wherein, R1Represent hydrogen atom or carboxyl-protecting group;
R2Represent hydrogen atom or amino protecting group;
R3, R4Independently represent hydrogen atom or low alkyl group respectively;
R5Representative is replaced by low alkyl group or unsubstituted amide group, or is replaced or unsubstituted amino by low alkyl group;
R6Represent hydrogen atom or low alkyl group;
X represents O, S, NH or CH2
Preferred compound is:
Wherein, R3, R4Independently represent hydrogen atom respectively, methyl, ethyl or propyl group;
R6Represent hydrogen atom, methyl or ethyl;
X represents O, S or NH.
Further preferred compound is:
Wherein, R1, R2, R3, R4Independently represent hydrogen atom respectively;
R5Represent amide group, amino, N-methyl-amino or N, N '-dimethyl-amino;
R6Represent hydrogen atom or methyl;
X represents O, S or NH.
Part of compounds of the present invention
Figure S2008101293432D00021
Figure S2008101293432D00031
Figure S2008101293432D00041
" low alkyl group " of the present invention is C1-6The alkyl of straight or branched is as methyl, ethyl, propyl group, sec.-propyl, butyl, isobutyl-, the tertiary butyl, sec-butyl, amyl group, neo-pentyl, hexyl etc.
" carboxyl-protecting group " of the present invention refers to that routine is used for the blocking group of substituted carboxylic acid acid proton.This examples of groups comprises: methoxymethyl, the first thiomethyl, THP trtrahydropyranyl, tetrahydrofuran base, the methoxyethyl methyl, benzyloxymethyl, phenacyl, allyl group, to bromobenzene formyl methyl, the Alpha-Methyl phenacyl, to the methoxybenzoyl methyl, the diacyl methyl, the N-phthalimidomethyl, methyl, ethyl, diphenyl methyl, 2,2,2-three chloroethyls, the 2-halogenated ethyl, ω-chloro alkyl, 2-(trimethyl silyl) ethyl, 2-methylmercaptoethyl, 2-(p-nitrophenyl sulfenyl) ethyl, 2-(to the toluene sulfenyl) ethyl, 1-methyl isophthalic acid-styroyl, the tertiary butyl, cyclopentyl, cyclohexyl, two (ortho-nitrophenyl base) methyl, 9-fluorenyl methyl, 2-(9, the 10-dioxo) fluorenyl methyl, 5-hexichol sulfenyl, benzyl, 2,4, the 6-trimethyl benzyl, to bromobenzyl, adjacent nitrobenzyl, to nitrobenzyl, to methoxy-benzyl, piperonyl, the 4-picolyl, trimethyl silyl, triethylsilyl, t-butyldimethylsilyl, the sec.-propyl dimetylsilyl, the phenyl dimetylsilyl, the S-tertiary butyl, the S-phenyl, the S-2-pyridyl, N-hydroxy piperidine base, N-hydroxyl succinimido, N-hydroxyl phthaloyl imino, N-hydroxybenzotriazole base, O-acyl group oxime, 2,4-dinitrobenzene sulfenyl, 2-alkyl-1, the 3-oxazoline, 4-alkyl-5-oxo-1, the 3-oxazolidine, 5-alkyl-4-oxo-1, the 3-diox, the triethyl stannane, tri-n-butyl stannane; N, N '-di-isopropyl hydrazides etc.
" amino protecting group " of the present invention refers to that routine is used for the blocking group of substituted-amino acid proton, this type of examples of groups comprises: methyl, ethyl, encircle third methyl, 1-methyl isophthalic acid-ring third methyl, the diisopropyl methyl, the 9-fluorene methyl, 9-(2-sulfo-) fluorene methyl, furfuryl, 2,2, the 2-trichloromethyl, the 2-halogenated methyl, 2-iodine ethyl, 2-trimethyl silyl ethyl, 2-methylmercaptoethyl, 2-methylsulfonyl ethyl, 2-(p-toluenesulfonyl) ethyl, 2-phosphorus base ethyl, 1,1-dimethyl-3-(N, N-dimethylformamide base) propyl group, 1,1-phenylbenzene-3-(N, the N-diethylin) propyl group, 1-methyl isophthalic acid-(adamantyl) ethyl, 1-methyl isophthalic acid-styroyl, 1-methyl isophthalic acid-(3, the 5-dimethoxy phenyl) ethyl, 1-methyl isophthalic acid-(4-xenyl) ethyl, 1-methyl isophthalic acid-(to the phenylazo-phenyl) ethyl, 1,1-dimethyl-2,2,2-three chloroethyls, 1,1-dimethyl-2-cyanoethyl, isobutyl-, the tertiary butyl, tert-pentyl, cyclobutyl, 1-methyl cyclobutyl, cyclopentyl, cyclohexyl, the 1-methylcyclohexyl, the 1-adamantyl, isobornyl, vinyl, allyl group, cinnamyl, phenyl, 2,4,6-tri-tert phenyl, the m-nitro base, the S-phenyl, the 8-quinolyl, N '-hydroxy piperidine base, 4-(1,4-lupetidine base), 4,5-phenylbenzene-3-oxazoline-2-ketone, benzyl, 2,4, the 6-trimethyl benzyl, to methoxy-benzyl, to methoxyl group benzyloxy base carbonyl, 3, the 5-dimethoxy-benzyl, to oxy-benzyl in the last of the ten Heavenly stems, to nitrobenzyl, to the nitro benzyloxycarbonyl, adjacent nitrobenzyl, 3,4-dimethoxy-6-nitrobenzyl, to bromobenzyl, the benzyl chloride base, 2, the 4-dichloro benzyl, to the cyano group benzyl, adjacent (N, N-dimethylformamide base) benzyl, between-chloro-is right-the acyloxy benzyl, to (dihydroxyl boryl) benzyl, to (phenylazo-) benzyl, to (to the anisole azo-group) benzyl, 5-benzoisoxazole ylmethyl, 9-anthryl methyl, diphenyl-methyl, phenyl (ortho-nitrophenyl base) methyl, two (2-pyridyl) methyl, 1-methyl isophthalic acid-(4-pyridyl) ethyl, the isonicotine base, the S-benzyl, the fixed basic carbonyl of N '-piperazine, the carbamate of N '-p-toluenesulfonyl aminocarboxyl and N '-phenylamino thiocarbonyl; Formyl radical, ethanoyl, ethanoyl-pyridine, (N '-the dithio benzyloxycarbonyl amino) ethanoyl, 3-phenyl propionyl, 3-(to hydroxyphenyl) propionyl, 3-(ortho-nitrophenyl base) propionyl, 2-methyl-2-(ortho-nitrophenyl oxygen base) propionyl, 2-methyl-2-(adjacent phenylazo-phenoxy group) propionyl, 4-chloro butyryl radicals, isobutyryl, adjacent nitro cinnamoyl, the pyridine formyl radical, N '-acetyl methionyl, N '-benzoyl-phenylalkyl, benzoyl, to the phenyl benzoyl, to anisoyl, o-nitrobenzoyl, the acid amides of adjacent (benzoyloxy methyl) benzoyl and right-P-benzoyl; Phthaloyl, 2, the inferior acid amides of the ring of 3-phenylbenzene maleoyl and dithio succinyl; Tert-butoxycarbonyl; allyloxy carbonyl; phenacyl; 3-acetoxyl group propyl group; 4-nitro-1-cyclohexyl-2-oxo-3-tetramethyleneimine-3-base; quaternary ammonium salt; methoxymethyl; 2-chloroethoxy methyl; benzyloxymethyl; the valeryl methyl; [1-(alkoxycarbonyl amido)]-2; 2; 2; trifluoroethyl; [1-Trifluoromethyl-1-(to the chlorophenoxy methoxyl group) 2; 2; 2;-trifluoro] ethyl; the 2-THP trtrahydropyranyl; 2; the 4-dinitrophenyl; benzyl; 3; the 4-dimethoxy-benzyl; adjacent nitrobenzyl; two (p-methoxyphenyl) methyl; trityl; (p-methoxyphenyl) diphenyl methyl; phenylbenzene-4-pyridylmethyl; 2-picolyl-N '-oxide compound; 5-two phenylpropyl alcohol suberane bases; N '; N '-dimethylaminomethylene; N '-isopropylidene; benzylidene; to the methoxyl group benzylidene; to the nitro benzylidene; salicylidene; 5-chlorine salicylidene; diphenylmethylene; (5-chloro-2-hydroxyphenyl) phenylmethylene; (acyl group vinyl); 5; 6-dimethyl-3-oxo-1-cyclohexenyl; borine; [phenyl (pentacarbonyl chromium or tungsten)] carbonyl; copper or chelates of zinc; nitro; nitroso-group; oxide compound; diphenylphosphino; diformazan sulfenyl phosphinyl; hexichol sulfenyl phosphinyl; the diethyl phosphoryl; the dibenzyl phosphoryl; the diphenylphosphine acyl group; phosphoryl; trimethyl silyl; thiophenyl; the ortho-nitrophenyl sulfenyl; 2; 4-dinitrobenzene sulfenyl; 2-nitro-4-anisole sulfenyl; three benzylthios; benzenesulfonyl; to the anisole alkylsulfonyl; 2; 4,6-Three methyl Benzene alkylsulfonyl; methyl sulphonyl; the benzene methylsulfonyl; to the toluene methylsulfonyl; trifluoromethyl sulfonyl; the phenacyl alkylsulfonyl; diazo etc.
Further preferred compound is as follows:
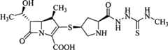
(4R, 5S, 6S)-3-[(2S; 4S)-and 2-formyl [(2-amino-2-oxo ethanoyl) diazanyl]-tetramethyleneimine-4-yl] sulfenyl-6-[(1R)-the 1-hydroxyethyl]-4-methyl-7-oxygen-1-azabicyclo [3,2,0] hept-2-ene"-2-carboxylic acid; be called for short compound 1, structural formula is as follows:
Figure S2008101293432D00051
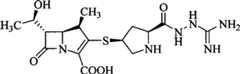
(4R, 5S, 6S)-3-[(2S, 4S)-and 2-formyl [(4-methyl-thiocarbamide-1-yl) amino]-tetramethyleneimine-4-yl] sulfenyl-6-[(1R)-the 1-hydroxyethyl]-4-methyl-7-oxygen-1-azabicyclo [3,2,0] hept-2-ene"-2-carboxylic acid, be called for short compound 2, structural formula is as follows:
Figure S2008101293432D00052
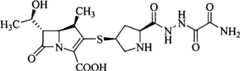
(4R, 5S, 6S)-3-[(2S, 4S)-and 2-formyl (guanidine-1-yl) amino-tetramethyleneimine-4-yl] sulfenyl-6-[(1R)-the 1-hydroxyethyl]-4-methyl-7-oxygen-1-azabicyclo [3,2,0] hept-2-ene"-2-carboxylic acid, be called for short compound 3, structural formula is as follows:
Figure S2008101293432D00061
The present invention also provides the preparation method of above-claimed cpd, and reaction equation is as follows:
Figure S2008101293432D00062
Reactions steps:
The preparation of step 1 compound (I)
Add raw material 1 in the exsiccant reaction flask, anhydrous tetrahydro furan is under nitrogen protection; add 1 in room temperature, 1-carbonyl dimidazoles (being CDI) reaction, low temperature adds the tetrahydrofuran solution of raw material 2; continue reaction, dripping hydrochloric acid then is with ethyl acetate extraction; organic phase is water, saturated nacl aqueous solution washing successively, concentrating under reduced pressure, and resistates adds hydrochloric acid; stir, be adjusted to alkalescence, separate out solid with dilute alkaline soln; the solid recrystallization gets compound (I).
The preparation of step 2 compound (II)
In the dry reaction bottle, add the acetonitrile solution of raw material 3, cooling, the acetonitrile solution of adding diisopropylethylamine and compound (I), low temperature stirs, and after reaction finishes, adds the ethyl acetate dilution, water, saturated salt washing successively, organic layer drying, concentrated gets compound (II).
The preparation of step 3 compound (III)
(II) dissolves in the methylene dichloride with compound, adds methyl-phenoxide and Nitromethane 99Min., and low temperature drips the Nitromethane 99Min. solution of aluminum chloride, stir, add entry, separate out solid, filter, filter cake is dissolved in the mixed solution of THF and water, add palladium-charcoal, stirring reaction under the room temperature hydrogen pressure, filtering palladium charcoal adds THF in the filtrate, water layer is collected in layering, adds magnesium chloride brine again in THF, leave standstill, divide water-yielding stratum, repetitive operation.Water merges, and slowly splashes into methyl alcohol, stirs, and filters, and the filter cake recrystallization gets compound (III).
R in the above reaction equation3, R4, R5, R6, X representative group as mentioned before, the carboxyl on the compound (III) can be protected by carboxyl-protecting group, the hydrogen atom on the nitrogen-atoms can be protected by amino protecting group.
The above-mentioned arbitrary compound pharmacy acceptable salt of the present invention is organic acid salt, inorganic acid salt, organic alkali salt or inorganic base salts, and wherein organic acid comprises acetate, trifluoroacetic acid, methylsulfonic acid, toluenesulphonic acids, toxilic acid, succsinic acid, tartrate, citric acid, fumaric acid; Mineral acid comprises hydrochloric acid, Hydrogen bromide, nitric acid, sulfuric acid, phosphoric acid; Organic bases comprises meglumine, glucosamine; Mineral alkali comprises the basic cpd of sodium, potassium, barium, calcium, magnesium, zinc, lithium.
The ester that the claimed compound of the present invention is easy to hydrolysis is the compound that its carboxyl exists with the ester group form that is easy to hydrolysis.These esters can be conventional, lower alkane acyloxyalkyl group ester for example, acetoxyl methyl ester, pivalyl oxygen methyl ester, 1-acetoxyl ethyl ester, 1-pivalyl oxygen ethyl ester; Lower alkoxycarbonyl oxyalkyl ester, methoxycarbonyl oxygen methyl ester, 1-ethoxycarbonyl-oxygen ethyl ester, the different third oxygen ketonic oxygen ethyl ester of 1-; The lactone group ester, cumarone ketone group ester, sulfo-benzo furanonyl ester; The lower alkoxy methyl ester, methoxymethyl ester; Lower alkane acyl amino methyl ester, the acetylamino methyl ester.The ester that also can use other is for example: benzyl ester and cyano methyl ester.Other examples of these esters are as follows: (2,2-dimethyl-1-oxygen propoxy-) methyl ester; (1RS)-1-acetoxyl group ethyl ester; 2-[(2-methyl propoxy-) carbonyl]-the pentenyl ester; The 1-[[(1-methyl ethoxy) carbonyl] oxygen] ethyl ester; 1-(acetoxyl) ethyl ester; (5-methyl-2-oxo-1,3-dioxole-4-yl) methyl ester; The 1-[[(cyclohexyloxy) carbonyl] oxygen] ethyl ester; 3,3-dimethyl-2-oxo butyl ester.It is evident that for the professional of this area the ester that is easy to hydrolysis of The compounds of this invention can form at the free carboxy place of this compound.
Isomer of the present invention is meant its all differences to stereoisomerism, diastereo-isomerism and tautomeric form.When a key was represented with a wedge, this showed that this key will come out from paper on three-dimensional, and when a key was shade, this showed that this key will return in the paper on three-dimensional.Formula (1) compound has many three-dimensional centers, as on 4-position, 5-position, the 6-position is first-class.
The ester of the compound shown in the general formula (1), its pharmacy acceptable salt, its facile hydrolysis, its isomer can be hydrate forms.Hydration can be finished in preparation process or can be utilized the water absorbability of original anhydrous product to carry out gradually.
The present invention is further claimed to comprise the hydrate of ester, its isomer, its hydrate or its ester or salt of arbitrary compound recited above, its pharmacy acceptable salt, its facile hydrolysis and the pharmaceutical composition of other active pharmaceutical ingredients, as cilastatin and sodium salt, Betamipron etc.
The present invention is further claimed to comprise the hydrate of ester, its isomer, its hydrate or its ester or salt of arbitrary compound recited above, its pharmacy acceptable salt, its facile hydrolysis and the pharmaceutical composition of one or more pharmaceutical carriers and/or thinner; for clinically or pharmaceutically acceptable arbitrary formulation, be preferably oral preparations or injection.Wherein contain the compound 0.05g~5g shown in the general formula (1) of physiology significant quantity, can be 0.05g, 0.1g, 0.125g, 0.2g, 0.25g, 0.3g, 0.4g, 0.5g, 0.6g, 0.75g, 1g, 1.25g, 1.5g, 1.75g, 2g, 2.5g, 3g, 4g, 5g etc.
The hydrate of the ester of the arbitrary compound of the present invention, its pharmacy acceptable salt, its facile hydrolysis, its isomer, its hydrate or its ester or salt, can be oral or mode such as administered parenterally be applied to the patient who needs this treatment.
When being used for administered parenterally, can be made into injection.Injection means the intravital solution of confession injection, emulsion or the suspension that medicine is made and supplies to face with preceding preparation or be diluted to solution or the sterile preparation of the powder of suspension or strong solution that injection can be divided into injection liquid, injectable sterile powder and concentrated solution for injection.Injection liquid means that the confession that medicine is made is injected into sterile solution type injection liquid, emulsion-type injection liquid or the suspension type injection liquid of using in the body, can be used for intramuscularly, intravenous injection, intravenous drip etc.; Its specification has 1ml, 2ml, 5ml, 10ml, 20ml, 50ml, 100ml, 200ml, 250ml, 500ml etc., and wherein large volume (generally the being not less than 100ml) injection liquid of using for intravenous drip also claims intravenous infusion.Injectable sterile powder means that confession that medicine is made is faced with the suitable sterile solution of preceding usefulness and is mixed with settled solution or the evenly sterilized powder or the aseptic block of suspension, available suitable solvent for injection preparation back injection, also available intravenous infusion preparation posterior vein instils; Sterilized powder makes with solvent crystallization, spray-drying process or freeze-drying etc.Concentrated solution for injection means that confession that medicine is made faces the aseptic strong solution of using for intravenous drip with preceding dilution.
When making injection, can adopt the ordinary method production in the existing pharmacy field, optional use solvent or non-aqueous solvent.The most frequently used aqueous solvent is a water for injection, also available 0.9% sodium chloride solution or other suitable aqueous solution; Non-aqueous solvent commonly used is a vegetables oil, is mainly the injection soybean oil, and other also have the aqueous solution of ethanol, propylene glycol, polyoxyethylene glycol etc.During the preparation injection, can not add additives, also can add suitable additives, as osmotic pressure regulator, pH value conditioning agent, solubilizing agent, weighting agent, oxidation inhibitor, fungistat, emulsifying agent, suspending agent etc. according to the character of medicine.Osmotic pressure regulator commonly used comprises sodium-chlor, glucose, Repone K, magnesium chloride, calcium chloride, sorbyl alcohol etc., preferred sodium-chlor or glucose; PH value conditioning agent commonly used comprises acetic acid-sodium-acetate, lactic acid, Citric Acid-Sodium Citrate, sodium bicarbonate-yellow soda ash etc.; Solubilizing agent commonly used comprises Polysorbate 80, propylene glycol, Yelkin TTS, polyoxyethylenated castor oil etc.; Weighting agent commonly used comprises lactose, N.F,USP MANNITOL, sorbyl alcohol, dextran etc.; Oxidation inhibitor commonly used has S-WAT, sodium bisulfite, Sodium Pyrosulfite etc.; Fungistat commonly used is phenol, cresols, trichloro-butyl alcohol etc.Injection container commonly used has glass ampoule, vial, plastic ampoule, Plastic Bottle etc.
Be used for when oral, can be made into conventional solid preparation, as tablet, capsule, pill, granule etc.; Also can be made into oral liquid, as oral solution, oral suspensions, syrup etc.Tablet means disk shape or the special-shaped flaky solid preparation that medicine and the auxiliary materials and mixing compacting that suits form, based on oral ordinary tablet, other has lozenge, Sublingual tablet, mouth paster, chewable tablet, dispersible tablet, fuse, effervescent tablet, slow releasing tablet, controlled release tablet and enteric coated tablet etc.Capsule means medicine or is added with the auxiliary material filling in Capsules or be sealed in solid preparation in the soft capsule material, according to its dissolving and release characteristics, can be divided into hard capsule (being commonly referred to as capsule), soft capsule (capsule and pill), slow releasing capsule, controlled release capsule and enteric coated capsule etc.Pill means medicine and suitable auxiliary material uniform mixing, and the spherical or near-spherical solid preparation so that proper method is made comprises dripping pill, sugar-pill, piller etc.Granule means that medicine and suitable auxiliary material make the dried particles shape preparation with certain particle size, can be divided into soluble particles (being commonly referred to as particle), mix suspension grain, effervescent granule, enteric coated particles, slow-releasing granules and controlled release granule etc.Oral solution means that medicine dissolution makes for oral clarified liq preparation in suitable solvent.Oral suspensions means the insoluble solid pharmaceutical, is dispersed in the liquid medium, makes for oral suspension body preparation, also comprises dry suspensoid or dense suspension.Syrup means the dense aqueous sucrose solution that contains medicine.
When making oral preparations, can add suitable weighting agent, tackiness agent, disintegrating agent, lubricant etc.Weighting agent commonly used comprises starch, Icing Sugar, calcium phosphate, calcium sulfate two water things, dextrin, Microcrystalline Cellulose, lactose, pregelatinized Starch, N.F,USP MANNITOL etc.; Typical binders comprises Xylo-Mucine, PVP-K30, hydroxypropylcellulose, starch slurry, methylcellulose gum, ethyl cellulose, hypromellose, gelling starch etc.; Disintegrating agent commonly used comprises dry starch, polyvinylpolypyrrolidone, croscarmellose sodium, sodium starch glycolate, low-substituted hydroxypropyl cellulose etc.; Conventional lubricants comprises Magnesium Stearate, talcum powder, sodium lauryl sulphate, micropowder silica gel etc.
Usually carbapenems is nontoxic to warm-blooded animal, and this general rule also is applicable to The compounds of this invention.Preferred compound of the present invention can prevent the needed excessive dosage of infectation of bacteria to the mouse administration, is not observed by caused tangible poisoning aura of The compounds of this invention or side effect.
The present invention also provide Pennem derivates that the present invention contains sulfhydryl pyrrolidine formhydrazide preparation be used for the treatment of and/or the medicine of prophylaxis against infection diseases in purposes.Pennem derivates of the present invention all has better antibacterial activity to Gram-positive and negative bacterium, aerobic and anerobe and hospital clinical pathogenic bacteria, can be used for treating and/or preventing the various diseases that is caused by pathogenic micro-organism, as respiratory tract infection and urinary tract infection.
The Pennem derivates that the present invention contains sulfhydryl pyrrolidine formhydrazide is compared with immediate prior art, has the following advantages:
(1) The compounds of this invention has good anti-microbial activity and shows hypotoxicity, can being used for the treatment of and/or preventing various Mammalss (comprising the mankind) by the caused various diseases of sensitive organism by safety;
(2) The compounds of this invention has a broad antifungal spectrum all has better antibacterial activity to Gram-positive and negative bacterium, aerobic and anerobe and hospital clinical pathogenic bacteria;
(3) The compounds of this invention has high stability to β-Nei Xiananmei and DHP-I, can be used for β-Nei Xiananmei and produces bacterium, and do not need to share with other medicines;
(4) The compounds of this invention preparation technology is simple, and medicine purity height, yield height, steady quality are easy to carry out large-scale commercial production.
Below further set forth the present invention by in-vitro antibacterial experiment and contain the beneficial effect of the Pennem derivates of sulfhydryl pyrrolidine formhydrazide, but this should be interpreted as that the southern antibiotics of training of the present invention only has following beneficial effect.
The antibacterial activity in vitro of experimental example The compounds of this invention
For the examination bacterial classification: below be the clinical isolates strain, purchase in public institution.
Gram positive organism: MSSA (MSSA) 20 strains, methicillin-resistant staphylococcus aureus (MRSA) 15 strains, methicillin-sensitivity staphylococcus epidermidis (MSSE) 17 strains, methicillin-resistant staphylococcus epidermidis (MRSE) 10 strains, responsive streptococcus pneumoniae (PSSP) 20 strains of penicillin, penicillin resistance streptococcus pneumoniae (PRSP) 18 strains, streptococcus pyogenes 23 strains, enterococcus faecalis 10 strains;
Gram-negative bacteria: hemophilus influenzae 12 strains, escherichia coli 22 strains, klepsiella pneumoniae 18 strains, Proteus mirabilis 15 strains, enterobacter cloacae 12 strains, Pseudomonas aeruginosa 15 strains; Grain-negative anerobe: bacteroides fragilis 8 strains.
Trial-product:
Preferred compound 1-3 of the present invention, self-control, its chemical name and structural formula are as mentioned before;
Imipenum, meropenem: commercial.
Experimental technique: agar dilution, with reference to " pharmacological testing methodology " P1659-1660, People's Health Publisher, chief editor: Xu Shuyun etc., release: the 1st edition the 3rd edition the 5th printing January in 2002 in August nineteen eighty-two.
Experimental result and conclusion:
Table 1 The compounds of this invention is to the anti-microbial activity of clinical separation gram positive organism
Figure S2008101293432D00101
By table 1 experimental result as seen, compare with meropenem with imipenum, The compounds of this invention 1-3 all has the excellent antibiotic activity to the clinical isolating examination gram positive organism that supplies.
Table 2 The compounds of this invention is to the anti-microbial activity of clinical separation gram-negative bacteria
Figure S2008101293432D00102
By table 2 experimental result as seen, compare with meropenem with imipenum, The compounds of this invention 1-3 comprises that to clinical isolating for the examination gram-negative bacteria Grain-negative anerobe has the excellent antibiotic activity.
Above-mentioned experimental result shows, The compounds of this invention all has potent anti-microbial effect to gram positive organism, negative bacterium and resistant organism thereof and anerobe, compares with immediate prior art, and anti-microbial activity quite or better, and has a broad antifungal spectrum has the good clinical application potential.
4, embodiment
The embodiment of form is described in further detail foregoing of the present invention by the following examples.But this should be interpreted as that the scope of the above-mentioned theme of the present invention only limits to following examples.All technology that realizes based on foregoing of the present invention all belong to scope of the present invention.The auxiliary material of each formulation can be replaced with acceptable accessories in following examples, perhaps reduces, increases.
Embodiment 1 (2S, 4S)-the thin base of 4--2-formyl [(2-amino-2-oxo ethanoyl) diazanyl]-1-(tertbutyloxycarbonyl) tetramethyleneiminePreparation
In the exsiccant reaction flask, add (2S; 4S)-4-acetylthio-2-carboxyl-1-(tertbutyloxycarbonyl) tetramethyleneimine 8.7g (30mmol); anhydrous tetrahydro furan 100ml; under nitrogen protection; add 1 in room temperature; 1-carbonyl dimidazoles 6.5g (40mmol), reaction 0.5h is at the tetrahydrofuran solution 100ml that adds 4.1g (40mmol) 2-amino-2-oxo ethanoyl hydrazine below 0 ℃; continue reaction 0.5h; drip 1mol/L hydrochloric acid 40ml then, extract with ethyl acetate (50ml * 2), organic phase is water successively; the saturated nacl aqueous solution washing; concentrating under reduced pressure; resistates adds the hydrochloric acid 100ml of 3mol/L, stirs 2h, is adjusted to alkalescence with dilute alkaline soln; separate out solid; the solid recrystallization gets solid 6.1g, yield: 61.2%.
Embodiment 2 (2S, 4S)-preparation of 4-sulfydryl-2-formyl [(4-methyl-thiocarbamide-1-yl) amino]-1-(tertbutyloxycarbonyl) tetramethyleneimine
Concrete preparation method's reference example 1.Throw (2S, 4S)-4-acetylthio-2-carboxyl-1-(tertbutyloxycarbonyl) tetramethyleneimine 8.7g (30mmol), 4-methylamino thiocarbamide 4.2g (40mmol).Get product 6.3g, yield: 63.2%.
Embodiment 3 (2S, 4S)-preparation of 4-sulfydryl-2-formyl (guanidine-1-yl) amino-1-(tertbutyloxycarbonyl) tetramethyleneimine
Concrete preparation method's reference example 1.Throw (2S, 4S)-4-acetylthio-2-carboxyl-1-(tertbutyloxycarbonyl) tetramethyleneimine 8.7g (30mmol), aminoguanidine 3.0g (40mmol).Get product 5.9g, yield: 65.1%.
Embodiment 4 (4R, 5S, 6S)-3-[(2S, 4S)-2-formyl [(2-amino-2-oxo ethanoyl) diazanyl]-1-(tertbutyloxycarbonyl) pyrrolesAlkane-4-yl] sulfenyl-6-[(1R)-1-hydroxyethyl]-4-methyl-7-oxygen-1-azabicyclo [3,2,0] hept-2-ene"-2-carboxy acid mutual-nitro carbobenzoxy's systemBe equipped with
In the dry reaction bottle; add (4R; 5S; 6S)-3-hexichol oxygen phosphorus acyloxy-6-[(1R)-the 1-hydroxyethyl]-4-methyl-7-oxygen-1-azabicyclo [3; 2; 0] the acetonitrile solution 120ml of hept-2-ene"-2-carboxy acid mutual-nitro carbobenzoxy 11.9g (20mmol) is chilled to below-10 ℃, adds diisopropylethylamine 5ml and (2S; 4S)-the acetonitrile solution 80ml of 4-sulfydryl-2-formyl [(2-amino-2-oxo ethanoyl) diazanyl]-1-(tertbutyloxycarbonyl) tetramethyleneimine 7g (21mmol); 0 ℃ is stirred 15h, after reaction finishes, adds ethyl acetate 300ml dilution; water successively; the saturated salt washing; the organic layer drying; concentrate, get solid 9.6g, yield: 71.1%.
Embodiment 5 (4R, 5S, 6S)-3-[(2S, 4S)-2-formyl [(4-methyl-thiocarbamide-1-yl) amino]-1-(tertbutyloxycarbonyl) tetramethyleneimine-4-yl] sulfenyl-6-[(1R)-1-hydroxyethyl]-4-methyl-7-oxygen-1-azabicyclo [3,2,0] hept-2-ene"-2-carboxy acid mutual-nitro carbobenzoxy's preparation
Concrete preparation method's reference example 4.Throw (4R, 5S, 6S)-3-hexichol oxygen phosphorus acyloxy-6-[(1R)-the 1-hydroxyethyl]-4-methyl-7-oxygen-1-azabicyclo [3,2,0] hept-2-ene"-2-carboxy acid mutual-nitro carbobenzoxy 11.9g (20mmol), (2S, 4S)-4-sulfydryl-2-formyl [(4-methyl-thiocarbamide-1-yl) amino]-1-(tertbutyloxycarbonyl) tetramethyleneimine 7.0g (21mmol).Get product 9.5g, yield: 69.7%.
Embodiment 6 (4R, 5S, 6S)-3-[(2S, 4S)-and 2-formyl (guanidine-1-yl) amino-1-(tertbutyloxycarbonyl) tetramethyleneimine-4-yl] sulfenyl-6-[(1R)-the 1-hydroxyethyl]-4-methyl-7-oxygen-1-azabicyclo [3,2,0] hept-2-ene"-2-carboxy acid mutual-nitro carbobenzoxy's preparation
Concrete preparation method's reference example 4.Throw (4R, 5S, 6S)-3-hexichol oxygen phosphorus acyloxy-6-[(1R)-the 1-hydroxyethyl]-4-methyl-7-oxygen-1-azabicyclo [3,2,0] hept-2-ene"-2-carboxy acid mutual-nitro carbobenzoxy 11.9g (20mmol), (2S, 4S)-4-sulfydryl-2-formyl (guanidine-1-yl) amino-1-(tertbutyloxycarbonyl) tetramethyleneimine 6.4g (21mmol).Get product 9.2g, yield: 70.9%.
Embodiment 7 (4R, 5S, 6S)-3-[(2S, 4S)-and 2-formyl [(2-amino-2-oxo ethanoyl) diazanyl]-tetramethyleneimine-4-yl] sulfenyl-6-[(1R)-the 1-hydroxyethyl]-preparation of 4-methyl-7-oxygen-1-azabicyclo [3,2,0] hept-2-ene"-2-carboxylic acid
Will (4R, 5S, 6S)-3-[(2S; 4S)-and 2-formyl [(2-amino-2-oxo ethanoyl) diazanyl]-1-(tertbutyloxycarbonyl) tetramethyleneimine-4-yl] sulfenyl-6-[(1R)-1-hydroxyethyl]-4-methyl-7-oxygen-1-azabicyclo [3,2,0] hept-2-ene"-2-carboxy acid mutual-nitro carbobenzoxy 6.8g (10mmol) dissolves in the 50ml methylene dichloride; add methyl-phenoxide 10ml and Nitromethane 99Min. 20ml; in-50 ℃ of Nitromethane 99Min. solution 100ml that drip the 1mol/L aluminum chloride down ,-40 ℃ are stirred 2h, add entry 200ml; separate out solid; filter, filter cake is dissolved in the mixed solution of 400ml THF and water 30ml, add 10% palladium-charcoal 2g; stirring reaction 2h under the room temperature 5MPa hydrogen pressure; filtering palladium charcoal adds THF 150ml, layering in the filtrate; collect water layer; in THF, add 5% magnesium chloride brine 20ml again, leave standstill, divide water-yielding stratum; repetitive operation 1 time; water merges, and 0 ℃ slowly splashes into methyl alcohol 30ml, and-10 ℃ are stirred 1h; filter; the filter cake recrystallization gets target product 1.9g, yield: 42.6%.
Molecular formula: C17H23N5O7S
Molecular weight: 441.46
Ultimate analysis:
Measured value: C, 46.12%; H, 5.43%; N, 15.67%; S, 7.12%
Theoretical value: C, 46.25%; H, 5.25%; N, 15.86%; S, 7.26%
Embodiment 8 (4R, 5S, 6S)-3-[(2S, 4S)-and 2-formyl [(4-methyl-thiocarbamide-1-yl) amino]-tetramethyleneimine-4-yl] sulfenyl-6-[(1R)-the 1-hydroxyethyl]-preparation of 4-methyl-7-oxygen-1-azabicyclo [3,2,0] hept-2-ene"-2-carboxylic acid
Concrete preparation method's reference example 7.Throw (4R, 5S, 6S)-3-[(2S, 4S)-2-formyl [(4-methyl-thiocarbamide-1-yl) amino]-1-(tertbutyloxycarbonyl) tetramethyleneimine-4-yl] sulfenyl-6-[(1R)-the 1-hydroxyethyl]-4-methyl-7-oxygen-1-azabicyclo [3,2,0] hept-2-ene"-2-carboxy acid mutual-nitro carbobenzoxy 6.8g (10mmol).Get target product 1.8g, yield: 40.2%.
Molecular formula: C17H25N5O5S2
Molecular weight: 443.54
Ultimate analysis:
Measured value: C, 45.92%; H, 5.79%; N, 15.65%; S, 14.32%
Theoretical value: C, 46.03%; H, 5.68%; N, 15.79%; S, 14.46%
Embodiment 9 (4R, 5S, 6S)-3-[(2S, 4S)-and 2-formyl (guanidine-1-yl) amino-tetramethyleneimine-4-yl] sulfenyl-6-[(1R)-1-hydroxyl secondBase]-preparation of 4-methyl-7-oxygen-1-azabicyclo [3,2,0] hept-2-ene"-2-carboxylic acid
Concrete preparation method's reference example 7.Throw (4R, 5S, 6S)-3-[(2S, 4S)-2-formyl (guanidine-1-yl) amino-1-(tertbutyloxycarbonyl) tetramethyleneimine-4-yl] sulfenyl-6-[(1R)-the 1-hydroxyethyl]-4-methyl-7-oxygen-1-azabicyclo [3,2,0] hept-2-ene"-2-carboxy acid mutual-nitro carbobenzoxy 6.5g (10mmol).Get target product 1.9g, yield: 45.3%.
Molecular formula: C16H24N6O5S
Molecular weight: 412.46
Ultimate analysis:
Measured value: C, 46.44%; H, 5.98%; N, 20.22%; S, 7.65%
Theoretical value: C, 46.59%; H, 5.86%; N, 20.38%; S, 7.77%
The preparation of embodiment 10 The compounds of this invention aseptic powder injections
1, prescription:
Prescription 1:
Any one 250g (in compound) in the compound 1-3 or derivatives thereof
Prepare 1000 altogether
Prescription 2:
Any one 500g (in compound) in the compound 1-3 or derivatives thereof
Prepare 1000 altogether
Prescription 3:
Any one 1000g (in compound) in the compound 1-3 or derivatives thereof
Prepare 1000 altogether
Prescription 4:
Any one 2000g (in compound) in the compound 1-3 or derivatives thereof
Prepare 1000 altogether
2, preparation technology:
(1) will prepare used antibiotic glass bottle, plug etc. and carry out aseptically process;
(2) take by weighing raw material (feeding intake after the conversion) by prescription, sterilized powder is placed the portioning machine packing, detect loading amount at any time;
(3) jump a queue, gland, finished product is examined entirely, the packing warehouse-in.
The preparation of embodiment 11 The compounds of this invention tablets
1, prescription:
Prescription 1:
Any one 250g (in compound) in the compound 1-3 or derivatives thereof
Pregelatinized Starch 50g
Low-substituted hydroxypropyl cellulose 40g
Microcrystalline Cellulose 40g
The 2%HPMC aqueous solution is an amount of
Micropowder silica gel 4.0g
Magnesium Stearate 4.0g
Carboxymethylstach sodium 2.0g
Prepare 1000 altogether
Prescription 2:
Any one 125g (in compound) in the compound 1-3 or derivatives thereof
Pregelatinized Starch 50g
Low-substituted hydroxypropyl cellulose 40g
Microcrystalline Cellulose 40g
The 2%HPMC aqueous solution is an amount of
Micropowder silica gel 4.0g
Magnesium Stearate 4.0g
Carboxymethylstach sodium 2.0g
Prepare 1000 altogether
2, preparation technology:
(1) raw material pulverizing is crossed 100 mesh sieves, all the other auxiliary materials are crossed 100 mesh sieves respectively, and are standby;
(2) take by weighing raw material and auxiliary material according to recipe quantity;
(3) hypromellose 2% the aqueous solution made soluble in water is standby;
(4) with in the compound 1-3 or derivatives thereof any one, pregelatinized Starch, low-substituted hydroxypropyl cellulose, Microcrystalline Cellulose mix, it is an amount of to add the 2%HPMC aqueous solution, stirs, and makes suitable softwood;
(5) cross 20 mesh sieve system particles;
(6) particle is dried under 60 ℃ condition;
(7) dry good particle adds Magnesium Stearate, micropowder silica gel and carboxymethylstach sodium, crosses the whole grain of 18 mesh sieves, mixes;
(8) sampling, the work in-process chemical examination;
(9) the sheet weight sheet of determining according to chemical examination;
(10) finished product is examined entirely, the packing warehouse-in.

Claims (9)

1. compound and the pharmacy acceptable salt thereof shown in the general formula (1):
Figure FSB00000367514900011
Wherein, R1Represent hydrogen atom;
R2Represent hydrogen atom;
R3, R4Independently represent hydrogen atom or C respectively1-6The alkyl of straight or branched;
R5Representative is by C1-6The alkyl of straight or branched replaces or unsubstituted amide group, or by C1-6The alkyl of straight or branched replaces or unsubstituted amino;
R6Represent hydrogen atom or C1-6The alkyl of straight or branched;
X represents O, S, NH or CH2
2. compound as claimed in claim 1 and pharmacy acceptable salt thereof:
Wherein, R3, R4Independently represent hydrogen atom respectively, methyl, ethyl or propyl group;
R6Represent hydrogen atom, methyl or ethyl;
X represents O, S or NH.
3. compound as claimed in claim 2 and pharmacy acceptable salt thereof:
Wherein, R1, R2, R3, R4Independently represent hydrogen atom respectively;
R5Represent amide group, amino, N-methyl-amino or N, N '-dimethyl-amino;
R6Represent hydrogen atom or methyl;
X represents O, S or NH.
4. compound as claimed in claim 3 is selected from:
(4R, 5S, 6S)-3-[(2S, 4S)-and 2-formyl [(2-amino-2-oxo ethanoyl) diazanyl]-tetramethyleneimine-4-yl] sulfenyl-6-[(1R)-the 1-hydroxyethyl]-4-methyl-7-oxygen-1-azabicyclo [3,2,0] hept-2-ene"-2-carboxylic acid,
(4R, 5S, 6S)-3-[(2S, 4S)-and 2-formyl [(4-methyl-thiocarbamide-1-yl) amino]-tetramethyleneimine-4-yl] sulfenyl-6-[(1R)-the 1-hydroxyethyl]-4-methyl-7-oxygen-1-azabicyclo [3,2,0] hept-2-ene"-2-carboxylic acid, or
(4R, 5S, 6S)-3-[(2S, 4S)-and 2-formyl (guanidine-1-yl) amino-tetramethyleneimine-4-yl] sulfenyl-6-[(1R)-the 1-hydroxyethyl]-4-methyl-7-oxygen-1-azabicyclo [3,2,0] hept-2-ene"-2-carboxylic acid, and pharmacy acceptable salt.
5. the pharmacy acceptable salt of each described compound of claim 1~4, it is organic acid salt, inorganic acid salt, organic alkali salt or inorganic base salts.
6. the pharmaceutical composition that comprises each described compound of claim 1~4 and pharmacy acceptable salt and one or more pharmaceutical carriers and/or thinner.
7. pharmaceutical composition as claimed in claim 6 is pharmaceutically acceptable arbitrary formulation.
8. pharmaceutical composition as claimed in claim 6 contains each described compound of claim 1~4 and pharmacy acceptable salt 0.05g~5g thereof as essential activeconstituents.
9. each described compound of claim 1~4 and pharmacy acceptable salt thereof are in the application that is used for preparing the medicine that treats and/or prevents infectious diseases.
CN2008101293432A2007-06-282008-06-28 Penem derivatives containing mercaptopyrrolidine carbohydrazideExpired - Fee RelatedCN101367809B (en)

Priority Applications (1)

Application NumberPriority DateFiling DateTitle
CN2008101293432ACN101367809B (en)2007-06-282008-06-28 Penem derivatives containing mercaptopyrrolidine carbohydrazide

Applications Claiming Priority (3)

Application NumberPriority DateFiling DateTitle
CN200710015311.52007-06-28
CN2007100153112007-06-28
CN2008101293432ACN101367809B (en)2007-06-282008-06-28 Penem derivatives containing mercaptopyrrolidine carbohydrazide

Publications (2)

Publication NumberPublication Date
CN101367809A CN101367809A (en)2009-02-18
CN101367809Btrue CN101367809B (en)2011-04-27

Family

ID=40411834

Family Applications (1)

Application NumberTitlePriority DateFiling Date
CN2008101293432AExpired - Fee RelatedCN101367809B (en)2007-06-282008-06-28 Penem derivatives containing mercaptopyrrolidine carbohydrazide

Country Status (1)

CountryLink
CN (1)CN101367809B (en)

Citations (3)

* Cited by examiner, † Cited by third party
Publication numberPriority datePublication dateAssigneeTitle
EP0126587A1 (en)*1983-05-091984-11-28Sumitomo Pharmaceuticals Company, LimitedCarboxylic thio-pyrrolidinyl beta-lactam compounds and production thereof
CN1090283A (en)*1992-09-021994-08-03东亚制药株式会社Carbapeneme derivatives and its preparation method
CN1223655A (en)*1996-04-261999-07-21三共株式会社1-methylcarbapenem derivatives

Patent Citations (3)

* Cited by examiner, † Cited by third party
Publication numberPriority datePublication dateAssigneeTitle
EP0126587A1 (en)*1983-05-091984-11-28Sumitomo Pharmaceuticals Company, LimitedCarboxylic thio-pyrrolidinyl beta-lactam compounds and production thereof
CN1090283A (en)*1992-09-021994-08-03东亚制药株式会社Carbapeneme derivatives and its preparation method
CN1223655A (en)*1996-04-261999-07-21三共株式会社1-methylcarbapenem derivatives

Also Published As

Publication numberPublication date
CN101367809A (en)2009-02-18

Similar Documents

PublicationPublication DateTitle
CN101372489B (en)Carbapenem derivative containing sulfhydryl pyrrolidine formamide benzyl
CN101525336B (en)Carbapenem compound containing substituted formohydrazide group
CN101362760B (en)1beta-methyl carbapenem compound
CN101333217A (en)1-methyl carbapenem antibiotics
CN101323615B (en)Pennem derivates containing formamide heterocycle sulfonic acid amide sulfhydryl pyrrolidine
CN101367809B (en) Penem derivatives containing mercaptopyrrolidine carbohydrazide
CN101367811B (en) carbapenem antibiotics
CN101367816B (en)Carbpenem derivants
CN101367807B (en) Penem derivatives substituted by mercaptopyrrolidinecarboxamidopyridine
CN101367817B (en)Carbpenem compound containing cyclohexenone formamido group
CN101328179B (en) Mercaptopyrrolidopenem derivatives containing oxo nitrogen heterocycle
CN101367805B (en)Formyl guanidino substituted sulfhydryl pyrrolidine carbpenem compounds
CN101372488A (en)Novel carbapenem compound
CN101260108B (en) Mercaptopyrrolidone Carbapenem Derivatives
CN101376656A (en)Penem derivative
CN101367810A (en)Novel carbpenem antibiotic
CN101362759B (en) Carbapenem Derivatives Containing Dihydropyrromethene Substitution
CN101357916B (en)Penem compound containing dihydroimidazole formamido
CN101367815B (en)Six-membered ring methanamide substituted sulfhydryl pyrrolidine carbpenem compound
CN101367806B (en) Formanilide-substituted mercaptopyrrolidine carbapenems
CN101362758B (en) Penem derivatives containing mercaptopyrrolidine vinyl heterocycle
CN101450948A (en)Penem compounds with sulfhydryl pyrrolidine substituted by heterocycle formamido
CN101412717A (en)Carbapenem derivative containing guanidyl alkanoylamino heterocycle
CN101362757A (en)Sulfonyl substituted carbpenems compounds
CN101357917B (en)Carbapenem compound containing formyl hydrazino

Legal Events

DateCodeTitleDescription
C06Publication
PB01Publication
C10Entry into substantive examination
SE01Entry into force of request for substantive examination
C14Grant of patent or utility model
GR01Patent grant
TR01Transfer of patent right

Effective date of registration:20190116

Address after:570105 Tianyi International Building, 85 Binhai Avenue, Longhua District, Haikou City, Hainan Province, 27th Floor

Patentee after:Hainan Xuanzhu Pharma Co.,Ltd.

Address before:250101 No. 2518 Tianchen Street, Jinan High-tech Development Zone, Shandong Province

Patentee before:XUANZHU PHARMA Co.,Ltd.

TR01Transfer of patent right
CP01Change in the name or title of a patent holder

Address after:050000 Beijing Tianjin Hebei Collaborative Innovation Demonstration Park, 769 Taihang street, high tech Zone, Shijiazhuang City, Hebei Province 203c507

Patentee after:Xuanzhu Biotechnology Co.,Ltd.

Address before:050000 Beijing Tianjin Hebei Collaborative Innovation Demonstration Park, 769 Taihang street, high tech Zone, Shijiazhuang City, Hebei Province 203c507

Patentee before:Xuanzhu (Shijiazhuang) Biotechnology Co.,Ltd.

Address after:570105 Tianyi International Building, 85 Binhai Avenue, Longhua District, Haikou City, Hainan Province, 27th Floor

Patentee after:Xuanzhu (Hainan) Pharmaceutical Technology Co.,Ltd.

Address before:570105 Tianyi International Building, 85 Binhai Avenue, Longhua District, Haikou City, Hainan Province, 27th Floor

Patentee before:Hainan Xuanzhu Pharma Co.,Ltd.

CP01Change in the name or title of a patent holder
CP03Change of name, title or address

Address after:050000 Beijing Tianjin Hebei Collaborative Innovation Demonstration Park, 769 Taihang street, high tech Zone, Shijiazhuang City, Hebei Province 203c507

Patentee after:Xuanzhu (Shijiazhuang) Biotechnology Co.,Ltd.

Address before:570105 Tianyi International Building, 85 Binhai Avenue, Longhua District, Haikou City, Hainan Province, 27th Floor

Patentee before:Xuanzhu (Hainan) Pharmaceutical Technology Co.,Ltd.

CP03Change of name, title or address
CP01Change in the name or title of a patent holder

Address after:050000 Beijing Tianjin Hebei Collaborative Innovation Demonstration Park 203c507, 769 Taihang street, high tech Zone, Shijiazhuang City, Hebei Province

Patentee after:Xuanzhu Biotechnology Co.,Ltd.

Address before:050000 Beijing Tianjin Hebei Collaborative Innovation Demonstration Park 203c507, 769 Taihang street, high tech Zone, Shijiazhuang City, Hebei Province

Patentee before:Xuanzhu Biotechnology Co.,Ltd.

CP01Change in the name or title of a patent holder
CF01Termination of patent right due to non-payment of annual fee

Granted publication date:20110427

CF01Termination of patent right due to non-payment of annual fee

[8]ページ先頭

©2009-2025 Movatter.jp