Movatterモバイル変換


[0]ホーム

URL:


CN101319919B - A method and device for demodulating a frequency-domain fiber grating sensor network - Google Patents

A method and device for demodulating a frequency-domain fiber grating sensor network
Download PDF

Info

Publication number
CN101319919B
CN101319919BCN2008101200211ACN200810120021ACN101319919BCN 101319919 BCN101319919 BCN 101319919BCN 2008101200211 ACN2008101200211 ACN 2008101200211ACN 200810120021 ACN200810120021 ACN 200810120021ACN 101319919 BCN101319919 BCN 101319919B
Authority
CN
China
Prior art keywords
fiber
sensing
bragg grating
port
fiber bragg
Prior art date
Legal status (The legal status is an assumption and is not a legal conclusion. Google has not performed a legal analysis and makes no representation as to the accuracy of the status listed.)
Expired - Fee Related
Application number
CN2008101200211A
Other languages
Chinese (zh)
Other versions
CN101319919A (en
Inventor
何赛灵
周斌
李帅伟
Current Assignee (The listed assignees may be inaccurate. Google has not performed a legal analysis and makes no representation or warranty as to the accuracy of the list.)
Zhejiang University ZJU
Original Assignee
Zhejiang University ZJU
Priority date (The priority date is an assumption and is not a legal conclusion. Google has not performed a legal analysis and makes no representation as to the accuracy of the date listed.)
Filing date
Publication date
Application filed by Zhejiang University ZJUfiledCriticalZhejiang University ZJU
Priority to CN2008101200211ApriorityCriticalpatent/CN101319919B/en
Publication of CN101319919ApublicationCriticalpatent/CN101319919A/en
Application grantedgrantedCritical
Publication of CN101319919BpublicationCriticalpatent/CN101319919B/en
Expired - Fee Relatedlegal-statusCriticalCurrent
Anticipated expirationlegal-statusCritical

Links

Landscapes

Abstract

The invention relates to a method and a device for demodulating a frequency domain fiber grating sensing network. In the invention, an electro-optic modulator is connected with a Sagnac loop; an FBG sensing network formed by connecting a plurality of sensing FBGs in series is connected with the Sagnac loop by a three-port 3-dB fiber coupler; the bragg wavelengths of each reference FBG on a reference FBG array are the same as the sensing FBGs with same sequence numbers. The electro-optic modulator is driven by a RF signal with variable frequencies. When the frequencies of the RF signal are changed, the change of the transmittance is detected by a photodiode; the drift amount of the bragg wavelengths of each sensing FBG on the sensing network is obtained by carrying out fast Fourier transformation and relevant operations on the output data of the photodiode collected by a collecting card, and finally the change of the sensed physical quantity is obtained. The invention can have an extremely high response speed for meeting the requirements of real time sensing; besides, as the sensing network is connected with the Sagnac loop, the performances of anti-external temperature fluctuation and anti-mechanical disturbance of the device are high.

Description

Translated fromChinese
一种频域光纤光栅传感网络解调的方法和设备 A method and device for demodulating a frequency-domain fiber grating sensor network

技术领域technical field

本发明属于光纤传感技术领域,适用于需要多节点、高精度、抗电磁干扰的实时传感网络的领域,特别涉及了一种利用电光调制器改变光波频率引起萨尼亚克(Sagnac)环结构不对称的效应以及光纤布拉格光栅(FBG)斜边检测技术来实现FBG传感网络解调的方法以及实现该方法的设备。 The invention belongs to the technical field of optical fiber sensing, and is applicable to the field of real-time sensing network requiring multi-node, high precision and anti-electromagnetic interference, and in particular relates to a method of using an electro-optical modulator to change the frequency of light waves to cause a Sagnac ring The effect of structural asymmetry and the method for realizing FBG sensor network demodulation by fiber Bragg grating (FBG) hypotenuse detection technology and the equipment for realizing the method. the

背景技术Background technique

FBG由于其特有的光纤内部敏感、波长编码、易于组网等优点而成为光纤传感的一种重要器件。基于已经发展起来的波分复用(WDM)和时分复用(TDM)技术,光纤光栅阵列被广泛用于光纤准分布式传感,如:铁路、大桥、水坝等的健康监测,主干输电线沿线的温度监控。其中,WDM要求需要一套相对复杂的波长敏感系统来进行复用信号的解复用,如:可调法布里-泊罗滤波器、富里叶频谱计、波长敏感耦合器等。而在TDM中,一般采用窄脉冲光源输入,各个FBG传感器的反射光信号利用不同的延时实现信号复用,并被解调端的高速门处理电路解复用。这两套复用技术,都需要成本较高的光源和复杂的解调系统,直接导致了FBG传感网络的成本居高不下,限制了其很多实际应用。 FBG has become an important device for optical fiber sensing due to its unique advantages of optical fiber internal sensitivity, wavelength coding, and easy networking. Based on the developed wavelength division multiplexing (WDM) and time division multiplexing (TDM) technologies, fiber grating arrays are widely used in optical fiber quasi-distributed sensing, such as: health monitoring of railways, bridges, dams, etc., backbone transmission lines Temperature monitoring along the route. Among them, WDM requires a relatively complex wavelength-sensitive system to demultiplex multiplexed signals, such as: adjustable Fabry-Perot filter, Fourier spectrum meter, wavelength-sensitive coupler, etc. In TDM, a narrow pulse light source is generally used for input, and the reflected light signals of each FBG sensor are multiplexed with different delays, and demultiplexed by the high-speed gate processing circuit at the demodulation end. Both sets of multiplexing technologies require high-cost light sources and complex demodulation systems, which directly lead to the high cost of the FBG sensor network and limit many of its practical applications. the

电光调制器可以在一定范围内精确改变经过调制器的光波的频率;Sagnac环由于其结构的对称性,对外界温度变化,机械振动等干扰不敏感,在光纤传感,光纤检测等领域应用十分广泛;使用基于电光调制器光频变转的Sagnac结构实现的FBG准分布式传感网络,结构简单,抗干扰性强,不需要高速的光电元件,成本很低,因此非常适用于实际应用。 The electro-optic modulator can accurately change the frequency of the light wave passing through the modulator within a certain range; due to the symmetry of its structure, the Sagnac ring is not sensitive to external temperature changes, mechanical vibration and other interference, and is very suitable for optical fiber sensing, optical fiber detection and other fields. Extensive; the FBG quasi-distributed sensor network realized by the Sagnac structure based on the optical frequency conversion of the electro-optical modulator has a simple structure, strong anti-interference, does not require high-speed photoelectric components, and is very low in cost, so it is very suitable for practical applications. the

发明内容Contents of the invention

本发明的目的就是针对现有技术的不足,使用电光调制器光频变换技术,提出了一种实现新型FBG准分布式传感网络的解决方案。使用宽带光源,低速光电二极管,低速数据采集卡和傅立叶频率计,以及非对称Sagnac结构作为系统关键元件,具有低成本、抗干扰性好、结构简单实用、能实现实时检测的优点。同时提供了实现该方法的设备。 The purpose of the present invention is to address the deficiencies of the prior art, and propose a solution for realizing a novel FBG quasi-distributed sensor network by using the optical frequency conversion technology of an electro-optic modulator. Using broadband light source, low-speed photodiode, low-speed data acquisition card and Fourier frequency meter, and asymmetric Sagnac structure as the key components of the system, it has the advantages of low cost, good anti-interference, simple and practical structure, and real-time detection. At the same time, a device for realizing the method is provided. the

本发明的方法包括以下步骤: Method of the present invention comprises the following steps:

1、中心波长在光通信波段的宽带光源发出的光束通过光纤隔离器和四端口3-dB光纤耦合器后,进入萨尼亚克环中。 1. The light beam emitted by the broadband light source with the center wavelength in the optical communication band passes through the fiber isolator and the four-port 3-dB fiber coupler, and then enters the Sagnac ring. the

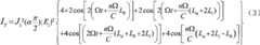
2、光束进入萨尼亚克环后分为两路,其中一路进入长度已知的测量段单模光纤,再通过测量段单模光纤中插入的三端口3-dB光纤耦合器入射到由多个不同布拉格波长的传感光纤布拉格光栅串联成的光纤布拉格光栅传感网络;光束被传感网络上的各个传感光纤布拉格光栅反射,反射光包括 了所有传感光纤布拉格光栅的反射光谱;反射后光束经过三端口3-dB光纤耦合器回到测量段单模光纤,通过电光调制器产生变频,所述的电光调制器由频率受调制的正弦信号发生器驱动;变频后的光束经过长度已知的连接段单模光纤,回到四端口3-dB光纤耦合器;被传感网络上第i个传感光纤布拉格光栅反射的光束回到四端口3-dB光纤耦合器时电场强度E1-i为: 2. After the light beam enters the Sagnac ring, it is divided into two paths, one of which enters the single-mode optical fiber of the measurement section with known length, and then enters the multi-port optical fiber coupler through the three-port 3-dB fiber coupler inserted in the single-mode fiber A fiber Bragg grating sensing network composed of sensing fiber Bragg gratings with different Bragg wavelengths in series; the light beam is reflected by each sensing fiber Bragg grating on the sensing network, and the reflected light includes the reflection spectrum of all sensing fiber Bragg gratings; the reflection The rear light beam returns to the single-mode fiber in the measurement section through the three-port 3-dB fiber coupler, and generates frequency conversion through the electro-optic modulator. The electro-optic modulator is driven by a sinusoidal signal generator whose frequency is modulated; The known connecting section single-mode fiber returns to the four-port 3-dB fiber coupler; the electric field intensity E1 -i is:

EE.11--ii==--JJ11((ααππ22))EE.iiexpexp((ii((ωωii--ΩΩ))tt++nini[[LLaa++22LLiiCCωωii++LLbbCC((ωωii--ΩΩ))]]))++expexp((ii((ωωii++ΩΩ))tt++nini[[LLaa++22LLiiCCωωii++LLbbCC((ωωii++ΩΩ))]]))------((11))

其中Ei为第i个传感光纤布拉格光栅反射的光束的电场强度,J1为一阶贝塞尔函数,α为电光调制器驱动信号的归一化振幅,ωi为第i个传感光纤布拉格光栅的布拉格波长对应的角频率,Ω为电光调制器驱动信号的角频率,n为单模光纤的折射率,C为真空中的光速,Li为传感网络上第i个传感光纤布拉格光栅与三端口3-dB光纤耦合器之间的光纤长度,La为测量段单模光纤的长度,Lb为连接段单模光纤的长度,La>>Lb。 where Ei is the electric field intensity of the light beam reflected by the i-th sensing FBG, J1 is the first-order Bessel function, α is the normalized amplitude of the driving signal of the electro-optic modulator, and ωi is the i-th sensor The angular frequency corresponding to the Bragg wavelength of the fiber Bragg grating, Ω is the angular frequency of the driving signal of the electro-optic modulator, n is the refractive index of the single-mode fiber, C is the speed of light in vacuum, Li is the i-th sensor on the sensor network The length of the fiber between the fiber Bragg grating and the three-port 3-dB fiber coupler, La is the length of the single-mode fiber in the measurement section, Lb is the length of the single-mode fiber in the connection section, La >>Lb .

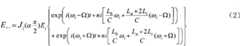
另一路光束首先经过长度已知的连接段单模光纤,然后通过电光调制器产生变频,变频后的光束进入长度已知的测量段单模光纤;光束通过测量段单模光纤中插入的三端口3-dB光纤耦合器入射到光纤布拉格光栅传感网络,光束被传感网络上的各个传感光纤布拉格光栅反射,反射后光束经过三端口3-dB光纤耦合器回到测量段单模光纤,再回到四端口3-dB光纤耦合器;被传感网络上第i个传感光纤布拉格光栅反射的光束回到四端口3-dB光纤耦合器时电场强度E2-i为: The other beam first passes through the single-mode fiber of the connecting section with known length, and then generates frequency conversion through the electro-optical modulator, and the light beam after frequency conversion enters the single-mode fiber of the measuring section with known length; the beam passes through the three ports inserted in the single-mode fiber of the measuring section The 3-dB fiber coupler is incident to the fiber Bragg grating sensing network, and the beam is reflected by each sensing fiber Bragg grating on the sensing network. After reflection, the beam returns to the single-mode fiber in the measurement section through the three-port 3-dB fiber coupler. Go back to the four-port 3-dB fiber coupler; the electric field intensity E2-i when the light beam reflected by the i-th sensing fiber Bragg grating on the sensor network returns to the four-port 3-dB fiber coupler is:

EE.22--ii==JJ11((ααππ22))EE.iiexpexp((ii((ωωii--ΩΩ))tt++nini[[LLbbCCωωii++LLaa++22LLiiCC((ωωii--ΩΩ))]]))++expexp((ii((ωωii++ΩΩ))tt++nini[[LLbbCCωωii++LLaa++22LLiiCC((ωωii++ΩΩ))]]))------((22))

第i个传感光纤布拉格光栅对应的两束光在四端口3-dB光纤耦合器中发生干涉,透射光的强度为: The two beams of light corresponding to the i-th sensing fiber Bragg grating interfere in the four-port 3-dB fiber coupler, and the intensity of the transmitted light is:

IITT==JJ1122((ααππ22))||EE.ii||2244++22coscos[[22((ΩtΩt++nΩnΩCCLLbb))]]++22coscos[[22((ΩtΩt++nΩnΩCC((LLaa++22LLii))))]]++44coscos[[((22ΩtΩt++nΩnΩCC((LLaa++LLbb++22LLii))))]]++44coscos[[nΩnΩCC((LLaa++22LLii--LLbb))]]------((33))

3、透过萨尼亚克环的光束通过光纤环形器入射到由多个参考光纤布拉格光栅串联成的光纤布拉格光栅参考阵列,光纤布拉格光栅参考阵列中的各个参考光纤布拉格光栅与光纤布拉格光栅传感网络中的各个传感光纤布拉格光栅一一对应,并且相对应的参考光纤布拉格光栅和传感光纤布拉格光栅的布拉格波长相同。3. The light beam passing through the Sagnac ring enters the fiber Bragg grating reference array composed of multiple reference fiber Bragg gratings in series through the fiber circulator, and each reference fiber Bragg grating in the fiber Bragg grating reference array is connected to the fiber There is a one-to-one correspondence between each sensing fiber Bragg grating in the sensing network, and the Bragg wavelengths of the corresponding reference fiber Bragg grating and the sensing fiber Bragg grating are the same.

4、光电二极管探测由光纤布拉格光栅参考阵列反射的光束的强度,光电二极管的截至频率为fb,fb<<Ω,由光电二极管接收到的光强为: 4. The photodiode detects the intensity of the light beam reflected by the fiber Bragg grating reference array. The cut-off frequency of the photodiode is fb , fb <<Ω, and the light intensity received by the photodiode is:

IITT==JJ1122((&alpha;&alpha;&pi;&pi;22)){{44++44coscos[[n&Omega;n&Omega;CC((LLaa++22LLii--LLbb))]]}}------((44))

电光调制器的驱动频率Ω以扫描频率w按照2πwt作线性变化,通过线性扫描,各个传感FBG反射的激光的透射光强分别按cos(fit)变化 The driving frequency Ω of the electro-optic modulator changes linearly with the scanning frequency w according to 2πwt. Through linear scanning, the transmitted light intensity of the laser reflected by each sensing FBG changes according to cos(fi t)

ffiitt==n&Omega;n&Omega;CC((LLaa++22LLii--LLbb))==22&pi;wt&pi;wt&CenterDot;&Center Dot;nnoCC((LLaa++22LLii--LLbb))==22&pi;n&pi;nLLaa++22LLii--LLbbCCwtwt------((55))

其中fi为光强变化的频率。 Where fi is the frequency of light intensity change.

光电二极管将光强信号转化为电信号,由数据采集卡进行采集,并进行快速傅立叶变换(FFT),在频谱上得到式(5)对应的各个峰,通过测量各个峰的频率fi的得到各个峰对应的传感光纤布拉格光栅在光纤布拉格光栅传感网络上的位置LiThe photodiode converts the light intensity signal into an electrical signal, which is collected by the data acquisition card, and performs fast Fourier transform (FFT), and obtains each peak corresponding to formula (5) on the frequency spectrum, and obtains by measuring the frequencyfi of each peak The position Li of the sensing fiber Bragg grating corresponding to each peak on the fiber Bragg grating sensing network

LLii==((CfCfii22&pi;nw&pi;nw--LLaa++LLbb))//22------((66))

5、频谱上各个峰的强度由对应的各个传感FBG中心波长与和其序号相同的参考FBG的中心波长的位置差的大小决定。依次在各个传感光纤布拉格光栅上施加应力,使中心波长向长波方向漂移,记录中心波长的移动量与频谱上对应的各个峰的强度改变的关系。 5. The intensity of each peak on the frequency spectrum is determined by the position difference between the center wavelength of each corresponding sensing FBG and the center wavelength of the reference FBG with the same serial number. Stress is applied to each sensing fiber Bragg grating in turn to make the center wavelength shift to the long-wave direction, and the relationship between the shift amount of the center wavelength and the intensity change of each corresponding peak on the spectrum is recorded. the

6、将各个传感光纤布拉格光栅安装在需要传感的环境中,环境中待测物理量改变时,各个传感光纤布拉格光栅的中心波长发生移动,并引起频谱上对应的峰值的强度改变;根据记录的中心波长的移动量与频谱上对应的各个峰的强度改变的关系,得到各个光纤布拉格光栅中心波长的移动量,最终得到各个光纤布拉格光栅所传感的环境物理量。 6. Install each sensing fiber Bragg grating in the environment that needs to be sensed. When the physical quantity to be measured in the environment changes, the center wavelength of each sensing fiber Bragg grating will move, and cause the intensity of the corresponding peak on the spectrum to change; according to The relationship between the recorded movement of the central wavelength and the intensity change of each corresponding peak on the spectrum is obtained to obtain the movement of the central wavelength of each fiber Bragg grating, and finally to obtain the environmental physical quantity sensed by each fiber Bragg grating. the

光纤布拉格光栅的中心波长的波长漂移量与对应传感的环境物理量变化(微弯、温度、应力等变化)间的关系为现有技术。 The relationship between the wavelength shift of the central wavelength of the fiber Bragg grating and the corresponding sensing environmental physical quantity change (microbending, temperature, stress, etc.) is in the prior art. the

实现上述方案的设备为:中心波长在光通信波段的宽带光源通过光纤隔离器与四端口3-dB光纤耦合器的输入端口光连接,四端口3-dB光纤耦合器的输出端口与光纤环形器的输入端口连接,光纤环形器的输出端口与光电二极管的输入端光连接,光电二极管的输出端与数据采集卡的输入端电连接,数据采集卡的输出端与快速傅立叶变换分析仪电连接,光纤环形器的中间端口与光纤布拉格光栅参考阵列光连接; The equipment to realize the above scheme is: the broadband light source with the center wavelength in the optical communication band is optically connected to the input port of the four-port 3-dB fiber coupler through the fiber isolator, and the output port of the four-port 3-dB fiber coupler is connected to the fiber circulator The input port of the optical fiber circulator is optically connected to the input port of the photodiode, the output port of the photodiode is electrically connected to the input port of the data acquisition card, and the output port of the data acquisition card is electrically connected to the fast Fourier transform analyzer. The middle port of the fiber optic circulator is optically connected to the fiber Bragg grating reference array;

四端口3-dB光纤耦合器的另外两个端口通过单模光纤连接,单模光纤由电光调制器分为两段,分别为测量段单模光纤和连接段单模光纤,长度分别为La和Lb,La>>Lb,电光调制器的电驱动信号口与正弦信号发生器电连接;测量段单模光纤中插入三端口3-dB光纤耦合器,三端口3-dB光纤耦合器的输入端的两端口分别与测量段单模光纤连接,另一个端口与光纤布拉格光栅传感网络光连接; The other two ports of the four-port 3-dB fiber optic coupler are connected by a single-mode fiber, and the single-mode fiber is divided into two sections by the electro-optical modulator, which are the single-mode fiber of the measurement section and the single-mode fiber of the connection section, and the lengths are La and Lb , La >>Lb , the electrical drive signal port of the electro-optic modulator is electrically connected to the sinusoidal signal generator; a three-port 3-dB fiber coupler is inserted into the single-mode fiber in the measurement section, and the three-port 3-dB fiber coupler The two ports of the input end of the sensor are respectively connected to the single-mode optical fiber of the measurement section, and the other port is optically connected to the fiber Bragg grating sensor network;

所述的光纤布拉格光栅传感网络由多个不同布拉格波长的传感光纤布拉格光栅串联而成,各个传感光纤布拉格光栅的布拉格波长间隔0.6~1.2nm;光纤布拉格光栅参考阵列中的各个参考光纤布拉格光栅与光纤布拉格光栅传感网络中的各个传感光纤布拉格光栅一一对应,并且相对应的参考光纤布拉格光栅和传感光纤布拉格光栅的布拉格波长相同。 The fiber Bragg grating sensing network is composed of a plurality of sensing fiber Bragg gratings with different Bragg wavelengths in series, and the Bragg wavelength interval of each sensing fiber Bragg grating is 0.6-1.2nm; The Bragg gratings are in one-to-one correspondence with each sensing fiber Bragg grating in the fiber Bragg grating sensing network, and the Bragg wavelengths of the corresponding reference fiber Bragg gratings and sensing fiber Bragg gratings are the same. the

本发明中,电光调制器可以在一定范围内精确使经过调制器的光波发生频移。同时,Sagnac环对外界温度变化、机械振动等干扰不敏感。本发明适用于一般性的FBG准分布式传感网络,与传统的FBG传感网络方案相比,采用了电子频率扫描,而不是使用低速的机械控制的波长扫描装置,能做到极高的响应速度,满足实时传感的要求;并且由于不需要短脉冲激光,高速光电二极管和高速数据采集卡,因此成本相对较低;另外由于传感网络连入Sagnac环中,设备抗外界温度波动以及机械扰动性能强。 In the present invention, the electro-optical modulator can accurately shift the frequency of the light wave passing through the modulator within a certain range. At the same time, the Sagnac ring is insensitive to disturbances such as external temperature changes and mechanical vibrations. The present invention is suitable for general FBG quasi-distributed sensor network. Compared with the traditional FBG sensor network scheme, electronic frequency scanning is adopted instead of low-speed mechanically controlled wavelength scanning device, which can achieve extremely high Response speed meets the requirements of real-time sensing; and because short-pulse lasers, high-speed photodiodes and high-speed data acquisition cards are not required, the cost is relatively low; in addition, because the sensor network is connected to the Sagnac ring, the equipment is resistant to external temperature fluctuations and Strong mechanical disturbance performance. the

附图说明Description of drawings

图1为本发明的整体结构示意图; Fig. 1 is the overall structure schematic diagram of the present invention;

图2为本发明一具体实施例的定标数据。 Fig. 2 is the calibration data of a specific embodiment of the present invention. the

具体实施方式Detailed ways

如图1所示,宽带光源1通过光纤隔离器2与四端口3-dB光纤耦合器3的一个输入端口光连接;四端口3-dB光纤耦合器3的另一个输入端口通过光纤环形器4与参考FBG阵列16光连接,参考FBG阵列16由多个参考FBG 15串联而成,光纤环形器4的输出端口与光电二极管5的输入端光连接,光电二极管5的输出端与数据采集卡6的输入端电连接,数据采集卡6的输出端与FFT分析仪7电连接。 As shown in Figure 1, a broadband light source 1 is optically connected to one input port of a four-port 3-dB fiber coupler 3 through a fiber isolator 2; the other input port of the four-port 3-dB fiber coupler 3 is connected through a fiber circulator 4 It is optically connected to the reference FBG array 16, the reference FBG array 16 is formed by a plurality of reference FBGs 15 in series, the output port of the optical fiber circulator 4 is optically connected to the input end of the photodiode 5, and the output end of the photodiode 5 is connected to the data acquisition card 6 The input terminal of the data acquisition card 6 is electrically connected with the FFT analyzer 7. the

四端口3-dB光纤耦合器3的两个另外两个端口通过单模光纤连接,单模光纤由电光调制器9分为两段,分别为测量段单模光纤12和连接段单模光纤8,长度分别为La和Lb,La>>Lb。电光调制器9的电驱动信号口与正弦信号发生器10电连接。测量段单模光纤12中插入三端口3-dB光纤耦合器11,三端口3-dB光纤耦合器11的输入端的两端口分别与测量段单模光纤12连接,另一个端口与传感网络单模光纤13连接。多个传感FBG 14依次串联在传感网络单模光纤13上。 The two other two ports of the four-port 3-dB fiber optic coupler 3 are connected by a single-mode fiber, and the single-mode fiber is divided into two sections by the electro-optic modulator 9, which are respectively the measurement section single-mode fiber 12 and the connection section single-mode fiber 8 , the lengths are La and Lb respectively, and La >>Lb . The electrical drive signal port of the electro-optic modulator 9 is electrically connected to the sinusoidal signal generator 10 . A three-port 3-dB fiber optic coupler 11 is inserted into the single-mode fiber 12 of the measurement section, and two ports of the input end of the three-port 3-dB fiber optic coupler 11 are respectively connected to the single-mode fiber 12 of the measurement section, and the other port is connected to the sensor network unit Mode fiber 13 connection. Multiple sensing FBGs 14 are sequentially connected in series on the single-mode optical fiber 13 of the sensing network.

具体的检测方法包括以下步骤: The specific detection method includes the following steps:

中心波长在光通信波段的宽带光源发出的光束通过光纤隔离器和四端口3-dB光纤耦合器后,进入萨尼亚克环中。 The light beam emitted by the broadband light source with the center wavelength in the optical communication band passes through the fiber isolator and the four-port 3-dB fiber coupler, and then enters the Sagnac ring. the

光束进入萨尼亚克环后分为两路,其中一路进入长度已知的测量段单模光纤,再通过测量段单模光纤中插入的三端口3-dB光纤耦合器入射到由多个不同布拉格波长的传感光纤布拉格光栅串联成的光纤布拉格光栅传感网 络;光束被传感网络上的各个传感光纤布拉格光栅反射,反射光包括了所有传感光纤布拉格光栅的反射光谱;反射后光束经过三端口3-dB光纤耦合器回到测量段单模光纤,通过电光调制器产生变频,所述的电光调制器由频率受调制的正弦信号发生器驱动;变频后的光束经过长度已知的连接段单模光纤,回到四端口3-dB光纤耦合器;被传感网络上第i个传感光纤布拉格光栅反射的光束回到四端口3-dB光纤耦合器时电场强度E1-i为: After the light beam enters the Sagnac ring, it is divided into two paths, one of which enters the single-mode fiber of the measurement section with a known length, and then enters the three-port 3-dB fiber coupler inserted in the single-mode fiber of the measurement section into multiple different Fiber Bragg grating sensing network composed of sensing fiber Bragg gratings with Bragg wavelength in series; the light beam is reflected by each sensing fiber Bragg grating on the sensing network, and the reflected light includes the reflection spectrum of all sensing fiber Bragg gratings; after reflection, the light beam Go back to the single-mode fiber in the measurement section through the three-port 3-dB fiber coupler, and generate frequency conversion through the electro-optic modulator. The electro-optic modulator is driven by a frequency-modulated sinusoidal signal generator; The connecting section of single-mode fiber returns to the four-port 3-dB fiber coupler; the electric field intensity E1-i when the light beam reflected by the i-th sensing fiber Bragg grating on the sensor network returns to the four-port 3-dB fiber coupler for:

EE.11--ii==--JJ11((&alpha;&alpha;&pi;&pi;22))EE.iiexpexp((ii((&omega;&omega;ii--&Omega;&Omega;))tt++nini[[LLaa++22LLiiCC&omega;&omega;ii++LLbbCC((&omega;&omega;ii--&Omega;&Omega;))]]))++expexp((ii((&omega;&omega;ii++&Omega;&Omega;))tt++nini[[LLaa++22LLiiCC&omega;&omega;ii++LLbbCC((&omega;&omega;ii++&Omega;&Omega;))]]))------((11))

其中Ei为第i个传感光纤布拉格光栅反射的光束的电场强度,J1为一阶贝塞尔函数,α为电光调制器驱动信号的归一化振幅,ωi为第i个传感光纤布拉格光栅的布拉格波长对应的角频率,Ω为电光调制器驱动信号的角频率,n为单模光纤的折射率,C为真空中的光速,Li为传感网络上第i个传感光纤布拉格光栅与三端口3-dB光纤耦合器之间的光纤长度,La为测量段单模光纤的长度,Lb为连接段单模光纤的长度,La>>Lb。 where Ei is the electric field intensity of the light beam reflected by the i-th sensing FBG, J1 is the first-order Bessel function, α is the normalized amplitude of the driving signal of the electro-optic modulator, and ωi is the i-th sensor The angular frequency corresponding to the Bragg wavelength of the fiber Bragg grating, Ω is the angular frequency of the driving signal of the electro-optic modulator, n is the refractive index of the single-mode fiber, C is the speed of light in vacuum, Li is the i-th sensor on the sensor network The length of the fiber between the fiber Bragg grating and the three-port 3-dB fiber coupler, La is the length of the single-mode fiber in the measurement section, Lb is the length of the single-mode fiber in the connection section, La >>Lb .

另一路光束首先经过长度已知的连接段单模光纤,然后通过电光调制器产生变频,变频后的光束进入长度已知的测量段单模光纤;光束通过测量段单模光纤中插入的三端口3-dB光纤耦合器入射到光纤布拉格光栅传感网络,光束被传感网络上的各个传感光纤布拉格光栅反射,反射后光束经过三端口3-dB光纤耦合器回到测量段单模光纤,再回到四端口3-dB光纤耦合器;被传感网络上第i个传感光纤布拉格光栅反射的光束回到四端口3-dB光纤耦合器时电场强度E2-i为: The other beam first passes through the single-mode fiber of the connecting section with known length, and then generates frequency conversion through the electro-optical modulator, and the light beam after frequency conversion enters the single-mode fiber of the measuring section with known length; the beam passes through the three ports inserted in the single-mode fiber of the measuring section The 3-dB fiber coupler is incident to the fiber Bragg grating sensing network, and the beam is reflected by each sensing fiber Bragg grating on the sensing network. After reflection, the beam returns to the single-mode fiber in the measurement section through the three-port 3-dB fiber coupler. Go back to the four-port 3-dB fiber coupler; the electric field intensity E2-i when the light beam reflected by the i-th sensing fiber Bragg grating on the sensor network returns to the four-port 3-dB fiber coupler is:

EE.22--ii==JJ11((&alpha;&alpha;&pi;&pi;22))EE.iiexpexp((ii((&omega;&omega;ii--&Omega;&Omega;))tt++nini[[LLbbCC&omega;&omega;ii++LLaa++22LLiiCC((&omega;&omega;ii--&Omega;&Omega;))]]))++expexp((ii((&omega;&omega;ii++&Omega;&Omega;))tt++nini[[LLbbCC&omega;&omega;ii++LLaa++22LLiiCC((&omega;&omega;ii++&Omega;&Omega;))]]))------((22))

第i个传感光纤布拉格光栅对应的两束光在四端口3-dB光纤耦合器中发生干涉,透射光的强度为: The two beams of light corresponding to the i-th sensing fiber Bragg grating interfere in the four-port 3-dB fiber coupler, and the intensity of the transmitted light is:

IITT==JJ1122((&alpha;&alpha;&pi;&pi;22))||EE.ii||2244++22coscos[[22((&Omega;t&Omega;t++n&Omega;n&Omega;CCLLbb))]]++22coscos[[22((&Omega;t&Omega;t++n&Omega;n&Omega;CC((LLaa++22LLii))))]]++44coscos[[((22&Omega;t&Omega;t++n&Omega;n&Omega;CC((LLaa++LLbb++22LLii))))]]++44coscos[[n&Omega;n&Omega;CC((LLaa++22LLii--LLbb))]]------((33))

透过萨尼亚克环的光束通过光纤环形器入射到由多个参考光纤布拉格光栅串联成的光纤布拉格光栅参考阵列,光纤布拉格光栅参考阵列中的各个参考光纤布拉格光栅与光纤布拉格光栅传感网络中的各个传感光纤布拉格光栅一一对应,并且相对应的参考光纤布拉格光栅和传感光纤布拉格光栅的布拉格波长相同。 The light beam passing through the Sagnac ring enters the fiber Bragg grating reference array composed of multiple reference fiber Bragg gratings in series through the fiber circulator, each reference fiber Bragg grating in the fiber Bragg grating reference array and the fiber Bragg grating sensing network Each sensing fiber Bragg grating in is in one-to-one correspondence, and the Bragg wavelengths of the corresponding reference fiber Bragg grating and sensing fiber Bragg grating are the same. the

光电二极管探测由光纤布拉格光栅参考阵列反射的光束的强度,光电二极管的截至频率为fb,fb<<Ω,由光电二极管接收到的光强为: The photodiode detects the intensity of the light beam reflected by the fiber Bragg grating reference array, the cut-off frequency of the photodiode is fb , fb <<Ω, and the light intensity received by the photodiode is:

IITT==JJ1122((&alpha;&alpha;&pi;&pi;22)){{44++44coscos[[n&Omega;n&Omega;CC((LLaa++22LLii--LLbb))]]}}------((44))

电光调制器的驱动频率Ω以扫描频率w按照2πwt作线性变化,通过线性扫描,各个传感FBG反射的激光的透射光强分别按cos(fit)变化 The driving frequency Ω of the electro-optic modulator changes linearly with the scanning frequency w according to 2πwt. Through linear scanning, the transmitted light intensity of the laser reflected by each sensing FBG changes according to cos(fi t)

ffiitt==n&Omega;n&Omega;CC((LLaa++22LLii--LLbb))==22&pi;wt&pi;wt&CenterDot;&Center Dot;nnoCC((LLaa++22LLii--LLbb))==22&pi;n&pi;nLLaa++22LLii--LLbbCCwtwt------((55))

其中fi为光强变化的频率。 Where fi is the frequency of light intensity change.

光电二极管将光强信号转化为电信号,由数据采集卡进行采集,并进行快速傅立叶变换(FFT),在频谱上得到式(5)对应的各个峰,通过测量各个峰的频率fi的得到各个峰对应的传感光纤布拉格光栅在光纤布拉格光栅传感网络上的位置LiThe photodiode converts the light intensity signal into an electrical signal, which is collected by the data acquisition card, and performs fast Fourier transform (FFT), and obtains each peak corresponding to formula (5) on the frequency spectrum, and obtains by measuring the frequencyfi of each peak The position Li of the sensing fiber Bragg grating corresponding to each peak on the fiber Bragg grating sensing network

LLii==((CfCfii22&pi;nw&pi;nw--LLaa++LLbb))//22------((66))

频谱上各个峰的强度由对应的各个传感FBG中心波长与和其序号相同的参考FBG的中心波长的位置差的大小决定。依次在各个传感光纤布拉格光栅上施加应力,使中心波长向长波方向漂移,记录中心波长的移动量与频谱上对应的各个峰的强度改变的关系。 The intensity of each peak on the frequency spectrum is determined by the positional difference between the center wavelength of each corresponding sensing FBG and the center wavelength of the reference FBG with the same serial number. Stress is applied to each sensing fiber Bragg grating in turn to make the center wavelength shift to the long-wave direction, and the relationship between the shift amount of the center wavelength and the intensity change of each corresponding peak on the spectrum is recorded. the

将各个传感光纤布拉格光栅安装在需要传感的环境中,环境中待测物理量改变时,各个传感光纤布拉格光栅的中心波长发生移动,并引起频谱上对应的峰值的强度改变。如图2所示,根据记录的中心波长的移动量与频谱上对应的各个峰的强度的定标数据,得到各个光纤布拉格光栅中心波长的移动量,最终得到各个光纤布拉格光栅所传感的环境物理量。 Install each sensing fiber Bragg grating in the environment that needs to be sensed. When the physical quantity to be measured in the environment changes, the center wavelength of each sensing fiber Bragg grating will move, and cause the intensity of the corresponding peak on the spectrum to change. As shown in Figure 2, according to the calibration data of the recorded movement of the center wavelength and the intensity of each peak corresponding to the spectrum, the movement of the center wavelength of each fiber Bragg grating is obtained, and finally the environment sensed by each fiber Bragg grating is obtained physical quantity. the

光纤布拉格光栅的中心波长的波长漂移量与对应传感的环境物理量变化(微弯、温度、应力等变化)间的关系为现有技术。 The relationship between the wavelength shift of the central wavelength of the fiber Bragg grating and the corresponding sensing environmental physical quantity change (microbending, temperature, stress, etc.) is in the prior art. the

Claims (2)

Translated fromChinese
1.一种频域光纤光栅传感网络解调的方法,其特征在于该方法的具体步骤是: 1. A method for demodulation of a frequency-domain fiber grating sensing network, characterized in that the specific steps of the method are:a.中心波长在光通信波段的宽带光源发出的光束通过光纤隔离器和四端口3-dB光纤耦合器后,进入萨尼亚克环中; a. The light beam emitted by the broadband light source with the center wavelength in the optical communication band passes through the fiber isolator and the four-port 3-dB fiber coupler, and then enters the Sagnac ring;b.光束进入萨尼亚克环后分为两路,其中一路进入长度已知的测量段单模光纤,再通过测量段单模光纤中插入的三端口3-dB光纤耦合器入射到由多个不同布拉格波长的传感光纤布拉格光栅串联成的光纤布拉格光栅传感网络;光束被传感网络上的各个传感光纤布拉格光栅反射,反射光包括了所有传感光纤布拉格光栅的反射光谱;反射后光束经过三端口3-dB光纤耦合器回到测量段单模光纤,通过电光调制器产生变频,所述的电光调制器由频率受调制的正弦信号发生器驱动;变频后的光束经过长度已知的连接段单模光纤,回到四端口3-dB光纤耦合器;被传感网络上第i个传感光纤布拉格光栅反射的光束回到四端口3-dB光纤耦合器时电场强度E1-i为: b. After the light beam enters the Sagnac ring, it is divided into two paths, one of which enters the single-mode fiber of the measurement section with known length, and then enters the multi-port fiber coupler through the three-port 3-dB fiber coupler inserted in the single-mode fiber of the measurement section. A fiber Bragg grating sensing network composed of sensing fiber Bragg gratings with different Bragg wavelengths in series; the light beam is reflected by each sensing fiber Bragg grating on the sensing network, and the reflected light includes the reflection spectrum of all sensing fiber Bragg gratings; the reflection The rear light beam returns to the single-mode fiber in the measurement section through the three-port 3-dB fiber coupler, and generates frequency conversion through the electro-optic modulator. The electro-optic modulator is driven by a sinusoidal signal generator whose frequency is modulated; The known connecting section single-mode fiber returns to the four-port 3-dB fiber coupler; the electric field intensity E1 -i is:
Figure S2008101200211C00011
Figure S2008101200211C00011
其中Ei为第i个传感光纤布拉格光栅反射的光束的电场强度,J1为一阶贝塞尔函数,α为电光调制器驱动信号的归一化振幅,ωi为第i个传感光纤布拉格光栅的布拉格波长对应的角频率,Ω为电光调制器驱动信号的角频率,n为单模光纤的折射率,C为真空中的光速,Li为传感网络上第i个传感光纤布拉格光栅与三端口3-dB光纤耦合器之间的光纤长度,La为测量段单模光纤的长度,Lb为连接段单模光纤的长度,La>>Lb; where Ei is the electric field intensity of the light beam reflected by the i-th sensing FBG, J1 is the first-order Bessel function, α is the normalized amplitude of the driving signal of the electro-optic modulator, and ωi is the i-th sensor The angular frequency corresponding to the Bragg wavelength of the fiber Bragg grating, Ω is the angular frequency of the driving signal of the electro-optic modulator, n is the refractive index of the single-mode fiber, C is the speed of light in vacuum, Li is the i-th sensor on the sensor network The length of the fiber between the fiber Bragg grating and the three-port 3-dB fiber coupler, La is the length of the single-mode fiber in the measurement section, Lb is the length of the single-mode fiber in the connection section, La >> Lb ;另一路光束首先经过长度已知的连接段单模光纤,然后通过电光调制器产生变频,变频后的光束进入长度已知的测量段单模光纤;光束通过测量段单模光纤中插入的三端口3-dB光纤耦合器入射到光纤布拉格光栅传感网络,光束被传感网络上的各个传感光纤布拉格光栅反射,反射后光束经过三端口3-dB光纤耦合器回到测量段单模光纤,再回到四端口3-dB光纤耦合器;被传感网络上第i个传感光纤布拉格光栅反射的光束回到四端口3-dB光纤耦合器时电场强度E2-i为: The other beam first passes through the single-mode fiber of the connecting section with a known length, and then generates frequency conversion through the electro-optical modulator, and the frequency-converted beam enters the single-mode fiber of the measuring section with a known length; the beam passes through the three ports inserted in the single-mode fiber of the measuring section The 3-dB fiber coupler is incident to the fiber Bragg grating sensing network, and the beam is reflected by each sensing fiber Bragg grating on the sensing network. After reflection, the beam returns to the single-mode fiber in the measurement section through the three-port 3-dB fiber coupler. Go back to the four-port 3-dB fiber coupler; the electric field intensity E2-i when the light beam reflected by the i-th sensing fiber Bragg grating on the sensor network returns to the four-port 3-dB fiber coupler is:
Figure S2008101200211C00021
Figure S2008101200211C00021
第i个传感光纤布拉格光栅对应的两束光在四端口3-dB光纤耦合器中发生干涉,透射光的强度为: The two beams of light corresponding to the i-th sensing fiber Bragg grating interfere in the four-port 3-dB fiber coupler, and the intensity of the transmitted light is:
Figure S2008101200211C00022
Figure S2008101200211C00022
c.透过萨尼亚克环的光束通过光纤环形器入射到由多个参考光纤布拉格光栅串联成的光纤布拉格光栅参考阵列,光纤布拉格光栅参考阵列中的各个参考光纤布拉格光栅与光纤布拉格光栅传感网络中的各个传感光纤布拉格光栅一一对应,并且相对应的参考光纤布拉格光栅和传感光纤布拉格光栅的布拉格波长相同; c. The light beam passing through the Sagnac ring enters the fiber Bragg grating reference array composed of multiple reference fiber Bragg gratings in series through the fiber circulator, and each reference fiber Bragg grating in the fiber Bragg grating reference array is connected to the fiber Bragg grating There is a one-to-one correspondence between each sensing fiber Bragg grating in the sensing network, and the Bragg wavelengths of the corresponding reference fiber Bragg grating and sensing fiber Bragg grating are the same;d.光电二极管探测由光纤布拉格光栅参考阵列反射的光束的强度,光电二极管的截止频率为fb,fb<<Ω,由光电二极管接收到的光强为: d. The photodiode detects the intensity of the light beam reflected by the fiber Bragg grating reference array, the cut-off frequency of the photodiode is fb , fb <<Ω, and the light intensity received by the photodiode is:电光调制器的驱动频率Ω以扫描频率w按照2πwt作线性变化,通过线性扫描,各个传感FBG反射的激光的透射光强分别按cos(fit)变化 The driving frequency Ω of the electro-optic modulator changes linearly with the scanning frequency w according to 2πwt. Through linear scanning, the transmitted light intensity of the laser reflected by each sensing FBG changes according to cos(fi t)
Figure S2008101200211C00024
Figure S2008101200211C00024
其中fi为光强变化的频率; Where fi is the frequency of light intensity change;光电二极管将光强信号转化为电信号,由数据采集卡进行采集,并进行快速傅立叶变换,在频谱上得到式(5)对应的各个峰,通过测量各个峰的频率fi的得到各个峰对应的传感光纤布拉格光栅在光纤布拉格光栅传感网络上的位置Li; The photodiode converts the light intensity signal into an electrical signal, which is collected by the data acquisition card, and performs fast Fourier transform, and obtains each peak corresponding to formula (5) on the frequency spectrum, and obtains the corresponding peaks by measuring the frequency fi of each peak. The position Li of the sensing fiber Bragg grating on the fiber Bragg grating sensing network;
Figure S2008101200211C00025
Figure S2008101200211C00025
e.依次在各个传感光纤布拉格光栅上施加应力,使中心波长向长波方向漂移,记录中心波长的移动量与频谱上对应的各个峰的强度改变的关系; e. Apply stress on each sensing fiber Bragg grating in turn, so that the central wavelength drifts to the long-wave direction, and record the relationship between the movement of the central wavelength and the intensity change of each corresponding peak on the spectrum;f.将各个传感光纤布拉格光栅安装在需要传感的环境中,环境中待测物理量改变时,各个传感光纤布拉格光栅的中心波长发生移动,并引起频谱上对应的峰值的强度改变;根据记录的中心波长的移动量与频谱上对应的各个峰的强度改变的关系,得到各个光纤布拉格光栅中心波长的移动量,最终得到各 个光纤布拉格光栅所传感的环境物理量。 f. Install each sensing fiber Bragg grating in the environment that needs to be sensed. When the physical quantity to be measured in the environment changes, the center wavelength of each sensing fiber Bragg grating will move, and cause the intensity of the corresponding peak on the spectrum to change; according to The relationship between the movement of the recorded central wavelength and the intensity change of each corresponding peak on the spectrum can be used to obtain the movement of the central wavelength of each fiber Bragg grating, and finally the environmental physical quantity sensed by each fiber Bragg grating. the2.如权利要求1所述测量方法所使用的设备,其特征在于:中心波长在光通信波段的宽带光源通过光纤隔离器与四端口3-dB光纤耦合器的输入端口光连接,四端口3-dB光纤耦合器的输出端口与光纤环形器的输入端口连接,光纤环形器的输出端口与光电二极管的输入端光连接,光电二极管的输出端与数据采集卡的输入端电连接,数据采集卡的输出端与快速傅立叶变换分析仪电连接,光纤环形器的中间端口与光纤布拉格光栅参考阵列光连接; 2. the used equipment of measuring method as claimed in claim 1, it is characterized in that: the broadband light source of central wavelength at optical communication band is optically connected with the input port of four-port 3-dB fiber optic coupler by optical fiber isolator, four-port 3 The output port of the -dB fiber optic coupler is connected to the input port of the fiber optic circulator, the output port of the fiber optic circulator is optically connected to the input port of the photodiode, the output port of the photodiode is electrically connected to the input port of the data acquisition card, and the data acquisition card The output end of the fiber optic circulator is electrically connected to the fast Fourier transform analyzer, and the middle port of the fiber optic circulator is optically connected to the fiber Bragg grating reference array;四端口3-dB光纤耦合器的另外两个端口通过单模光纤连接,单模光纤由电光调制器分为两段,分别为测量段单模光纤和连接段单模光纤,长度分别为La和Lb,La>>Lb,电光调制器的电驱动信号口与正弦信号发生器电连接;测量段单模光纤中插入三端口3-dB光纤耦合器,三端口3-dB光纤耦合器的输入端的两端口分别与测量段单模光纤连接,另一个端口与光纤布拉格光栅传感网络光连接; The other two ports of the four-port 3-dB fiber optic coupler are connected by a single-mode fiber, and the single-mode fiber is divided into two sections by the electro-optical modulator, which are the single-mode fiber of the measurement section and the single-mode fiber of the connection section, and the lengths are La and Lb , La >>Lb , the electrical drive signal port of the electro-optical modulator is electrically connected to the sinusoidal signal generator; a three-port 3-dB fiber coupler is inserted into the single-mode fiber in the measurement section, and the three-port 3-dB fiber coupler The two ports of the input end of the sensor are respectively connected to the single-mode optical fiber of the measurement section, and the other port is optically connected to the fiber Bragg grating sensor network;所述的光纤布拉格光栅传感网络由多个不同布拉格波长的传感光纤布拉格光栅串联而成,各个传感光纤布拉格光栅的布拉格波长间隔0.6~1.2nm;光纤布拉格光栅参考阵列中的各个参考光纤布拉格光栅与光纤布拉格光栅传感网络中的各个传感光纤布拉格光栅一一对应,并且相对应的参考光纤布拉格光栅和传感光纤布拉格光栅的布拉格波长相同。 The fiber Bragg grating sensing network is composed of a plurality of sensing fiber Bragg gratings with different Bragg wavelengths in series, and the Bragg wavelength interval of each sensing fiber Bragg grating is 0.6-1.2nm; The Bragg gratings are in one-to-one correspondence with each sensing fiber Bragg grating in the fiber Bragg grating sensing network, and the Bragg wavelengths of the corresponding reference fiber Bragg gratings and sensing fiber Bragg gratings are the same. the
CN2008101200211A2008-07-152008-07-15 A method and device for demodulating a frequency-domain fiber grating sensor networkExpired - Fee RelatedCN101319919B (en)

Priority Applications (1)

Application NumberPriority DateFiling DateTitle
CN2008101200211ACN101319919B (en)2008-07-152008-07-15 A method and device for demodulating a frequency-domain fiber grating sensor network

Applications Claiming Priority (1)

Application NumberPriority DateFiling DateTitle
CN2008101200211ACN101319919B (en)2008-07-152008-07-15 A method and device for demodulating a frequency-domain fiber grating sensor network

Publications (2)

Publication NumberPublication Date
CN101319919A CN101319919A (en)2008-12-10
CN101319919Btrue CN101319919B (en)2011-02-09

Family

ID=40180095

Family Applications (1)

Application NumberTitlePriority DateFiling Date
CN2008101200211AExpired - Fee RelatedCN101319919B (en)2008-07-152008-07-15 A method and device for demodulating a frequency-domain fiber grating sensor network

Country Status (1)

CountryLink
CN (1)CN101319919B (en)

Families Citing this family (8)

* Cited by examiner, † Cited by third party
Publication numberPriority datePublication dateAssigneeTitle
CN101908268B (en)*2010-07-232011-09-14北京交通大学Optical fiber grating-based monitoring system
CN104020627B (en)*2014-05-202016-08-24武汉理工大学A kind of Wavelength demodulation apparatus and method of fiber bragg gratings sensing network
CN105091939B (en)*2015-07-302017-07-25北京航空航天大学 A High Resolution Absolute Phase Demodulation Method for Optical Fiber Sagnac Interferometer Sensor
CN110530496B (en)*2018-05-252021-05-07南京理工大学Optical fiber sensing demodulation method based on digital filtering and binary pulse modulation
CN109238533B (en)*2018-08-072020-05-05吉林大学 A Micro-stress Sensor Based on Phase Comparison
CN109520533A (en)*2019-01-232019-03-26国网江西省电力有限公司信息通信分公司Fiber grating demodulation device and method based on fiber optic loop microwave photon filter
CN112082581B (en)*2020-06-052022-12-13哈尔滨工业大学Quasi-distributed physical quantity measuring method, device and system based on distributed feedback laser array
CN112197886B (en)*2020-07-062023-04-07廖旺才Fiber Bragg grating demodulator and demodulation method

Citations (1)

* Cited by examiner, † Cited by third party
Publication numberPriority datePublication dateAssigneeTitle
CN201302457Y (en)*2008-07-152009-09-02浙江大学Frequency domain fiber grating sensing network demodulation device

Patent Citations (1)

* Cited by examiner, † Cited by third party
Publication numberPriority datePublication dateAssigneeTitle
CN201302457Y (en)*2008-07-152009-09-02浙江大学Frequency domain fiber grating sensing network demodulation device

Also Published As

Publication numberPublication date
CN101319919A (en)2008-12-10

Similar Documents

PublicationPublication DateTitle
CN110365415B (en)Frequency modulation demodulation device based on fiber grating sensor array
CN101319919B (en) A method and device for demodulating a frequency-domain fiber grating sensor network
CN100552520C (en) A method and device for multiplexing and demodulating long-period fiber grating arrays
CN106840221A (en)Fiber grating demodulation device and method based on dispersion Mach Zehnder interferometry
CN100576049C (en) A method and device for demodulating a fiber grating sensor network
CN103604446A (en)Multi-channel fiber bragg grating absolute wavelength demodulation system based on single detector and method thereof
CN101319878B (en)Method and device for high-precision large-range measuring size of optical fiber
CN101532850B (en) A method and device for fiber Bragg grating sensing demodulation
CN106197494B (en)A kind of laser sensor frequency division multiplexing device based on fiber grating
CN109186643B (en) An accurate sensing system and sensing method based on reflective resonant filter
CN102853920B (en)High-sensitivity Mach-Zahnder interference system
CN102175268A (en)Quasi-distributed sensor network based on time division multiplex and matched optical fiber grating technology
CN102818531A (en)Dynamic strain measurement instrument based on multiple overlapped gratings
CN108760021A (en)Fabry-perot optical fiber acoustic vibration sensing device based on birefringece crystal and demodulation method
CN111412935B (en)High-repetition-rate quasi-distributed sensing system based on time division multiplexing
CN217466666U (en) A multi-point gas detection device based on photothermal effect and wavelength division multiplexing interferometer
CN118010145A (en)Distributed vibration sensing system based on multi-core optical fiber
CN201302458Y (en)Fiber grating sensing network demodulating equipment
CN107830880A (en)Full distributed demodulating system and method based on microcavity array optical fiber
CN107290042A (en)The optical fiber grating sensing modulation-demo-demodulation method and device modulated based on phase shift signal
CN100576048C (en) Fiber Bragg Grating Multiplexing Demodulation Method Based on Fourier Domain Mode-locked Laser
CN103438915A (en)F-P sensor multiplexing method and system based on frequency shift interference
CN201302457Y (en)Frequency domain fiber grating sensing network demodulation device
CN101319920A (en) A method and device for demodulating a fiber grating sensing array
CN103389120B (en)Optical fiber based on wavelength-division multiplex declines and swings chamber sensing array apparatus

Legal Events

DateCodeTitleDescription
C06Publication
PB01Publication
C10Entry into substantive examination
SE01Entry into force of request for substantive examination
C14Grant of patent or utility model
GR01Patent grant
CF01Termination of patent right due to non-payment of annual fee

Granted publication date:20110209

Termination date:20140715

EXPYTermination of patent right or utility model

[8]ページ先頭

©2009-2025 Movatter.jp