


技术领域technical field
本发明属于模式识别技术领域,具体涉及一种利用运动物体检测和跟踪的方法进行基于视频的行人人脸检测与跟踪的方法。The invention belongs to the technical field of pattern recognition, and in particular relates to a method for detecting and tracking pedestrian faces based on video by using a moving object detection and tracking method.
技术背景technical background
随着视频监控在各大中城市的广泛部署,对于监控视频的海量信息的智能处理也提上议事日程。基于视频的行人人脸检测和跟踪就是监控视频智能信息处理的一种,在社会治安和公安刑侦等方面有广泛和重要的应用。With the widespread deployment of video surveillance in large and medium-sized cities, the intelligent processing of massive information of surveillance video is also on the agenda. Video-based pedestrian face detection and tracking is a kind of surveillance video intelligent information processing, which has extensive and important applications in social security and public security criminal investigation.
目前,人脸检测的算法大都基于图像,而不是基于视频。这些算法用一个窗口遍历整个图像,检测窗口里是否包含人脸。为了适应人脸大小的变化,这些算法要用大小不同的窗口反复遍历图像。因此,基于图像的人脸检测算法是一个时间复杂度很高的算法。把基于图像的人脸检测算法不加修改,直接应用到视频的各帧图像,将无法满足视频处理实时性的要求,更何况在实际应用中,人脸检测之后往往是人脸识别。人脸识别算法也是一个时间复杂度很高的算法。因此,如果把人脸检测算法与人脸识别算法的时间复杂度通盘考虑,则对人脸检测算法实时性的要求将更为苛刻。At present, most face detection algorithms are based on images, not videos. These algorithms use a window to traverse the entire image and detect whether the window contains a face. In order to adapt to changes in the size of the face, these algorithms need to iterate through the image with windows of different sizes. Therefore, the image-based face detection algorithm is an algorithm with high time complexity. If the image-based face detection algorithm is directly applied to each frame of video without modification, it will not be able to meet the real-time requirements of video processing, not to mention that in practical applications, face detection is often followed by face recognition. The face recognition algorithm is also an algorithm with high time complexity. Therefore, if the time complexity of the face detection algorithm and the face recognition algorithm are taken into consideration, the real-time requirements for the face detection algorithm will be more stringent.
基于视频的人脸跟踪有重要的意义。首先,人脸跟踪可以减少视频相邻各帧中人脸检测的重复运算,从而大幅度减少整个算法的运算量;其次,人脸跟踪可以应用于图像增强,提供清晰的人脸图像;最后,人脸跟踪可以提供人脸多个视角的信息,丰富人脸识别的依据。但是,基于视频的人脸跟踪困难很多,这是因为在视频中,人脸的姿态、形状和大小都在不断变化,加之人脸在整个图像中所占画面比例很小以及遮挡、表情等因素,很难找到人脸的稳定特征可以在视频相继各帧中贯穿始终。Video-based face tracking has important implications. First of all, face tracking can reduce the repeated operations of face detection in adjacent frames of the video, thereby greatly reducing the amount of calculation of the entire algorithm; secondly, face tracking can be applied to image enhancement to provide clear face images; finally, Face tracking can provide information from multiple perspectives of the face and enrich the basis for face recognition. However, face tracking based on video is very difficult, because in the video, the pose, shape and size of the face are constantly changing, coupled with the fact that the face occupies a small proportion of the entire image and factors such as occlusion and expression , it is difficult to find stable features of the face that can run through successive frames of the video.
本发明提出以种借助运动物体监测和跟踪的方法进行性人人脸监测和跟踪的算法,较好地解决了目前目前行人人脸检测和跟踪遇到的难题。The invention proposes an algorithm for monitoring and tracking people's faces with the help of a method of monitoring and tracking moving objects, which better solves the current difficulties encountered in the detection and tracking of pedestrians' faces.
发明内容Contents of the invention
本发明提出一种利用运动物体检测与跟踪的算法进行行人人脸检测与跟踪的算法。这种算法是建立在视频中人体的运动信息基础上的,利用了人体运动的空间相关性和时间相关性的信息,具体内容如下:The invention proposes an algorithm for pedestrian face detection and tracking by using the algorithm of moving object detection and tracking. This algorithm is based on the motion information of the human body in the video, and uses the information of the spatial correlation and temporal correlation of human motion. The specific content is as follows:
1.把运动物体的检测算法运用到行人人脸的检测中(参见图1、图2)1. Apply the detection algorithm of moving objects to the detection of pedestrian faces (see Figure 1, Figure 2)
(1)运动区域的检测:对于一个给定的视频图像序列,一般采用差分固定背景来对当前帧的目标图像减除背景,经阈值化处理后,将图像分割为运动区域和背景区域。(1) Detection of moving regions: For a given video image sequence, the difference fixed background is generally used to subtract the background from the target image of the current frame, and after thresholding, the image is divided into moving regions and background regions.
(2)运动物体(行人)的判别:用根据人体测量数据构建的二维人体模板对上述运动区域进行判别,确定该区域内是否包含行人。(2) Discrimination of moving objects (pedestrians): Use a two-dimensional human body template constructed based on anthropometric data to discriminate the above-mentioned moving area to determine whether there are pedestrians in the area.
(3)人脸区域的判定:在识别出运动人体区域之后,把运动人体重心以上四分之三的区域认为是人脸区域,把这部分区域标记出来。通常,基于图像的人脸区域判定是在整幅图片上检测人脸区域,而本发明基于运动分析的人脸区域判定仅仅只在运动区域上判定人脸区域,大大减小了搜索范围,缩短了搜索时间。(3) Judgment of the human face area: After identifying the moving human body area, consider the three-quarters area above the center of gravity of the moving human body as the human face area, and mark this part of the area. Usually, image-based human face area determination is to detect human face area on the whole picture, and the human face area determination based on motion analysis in the present invention only determines the human face area on the motion area, which greatly reduces the search range and shortens the time. search time.
(4)在人脸区域中进行人脸检测:将人体区域重新在原始图像上进行定位,进行肤色分割和数学形态学处理,并排除那些过宽或过长或者长宽比过大过小的类肤色区域。最后利用平均脸模板匹配的方法来进行检测,得到最终的人脸区域。(4) Face detection in the face area: reposition the human body area on the original image, perform skin color segmentation and mathematical morphology processing, and exclude those that are too wide or too long or the aspect ratio is too large or too small skin tone area. Finally, the average face template matching method is used for detection to obtain the final face area.
根据得到的粗检测结果依次将候选人脸区域提取出来,进行一些灰度处理后使用人脸模板对待选人脸图像窗口进行匹配,将满足一定条件并达到匹配度阈值的图像窗口作为人脸。According to the obtained rough detection results, the candidate face regions are extracted in turn, and after some grayscale processing, the face template is used to match the candidate face image window, and the image window that meets certain conditions and reaches the matching degree threshold is used as the face.
2.把运动物体的跟踪算法运用到行人人脸的跟踪中2. Apply the tracking algorithm of moving objects to the tracking of pedestrian faces
本发明把运动物体的跟踪算法运用到行人人脸的跟踪上,运用已有的成熟的行人人体跟踪算法来达到实时的人脸跟踪的目的。主要利用了卡尔曼滤波器递推线性最小方差估计的特点,具有估计快速准确的优点,具体分为以下两大步骤:The invention applies the tracking algorithm of moving objects to the tracking of pedestrians' faces, and uses the existing mature human body tracking algorithm of pedestrians to achieve the purpose of real-time tracking of human faces. It mainly uses the characteristics of the Kalman filter recursive linear minimum variance estimation, which has the advantages of fast and accurate estimation, and is specifically divided into the following two steps:
(1)通过跟踪人体来跟踪人脸:根据从当前帧中检测得到的人体位置,利用卡尔曼滤波器对当前帧中人体的位置、速度和加速度进行估计,同时利用这个估计值对人体在下一帧中的位置做出预测。当对行人人体的跟踪完成后,再次利用1中所述的行人人脸检测方法在被跟踪的人体上检测出人脸,实现对行人人脸的跟踪。本发明基于行人人体跟踪的人脸跟踪方法不仅克服了行人人脸目标过小姿态变化过多等特点造成的跟踪不利因素,而且缩小了每次跟踪定位人脸时的搜索范围,大大提高了跟踪的速度。(1) Track the face by tracking the human body: according to the detected position of the human body in the current frame, use the Kalman filter to estimate the position, velocity and acceleration of the human body in the current frame, and use this estimated value to estimate the position of the human body in the next frame. position in the frame to make predictions. When the tracking of the pedestrian's human body is completed, the pedestrian's face detection method described in 1 is used to detect the human face on the tracked human body again, and the pedestrian's face is tracked. The face tracking method based on the human body tracking of pedestrians in the present invention not only overcomes the unfavorable tracking factors caused by the characteristics of too small pedestrians and faces, but also reduces the search range when tracking and locating faces each time, greatly improving the tracking performance. speed.
(2)对其他区域的分析:用上述基于运动物体检测的人脸检测方法对其余区域进行分析,判断有无新的人脸出现。若有,则继续用基于运动物体跟踪的人脸跟踪方法对其进行跟踪。显而易见,这时需要进行行人检测的区域减小了,大大节省了运算量。(2) Analysis of other areas: Use the above-mentioned face detection method based on moving object detection to analyze the remaining areas to determine whether there are new faces. If so, continue to track it with the face tracking method based on moving object tracking. Obviously, at this time, the area where pedestrian detection needs to be performed is reduced, which greatly saves the amount of computation.
本发明的整个算法流程图参见图3。Refer to FIG. 3 for the whole algorithm flow chart of the present invention.
本发明特点Features of the invention
本发明提出的算法构造了一种行人人脸检测和跟踪的算法框架,在这个框架下,大部分运动物体检测和跟踪的算法都可以结合成为行人人脸检测和跟踪的算法。本发明提出的算法有两个显著的特点:The algorithm proposed by the invention constructs an algorithm framework for pedestrian face detection and tracking. Under this framework, most moving object detection and tracking algorithms can be combined into pedestrian face detection and tracking algorithms. The algorithm that the present invention proposes has two notable characteristics:
(1)本发明提出的算法先找行人后找人脸,行人做为人脸区域定位的依据。由于行人的目标比人脸的目标大,加之有运动信息可资利用,因此,在视频中找行人要比直接找人脸容易得多。(1) The algorithm proposed by the present invention first finds pedestrians and then faces, and pedestrians are used as the basis for face area positioning. Since the target of pedestrians is larger than that of faces, and motion information is available, it is much easier to find pedestrians in videos than to find faces directly.
(2)本发明提出的算法通过跟踪行人实现人脸的跟踪。由于行人在行进中相对于摄像头的位置会发生变化,头部也会摆动或转动,致使其脸部在视频相继各帧中形状、大小、方向都会发生变化,加之表情和遮挡等因素,很难从人脸中提取稳定的特征做为跟踪的依据。相比之下,行人目标较大,行人身上有较多稳定的特征可以作为视频相继各帧中跟踪的依据。(2) The algorithm proposed by the present invention realizes the tracking of human faces by tracking pedestrians. Because the position of the pedestrian relative to the camera will change during the journey, and the head will also swing or turn, causing the shape, size, and direction of the face to change in successive frames of the video, coupled with factors such as expressions and occlusion, it is difficult to Extract stable features from the face as the basis for tracking. In contrast, the pedestrian target is larger, and there are more stable features on the pedestrian, which can be used as the basis for tracking in successive frames of the video.
附图说明Description of drawings
图1、运动人体检测流程图Figure 1. Flow chart of moving human detection
图2、人脸检测流程图Figure 2. Flowchart of face detection
图3、本发明中整个算法的流程图Fig. 3, the flowchart of whole algorithm in the present invention
具体实施方案specific implementation plan
步骤1:利用运动物体检测来进行人脸检测Step 1: Use moving object detection for face detection
利用运动物体的运动信息进行人脸检测包括下面几个步骤:运动区域检测,运动人体识别,肤色分割,数学形态学处理,类肤色区域滤除以及平均脸模板匹配,下面分别说明。Face detection using the motion information of moving objects includes the following steps: motion area detection, motion body recognition, skin color segmentation, mathematical morphology processing, skin color-like area filtering, and average face template matching, which are described below.
一、运动区域检测1. Motion area detection
首先,对于给定的一个视频中的图像序列,本具体实施方案先用正交高斯厄米特矩(OGHMs)的方法检测到运动区域,并把运动区域和背景区域分割开来。First of all, for a given image sequence in a video, this specific embodiment first detects the motion area by the method of Orthogonal Gauss Hermitian Moments (OGHMs), and separates the motion area from the background area.
正交高斯厄米特矩模板窗口大小为3,对应的标准偏差为0.2。窗口大小为3时,基函数的取值域为[-0.9972,0.9972]。模板如下所示:Orthogonal Gaussian-Hermitian moment template window size is 3, which corresponds to a standard deviation of 0.2. When the window size is 3, the value range of the basis function is [-0.9972, 0.9972]. The template looks like this:
一阶模板first order template
三阶模板third-order template
五阶模板Fifth order template
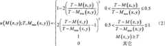
得到OGHMIs之后,并不能从中直接提取运动物体,必须对得到的图像进行分割。同一幅图像中处在同一个物体中的像素点有着很强的空间相关性,若仅仅简单的设定阈值分割,会对这种相关性造成破坏,使分割的鲁棒性降低。在分割方面,不变矩算法没有考虑到物体的空间相关性,因此采取了J.Shen等(参考文献[1]:J.Shen.W.Shen,H.J.Sun.J.Y.Yang.Fuzzy Neural Nets with Non-Symmetric Membership Function andApplication in Signal Processing and Image Analysis.Signal Process,2000,80:965-983.)提出了Non-symmetric membership函数得出OGHMIs下的membership函数(参考文献[2]:Youfu Wu,Jun Shen,Mo Dai.Traffic Object Detections and its Action Analysis.PattenRecognition Letters,2005.),在此基础上应用Fuzzy relaxation算法(FRM)进行分割,从而保证了分割时物体各像素之间拥有较强的空间相关性。After obtaining OGHMIs, moving objects cannot be directly extracted from them, and the obtained images must be segmented. The pixels in the same object in the same image have a strong spatial correlation. If only a simple threshold segmentation is set, this correlation will be destroyed and the robustness of the segmentation will be reduced. In terms of segmentation, the invariant moment algorithm does not take into account the spatial correlation of objects, so J.Shen et al. (Reference [1]: J.Shen.W.Shen, H.J.Sun.J.Y.Yang.Fuzzy Neural Nets with Non -Symmetric Membership Function and Application in Signal Processing and Image Analysis.Signal Process, 2000, 80: 965-983.) proposed the Non-symmetric membership function to get the membership function under OGHMIs (reference [2]: Youfu Wu, Jun Shen , Mo Dai.Traffic Object Detections and its Action Analysis.PattenRecognition Letters, 2005.), on this basis, apply the Fuzzy relaxation algorithm (FRM) for segmentation, thus ensuring a strong spatial correlation between the pixels of the object during segmentation .
Membership函数的表达式见式(1):The expression of the Membership function is shown in formula (1):
通过Non-symmetric membership函数,可推出GHMIs时的membership函数u,实现归一化,见式(2):Through the Non-symmetric membership function, the membership function u of GHMIs can be deduced to achieve normalization, see formula (2):
u(M(x,y);T,Mmin(x,y))可简写为u(x,y)。u(M(x, y); T, Mmin (x, y)) can be abbreviated as u(x, y).
得到membership函数u(x,y)后,通过FRM算法来提取运动物体。该算法是一种区域生长算法,有几个关键步骤:起始点的确定、区域生长方法、终止条件、干扰滤除。After obtaining the membership function u(x, y), the moving object is extracted through the FRM algorithm. This algorithm is a region growing algorithm, which has several key steps: the determination of the starting point, the region growing method, the termination condition, and the interference filtering.
A.起始点的确定A. Determination of the starting point
对图像进行左上至右下的顺序扫描,找出u(x,y)=1的点作为起始点。The image is scanned sequentially from upper left to lower right, and the point where u(x, y)=1 is found as the starting point.
B.生长方法B. Growth method
以起始点为当前点,搜寻其四邻域的u(x′,y′),若u(x′,y′)>0.7,则令u(x′,y′)=1,并将(x′,y′)作为种子点,继续进行四邻域搜索;否则u(x′,y′)=0,不是运动模块的点。Taking the starting point as the current point, search for u(x', y') in its four neighborhoods, if u(x', y')>0.7, set u(x', y')=1, and set (x ', y') as the seed point, continue to search the four-neighborhood; otherwise u(x', y')=0, not the point of the motion module.
C.终止条件C. Termination conditions
当所有种子点都搜索完毕之后,结束当前运动快的搜索,继续对图像扫描,寻找新的起始点,重复上面步骤直到处理完全图像。After all the seed points are searched, end the current fast search, continue to scan the image, find a new starting point, and repeat the above steps until the complete image is processed.
D.干扰滤除D. Interference filtering
在进行区域生长的过程中,记录属于该运动区域的点的个数,当该运动块大小小于某一阈值T时,则作为干扰滤除,对应的u(x,y)=0。During the region growing process, record the number of points belonging to the motion region, and when the size of the motion block is smaller than a certain threshold T, it will be filtered out as interference, and the corresponding u(x, y)=0.
通过FRM算法的搜索处理,再将图像中二值化从而可以提取出运动物体。Through the search process of the FRM algorithm, the image can be binarized to extract the moving object.
提取出运动物体之后,可以采用一些优化的方法,使获得的目标更加精确。本文采用计算图像中运动块与静止块的大小,并设定了对应的阈值。After the moving object is extracted, some optimization methods can be used to make the obtained target more accurate. In this paper, the size of the moving block and the static block in the image is calculated, and the corresponding threshold is set.
本具体实施方案中设定运动区域为白色,静止区域为黑色,当白色块中黑色块像素数目小于某个阈值时,认为这部分也是运动区域,设置为白色,这样可以解决空洞问题;当黑色块中白色块的数目小于某一个阈值的时候,认为这部分也是静止区域,设置为白色,这样可以消除背景的干扰问题。In this specific embodiment, the motion area is set to be white, and the static area is black. When the number of pixels in the black block in the white block is less than a certain threshold, it is considered that this part is also a motion area, and it is set to white, which can solve the problem of holes; When the number of white blocks in the block is less than a certain threshold, it is considered that this part is also a static area, and it is set to white, which can eliminate the background interference problem.
二、运动人体识别2. Sports human identification
本具体实施方案中假设场景中的人体都处于直立状态,直立状态的人体与自然界中其它运动物体相比有一个非常特殊的特征,即人的高度、宽度比较大。在自然界中四肢行走的动物它的高度、宽度比较小。还有一些运动物体比如车辆等为了在运动时保持稳定状态,重心一般都较低,这样它的高度、宽度比一也较小。对于特定的场景,我们还可以根据对场景的一些先验知识来确定某些规则,通过它们来帮助识别人类的存在。比如说,对于已知的场景,人体面积有一个大体的范围,通过检验连通区域的面积可以通过它帮助去掉某些噪声区域。In this specific embodiment, it is assumed that the human bodies in the scene are all in an upright state. Compared with other moving objects in nature, the human body in the upright state has a very special feature, that is, the height and width of the human body are relatively large. Animals that walk on all fours in nature are relatively small in height and width. There are also some moving objects, such as vehicles, in order to maintain a stable state during motion, and the center of gravity is generally all low, so that its height and width ratio are also small. For a specific scene, we can also determine certain rules based on some prior knowledge of the scene, and use them to help identify the existence of human beings. For example, for a known scene, the human body area has a general range, and by checking the area of the connected area, it can help remove some noise areas.
面积这一特征值是通过计算二值化图像中连通区域的像素个数来提取,根据特定场景中靠经验获得的人体面积参数来设置阈值,然后进行阈值分割,小于该面积阈值的前景连通区域中的像素值被设置成背景像素值。The eigenvalue of the area is extracted by calculating the number of pixels in the connected area in the binarized image. The threshold is set according to the human body area parameters obtained empirically in a specific scene, and then the threshold is segmented. The foreground connected area smaller than the area threshold The pixel value in is set to the background pixel value.
连通区域高宽比这一特征值是通过如下步骤获得:The eigenvalue of the height-to-width ratio of connected regions is obtained through the following steps:
A.搜索连通区域的第一个像素,记录其横坐标和纵坐标的值,正向搜索后续的像素,记录其横坐标和纵坐标的值,通过排序算法分别找出横坐标的最大值Xmax和最小值Xmin,以及纵坐标的最大值Ymax和最小值Ymin。A. Search for the first pixel in the connected area, record the value of its abscissa and ordinate, search for the subsequent pixels in the forward direction, record the value of its abscissa and ordinate, and find the maximum value X of the abscissa through the sorting algorithmmax and minimum value Xmin , and the maximum value Ymax and minimum value Ymin of the ordinate.
B.获得连通区域高度:Hn=(Ymax-Ymin),宽度:Wn=(Xmax-Xmin),(n为正向搜索时连通区域的编号,第一个搜索到的连通区域编号为n=1),存储,n加1。B. Obtain the height of the connected region: Hn = (Ymax -Ymin ), width: Wn = (Xmax -Xmin ), (n is the number of the connected region during the forward search, the first searched connected The area number is n=1), store, and add 1 to n.
C.搜索下一个连通区域,转步骤A,如没有搜索到连通区域则退出。C. Search for the next connected region, go to step A, and exit if no connected region is found.
本具体实施方案通过大量人体高度和宽度比值的试验结果,得出在人体完全进入场景后,由于受人体手臂及腿部在行走是摆动幅度的影响,还有摄像头拍摄的角度不同,他的高度、宽度比的范围大体在1到5之间。在实际应用中为了不漏掉人体,我们可以适当放宽范围尺度。Through the test results of a large number of human body height and width ratios, it can be concluded that after the human body completely enters the scene, due to the influence of the swing range of the human body's arms and legs when walking, and the different angles of the camera, its height , The range of the width ratio is generally between 1 and 5. In order not to miss the human body in practical applications, we can appropriately relax the range scale.
三、肤色分割3. Skin color segmentation
HSV空间中两点之间距离与人眼视觉一致,而且其中H分量反映物体的色调信息,比较容易作彩色图像分割处理。图像中皮肤颜色的差异主要由光照引起,在检测中只考虑色度信息,就可以减少光照的影响,因此可只用H(色调)单独来进行肤色的提取。The distance between two points in the HSV space is consistent with the human vision, and the H component reflects the hue information of the object, which is easier for color image segmentation processing. The difference in skin color in the image is mainly caused by the light. Only considering the chroma information in the detection can reduce the influence of light. Therefore, only H (hue) can be used to extract the skin color alone.
在本具体实施方案中,对于运动检测之后确定的区域重新在原始图像上进行定位,对这个区域内的像素点按照公式(3)完成从RGB→HSV色彩空间的转换。按照H的值判断某个像素点是否属于肤色,本具体实施方案中采取当0.02<H<0.08时,认为这个像素点是属于肤色的。In this specific implementation, the area determined after the motion detection is repositioned on the original image, and the conversion from RGB→HSV color space is completed for the pixels in this area according to the formula (3). According to the value of H, it is judged whether a certain pixel belongs to the skin color. In this embodiment, when 0.02<H<0.08, the pixel is considered to belong to the skin color.
V=max(R,G,B)V=max(R, G, B)
其中in
四、数学形态学处理4. Mathematical Morphological Processing
本具体实施方案中采取了腐蚀和膨胀的数学形态学处理方法来对上一步得到的区域进行处理。In this specific embodiment, the mathematical morphology processing method of erosion and expansion is adopted to process the area obtained in the previous step.
腐蚀是消除物体的所有边界点的一种过程,其结果是剩下的物体沿其周边比原物体小一个像素的面积。如果物体任一点的宽度小于三个像素,那么它再该点将变为非连通的(变为2个物体)。在任何方向上的宽度不大于2个像素的物体将被除去。腐蚀可以对从一幅分割图像中除去小且无意义的物体来。Erosion is the process of eliminating all boundary points of an object, with the result that the remaining object is one pixel smaller in area along its perimeter than the original object. If the width of any point of the object is less than three pixels, then it will become disconnected (become 2 objects) at that point. Objects that are no wider than 2 pixels wide in any direction will be removed. Erosion can be used to remove small and meaningless objects from a segmented image.
膨胀是将与某物体接触的所有背景点合并到该物体的过程。过程的结果是使物体的面积增大了相应数量的点。如果两个物体在某一点相隔少于3个像素,它们将在该点连通取来(合并成一个物体)。膨胀可以填补分割后物体的空洞。Dilation is the process of merging all background points that are in contact with an object into that object. The result of the process is to increase the area of the object by the corresponding number of points. If two objects are separated by less than 3 pixels at a certain point, they will be concatenated (merged into one object) at that point. Dilation can fill the void in the segmented object.
五、类肤色区域滤除Five, similar skin color area filtering
经过基于数学形态学的滤波方法处理后,图像中的小块噪声大多数被清除,但是背景中某些较小的类肤色区域仍存在。为了删除假人脸区域,我们必须对这些区域进行分析和计算。首先把类肤色区域标记出来,然后再利用人脸的长宽比符合一定比例这个特点来进行滤除,排除那些过宽或者过长或者长宽比过大过小的区域。After the filtering method based on mathematical morphology, most of the small block noises in the image are removed, but some small skin-like areas in the background still exist. In order to remove fake face regions, we have to analyze and compute these regions. First, mark the skin-like area, and then use the feature that the aspect ratio of the face meets a certain ratio to filter out, and exclude those areas that are too wide or too long, or the aspect ratio is too large or too small.
为了确定某一区域的长宽比,必须将该区域的长度L和宽度W分别求出。但是由于部分人脸可能存在一些旋转倾斜,这使得无法直接利用该区域的左、右、上、下4个顶点的坐标值(这里,采用的坐标系是以图像最左下角为原点,水平向右为x轴的正方向,垂直向上为Y轴的正方向)进行判断。其详细过程为:统计该区域边界上所有点的坐标值,寻找x轴上具有最小、最大x分量的坐标(Xmin,Xmax),及Y轴上的最小、最大Y分量的坐标(Ymin,Ymax),L=Xmax-Xmin、W=Ymax-Ymin值即为人脸的长宽(宽长)参数值。L与W的比值
六、平均脸模板匹配6. Average face template matching
在选取的样本图像中手工裁剪出人脸的区域作为人脸样本,将其尺度标准化到24×24,将所有样本取灰度平均得到平均人脸图像,并对平均人脸图像进行灰度分布标准化后作为人脸模板。Manually cut out the area of the face in the selected sample image as a face sample, normalize its scale to 24×24, average the grayscale of all samples to obtain the average face image, and perform grayscale distribution on the average face image After normalization, it is used as a face template.
为了适应不同形状的人脸,对原始模板分别按照1∶0.9、1∶1 、1∶1.1、1∶1.2的宽长比拉伸。In order to adapt to different shapes of faces, the original templates were stretched according to the width-to-length ratios of 1:0.9, 1:1, 1:1.1, and 1:1.2, respectively.
其中,灰度分布标准化是将图像的灰度均值和方差变换为μ0=128和σ0=80。设图像的灰度值矩阵为D[W][H](其中W,H分别为图像的宽度和高度),计算其均值、方差,并作如下变换:Wherein, the standardization of the gray level distribution is to transform the gray level mean and variance of the image into μ0 =128 and σ0 =80. Let the gray value matrix of the image be D[W][H] (where W and H are the width and height of the image respectively), calculate its mean and variance, and perform the following transformation:
根据得到的粗检测结果依次将候选人脸区域提取出来,转变为灰度图像,并对图像进行灰度分布标准化。然后使用人脸模板对待选人脸图像窗口进行匹配,将满足一定条件并达到匹配度阈值的图像窗口作为人脸。According to the obtained rough detection results, the candidate face regions are extracted in turn, converted into grayscale images, and the grayscale distribution of the images is standardized. Then use the face template to match the face image window to be selected, and use the image window that meets certain conditions and reaches the matching degree threshold as the face.
匹配过程中采取以下的匹配准则。假设人脸模板的灰度矩阵为T[M][N],灰度均值与方差分别为μT和σT,待选人脸图像区域的灰度矩阵为R[M][N],灰度均值与方差分别为μR和σR,则它们之间的相关系数r(T,R)为:The following matching criteria are adopted in the matching process. Suppose the grayscale matrix of the face template is T[M][N], the grayscale mean and variance areμT andσT respectively, the grayscale matrix of the face image area to be selected is R[M][N], and the grayscale The degree mean and variance are μR and σR respectively, then the correlation coefficient r(T, R) between them is:
使用人脸模板进行匹配时,若相关系数r(T,R)超过门限值t(t=0.6),则认为通过了平均脸匹配筛选,被认为是人脸。When using the face template for matching, if the correlation coefficient r(T, R) exceeds the threshold value t (t=0.6), it is considered to have passed the average face matching screening and is considered as a human face.
步骤2:利用运动物体跟踪算法进行人脸跟踪Step 2: Use the moving object tracking algorithm for face tracking
运动物体跟踪的算法很多,本具体实施方案采用卡尔曼滤波器,但并不限于卡尔曼滤波器。There are many algorithms for moving object tracking. This specific embodiment uses a Kalman filter, but is not limited to a Kalman filter.
卡尔曼滤波器是一种递推线性最小方差估计,具有估计快速准确的优点,在视频行人的跟踪上有着成熟的应用。本具体实施方案使用卡尔曼滤波器对行人人体的运动状态进行估计,根据估计出的运动状态来跟踪行人人体,在被跟踪的行人人体上检测出人脸,实现跟踪行人人脸的目的,具体过程如下:The Kalman filter is a recursive linear minimum variance estimation, which has the advantages of fast and accurate estimation, and has a mature application in video pedestrian tracking. This specific implementation plan uses the Kalman filter to estimate the motion state of pedestrians, and tracks pedestrians according to the estimated motion state, and detects faces on the tracked pedestrians to achieve the purpose of tracking pedestrians' faces. The process is as follows:
一、行人人体进行跟踪1. Pedestrian tracking
A.离散卡尔曼滤波器A. Discrete Kalman filter
一个有确定性控制的,受系统噪声驱动的动态系统的离散系统状态方程可以写为:The discrete system state equation of a dynamic system driven by system noise with deterministic control can be written as:
X[k]=AX[k-1]+BU[k]+W[k]X[k]=AX[k-1]+BU[k]+W[k]
观测系统的量测方程为:The measurement equation of the observation system is:
Z[k]=HX[k]+V[k]Z[k]=HX[k]+V[k]
其中X[k]为系统在k时刻的状态向量,U[k]为系统在k时刻的输入向量,Z[k]为系统在k时刻的输出向量,W[k]和V[k]为k时刻的噪声向量,服从高斯分布,互相独立。A、Where X[k] is the state vector of the system at time k, U[k] is the input vector of the system at time k, Z[k] is the output vector of the system at time k, W[k] and V[k] are The noise vectors at time k follow the Gaussian distribution and are independent of each other. A.
B、H为系数矩阵。相应的卡尔曼滤波基本方程为:B and H are coefficient matrices. The corresponding Kalman filter basic equation is:
状态一步预测方程:X[k/k-1]=AX[k-1/k-1]+BU[k]State one-step prediction equation: X[k/k-1]=AX[k-1/k-1]+BU[k]
状态估计:X[k/k]=AX[k/k-1]+Kg[k](Z[k]-HX[k/k-1])State estimation: X[k/k]=AX[k/k-1]+Kg [k](Z[k]-HX[k/k-1])
滤波增益阵:
一步预测均方误差阵:P[k/k-1]=AP[k-1/k-1]AT+QOne-step prediction mean square error matrix: P[k/k-1]=AP[k-1/k-1]AT +Q
估计均方误差阵:P[k/k]=(I-Kg[k]H)P[k/k-1]Estimated mean square error matrix: P[k/k]=(IKg [k]H)P[k/k-1]
根据应用中的具体情况选取滤波初始值,然后就可以通过新得到的量测向量和上述递推公式,对系统状态进行卡尔曼滤波估计。According to the specific situation in the application, the initial value of the filter is selected, and then the Kalman filter estimation of the system state can be performed through the newly obtained measurement vector and the above recursive formula.
由图3的离散型卡尔曼滤波流程可以看出:卡尔曼滤波具有增益计算回路和滤波计算回路两个计算回路。其中增益计算回路是独立的,而滤波计算回路依赖于增益计算回路。在一个周期中存在时间更新过程和量测更新过程两个更新过程。如果已知k-1时刻对k时刻的预测状态估计值和k时刻的量测值,以及k-1时刻的一步预测均方误差阵,就可以求出k时刻状态向量的最优估计值,并可以预测k+1时刻系统的状态估计值和量测值。It can be seen from the discrete Kalman filtering process in FIG. 3 that the Kalman filtering has two calculation loops: a gain calculation loop and a filter calculation loop. The gain calculation loop is independent, while the filter calculation loop depends on the gain calculation loop. There are two update processes, the time update process and the measurement update process, in one cycle. If the estimated value of the predicted state at time k-1 and the measured value at time k are known, as well as the one-step forecast mean square error matrix at time k-1, the optimal estimated value of the state vector at time k can be obtained. And it can predict the state estimation value and measurement value of the system at k+1 time.
B.行人人体模型的建立B. Pedestrian Human Model Creation
选用步骤1中找到的人体重心作为特征点,这是因为人体的形状是对称的,人体的重心会沿着人体的运动方向稳定的平移,不受人体自运动的约束,避免了人体形状周期性变化所造成的影响。为了减小计算复杂度,为每个人体设置了两个卡尔曼滤波器分别用于估计人体重心在X方向上和Y方向上的运动状态。The center of gravity of the human body found in step 1 is selected as the feature point. This is because the shape of the human body is symmetrical, and the center of gravity of the human body will translate steadily along the direction of motion of the human body without being constrained by the self-motion of the human body, avoiding the periodicity of the human body shape impact of changes. In order to reduce the computational complexity, two Kalman filters are set for each human body to estimate the motion state of the human center of gravity in the X direction and the Y direction respectively.
人体的运动状态可以由向量X=(sx,vx,ax,sy,vy,ay)T表示,其中sx、vx、ax分别表示人体重心在X方向上的位移、速度、加速度,sy、vy、ay分别表示人体重心在Y方向上的位移、速度、加速度。由于每个人体都使用两个卡尔曼滤波器分别对他的重心X方向、Y方向的运动状态进行估计,所以可以把向量X分解为两个向量Xx=(sx,vx,ax)T和Xy=(sy,vy,ay)T分别表示他重心在X方向和Y方向上的运动状态,这两个方向上人体的运动是相互独立的,处理方法也是相同的,所以这里只对X方向的处理做一阐述。The motion state of the human body can be expressed by the vector X=(sx , vx , ax , sy , vy , ay )T , where sx , vx , and ax respectively represent the displacement of the center of gravity of the human body in the X direction , velocity, and acceleration, sy , vy , and ay represent the displacement, velocity, and acceleration of the center of gravity of the human body in the Y direction, respectively. Since each human body uses two Kalman filters to estimate the motion state of its center of gravity in the X direction and Y direction, the vector X can be decomposed into two vectors Xx = (sx , vx , ax )T and Xy = (sy , vy , ay )T respectively represent the movement state of his center of gravity in the X direction and the Y direction. The movement of the human body in these two directions is independent of each other, and the processing method is the same , so here we only elaborate on the processing in the X direction.
人体重心运动状态的系统方程为:The system equation of the motion state of the center of gravity of the human body is:
式中sx[k]表示第k帧时人体重心X方向的位移,vx[k]表示第k帧时人体重心X方向的速度,ax[k]表示第k帧时人体重心X方向的加速度,ΔT表示时间间隔,把上式写成矩阵形式为In the formula, sx [k] represents the displacement of the human body's center of gravity in the X direction at the kth frame, vx [k] represents the velocity of the human body's center of gravity in the X direction at the kth frame, and ax [k] represents the X direction of the human body's center of gravity at the kth frame The acceleration of , ΔT represents the time interval, the above formula is written in matrix form as
式中
在实际应用中,只能观测人体重心在图像中的位移,无法直接观测速度和加速度,所以量测方程为:In practical applications, only the displacement of the center of gravity of the human body in the image can be observed, and the velocity and acceleration cannot be directly observed, so the measurement equation is:
其中H=(100),可以把量测噪声Vx[k]看作是白噪声。Where H=(100), the measurement noise Vx [k] can be regarded as white noise.
由上可见,系统的状态方程和量测方程的形式与标准卡尔曼滤波器的状态方程和量测方程形式相同,所以可以用离散性卡尔曼滤波基本方程对系统的状态进行估计。来跟踪视频行人人体。It can be seen from the above that the form of the state equation and measurement equation of the system is the same as that of the standard Kalman filter, so the basic equation of the discrete Kalman filter can be used to estimate the state of the system. to track video pedestrians.
C.对行人人体进行跟踪C. Tracking the human body of pedestrians
为步骤1中利用运动物体检测方法得到的行人人体初始化两个卡尔曼滤波器,分别用来对这个行人人体重心的X方向和Y方向的运动状态进行估计。由于卡尔曼滤波器使用的是递推的估计方法,所以只要给定滤波方程的初始状态和初始估计均方误差阵,就可以利用当前的量测值得到系统状态的估计值,本具体实施方案使用第一次得到的量测值对行人人体的系统状态向量进行初始化:Initialize two Kalman filters for the pedestrian body obtained by the moving object detection method in step 1, which are used to estimate the motion state of the pedestrian's center of gravity in the X direction and Y direction respectively. Since the Kalman filter uses a recursive estimation method, as long as the initial state of the filter equation and the initial estimated mean square error matrix are given, the current measurement value can be used to obtain the estimated value of the system state. This specific implementation plan Initialize the system state vector of the pedestrian body using the measured values obtained for the first time:
式中zx[0]和zy[0]是人体重心的X和Y方向的量测值。两个卡尔曼滤波器的估计均方误差的初始值都设置为:where zx [0] and zy [0] are measurements in the X and Y directions of the center of gravity of the human body. The initial values of the estimated mean square error for both Kalman filters are set to:
这样就可以通过卡尔曼滤波器根据当前的量测值,对人体重心X方向和Y方向的位移、速度、加速度进行估计,根据滤波方程对人体重心在下一帧中的位移、速度、加速度进行预测。如果预测得到的人体重心落在下一帧中检测到的某个行人人体的跟踪窗口内,那么就认为上一帧中的人体和这个人体相匹配,然后根据新得到的量测值对系统状态进行更新。In this way, the displacement, velocity, and acceleration of the human body's center of gravity in the X and Y directions can be estimated through the Kalman filter based on the current measurement value, and the displacement, velocity, and acceleration of the human body's center of gravity in the next frame can be predicted according to the filter equation . If the predicted center of gravity of the human body falls within the tracking window of a pedestrian human body detected in the next frame, then the human body in the previous frame is considered to match this human body, and then the system state is calculated according to the newly obtained measurement value. renew.
二、在被跟踪的行人人体上定位人脸2. Locate the face on the tracked pedestrian body
在被跟踪的运动人体上利用步骤1中的人脸检测方法检测人脸并用红色矩形框标示出来。由于本具体实施方案基于运动分析的人脸检测仅仅只在运动人体重心以上四分之三的区域里定位人脸,大大减小了搜索范围,缩短了算法的运行时间,使人脸检测与人体跟踪几乎是实时的同步进行,从而达到准确的跟踪行人人脸的目的。Use the face detection method in step 1 to detect faces on the tracked moving body and mark them with a red rectangle. Because the face detection based on motion analysis of this specific embodiment only locates the face in the area above the three-quarters of the center of gravity of the moving human body, the search range is greatly reduced, the running time of the algorithm is shortened, and the face detection is closely related to the human body. Tracking is performed synchronously in almost real time, so as to achieve the purpose of accurately tracking pedestrian faces.
三、对其他区域进行分析3. Analyze other areas
用步骤1中基于运动物体检测的人脸检测方法对其余区域进行分析,判断有无新的人脸出现。若有,则继续用基于运动物体跟踪的人脸跟踪方法对其进行跟踪。显然,这时需要进行行人人脸检测的区域明显减小了,节省了运算量。Use the face detection method based on moving object detection in step 1 to analyze the remaining areas to determine whether there are new faces. If so, continue to track it with the face tracking method based on moving object tracking. Apparently, at this time, the area that needs to be detected for pedestrians and faces is significantly reduced, which saves the amount of computation.
| Application Number | Priority Date | Filing Date | Title |
|---|---|---|---|
| CNA2008100256116ACN101216885A (en) | 2008-01-04 | 2008-01-04 | A Pedestrian Face Detection and Tracking Algorithm Based on Video |
| Application Number | Priority Date | Filing Date | Title |
|---|---|---|---|
| CNA2008100256116ACN101216885A (en) | 2008-01-04 | 2008-01-04 | A Pedestrian Face Detection and Tracking Algorithm Based on Video |
| Publication Number | Publication Date |
|---|---|
| CN101216885Atrue CN101216885A (en) | 2008-07-09 |
| Application Number | Title | Priority Date | Filing Date |
|---|---|---|---|
| CNA2008100256116APendingCN101216885A (en) | 2008-01-04 | 2008-01-04 | A Pedestrian Face Detection and Tracking Algorithm Based on Video |
| Country | Link |
|---|---|
| CN (1) | CN101216885A (en) |
| Publication number | Priority date | Publication date | Assignee | Title |
|---|---|---|---|---|
| CN101626493A (en)* | 2009-08-06 | 2010-01-13 | 北京北大千方科技有限公司 | Method for judging forward motion direction of pedestrian by combining laser scanning and videos |
| CN101908150A (en)* | 2010-06-25 | 2010-12-08 | 北京交通大学 | A human detection method |
| CN101980245A (en)* | 2010-10-11 | 2011-02-23 | 北京航空航天大学 | A Passenger Flow Statistics Method Based on Adaptive Template Matching |
| CN102105904A (en)* | 2008-08-11 | 2011-06-22 | 欧姆龙株式会社 | Detection information registration device, object detection device, electronic device, method for controlling detection information registration device, method for controlling object detection device, program for controlling detection information registration device |
| CN101599177B (en)* | 2009-07-01 | 2011-07-27 | 北京邮电大学 | Video-based method for tracking human body limb movement |
| CN102750707A (en)* | 2011-08-29 | 2012-10-24 | 新奥特(北京)视频技术有限公司 | Image processing method and image processing device based on regions of interest |
| CN101706721B (en)* | 2009-12-21 | 2012-11-28 | 汉王科技股份有限公司 | Face detection method simulating radar scanning |
| CN102142146B (en)* | 2010-01-28 | 2013-04-17 | 北京中科大洋科技发展股份有限公司 | Method for tracking video target area |
| CN101783019B (en)* | 2008-12-26 | 2013-04-24 | 佳能株式会社 | Subject tracking apparatus and control method therefor, image capturing apparatus, and display apparatus |
| CN103745486A (en)* | 2014-01-15 | 2014-04-23 | 重庆邮电大学 | Method for eliminating noise interference by using moving track of object |
| CN104021394A (en)* | 2014-06-05 | 2014-09-03 | 华北电力大学(保定) | Insulator image recognition method based on Adaboost algorithm |
| WO2014169441A1 (en)* | 2013-04-16 | 2014-10-23 | Thomson Licensing | Method and system for eye tracking using combination of detection and motion estimation |
| CN104573640A (en)* | 2013-10-23 | 2015-04-29 | 想象技术有限公司 | Face detection |
| CN104956400A (en)* | 2012-11-19 | 2015-09-30 | 株式会社理光 | Moving object recognizer |
| CN105469379A (en)* | 2014-09-04 | 2016-04-06 | 广东中星电子有限公司 | Video target area shielding method and device |
| CN106203379A (en)* | 2016-07-20 | 2016-12-07 | 安徽建筑大学 | Human body recognition system for security |
| CN106650682A (en)* | 2016-12-29 | 2017-05-10 | Tcl集团股份有限公司 | Method and device for face tracking |
| CN106682620A (en)* | 2016-12-28 | 2017-05-17 | 北京旷视科技有限公司 | Human face image acquisition method and device |
| CN106897678A (en)* | 2017-02-08 | 2017-06-27 | 中国人民解放军军事医学科学院卫生装备研究所 | A kind of remote human face recognition methods of combination heartbeat signal, device and system |
| CN107644204A (en)* | 2017-09-12 | 2018-01-30 | 南京凌深信息科技有限公司 | A kind of human bioequivalence and tracking for safety-protection system |
| CN108090428A (en)* | 2017-12-08 | 2018-05-29 | 广西师范大学 | A kind of face identification method and its system |
| CN108269331A (en)* | 2017-12-12 | 2018-07-10 | 国政通科技股份有限公司 | A kind of intelligent video big data processing system |
| CN108304790A (en)* | 2018-01-19 | 2018-07-20 | 腾讯科技(深圳)有限公司 | Skeleton motion prediction processing method, device and limb motion prediction processing method |
| CN108573230A (en)* | 2018-04-10 | 2018-09-25 | 京东方科技集团股份有限公司 | Face tracking method and face tracking device |
| CN108664853A (en)* | 2017-03-30 | 2018-10-16 | 北京君正集成电路股份有限公司 | Method for detecting human face and device |
| CN109074473A (en)* | 2016-04-11 | 2018-12-21 | 北京市商汤科技开发有限公司 | For the method and system to image tracing |
| CN109086830A (en)* | 2018-08-14 | 2018-12-25 | 江苏大学 | Typical association analysis based on sample punishment closely repeats video detecting method |
| CN109446977A (en)* | 2018-10-25 | 2019-03-08 | 平安科技(深圳)有限公司 | Image processing method, device, storage medium and terminal based on recognition of face |
| CN109741282A (en)* | 2019-01-16 | 2019-05-10 | 清华大学 | A multi-frame bubble flow image processing method based on prediction correction |
| CN109829436A (en)* | 2019-02-02 | 2019-05-31 | 福州大学 | Multi-face tracking method based on depth appearance characteristics and self-adaptive aggregation network |
| CN109948494A (en)* | 2019-03-11 | 2019-06-28 | 深圳市商汤科技有限公司 | Image processing method and device, electronic device and storage medium |
| CN110099254A (en)* | 2019-05-21 | 2019-08-06 | 浙江师范大学 | A kind of driver's face tracking device and method |
| CN110300946A (en)* | 2017-02-14 | 2019-10-01 | 微软技术许可有限责任公司 | Intelligent assistant |
| CN110351268A (en)* | 2019-07-03 | 2019-10-18 | 福建睿思特科技股份有限公司 | A kind of digital law enforcement system of smart city |
| CN110490904A (en)* | 2019-08-12 | 2019-11-22 | 中国科学院光电技术研究所 | A kind of Dim targets detection and tracking |
| CN110580427A (en)* | 2018-06-08 | 2019-12-17 | 杭州海康威视数字技术股份有限公司 | face detection method, device and equipment |
| CN110781769A (en)* | 2019-10-01 | 2020-02-11 | 浙江大学宁波理工学院 | Method for rapidly detecting and tracking pedestrians |
| CN110826390A (en)* | 2019-09-09 | 2020-02-21 | 博云视觉(北京)科技有限公司 | Video data processing method based on face vector characteristics |
| US10692217B2 (en) | 2016-03-14 | 2020-06-23 | Sercomm Corporation | Image processing method and image processing system |
| CN111382694A (en)* | 2020-03-06 | 2020-07-07 | 杭州宇泛智能科技有限公司 | Face recognition method and device and electronic equipment |
| CN111815662A (en)* | 2019-04-11 | 2020-10-23 | 上海集森电器有限公司 | Behavior recognition implementation method based on face detection |
| CN111821645A (en)* | 2020-06-14 | 2020-10-27 | 于刚 | Trampoline safety protection platform and method |
| CN111967422A (en)* | 2020-08-27 | 2020-11-20 | 福建医联康护信息技术有限公司 | Self-service face recognition service method |
| CN112906600A (en)* | 2021-03-04 | 2021-06-04 | 联想(北京)有限公司 | Object information monitoring method and device and electronic equipment |
| CN113011258A (en)* | 2021-02-08 | 2021-06-22 | 深圳英飞拓科技股份有限公司 | Object monitoring and tracking method and device and electronic equipment |
| CN113051978A (en)* | 2019-12-27 | 2021-06-29 | 广州慧睿思通科技股份有限公司 | Face recognition method, electronic device and readable medium |
| CN113468998A (en)* | 2021-06-23 | 2021-10-01 | 武汉虹信技术服务有限责任公司 | Portrait detection method, system and storage medium based on video stream |
| CN113673381A (en)* | 2021-08-05 | 2021-11-19 | 合肥永信科翔智能技术有限公司 | A access control system for wisdom campus |
| CN119485001A (en)* | 2025-01-13 | 2025-02-18 | 深圳市永迦电子科技有限公司 | An intelligent camera for automatically capturing human faces and its recognition method |
| Publication number | Priority date | Publication date | Assignee | Title |
|---|---|---|---|---|
| CN102105904B (en)* | 2008-08-11 | 2014-06-25 | 欧姆龙株式会社 | Detection information registration device, object detection device, electronic device, method for controlling detection information registration device, method for controlling object detection device, program for controlling detection information registration device |
| CN102105904A (en)* | 2008-08-11 | 2011-06-22 | 欧姆龙株式会社 | Detection information registration device, object detection device, electronic device, method for controlling detection information registration device, method for controlling object detection device, program for controlling detection information registration device |
| CN101783019B (en)* | 2008-12-26 | 2013-04-24 | 佳能株式会社 | Subject tracking apparatus and control method therefor, image capturing apparatus, and display apparatus |
| CN101599177B (en)* | 2009-07-01 | 2011-07-27 | 北京邮电大学 | Video-based method for tracking human body limb movement |
| CN101626493B (en)* | 2009-08-06 | 2012-12-19 | 北京北大千方科技有限公司 | Method for judging forward motion direction of pedestrian by combining laser scanning and videos |
| CN101626493A (en)* | 2009-08-06 | 2010-01-13 | 北京北大千方科技有限公司 | Method for judging forward motion direction of pedestrian by combining laser scanning and videos |
| CN101706721B (en)* | 2009-12-21 | 2012-11-28 | 汉王科技股份有限公司 | Face detection method simulating radar scanning |
| CN102142146B (en)* | 2010-01-28 | 2013-04-17 | 北京中科大洋科技发展股份有限公司 | Method for tracking video target area |
| CN101908150A (en)* | 2010-06-25 | 2010-12-08 | 北京交通大学 | A human detection method |
| CN101908150B (en)* | 2010-06-25 | 2012-05-30 | 北京交通大学 | Human body detection method |
| CN101980245A (en)* | 2010-10-11 | 2011-02-23 | 北京航空航天大学 | A Passenger Flow Statistics Method Based on Adaptive Template Matching |
| CN101980245B (en)* | 2010-10-11 | 2013-07-17 | 北京航空航天大学 | Adaptive template matching-based passenger flow statistical method |
| CN102750707A (en)* | 2011-08-29 | 2012-10-24 | 新奥特(北京)视频技术有限公司 | Image processing method and image processing device based on regions of interest |
| US9607400B2 (en) | 2012-11-19 | 2017-03-28 | Ricoh Company, Ltd. | Moving object recognizer |
| CN104956400A (en)* | 2012-11-19 | 2015-09-30 | 株式会社理光 | Moving object recognizer |
| CN104956400B (en)* | 2012-11-19 | 2018-02-06 | 株式会社理光 | Mobile object identifier, vehicle and the method for identifying mobile object |
| WO2014169441A1 (en)* | 2013-04-16 | 2014-10-23 | Thomson Licensing | Method and system for eye tracking using combination of detection and motion estimation |
| CN104573640B (en)* | 2013-10-23 | 2019-04-30 | 想象技术有限公司 | Data processing system and its generating device, type of face detection method |
| CN104573640A (en)* | 2013-10-23 | 2015-04-29 | 想象技术有限公司 | Face detection |
| CN103745486A (en)* | 2014-01-15 | 2014-04-23 | 重庆邮电大学 | Method for eliminating noise interference by using moving track of object |
| CN104021394A (en)* | 2014-06-05 | 2014-09-03 | 华北电力大学(保定) | Insulator image recognition method based on Adaboost algorithm |
| CN104021394B (en)* | 2014-06-05 | 2017-12-01 | 华北电力大学(保定) | Insulator image-recognizing method based on AdaBoost algorithms |
| CN105469379A (en)* | 2014-09-04 | 2016-04-06 | 广东中星电子有限公司 | Video target area shielding method and device |
| CN105469379B (en)* | 2014-09-04 | 2020-07-28 | 广东中星微电子有限公司 | Video target area shielding method and device |
| US10692217B2 (en) | 2016-03-14 | 2020-06-23 | Sercomm Corporation | Image processing method and image processing system |
| CN109074473A (en)* | 2016-04-11 | 2018-12-21 | 北京市商汤科技开发有限公司 | For the method and system to image tracing |
| CN106203379A (en)* | 2016-07-20 | 2016-12-07 | 安徽建筑大学 | Human body recognition system for security |
| CN106682620A (en)* | 2016-12-28 | 2017-05-17 | 北京旷视科技有限公司 | Human face image acquisition method and device |
| CN106650682A (en)* | 2016-12-29 | 2017-05-10 | Tcl集团股份有限公司 | Method and device for face tracking |
| CN106897678A (en)* | 2017-02-08 | 2017-06-27 | 中国人民解放军军事医学科学院卫生装备研究所 | A kind of remote human face recognition methods of combination heartbeat signal, device and system |
| CN110300946B (en)* | 2017-02-14 | 2021-11-23 | 微软技术许可有限责任公司 | Intelligent assistant |
| US11194998B2 (en) | 2017-02-14 | 2021-12-07 | Microsoft Technology Licensing, Llc | Multi-user intelligent assistance |
| CN110300946A (en)* | 2017-02-14 | 2019-10-01 | 微软技术许可有限责任公司 | Intelligent assistant |
| CN108664853A (en)* | 2017-03-30 | 2018-10-16 | 北京君正集成电路股份有限公司 | Method for detecting human face and device |
| CN108664853B (en)* | 2017-03-30 | 2022-05-27 | 北京君正集成电路股份有限公司 | Face detection method and device |
| CN107644204B (en)* | 2017-09-12 | 2020-11-10 | 南京凌深信息科技有限公司 | Human body identification and tracking method for security system |
| CN107644204A (en)* | 2017-09-12 | 2018-01-30 | 南京凌深信息科技有限公司 | A kind of human bioequivalence and tracking for safety-protection system |
| CN108090428A (en)* | 2017-12-08 | 2018-05-29 | 广西师范大学 | A kind of face identification method and its system |
| CN108269331A (en)* | 2017-12-12 | 2018-07-10 | 国政通科技股份有限公司 | A kind of intelligent video big data processing system |
| CN114495283A (en)* | 2018-01-19 | 2022-05-13 | 腾讯科技(深圳)有限公司 | Skeletal motion prediction processing method and device and limb motion prediction processing method |
| CN114495283B (en)* | 2018-01-19 | 2025-08-22 | 腾讯科技(深圳)有限公司 | Skeletal motion prediction processing method, device and limb motion prediction processing method |
| CN108304790A (en)* | 2018-01-19 | 2018-07-20 | 腾讯科技(深圳)有限公司 | Skeleton motion prediction processing method, device and limb motion prediction processing method |
| CN108573230A (en)* | 2018-04-10 | 2018-09-25 | 京东方科技集团股份有限公司 | Face tracking method and face tracking device |
| CN108573230B (en)* | 2018-04-10 | 2020-06-26 | 京东方科技集团股份有限公司 | Face tracking method and face tracking device |
| CN110580427A (en)* | 2018-06-08 | 2019-12-17 | 杭州海康威视数字技术股份有限公司 | face detection method, device and equipment |
| CN109086830A (en)* | 2018-08-14 | 2018-12-25 | 江苏大学 | Typical association analysis based on sample punishment closely repeats video detecting method |
| CN109446977B (en)* | 2018-10-25 | 2024-06-28 | 平安科技(深圳)有限公司 | Image processing method and device based on face recognition, storage medium and terminal |
| CN109446977A (en)* | 2018-10-25 | 2019-03-08 | 平安科技(深圳)有限公司 | Image processing method, device, storage medium and terminal based on recognition of face |
| CN109741282A (en)* | 2019-01-16 | 2019-05-10 | 清华大学 | A multi-frame bubble flow image processing method based on prediction correction |
| CN109741282B (en)* | 2019-01-16 | 2021-03-12 | 清华大学 | Multi-frame bubble flow image processing method based on pre-estimation correction |
| CN109829436A (en)* | 2019-02-02 | 2019-05-31 | 福州大学 | Multi-face tracking method based on depth appearance characteristics and self-adaptive aggregation network |
| TWI702544B (en)* | 2019-03-11 | 2020-08-21 | 大陸商深圳市商湯科技有限公司 | Method, electronic device for image processing and computer readable storage medium thereof |
| WO2020181728A1 (en)* | 2019-03-11 | 2020-09-17 | 深圳市商汤科技有限公司 | Image processing method and apparatus, electronic device, and storage medium |
| US11288531B2 (en) | 2019-03-11 | 2022-03-29 | Shenzhen Sensetime Technology Co., Ltd. | Image processing method and apparatus, electronic device, and storage medium |
| CN109948494B (en)* | 2019-03-11 | 2020-12-29 | 深圳市商汤科技有限公司 | Image processing method and device, electronic equipment and storage medium |
| CN109948494A (en)* | 2019-03-11 | 2019-06-28 | 深圳市商汤科技有限公司 | Image processing method and device, electronic device and storage medium |
| CN111815662A (en)* | 2019-04-11 | 2020-10-23 | 上海集森电器有限公司 | Behavior recognition implementation method based on face detection |
| CN110099254A (en)* | 2019-05-21 | 2019-08-06 | 浙江师范大学 | A kind of driver's face tracking device and method |
| CN110099254B (en)* | 2019-05-21 | 2023-08-25 | 浙江师范大学 | Driver face tracking device and method |
| CN110351268A (en)* | 2019-07-03 | 2019-10-18 | 福建睿思特科技股份有限公司 | A kind of digital law enforcement system of smart city |
| CN110490904A (en)* | 2019-08-12 | 2019-11-22 | 中国科学院光电技术研究所 | A kind of Dim targets detection and tracking |
| CN110826390B (en)* | 2019-09-09 | 2023-09-08 | 博云视觉(北京)科技有限公司 | Video data processing method based on face vector characteristics |
| CN110826390A (en)* | 2019-09-09 | 2020-02-21 | 博云视觉(北京)科技有限公司 | Video data processing method based on face vector characteristics |
| CN110781769A (en)* | 2019-10-01 | 2020-02-11 | 浙江大学宁波理工学院 | Method for rapidly detecting and tracking pedestrians |
| CN113051978A (en)* | 2019-12-27 | 2021-06-29 | 广州慧睿思通科技股份有限公司 | Face recognition method, electronic device and readable medium |
| CN111382694A (en)* | 2020-03-06 | 2020-07-07 | 杭州宇泛智能科技有限公司 | Face recognition method and device and electronic equipment |
| CN111821645A (en)* | 2020-06-14 | 2020-10-27 | 于刚 | Trampoline safety protection platform and method |
| CN111967422A (en)* | 2020-08-27 | 2020-11-20 | 福建医联康护信息技术有限公司 | Self-service face recognition service method |
| CN113011258A (en)* | 2021-02-08 | 2021-06-22 | 深圳英飞拓科技股份有限公司 | Object monitoring and tracking method and device and electronic equipment |
| CN112906600B (en)* | 2021-03-04 | 2025-02-25 | 联想(北京)有限公司 | Object information monitoring method, device and electronic equipment |
| CN112906600A (en)* | 2021-03-04 | 2021-06-04 | 联想(北京)有限公司 | Object information monitoring method and device and electronic equipment |
| CN113468998A (en)* | 2021-06-23 | 2021-10-01 | 武汉虹信技术服务有限责任公司 | Portrait detection method, system and storage medium based on video stream |
| CN113673381A (en)* | 2021-08-05 | 2021-11-19 | 合肥永信科翔智能技术有限公司 | A access control system for wisdom campus |
| CN119485001A (en)* | 2025-01-13 | 2025-02-18 | 深圳市永迦电子科技有限公司 | An intelligent camera for automatically capturing human faces and its recognition method |
| CN119485001B (en)* | 2025-01-13 | 2025-09-16 | 深圳市永迦电子科技有限公司 | An intelligent camera for automatically capturing human faces and its recognition method |
| Publication | Publication Date | Title |
|---|---|---|
| CN101216885A (en) | A Pedestrian Face Detection and Tracking Algorithm Based on Video | |
| Wang et al. | Automatic laser profile recognition and fast tracking for structured light measurement using deep learning and template matching | |
| CN103310194B (en) | Pedestrian based on crown pixel gradient direction in a video shoulder detection method | |
| CN103971386B (en) | A kind of foreground detection method under dynamic background scene | |
| Hsieh et al. | Shadow elimination for effective moving object detection by Gaussian shadow modeling | |
| Han et al. | Deep learning-based visual ensemble method for high-speed railway catenary clevis fracture detection | |
| CN102426645B (en) | Multi-view and multi-state gait recognition method | |
| CN114187665B (en) | Multi-person gait recognition method based on human skeleton heat map | |
| CN102663429B (en) | Method for motion pattern classification and action recognition of moving target | |
| CN112819094A (en) | Target detection and identification method based on structural similarity measurement | |
| CN104601964A (en) | Non-overlap vision field trans-camera indoor pedestrian target tracking method and non-overlap vision field trans-camera indoor pedestrian target tracking system | |
| CN102768726B (en) | Pedestrian detection method for preventing pedestrian collision | |
| CN110991348A (en) | Facial micro-expression detection method based on optical flow gradient amplitude feature | |
| Bedruz et al. | Real-time vehicle detection and tracking using a mean-shift based blob analysis and tracking approach | |
| CN101470809A (en) | Moving object detection method based on expansion mixed gauss model | |
| CN108460340A (en) | A kind of gait recognition method based on the dense convolutional neural networks of 3D | |
| CN102004925B (en) | Method for training object classification model and identification method using object classification model | |
| CN109359549A (en) | A Pedestrian Detection Method Based on Mixed Gaussian and HOG_LBP | |
| CN110991398A (en) | Gait recognition method and system based on improved gait energy map | |
| CN104794449A (en) | Gait energy image acquisition method based on human body HOG (histogram of oriented gradient) features and identity identification method | |
| CN106056078B (en) | Crowd density estimation method based on multi-feature regression type ensemble learning | |
| Lee et al. | Real-time automatic vehicle management system using vehicle tracking and car plate number identification | |
| CN116645718A (en) | A micro-expression recognition method and system based on multi-stream architecture | |
| CN103077383B (en) | Based on the human motion identification method of the Divisional of spatio-temporal gradient feature | |
| CN116229564A (en) | Gait recognition method and system based on dynamic aggregation network |
| Date | Code | Title | Description |
|---|---|---|---|
| C06 | Publication | ||
| PB01 | Publication | ||
| C10 | Entry into substantive examination | ||
| SE01 | Entry into force of request for substantive examination | ||
| C12 | Rejection of a patent application after its publication | ||
| RJ01 | Rejection of invention patent application after publication | Open date:20080709 |