Movatterモバイル変換


[0]ホーム

URL:


CN101213170A - Process for production of 4-biphenylylazetidin-2-ones - Google Patents

Process for production of 4-biphenylylazetidin-2-ones
Download PDF

Info

Publication number
CN101213170A
CN101213170ACNA2006800243473ACN200680024347ACN101213170ACN 101213170 ACN101213170 ACN 101213170ACN A2006800243473 ACNA2006800243473 ACN A2006800243473ACN 200680024347 ACN200680024347 ACN 200680024347ACN 101213170 ACN101213170 ACN 101213170A
Authority
CN
China
Prior art keywords
ether
compound
following formula
protd
silyl
Prior art date
Legal status (The legal status is an assumption and is not a legal conclusion. Google has not performed a legal analysis and makes no representation as to the accuracy of the status listed.)
Pending
Application number
CNA2006800243473A
Other languages
Chinese (zh)
Inventor
P·李
S·安东内利
R·伦蒂格兰-苏西
E·J·马丁内斯
W·C·谢勒
J·J·塔利
Current Assignee (The listed assignees may be inaccurate. Google has not performed a legal analysis and makes no representation or warranty as to the accuracy of the list.)
Microbia Inc
Original Assignee
Microbia Inc
Priority date (The priority date is an assumption and is not a legal conclusion. Google has not performed a legal analysis and makes no representation as to the accuracy of the date listed.)
Filing date
Publication date
Application filed by Microbia IncfiledCriticalMicrobia Inc
Publication of CN101213170ApublicationCriticalpatent/CN101213170A/en
Pendinglegal-statusCriticalCurrent

Links

Landscapes

Abstract

The present invention relates to processes for the production of 4-biphenylylazetidin-2-one derivatives of formula (I).

Description

The method for preparing 4-biphenylylazetidin-2-ones thing
Technical field
The present invention relates to the preparation method of 4-xenyl aza cyclo-butanone derivatives.
Background technology
Verified (1S)-1,5-anhydrates-1-(4 '-(2S, 3R)-3-[(3S)-3-(4-fluorophenyl)-3-hydroxypropyl] 4-oxo-1-phenyl azetidine alkane-2-yl }-3 '-xenol-4-yl)-D-glucitol (ADG) is a cholesterol absorption inhibitor.(referring to common unsettled U. S. application 10/986,570, it is hereby incorporated by.)
Figure S2006800243473D00011
ADG is the member of azetidinone cholesterol absorption inhibitor family.1, the application of 4-phenylbenzene azetidine-2-ketone and their treatment lipid metabolism disease is described in the 6th, 498, and among No. 156 United States Patent (USP)s and the PCT application WO02/50027, they are hereby incorporated by.Know most 1, the member of 4-phenylbenzene azetidine-2-ketone pravastatin is an ezetimibe, it is as ZETIATMSell.
For example, the 5th, 631,365,6,093,812,5,306,817 and 6,627, the preparation method of No. 757 U.S. Patent Publications and the claimed aza cyclo-butanone derivatives relevant with ezetimibe.
The present invention relates to the preparation method of 4-(xenyl) azetidine-2-ketone of ADG and similar carbohydrate replacement.
Summary of the invention
The present invention relates to the method for the ADG related compound of preparation formula Ia
Figure S2006800243473D00021
Wherein
R1And R2Be selected from H, halogen ,-OH and methoxyl group;
ProtA '-O-is the phenol protecting group, is selected from oxygen ylmethyl ether, tert-alkyl ether, benzylic ether and silyl ether;
ProtB-O-is HO-or benzyl alcohol protecting group, is selected from oxygen ylmethyl ether, THP trtrahydropyranyl or tetrahydrofuran base ether, methoxyl group cyclohexyl ether, methoxy-benzyl ether, silyl ether and ester; With
R5Be sugar or shielded sugar.
Aspect first method, the present invention relates to following method, comprise making formula IIb compound
Figure S2006800243473D00022
Wherein X is selected from iodine, bromine, chlorine, tosyl group, methylsulfonyl and trifyl,
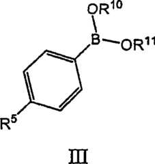
React with the formula III compound
Figure S2006800243473D00031
R wherein10And R11Be independently selected from H and (C1-C6) alkyl, perhaps R10And R11Form 5-6 unit ring altogether.
On the contrary, can make formula IIa compound
Figure S2006800243473D00032
React with formula XX compound
Figure S2006800243473D00033
In aspect second method, the present invention relates to prepare the method for structural formula II compound
Figure S2006800243473D00034
Wherein ProtA '-O-is the phenol protecting group that is selected from oxygen ylmethyl ether, allyl ethers, tert-alkyl ether, benzylic ether and silyl ether.
This method comprises cyclisation formula IVa compound
Figure S2006800243473D00041
R wherein6Be phenyl or benzyl, and ProtB '-O-is the benzyl alcohol protecting group that is selected from oxygen ylmethyl ether, THP trtrahydropyranyl or tetrahydrofuran base ether, methoxyl group cyclohexyl ether, methoxy-benzyl ether, silyl ether and ester.
In aspect third party's method, the present invention relates to prepare the method for structural formula IVi compound
Figure S2006800243473D00042
Wherein Q is a chiral auxiliary group.Described chiral auxiliary group is selected from triphenyl ethylene glycol and has the ring-type of at least one chiral centre and the single enantiomer of side chain nitrogen-containing group.This method comprises makes formula V compound
Figure S2006800243473D00043
React with formula VI compound
Figure S2006800243473D00051
In aspect cubic method, the present invention relates to the method for the imines of preparation formula VI
This method comprises:
(1) makes formulaPhenol and formaldehyde source reaction, subsequently
(2) by with formula
Figure S2006800243473D00054
Aniline reaction form Schiff's base, subsequently
(3) protect with ProtA.
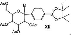
In aspect other method, the present invention relates to the method for preparation formula XII compound
Figure S2006800243473D00061
Comprise:
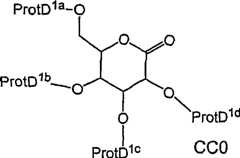
(1) the protected sugar lactone of following formula
Figure S2006800243473D00062
ProtD wherein1a, ProtD1b, ProtD1cAnd ProtD1dBe trialkylsilkl,
Use formula
Figure S2006800243473D00063
Grignard reagent handle, wherein X ' is bromine or Cl,
Handle with methyl alcohol and acid subsequently, thereby formula XIII be provided compound:
(2) in the presence of platinum catalyst, in the presence of alkali and acetyl imidazole, handle XIII with the excessive acetylation reagent that is selected from diacetyl oxide, Acetyl Chloride 98Min. and pentafluorophenyl group acetic ester, thereby XIV be provided:
Figure S2006800243473D00065
(3), thereby provide XV with silane and Lewis acid reduction XIV:
Figure S2006800243473D00071
With
(4) XV and connection boric acid pinacol ester are reacted in the presence of palladium catalyst, thereby form XII;
Figure S2006800243473D00072
Merging is got up, and method of the present invention provides the group method of preparation ADG:
Figure S2006800243473D00073
(R wherein1Be H and R2Be F)
Described method by
Figure S2006800243473D00081
Glucono-lactone,
Figure S2006800243473D00082
With
Figure S2006800243473D00083
Beginning.
Aspect product, the present invention relates to formula VI compound
Figure S2006800243473D00084
Work as R1For H, X are Br and ProtA when being benzyl, this compound is necessary for solid form and purity greater than 95%.
Aspect second product, the present invention relates to following formula: compound
Wherein X is selected from iodine, bromine, chlorine, tosyl group, methylsulfonyl and trifyl; And ProtDa, ProtDb, ProtDcAnd ProtDdFor being independently selected from the sugared protecting group of benzyl, silyl (for example tBDMS and TMS), acyl group (for example ethanoyl and benzoyl), ketal (for example acetone solvate and MOM) and acetal (for example benzylidene).
Aspect three products, the present invention relates to following formula: compound:
ProtD whereina, ProtDb, ProtDcAnd ProtDdFor being independently selected from the sugared protecting group of benzyl, silyl (for example tBDMS and TMS), acyl group (for example ethanoyl and benzoyl), ketal (for example acetone solvate and MOM) and acetal (for example benzylidene); And R10And R11Be independently selected from H and (C1-C6) alkyl, perhaps R10And R11Form 5-6 unit ring altogether.In one embodiment, R10And R11Form two oxa-boron heterocycle pentanizing compounds altogether:
Figure S2006800243473D00092
Embodiment
In the full text of this application, quote many pieces of reference.The full content of these open texts is all as being hereby incorporated by in this record.
Definition
In this specification sheets, when being introduced into, to term with substituting group defines and keep their definition in whole text.The reader numbers the structural description of material of the present invention and kind for convenience.Usually, the shared general Roman number mark of the compound of shared general purpose core.The Roman number that does not further expand belongs to its whole width means " parent " usually; Wherein at least a substituting group of letter expansion expression has the subgenus that is subjected to limited range; Italic i represents to have than its parent genus, subgenus or kind the subgenus or the kind of the chirality of further qualification.
Alkyl is meant and comprises straight chain, side chain or cyclic hydrocarbon structures and combination thereof.When it not being carried out other when limiting, this term is meant 20 or the alkyl of carbon still less.Low alkyl group is meant the alkyl of 1,2,3,4,5 and 6 carbon atom.The example of low alkyl group comprises methyl, ethyl, propyl group, sec.-propyl, butyl, sec-butyl and tertiary butyl or the like.Preferred alkyl and alkylidene group are C20Perhaps lower group (C for example1, C2, C3, C4, C5, C6, C7, C8, C9, C10, C11, C12, C13, C14, C15, C16, C17, C18, C19, C20).Cycloalkyl is the subbase of alkyl, and comprises the cyclic hydrocarbon radical of 3,4,5,6,7 and 8 carbon atoms.The example of cycloalkyl comprises cyclopropyl, cyclobutyl, cyclopentyl, norcamphyl and adamantyl etc.
C1~C20Alkyl (C for example1, C2, C3, C4, C5, C6, C7, C8, C9, C10, C11, C12, C13, C14, C15, C16, C17, C18, C19, C20) comprise alkyl, cycloalkyl, thiazolinyl, alkynyl, aryl and combination thereof.The example comprises benzyl, styroyl, cyclohexyl methyl, camphoryl and naphthyl ethyl.Term " phenylene " is meant ortho position, a position or the contraposition group of following formula:
Figure S2006800243473D00101
With
Figure S2006800243473D00102
Alkoxyl group is meant the group that is connected straight chain, side chain, atoll texture and the combination thereof of 1,2,3,4,5,6,7 or 8 carbon atom on the precursor structure by oxygen.The example comprises methoxyl group, oxyethyl group, propoxy-, isopropoxy, ring propoxy-and cyclohexyloxy or the like.Lower alkoxy is meant the group that contains 1~6 carbon atom.
Oxa alkyl is meant that one or more carbon atom (hydrogen relevant with them) is by oxygen metathetical alkyl.The example comprises methoxy propoxy, 3,6,9-trioxa decyl or the like.The term oxa alkyl means as this area to be understood [referring to Naming andIndexing of Chemical Substances for Chemical Abstracts, American Chemical Society publishes, 196, but there is not the restriction of 127 (a)], that is, it is meant that oxygen wherein is connected the compound of its adjacent atom (formation ehter bond) through singly-bound.Similarly, thia alkyl and azepine alkyl are meant that respectively one or more carbon atom is by sulphur or nitrogen metathetical alkyl.The example comprises ethylamino ethyl and methylthio group propyl group.
Polyvalent alcohol is meant compound or the residue with a plurality of-OH group.Polyvalent alcohol can be considered to wherein a plurality of c h bonds by C-OH key metathetical alkyl.General polyol compound for example comprises glycerine, erythritol, sorbyl alcohol, Xylitol, N.F,USP MANNITOL and inositol.The straight chain polyvalent alcohol residue formula-C that will see service usuallyyH2y+1Oy, and the cyclic polyols residue will have formula-C usuallyyH2y-1OyIn these empirical formulas, y is preferably 3,4,5 and 6.Cyclic polyols also comprises reducing sugar, as glucitol.
Acyl group is meant by the carbonyl functional group and is connected the straight chain, side chain, atoll texture of 1,2,3,4,5,6,7 and 8 carbon atom on the precursor structure, the group of saturated, unsaturated and fragrant and combination.One or more carbon atom on the acyl group can be by nitrogen, oxygen or sulphur displacement, as long as remain carbonyl with the tie point of parent.The example comprises formyl radical, ethanoyl, propionyl, isobutyryl, tertbutyloxycarbonyl, benzoyl, carbobenzoxy-(Cbz) or the like.Lower acyl is meant the group that contains 1~6 carbon atom.
Aryl and heteroaryl are meant respectively as substituent fragrance or assorted aromatic nucleus.Heteroaryl contains one, two or three heteroatomss that are selected from O, N or S.They are meant monocycle 5-or 6-unit's fragrance or assorted aromatic nucleus, two ring 9-or 10-unit's fragrance or assorted aromatic nucleus and three ring 13-or 14-unit's fragrance or assorted aromatic nucleus.Fragrance 6,7,8,9,10,11,12,13 and 14-unit carbocyclic ring for example comprise benzene, naphthalene, indane, naphthane and fluorenes, and 5,6,7,8,9 and the 10-membered aromatic heterocycle for example comprise imidazoles, pyridine, indoles, thiophene, benzopyrone, thiazole, furans, benzoglyoxaline, quinoline, isoquinoline 99.9, quinoxaline, pyrimidine, pyrazine, tetrazolium and pyrazoles.
Aralkyl is meant the alkyl residue that is connected on the aromatic ring.The example is benzyl and styroyl or the like.
Substituted alkyl, aryl, cycloalkyl, heterocyclic radicals etc. are meant the alkyl that is replaced by following group in each group wherein up to three H atoms, aryl, cycloalkyl or heterocyclic radical: halogen, haloalkyl, hydroxyl, lower alkoxy, carboxyl, alkoxy carbonyl (also being called carbalkoxy), carboxamido (also being called alkyl amino-carbonyl), cyano group, carbonyl, nitro, amino, alkylamino, dialkyl amido, sulfydryl, alkylthio, sulfoxide, sulfone, amide group, amidino groups, phenyl, benzyl, heteroaryl, phenoxy group, benzyloxy or heteroaryloxy.
Term " halogen " is meant fluorine, chlorine, bromine or iodine.
Term " sugar " uses with its conventional meaning, and as Hawley ' s Condensed Chemical Dictionary, the 12nd edition, Richard J.Lewis defines among the Sr.Van Nostrand Reinhold Co.New York.It comprises any carbohydrate of being made up of one or two glycosyl groups.Monose carbohydrate (being commonly referred to monose) is made up of the chain of 2-7 carbon atom, and one of them carbon atom has aldehyde formula or ketonic oxygen, and it can be merged into acetal or ketal form.Remaining carbon atom has hydrogen atom and hydroxyl (perhaps hydroxyl protecting group, as acetic ester) usually.In this application, think that the monose in term " sugar " scope is arabinose, ribose, wood sugar, ribulose, xylulose, ribodesose, semi-lactosi, glucose, seminose, fructose, sorbose, tagatose, Fucose, chinovose, rhamnosyl, mannoheptulose and sedoheptulose.Disaccharides is sucrose, lactose, maltose and cellobiose.Unless clearly change, generic term " sugar " are meant D-sugar and L-sugar.Described sugar can also be protected.Described sugar can connect through oxygen (as United States Patent (USP) 5,756,470 in) or through carbon (in PCTWO2002066464), and their disclosure all is hereby incorporated by.
Reductive C-connects sugar or the C-glycosyl compound is included in the scope of the present invention equally.The sugar that is reduced (for example glucitol) that can classify as polyvalent alcohol or sugar also is called aldehyde alcohol.Aldehyde alcohol is to have general formula HOCH2[CH (OH)]nCH2The polyvalent alcohol of OH (normally derive by reducing carbonyl and obtain) by aldose.
Based on context be easy to those skilled in the art infer that it comprises with a series of reagent handles continuously with " protection ", " deprotection " and " (being subjected to) protection " proper noun that functional group is relevant.In context, protecting group refers to a kind of group that is generally used for protecting functional group in reaction process, otherwise other reaction will take place, but this reaction is unwanted.Protecting group has stoped this reaction in reactions steps, but can remove protecting group subsequently to discharge original functional group.Remove or " deprotection " occurs in that reaction is finished or this functional group gets involved after the reaction.Thereby when specifying a series of reagent, as in the process of the present invention, those of ordinary skills can reckon with that those suitable groups as " protecting group " are conspicuous.The group that is fit to this purpose is all mentioned in the standard teaching material of chemical field [referring to for example Protective Groups in Organic Synthesis, T.W.Greene and P.GM.Wuts, second edition; John Wiley ﹠amp; Sons, New York (1991)].
In the methods of the invention,, for example can be expected at alkali and acetyl imidazole and exist down, in the presence of platinum catalyst, use diacetyl oxide, Acetyl Chloride 98Min. or pentafluorophenyl group acetic ester in order to protect the hydroxyl on the sugar.Ethanoyl can be in proper step with alkali (for example methanol solution of the methanol solution of the aqueous methanol solution of the ethanolic soln of the aqueous methanol solution of salt of wormwood, guanidine, lithium hydroxide, triethylamine, ammonia), rupture with the ethanolic soln of potassium cyanide or with the methanol solution of fluoride sources (for example Potassium monofluoride or cesium fluoride).In order to protect non-sugar alcohol (for example ProtA and ProtB), can consider for example benzylic ether.Described benzyl can not be substituted or be substituted (for example to methoxybenzyl, dimethoxy-benzyl, trimethoxy benzyl, nitrobenzyl, halogeno-benzyl or the like).
Shortenings Me, Et, Ph, Tf, Ts and Ms represent methyl, ethyl, phenyl, trifyl, tosyl group and methylsulfonyl respectively.The abbreviation table look-up that is used by organic chemist's (being those of ordinary skills) comes across Journal of Organic Chemistry and respectively rolls up in the first version.In the middle of the form that this table look-up appears at usually " standard abbreviations " by name (Standard List of Abbreviations), quote in full at this.Understand as those skilled in the art, term " Virahol ", " isopropyl alcohol " and " 2-propyl alcohol " are of equal value, and 67-63-0 represents by the CAS registration.
The diagram of racemize, ambiscalemic and scalemic or optical siomerism pure compound adopts Maehr LChem.Ed.62 as used herein, and described in the 114-120 (1985): solid and discontinuous wedge shape is used to represent the absolute configuration of chiral element; Wave-like line and single thin line represent that the key of its representative can not produce any stereochemistry connotation; Solid and discontinuous thick line is relative configuration shown in the expression but not the geometrical symbol of expression racemize character; Represent the optical siomerism pure compound of uncertain absolute configuration with wedge shape line and dotted line or dotted line.Thus, formula XI intention comprises following a pair of pure enantiomer:
Figure S2006800243473D00121
Be meant pure 3R, 4S:
Figure S2006800243473D00131
Perhaps pure 3S, 4R:
Figure S2006800243473D00132
Yet
Figure S2006800243473D00133
Be meant R, S and S, the racemic mixture of R promptly has trans relative configuration on the beta-lactam ring.
Term " optical isomer is excessive " is known in the art, is defined as ab is split as a+b, and is as follows
Figure S2006800243473D00141
Term " optical isomer is excessive " is with relevant than term " optical purity " early, and they are measuring of identical presentation.The ee value is 0~100 numeral, and 0 is racemize, and 100 is pure, single enantiomer.Can be called as 98% optically pure compound in the past and more properly be described as 96%ee now; In other words, 90%ee is reflected in a kind of enantiomer of existence 95% in the described material and 5% another kind of isomer.
The ADG related compound of formula Ia is prepared in the following manner,
Figure S2006800243473D00142
Make formula IIb compound
Figure S2006800243473D00143
With the reaction of formula III compound,
Figure S2006800243473D00144
R wherein10And R11Be independently selected from H and (C1-C6) alkyl, perhaps R10And R11Form 5-6 unit ring altogether.Additionally, can make formula IIa compound
React with formula XX compound
In these methods and compound, R1And R2Be selected from H, halogen, OH and methoxyl group.R10And R11Can form 5-6 unit ring altogether, for example:
Figure S2006800243473D00153
In certain embodiments, R1Be hydrogen and R2Be fluorine, and R10And R11Form two oxa-boron heterocycle pentanizing compounds altogether.The method that is used for ADG is the example of described embodiment.
ProtA-O-is the phenol protecting group, is selected from Greene and Wuts, and the protecting group among the Chapter3 does not need to be removed with strong acid or alkali.Described examples of groups comprises oxygen ylmethyl ether [for example MOM and 2-(trimethyl silyl) ethoxyl methyl (SEM)], allyl ethers [for example allyl ethers and 2-methallyl ether], tert-alkyl ether [for example tertbutyl ether], benzylic ether [for example benzylic ether and have the multiple benzylic ether derivative of replacement on benzyl ring] and silyl ether [for example trimethyl silyl, t-butyldimethylsilyl and t-butyldiphenylsilyl].
ProtB-O-is HO-or benzyl alcohol protecting group.For multiple reaction, comprise some reactions of following graphic extension, the hydroxyl that do not need protection, on this meaning, ProtB-O-is HO-.When needing protection base, it is selected from Greene and Wuts, and Chapter 1, the protecting group among the pages17-86, and removing of they do not need strong acid.The example comprises oxygen ylmethyl ether, THP trtrahydropyranyl or tetrahydrofuran base ether, methoxyl group cyclohexyl ether, methoxybenzyl ether, silyl ether and ester [for example ethanoyl or benzoyl].
R5Be sugar or shielded sugar.As mentioned above, steamed bun stuffed with sugar is drawn together any carbohydrate and reducing sugar of being made up of one or two glycosyl groups (aldehyde alcohol), as sugar alcohol.Protecting group can be selected from any protecting group that the carbohydrate field is known.The example comprises benzylic ether, silyl ether [for example trimethyl silyl] and acyl ester [for example ethanoyl].
X is selected from iodine, bromine, chlorine, tosyl group, methylsulfonyl and trifyl.
In certain embodiments, ProtA-O-is selected from methoxymethyl ether, tertbutyl ether and benzylic ether; ProtB-O-is selected from HO-, t-butyldimethylsilyl ether and THP trtrahydropyranyl ether; And III is
Figure S2006800243473D00161
This is reflected under phosphine, palladium salt and the alkali existence and carries out, for example triphenylphosphine or three (o-tolyl) phosphine, PdCl2The aqueous solution with alkali metal hydroxide or carbonate.In one embodiment, R1Be hydrogen; R2Be fluorine; X is a bromine; ProtA-O-is a benzylic ether; And ProtB-O-is HO-.
Palladium catalyst comprises that acid chloride, Palladous chloride, palladium bromide, palladium acetylacetonate, two (three-o-tolyl) phosphine close palladium dichloride, two (triphenylphosphine) and close palladium dichloride, four (triphenylphosphine) and close palladium [(Ph3P)4Pd], three (dibenzalacetones) close palladium [(dba)3Pd2] and two (dibenzalacetones) close palladium [(dba)2Pd].Forming among the XII by XV, finding that the phosphine part is favourable.The part that is used for hypoboric acid ester (diboron) substance reaction can be 1,1 '-two (two-o-tolyl phosphino-) ferrocene (DTPF); 1,1 '-two (diphenylphosphino) ferrocene (DPPF); 1-di-t-butyl phosphino--2-methylamino-ethyl dicyclopentadienyl iron; [2 '-(diphenylphosphino) [1,1 '-dinaphthyl]-the 2-yl] diphenyl phosphine oxide (BINAP) and 2,2 '-two (two-p-methylphenyl phosphino-s)-1,1 '-dinaphthalene (tol-BINAP) and trialkyl or triaryl phosphine are as tri-butyl phosphine, tricyclohexyl phosphine, triphenylphosphine and (three-o-tolyl) phosphine.
After formula I compound is synthesized, with the protecting group fracture, has the respective compound of free phenol, free alcohol and/or free sugar/polyvalent alcohol under suitable condition thereby form.When protecting group is, for example during benzyl, hydrogenolysis can be used for deprotection; When protecting group for example was t-butyldimethylsilyl, tetrabutyl ammonium fluoride can be used for deprotection; When protecting group for example was acetic ester, hydrolysis of carrying out with alkali aqueous solution in the presence of fluorine anion or methanolysis can be used for deprotection.
Thus, for example, can utilize following mode to prepare following compound,
Figure S2006800243473D00171
Make the azetidinone compounds of following formula
Figure S2006800243473D00172
Two oxa-boron heterocycle pentanizing compounds reaction with following formula
Figure S2006800243473D00181
Carry out deprotection then.In this embodiment, ProtC-O-is the protecting group that is used for sugar alcohol that is selected from dibenzyl ether, silyl ether and ester.In specific embodiments, can make the azetidinone compounds of following formula
Figure S2006800243473D00182
With the two oxa-boron heterocycle pentanizing compounds reaction of following formula,
Figure S2006800243473D00183
Carry out deprotection then.The deprotection of Prot ' A (benzyl) is accomplished by catalytic hydrogenolysis, and the deprotection of ProtC (ethanoyl) is by in the presence of fluorine anion, is hydrolyzed or to carry out methanolysis accomplished with alkali aqueous solution.
The compound of structure I I can synthesize by cyclisation formula IV compound,
Wherein Q is the chiral auxiliary group that is connected on the nitrogen.Described chiral auxiliary group can be selected from the ring-type with at least one chiral centre and the single enantiomer of side chain nitrogen-containing group.In specific embodiments, IIi can obtain preparation by cyclisation formula IVi.
Figure S2006800243473D00192
The example of described chiral auxiliary group comprises triphenyl ethylene glycol:
Figure S2006800243473D00201
[referring to Braun and Galle, Synthesis 1996.819-820], and chirality nitrogen heterocycles:
Figure S2006800243473D00202
In these compounds, R10Be phenyl, benzyl, sec.-propyl, isobutyl-or the tertiary butyl; R11Be hydrogen, methyl or ethyl; Perhaps R10And R11Can form ring altogether; R12Be hydrogen, methyl or ethyl; R13Be hydrogen or methyl; R14Be methyl, benzyl, sec.-propyl, isobutyl-or the tertiary butyl; ProtC is methoxyl group oxygen ylmethyl (MOM), 2-(trimethyl silyl) ethoxyl methyl (SEM), allyl group or silyl [for example, trimethyl silyl, t-butyldimethylsilyl, phenyl dimetylsilyl]; Represent that with wave-like line auxiliary group is connected the key on the parent carbonyl.In one embodiment, chiral auxiliary group is
Figure S2006800243473D00211
, and R6Be phenyl or benzyl.
In one embodiment, the precursor of beta-lactam is
Figure S2006800243473D00212
R wherein6Be phenyl or benzyl.
In one embodiment, wherein ProA-O-is methoxymethyl ether, allyl ethers, tertbutyl ether, silyl ether or benzylic ether, and ProtB-O-is silyl ether or THP trtrahydropyranyl ether, described cyclisation is by N, and two trimethyl silyl lactan of O-and fluoride sources (as tetrabutyl ammonium fluoride) are realized.Described cyclisation can also use highly basic to carry out, as metal hydride (for example sodium hydride, potassium hydride KH, lithium hydride).
Formula IVi compound can obtain in the following manner,
Figure S2006800243473D00213
Make formula V compound
Figure S2006800243473D00221
React with formula VI compound
Figure S2006800243473D00222
In one embodiment, the compound of structure I Vai is prepared by following sequence step,
Figure S2006800243473D00223
Formula Vai compound and trialkyl halogenated silanes are reacted, subsequently in the presence of alkali (as organic tertiary amine)
Figure S2006800243473D00231
B. with Lewis acid reaction, the particularly halogenide of the 3rd, 4,13 or 14 family's metals, as titanium tetrachloride; Subsequently
C. react with formula VI compound
Figure S2006800243473D00232
If beta-amino Xian oxazolin ketone part protected (promptly wherein ProtB-O is not the formula V compound of OH), " step a " can omit so.
In another embodiment, formula
Figure S2006800243473D00233
Compound and trimethylchlorosilane in the presence of tertiary amine, react, to form the benzylalcohol of silyl protection, make the benzylalcohol of this silyl protection and titanium tetrachloride then and with the imine reaction of following formula,
To form following formula: compound
Figure S2006800243473D00242
After the benzylalcohol of silyl protection and titanium tetrachloride and imine reaction, product is separated with the form of mixture, and wherein still part is protected is the trimethyl silyl ester for benzylalcohol, and is partly become hydroxyl by deprotection.Acidic hydrolysis effect by trimethyl silyl, described mixture can be reformed completely into the benzylalcohol shown in the above structure and be used for next step, perhaps in addition, described mixture can carry out cyclization downwards, use N because the first part of next step relates to, the two trimethyl silyl acid amides of O-carry out silylanizing to benzylalcohol.When beta-amino Xian oxazolin ketone will carry out purifying by chromatography, acidic hydrolysis was preferred.
Formula V compound can pass through United States Patent (USP) 6,627, and the method described in 757 is prepared, and wherein Q is
R wherein10Be phenyl and R11Be hydrogen.By with any suitable be not that aforesaid Q group is replaced the N-H part
Figure S2006800243473D00244
, other chiral auxiliary group can use in an identical manner.
Formula VI compound can obtain in the following manner, and phenol that the position replaces between making and formaldehyde source reaction form benzyl alcohol, and it carries out the Cannizzaro reaction, thereby forms benzaldehyde derivative, subsequently with formula
Figure S2006800243473D00251
Aniline form Schiff's base, thereby form the phenol imines precursor of VI.Then, the Pyrogentisinic Acid protects under the standard conditions of the ProtA that is suitable for selecting.For example, ProtA is in the situation of benzyl therein, and described condition is bromotoluene and alkali.Formaldehyde source comprises paraformaldehyde, formaldehyde, trioxane or the like, and this all is known in the art.In first step, phenol and formaldehyde are reacted in the presence of magnesium salts (as magnesium chloride, magnesium bromide or magnesium iodide) and alkali.In second step, make formylated phenol and aniline reaction, thereby Schiff's base VI is provided.
Can also use other to form the route of salicylaldhyde.The phenol of suitable replacement is reacted with formaldehyde (perhaps chemical equivalence thing) in alkaline medium, will obtain corresponding salicylaldhyde.The adjacent hydroxymethyl phenol of intermediate will be become salicylaldhyde by in-situ oxidation.This reaction usually uses ethyl-magnesium-bromide or magnesium methylate (monovalent) as alkali, and toluene is as solvent, and paraformaldehyde (2 or more high equivalent weight) is as formaldehyde source and use hexamethylphosphoramide (HMPA) or N, N, N, N-Tetramethyl Ethylene Diamine (TMEDA).[referring to Casiraghi, people such as G., J.C.S.Perkin 1,1978,318-321].Additionally, suitably the phenol that replaces can react under the aqueous alkaline condition with formaldehyde, thus the adjacent hydroxy-benzyl alcohol that formation replaces [referring to: a) J.Leroy and C.Wakselman, J.Fluorine Chem.40,23-32 (1988); B) people such as A.A.Moshfegh, HeIv.Chim.Acta.65,1229-1232 (1982)], with in solvent as methylene dichloride or chloroform, by oxygenant as Manganse Dioxide (IV), the adjacent hydroxy-benzyl alcohol of gained can be converted into salicylaldhyde [referring to people such as R-GXie, Synthetic Commun.24,53-58 (1994)].
Under acidic conditions, suitably the phenol that replaces can use vulkacit H (HMTA) to handle, thus the preparation salicylaldhyde.This is known as Duff reaction [referring to Y.Suzuki, with H.Takahashi, Chem.Pharm.Bull.31,1751-1753 (1983)].Duff reaction uses the acid as acetate, boric acid, methylsulfonic acid or trifluoromethanesulfonic acid usually.Normally used formaldehyde source is a vulkacit H.
Can also use the Reimer-Tiemann reaction, wherein the phenol that suitably replaces will react under alkaline condition with chloroform, thus the salicylaldhyde that obtains replacing [referring to Cragoe, E.J.Schultz, E.M. United States Patent (USP) 3,794,734 (1974)].
Two sulfonium salts with methane amide formylation phenol provide salicylaldhyde [referring to Talley and Evans, J.Org.Chem.49,5267-5269 (1984)] equally.The synthetic disclosure of above-mentioned salicylaldhyde all is hereby incorporated by.
The formula III compound
Figure S2006800243473D00261
Can be prepared according to the method shown in the scheme 6 that is used for specific embodiments XII, wherein R10And R11Form two oxa-boron heterocycle pentanizing compounds, and X ' is a chlorine.It should be noted that in this scheme and the auxiliary test explanation that boric acid ester can't help the aryl chloride preparation usually.In this case, can obtain high yield.This seemingly comes from coupling phosphine part and palladium catalyst and uses high temperature (>100 ℃).The reaction of silylated lactone CCl and Grignard reagent is carried out with good yield, but corresponding lithium reagent only provides measuring products.
Equally within the scope of the present invention be can be in methods described herein as two groups of compounds of intermediate.First group in them is (4-substituted-phenyl) sugar alcohol.Can further the rupture phenyl sugar alcohol of accepted way of doing sth VIIa and IIIa of phenyl glycitols compound.
The phenyl sugar alcohol of formula VIIa is the precursor of IIIa.The subclass of phenyl sugar alcohol yes III, wherein R5Be shielded sugar alcohol.The subgenus of VIIa is
Figure S2006800243473D00263
Wherein
X is selected from iodine, bromine, chlorine, tosyl group, methylsulfonyl and trifyl; And
ProtDa, ProtDb, ProtDcAnd ProtDdFor hydrogen or be independently selected from the sugared protecting group of benzyl, silyl, acyl group, ketal, acetal, methoxymethyl, 2-(trimethyl silyl) ethoxyl methyl, allyl group, 2-methacrylic and the tertiary butyl.In one embodiment, when X is chlorine, ProtDa, ProtDb, ProtDcAnd ProtDdIt or not ethanoyl.In another embodiment, X is a chlorine, and ProtDa, ProtDb, ProtDcAnd ProtDdIt is ethanoyl.
The compound that can be used as the second class novelty of intermediate in method as herein described is the imines of formula VI
Figure S2006800243473D00271
When ProtA is a benzyl, X is bromine and R1During for H, this compound is that solid form and purity are greater than 95%.
The illustrative methods that falls in the scope of the invention is illustrated in following scheme.These schemes also illustrate the dependency of method and intermediate.In following method, solid arrow is illustrated in the reaction described in the embodiment; Dotted arrow is represented the not reaction of illustrations.
Scheme 1
Figure S2006800243473D00272
Scheme 2
Scheme 3
Figure S2006800243473D00291
Scheme 4
Figure S2006800243473D00301
Scheme 5
Figure S2006800243473D00311
In such scheme 5, when using triphenylphosphine to carry out, the product of generation was equally pure when E1 that D2 and the reaction of C4 generate and different use three (o-tolyl) phosphines and Palladous chloride carried out.Except E1, triphenylphosphine-Palladous chloride catalyzed reaction also forms two kinds of identifiable impurity Es 11 and E12:
Following steps 10 described synthetic in; in the presence of wet chemical and 4-butyl ammonium hydrogen sulfate; use three (o-tolyl) phosphine CAS#[6163-58-2] and Palladous chloride (II); produce (1S)-2; 3; 4; 6-four-O-ethanoyl-1; 5-anhydrates-1-(3 '-(benzyloxy)-4 '-{ (2S; 3S)-3-[(3S)-3-(4-fluorophenyl)-3-hydroxypropyl]-4-oxo-1-phenyl azetidine alkane-2-yl } biphenyl-4-yl)-D-glucitol (E1); chemical purity is greater than 99%, contains to be less than 1% E11 and the combination of E12.
Scheme 6
Figure S2006800243473D00331
Step 1. (4S)-4-benzyl-3-[5-(4-fluorophenyl)-5-oxo pentanoyl]-1, the preparation of 3-oxazolidine-2-ketone (A1)
Figure S2006800243473D00341
With 5-(4-fluorophenyl)-5-oxopentanoic acid (372.0g, 1.77mol) and 4-dimethylamino-pyridine (286.9g 2.35mol) is dissolved in N, dinethylformamide (1770mL, 1.0M) in, thereby the white precipitate that is suspended in a large number in the solution is provided.Above-mentioned reaction is cooled to 6 ℃ (ice/water-baths), and (290mL 2.35mol) dripped adding wherein fast, thereby light yellow mixture is provided with trimethyl-acetyl chloride in the clock time at 17 minutes.In order to keep temperature to be lower than 8.5 ℃, control adding speed.Under 9 ℃ (ice/water-baths), mixture was stirred 1 hour, stir 2 hours (containing the dense sedimentary colourless solution of a large amount of whites) down at 20 ℃ then.In mixture, be incorporated as solid (S)-benzyl-2-oxazolidone (313.5g, 1.77mol) and 4-dimethylaminopyridine (216.4g 1.77mol), thereby provides glassy yellow suspension.Under 27 ℃, above-mentioned reaction was stirred 3.3 hours.Light tan solution toppled in the entry (4300mL) (detecting heat release and rising to 39 ℃) in vigorous stirring, water shifts (1000mL) and at room temperature stirs 2 hours, thereby the shallow orange-brown solution that contains pale precipitation is provided.To compound filter, water shift (2 * 300mL), wash (400mL) and air-dry 1.5 hours with water, thereby provide canescence moistening blocky powder.In Virahol (2600mL, 4.0mL/g theoretical yield), the gained material is carried out crystallization by being heated to, thereby darkgoldenrod solution is provided near reflux temperature.In 20 fens clock times mixture slowly is cooled to 74 ℃ from 81 ℃, crystal seed is added wherein, crystal begins precipitation.In 11 hour time, mixture slowly is cooled to room temperature, in ice/water-bath, be cooled to 2 ℃ and stirred 3 hours.To the gained crystal filter, with cold mother liquor (350mL) shift, with cold isopropanol (2 * 350mL) washings, air-dry and with its vacuum-drying to constant weight, thereby be provided as (4S)-4-benzyl-3-[5-(4-the fluorophenyl)-5-oxo pentanoyl of white crystalline solid]-1,3-oxazolidine-2-ketone (A1) (510.6g, 78% productive rate); M.p.113.4+1.2 ℃; Rf(0.37 1: 2 ethyl acetate-hexane); HPLC purity 99.7A% (96.4A%byNMR);1HNMR (300MHz, CDCl3) δ 8.03-7.98 (m, 2H), 7.37-7.19 (m, 5H), 7.14 (t, J=8.7Hz, 2H), 4.72-4.64 (m, 1H), and 4.25-4.15 (m, 2H), 3.32 (dd, J=13.3,3.4Hz, 1H), 3.12-3.01 (m, 4H), 2.78 (dd, J=13.3,9.6Hz, 1H), 2.15 (quint, J=7.2Hz, 2H) ppm.
At (4S)-4-benzyl-3-[5-(4-fluorophenyl)-5-oxo pentanoyl]-1, in 3-oxazolidine-2-ketone (A1) synthetic, formed two kinds of byproducts:
Figure S2006800243473D00351
In them first kind, AI1 can use hydrogen reducing in the presence of chiral catalyst, thereby forms AI4
Figure S2006800243473D00352
It can utilize the method described in the PCT WO2004099132 to be used for the synthetic of D2.Though AI1 has obtained separating by chromatography with AI2,, can make the reaction of 5-(4-fluorophenyl)-5-oxopentanoic acid and oxalyl chloride if wish directly preparation A11 from aforesaid reaction.The second byproduct A12 if be not removed, is reduced into AI3 subsequently in following steps
Then, it and A2 cocrystallization and be still impurity among the A2 from toluene/alkane solvent.It can be removed from A2 by crystallization in Virahol/alkane.The product analysis evaluation of being undertaken by TLC or HPLC has following result:
A0-Rf(0.08 1: 2 ethyl acetate-hexane); HPLCRT3.7min;
A0-Rf(0.37 1: 2 ethyl acetate-hexane); HPLCRT7.4min;
A2-Rf(0.14 1: 2 ethyl acetate-hexane); HPLCRT6.5min;
AI1-Rf(0.50 1: 2 ethyl acetate-hexane); HPLCRT5.5min;
AI2-Rf(0.38 1: 2 ethyl acetate-hexane); HPLCRT7.6min;
AI3-Rf(0.43 2: 1 ethyl acetate-hexanes); HPLCRT5.4min;
(on 3.0 * 150mm), 5 μ m carry out under 35 ℃ HPLC at Waters Xterra  MSC18
Moving phase (A): 0.1% aqueous formic acid (HPLC grade)
Moving phase (B): acetonitrile (HPLC grade)
Gradient program: 25%B-starting condition
25%~100%B-11min
100%~25%B-0.4min
25%B-3.6min (flow velocity is increased to 1.75mL/min)
Detect: 254nm
Flow velocity: 1.0mL/min
Working time: 15min
AI 16-(4-fluorophenyl)-3,4-dihydro-2H-pyrans 2-ketone.1HNMR (CDCl3/ 300MHz) 7.54 (dd, 2H, J=5.1,9.0Hz), 7.01 (dd, 2H, J=9.0,9.0Hz), 5.72 (t, 1H, J=4.8Hz), 2.68-2.63 (m, 2H), 2.51-2.47 (m, 2H). mass spectrum, M+H=193.
AI2 1,9-two (4-fluorophenyl) nonane-1,5,9-triketone, mp97.1 ± 0.7 ℃.1HNMR (CDCl3/ 300MHz) 7.92 (dd, 4H, J=5.4,9.0Hz), 7.06 (dd, 4H, J=9.0,9.0Hz), 2.92 (t, 4H, J=6.9Hz), 2.49 (t, 4H, J=6.9Hz), 1.95 (sept, 4H, J=6.9Hz). mass spectrum, M+H=359.
AI3 (1S, 9S)-1,9-two (4-fluorophenyl) nonane-1,5,9-triol.1HNMR (CDCl3/ 300MHz) 7.24 (dd, 4H, J=5.4,8.4Hz), 6.98 (dd, 4H, J=8.4,8.4Hz), 4.60 (m, 2H), 3.52 (m, 1H), 3.20-2.60 (m, 2H), 1.80-1.20 (m, 10H). mass spectrum, M+H=365.
Step 2. (4S)-4-benzyl-3-[(5S)-5-(4-fluorophenyl)-5-hydroxyl pentanoyl]-1, the preparation of 3-oxazolidine-2-ketone (A2)
With (4S)-4-benzyl-3-[5-(4-fluorophenyl)-5-oxo pentanoyl]-1,3-oxazolidine-2-ketone (A1) (500.0g, 1.35mol) be dissolved in methylene dichloride (2700mL, 0.5M) in.Said mixture is cooled to-4 ℃ (ice/brine bath), stirred 40 minutes and to wherein adding 1.0M (R)-1-methyl-3, and the toluene solution of 3-phenylbenzene tetrahydrochysene-3H-pyrrolo-[1,2-c] [1,3,2] oxa-boron heterocycle pentane (68mL, 0.068mol).After 10 minutes, (132mL 1.39mol) dripped adding and wherein (detects heat release and rise to-2.7 ℃) with borine-dimethyl sulfide complex compound through feed hopper in the clock time at 25 minutes.Reaction is remained between 0~-6 ℃, stirred simultaneously 3.0 hours.By slowly adding methyl alcohol (275mL in the clock time at 15 minutes, 6.79mol) will react cancellation (detect exothermic heat of reaction and rise to 10 ℃), added 6% aqueous hydrogen peroxide solution (1150mL at 5 minutes in the clock time through feed hopper respectively, 2.02mol) and (810mL 0.81mol) (detects heat release and rises to 17 ℃) to add the 1.0M aqueous sulfuric acid in the clock time at 15 minutes.At room temperature will react and stir 60 minutes, pour in the separating funnel, organic layer be separated and methylene dichloride (2000mL) extraction of gained water layer.The first organic layer water (1500mL) and salt solution (1500mL) washing.Extract water layer is counter with second organic layer then.With the organic layer partial concentration that merges, with dried over sodium sulfate, filtration Celite , concentrate and at Virahol-heptane (2000mL, 1: 1 Virahol-heptane; 4.0mL/g carry out crystallization theoretical yield).Transparent thickness resistates is warming up to 42 ℃ (thereby forming homogeneous phase solution), slowly cools to 35 ℃, under this temperature, kept 12 hours, in 3 hour time, slowly cooled to room temperature, be cooled to 0~-5 ℃ (ice/brine bath) and stirring 2 hours.With the gained crystal filter, with cold mother liquor (250mL) shift, with cold 1: 2 Virahol-heptane (2 * 400mL) wash, air-dry and vacuum-drying is to constant weight, thereby be provided as (4S)-4-benzyl of white crystal-3-[(5S)-5-(4-fluorophenyl)-5-hydroxyl pentanoyl]-1,3-oxazolidine-2-ketone (A2) (445.8g, 89% productive rate); M.p.75.4 ± 0.6 ℃; Rf(0.12 1: 2 ethyl acetate-hexane); HPLC purity 98.9A%;1HNMR (300MHz, CDCl3) δ 7.37-7.24 (m, 5H), 7.19 (d, J=7.3Hz, 2H), 7.02(t, J=8.9Hz, 2H), 4.72-4.61 (m, 2H), 4.21-4.13 (m, 2H), 3.27 (dd, J=13.2,3.0Hz, 1H), and 2.99-2.94 (m, 2H), 2.74 (dd, J=13.2,9.6Hz, 1H), 2.27(brs, 1H), 1.88-1.66 (m, 4H) ppm; [α]23+ 72.9 ° (c7.0, methyl alcohol).
Step 3.5-bromo-2-[(E)-(phenylimino) methyl] preparation of phenol (B2)
With the 3-bromophenol (498.5g, 2.88mol) be dissolved in 2: 1 toluene-acetonitrile mixtures (3000mL, 0.96M) in.Through funnel in this solution, add triethylamine (1200mL, 8.61mol).Will (412.7g 4.33mol) once joins in this solution (detect heat release to 55 ℃), thereby the bright yellow solution that contains a large amount of white precipitates is provided for the solid magnesium chloride.To be that (345g 11.5mol) adds wherein, and keeping solution temperature simultaneously is 45 ℃ (detect heat release to 78.6 ℃) for the paraformaldehyde of suspension in acetonitrile (300mL).With the temperature of yellowish-orange slurries remain on 80 ± 3 ℃ 1.5 hours, simultaneously byproduct (methyl alcohol) is steamed (observing white precipitate is deposited in distillation plant and the reflux exchanger).With second part is that (100g 3.33mol) adds wherein for the paraformaldehyde of suspension in acetonitrile (200mL).With mixture heating up 2 hours, be that (107g 3.56mol) adds wherein for the paraformaldehyde of suspension in acetonitrile (200mL) with another part.Under 80 ± 4 ℃, the gained mixture was stirred 2.5 hours.6 hours and will be altogether after 6.4 equivalent paraformaldehydes add altogether, (6000mL be 15mol) with the mixture cancellation by adding cold 2.5N aqueous hydrochloric acid in the clock time at 5 minutes.Mixture was stirred to room temperature 60 minutes, thereby the biphasic solution with dark yellow top layer and dark orange bottom is provided.Gained solution with 4: 1 heptane-ethyl acetate (1000mL) dilute, stir and each layer separated.(2 * 1500mL) extracted the gained water layer with 4: 1 heptane-ethyl acetate.Each organic layer washs with the water (1800mL) and the salt solution (1800mL) of same components.With all organic layer merging, partial concentration, with dried over sodium sulfate, filter Celite  and concentrate, thereby be provided as the 2-hydroxyl-4-bromobenzaldehyde of dark yellow orange viscous oil; Rf(0.54 1: 4 ethyl acetate-hexane); HPLC purity 60A%.
Thick 2-hydroxyl-4-bromobenzaldehyde is dissolved in Virahol, and (2.5M) neutralization is with mixture heating up to 75 ℃ for 1000mL, 1.26mL/g theoretical yield.(157mL 1.72mol) adds wherein, thereby bright orange solution is provided, and this mixture is placed slowly be cooled to room temperature (when imines crystallizes out from solution, detect heat release to 83 ℃) with aniline.At room temperature mixture was stirred 12 hours.With crystal filter, with Virahol (500mL) shift, with Virahol (500mL) washing, a large amount of dry nitrogen air-flow apoplexy do and vacuum-drying to constant weight, thereby be provided as the 5-bromo-2-[(E of glassy yellow crystalline solid)-(phenylimino) methyl] phenol (B2) (347.4g, two step productive rates 44%); M.p.129.1 ± 0.1 ℃; Rf(0.65 1: 4 ethyl acetate-hexane); NMR purity>99A%;1HNMR (300MHz, CDCl3) δ 8.59 (s, 1H), 7.47-7.40 (m, 2H), 7.33-7.22 (m, 5H), 7.08 (dd, J=8.2,1.8Hz, 1H), 1.57 (brs, 1H) ppm.
Step 4.N-{ (1E)-[2-(benzyloxy)-4-bromophenyl] methylene radical }-preparation of N-phenyl amine (B3)
Figure S2006800243473D00381
With 5-bromo-2-[(E)-(phenylimino) methyl] phenol (B2) (310.9g 1.13mol) is dissolved in anhydrous N, dinethylformamide (1100mL, 1.0M) in.(186.7g 1.35mol) adds wherein, with (147.1mL, 211.5g 1.24mol) add wherein after syringe is with bromotoluene with solid carbonic acid potassium.At room temperature, in nitrogen, will react and stir 4 hours and water (2000mL) cancellation (detect heat release to 40 ℃).Yellow mercury oxide obtains forming, and mixture was at room temperature stirred 1 hour.Solution is filtered and water (500mL) shifts, and in strong dry nitrogen air-flow with its air-dry 15 minutes.With the thick solid of gained be dissolved in Virahol (1250mL, the 3.0mL/g theoretical yield, 0.9M) in and with mixture heating up to 83 ℃, thereby transparent dark yellow solution is provided, it slowly is cooled to room temperature.At room temperature mixture was stirred 12 hours.With crystal filter, with cold isopropanol (250mL) shift, with cold isopropanol (250mL) washing, strong dry nitrogen air-flow apoplexy do and vacuum-drying to constant weight, thereby be provided as N-{ (1E)-[2-(benzyloxy)-4-bromophenyl] methylene radical of faint yellow crystalline solid }-N-aniline (B3) (375.2g, 91% productive rate); M.p.100.2 ± 0.2 ℃; Rf(0.59 1: 4 ethyl acetate-hexane); NMR purity>99A%;1HNMR (300MHz, CDCl3) δ 8.87 (s, 1H), 8.06 (d, J=8.2Hz, 1H), 7.43-7.33 (m, 7H), 7.28-7.17 (m, 5H), 5.14 (s, 2H) ppm.
Step 5. (4S)-3-[(2R, 5S)-2-{ (S)-anilino [2-(benzyloxy)-4-bromophenyl] methyl }-5-(4-fluorophenyl)-5-hydroxyl pentanoyl]-4-benzyl-1, the preparation of 3-oxazolidine-2-ketone (D1)
Figure S2006800243473D00391
Adding (4S)-4-benzyl in the 5L three-necked flask-3-[(5S)-5-(4-fluorophenyl)-5-hydroxyl pentanoyl]-1; 3-oxazolidine-2-ketone (203.2G; 0.547mol); with after funnel adds anhydrous methylene chloride (550mL; 1.0M) and N-ethyl diisopropyl amine (200mL; 148.4g, 1.148mol).Reaction is cooled to-15 ℃, and (73.0mL, 62.5g 0.575mol) (detected heat release to-8 ℃) to wherein adding trimethylchlorosilane through sleeve pipe in the clock time at 10 minutes.Between-25 ℃~-15 ℃, will react and stir 1 hour.(63.0mL, 109.0g 0.575mol) dripped adding wherein, thereby dark red purple solution (detect heat release and rise to-10 ℃) are provided with titanium tetrachloride through feed hopper in the clock time at 35 minutes.Under-20 ± 4 ℃, mixture was stirred 40 minutes, be cooled to-40 ℃, with in 2.5 hour time through feed hopper with N-{ (1E)-[2-(benzyloxy)-4-bromophenyl] methylene radical-(375.2g, (510mL, 2.0M) solution slowly drips adding wherein to methylene dichloride 1.024mol) to N aniline.Temperature of reaction is remained between-45 ℃~-31 ℃.Mixture was stirred 3.5 hours in addition, by slowly adding Glacial acetic acid (125mL in the clock time at 15 minutes, 2.19mol) with its cancellation (temperature of reaction being remained between-33 ℃~-31 ℃) with cold (10 ℃) 15%dl-aqueous tartaric acid solution (2200mL) it is diluted (detect heat release to 0 ℃).With this mixture be stirred to 17 ℃ 2 hours, dilute, pour in the separating funnel with and separate with methylene dichloride (1000mL) each layer.The gained organic layer washs with 10% saturated brine solution (2000mL) and salt solution (1000mL).(2 * 1500mL) carry out the organic layer that order extracts and be combined concentrated the gained water layer, thereby heavy-gravity incarnadine resistates and a large amount of yellow mercury oxides are provided with 1: 1 ethyl acetate-heptane.The gained mixture with 1: 4 methylene dichloride-heptane (1000mL) dilute, filter and the gained solid with (3 * 500mL) washings of 1: 4 methylene dichloride-heptane.Gained filtrate is concentrated, and the gained resistates loads on the silica gel (700mL) with methylene dichloride (600mL) dilution and with it.Filter (300mL silica gel by pad; methylene dichloride (300mL) and 15% ethyl acetate-methylene dichloride (4000mL)) the gained mixture is carried out purifying; thereby provide (4S)-3-[(2R; 5S)-2-{ (S)-anilino [2-(benzyloxy)-4-bromophenyl] methyl }-5-(4-fluorophenyl)-5-hydroxyl pentanoyl]-4-benzyl-1; 3-oxazolidine-2-ketone (D1); be the heavy-gravity dark yellow oil, it is used for step 4 like this.1HNMR(300MHz,CDCl3)δ7.50(dd,J=8.2,1.5Hz,2H),7.39-7.30(m,3H),7.26-6.98(m,12H),6.94(t,J=8.6Hz,2H),6.62(t,J=7.3Hz,1H),6.52(d,J=8.6Hz,2H),5.13(s,2H),5.06(d,J=6.5Hz,1H),4.73(dd,J=13.8,6.7Hz,1H),4.64-4.57(m,1H),4.49(dd,J=7.3,5.2Hz,1H),4.12-4.04(m,2H),3.01(dd,J=13.4,3.0Hz,1H),2.39(dd,J=13.4,9.5Hz,1H),1.84-1.51(m,6H)ppm.
Step 6. (3R, 4S)-4-[2-(benzyloxy)-4-bromophenyl]-3-[(3S)-3-(4-fluorophenyl)-3-hydroxypropyl]-preparation of 1-phenyl azetidine alkane-2-ketone (D2)
Figure S2006800243473D00401
In the 3L three-necked flask, add half pure (4S)-3-[(2R; 5S)-2-{ (S)-anilino [2-(benzyloxy)-4-bromophenyl] methyl }-5-(4-fluorophenyl)-5-hydroxyl pentanoyl]-4-benzyl-1; dry tert-butylmethyl ether (the 1100mL of 3-oxazolidine-2-ketone (0.547mol); 0.5M) solution; and with N; the two trimethyl silyl ethanamides (250mL, 1.012mol do not contain trimethylchlorosilane) of O-add wherein.Under 55 ℃, said mixture was stirred 15 minutes, then with N, the two trimethyl silyl ethanamide (320mL of O-, 1.294mol) add wherein, subsequently with the 4-butyl ammonium fluoride trihydrate (4.62g of catalytic amount, 0.0177mol) add wherein, thereby color becomes light golden yellow from glassy yellow.At room temperature will react and stir 6 hours, and (1.0mL is 0.018mol) with its cancellation with Glacial acetic acid.Add 1.0N aqueous hydrochloric acid (1100mL) by dripping, realized the hydrolysis of silyl protecting group, avoided heat release (by the N that acidic aqueous solution carries out, the degraded of the two trimethyl silyl ethanamides of O-may be active).The glassy yellow biphase mixture was stirred 1.5 hours, pour in the separating funnel, with 1: 1 ethyl acetate-heptane (1000mL) with water (1000mL) dilution, stir and each layer separated, the gained organic layer washs with 5-25% aqueous solution of sodium bisulfite, water (500mL) and salt solution (500mL).Two water layers are used a 1: 1 anti-extraction of ethyl acetate-heptane (1000mL) in proper order, and the organic layer that is combined concentrates.The dilution of 1: 1 heptane-methylene dichloride (1000mL) of gained resistates ketone, make slurries and filter (2000mL silica gel with silica gel (1000mL) by pad, 10% (8000mL), 20% (8000mL), 30% (6000mL) and 40% (4000mL) ethyl acetate-hexane) carry out purifying, thereby be provided as light dark yellow foamy (3R, 4S)-4-[2-(benzyloxy)-4-bromophenyl]-3-[(3S)-3-(4-fluorophenyl)-3-hydroxypropyl]-1-phenyl azetidine alkane-2-ketone (D2) (251.2g, 82%); HPLC purity 89A%; NMR purity 85A%.。In warm 8% water-methanol (500mL, 4.0mL/g, theoretical yield), part resistates (124.2g) is carried out purifying by crystallization.With crystal filter, with refrigerative 10% water-methanol (200mL) wash, carry out air-dry and vacuum-drying to constant weight, thereby be provided as (the 3R of white, needle-shaped crystals, 4S)-4-[2-(benzyloxy)-4-bromophenyl]-3-[(3S)-3-(4-fluorophenyl)-3-hydroxypropyl]-1-phenyl azetidine alkane-2-ketone (D2) (85.9g is 77% rate of recovery based on the amount of expecting compound in the coarse raw materials); M.p.113 ± 0.5 ℃; Rf(0.32 1: 2 ethyl acetate-hexane); HPLC purity>99%; NMR purity>99%;1HNMR (300 MHz, CDCl3) δ 7.41 (brs, 5H), 7.28-7.22 (m, 4H), 7.19-7.15 (m, 3H), and 7.08-7.02 (m, 3H), 6.96 (t, J=8.7Hz, 2H), 5.10 (dd, J=15.2,11.2Hz, 2H), 5.01 (d, J=2.4Hz, 1H), 4.57-4.52 (m, 1H), and 3.06-3.00 (m, 1H), 2.25 (d, J=3.8,1H), 1.97-1.74 (m, 4H) ppm; [α]23-12.3 ° (c6.5, ethyl acetate).
Another kind of synthetic (3R, 4S)-4-[2-(benzyloxy)-4-bromophenyl]-3-[(3S)-3-(4-fluorophenyl)-3-hydroxypropyl]-approach of 1-phenyl azetidine alkane-2-ketone (D2).
Figure S2006800243473D00411
Step 1A. (4S)-4-phenyl-3-[5-(4-fluorophenyl)-5-oxo pentanoyl]-1,3-oxazolidine-2-ketone (A1R6=phenyl) preparation
Figure S2006800243473D00412
With 5-(4-fluorophenyl)-5-oxopentanoic acid (21.02g, 100.0mmol) and 4-dimethylamino-pyridine (16.25g 133.0mmol) is dissolved in N, dinethylformamide (100mL, 1.0M) in, thereby form a large amount of white precipitates be suspended in the solution.Reaction is cooled to 2 ℃ (ice/water-baths), and (16.40mL, 16.04g 133.0mmol) drip adding wherein, thereby light yellow mixture are provided with trimethyl-acetyl chloride.In order to keep temperature to be or to be lower than 5 ℃, control adding speed.A large amount of white precipitates obtain forming, and make mixture be warming up to room temperature and it was stirred 1.5 hours.In mixture, be incorporated as solid (S)-㈩-4-phenyl-2-oxazolidone (16.32g, 100.0mmol) and 4-dimethylaminopyridine (12.22g 100.0mmol), thereby provides yellow suspension.Under 30 ℃~35 ℃, above-mentioned reaction was stirred 2 hours.Therefrom take out sample, to analyze by TLC and HPLC.Khaki suspension is toppled in the entry (400mL), carry out vigorous stirring simultaneously and in ice-brine bath, mixture is cooled off, water (150mL) shifts and down it was stirred 1.5 hours ice-cooled, thereby the solution that contains pale precipitation is provided.With compound filter, water (2 * 25mL) shift, water (50mL) washing and with its air-dry 15 minutes, thereby provide canescence moistening bulk powder.By being heated to backflow, at Virahol (58.0mL; 1.6mL/g theoretical yield) the gained material is carried out crystallization, thereby golden yellow solution is provided.In 12 hour time, solution slowly is cooled to room temperature, crystal seed is added wherein, crystal begins precipitation.In ice/water-bath, mixture cooled off and it was stirred 1 hour.To crystal filter, with cold isopropanol (2 * 10mL) shift, with cold isopropanol (25mL) washing, air-dry and vacuum-drying to constant weight, thereby be provided as (4S)-4-phenyl-3-[5-(4-the fluorophenyl)-5-oxo pentanoyl of white crystalline solid]-1,3-oxazolidine-2-ketone (30.46g, 85.7% productive rate); M.p.91.0 ℃; Rf(0.40 1: 2 ethyl acetate-hexane); HPLCRT7.02min; HPLC purity 94%.1HNMR(300MHz,CDCl3)δ7.93(dd,J=5.4,9.0Hz,2H),7.28-7.42(m,5H),7.10(dd,J=8.5,9.0Hz,2H),5.43(dd,J=3.7,8.7Hz,1H),4.70(t,J=8.9Hz,1H),4.28(dd,J=3.7,8.7Hz,1H),3.05(dt,J=1.2,7.3Hz,2H),2.97(t,J=7.3,2H),2.05(p,J=7.3Hz,2H),ppm,
Step 2A. (4S)-4-phenyl-3-[(5S)-5-(4-fluorophenyl)-5-hydroxyl pentanoyl]-1,3-oxazolidine-2-ketone (A2R6=phenyl) preparation
Figure S2006800243473D00421
With (4S)-4-phenyl-3-[5-(4-fluorophenyl)-5-oxo pentanoyl]-1,3-oxazolidine-2-ketone (A1R6=phenyl) (28.43g, 80.0mmol) be dissolved in methylene dichloride (160.0mL, 0.5M) in.Said mixture is cooled to-10 ℃ (ice/brine bath), stirred 10 minutes and to wherein adding 1.0M (R)-1-methyl-3,3-phenylbenzene tetrahydrochysene-3H-pyrrolo-[1,2-c] [1,3] (4.0mL 4.0mmol), drips adding borine methyl-sulfide complex compound (7.80mL to the toluene solution of oxa-boron heterocycle pentane subsequently, 6.26g, 82.4mmol).In order to keep temperature is-8 ℃, regulates adding speed.Temperature of reaction is remained between-5~-8 ℃, stirred 3.0 hours.By add respectively slowly methyl alcohol (16.3mL, 402.4mmol), (68.2mL, 120.0mmol) (48.0mL 48mmol) will react cancellation to 6% aqueous hydrogen peroxide solution, cool off with ice bath simultaneously with the 1.0M aqueous sulfuric acid.Then cooling bath is removed and at room temperature reaction stirred.At room temperature will react stirred 45 minutes after, mixture is poured in the separating funnel, organic layer is separated and the gained water layer with methylene dichloride (200mL) extraction.The first organic layer water (125mL) and salt solution (125mL) washing.Extract water layer is counter with second organic layer then.The organic layer that merges is with dried over sodium sulfate, filtration Celite  and concentrate, and is the transparent thickness film of thick product thereby 31.9g is provided.Under 50 ℃, this film is dissolved in the 60ml toluene, be cooled to room temperature, and-15 ℃ of following crystallizations 12 hours.The gained white crystalline solid filters, with cold toluene (100mL) transfer and washing, air-dry and vacuum-drying, thereby 24.45g is provided white solid.NMR analysis revealed product contains 6% toluene.Once more solid being dissolved in toluene (50mL) neutralization at 50 ℃ adds hexane (50mL) wherein.When stirring, solution is cooled to room temperature, in ice bath, stirred 1 hour then.To this white solid filter, with hexane (200mL) transfer and washing, air-dry and vacuum-drying to constant weight, thereby be provided as (4S)-4-phenyl of white crystalline solid-3-[(5S)-5-(4-fluorophenyl)-5-hydroxyl pentanoyl]-1,3-oxazolidine-2-ketone (22.56g, 79% productive rate); M.p.39.7 ℃; Rf(0.21 2: 3 ethyl acetate-hexanes); HPLCRT6.09min; HPLC purity 96.5%;1HNMR (300MHz/CDCl3) δ 7.15-7.42 (m, 7H), 7.00 (t, J=8.8Hz, 2H), 5.40 (dd, J=3.7,8.7Hz, 1H), 4.68 (t, J=8.8Hz, 1H), 4.59-4.66 (m, 1H), 4.27 (dd, J=3.7,9.1Hz, 1H), 2.93 (dt, J=1.1,6.2Hz, 2H), 1.58-1.80 (m, 4H) ppm.
Step 5A.3-[2-[(2-benzyloxy 4-bromo-phenyl)-phenyl amino-methyl]-5-(4-fluoro-phenyl)-5-hydroxyl-pentanoyl]-preparation of 4-phenyl-oxazolidines-2-ketone (D1 phenyl)
With (4S)-4-phenyl-3-[(5S)-5-(4-fluorophenyl)-5-hydroxyl pentanoyl]-1,3-oxazolidine-2-ketone (A2 phenyl) (21.4g, 58.6mmol) be dissolved in anhydrous methylene chloride (100mL, 0.6M) in, and it is cooled to-45 ℃.(21.9mL, 16.3g 125.8mmol) slowly add wherein, and (8.0mL, 6.83g 62.9mmol) add wherein with trimethylchlorosilane subsequently with the N-ethyl diisopropyl amine.To react and stir 1 hour, and temperature will be remained between-20~-30 ℃.In 20 fens clock times, (6.90mL, 11.9g 62.9mmol) drip and add wherein, thereby dark red purple solution is provided with titanium tetrachloride.Temperature is remained between-30~-35 ℃, and continue to stir 45 minutes.Then, mixture is cooled to-45 ℃ and in 30 fens clock times, with N-{ (1E)-[2-(benzyloxy)-4-bromophenyl] methylene radical-(37.3g, (100mL, 1.0M) solution drips and adds wherein methylene dichloride 101.8mmol) N-aniline (B3).During adding, temperature of reaction is remained between-40 ℃~-45 ℃.Between-40 ℃~-45 ℃, mixture was stirred 1.5 hours.Therefrom take out sample, to analyze by TLC and HPLC.(240.0mmol), (240.0mL, 36.0g 240.0mmol) will react cancellation to add cold (10 ℃) 15%dl-aqueous tartaric acid solution subsequently for 13.7mL, 14.4g by slowly adding Glacial acetic acid in the clock time at 10 minutes.Make reaction mixture be warming up to-5 ℃, and after the tartrate adding is finished, further make it be warming up to room temperature.At room temperature again mixture was stirred 1.5 hours,, be poured in the separating funnel and each layer separation with methylene dichloride dilution (200mL).(salt solution (100mL) washing is used in 9: 1 water/salt solution, 250mL) washing to the gained organic layer then with weak brine solution.The gained water layer is with 1: 1 ethyl acetate-hexane (200mL, 150mL) the anti-extraction of order.The organic layer that merges is with the Na2SO4 drying and concentrate, thereby 59.4g is provided orange red viscous oil.The thick product of gained is dissolved in the methyl alcohol (250mL), and stored 12 hours down at-15 ℃.The gained slurries are filtered, thereby provide white solid (27.7g), under 55 ℃, it is suspended in the methyl alcohol (150mL), when stirring, in ice bath, it was cooled off 30 minutes, thereby provide white solid, filter, shift and washing, air-dry and high vacuum dry with cold methanol (150mL), thereby be provided as the 3-[2-[(2-benzyloxy-4-bromo-phenyl of white powder)-the phenyl amino methyl]-5-(4-fluoro-phenyl)-5-hydroxyl-pentanoyl]-4-phenyl-oxazolidines-2-ketone (D1 phenyl) (22.1g, 51% productive rate); Rf(0.32 1: 1 ethyl acetate-hexane); HPLCRT10.24min; HPLC purity>99%;1H NMR (300MHz, CDCl3) δ 7.51 (dd, J=I.6,8.3Hz, 2H), 6.67-7.40 (m, 17H), 6.59 (tt, J=1.0,7.4Hz, 1H), 6.39 (dd, J=1.1,8.6Hz, 2H), 5.31-5.42 (m.2H), 5.04-5.25 (m, 2H), 4.92 (dd, J=6.0,9.5Hz, 1H), 4.80 (dd, J=6.9,13.3Hz, 1H), 4.66 (t, J=8.6Hz, 1H), and 4.45-4.54 (m, 1H), 4.13 (dd, J=3.5,8.8Hz, 1H), 1.89 (d, J=3.4Hz, 2H), 1.58-1.84 (m, 3H) ppm.
Step 6A. (3R, 4S)-4-[2-(benzyloxy)-4-bromophenyl]-3-[(3S)-3-(4-fluorophenyl)-3-hydroxypropyl]-1-phenyl azetidine alkane-2-ketone (D2)
Figure S2006800243473D00441
In the 100mL flask, add 3-[2-[(2-benzyloxy-4-bromo-phenyl)-phenyl amino-methyl]-5-(4-fluoro-phenyl)-5-hydroxyl-pentanoyl]-4-phenyl-oxazolidines-2-ketone (D1 phenyl) (1.45g; 2.00mmol) dry tert-butylmethyl ether (10mL; 0.2M) solution; and with N; (1.0mL 4.00mmol) adds wherein the two trimethyl silyl ethanamides of O-.When stirring with above-mentioned clear solution reflux 2 hours.Heating bath removed and with the tetrabutyl ammonium fluoride hydrate of catalytic amount (0.050g 0.20mmol) adds wherein, thus color by colourless become light yellow.With other N, (0.5mL 2.00mmol) adds wherein and at room temperature with gained solution stirring 16 hours the two trimethyl silyl ethanamides of O-.On ice reaction cooled off then and with Glacial acetic acid (0.01mL, 0.20mmol) add wherein, subsequently 1.0N aqueous hydrochloric acid (3.5mL) is added wherein, described hydrochloric acid adds to avoid heat release (N, the degraded that the two trimethyl silyl ethanamides of O-carry out can be active) under aqueous acid for dripping.The glassy yellow biphase mixture was stirred 0.5 hour, pour in the separating funnel, with ethyl acetate-hexane (50mL) and water (50mL) dilution, stirring in 1: 1 with each layer separated, gained organic layer water (50mL) and salt solution (50mL) wash.Two water layers with two parts of 1: 1 ethyl acetate-hexanes (2 * 30mL) orders wash and the organic layer that merges with dried over sodium sulfate with concentrate, thereby 1.60g is provided yellow oil.By column chromatography (ethyl acetate/hexane gradient 1: 9~1: 1) products obtained therefrom is carried out purifying, thereby be provided as (the 3R of white solid, 4S)-4-[2-(benzyloxy)-4-bromophenyl]-3-[(3S)-3-(4-fluorophenyl)-3-hydroxypropyl]-1-phenyl azetidine alkane-2-ketone D2 (0.687g, 61%) (detects purity>99%, R by LC-MSf=0.30[2: 1 hexane/ethyl acetate], M (OH-): 542.4m/z);1HNMR (300MHz, CDCl3) δ 7.41 (brs, 5H), 7.28-7.22 (m, 4H), 7.19-7.15 (m, 3H), and 7.08-7.02 (m, 3H), 6.96 (t, J=8.7Hz, 2H), 5.10 (dd, J=15.2,11.2Hz, 2H), 5.01 (d, J=2.4Hz, 1H), 4.57-4.52 (m, 1H), and 3.06-3.00 (m, 1H), 2.25 (d, J=3.8,1H), 1.97-1.74 (m, 4H) ppm; [α]23-12.3 ° (c6.5, ethyl acetate).
The alternative method that is used for crystallization D2 is as follows:
The diastereomer ratio of D1 raw material is 79: 21[trans (all): cis (all)].After cyclization was handled, the thick D2 of 135g (theory: the 117gD2 diastereomer adds the Bian oxazolidinone up to the 37g fracture) was heated to 65 ℃ altogether in methyl alcohol (700mL).In 10 fens clock times, (90mL) joins in the solution of stirring with water.The crystal seed of the pure D2 of diastereo-isomerism is joined in the solution frequently, when it slowly cools to 47 ℃, hold it under 47 ℃ and spend the night, finally in 5 hour time, it is cooled to room temperature then.By filtering solid collected, to be used ice-cold methanol (89: 11) washing then and under vacuum, carry out drying, thus provide pale solid (D2,54.0g).By1H-NMR detects can not detect the cis diastereomer.In the mixture of methyl alcohol and Virahol, solid is heated to 50 ℃, and gac is added wherein.Solution is filtered and it is concentrated into drying, thereby provide the 43.9g white solid.In Virahol (228mL), this material is heated to 73 ℃, and (27: 73,104mL) mixture added wherein in the clock time at 45 minutes with isopropanol.This solution is cooled to 65 ℃, diastereoisomeric pure D2 crystal seed is added wherein, and make solution slowly cool to room temperature.Isopropanol (75: 25 are collected, used to the gained solid by filtration, 80mL) washing and under vacuum, carry out drying, thereby be given the pure (3R of white pin, 4S)-4-[2-(benzyloxy)-4-bromophenyl]-3-[(3S)-3-(4-fluorophenyl)-3-hydroxypropyl]-1-phenyl azetidine alkane-2-ketone (D2,40.7g, according to the D1 productive rate is 44%), mp113.9 ℃.Analyzing the purity of determining diastereomer by chirality HPLC is 99.9%.
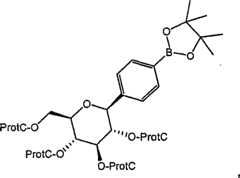
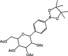
Step 7. (1S)-1,5-anhydrates-2,3,4,6-four-O-benzyl-1-[4-(4,4,5,5-tetramethyl--1,3,2-two oxa-boron heterocycle pentane-2-yls) phenyl]-preparation of D-glucitol (C4-benzyl)
Figure S2006800243473D00461
Add (1S)-1 in reactor, 5-anhydrates-2,3,4, and 6-four-benzyl-1-(4-bromophenyl)-D-glucitol (30.0kg, 44.1mol), connection boric acid pinacol ester (14.6kg, 57.5mol) and potassium acetate (13.2kg 134.5mol), and is dissolved in solid in the methyl-sulphoxide (150kg).Dichloro [1,1 '-two (diphenylphosphino) ferrocene] is closed palladium (II) methylene dichloride adducts, and (1.45kg, 1.77mol) joining methyl-sulphoxide (becomes slurries, and will react the degassing 30 minutes in 2 * 5kg).To react sealing, and be heated to 87 ± 3 ℃ of maintenances 2 hours.Mixture is cooled to 15 ℃, topples in entry (300kg) and the t-butyl methyl ether (220kg), stir, filtration over celite, with each layer separation and gained water layer with anti-extraction of t-butyl methyl ether (145kg).The organic layer water that merges (3 * 300kg) and 25% (w/w) sodium chloride aqueous solution (200kg) washing, with sodium sulfate (3.5kg) drying and filter.The gained mixture is handled with gac (12kg), is heated to 40 ± 5 ℃ and keeps 20 minutes, is cooled to 20 ± 5 ℃ and keeps 20 minutes, filters Celite  and concentrates in a vacuum.The gained resistates is suspended in ethyl acetate (27kg) neutralization hexane (79kg) portioning is added wherein, silica gel (40kg) is added its neutralization mixture is filtered and carry out wash-out, till product is come out by wash-out with 4: 1 hexane-ethyl acetate.In a vacuum compound enrichment elutriant is concentrated, thereby be provided as (1S)-1 of viscous oil, 5-anhydrates-2,3,4,6-four-O-benzyl-1-[4-(4,4,5,5-tetramethyl--1,3,2-two oxa-boron heterocycle pentane-2-yls) phenyl]-D-glucitol (C4-benzyl) (31.8g, 99% productive rate); Rf(0.51 1: 4 ethyl acetate-hexane);1H NMR (300MHz, CDCl3) δ 7.84 (d, J=7.7Hz, 2H), 7.50 (d, J=7.7Hz, 2H), 7.38-7.19 (m, 18H), 6.97-6.94 (m, 2H), 4.93 (dd, J=17.8,11.1Hz, 2H), 4.89 (d, J=10.6Hz, 1H), 4.66 (d, J=10.6Hz, 1H), 4.63 (dd, J=28.1,12.3Hz, 2H), 4.34 (d, J=10.4Hz, 1H), 4.28 (d, J=9.4Hz, 1H), 3.85-3.73 (m, 5H), 3.64-3.59 (m, 1H), 3.56-3.50 (m, 1H), 1.38 (s, 12H) ppm.
Step 8. (1S)-1,5-anhydrates-1-[4-(4,4,5,5-tetramethyl--1,3,2-two oxa-boron heterocycle pentane-2-yls) phenyl]-preparation of D-glucitol (C4-hydroxyl)
Figure S2006800243473D00471
Add (1S)-1 in reactor, 5-anhydrates-2,3,4,6-four-O-benzyl-1-[4-(4,4,5,5-tetramethyl--1,3,2-two oxa-boron heterocycle pentane-2-yls) phenyl]-(31.8kg 43.8mol), and is dissolved in it in tetrahydrofuran (THF) (90kg) the D-glucitol.(50% humidity 3.5kg) adds wherein as tetrahydrofuran (THF) (8kg) slurries, and uses another part tetrahydrofuran (THF) (2kg) to shift remaining catalyzer with 10% palladium/carbon.Container is vacuumized/nitrogen purge, and pressurized hydrogen to 30 ± 5psi and discharge three times are forced into 50psi with it at last.Mixture heating up to 30 ± 5 ℃ are kept 24 hours (when needing, pressure being remained on 50psi), be cooled to 20 ± 5 ℃, then with nitrogen pressure to 30 ± 5psi with carry out emptying (five cycles).Gained solution is filtered and tetrahydrofuran (THF) (75kg) washing of gained filter cake, thereby obtain (1S)-1,5-anhydrates-1-[4-(4,4,5,5-tetramethyl--1,3,2-two oxa-boron heterocycle pentane-2-yls) phenyl]-D-glucitol (C4-hydroxyl), it is used for next step like this.1HNMR(300MHz,CDCl3)δ?7.78(d,J=7.5Hz,2H),7.33(d,J=7.5Hz,2H),4.02(d,J=8.6Hz,1H),3.78-3.69(m,2H),3.57-3.46(m,2H),3.38-3.32(m,1H),3.27-3.23(m,1H),1.27(s,12H)1.14(br?s,4H)ppm.
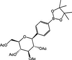
Step 9. (1S)-2,3,4,6-four-O-ethanoyl-1,5-are anhydrated-1-[4-(4,4,5,5-tetramethyl--1,3,2-two oxa-boron heterocycle pentane-2-yls) phenyl]-preparation of D-glucitol (C4-ethanoyl)
Figure S2006800243473D00472
To (1S)-1 that is obtained from step 8,5-anhydrates-1-[4-(4,4,5,5-tetramethyl--1,3,2-two oxa-boron heterocycle pentane-2-yls) phenyl]-add pyridine (25.4kg) and diacetyl oxide (32.8kg) in tetrahydrofuran (THF) (175kg) solution of D-glucitol.Under 50 ± 5 ℃, will react and stir 12 hours, it will be cooled to 15 ℃ then, pour in the t-butyl methyl ether (145kg), and the pH value of mixture will be adjusted to about 4 with 1.0M aqueous hydrochloric acid (160kg).With gained solution stirring 5 minutes, each layer separated and the gained water layer with anti-extraction of t-butyl methyl ether (90kg).The organic layer water that merges (2 * 190kg) and 25% (w/w) sodium chloride aqueous solution (200kg) washing, with sodium sulfate (3.5kg) drying, filter and vacuum concentration.In Virahol (135kg), the gained resistates is carried out purifying by crystallization, thereby provide (1S)-2,3,4,6-four-O-ethanoyl-1,5-anhydrates-1-[4-(4,4,5,5-tetramethyl--1,3,2-two oxa-boron heterocycle pentane-2-yls) phenyl]-D-glucitol (C4-ethanoyl) (13.15kg, two step productive rates 57.7%);1H NMR (300MHz, CDCl3) δ 7.76 (d, J=8.1Hz, 2H), 7.33 (d, J=8.1Hz, 2H), 5.31 (d, J=9.0Hz, 1H), 5.2 (t, J=9.5Hz, 1H), 5.1 (t, J=9.5Hz, 1H), 4.40 (d, J=9.9Hz, 1H), 4.30 (dd, J=5.1,4.8Hz, 1H), 4.15 (dd, J=2.4,2.1Hz, 1H), 3.86-3.80 (m, 1H), 2.08 (s, 3H), 2.06 (s, 3H), 1.99 (s, 3H), 1.79 (s, 3H), 1.34 (s, 12H) ppm.
Step 10. (1S)-2; 3,4,6-four-O-ethanoyl-1; 5-anhydrates-1-(3 '-(benzyloxy)-4 '-(and 2S, 3R)-3-[(3S)-3-(4-fluorophenyl)-3-hydroxypropyl]-4-oxo-1-phenyl azetidine-2-base biphenyl-4-yl)-preparation of D-glucitol (E1)
Figure S2006800243473D00481
In the 1L three-necked flask, add (3R, 4S)-4-[2-(benzyloxy)-4-bromophenyl]-3-[(3S)-3-(4-fluorophenyl)-3-hydroxypropyl]-1-phenyl azetidine alkane-2-ketone (48.6g, 0.087mol) and (1S)-2; 3,4,6-four-O-ethanoyl-1; 5-anhydrates-1-[4-(4,4,5; 5-tetramethyl--1; 3,2-two oxa-boron heterocycle pentane-2-yls) phenyl] the D-glucitol (48.5g, 0.091mol); subsequently to wherein add degassed toluene (174.0mL, 0.5M).At room temperature said mixture is stirred, till raw material obtains dissolving, then the direct bubbling of nitrogen is gone in the solution 30 minutes with displace oxygen.Add the solid triphenylphosphine (2.274g, 0.00868mol) and Palladous chloride (II) (0.772g, 0.00435mol) afterwards, (87.0mL, 0.174mol) adding wherein with the 2.0M wet chemical of the degassing.In some cases, have been found that it is favourable using the saline and alkaline and quaternary ammonium phase-transfer catalyst of hydrogen-carbonate to replace salt of wormwood, taking this productive rate can increase up to 10.In addition the direct bubbling of nitrogen is gone in the solution 30 minutes with displace oxygen.Solution becomes rust, with mixture heating up to 90 ℃ (reaction became black when solution became the light ink green and reaches 80 ℃ during heating).Under 90 ℃, will react and stir 3 hours, be cooled to room temperature, topple in the entry (750mL), wash with the extraction of 1: 1 ethyl acetate-heptane (750mL) with salt solution (500mL).The gained water layer is used 1: 1 anti-extraction of ethyl acetate-heptane (750mL) in proper order, and concentrates with the organic layer merging and to it.The gained resistates dilutes with 30% ethyl acetate-hexane (800mL), add silica gel (100mL) and filter (1200mL silica gel by pad, 30% ethyl acetate-hexane (2000mL), 33% ethyl acetate-hexane (2000mL), 35% ethyl acetate-hexane (1000mL) and 38% ethyl acetate-hexane (1000mL) are to remove impurity, 40% ethyl acetate-hexane (4000mL) and 45% ethyl acetate-hexane (6500mL) then) carry out purifying, thereby be provided as (1S)-2 of weak yellow foam, 3,4,6-four-O-ethanoyl-1,5-anhydrates-1-(3 '-(benzyloxy)-4 '-{ (2S, 3R)-3-[(3S)-3-(4-fluorophenyl)-3-hydroxypropyl]-4-oxo-1-phenyl azetidine alkane-2-yl } biphenyl-4-yl)-D-glucitol (E1) (60.0g, 78% productive rate); Rf(0.20 1: 1 ethyl acetate-hexane); HPLC purity 98.3 A ‰1H NMR (300MHz, CDCl3) δ 7.52 (d, J=8.3Hz, 2H), 7.46-7.34 (m, 6H), 7.32-7.02 (m, 10H), 6.95 (t, J=8.8Hz, 2H), (6.93-6.87 m, 1 H), and 5.39-5.16 (m, 4H), 5.12 (d, J=2.5Hz, 1H), 4.57 (t, J=5.8Hz, 1H), 4.46 (d, J=9.9Hz, 1H), 4.31 (dd, J=12.4,4.7Hz, 1H), 4.18 (dd, J=12.4,2.1Hz, 1H), 3.87 (ddd, J=9.9,4.7,2.2Hz, 1H), 3.13-3.07 (m, 1H), 2.09 (s, 3H), 2.07 (s, 3H), 2.02 (s, 3H), 1.92-1.82 (m, 4H), 1.82 (s, 3H) ppm.
Step 11. (1S)-1,5-anhydrates-1-(3 '-(benzyloxy-4 '-(and 2S, 3R)-3-[(3S)-3-(4-fluorophenyl)-3-hydroxypropyl]-4-oxo-1-phenyl azetidine alkane-2-yl } biphenyl-4-yl)-preparation of D-glucitol (E2)
Figure S2006800243473D00491
In the 500mL three-necked flask, add (1S)-2; 3; 4; 6-four-O-ethanoyl-1; 5-anhydrates-1-(3 '-(benzyloxy)-4 '-(and 2S, 3R)-3-[(3S)-3-(4-fluorophenyl)-3-hydroxy phenyl]-4-oxo-1-phenyl azetidine alkane-2-yl } biphenyl-4-yl)-D-glucitol (60.0g, methyl alcohol (220mL 0.0676mol); 0.31M) solution, and with gained mixture heating up to 40 ℃.Under 40 ℃, in 45 fens clock times, through feed hopper with 28% ammonia soln (110mL 1.87mol) drips and adds wherein, then under 40 ℃ with mixture heating up 3 hours.Thereby above-mentioned reaction is concentrated remove deammoniation in a vacuum, in methyl alcohol, handle, heat, cool off, filter Celite  and use washed with methanol with decolorizing charcoal (3.0g).In a vacuum solution is concentrated, thereby be provided as canescence foamy (1S)-1,5-anhydrates-1-(3 '-(benzyloxy)-4 '-{ (2S, 3R)-3-[(3S)-3-(4-fluorophenyl)-3-hydroxypropyl]-4-oxo-1-phenyl azetidine alkane-2-yl } biphenyl-4-yl)-D-glucitol (E2) (53.9g, since water and ammonium acetate, productive rate 111%); Rf(0.21 1: the 19 methyl alcohol-ethyl acetate that contains 1% acetate); HPLC purity 95.8A%.1HNMR(300MHz,CD3OD)δ7.61-7.47(m,4H),7.42-7.29(m,6H),7.25-7.19(m,7H),7.15-7.10(m,1H),7.05-6.88(m,3H),5.24(d,J=11.9Hz,1H),5.17(d,J=11.9Hz,1H),5.12(d,J=2.4Hz,1H),4.54-4.50(m,1H),4.17(d,J=9.2Hz,1H),3.92-3.87(m,1H),3.75-3.69(m,1H),3.54-3.36(m,4H),3.15-3.10(m,1H),1.92-1.82(m,4H)ppm.
Step 11A. (1S)-1,5-anhydrate-1-(3 '-(benzyloxy)-4 '-(and 2S, 3R)-3-[(3S)-3-(4-fluorophenyl)-3-hydroxypropyl]-4-oxo-1-phenyl azetidine alkane-2-yl } biphenyl-4-yl)-the alternative preparation of D-glucitol (E2)
With (1S)-2; 3; 4; 6-four-O-ethanoyl-1; 5-anhydrates-1-(3 '-(benzyloxy)-4 '-{ (2S; 3R)-3-[(3S)-3-(4-fluorophenyl)-3-hydroxypropyl]-4-oxo-1-phenyl azetidine alkane-2-yl biphenyl 4-yl)-D-glucitol (E1) (0.23g, 0.25mmol) and anhydrous potassium fluoride (0.06g 1.00mmol) is dissolved in the methyl alcohol (2mL).Said mixture is heated to 40 ℃ and it was stirred 28 hours.After the above-mentioned time, determine that by LCMS reaction finishes, be poured in the water (2mL).Ethyl acetate (4mL) is added wherein, and product is extracted in the organic layer.Water uses ethyl acetate (4mL) to extract once again, with organic layer merge, with dried over sodium sulfate with concentrate, thereby obtain white foam.The thick product of gained (1S)-1,5-anhydrates-1-(3 '-(benzyloxy)-4 '-{ (2S, 3R)-3-[(3S)-3-(4-fluorophenyl)-3-hydroxypropyl]-4-oxo-1-phenyl azetidine alkane-2-yl } biphenyl-4-yl) D-glucitol (E2) (0.179mg, 0.25mmol, 100% productive rate) and be defined as 100% purity through LMCS;1HNMR (CDCl3/ 300MHz) 7.45 (q, 4H, J=8.1Hz), 7.37 (m, 5H), 7.24 (m, 5H), 7.03 (m, 2H), 6.97 (m, 4H), 5.35 (m, 2H), 5.14 (d, 1H, J=2.1Hz), 4.53 (m, 1H), 4.19 (d, 1H, J=9.3Hz), 3.87 (m, 1H), 3.73 (m, 1H), 3.42 (m, 2H), 3.17 (m, 1H), 1.88 (m, 4H) ppm.
Step 12. (1S)-1,5-anhydrates-1-(4 '-(2S, 3R)-3-[(3S)-3-(4-fluorophenyl)-3-hydroxypropyl]-4-oxo-1-phenyl azetidine alkane-2-yl }-3 '-xenol-4-yl)-preparation of D-glucitol (ADG)
Figure S2006800243473D00511
In 400mL hydrogen pressure flask, be added in thick (1S)-1 in the ethanol (180mL), 5-anhydrates-1-(3 '-(benzyloxy)-4 '-(and 2S, 3R)-3-[(3S)-3-(4-fluorophenyl)-3-hydroxypropyl]-4-oxo-1-phenyl azetidine alkane-2-yl } biphenyl-4-yl)-D-glucitol (theoretical 67.6mmol).Will (19.2g 0.0051mol) adds wherein, carries out vigorous stirring with rubber septum with the flask sealing and to this dark solution for solid 10% palladium/carbon.Then, the direct bubbling of hydrogen is gone in the solution, by large beaker water waste gas is discharged simultaneously through long syringe needle.At room temperature after the bubbling 6 hours, reaction is finished, and solution was with nitrogen purge 30 minutes.Under nitrogen blanket, mixture filtered Celite , with 200-standard ethanol (400mL) thus wash, concentrate and filter subsequently 0.2 millipore filter and remove particulate material.By reversed-phase HPLC (Dynamaxcompression module, Polaris10C18-A10 μ 250 * 41.4mm post, batches 219504, constant 49% methanol-water, flow velocity: 80mL/min) compound is carried out purifying, thereby be provided as (1S)-1 of canescence amorphous solid, 5-anhydrates-1-(4 '-{ (2S, 3R)-3-[(3S)-3-(4-fluorophenyl)-3-hydroxypropyl]-4-oxo-1-phenyl azetidine alkane-2-yl }-3 '-xenol-4-yl)-D-glucitol (ADG) (28.4g, two step productive rates 67%); M.p.152-160 ℃; HPLC purity 94.0A%;1HNMR (300MHz, CD3OD) δ 7.54 (d, J=8.5Hz, 2H), 7.47 (d, J=8.5Hz, 2H), 7.35-7.09 (m, 8H), 7.05-6.97 (m, 4H), 5.14 (d, J=2.3Hz, 1H), and 4.63-4.59 (m, 1H), 4.17 (d, J=9.5Hz, 1H), 3.90 (dd, J=11.8,1.6Hz, 1H), 3.71 (dd, J=11.8,4.9Hz, 1H), 3.53-3.36 (m, 4H), and 3.19-3.13 (m, 1H), 2.05-1.88 (m, 4H) ppm; [α]23+ 1.7 ° (c8.7, methyl alcohol).
Step 7A.2,3,4, the preparation of 6-four-O-ethanoyl-α-D-glucopyranosyl bromine (C2)
Figure S2006800243473D00521
At room temperature, in 10 fens clock times, (250mL 1.02mol) joins pure β-D-glucose pentaacetate (C in the 2L flask with the acetic acid solution of 33% hydrogen bromide1) (98.4g 0.25mol) in the powder, thereby provides yellow solution.At room temperature this mixture was stirred 1 hour.In a vacuum by (3 * 100mL) carry out component distillation and under high vacuum solvent removed subsequently, thereby are provided as 2,3,4 of light yellow waxy solid, 6-four-O-ethanoyl-α-D-glucopyranosyl bromine (C2) (quantitatively) with toluene; Rf(0.49 1: 1 ethyl acetate-hexane); NMR purity>99A%.1HNMR(CDCl3)δ6.62(d,J=4.2Hz,1H),5.56(t,J=9.9Hz,1H),5.17(T,J=9.6Hz,1H),4.84(dd,J=9.9,4.2Hz,1H),4.36-4.27(m,2H),4.16-4.11(m,1H),2.11(s,3H0,2.10(s,3H),2.06(s,3H),2.04(s,3H).
Step 8A. (1S)-2,3,4,6-four-O-ethanoyl-1,5-anhydrate-preparation of 1-(4-bromophenyl)-D-glucitol (C3)
Figure S2006800243473D00522
With 1, the 4-dibromobenzene (713.4g, 3.02mol) be dissolved in anhydrous ether (1700mL, 1.78M) in.This solution portioning is transferred in the balance of steam feed hopper (250mL).Will a large amount of these solution (50mL) and subsequently glycol dibromide (500 μ L) is joined the magnesium smear metal that covered by anhydrous ether (300mL) (74.1g, 3.05mol) in.Within 2 minutes, reaction becomes muddy and solvent begins to reflux.Dibromobenzene is added wherein to keep the stable speed that refluxes, in 60 minutes, add and finish.After about 3 minutes, solution becomes light green, and is fashionable when continuing to add, and then continues deepening to dun.Add and finished for seven weeks, the gained dark brown solution is diluted with anhydrous ether (200mL) and was at room temperature stirred 1 hour.With ice bath reaction is cooled to 0 ℃.In vigorous stirring, in 60 fens clock times, will be dissolved in 2,3,4 of anhydrous ether (1000mL), 6-four-O-ethanoyl-α-D-glucopyranosyl bromine (C1) (103.6g 0.252mol) joins in the 4-bromophenyl magnesium bromide solution.After adding fully, solution is warming up to room temperature and stirred 72 hours.In ice bath, reaction is cooled to 0 ℃ and use 10% acetic acid-aqueous solution (1500mL, 2.62mol) cancellation carefully.Water layer partly separated and remaining mixture is filtered Celite , thereby remove light green emulsion.(8 * 350mL) extract the gained organic phase, simultaneously each extracting solution are separated with 10% acetic acid solution.Six parts in eight parts of extracts are merged and evaporation in a vacuum with initial water layer, thereby obtain solid residue.
To from Grignard reagent, be dissolved in the pyridine (2000mL) by isolating resistates, and in ice bath, mixture will be cooled to 0 ℃.(1000mL 10.58mol) adds wherein, and subsequently with N, N-dimethyl aminopyridine (0.8g) adds wherein with diacetyl oxide.Under 0 ℃, above-mentioned reaction mixture was stirred 30 minutes, then it is warming up to room temperature and stirred 17 hours.React the very thickness that becomes, and by a large amount of pale precipitations.Reaction is divided into two approximate equal portions, uses ether (1L) dilution respectively.By suction solution is filtered filter paper in B, in addition with ether washing gained solid with in a vacuum most of ether is removed.Under 0 ℃, remaining pyridine solution is used N once more, and (200mL 2.11mol) handles for N-dimethyl aminopyridine and diacetyl oxide.Under 0 ℃, will react and place 1 hour, and then it will be warming up to room temperature and keep 17 hours.In a vacuum reaction being concentrated into final volume is about 150mL.The gained resistates is dissolved in the ether (500mL), and with 3.0N aqueous hydrochloric acid (100mL) washing, until pH<1 of remaining washes.Gained ethereal solution water (100mL), saturated aqueous sodium carbonate (150mL), saturated sodium bicarbonate aqueous solution (2 * 150mL) and water (100mL) washing, then with dried over sodium sulfate, filter and concentrate in a vacuum, thereby obtain bright brown solid (93.9g).Filter (470g silica gel by pad; load is 10: the 1 methylene dichloride-10% ethyl acetate-hexane slurries of silica gel (100g); use 3.5L25%~1.5L 33% ethyl acetate-hexane wash-out subsequently) carry out purifying; thereby be provided as (1S)-2 of white waxy solid; 3,4,6-four-O-ethanoyl-1; 5-anhydrates-1-(4-bromophenyl)-D-glucitol (C3) (66.4g, 54% productive rate).In Virahol (266mL), this material is carried out recrystallization, obtain first white crystal product (59.4g, 40.6% productive rate, NMR purity 84A%) and second product (2.08g, NMR purity 60A%) thereby reclaim; M.p.131 ± 0.8 ℃; Rf(0.43 1: 1 ethyl acetate-hexane);1HNMR (300MHz, CDCl3) δ 7.47 (d, J=8.4Hz, 2H), 7.31 (d, J=8.7,2H), 5.31 (d, J=9.3 Hz, 1H), 5.21 (t, J=9.9Hz, 1H), 5.09 (t, J=9.6Hz, 1H), 4.37 (d, J=9.9Hz, 1H), 4.12-4.33 (m, 2H), 3.83 (m, 1H), 2.09 (s, 3H), 2.06 (s, 3H), 2.00 (s, 3H), 1.83 (s, 3H) ppm.
Step 9A. (1S)-2,3,4,6-four-O-ethanoyl-1,5-anhydrate-1-[4-(4,4,5,5-tetramethyl--1,3,2-two oxa-boron heterocycle pentane-2-yls) phenyl]-preparation of D-glucitol (C4-ethanoyl)
Figure S2006800243473D00541
In the 1L three-necked flask, add (1S)-2,3,4,6-four-O-ethanoyl-1,5-anhydrate-1-(4-bromophenyl)-D-glucitol (97.9g, 0.20mol) and methyl-sulphoxide (505mL, 0.4M).Through degassing stone, reaction is outgased by bubbling nitrogen in solution.In violent bubbling, will for solid join boric acid pinacol ester (61.0g, 0.24mol) and potassium acetate (59.9g, 0.61mol) add in the reaction, add subsequently dichloro [1,1 '-two (diphenyl phosphine) ferrocene] palladium (II) methylene dichloride adducts (8.2g, 0.01mol).Again above-mentioned reaction was outgased 30 minutes with nitrogen.Apply heating 40 minutes, thereby reach 88 ℃, and this temperature was kept 1.75 hours.Reaction is cooled to room temperature, and is poured into simultaneously in the cold water (3300mL) churned mechanically.Continue to stir 20 minutes, after this mixture is filtered, and the gained solid is carried out drying and collection.The gained solid is dissolved in the ethyl acetate (441mL), with hexane (906mL) dilution, and to wherein adding decolorizing charcoal (35.4g), silica gel (35.4g) and sodium sulfate (35.4g).When stirring, the gained slurries were stirred 15 minutes, be cooled to room temperature and stirred 15 minutes.Mixture is filtered Celite  (150mL) and wash with 33% ethyl acetate-hexane (2000mL).The thick material of gained wherein at first adds ethyl acetate (100mL) by carrying out purifying in the middle crystallization of 1: 6.4 ethyl acetate-hexane (740mL, 6.9mL/g theoretical yield), slowly adds hexane (640mL) subsequently when stirring.Mixture is warming up to 55 ℃, stirred 1 hour, in 4 hour time, stirred then and be warming up to 32 ℃.With the gained slurries be cooled to 10 ℃ keep 1 hour, filter, wash and carry out drying with 5% ethyl acetate-hexane (800mL), thereby be provided as (1S)-2,3 of ash fines white powder, 4,6-four-O-ethanoyl-1,5-anhydrates-1-[4-(4,4,5,5-tetramethyl--1,3,2-two oxa-boron heterocycle pentane-2-yls) phenyl]-D-glucitol (77.3g, the productive rate of twice results are 72%); M.p.135 ℃ (dec); Rf(0.48 1: 1 ethyl acetate-hexane); HPLC purity>99%; NMR purity 95%.1HNMR(300MHz,CDCl3)δ7.76(d,J=8.1Hz,2H),7.33(d,J=8.1Hz,2H),5.31(d,J=9.0Hz,1H),5.2(t,J=9.5Hz,1H),5.1(t,J=9.5Hz,1h),4.40(d,J=9.9Hz,1H),4.30(dd,J=5.1,4.8Hz,1H),4.15(dd,J=2.4,2.1Hz,1H),3.86-3.80(m,1H),2.08(s,3H),2.06(s,3H),1.99(s,3H),1.79(s,3H),1.34(s,12H)ppm.
(3R, 4S)-3-[(3S)-and the 3-{[tertiary butyl (dimethyl) silyl] the oxygen base }-3-(4-fluorophenyl) propyl group]-the 4-[2-{[tertiary butyl (dimethyl) silyl] the oxygen base }-4-(4,4,5,5-tetramethyl--1,3,2-two oxa-boron heterocycle pentane-2-yls) phenyl]-preparation of 1-phenyl azetidine alkane-2-ketone
Figure S2006800243473D00551
In sealed tube, with (3R, 4S)-4-(the 4-bromo-2-{[tertiary butyl (dimethyl) silyl] the oxygen base } phenyl)-3-[(3S)-and the 3-{[tertiary butyl (dimethyl) silyl] the oxygen base }-3-(4-fluorophenyl) propyl group]-(0.42g 0.60mmol) is dissolved in the diox (15mL) 1-phenyl azetidine alkane-2-ketone.To join boric acid pinacol ester (0.17g, 0.66mmol), potassium acetate (0.18g, 1.83mmol) and dichloro [1,1 '-two (diphenyl phosphine) ferrocene] close palladium (II) methylene dichloride adducts (14.6mg, 0.018mmol) add wherein, reaction is outgased and under 85 ℃, be heated 24 hours with argon gas.Said mixture is cooled to room temperature, uses 50mL1: 1 ethyl acetate-hexane dilution, with 100mL 0.1N hydrochloric acid and the water washing of 2 * 100mL salt.With organic layer collect, partial concentration to half volume, filter 10g silica gel, wash and concentrate in a vacuum with the 50mL ethyl acetate, thereby provide (3R, 4S)-3-[(3S)-and the 3-{[tertiary butyl (dimethyl) silyl] the oxygen base }-3-(4-fluorophenyl) propyl group]-the 4-[2-{[tertiary butyl (dimethyl) silyl] the oxygen base }-4-(4,4,5,5-tetramethyl--1,3,2-two oxa-boron heterocycle pentane-2-yls) phenyl]-1-phenyl azetidine alkane-2-ketone;1H NMR (300MHz, CDCl3) δ 7.35-7.18 (m, 9H), 7.02-6.96 (m, 1H), 6.95 (t, J=8.7Hz, 2H), 5.11 (d, J=2.3Hz, 1H), 4.63 (t, J=5.6Hz, 1H), 3.06 (dt, J=7.4,2.3Hz, 1H), 1.96-1.79 (m, 4H), 1.31 (brs, 12H), 1.05 (s, 9H), 0.86 (s, 9H), 0.35 (s, 3h), 0.32 (s, 3H), 0.00 (s, 3H) ,-0.20 (s, 3H) ppm.
The another kind of route that is used for preparing the step 9 of C4-ethanoyl ethanoyl is shown in scheme 6a, and the specific embodiments of this route is shown in the scheme 6.
Scheme 6a
Figure S2006800243473D00561
Step 9B1.1-C-(4-chloro-phenyl-)-2,3,4,6-four-O-(trimethyl silyl) hexopyranose (CC2)
Figure S2006800243473D00571
2,3,4,6-four-O-(trimethyl silyl) D-glucopyrone (CC1) is prepared according to the method described in U.S. Patent Application Publication 2004/0137903A1 and the U.S. Patent Application Publication 2004/0138439A1 by the D-glucono-lactone.
With 2,3,4, (100.0g 0.214mol) is dissolved in the heptane (320.0mL) 6-four-O-(trimethyl silyl)-D-glucopyrone (CC1).In dry ice/acetone batch, this yellow solution is cooled to-78 ℃, and in 20 fens clock times with the ether (280mL of 4-chloro-phenyl--magnesium bromide of 1.0M, 0.280mol) solution drip to add wherein, in order to keep temperature to be or to be lower than-60 ℃, control adds speed.Continue to stir 1.0 hours and temperature of reaction is remained between-70~-77 ℃.Then cooling bath is removed and in 1.5 hour time, the gained orange mixture is warming up to room temperature gradually.By heating, the color of reaction mixture is by the orange yellow that becomes.After at room temperature stirring 1.0 hours, finish by lcms analysis judgement reaction.The yellow reaction mixture is cooled to-78 ℃ and by slowly adding saturated aqueous ammonium chloride (900mL) with its cancellation once more.Then, in the clock time light brown mixture was warming up to room temperature at 30 minutes.At room temperature after the restir 30 minutes, mixture poured in the separating funnel with the aqueous ammonium chloride layer separate.Remaining organic layer washs with salt solution (300mL).(2 * 600mL) extract and use anti-continuously first brine layer that extracts of these extracts to gained aqueous ammonium chloride layer with ethyl acetate.Then, initial organic phase is extracted with salt solution (200mL) washing with two-layer ethyl acetate layer is counter continuously.Concentrating with the organic layer merging and to it, is the 1-C-(4-chloro-phenyl-)-2,3,4 of light brown oil thereby 133.9g is provided, 6-four-O-(trimethyl silyl) hexopyranose (CC2);1H NMR (CDCl3/ 300MHz) 7.47 (d, J=8.4Hz), 7.28 (d, J=8.1Hz), 3.87 (m), 3.76 (d, J=3Hz), 3.62 (t, J=8.7,9.0Hz), 3.42 (m), 0.20 (s), 0.18 (s), 0.08 (s) ,-0.30 (s) ppm.
The preparation (CC3) of step 9B2. methyl 1-C-(4-chloro-phenyl-) hexopyranoside
Figure S2006800243473D00581
At room temperature with thick product 1-C-(4-chloro-phenyl-)-2,3,4,6-four-O-(trimethyl silyl) hexopyranose (CC2) (133.9g) is dissolved in the methyl alcohol (500mL), and (69.6mL 1.07mol) adds wherein with methylsulfonic acid.In first 1.5 hours~2 hour time, the color of reaction mixture gradually becomes mulberry, at room temperature continues to stir 24 hours.Then, in ice/water-bath, mixture cooled off and triethylamine (287.2mL) is added wherein.The color of mixture becomes dun, is using ice/water-bath refrigerative simultaneously it to be stirred 5 minutes, and temperature is reduced to 18 ℃ during this period.Cooling bath is removed and at room temperature its continuation was stirred 15 minutes.Then reaction mixture being concentrated, is thick product methyl 1-C-(4-chloro-phenyl-) hexopyranoside (CC3) of dun oil thereby 283.9g is provided;1HNMR (CDCl3/ 300MHz) 7.43 (d, J=8.7Hz), 7.20 (d, J=8.7Hz), 3.85 (m), 3.55 (m) ppm.
Step 9B3. methyl-2,3,4, the preparation of 6-four-O-ethanoyl-1-C-(4-chloro-phenyl)-α-D-pyranoglucose (CC4)
Figure S2006800243473D00582
Thick product methyl 1-C-(4-chloro-phenyl-) hexopyranoside (CC3) (283.9g) is dissolved in the pyridine (600mL), and (8.0g 0.066mol) adds wherein with 4-dimethylaminopyridine.The gained brown solution is cooled off in ice-water bath, and in order to keep internal temperature to be or to be lower than 11 ℃, (248.4g 2.43mol) added wherein with diacetyl oxide in the clock time at 10 minutes.In case add and to finish, cooling bath is removed and at room temperature with gained secretly orange-brown solution stirred 30 minutes.Then, will react cancellation by adding entry (1000mL), and at room temperature it be stirred.By adding entry (500mL) and 20% ethyl acetate-heptane (1500mL) and separating each phase, the extraction of product is accomplished.The gained organic layer carries out continuous washing with 2.5 NHCl (1500mL), water (1500mL) and salt solution (1000mL).Initial water layer extracts with 20% ethyl acetate-heptane (1500mL), uses this extracting solution to extract each previous aqueous cleaning solution continuously then.Organic layer is merged and silica gel (100g) is added wherein.(2 * 500mL) wash with gained slurries filtration Celite TM (90g) with 20% ethyl acetate-heptane.The gained yellow filtrate is concentrated, thereby 84.8g is provided orange solids, then, it is diluted in methyl alcohol (500mL) and gac (30g) is added wherein.Under 50 ℃, slurries were stirred 10 minutes, at room temperature stirred 30 minutes and it is filtered Celite  (90g).The gained filter cake concentrates with methyl alcohol (300mL) washing with to gained filtrate, thereby 79.8g is provided yellow solid.By at 1: 4 toluene-heptane (325mL; Based on theoretical yield is 3.2mL/g) use following method to carry out crystallization, the thick product of gained is further purified.Thick product (79.8g) is dissolved in the toluene (65mL), and under 65 ℃, stirs.Heptane (260mL) was slowly added wherein in the clock time at 5 minutes, keeping temperature is 65 ℃.Under 64 ℃,, in 2 hour time, yellow solution is cooled to room temperature, at room temperature it was stirred 14 hours then crystallization solution is carried out kind of a crystalline substance.In ice-water bath, above-mentioned slurries are cooled off and under 0 ℃, it was stirred 1 hour.The gained white precipitate is filtered, washs, carries out air-dry and vacuum-drying with cold heptane (400mL), thereby be provided as the methyl-2,3 of white crystalline solid, 4,6-four-O-ethanoyl-1-C-(4-chloro-phenyl)-α-D-pyranoglucose CC4 (62.8g is 62% based on the productive rate of CC1); M.p.161.1 ± 0.15C; Rf(0.34 40% ethyl acetate-hexane);1HNMR (CDCl3/ 300MHz) 7.39 (d, 2H, J=9.0Hz), 7.33 (d, 2H, J=9.0Hz), 5.60 (dd, 1H, J=9.6,9.9Hz), 5.23 (dd, 1H, J=9.6,9.9Hz), 4.94 (d, 1H, J=9.9Hz), 4.37 (dd, 1H, J=5.0,12.0Hz), 4.23 (dd, 1H, J=2.3,12.0Hz), 4.05 (ddd, 1H, J=2.3,5.0,9.9Hz), 3.12 (s, 3H), 2.12 (s, 3H), 2.06 (s, 3H), 1.96 (s, 3H), 1.96 (s, 3H) ppm.IR (solid) 1744.4,1366.9,1210.6,1169.27,1089.8,1029.9,965.5,833.8cm-1.
Step 9B4.2,3,4, the preparation of 6-four-O-ethanoyl-1-C-(4-chloro-phenyl)-α-D-pyranoglucose (CC5)
Figure S2006800243473D00591
With methyl-2,3,4, (65.5g 0.144mol) is dissolved in the acetonitrile (800mL) 6-four-O-ethanoyl-1-C-(4-chloro-phenyl)-α-D-pyranoglucose.In the cryosel water-bath, this yellow solution is cooled to-7.5 ℃.(2.5mL 0.141mol) adds wherein, and (66.4mL 0.422mol) adds wherein with triethyl silicane subsequently with water.(34.8mL 0.288mol) drips adding wherein, and the color of reaction becomes orange red in the clock time boron trifluoride to be closed diethyl ether at 5 minutes.Continued simultaneously to stir 30 minutes at refrigerative, then cooling bath is removed and made it be warming up to room temperature in the clock time at 45 minutes.Continue to stir 16 hours, and pass through1HNMR monitors reaction, determines that reaction not exclusively.(6.7mL, (3.5mL 0.028mol) adds wherein, and continues to stir 7 hours in addition 0.042mol) to close diethyl ether with boron trifluoride with triethyl silicane.When definite reaction only carried out 95%, (10.0mL, (5.3mL 0.042mol) added wherein and continuation was stirred 15 hours 0.062mol) to close diethyl ether with boron trifluoride with other triethyl silicane.Saturated sodium bicarbonate aqueous solution (1000mL) adding wherein and is at room temperature stirred reaction mixture 60 minutes.The gained yellow suspension changed in the separating funnel with each layer separate.Then, 1600mL water and 1600mL 40% ethyl acetate-heptane are joined in the acetonitrile layer.Mixture is stirred and each layer separated once more.Gained organic layer water (1600mL) and saturated brine (1000mL) continuous washing.With 40% ethyl acetate-heptane (1600mL) sodium bicarbonate layer, two water layers and brine layer are carried out continuous washing.Organic phase being separated, merge with first organic layer and concentrate, is 2,3,4 of superficial yellow solid thereby 64.2g is provided, 6-four-O-ethanoyl-1-C-(4-chloro-phenyl)-β-D-pyranoglucose (CC5).Should be dissolved in the hot ethanol (1000mL) by thick product.With gac (13g) add its neutralization with slurries be warming up to 60 ℃ 5 minutes, heat filters Celite  (80g).The gained filter cake washs with hot ethanol (300mL).By heating down the gained yellow filtrate is concentrated, thereby volume is reduced to 450mL at 60 ℃.Under 60 ℃, yellow solution is further stirred, make it slowly be cooled to room temperature then.Under 50 ℃, crystal seed is added wherein, and lasting the stirring spent the night.To the gained white crystal filter, with the cold washing with alcohol of 300mL with carry out drying, thereby be provided as 2,3,4 of white crystalline powder, 6-four-O-ethanoyl-1-C-(4-chloro-phenyl)-β-D-pyrans Portugal (CC5) (35.7g, 0.081mol, 58% productive rate); M.p.124.0 ± 0.50 ℃; Rf(0.35 40% ethyl acetate-hexane);1H NMR (CDCl3/ 300MHz) 7.32 (d, 2H, J=7.0Hz), 7.27 (d, 2H, J=7.0Hz), 5.32 (dd, 1H, J=9.6,9.6Hz), 5.22 (dd, 1H, J=9.6,9.6Hz), 5.09 (dd, 1H, J=9.6,9.6Hz), 4.38 (d, 1H, J=9.6Hz), 4.28 (dd, 1H, J=5.0,12.6Hz), 4.16 (dd, 1H, J=2.1,12.6Hz), 3.83 (ddd, 1H, J=2.1,5.0,9.6Hz), 2.09 (s, 3H), 2.06 (s, 3H), 2.00 (s, 3H), 1.83 (s, 3H); IR (solid) 1739.7,1371.1,1213.4,1116.4,1090.4,1030.6,978.1,919.4,900.7,831.2cm-1
Step 9B5. (1S)-2,3,4,6-four-O-ethanoyl-1,5-anhydrate-1-[4-(4,4,5,5-tetramethyl--1,3,2-two oxa-boron heterocycle pentane-2-yls) phenyl]-preparation of D-glucitol (C4-ethanoyl)
Figure S2006800243473D00601
With (1S)-2,3,4; 6-four-O-ethanoyl-1,5-anhydrate-and 1-(4-chloro-phenyl-)-D-glucitol (CC5) (9.05g, 0.020mol), connection boric acid pinacol ester (5.7g; 0.023mol) and potassium acetate (2.21g 0.23mol) is dissolved in the anhydrous diethylene glycol dimethyl ether (50mL).When stirring, the violent bubbling of argon gas is passed through said mixture.During the above-mentioned degassing, by with two (dibenzalacetone) palladium (0) (Pd (dba) 2) (1.15g, 0.002mol) and tricyclohexyl phosphine (1.4g 0.023mol) is suspended in the anhydrous diethylene glycol dimethyl ether (40mL), catalyst mixture obtain the preparation.Catalyst mixture is stirred rapidly and by the bubbling argon gas it acutely outgased.Catalyst mixture and CC5 mixture are stirred and outgased 1.25 hours.After at this moment, catalyst mixture is joined in the CC5 mixture and it is continued other 2 hours of the degassing.After the degassing is finished, reaction is transferred in 165 ℃ of baths.By heating, reaction changes terra brown into by orange/brown.Under this temperature, will react and stir about 18 hours, after this reaction will be cooled to room temperature.Crude product mixture is poured in the frozen water (300mL), thereby be settled out product.With flask exterior cooling to 0 ℃, and mixture stirred 1.5 hours.By vacuum filtration the gained precipitation is collected, and it is dissolved in the ethyl acetate (40mL).Then, hexane (80mL) is added wherein and sodium sulfate (3.5g) is added wherein, subsequently silica gel (3.5g) and gac (3.5g) are added wherein.With mixture heating up to 40 ℃ and stirred 15 minutes, filter Celite  (30g) and wash with 33% ethyl acetate-hexane (225mL).Organic filtrate is concentrated, collect and obtain the 11.9g yellow solid.By at first being dissolved in 50% ethyl acetate-hexane (44mL), add hexane (40mL) then, the thick material of gained obtains crystallization.Crystallization solution was stirred 16 hours, be cooled to 0 ℃, filter, with the mother liquor washing with carry out drying, thereby be provided as (1S)-2 of faint yellow crystalline solid, 3,4,6-four-O-ethanoyl-1,5-anhydrate-1-[4-(4,4,5,5-tetramethyl--1,3,2-two oxa-boron heterocycle pentane-2-yls) phenyl]-D-glucitol (C4-ethanoyl) (9.90g is based on CC5 productive rate 92%); M.p.140.9 ± 0.50 ℃; Rf(0.48 50% ethyl acetate-hexane);1HNMR (CDCl3/ 300MHz) 7.75 (d, 2H, J=8.0Hz), 7.32 (d, 2H, J=8.0Hz), 5.31 (dd, 1H, J=9.3,9.3Hz), 5.20 (dd, 1H, J=9.3,9.9Hz), 5.10 (dd, 1H, J=9.3,9.6Hz), 4.39 (d, 1H, J=9.9Hz), 4.27 (dd, 1H, J=5.0,12.3Hz), 4.13 (dd, 1H, J=2.1,12.3Hz), 3.81 (J=2.1,5.0,9.9Hz) for ddd, 1H, 2.06 (s, 3H), 2.03 (s, 3H), 1.97 (s, 3H), 1.78 (s, 3H), 1.25 (s, 12H) ppm.IR (solid) 1749,1738,1402,1361,1221,1144,1088,1031,916,860,834cm-1.
The analogue route of another kind of synthetic schemes 6 Chinese style XIV and IV compound is shown in the scheme 7.According to this method, method by Braun and Cook obtains [Org.Syn.41,79 (1961)] formula 101 compounds and aryl zinc are according to [J Org.Chem.56,1445-1453 (1991)] method reaction, thereby obtain phenyl ketone 102, be translated into 104 to be similar to the mode shown in the scheme 6 then.
Scheme 7
Figure S2006800243473D00621
Synthetic variant shown in the another kind of scheme 6 from glucono-lactone and use aryl-silane 112 and chloroborane reaction [referring to Kaufmann, Chem.Ber.120,853-854; 901-905 and Gross and Kaufmann, Chem.Ber.120,991-994 (1987)], thereby the unprotected sugared borine of the formula 113 (C4-hydroxyl) of formation as shown in following scheme 8:
Scheme 8
Compound 111 can be converted into the C4-ethanoyl by the slight variant of scheme shown in scheme 9
Scheme 9

Claims (55)

1. the method for preparing the compound of following structure:
Figure S2006800243473C00011
Wherein
R1And R2Be selected from H, halogen ,-OH and methoxyl group;
X is selected from iodine, bromine, chlorine, tosyl group, methylsulfonyl and trifyl;
Wherein ProtA-O-is the phenol protecting group that is selected from oxygen ylmethyl ether, allyl ethers, tert-alkyl ether, benzylic ether and silyl ether;
ProtB-O-is HO-or the benzyl alcohol protecting group that is selected from oxygen ylmethyl ether, THP trtrahydropyranyl or tetrahydrofuran base ether, methoxyl group cyclohexyl ether, methoxy-benzyl ether, silyl ether and ester; With
Q is a chiral auxiliary group, and this chiral auxiliary group is selected from triphenyl ethylene glycol and has the ring-type of at least one chiral centre and the single enantiomer of side chain nitrogen-containing group,
Described method comprises makes following formula: compound
Figure S2006800243473C00012
React with following formula: compound
Figure S2006800243473C00021
2. according to the method for claim 1, it is the compound that is used to prepare following structure:
Figure S2006800243473C00022
Wherein
R1And R2Be selected from H, halogen ,-OH and methoxyl group;
X is selected from iodine, bromine, chlorine, tosyl group, methylsulfonyl and trifyl;
ProtA-O-is the phenol protecting group that is selected from oxygen ylmethyl ether, allyl ethers, tert-alkyl ether, benzylic ether and silyl ether;
ProtB-O-is HO-or the benzyl alcohol protecting group that is selected from oxygen ylmethyl ether, THP trtrahydropyranyl or tetrahydrofuran base ether, methoxyl group cyclohexyl ether, methoxy-benzyl ether, silyl ether and ester; With
R6Be phenyl or benzyl;
Described method comprises makes following formula: compound
Figure S2006800243473C00023
React with following formula: compound
Figure S2006800243473C00031
3. according to the method for claim 2, it comprises makes following formula: compound
Figure S2006800243473C00032
Wherein
ProtB '-O-is the benzyl alcohol protecting group that is selected from oxygen ylmethyl ether, THP trtrahydropyranyl or tetrahydrofuran base ether, methoxyl group cyclohexyl ether, methoxy-benzyl ether, silyl ether and ester,
With Lewis acid and following formula: compound reaction
Figure S2006800243473C00033
4. according to the method for claim 2, it comprises following sequence step:
Following formula: compound and trialkyl halogenated silanes are reacted, subsequently in the presence of alkali
B. with the Lewis acid reaction, subsequently
C. react with following formula: compound
Figure S2006800243473C00042
5. according to the method for claim 3 or 4, wherein
R1And R2Be selected from H and halogen; With
ProtA-O-is selected from oxygen ylmethyl ether, allyl ethers, tertbutyl ether, benzylic ether, trimethyl silyl ether, t-butyldimethylsilyl ether and t-butyldiphenylsilyl ether.
6. according to claim 3,4 or 5 method, wherein said Lewis acid is the halogenide of the 3rd, 4,13 or 14 family's metals.
7. according to the method for claim 6, wherein said Lewis acid is a titanium tetrachloride.
8. according to the method for claim 4, wherein
R1Be hydrogen;
R2Be fluorine;
X is a bromine; With
ProtA-O-is a benzylic ether.
9. according to the method for claim 2, it comprises
Following formula: compound and trimethylchlorosilane are reacted, so that the benzylalcohol of silyl protection to be provided in the presence of tertiary amine; Then
B. make the benzylalcohol of described silyl protection and the imine reaction of titanium tetrachloride and following formula,
Figure S2006800243473C00052
1) so that following formula: compound to be provided
10. the method for preparing the compound of following structure:
Figure S2006800243473C00061
Wherein
R1And R2Be selected from H, halogen ,-OH and methoxyl group;
X is selected from iodine, bromine, chlorine, tosyl group, methylsulfonyl and trifyl;
ProtA-O-is the phenol protecting group that is selected from oxygen ylmethyl ether, allyl ethers, tert-alkyl ether, benzylic ether and silyl ether;
ProtB-O-is HO-or the benzyl alcohol protecting group that is selected from oxygen ylmethyl ether, THP trtrahydropyranyl or tetrahydrofuran base ether, methoxyl group cyclohexyl ether, methoxy-benzyl ether, silyl ether and ester;
Described method comprises the cyclisation following formula: compound
Figure S2006800243473C00062
Wherein
R6Be phenyl or benzyl; With
ProtB '-O-is the benzyl alcohol protecting group that is selected from oxygen ylmethyl ether, THP trtrahydropyranyl or tetrahydrofuran base ether, methoxyl group cyclohexyl ether, methoxy-benzyl ether, silyl ether and ester.
11. according to the method for claim 10, it comprises makes following formula: compound and N, two trimethyl silyl ethanamides of O-and fluoride sources reaction
Figure S2006800243473C00071
12. according to the method for claim 11, wherein said fluoride sources is a tetrabutyl ammonium fluoride.
13. according to the method for claim 12, wherein
R1Be hydrogen;
R2Be fluorine;
X is a bromine;
ProtA is a benzyl; With
ProtB ' is a silyl.
14. according to the method for claim 13, wherein ProtB ' is selected from t-butyldimethylsilyl and trimethyl silyl.
15. the method for the 4-xenyl azetidinone of preparation following formula,
Figure S2006800243473C00072
Wherein
R1And R2Be selected from H, halogen ,-OH and methoxyl group;
ProtA '-O-is the phenol protecting group that is selected from oxygen ylmethyl ether, tert-alkyl ether, benzylic ether and silyl ether;
ProtB-O-is HO-or the benzyl alcohol protecting group that is selected from oxygen ylmethyl ether, THP trtrahydropyranyl or tetrahydrofuran base ether, methoxyl group cyclohexyl ether, methoxy-benzyl ether, silyl ether and ester; With
R5Be sugar or shielded sugar;
Described method comprises the 4-phenyl azetidine alkane-2-ketone that makes following formula
Figure S2006800243473C00081
Wherein X is selected from iodine, bromine, chlorine, tosyl group, methylsulfonyl and trifyl;
Phenyl compound reaction with following formula
Figure S2006800243473C00082
R wherein10And R11Be independently selected from H and (C1-C6) alkyl, perhaps R10And R11Form 5-6 unit ring altogether.
16. the method for the 4-xenyl azetidinone of preparation following formula
Figure S2006800243473C00083
Wherein
R1And R2Be selected from H, halogen ,-OH and methoxyl group;
ProtA '-O-is the phenol protecting group that is selected from oxygen ylmethyl ether, tert-alkyl ether, benzylic ether and silyl ether;
ProtB-O-is HO-or the benzyl alcohol protecting group that is selected from oxygen ylmethyl ether, THP trtrahydropyranyl or tetrahydrofuran base ether, methoxyl group cyclohexyl ether, methoxy-benzyl ether, silyl ether and ester; With
R5Be sugar or shielded sugar;
Described method comprises the 4-phenyl azetidine alkane-2-ketone that makes following formula
R wherein10And R11Be independently selected from H and (C1-C6) alkyl, perhaps R10And R11Form 5-6 unit ring altogether;
Phenyl compound reaction with following formula
Figure S2006800243473C00092
Wherein X is selected from iodine, bromine, chlorine, tosyl group, methylsulfonyl and trifyl.
17. according to the method for claim 15 or 16, being reflected under phosphine, palladium salt and the alkali existence of wherein said 4-phenyl azetidine alkane-2-ketone and phenyl compound carried out.
18. according to the method for claim 15, it comprises the 4-phenyl azetidine alkane-2-ketone that makes following formula
Figure S2006800243473C00093
Wherein
ProtA '-O-is selected from oxygen ylmethyl ether, tertbutyl ether, silyl ether and benzylic ether; With
ProtB-O-is selected from HO-and silyl ether;
With
Figure S2006800243473C00101
Perhaps
Figure S2006800243473C00102
Reaction in the presence of phosphine, palladium salt and alkali.
19. according to the method for claim 16, it comprises the 4-phenyl azetidine alkane-2-ketone that makes following formula
Figure S2006800243473C00103
Wherein
ProtA '-O-is selected from oxygen ylmethyl ether, tertbutyl ether, silyl ether and benzylic ether; With
ProtB-O-is selected from HO-and silyl ether;
React in the presence of phosphine, palladium salt and alkali with following formula: compound
Figure S2006800243473C00111
20. according to claim 17,18 or 19 method, wherein said phosphine is a triphenylphosphine, described palladium salt is PdCl2, and described alkali is the aqueous solution of alkali metal hydroxide or carbonate.
21. according to each method of claim 15-20, wherein R1Be hydrogen, and R2Be fluorine.
22. the method for a preparation formula XII compound:
Figure S2006800243473C00112
It comprises that the compound that makes formula XV reacts in the presence of palladium catalyst, trivalent phosphine and alkali with connection boric acid pinacol ester (bis (pinacolato) diboron), thereby forms XII,
Figure S2006800243473C00113
Wherein X ' is Br or Cl.
23. according to the method for claim 22, wherein X ' is Cl, described palladium catalyst closes palladium [(dba) for two (dibenzalacetone)2Pd]; Described phosphine is a tricyclohexyl phosphine; Described alkali is potassium acetate; And this is reflected in the diethylene glycol dimethyl ether and carries out under 150-175 ℃.
24. the method for preparation formula XIII compound
Figure S2006800243473C00121
Wherein X ' is Br or Cl,
It comprises the silylated sugar lactone Yu Geshi reagent react that makes following formula, carries out methanolysis subsequently,
Figure S2006800243473C00122
ProtD wherein1a, ProtD1b, ProtD1cAnd ProtD1dBe trialkylsilkl.
25. according to the method for claim 24, wherein said Grignard reagent is a 4-chloro-phenyl-magnesium bromide, and described methanolysis is by using methylsulfonic acid accomplished in methyl alcohol.
26. the method for preparation formula XII compound:
Figure S2006800243473C00123
It comprises:
(1) handles the shielded sugar lactone of following formula with grignard reagent
Figure S2006800243473C00131
ProtD wherein1a, ProtD1b, ProtD1cAnd ProtD1dBe trialkylsilkl,
Use methyl alcohol and acid treatment subsequently, thereby formula XIII be provided compound:
Figure S2006800243473C00132
Wherein X ' is Br or Cl;
(2) handle XIII with excessive acetylation reagent; wherein said acetylation reagent is selected from the diacetyl oxide in the presence of the alkali, at the Acetyl Chloride 98Min. in the presence of the alkali, at pentafluorophenyl group acetic ester in the presence of the alkali and the acetyl imidazole in the presence of platinum catalyst, thereby XIV is provided:
(3), thereby provide XV with silane and Lewis acid reduction XIV:
With
(4) XV and connection boric acid pinacol ester are reacted in the presence of palladium catalyst, thereby form XII.
27. according to the method for claim 26, it is the C4-acetyl compounds that is used to prepare following formula:
(1) the protected sugar lactone of formula CC0
Figure S2006800243473C00142
ProtD wherein1a, ProtD1b, ProtD1cAnd ProtD1dBe trimethyl silyl or t-butyldimethylsilyl, handle with the Grignard reagent of following formula
Figure S2006800243473C00143
Handle with methyl alcohol and acid subsequently, thereby formula CC3 be provided compound:
Figure S2006800243473C00144
(2) in the presence of alkali, handle CC3, thereby CC4 be provided with the excessive acetic acid acid anhydride:
Figure S2006800243473C00151
(3), thereby provide CC5 with triethyl silicane and Lewis acid reduction CC4:
Figure S2006800243473C00152
With
(4) CC5 and connection boric acid pinacol ester are reacted in the presence of palladium catalyst, trivalent phosphine part and alkali, thereby form the C4-ethanoyl:
Figure S2006800243473C00153
The C4-ethanoyl.
28. prepare the method for following formula: compound
Figure S2006800243473C00161
It comprises the azetidinone that makes following formula
Figure S2006800243473C00162
With the two oxa-boron heterocycle pentanizing compounds reaction of following formula,
Figure S2006800243473C00163
Carry out deprotection then, wherein
R1And R2Be selected from H, halogen ,-OH and methoxyl group;
X is selected from iodine, bromine, chlorine, tosyl group, methylsulfonyl and trifyl;
ProtA '-O-is the phenol protecting group that is selected from oxygen ylmethyl ether, tert-alkyl ether, benzylic ether and silyl ether;
ProtB-O-is-OH or silyl ether; With
ProtC-O-is the sugar alcohol protecting group that is selected from benzylic ether, silyl ether and ester.
29. according to the method for claim 28, it is used to prepare following compound,
Figure S2006800243473C00171
It comprises the azetidinone that makes following formula
Figure S2006800243473C00172
With the two oxa-boron heterocycle pentanizing compounds reaction of following formula,
Figure S2006800243473C00181
Carry out deprotection then.
30. according to the method for claim 28, wherein said azetidinone and described two oxa-boron heterocycle pentanizing compounds react in the presence of phosphine, palladium salt and alkaline carbonate;
ProtC is an ethanoyl, and described deprotection is accomplished by being hydrolyzed with aqueous bases; And
ProtA ' is a benzyl, and described deprotection is accomplished by the catalytic hydrogenolysis effect.
31. according to the method for claim 28, wherein said azetidinone and described two oxa-boron heterocycle pentanizing compounds react in the presence of phosphine, palladium salt and alkaline carbonate;
ProtC is an ethanoyl, and described deprotection is accomplished by the methanolysis that carries out in the presence of fluorion; And
ProtA ' is a benzyl, and described deprotection is accomplished by the catalytic hydrogenolysis effect.
32. according to the method for claim 28, wherein said azetidinone is that the beta-amino Yi Xian oxazolin ketone by the cyclisation following formula obtains
Figure S2006800243473C00182
R wherein6Be phenyl or benzyl.
33. according to the method for claim 32, wherein said beta-amino Yi Xian oxazolin ketone obtains by the following method, makes following formula: compound
Figure S2006800243473C00191
React with following formula
Figure S2006800243473C00192
34. a method for preparing the imines of following formula,
Figure S2006800243473C00193
Wherein
R1Be selected from H, halogen ,-OH and methoxyl group;
X is selected from iodine, bromine, chlorine, tosyl group, methylsulfonyl and trifyl; With
ProtA-O-is the phenol protecting group that is selected from oxygen ylmethyl ether, allyl ethers, tert-alkyl ether, benzylic ether and silyl ether,
Described method comprises phenol and the formaldehyde source reaction that makes following formula,
Figure S2006800243473C00201
Form Schiff's base by aniline reaction subsequently with following formula
Figure S2006800243473C00202
Protect with ProtA subsequently.
35. according to the method for claim 34, wherein ProtA is a benzyl, X is a bromine, and R1Be hydrogen.
36. method by formula E1 compound formula E2 compound
Figure S2006800243473C00203
It is included under 35 ℃~75 ℃, handles the 0.5M methanol solution of described formula E1 compound with four normal Potassium monofluorides.
37. following formula: compound:
Figure S2006800243473C00211
Wherein
R1Be selected from H, halogen ,-OH and methoxyl group;
X is selected from iodine, bromine, chlorine, tosyl group, methylsulfonyl and trifyl; And
ProtA-O-is the phenol protecting group that is selected from oxygen ylmethyl ether, allyl ethers, tert-alkyl ether, benzylic ether and silyl ether, condition be when ProtA-be benzyl, R1When being Br for H and X, compound is that solid and purity are greater than 95%.
38. according to the compound of claim 37, wherein R1Be H or fluorine; X is a bromine; And ProtA-O-is benzylic ether or silyl ether.
39. following formula: compound
Figure S2006800243473C00212
Wherein
X is selected from iodine, bromine, chlorine, tosyl group, methylsulfonyl and trifyl; With
ProtDa, ProtDb, ProtDcAnd ProtDdFor hydrogen or be independently selected from the sugared protecting group of benzyl, silyl, acyl group, ketal, acetal, methoxymethyl, 2-(trimethyl silyl) ethoxyl methyl, allyl group, 2-methacrylic and the tertiary butyl.
40. according to the compound of claim 39, wherein X is a chlorine, and ProtDa, ProtDb, ProtDcAnd ProtDdBe the trialkylsilkl protecting group.
41. according to the compound of claim 39, wherein X is a chlorine, and ProtDa, ProtDb, ProtDcAnd ProtDdBe ethanoyl.
42. following formula: compound
Figure S2006800243473C00221
Wherein
R10And R11Be independently selected from H and (C1-C6) alkyl, perhaps R10And R11Form 5-6 unit ring altogether; And ProtDa, ProtDb, ProtDcAnd ProtDdFor hydrogen or be independently selected from the sugared protecting group of benzyl, silyl, acyl group, ketal and acetal.
43. according to the following formula: compound of claim 42, it has with following formula:
Wherein
ProtDa, ProtDb, ProtDcAnd ProtDdBe H, benzyl, silyl or acyl group.
44. according to claim 39,42 or 43 each compounds, wherein ProtDa, ProtDb, ProtDcAnd ProtDdAll be ethanoyl, trimethyl silyl or t-butyldimethylsilyl.
45. following formula: compound
Figure S2006800243473C00231
Wherein
R1And R2Be selected from H, halogen ,-OH and methoxyl group;
X is selected from iodine, bromine, chlorine, tosyl group, methylsulfonyl and trifyl;
Wherein ProtA-O-is the phenol protecting group that is selected from oxygen ylmethyl ether, allyl ethers, tert-alkyl ether, benzylic ether and silyl ether;
ProtB-O-is HO-or the benzyl alcohol protecting group that is selected from oxygen ylmethyl ether, THP trtrahydropyranyl or tetrahydrofuran base ether, methoxyl group cyclohexyl ether, methoxy-benzyl ether, silyl ether and ester; With
Q is the chiral auxiliary group that is connected on the nitrogen, and described chiral auxiliary group is selected from triphenyl ethylene glycol and has the ring-type of at least one chiral centre and the single enantiomer of side chain nitrogen-containing group.
46. according to the compound of claim 45, it has following formula:
Figure S2006800243473C00232
R wherein6Be phenyl or benzyl.
47. following formula: compound
Wherein
R1And R2Be selected from H, halogen ,-OH and methoxyl group;
X is selected from iodine, bromine, chlorine, tosyl group, methylsulfonyl and trifyl;
ProtA-O-is the phenol protecting group that is selected from oxygen ylmethyl ether, allyl ethers, tert-alkyl ether, benzylic ether and silyl ether;
ProtB-O-is HO-or the benzyl alcohol protecting group that is selected from oxygen ylmethyl ether, THP trtrahydropyranyl or tetrahydrofuran base ether, methoxyl group cyclohexyl ether, methoxy-benzyl ether, silyl ether and ester.
48. according to the following formula: compound of claim 47, it has with following formula:
49. following formula: compound
Figure S2006800243473C00242
Wherein
R1And R2Be selected from H, halogen ,-OH and methoxyl group;
ProtA '-O-is the phenol protecting group that is selected from oxygen ylmethyl ether, tert-alkyl ether, benzylic ether and silyl ether;
ProtB-O-is HO-or the benzyl alcohol protecting group that is selected from oxygen ylmethyl ether, THP trtrahydropyranyl or tetrahydrofuran base ether, methoxyl group cyclohexyl ether, methoxy-benzyl ether, silyl ether and ester; With
R10And R11Be independently selected from H and (C1-C6) alkyl, perhaps R10And R11Form 5-6 unit ring altogether.
50. according to the compound of claim 49, it has following formula:
Figure S2006800243473C00251
51. following formula: compound
Figure S2006800243473C00252
Wherein
R1And R2Be selected from H, halogen ,-OH and methoxyl group;
ProtA-O-is the phenol protecting group that is selected from oxygen ylmethyl ether, allyl ethers, tert-alkyl ether, benzylic ether and silyl ether;
ProtB-O-is HO-or the benzyl alcohol protecting group that is selected from oxygen ylmethyl ether, THP trtrahydropyranyl or tetrahydrofuran base ether, methoxyl group cyclohexyl ether, methoxy-benzyl ether, silyl ether and ester; With
R5Be shielded sugar.
52. according to the compound of claim 51, it has following formula:
Figure S2006800243473C00261
ProtD whereineBe hydrogen or ethanoyl.
53. according to the compound of claim 52, it has following formula:
Figure S2006800243473C00262
54. following formula: compound
R wherein7aAnd R7bIn one of another is OH, perhaps R for H7aAnd R7bBe altogether=O.
55. following formula: compound
Figure S2006800243473C00271
CNA2006800243473A2005-05-062006-05-08Process for production of 4-biphenylylazetidin-2-onesPendingCN101213170A (en)

Applications Claiming Priority (3)

Application NumberPriority DateFiling DateTitle
US67833605P2005-05-062005-05-06
US60/678,3362005-05-06
US60/726,9292005-10-14

Publications (1)

Publication NumberPublication Date
CN101213170Atrue CN101213170A (en)2008-07-02

Family

ID=39612482

Family Applications (1)

Application NumberTitlePriority DateFiling Date
CNA2006800243473APendingCN101213170A (en)2005-05-062006-05-08Process for production of 4-biphenylylazetidin-2-ones

Country Status (2)

CountryLink
CN (1)CN101213170A (en)
ZA (1)ZA200710066B (en)

Cited By (5)

* Cited by examiner, † Cited by third party
Publication numberPriority datePublication dateAssigneeTitle
CN102285932A (en)*2011-09-012011-12-21浙江大学Method for preparing ezetimble intermediate
CN102702022A (en)*2008-07-302012-10-03Sk新技术株式会社Novel coordination complexes and process of producing polycarbonate by copolymerization of carbon dioxide and epoxide using the same as catalyst
CN105237492A (en)*2015-10-292016-01-13无锡福祈制药有限公司Synthetic method for ezetimibe intermediate
CN110143928A (en)*2018-02-122019-08-20罗欣药业(上海)有限公司A kind of crystal form and preparation method of key ezetimibe intermediate
CN110526950A (en)*2019-09-232019-12-03济南山目生物医药科技有限公司A kind of preparation method of five-O- acetylmannosamine sugar of alpha-

Cited By (8)

* Cited by examiner, † Cited by third party
Publication numberPriority datePublication dateAssigneeTitle
CN102702022A (en)*2008-07-302012-10-03Sk新技术株式会社Novel coordination complexes and process of producing polycarbonate by copolymerization of carbon dioxide and epoxide using the same as catalyst
CN102702022B (en)*2008-07-302015-05-20Sk新技术株式会社Novel coordination complexes and process of producing polycarbonate by copolymerization of carbon dioxide and epoxide using the same as catalyst
CN102285932A (en)*2011-09-012011-12-21浙江大学Method for preparing ezetimble intermediate
CN102285932B (en)*2011-09-012013-06-12浙江大学Method for preparing ezetimble intermediate
CN105237492A (en)*2015-10-292016-01-13无锡福祈制药有限公司Synthetic method for ezetimibe intermediate
CN110143928A (en)*2018-02-122019-08-20罗欣药业(上海)有限公司A kind of crystal form and preparation method of key ezetimibe intermediate
CN110526950A (en)*2019-09-232019-12-03济南山目生物医药科技有限公司A kind of preparation method of five-O- acetylmannosamine sugar of alpha-
CN110526950B (en)*2019-09-232023-08-04济南山目生物医药科技有限公司Preparation method of alpha-five-O-acetyl mannose

Also Published As

Publication numberPublication date
ZA200710066B (en)2008-09-25

Similar Documents

PublicationPublication DateTitle
CN101222950A (en)Processes for production of 4-(biphenylyl)azetidin-2-one phosphonic acids
US20080200669A1 (en)Processes For Production of Phenolic 4-Biphenylylazetidin-2-Ones
DE602004008100T2 (en) 4-BIARYLYL-1-phenylazetidin-2-ONE
EP1362855B1 (en)Beta-lactam compounds, process for repoducing the same and serum cholesterol-lowering agents containing the same
US20070049748A1 (en)Preparation of ezetimibe
US7563888B2 (en)Process for the preparation of diphenyl azetidinone derivatives
BR112021003061A2 (en) process for the preparation of 6-(2,4-dichlorophenyl)-5-[4-[(3s)-1-(3-fluoropropyl)pyrrolidin-3-yl]oxyphenyl]-8,9-dihydro-7h-benzo methyl [7]annulene-2-carboxylate
CN101058557A (en)Method of preparing polyhydroxy annular nitrone
BR112012007085B1 (en) processes for the preparation of benzyl-benzene derivatives substituted with glycopyranosyl
CN101213170A (en)Process for production of 4-biphenylylazetidin-2-ones
CN103012388B (en)A preparation method for razaxaban and intermediate thereof, and midbody compound
EP3148979B1 (en)Process for preparation of canagliflozin
CN105294426A (en)Preparation method for azacyclobutanone compound and intermediate of azacyclobutanone compound
BRPI0611045A2 (en) processes for the production of 4-biphenylylazetidin-2-ones and their derivative compounds
CN1288136C (en)Process for producing optically active oxoheptenoic acid ester
WO2002072531A1 (en)Chain oligolactic acid ester
WO2003070684A1 (en)Process for producing chain oligolactic acid ester
US12145901B1 (en)Process for preparing tetralin compounds
WO2008061238A2 (en)Processes for production of 4-biphenylyazetidin-2-ones
CN102731489A (en)Preparation method of key ezetimibe intermediate
KR101370803B1 (en)Development of a Novel Method to access bath (R)- and (S)-3,3'-diaryl BINOL Derivatives via Diastereomeric Resolution of rasemic-BINOL with a chiral Boron Ligand followed by suzuki Reaction of the resulting (R)- and (S)-BINOL boronic acids
CN102180915A (en)D-fructopyranose derived saccharide beta-alkamine and synthesis method thereof
WO2008057948A2 (en)Processes for production of diphenylylazetidin-2-ones and related compounds
JP2021095367A (en)Method for Producing C-aryl Glycoside Derivative
KR20070017534A (en) Method for preparing diphenyl azetidinone derivative

Legal Events

DateCodeTitleDescription
C06Publication
PB01Publication
C10Entry into substantive examination
SE01Entry into force of request for substantive examination
C02Deemed withdrawal of patent application after publication (patent law 2001)
WD01Invention patent application deemed withdrawn after publication

Open date:20080702


[8]ページ先頭

©2009-2025 Movatter.jp