


技术领域technical field
本发明属于管网运行监控领域,尤其是涉及一种基于GIS的燃气管网自动预警技术。The invention belongs to the field of pipeline network operation monitoring, in particular to a GIS-based gas pipeline network automatic early warning technology.
背景技术Background technique
随着世界经济迅速发展,人口急剧增加,能源消费不断增长,温室气体和各种有害物质排放激增,人类生存环境受到极大挑战。在这种形势下,一种清洁、高效的能源——天然气正日益受到重视,发展天然气工业开始成为世界各国改善环境和促进经济可持续发展的最佳选择。With the rapid development of the world economy, the rapid increase of population, the continuous growth of energy consumption, the surge of greenhouse gas and various harmful substances emissions, the human living environment has been greatly challenged. In this situation, natural gas, a clean and efficient energy source, is getting more and more attention, and the development of natural gas industry has become the best choice for countries all over the world to improve the environment and promote sustainable economic development.
“十五”规划明确提出,以提高居民生活质量,改善大气环境、节约能源为目的,在国家政策的支持下,积极发展城市燃气。天然气的开发利用离不开管线系统的输送。随着天然气开发规模和使用规模的不断增大,天然气管网系统也日趋庞大和复杂。天然气是一种易燃易爆气体,其储存和输送的安全要求非常高。为确保城市燃气管网安全高效运行,有效的事故预警手段是非常必要的。The "Tenth Five-Year Plan" clearly stated that with the support of national policies, urban gas should be actively developed for the purpose of improving the quality of life of residents, improving the atmospheric environment, and saving energy. The development and utilization of natural gas is inseparable from the transportation of the pipeline system. With the continuous increase in the scale of natural gas development and use, the natural gas pipeline network system is also becoming larger and more complex. Natural gas is a flammable and explosive gas, and the safety requirements for its storage and transportation are very high. In order to ensure the safe and efficient operation of the urban gas pipeline network, effective accident warning means are very necessary.
我国的燃气事故是较多的,事故的不断发生,使我们必须重视燃气的安全问题。造成燃气事故的主要原因有第三方破坏、管线腐蚀穿孔、自然灾害等。燃气管线一旦发生泄漏,将产生各种后果如火焰喷射、气体爆炸等,这些严重威胁到泄漏点附近的生命财产安全。对燃气事故进行提前预警,可有效防止燃气泄漏造成严重后果,保障燃气管网安全、可靠地运营。There are many gas accidents in our country, and the continuous occurrence of accidents makes us pay attention to the safety of gas. The main causes of gas accidents are third-party damage, pipeline corrosion and perforation, natural disasters, etc. Once the gas pipeline leaks, it will produce various consequences such as flame spray, gas explosion, etc., which seriously threaten the safety of life and property near the leak point. Early warning of gas accidents can effectively prevent gas leakage from causing serious consequences and ensure the safe and reliable operation of the gas pipeline network.
预防和控制燃气管网泄漏事故的发生,保证燃气供气系统的安全稳定运行是一个综合性的系统课题。由于燃气管线大都是隐蔽工程,点多、线长、面广,所以及时发现隐患,把事故苗头扼杀在萌芽状态便成了安全运行的重中之重。据调查,国内的城市天然气管网仍采用比较原始的检漏方式(被动式检漏),不能做到防患于未然。具体一点说,就是让巡线员拿着检漏仪器在道路上巡视,其结果往往是漏点还没找出来,事故却已经发生。Preventing and controlling the occurrence of gas pipeline network leakage accidents and ensuring the safe and stable operation of the gas supply system is a comprehensive systemic subject. Since gas pipelines are mostly concealed projects with many points, long lines and wide areas, it is the top priority for safe operation to discover hidden dangers in time and nip the signs of accidents in the bud. According to the survey, the domestic urban natural gas pipeline network still adopts a relatively primitive leak detection method (passive leak detection), which cannot prevent problems before they happen. To be more specific, it is to let the line inspectors patrol the road with leak detection equipment. The result is often that the leak has not been found yet, but the accident has already occurred.
地理信息系统(Geographical Information System,GIS)是集计算机科学、测绘学、遥感学、空间科学、信息科学、管理科学等学科为一体的新兴边缘学科。它能够把图形管理系统和数据管理系统有机的结合起来,从而克服了数据库和图形系统各自固有的局限性,使二者的优势互补,功能更加齐全。目前,国内已将GIS应用于重大危险源的管理,开发了重大危险源的信息管理系统软件,但在实现安全监控方面仍存在较大的发展空间。建立一种基于GIS的燃气管网事故预警系统,可对在役燃气管网实施动态预警和静态预警,可有效预防燃气重大事故的发生。Geographical Information System (GIS) is an emerging frontier discipline integrating computer science, surveying and mapping, remote sensing, space science, information science, management science and other disciplines. It can organically combine the graphics management system and the data management system, thereby overcoming the inherent limitations of the database and the graphics system, making the advantages of the two complementary and more complete. At present, GIS has been applied to the management of major hazards in China, and information management system software for major hazards has been developed, but there is still a large room for development in the realization of safety monitoring. Establish a GIS-based early warning system for gas pipeline network accidents, which can implement dynamic and static early warnings for in-service gas pipeline networks, and can effectively prevent major gas accidents.
发明内容Contents of the invention
为了预防燃气管网发生重大危险事故,本发明提供了一种燃气管网事故预警方法。采用本发明提供的预警方法,可以建立一个基于GIS空间数据的可视化管理平台,利用在役燃气管线的安全性评价软件,实现对在役燃气管线的静态预警。同时还将基于GIS平台的管网地理信息系统与实时监测管网运行状态的SCADA(Supervisory Control AndData Acquisition)系统,即数据采集与监视控制系统,进行无缝连接,嵌入管网动态仿真软件,实现对管网事故的动态预警。In order to prevent major dangerous accidents in the gas pipeline network, the invention provides a method for early warning of gas pipeline network accidents. By adopting the early warning method provided by the present invention, a visual management platform based on GIS spatial data can be established, and the safety evaluation software of the in-service gas pipeline can be used to realize the static early warning of the in-service gas pipeline. At the same time, the pipe network geographic information system based on the GIS platform and the SCADA (Supervisory Control And Data Acquisition) system for real-time monitoring of the operation status of the pipe network, that is, the data acquisition and monitoring control system, will be seamlessly connected and embedded in the pipe network dynamic simulation software to realize Dynamic early warning of pipeline network accidents.
本发明提出的燃气管网事故预警方法,包括下列步骤:The gas pipeline network accident warning method proposed by the present invention comprises the following steps:
1)建立燃气管网地理信息系统,读取和存储燃气管网图、管网属性数据及空间地理数据;1) Establish a gas pipeline network geographic information system to read and store gas pipeline network diagrams, pipeline network attribute data and spatial geographic data;
2)根据管线属性数据,确定管线载荷,并给定缺陷初始尺寸和裂纹扩张量;2) According to the pipeline attribute data, determine the pipeline load, and give the initial defect size and crack expansion amount;
3)按照裂纹扩展方程求出寿命增量,将累加法和逼近法相结合,进行寿命预测;3) Calculate the life increment according to the crack growth equation, and combine the accumulation method and the approximation method to predict the life;
4)采用失效评定图方法,评定管线是否安全,如果不安全,计算管线的最大允许工作压力和剩余寿命;4) Use the failure assessment chart method to assess whether the pipeline is safe, if not, calculate the maximum allowable working pressure and remaining life of the pipeline;
5)将各管线的实际寿命与所预测的剩余寿命相比较,如果达到剩余寿命,报告管线寿命预警信息;5) Comparing the actual life of each pipeline with the predicted remaining life, if the remaining life is reached, report the pipeline life warning information;
6)建立燃气管网的数据采集与监视控制系统,实时采集包括各个节点管线压力在内的动态数据;6) Establish a data collection and monitoring control system for the gas pipeline network to collect real-time dynamic data including pipeline pressure at each node;
7)将燃气管网的数据采集与监视控制系统所采集的各个节点管线压力根据与该节点管线的最大允许工作压力相比较,如果超出,则报告管线压力预警信息。7) Compare the pipeline pressure of each node collected by the data collection and monitoring control system of the gas pipeline network with the maximum allowable working pressure of the pipeline at this node, and report the pipeline pressure warning information if it exceeds.
上述的燃气管网事故预警方法,在步骤1)之后和步骤5)之前,最好还包括下列步骤:The above-mentioned gas pipeline network accident warning method preferably further includes the following steps after step 1) and before step 5):
g)根据管线属性信息,确定缺陷轴向和纵向尺寸以及管线最小壁厚;g) Determine the axial and longitudinal dimensions of the defect and the minimum wall thickness of the pipeline according to the pipeline attribute information;
h)采用人工神经网络预测模型分析土壤腐蚀速率;h) Using the artificial neural network prediction model to analyze the soil corrosion rate;
i)计算管线的失效压力;i) Calculate the failure pressure of the pipeline;
j)结合管线的安全系数,计算出管线的最大允许工作压力;j) Combined with the safety factor of the pipeline, calculate the maximum allowable working pressure of the pipeline;
k)通过建立可靠性数学模型,对管线进行可靠性分析,确定管线的剩余寿命;k) By establishing a reliability mathematical model, analyze the reliability of the pipeline to determine the remaining life of the pipeline;
l)将步骤d)和e)所确定的管线的最大允许工作压力和管线的剩余寿命分别与步骤4)所确定的管线的最大允许工作压力和剩余寿命相比较,选择最小值作为管线的最大允许工作压力和剩余寿命。l) Compare the maximum allowable working pressure and the remaining life of the pipeline determined in steps d) and e) with the maximum allowable working pressure and remaining life of the pipeline determined in step 4), and select the minimum value as the maximum value of the pipeline Allowable working pressure and remaining life.
本发明的燃气管网事故预警方法,其中的步骤b)可以包括下列步骤:(1)将管线外界土壤的化学组成作为网络的输入;(2)将相应管材的权值赋予网络的连接单元;(3)运行人工神经网络预测模型分析管材的土壤腐蚀速率。In the gas pipeline network accident warning method of the present invention, step b) may include the following steps: (1) using the chemical composition of the soil outside the pipeline as the input of the network; (2) assigning the weight of the corresponding pipe material to the connection unit of the network; (3) Run the artificial neural network prediction model to analyze the soil corrosion rate of the pipe.
为完善上述的燃气管网事故预警方法,最好还包括下列的动态预警步骤:In order to improve the above gas pipeline network accident early warning method, it is better to include the following dynamic early warning steps:
A.建立管线实时仿真模型,计算各个节点管线的参数值,并根据燃气管线的压力平衡关系,设定泄漏阈值;A. Establish a real-time simulation model of the pipeline, calculate the parameter values of each node pipeline, and set the leakage threshold according to the pressure balance relationship of the gas pipeline;
B.利用燃气管网的数据采集与监视控制系统采集各个节点处的包括气体流量和温度在内的动态数据的测量值;B. Use the data acquisition and monitoring control system of the gas pipeline network to collect the measured values of dynamic data including gas flow and temperature at each node;
C.计算各个节点处测量值与所计算的参数值之间的偏差;C. Calculate the deviation between the measured value at each node and the calculated parameter value;
D.如果偏差超过泄漏阈值,则报告管线泄漏预警信息。D. If the deviation exceeds the leakage threshold, report pipeline leakage warning information.
采用本发明提供的预警方法,可以建立集成燃气管网的GIS系统和SCADA系统的可视化管理平台,实现SCADA实时监控功能与GIS功能的结合,使得它们在功能上相互支持、模块配置灵活,操作人员面对的不再是大堆的遥测数据和报警信息,而是燃气管网的全面信息,包括管网的地理位置、结构参数和运行参数等,该系统具有动态预警和静态预警功能,能有效防止燃气重大事故的发生。本发明还可应用于供水、供电等管网,具有较大的经济效益和深远的社会效益。By adopting the early warning method provided by the present invention, a visual management platform of the GIS system and the SCADA system integrated with the gas pipeline network can be established, and the combination of the SCADA real-time monitoring function and the GIS function can be realized, so that they support each other in function, and the module configuration is flexible. What is faced is no longer a lot of telemetry data and alarm information, but the comprehensive information of the gas pipeline network, including the geographical location, structural parameters and operating parameters of the pipeline network. The system has dynamic early warning and static early warning functions, which can effectively Prevent the occurrence of major gas accidents. The invention can also be applied to pipe networks such as water supply and power supply, and has relatively large economic benefits and far-reaching social benefits.
附图说明Description of drawings
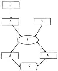
图1为本发明实施例的系统构成图。图中:FIG. 1 is a system configuration diagram of an embodiment of the present invention. In the picture:
1燃气管网图 2GIS系统 3SCADA系统 4实时网络空间数据库5动态预警模块 6静态预警模块 7预警信息1 Gas pipeline network diagram 2GIS
图2为本发明实施例的燃气管网GIS系统组成图。Fig. 2 is a composition diagram of the gas pipeline network GIS system according to the embodiment of the present invention.
图3为本发明实施例的动态预警模块的程序流程框图。Fig. 3 is a program flow diagram of the dynamic early warning module of the embodiment of the present invention.
图4为本发明实施例的静态预警模块的程序流程框图。Fig. 4 is a program flow diagram of the static early warning module of the embodiment of the present invention.
具体实施方式Detailed ways
下面结合一个燃气管网事故预警系统的实施例,对本发明做详细说明。The present invention will be described in detail below in conjunction with an embodiment of a gas pipeline network accident warning system.
本实施例利用GIS技术建立燃气管网事故预警系统。GIS技术把燃气管网信息与相应的地理位置相联系,产生了图与数据相互连接。目前在我国测绘界普遍使用的计算机绘图软件大多是基于AUTOCAD软件作基础平台,通过AUTOLISP语言或者AUTOCAD VBA技术进行二次开发,从而达到绘制管网图的目的,且绝大多数的测绘数据是采用AUTOCAD数据库格式进行建库。本发明可将AUTOCAD软件绘制的燃气管网图直接转换到GIS,以建立一个基于GIS技术的可视化管理平台。This embodiment utilizes GIS technology to establish an early warning system for gas pipeline network accidents. GIS technology connects the gas pipeline network information with the corresponding geographical location, and creates a map and data interconnection. At present, most of the computer drawing software commonly used in my country's surveying and mapping industry is based on AUTOCAD software as the basic platform, and is secondary developed through AUTOLISP language or AUTOCAD VBA technology, so as to achieve the purpose of drawing pipe network diagrams, and most of the surveying and mapping data are used AUTOCAD database format for database building. The invention can directly convert the gas pipe network diagram drawn by the AUTOCAD software to GIS, so as to establish a visual management platform based on GIS technology.
基于GIS技术的燃气管网地理信息系统(GIS系统)与SCADA系统组合成一个一体化系统。在数据建设中,GIS作为静态数据的组织者,负责数据的录入、存储、提供部分特殊的查询算法。SCADA作为动态数据的组织者,负责动态数据的获取和存储等问题。利用SCADA提供统一接口函数,在GIS系统中实现直接从实时库中读取信息。通过数据建设的一体化,实现GIS和SCADA共享设备信息、动态数据。SCADA系统需要从GIS中获取的信息主要包括:地理图形背景信息;离线的图形信息;管网的参数信息。在GIS图形上显示的实时运行信息主要包括:管内气体运行参数的实时信息:压力、流量和温度。综合利用视图、属性表等GIS提供的显示手段,采用动态着色技术、动态刷新技术,可以完整、准确、形象地动态显示实时运行信息。The gas pipeline network geographic information system (GIS system) based on GIS technology and the SCADA system are combined into an integrated system. In data construction, GIS, as the organizer of static data, is responsible for data entry, storage, and providing some special query algorithms. As the organizer of dynamic data, SCADA is responsible for the acquisition and storage of dynamic data. Utilize SCADA to provide unified interface function, realize reading information directly from real-time database in GIS system. Through the integration of data construction, GIS and SCADA can share equipment information and dynamic data. The information that the SCADA system needs to obtain from GIS mainly includes: background information of geographic graphics; offline graphic information; parameter information of pipe network. The real-time operation information displayed on the GIS graphics mainly includes: real-time information of gas operation parameters in the pipe: pressure, flow and temperature. Comprehensively utilizing the display means provided by GIS such as views and attribute tables, and adopting dynamic coloring technology and dynamic refreshing technology, real-time operation information can be dynamically displayed in a complete, accurate and vivid way.
该系统功能模块可分为两个部分:The system function module can be divided into two parts:
(1)静态预警模块:嵌入的管线安全性评价软件,能够根据管线的材料、外界土壤、缺陷类型等因素,对在役管线的最大允许工作压力进行评定,从而实施在役燃气管线的静态预警;(1) Static early warning module: The embedded pipeline safety evaluation software can evaluate the maximum allowable working pressure of the in-service pipeline according to the pipeline material, external soil, defect type and other factors, so as to implement the static early warning of the in-service gas pipeline ;
(2)动态预警模块:嵌入的管网动态仿真软件,利用GIS系统的属性数据以及SCADA系统的实时测量数据,实时预测燃气管网的运行状态,并不断将SCADA系统的测量数据和仿真软件的预测结果进行比较,实施管网的动态预警。(2) Dynamic early warning module: The embedded pipeline network dynamic simulation software uses the attribute data of the GIS system and the real-time measurement data of the SCADA system to predict the operation status of the gas pipeline network in real time, and continuously integrates the measurement data of the SCADA system and the simulation software. The prediction results are compared, and the dynamic early warning of the pipeline network is implemented.
在图1中,采用ESRI公司的地理信息系统软件ArcGIS开发出燃气管网GIS系统2。利用ArcGIS中的一个软件开发包ArcEngine将AutoCAD绘制的燃气管网图1载入GIS系统2中。ArcGIS中基本的图元要素分为点、线、面、注记四种类型。AutoCAD中基本的图元要素分为块、线、文本。先在ArcGIS中分别建立点图层、线图层和注记图层,然后导入对应的CAD图元信息。GIS系统2和SCADA系统3保持相对独立,这样可以保证两个系统运行的安全、稳定、可靠和高效。GIS系统2和SCADA系统3又是紧密集成的。SCADA系统3只提供基本的数据采集服务,即不维护运行画面,只是作为后台系统向GIS系统2提供实时数据,接受GIS系统2的命令进行遥控操作。GIS系统2建立和管理的数据综合了管网空间信息和属性信息,既能方便地查询和管理,为自动化管理系统提供基础数据平台。GIS系统2的空间数据和SCADA系统3的实时数据通过模块处理后被规则化以系统内部格式保存在实时网络空间数据库4中。动态预警模块5和静态预警模块6分别从实时网络空间数据库4提取数据并进行分析计算。如果动态预警模块5计算的结果与SCADA系统3的测量数据之间的偏差超过一定值,就将管网存在泄漏风险的预警信息7提供给操作人员。如果在役管线服役完静态预警模块6预测的剩余寿命时,就将管线危险预警信息7提供给操作人员。In Fig. 1, the gas pipeline
在图2中,燃气管网GIS系统2中各个模块的功能:用户权限管理模块,不同的人员会有不同的系统操作权限。通过访问权限的设定和菜单项的过滤验证保证数据的安全;系统集成接口模块,其可方便与数据采集系统、客户服务系统等进行数据及功能集成,满足燃气管网输配调度决策的需要;图形及数据编辑模块,允许用户增删各种型号的输气管线或者是对已有的管线属性数据进行编辑和修改;图形显示及输出模块,可将管线、附属设备(调压器、阀门等)以及基础地形图进行放大、缩小、分层显示等,另外还可以打印输出各类图形和报表;管网查询及统计模块,可进行管网空间数据及属性数据的双向查询;管线安全性评价模块,根据在役燃气管线的管线、土壤环境、气候条件等因素预测管线的使用寿命,并与管线的实际使用年限进行比较;管网信息共享模块,在Client/Server方式下实现远程数据库的智能化共享与联接,只要具有登陆权限的用户都可以通过网络实时地获取信息,并通过电子邮件等方式实现双向的操作。具有管理员权限的用户可以远程访问数据库并对数据进行修改。In Fig. 2, the function of each module in the gas pipeline network GIS system 2: user authority management module, different personnel will have different system operation authority. Data security is ensured through the setting of access rights and the filtering and verification of menu items; the system integration interface module can facilitate data and function integration with data acquisition systems, customer service systems, etc., to meet the needs of gas pipeline network transmission and distribution scheduling decisions ; Graphics and data editing module, allowing users to add and delete various types of gas transmission pipelines or edit and modify existing pipeline attribute data; ) and the basic topographic map to zoom in, zoom out, display in layers, etc. In addition, various graphics and reports can be printed out; the pipeline network query and statistics module can perform two-way query of pipeline network spatial data and attribute data; pipeline safety evaluation The module predicts the service life of the pipeline based on factors such as the pipeline, soil environment, and climate conditions of the in-service gas pipeline, and compares it with the actual service life of the pipeline; the pipeline network information sharing module realizes the intelligence of the remote database in the Client/Server mode Users with login authority can obtain information in real time through the network, and realize two-way operation through e-mail and other means. Users with administrator privileges can remotely access the database and make changes to the data.
在图3中,实时网络空间数据库4存储了管网的属性数据(管线、管长、管径、管线粗糙度等)和地理信息数据以及SCADA系统3提供的管网运行参数(气体压力、流量和温度)数据。GIS系统2中嵌入的管网动态仿真软件通过读取管网属性数据以及SCADA系统的监控数据,进行实时动态仿真。软件程序已对安全运行条件下管网各个节点处的信号进行了估计。利用各节点处的一系列残差信号估计了一系列的“潜在泄漏量”,根据这些“潜在泄漏量”对照预先设的阈值进行泄漏检测。模型的参数经过不断的调整,使得无泄漏发生时各个“潜在泄漏量”最小化。如果模型的预测结果与测量数据之间的偏差超过了设定的阈值,则认为管线发生了泄漏,并泄漏预警信息提供给操作人员。In Fig. 3, the real-time
在图4中,GIS系统2中嵌入的管线安全性评价软件通过读取实时网络空间数据库4中的管网属性数据(管线材料、管线缺陷尺寸、土壤化学组成等)对在役管线的最大允许工作压力进行评定。由于对管线安全性影响的因素较多,通过敏感性分析,可以识别出对管线安全性影响最大的参数。将管线缺陷分为两类:裂纹缺陷和腐蚀缺陷。对裂纹缺陷进行安全评定时,采用的是失效评定图(FDA)方法。计算出给定条件下的Kr和Lr值,如果评价点(Kr,Lr)是在评定曲线内侧,该管线被认为是安全的;如果评价点(Kr,Lr)是在评定曲线外侧,则该管线是不安全的,计算出管线的最大允许工作压力。对腐蚀缺陷进行安全评定时,利用人工神经网络预测模型计算土壤腐蚀速率,其步骤为:1)将管线外界土壤的化学组成作为网络的输入;2)将相应管线的权值赋予网络的连接单元;3)运行人工神经网络预测模型分析管线的土壤腐蚀速率。最后,结合API579凹坑评定标准中提出的方法,计算出该管线的最大允许工作压力。如果在役燃气管线的工作压力超过最大允许工作压力,系统就出现预警信息。In Fig. 4, the pipeline safety evaluation software embedded in the
| Application Number | Priority Date | Filing Date | Title |
|---|---|---|---|
| CNB2007101503811ACN100492233C (en) | 2007-11-26 | 2007-11-26 | A method for early warning of gas pipeline network accidents |
| Application Number | Priority Date | Filing Date | Title |
|---|---|---|---|
| CNB2007101503811ACN100492233C (en) | 2007-11-26 | 2007-11-26 | A method for early warning of gas pipeline network accidents |
| Publication Number | Publication Date |
|---|---|
| CN101183249Atrue CN101183249A (en) | 2008-05-21 |
| CN100492233C CN100492233C (en) | 2009-05-27 |
| Application Number | Title | Priority Date | Filing Date |
|---|---|---|---|
| CNB2007101503811AExpired - Fee RelatedCN100492233C (en) | 2007-11-26 | 2007-11-26 | A method for early warning of gas pipeline network accidents |
| Country | Link |
|---|---|
| CN (1) | CN100492233C (en) |
| Publication number | Priority date | Publication date | Assignee | Title |
|---|---|---|---|---|
| CN102135235A (en)* | 2010-01-27 | 2011-07-27 | 捷达世软件(深圳)有限公司 | Pneumatic pipeline monitoring system and method |
| CN102571631A (en)* | 2011-12-23 | 2012-07-11 | 上海量明科技发展有限公司 | Method, terminal and system for sending action image information in instant messaging |
| CN102915468A (en)* | 2011-07-29 | 2013-02-06 | 通用电气公司 | Systems, methods, and devices for predicting impacts on pipeline infrastructure |
| CN104091286A (en)* | 2014-06-23 | 2014-10-08 | 北京北斗星地科技发展有限公司 | System for integrated management of production and operation of city pipe network |
| CN104180166A (en)* | 2014-07-09 | 2014-12-03 | 中国石油大学(华东) | Pipeline leakage detection method based on pipeline pressure data |
| CN105138753A (en)* | 2015-08-12 | 2015-12-09 | 天津城建大学 | Determination method for actual flow of high-pressure gas pipe network nodes under accident condition |
| CN105917157A (en)* | 2013-12-02 | 2016-08-31 | 株式会社东芝 | Leak suppression device, leak suppression system and leak suppression program |
| CN106250448A (en)* | 2012-10-22 | 2016-12-21 | 国网山东省电力公司青岛供电公司 | Electric network information Dynamic Display method and apparatus |
| CN107289333A (en)* | 2017-05-22 | 2017-10-24 | 南通中远船务工程有限公司 | Flexible riser damage monitoring system and control method |
| CN107327707A (en)* | 2017-07-25 | 2017-11-07 | 绍兴柯桥供水有限公司 | A kind of water supply network monitoring management method and system |
| CN107420743A (en)* | 2017-06-09 | 2017-12-01 | 中国计量大学 | A kind of intelligent city's combustion gas PE pipe networks TT&C system and investigating method |
| CN108343843A (en)* | 2017-01-24 | 2018-07-31 | 中国石油化工股份有限公司 | A kind of oil-gas pipeline defect repair determination method and device |
| CN108507612A (en)* | 2018-03-05 | 2018-09-07 | 中国市政工程华北设计研究总院有限公司 | A kind of pipe gallery gas pipeline confidence level quantitative evaluating method and assessment system |
| CN109858126A (en)* | 2019-01-23 | 2019-06-07 | 北京市燃气集团有限责任公司 | Pipeline network of fuel gas in city safety monitoring method for early warning and system based on settlement monitoring |
| CN110332467A (en)* | 2019-07-26 | 2019-10-15 | 宁波水表股份有限公司 | A kind of water supply network leakage monitoring and early warning system |
| CN111383152A (en)* | 2020-03-06 | 2020-07-07 | 上海天麦能源科技有限公司 | Safety state analysis method and system for urban gas pipe network |
| CN112212224A (en)* | 2020-10-15 | 2021-01-12 | 海盐于通管件制造有限公司 | Pipeline water leakage detection method |
| CN112799365A (en)* | 2021-01-08 | 2021-05-14 | 广东工贸职业技术学院 | Intelligent monitoring system and method for gas pipe network |
| CN112949190A (en)* | 2021-03-08 | 2021-06-11 | 西南石油大学 | Fuzzy random reliability assessment method for crack defect-containing pipeline based on R6-FAD and BP-MCS |
| CN114458967A (en)* | 2020-10-22 | 2022-05-10 | 中国石油化工股份有限公司 | Storage, oil and gas pipeline monitoring and early warning method, device and equipment |
| US20240036563A1 (en)* | 2021-02-04 | 2024-02-01 | Chengdu Qinchuan Iot Technology Co., Ltd. | Method and system for determining maintenance time of pipe networks of natural gas |
| Publication number | Priority date | Publication date | Assignee | Title |
|---|---|---|---|---|
| CN102495954A (en)* | 2011-11-30 | 2012-06-13 | 上海华力微电子有限公司 | Special gas failure early-warning method |
| Publication number | Priority date | Publication date | Assignee | Title |
|---|---|---|---|---|
| CN102135235A (en)* | 2010-01-27 | 2011-07-27 | 捷达世软件(深圳)有限公司 | Pneumatic pipeline monitoring system and method |
| CN102915468A (en)* | 2011-07-29 | 2013-02-06 | 通用电气公司 | Systems, methods, and devices for predicting impacts on pipeline infrastructure |
| CN102915468B (en)* | 2011-07-29 | 2017-06-30 | 通用电气公司 | Systems, methods, and devices for predicting impacts on pipeline infrastructure |
| CN102571631B (en)* | 2011-12-23 | 2016-08-31 | 上海量明科技发展有限公司 | The sending method of motion images information, terminal and system in instant messaging |
| CN102571631A (en)* | 2011-12-23 | 2012-07-11 | 上海量明科技发展有限公司 | Method, terminal and system for sending action image information in instant messaging |
| CN106294562A (en)* | 2012-10-22 | 2017-01-04 | 国网山东省电力公司青岛供电公司 | A kind of electric network information methods of exhibiting and device |
| CN106250448A (en)* | 2012-10-22 | 2016-12-21 | 国网山东省电力公司青岛供电公司 | Electric network information Dynamic Display method and apparatus |
| US10095246B2 (en) | 2013-12-02 | 2018-10-09 | Kabushiki Kaisha Toshiba | Leakage suppression apparatus, leakage suppression system, and leakage suppression program |
| CN105917157A (en)* | 2013-12-02 | 2016-08-31 | 株式会社东芝 | Leak suppression device, leak suppression system and leak suppression program |
| CN105917157B (en)* | 2013-12-02 | 2019-08-16 | 株式会社东芝 | Leak inhibits device, leak to inhibit system and computer-readable storage medium |
| CN104091286A (en)* | 2014-06-23 | 2014-10-08 | 北京北斗星地科技发展有限公司 | System for integrated management of production and operation of city pipe network |
| CN104180166A (en)* | 2014-07-09 | 2014-12-03 | 中国石油大学(华东) | Pipeline leakage detection method based on pipeline pressure data |
| CN105138753A (en)* | 2015-08-12 | 2015-12-09 | 天津城建大学 | Determination method for actual flow of high-pressure gas pipe network nodes under accident condition |
| CN108343843B (en)* | 2017-01-24 | 2019-12-13 | 中国石油化工股份有限公司 | Oil and gas pipeline defect maintenance determination method and device |
| CN108343843A (en)* | 2017-01-24 | 2018-07-31 | 中国石油化工股份有限公司 | A kind of oil-gas pipeline defect repair determination method and device |
| CN107289333A (en)* | 2017-05-22 | 2017-10-24 | 南通中远船务工程有限公司 | Flexible riser damage monitoring system and control method |
| CN107420743A (en)* | 2017-06-09 | 2017-12-01 | 中国计量大学 | A kind of intelligent city's combustion gas PE pipe networks TT&C system and investigating method |
| CN107327707B (en)* | 2017-07-25 | 2019-08-23 | 绍兴柯桥供水有限公司 | A kind of water supply network monitoring management method and system |
| CN107327707A (en)* | 2017-07-25 | 2017-11-07 | 绍兴柯桥供水有限公司 | A kind of water supply network monitoring management method and system |
| CN108507612A (en)* | 2018-03-05 | 2018-09-07 | 中国市政工程华北设计研究总院有限公司 | A kind of pipe gallery gas pipeline confidence level quantitative evaluating method and assessment system |
| CN109858126A (en)* | 2019-01-23 | 2019-06-07 | 北京市燃气集团有限责任公司 | Pipeline network of fuel gas in city safety monitoring method for early warning and system based on settlement monitoring |
| CN109858126B (en)* | 2019-01-23 | 2020-01-24 | 北京市燃气集团有限责任公司 | Urban gas pipe network safety monitoring and early warning method and system based on settlement monitoring |
| CN110332467A (en)* | 2019-07-26 | 2019-10-15 | 宁波水表股份有限公司 | A kind of water supply network leakage monitoring and early warning system |
| CN111383152A (en)* | 2020-03-06 | 2020-07-07 | 上海天麦能源科技有限公司 | Safety state analysis method and system for urban gas pipe network |
| CN111383152B (en)* | 2020-03-06 | 2024-02-27 | 上海天麦能源科技有限公司 | Safety state analysis method and system for urban gas pipe network |
| CN112212224A (en)* | 2020-10-15 | 2021-01-12 | 海盐于通管件制造有限公司 | Pipeline water leakage detection method |
| CN114458967A (en)* | 2020-10-22 | 2022-05-10 | 中国石油化工股份有限公司 | Storage, oil and gas pipeline monitoring and early warning method, device and equipment |
| CN114458967B (en)* | 2020-10-22 | 2025-01-03 | 中国石油化工股份有限公司 | Storage device, oil and gas pipeline monitoring and early warning method, device and equipment |
| CN112799365A (en)* | 2021-01-08 | 2021-05-14 | 广东工贸职业技术学院 | Intelligent monitoring system and method for gas pipe network |
| CN112799365B (en)* | 2021-01-08 | 2022-08-09 | 广东工贸职业技术学院 | Intelligent monitoring system and method for gas pipe network |
| US20240036563A1 (en)* | 2021-02-04 | 2024-02-01 | Chengdu Qinchuan Iot Technology Co., Ltd. | Method and system for determining maintenance time of pipe networks of natural gas |
| CN112949190A (en)* | 2021-03-08 | 2021-06-11 | 西南石油大学 | Fuzzy random reliability assessment method for crack defect-containing pipeline based on R6-FAD and BP-MCS |
| Publication number | Publication date |
|---|---|
| CN100492233C (en) | 2009-05-27 |
| Publication | Publication Date | Title |
|---|---|---|
| CN101183249A (en) | A method for early warning of gas pipeline network accidents | |
| Ma et al. | Quantitative risk analysis of urban natural gas pipeline networks using geographical information systems | |
| Wang et al. | Case analysis and CFD numerical study on gas explosion and damage processing caused by aging urban subsurface pipeline failures | |
| CN103543706B (en) | Drainage internet-of-things system | |
| CN114399210A (en) | A geological disaster emergency management and decision-making system, method and readable storage medium | |
| CN101071483A (en) | Underground gas pipe network fuzzy risk evaluating system | |
| CN108507612A (en) | A kind of pipe gallery gas pipeline confidence level quantitative evaluating method and assessment system | |
| CN109345148A (en) | Natural gas line and the intelligent diagnosing method of station process unit security risk identification | |
| Spadoni et al. | Through ARIPAR-GIS the quantified area risk analysis supports land-use planning activities | |
| CN115388949A (en) | An Intelligent Reservoir Monitoring and Management System | |
| CN103413015A (en) | Method for building city gas pipe network vulnerability evaluation model | |
| CN113762796A (en) | A dynamic risk map analysis method for rainstorm and flood in railway engineering facilities | |
| CN115841014A (en) | Forest fire site handling risk assessment method | |
| CN117236791B (en) | Water conservancy real-time monitoring method and system based on GIS and BIM three-dimensional technology | |
| CN118607746A (en) | Urban drainage visual command and dispatch management system | |
| CN118869770A (en) | Control method of gas safety management and control system based on CIM platform | |
| Shan et al. | A methodology to determine the target reliability of natural gas pipeline systems based on risk acceptance criteria of pipelines | |
| Lozano-Toro et al. | A quantitative model to assess the human consequences of a natural gas pipeline rupture in urban distribution networks | |
| CN110737738A (en) | energy loss prevention early warning system based on GIS and big data analysis | |
| KR102805254B1 (en) | Method for Collecting and Building Water Supply Facility Data | |
| Zhou et al. | Risk index assessment for urban natural gas pipeline leakage based on artificial neural network | |
| CN118627930A (en) | Underground pipe gallery structure health monitoring and early warning system and monitoring device | |
| Nisanci et al. | Fire analysis and production of fire risk maps: The Trabzon experience | |
| CN117893049A (en) | Urban intelligent water affair early warning system and method integrating Internet of things and Internet | |
| KR20030067305A (en) | Method of risk assessment for buried gas pipelines |
| Date | Code | Title | Description |
|---|---|---|---|
| C06 | Publication | ||
| PB01 | Publication | ||
| C10 | Entry into substantive examination | ||
| SE01 | Entry into force of request for substantive examination | ||
| C14 | Grant of patent or utility model | ||
| GR01 | Patent grant | ||
| C17 | Cessation of patent right | ||
| CF01 | Termination of patent right due to non-payment of annual fee | Granted publication date:20090527 Termination date:20091228 |