


技术领域technical field
本发明涉及通信信道编码技术领域,尤其涉及一种利用低密度奇偶校验码实现编码的方法及装置。The invention relates to the technical field of communication channel coding, in particular to a method and device for realizing coding by using a low-density parity-check code.
背景技术Background technique
近年来,低密度奇偶校验码(LDPC:Low Density Parity CheckCodes)以其接近香农限的性能和相对简单的解码结构而得到人们的广泛关注。In recent years, Low Density Parity Check Codes (LDPC: Low Density Parity CheckCodes) have attracted widespread attention due to their performance close to the Shannon limit and relatively simple decoding structure.
LDPC码是基于信任传播(Belief Propagation)迭代解码思想而开发出来的,属于一种线性分组码,可以用生成矩阵和校验矩阵来表示。适用于手机电视、数据广播等应用中的无线通信系统信道编码技术。LDPC code is developed based on the idea of iterative decoding of belief propagation (Belief Propagation), which belongs to a kind of linear block code, which can be expressed by generator matrix and parity check matrix. It is applicable to the channel coding technology of wireless communication system in applications such as mobile TV and data broadcasting.
LDPC码独有的特殊性在于它的奇偶校验矩阵中“1”的数目远小于“0”的数目,这种特殊性称为稀疏性,所以,LDPC码也被称为稀疏图码。其名称“低密度奇偶校验码”中的“低密度”也正来源于此。The unique characteristic of LDPC code is that the number of "1" in its parity check matrix is much smaller than the number of "0". This particularity is called sparsity, so LDPC code is also called sparse graph code. The "low density" in its name "low density parity-check code" is also derived from this.
LDPC码具有较大灵活性和较低的差错平底特性,译码复杂度较低,所以,LDPC码在许多场合下性能优于其它类似的编码,比如Turbo码。其本身有抗突发差错的特性,不需要引入交织器,避免了可能带来的时延,且LDPC码可实现完全的并行操作,便于硬件实现,吞吐量大,极具高速译码潜力。LDPC codes have greater flexibility, lower error floor characteristics, and lower decoding complexity. Therefore, LDPC codes are superior to other similar codes, such as Turbo codes, in many occasions. It has the characteristics of anti-burst error, does not need to introduce interleaver, avoids possible delay, and LDPC code can realize complete parallel operation, which is convenient for hardware implementation, high throughput, and has great potential for high-speed decoding.
传统的LDPC编码方法是通过对校验矩阵进行高斯消元,从而得到生成矩阵,再根据生成矩阵进行编码。但高斯消元的过程运算量大,且破坏了校验矩阵的稀疏性,不利于实现。所以,如何构造易于编码实现的LDPC码校验矩阵,成为目前研究的重点。The traditional LDPC encoding method is to perform Gaussian elimination on the check matrix to obtain the generator matrix, and then encode according to the generator matrix. However, the process of Gaussian elimination has a large amount of computation and destroys the sparsity of the check matrix, which is not conducive to implementation. Therefore, how to construct an LDPC code parity check matrix that is easy to encode and implement has become the focus of current research.
目前,LDPC码可以采用结构化构造和随机性构造两种方法来得到。每一种设计方法都只能对应LDPC码的一个子集,或者性能比较出色,或者易于硬件实现。一般地,采用结构化构造的LDPC码易实现,而采用随机方式构造的LDPC码性能出色。At present, LDPC codes can be obtained by two methods: structured construction and random construction. Each design method can only correspond to a subset of LDPC codes, or the performance is relatively good, or it is easy to implement in hardware. Generally, LDPC codes constructed in a structured manner are easy to implement, while LDPC codes constructed in a random manner have excellent performance.
在目前构造LDPC码校验矩阵的过程中,并没有明确的准则来规范校验矩阵中列重和行重的位置及个数。为构造性能更好的矩阵,人们一直在不断的搜索和寻找合适的矩阵,这种搜索过程,包含了随机的安排1的位置和个数,再从中选取性能优异的校验矩阵。通过这种不断的尝试,渐渐找出规律,总结出一些构造方法。In the current process of constructing the parity check matrix of the LDPC code, there is no clear criterion to standardize the positions and numbers of column weights and row weights in the parity check matrix. In order to construct a matrix with better performance, people have been constantly searching and looking for a suitable matrix. This search process includes randomly arranging the position and number of 1s, and then selecting a check matrix with excellent performance. Through this continuous attempt, we gradually find out the rules and summarize some construction methods.
在LDPC码校验矩阵中,若行重和列重恒定,即在校验矩阵中,每列或每行中1的个数是恒定的常数,则LDPC码被称为规则码;若所述情况相反,则LDPC码可以被称为不规则码。In the LDPC code check matrix, if the row weight and the column weight are constant, that is, in the check matrix, the number of 1 in each column or row is a constant constant, then the LDPC code is called a regular code; if the In the opposite case, LDPC codes can be called irregular codes.
一般来说,不规则码的性能优于规则码,但增加了编码硬件实现的复杂度。并且因为不规则码不确定的行重,可能会构造出含有较高数目短环的校验矩阵,这种所述短环对于LDPC码的性能有着消极的影响,所以,尽量消除短环可以提高解码性能。In general, the performance of irregular codes is better than regular codes, but it increases the complexity of encoding hardware implementation. And because of the uncertain row weight of irregular codes, a parity check matrix containing a higher number of short loops may be constructed, and this short loop has a negative impact on the performance of LDPC codes, so eliminating short loops as much as possible can improve the performance of LDPC codes. decoding performance.
如今,LDPC码已经应用在现有技术中的数字广播标准和网络标准协议中作为信道编码方案,因其良好的性能,LDPC同样广泛的应用在光纤通信和磁盘存储系统中,对改善系统的传输性能具有重要意义。Today, LDPC codes have been used as channel coding schemes in digital broadcasting standards and network standard protocols in the prior art. Because of their good performance, LDPCs are also widely used in optical fiber communication and disk storage systems, which can improve the transmission of the system. Performance matters.
在现有的标准协议中,定义了一种通过循环置换得到的LDPC码校验矩阵,这种校验矩阵最大码长为2304个比特位,包含的码率分别为1/2、2/3、3/4、5/6。而LDPC码的一个特有属性就是码长越长性能越好,所以2304这个码长适用范围太小。并且不同的业务对编码速率的要求也不一样,显然,现有技术中出现的1/2、2/3、3/4、5/6四种码率可选择性太小。In the existing standard protocol, an LDPC code check matrix obtained by cyclic permutation is defined. The maximum code length of this check matrix is 2304 bits, and the included code rates are 1/2 and 2/3 respectively. , 3/4, 5/6. A unique attribute of LDPC codes is that the longer the code length, the better the performance, so the applicable range of the code length of 2304 is too small. Moreover, different services have different requirements on the encoding rate. Obviously, the four encoding rates of 1/2, 2/3, 3/4, and 5/6 in the prior art are too selectable.
目前,还没有一种简单、可行的构造方法,能够构造出具有广泛灵活的码长和适用范围更广的码率的LDPC码校验矩阵。At present, there is no simple and feasible construction method that can construct an LDPC code parity check matrix with a wide range of flexible code lengths and a wider range of code rates.
发明内容Contents of the invention
本发明的一个实施例的目的是提供一种利用低密度奇偶校验码实现编码的方法及装置,从而构造出具有广泛灵活的码长和适用范围更广的码率的低密度奇偶校验码校验矩阵。The purpose of an embodiment of the present invention is to provide a method and device for encoding using low-density parity-check codes, thereby constructing low-density parity-check codes with extensive and flexible code lengths and code rates with wider application ranges check matrix.
本发明的目的是通过以下技术方案实现的:The purpose of the present invention is achieved through the following technical solutions:
本发明的一个实施例提供了一种利用低密度奇偶校验码实现编码的方法,包括:An embodiment of the present invention provides a method for implementing encoding using a low-density parity-check code, including:
构造基矩阵,所述基矩阵左半部分采用基准矩阵形式或在基准矩阵形式基础上随机列置换产生的矩阵形式,右半部份采用双斜线结构,所述基准矩阵形式的构造方法为:按顺序以列重为3、列重为3、列重为6为一组作为循环单位,按顺序循环排放,直至将所述基矩阵左半部分排满;Construct the base matrix, the left half of the base matrix adopts the base matrix form or the matrix form generated by random column permutation on the basis of the base matrix form, and the right half adopts a double slash structure, and the construction method of the base matrix form is: In order, a group with a column weight of 3, a column weight of 3, and a column weight of 6 is used as a cyclic unit, and is cyclically discharged in order until the left half of the basic matrix is full;
在基矩阵的基础上,将基矩阵中数值为1的位置处赋循环移位因子,构造模型矩阵;On the basis of the base matrix, assign a cyclic shift factor to the position where the value is 1 in the base matrix to construct a model matrix;
用以扩展因子为单位的循环单位矩阵将模型矩阵扩展为校验矩阵;Expand the model matrix into a check matrix with a cyclic identity matrix in units of the expansion factor;
利用所述校验矩阵进行低密度奇偶校验码的编码处理;performing encoding processing of a low-density parity-check code by using the parity check matrix;
所述构造模型矩阵的过程具体包括步骤:The process of constructing the model matrix specifically includes steps:
采用随机的构造方式,随机生成一个长度为扩展因子的数组,其元素是随机排列,小于或等于所述扩展因子,且各不相等的数值,将这些数值赋给所述基矩阵左半部中的数值1所在位置,并将所述的这些数值作为循环移位因子;Using a random construction method, randomly generate an array whose length is the expansion factor, its elements are randomly arranged, less than or equal to the expansion factor, and each unequal value, and assign these values to the left half of the basic matrix The position where the
将基矩阵右半部份双斜线结构中数值为1的位置赋值为0,并将所述0作为循环移位因子;Assigning a value of 0 to the position where the value is 1 in the double slash structure in the right half of the base matrix, and using the 0 as a cyclic shift factor;
将基矩阵中数值为0的位置赋值为-1;Assign -1 to the position where the value is 0 in the base matrix;
对出现的相等的循环移位因子,随机的标注其中某个,用于在所述将模型矩阵扩展为校验矩阵的过程中,将被标注的循环移位因子在扩展之后逆时针旋转90度。For the equal cyclic shift factors that appear, randomly mark one of them, which is used to rotate the marked cyclic shift factor by 90 degrees counterclockwise after expansion in the process of expanding the model matrix into a check matrix .
本发明的一个实施例还提供了一种利用低密度奇偶校验码实现编码的装置,包括:An embodiment of the present invention also provides a device for implementing encoding using a low-density parity-check code, including:
基矩阵构造单元,用于构造基矩阵,所述基矩阵左半部分采用基准矩阵形式或在基准矩阵形式基础上随机列置换产生的矩阵形式,右半部份采用双斜线结构,所述基准矩阵形式为:按顺序以列重为3、列重为3、列重为6为一组的循环单位按顺序循环排放,直至将所述基矩阵左半部分排满的形式;The base matrix construction unit is used to construct the base matrix. The left half of the base matrix adopts the base matrix form or the matrix form generated by random column permutation on the basis of the base matrix form, and the right half adopts a double slash structure. The base matrix The form of the matrix is: in order, a group of cyclic units with a column weight of 3, a column weight of 3, and a column weight of 6 is cyclically arranged in order until the left half of the basic matrix is filled;
模型矩阵构造单元,用于在基矩阵的基础上,将基矩阵中数值为1的位置处赋循环移位因子,构造模型矩阵;The model matrix construction unit is used to assign a cyclic shift factor to the position where the value in the base matrix is 1 on the basis of the base matrix to construct the model matrix;
校验矩阵构造单元,用于将模型矩阵用以扩展因子为单位的循环单位矩阵扩展为校验矩阵;A check matrix construction unit, used to expand the model matrix into a check matrix with a cyclic unit matrix whose unit is an expansion factor;
编码单元,用于利用所述校验矩阵构造单元构造的校验矩阵进行低密度奇偶校验码的编码处理;An encoding unit, configured to perform encoding processing of low-density parity-check codes using the check matrix constructed by the check matrix construction unit;
所述的模型矩阵构造单元具体包括:Described model matrix construction unit specifically comprises:
第一移位因子生成单元,用于采用随机的构造方式生成一个数组,将数组内的数值赋给基矩阵左半部分内数值1所在的位置,并将所述数值生成循环移位因子;The first shift factor generating unit is used to generate an array in a random construction mode, assign the value in the array to the position of the
第二移位因子生成单元,用于将基矩阵中双斜线结构部分内数值1赋值为0,并将所述0生成循环移位因子;The second shift factor generation unit is used to assign the
赋值单元,用于将基矩阵中为0的位置赋值为-1;An assignment unit, used to assign -1 to the position of 0 in the base matrix;
标注单元,用于在出现相等的循环移位因子后,随机标注其中某个,以便用于在将模型矩阵扩展为校验矩阵的过程中,将被标注的循环移位因子在扩展之后逆时针旋转90度;Labeling unit, used to randomly label one of them after equal cyclic shift factors appear, so that in the process of expanding the model matrix into a check matrix, the marked cyclic shift factor will be counterclockwise after expansion Rotate 90 degrees;
所述的第一移位因子生成单元具体包括:The first shift factor generation unit specifically includes:
数组生成单元,用于采用随机的构造方式,随机生成一个长度为扩展因子的数组,其元素是随机排列,小于或等于所述扩展因子,且各不相等的数值。The array generating unit is used to randomly generate an array whose length is the expansion factor by adopting a random construction method, and its elements are randomly arranged, less than or equal to the expansion factor, and each unequal value.
由上述本发明的一个实施例提供的技术方案可以看出,本发明提供的低密度奇偶校验码校验矩阵构造方法,实现简单,灵活性大,因为是采用了半随机构造方式和结构化构造方式并用的构造方式,且基矩阵中列重安排特殊,具备了不规则码的特性,又不失规律性,所以,本发明的实现既保证了低密度奇偶校验码性能的优异,又便于编码硬件的实现。It can be seen from the technical solution provided by an embodiment of the present invention that the construction method of the low-density parity-check code check matrix provided by the present invention is simple to implement and has great flexibility, because it adopts a semi-random construction method and structured The construction method uses both construction methods, and the arrangement of columns in the base matrix is special, which has the characteristics of irregular codes without losing regularity. Therefore, the realization of the present invention not only ensures the excellent performance of low-density parity-check codes, but also Facilitates the implementation of encoding hardware.
附图说明Description of drawings
图1为本发明方法的一个实施例的具体实现过程流程图;Fig. 1 is the specific implementation process flowchart of an embodiment of the inventive method;
图2为本发明实施例中的校验矩阵具有的近似下三角结构图;FIG. 2 is an approximate lower triangular structure diagram of a parity check matrix in an embodiment of the present invention;
图3为本发明装置的一个实施例的结构示意图。Fig. 3 is a schematic structural diagram of an embodiment of the device of the present invention.
具体实施方式Detailed ways
本发明的实施例通过对现有技术的改进,提出一种结构化的不规则低密度奇偶校验码(LDPC)校验矩阵的构造方法,从而提供了一组码率范围广,码长灵活可变的LDPC码校验矩阵,其码率包括2/5、1/2、3/5、2/3、3/4、4/5,码长最大可到29972个比特位,这些校验矩阵的提出,使LDPC编码趋向简单,提高了LDPC码解码性能。Embodiments of the present invention propose a method for constructing a structured irregular low-density parity-check code (LDPC) check matrix by improving the prior art, thereby providing a set of code rates with a wide range and flexible code lengths Variable LDPC code check matrix, its code rate includes 2/5, 1/2, 3/5, 2/3, 3/4, 4/5, and the maximum code length can reach 29972 bits. The introduction of the matrix makes the LDPC coding tend to be simple and improves the decoding performance of the LDPC code.
本发明的实施例在实现过程中,根据不同的码长和码率要求,首先要明确所要构造的LDPC码校验矩阵的大小,即校验比特的个数(M)x编码后的码长(N),然后选取合适的扩展因子Z构造校验矩阵,所述的实现过程主要包括:In the implementation process of the embodiments of the present invention, according to different code lengths and code rate requirements, the size of the LDPC code check matrix to be constructed must first be specified, that is, the code length after the number of check bits (M) x encoding (N), then select a suitable expansion factor Z to construct the check matrix, and the described implementation process mainly includes:
首先构造大小为行数(m)x列数(n)的基矩阵,且所述的m=M/Z,First construct the base matrix whose size is the number of rows (m) x column number (n), and said m=M/Z,
所述的n=N/Z。为保证m、n都是整数,Z应为(M,N)的一个公约数。m、n、Z的选取可能有多个组合,可根据实现的需要选择其中的一个。Said n=N/Z. To ensure that both m and n are integers, Z should be a common divisor of (M, N). There may be multiple combinations for the selection of m, n, and Z, and one of them can be selected according to the needs of realization.
所述基矩阵左半部分采用基准矩阵形式以及在基准矩阵形式基础上随机列置换产生的矩阵形式,右半部份采用双斜线结构,所述基准矩阵形式具体为:按顺序以列重为3、列重为3、列重为6为一组作为循环单位,按顺序循环排放,直至将所述基矩阵左半部分排满;The left half of the base matrix adopts the base matrix form and the matrix form generated by random column permutation on the basis of the base matrix form, and the right half adopts a double slash structure. The base matrix form is specifically: 3. A group with a column weight of 3 and a column weight of 6 is used as a cyclic unit, which is cyclically discharged in order until the left half of the basic matrix is filled;
然后,在基矩阵的基础上,将基矩阵中数值为1的位置处赋循环移位因子,构造模型矩阵;Then, on the basis of the base matrix, assign a cyclic shift factor to the position where the value is 1 in the base matrix to construct a model matrix;
最后,用ZxZ为单位的循环单位矩阵将所述模型矩阵扩展为校验矩阵。Finally, the model matrix is expanded into a parity check matrix with a cyclic identity matrix with a unit of ZxZ.
本发明实施例所述的行重表示基矩阵每一行内数值1的个数,所述的列重表示基矩阵每一列内数值1的个数。The row weight in the embodiment of the present invention means the number of 1s in each row of the base matrix, and the column weight means the number of 1s in each column of the base matrix.
本发明实施例所述的模型矩阵的基本结构为其元素为循环移位因子(Pi,j,Z),其中,所述的i和j分别对应循环移位因子在模型矩阵中的所处的行数和列数,Z为扩展因子。The basic structure of the model matrix described in the embodiment of the present invention is Its elements are cyclic shift factors (Pi, j, Z ), where i and j respectively correspond to the number of rows and columns of the cyclic shift factor in the model matrix, and Z is the expansion factor.
本发明实施例所述的基矩阵结构为其元素为0或1,其中Hbm1对应信息位,大小为mxk(k=n-m),对应校验位,大小mxm,Hbm2′为双斜线结构。例如The basic matrix structure described in the embodiment of the present invention is Its elements are 0 or 1, wherein Hbm1 corresponds to information bits, and its size is mxk (k=nm), Corresponding to the check digit, the size is mxm, and Hbm2 ′ is a double slash structure. For example
为了便于对本发明实施例的理解,下面将结合本发明实施例所述方法的具体实现过程流程图(如图1所示),对本发明实施例的具体实现进行详细的说明,具体包括步骤:In order to facilitate the understanding of the embodiments of the present invention, the specific implementation of the embodiments of the present invention will be described in detail below in conjunction with the specific implementation process flow chart of the method described in the embodiments of the present invention (as shown in Figure 1), specifically including steps:
1、构造基矩阵1. Construct the base matrix
基于考虑到不规则码的性能一般要优于规则码,但实现起来复杂度增加,所以,本发明采取折中的方式,将所要构造的基矩阵分为两部分,一部分为不规则码,另外一部分为规则码。其中,将所述基矩阵左半部分设为不规则码;将所述基矩阵右半部分设为规则码,采用双斜线结构。Based on the consideration that the performance of irregular codes is generally better than regular codes, but the complexity of implementation increases, so the present invention adopts a compromise method and divides the base matrix to be constructed into two parts, one part is irregular codes, and the other A part is rule code. Wherein, the left half of the base matrix is set as an irregular code; the right half of the base matrix is set as a regular code, and a double slash structure is adopted.
所述基矩阵左半部分采用基准矩阵形式以及在基准矩阵形式基础上随机列置换产生的矩阵形式,所述基准矩阵形式具体为:按顺序以列重为3、列重为3、列重为6为一组作为循环单位,按顺序循环排放,直至将所述基矩阵左半部分排满,比如3、3、6、3、3、6......,3、6、3、3、6、3...........,或者6、3、3、6、3、3.......,具体形式可随机调换。The left half of the base matrix adopts the base matrix form and the matrix form generated by random column permutation on the basis of the base matrix form. 6 is a group as a cyclic unit, which is cyclically discharged in order until the left half of the basic matrix is filled, such as 3, 3, 6, 3, 3, 6..., 3, 6, 3, 3, 6, 3......, or 6, 3, 3, 6, 3, 3......., the specific form can be changed randomly.
所述列重在排放过程中,可随机的安排每列中1所在的位置,并统计这样得到的基矩阵的每行行重。若某行的行重小于平均行重,甚至为0,或者某行的行重大于平均行重,则可以随机但避免产生短环的情况下进行调整,直到行重平均。这样得到的基矩阵左半部分,合并采用双斜线结构的基矩阵右半部分,得到了LDPC码的基矩阵。During the row weighting process, the position of 1 in each column can be randomly arranged, and the row weight of each row of the base matrix obtained in this way can be counted. If the row weight of a certain row is less than the average row weight, or even 0, or the row weight of a certain row is greater than the average row weight, it can be adjusted randomly but avoiding short loops until the row weight is averaged. The left half of the basis matrix obtained in this way is combined with the right half of the basis matrix adopting the double oblique line structure to obtain the basis matrix of the LDPC code.
2、构造模型矩阵2. Construct the model matrix
模型矩阵的构造是在基矩阵的基础上,为基矩阵中每个1所在位置赋值,以确定后续操作时需要的循环移位因子。The construction of the model matrix is based on the base matrix, assigning a value to the position of each 1 in the base matrix to determine the cyclic shift factor required for subsequent operations.
由于,所述基矩阵在构造的过程中采用了两种不同的构造模式,所以,对于基矩阵中数值1所在位置赋值,从而获得所述循环因子的过程也采用两种不同的方式,具体可以包括:Since the base matrix adopts two different construction modes in the process of construction, the process of assigning the
(1)对于基矩阵中左半部分,随机的生成一个长度为Z的数组,其元素是随机排列的、小于等于Z、且各不相等的数值,将这些数值赋给基矩阵中左半部随机构造部分的1,从而得到循环移位因子;(1) For the left half of the base matrix, randomly generate an array of length Z, whose elements are randomly arranged, less than or equal to Z, and each unequal value, and assign these values to the left half of the base matrix Randomly construct part of 1 to get the cyclic shift factor;
(2)对于基矩阵中右半部采用双斜线结构部分,将数值为1的位置赋值为0,作为循环移位因子。(2) For the part of the right half of the base matrix that adopts a double slash structure, the position with a value of 1 is assigned a value of 0 as a cyclic shift factor.
对于所述方式(1)和方式(2)在执行时间上不分先后顺序。There is no order of execution time for the method (1) and the method (2).
所述构造模型矩阵过程还包括:将基矩阵内所有数值为0的位置赋值为-1。The process of constructing the model matrix further includes: assigning -1 to all the positions where the value is 0 in the base matrix.
所述构造模型矩阵过程中,为避免短环的产生,若出现相等的循环移位因子,则随机的标注其中某个,使它在后续操作过程中,用ZxZ为单位的循环单位矩阵扩展后再逆时针90度旋转,这样可避免短环的产生。In the process of constructing the model matrix, in order to avoid the generation of short loops, if there are equal cyclic shift factors, one of them is randomly marked, so that it can be extended with the cyclic identity matrix with ZxZ as the unit in the subsequent operation process Then rotate 90 degrees counterclockwise to avoid short loops.
基于以上操作,可以构造出适合扩展因子的模型矩阵。Based on the above operations, a model matrix suitable for the expansion factor can be constructed.
3、将模型矩阵扩展为校验矩阵3. Extend the model matrix to a check matrix
有了以上某个基准码长的模型矩阵,就可以通过不同大小,以ZxZ为单位的循环单位矩阵对模型矩阵进行扩展,从而得到不同码长的校验矩阵。With the above-mentioned model matrix of a certain reference code length, the model matrix can be expanded by a cyclic unit matrix with ZxZ as the unit of different sizes, so as to obtain check matrices of different code lengths.
模型矩阵中,-1的位置用ZxZ的全零矩阵扩展取代,所述全零矩阵为:模型矩阵中,0位置为ZxZ的单位矩阵扩展取代,所述单位矩阵为其它位置,需用ZxZ的单位矩阵循环移位次扩展取代,其中,Z0为基准码长的LDPC码所对应的扩展因子,为基准码长LDPC码的模型矩阵中的循环移位因子值。In the model matrix, the position of -1 is replaced by the ZxZ all-zero matrix extension, and the all-zero matrix is: In the model matrix, the 0 position is replaced by the extension of the identity matrix of ZxZ, and the identity matrix is other Position, need to use ZxZ identity matrix cyclic shift times the extension replaces, where, Z0 is the extension factor corresponding to the LDPC code of the reference code length, is the cyclic shift factor value in the model matrix of the reference code length LDPC code.
例如,要构造2880码长2/5码率的LDPC校验矩阵,可利用基准码长5760、2/5码率的模型矩阵进行变换再扩展得到:For example, to construct an LDPC parity check matrix with a code length of 2880 and a code rate of 2/5, the model matrix with a code length of 5760 and a code rate of 2/5 can be used to transform and expand:
基准码长5760的模型矩阵为The model matrix of the reference code length 5760 is
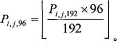
2880码长的扩展因子确定为Z=96,矩阵中-1的位置用96×96的全零矩阵扩展取代,0位置为96×96的单位阵扩展取代,其他位置,需用96×96的单位阵循环移位Pi,j,96次扩展取代,其中,移位次数这样就扩展成了2880码长,码率2/5的LDPC校验矩阵。The expansion factor of 2880 code length is determined to be Z=96, the position of -1 in the matrix is replaced by 96×96 all-zero matrix expansion, the 0 position is replaced by 96×96 unit matrix expansion, and other positions need to be replaced by 96×96 Unit matrix cyclic shift Pi, j, 96 extended replacements, where the number of shifts In this way, it is expanded into an LDPC check matrix with a code length of 2880 and a code rate of 2/5.
通过以上方法构造的LDPC码,可适合多种编码方法,尤其适合近似下三角编码和准循环编码,如图2所示。The LDPC code constructed by the above method is suitable for various coding methods, especially suitable for approximate lower triangular coding and quasi-cyclic coding, as shown in Figure 2.
按照上述构造方法,精选出一组性能比较优异的模型矩阵,码长可达到29972个比特位,码率适用2/5、1/2、3/5、2/3、3/4、4/5,来说明本发明实施例的效果,但采用本发明实施例提供的LPDC校验矩阵构造方法并不只限于构造上述校验矩阵,还可以采用本发明实施例的方法构造其它校验矩阵,在此不再赘述。According to the above construction method, a group of model matrices with relatively excellent performance is selected, the code length can reach 29972 bits, and the code rate is applicable to 2/5, 1/2, 3/5, 2/3, 3/4, 4 /5, to illustrate the effect of the embodiment of the present invention, but the method for constructing the LPDC check matrix provided by the embodiment of the present invention is not limited to constructing the above-mentioned check matrix, and the method of the embodiment of the present invention can also be used to construct other check matrices, I won't repeat them here.
所述性能比较优异的模型矩阵具体可以包括:The model matrix with relatively excellent performance may specifically include:
1、基准码长5760对应的模型矩阵,扩展因子为Z0=192,具体如下:1. For the model matrix corresponding to the reference code length 5760, the expansion factor is Z0 =192, as follows:
2/5码率的模型矩阵:Model matrix of 2/5 code rate:
1/2码率的模型矩阵:Model matrix of 1/2 code rate:
3/5码率的模型矩阵3/5 code rate model matrix
2/3码率的模型矩阵2/3 code rate model matrix
4/5码率的模型矩阵4/5 code rate model matrix
2、基准码长4608对应的模型矩阵,扩展因子为Z0=192,具体如下:2. For the model matrix corresponding to the reference code length 4608, the expansion factor is Z0 =192, as follows:
1/2码率的模型矩阵1/2 rate model matrix
2/3码率的模型矩阵2/3 code rate model matrix
3/4码率的模型矩阵3/4 rate model matrix
3、基准码长23040对应的模型矩阵,扩展因子为Z0=192,具体如下:3. For the model matrix corresponding to the reference code length 23040, the expansion factor is Z0 =192, as follows:
2/5码率的模型矩阵:Model matrix of 2/5 code rate:
1到32列:1 to 32 columns:
33到64列:33 to 64 columns:
65到96列:Columns 65 to 96:
97到120列:Columns 97 to 120:
2/3码率的模型矩阵:2/3 code rate model matrix:
1到32列:1 to 32 columns:
33到64列:33 to 64 columns:
65到96列:Columns 65 to 96:
97到120列:Columns 97 to 120:
4/5码率的模型矩阵:Model matrix of 4/5 code rate:
1到32列:1 to 32 columns:
33到64列:33 to 64 columns:
65到96列:Columns 65 to 96:
97到120列:Columns 97 to 120:
4、基准码长7493对应的模型矩阵,扩展因子为Z0=127,具体如下:4. For the model matrix corresponding to the reference code length of 7493, the expansion factor is Z0 =127, as follows:
2/5码率的模型矩阵:Model matrix of 2/5 code rate:
1到32列:1 to 32 columns:
33到59列:Columns 33 to 59:
3/5码率的模型矩阵:Model matrix of 3/5 code rate:
1到32列:1 to 32 columns:
33到59列:Columns 33 to 59:
4/5码率的模型矩阵:Model matrix of 4/5 code rate:
1到32列:1 to 32 columns:
33到59列:Columns 33 to 59:
5、基准码长29972对应的模型矩阵,扩展因子为Z0=508,具体如下:5. For the model matrix corresponding to the reference code length of 29972, the expansion factor is Z0 =508, as follows:
2/5码率的模型矩阵:Model matrix of 2/5 code rate:
1到32列:1 to 32 columns:
33到59列:Columns 33 to 59:
3/5码率的模型矩阵:Model matrix of 3/5 code rate:
1到32列:1 to 32 columns:
33到59列:Columns 33 to 59:
4/5码率的模型矩阵:Model matrix of 4/5 code rate:
1到32列:1 to 32 columns:
33到59列:Columns 33 to 59:
本发明还提供了一种构造低密度奇偶校验码校验矩阵的装置,其特征在于,具体包括:The present invention also provides a device for constructing a check matrix of a low-density parity-check code, which is characterized in that it specifically includes:
(1)基矩阵构造单元,用于构造基矩阵,所述基矩阵左半部分采用基准矩阵形式以及在基准矩阵形式基础上随机列置换产生的矩阵形式,右半部份采用双斜线结构,所述基准矩阵形式具体为:按顺序以列重为3、列重为3、列重为6为一组作为循环单位,按顺序循环排放,直至将所述基矩阵左半部分排满;(1) The base matrix construction unit is used to construct the base matrix. The left half of the base matrix adopts the base matrix form and the matrix form generated by random column permutation on the basis of the base matrix form, and the right half adopts a double slash structure. The form of the reference matrix is specifically: in order, a group with a column weight of 3, a column weight of 3, and a column weight of 6 is used as a cyclic unit, and the rows are cyclically arranged in order until the left half of the basic matrix is full;
所述的基矩阵构造单元具体包括:Described base matrix construction unit specifically comprises:
1、左半部分构造单元,用于构造所述基矩阵的左半部分;1. The left half construction unit is used to construct the left half of the base matrix;
所述的左半部分构造单元具体包括:Described left half construction unit specifically comprises:
列重排放单元,用于按顺序以列重为3、列重为3、列重为6为一组作为循环单位,按顺序循环排放,直至将所述基矩阵左半部分排满;The column weight discharge unit is used to use the column weight of 3, the column weight of 3, and the column weight of 6 as the cycle unit in order, and discharge them in order until the left half of the base matrix is full;
2、双斜线结构部分构造单元,用于构造所述基矩阵的右半部分;2. A double slash structure part construction unit, used to construct the right half of the base matrix;
3、合并单元,用于将左半部分构造单元构造的部分基矩阵和双斜线部分构造单元构造的部分基矩阵合并为一个完整的基矩阵;3. The merging unit is used to merge the partial basis matrix constructed by the left half construction unit and the partial basis matrix constructed by the double slash partial construction unit into a complete basis matrix;
(2)模型矩阵构造单元,用于在基矩阵的基础上,将基矩阵中数值为1的位置处赋循环移位因子,构造模型矩阵;(2) The model matrix construction unit is used for, on the basis of the base matrix, assigning a cyclic shift factor at a position where the value in the base matrix is 1, and constructing the model matrix;
所述的模型矩阵构造单元具体包括:Described model matrix construction unit specifically comprises:
1、第一移位因子生成单元,用于采用随机的构造方式生成一个数组,并将数组内的数值赋给基矩阵左半部分内数值1所在的位置,生成循环移位因子;1. The first shift factor generation unit is used to generate an array in a random construction mode, and assign the value in the array to the position of the
所述的第一移位因子生成单元具体包括:The first shift factor generation unit specifically includes:
数组生成单元,用于采用随机的构造方式,随机生成一个长度为扩展因子的数组,其元素是随机排列,小于或等于所述扩展因子,且各不相等的数值;The array generating unit is used to randomly generate an array whose length is an expansion factor in a random construction mode, and its elements are randomly arranged, less than or equal to the expansion factor, and each unequal value;
2、第二移位因子生成单元,用于将基矩阵中双斜线结构部分内数值1赋值为0,生成循环移位因子;2. The second shift factor generation unit is used to assign the
3、赋值单元,用于将基矩阵中为0的位置赋值为-1;3. An assignment unit, used to assign the position of 0 in the base matrix to -1;
4、标注单元,用于在出现相等的循环移位因子后,随机标注其中的一个,以便后续单位做作出相应处理;4. The labeling unit is used to randomly label one of them after the occurrence of equal cyclic shift factors, so that subsequent units can make corresponding processing;
(3)校验矩阵构造单元,用于将模型矩阵用以扩展因子为单位的循环单位矩阵扩展为校验矩阵,(3) check matrix construction unit, used to expand the model matrix into a check matrix with a cyclic unit matrix taking the expansion factor as a unit,
所述的校验矩阵构造单元具体包括:Described parity check matrix construction unit specifically comprises:
1、模型矩阵扩展单元,用于以扩展因子为单位的单位矩阵将所述的模型矩阵扩展,生成低密度奇偶校验码的校验矩阵;1. A model matrix expansion unit, which is used to expand the model matrix with the unit matrix of the expansion factor to generate a check matrix of the low-density parity-check code;
2、旋转单元,用于将所述标注单元标注的循环移位因子在扩展后逆时针旋转90度。2. A rotation unit, configured to rotate the cyclic shift factor marked by the marking unit by 90 degrees counterclockwise after expansion.
由上述本发明的一个实施例提供的技术方案可以看出,本发明提供的低密度奇偶校验码校验矩阵构造方法,实现简单,灵活性大,因为是采用了半随机构造方式和结构化构造方式并用的构造方式,且基矩阵中列重安排特殊,具备了不规则码的特性,又不失规律性,所以,既保证了低密度奇偶校验码性能的优异,又便于编码硬件的实现。并且,在构造过程中,避免了基矩阵中短环的出现,以及模型矩阵中出现相等的循环移位因子,这样扩展后得到的校验矩阵没有短环,提高了解码效果。本发明中还给出了精选的一组模型矩阵,可灵活的扩展成多码长,多码率的低密度奇偶校验码校验矩阵,适用范围更广,且性能优异。It can be seen from the technical solution provided by an embodiment of the present invention that the construction method of the low-density parity-check code check matrix provided by the present invention is simple to implement and has great flexibility, because it adopts a semi-random construction method and structured The combination of construction methods, and the special arrangement of columns in the base matrix, has the characteristics of irregular codes without losing regularity, so it not only ensures the excellent performance of low-density parity-check codes, but also facilitates the coding hardware. accomplish. Moreover, during the construction process, the occurrence of short loops in the base matrix and the appearance of equal cyclic shift factors in the model matrix are avoided, so that the check matrix obtained after expansion has no short loops, and the decoding effect is improved. The present invention also provides a selected group of model matrices, which can be flexibly expanded into multi-code-length, multi-code-rate low-density parity-check code check matrices, with wider application range and excellent performance.
以上所述,仅为本发明较佳的具体实施方式,但本发明的保护范围并不局限于此,任何熟悉本技术领域的技术人员在本发明揭露的技术范围内,可轻易想到的变化或替换,都应涵盖在本发明的保护范围之内。因此,本发明的保护范围应该以权利要求的保护范围为准。The above is only a preferred embodiment of the present invention, but the scope of protection of the present invention is not limited thereto. Any person skilled in the art within the technical scope disclosed in the present invention can easily think of changes or Replacement should be covered within the protection scope of the present invention. Therefore, the protection scope of the present invention should be determined by the protection scope of the claims.
| Application Number | Priority Date | Filing Date | Title |
|---|---|---|---|
| CN2006101401813ACN101162907B (en) | 2006-10-10 | 2006-10-10 | Method and device for constructing low-density parity code check matrix |
| Application Number | Priority Date | Filing Date | Title |
|---|---|---|---|
| CN2006101401813ACN101162907B (en) | 2006-10-10 | 2006-10-10 | Method and device for constructing low-density parity code check matrix |
| Publication Number | Publication Date |
|---|---|
| CN101162907A CN101162907A (en) | 2008-04-16 |
| CN101162907Btrue CN101162907B (en) | 2010-11-03 |
| Application Number | Title | Priority Date | Filing Date |
|---|---|---|---|
| CN2006101401813AExpired - Fee RelatedCN101162907B (en) | 2006-10-10 | 2006-10-10 | Method and device for constructing low-density parity code check matrix |
| Country | Link |
|---|---|
| CN (1) | CN101162907B (en) |
| Publication number | Priority date | Publication date | Assignee | Title |
|---|---|---|---|---|
| CN102651652B (en)* | 2008-05-04 | 2015-07-29 | 华为技术有限公司 | The method of generating code-rate-compatible LDPC codes and HARQ scheme and device |
| CN101488761B (en)* | 2009-02-27 | 2011-01-19 | 北京交通大学 | A method for constructing LDPC codes without short loops and low-code repetition codes |
| EP2525495A1 (en) | 2011-05-18 | 2012-11-21 | Panasonic Corporation | Bit-interleaved coding and modulation (BICM) with quasi-cyclic LDPC codes |
| EP2525498A1 (en)* | 2011-05-18 | 2012-11-21 | Panasonic Corporation | Bit-interleaved coding and modulation (BICM) with quasi-cyclic LDPC codes |
| CN102790622B (en)* | 2011-05-19 | 2017-03-15 | 中兴通讯股份有限公司 | The building method and device of low-density parity check code check matrix |
| CN103053116B (en)* | 2011-06-28 | 2016-10-05 | 华为技术有限公司 | The coded method of low density parity check code and device |
| CN104202057B (en)* | 2014-02-12 | 2019-08-16 | 中兴通讯股份有限公司 | Information processing method and device |
| CN106603082A (en)* | 2016-12-12 | 2017-04-26 | 中国人民解放军国防科学技术大学 | Universal high-speed LDPC code encoding method and encoder |
| CN109120276B (en) | 2017-05-05 | 2019-08-13 | 华为技术有限公司 | The method of information processing, communication device |
| CN119602808A (en) | 2017-06-15 | 2025-03-11 | 华为技术有限公司 | Information processing method, device and communication equipment |
| CN109150193B (en) | 2017-06-27 | 2020-11-27 | 华为技术有限公司 | Information processing method, apparatus and communication device |
| CN109150197B (en) | 2017-06-27 | 2024-05-14 | 华为技术有限公司 | Information processing method, device and communication equipment |
| CN108449090B (en)* | 2018-01-25 | 2020-06-16 | 西安电子科技大学 | A Configurable Multi-Code Length and Multi-Rate LDPC Decoder |
| CN109298968B (en)* | 2018-10-31 | 2024-12-27 | 卓荣集成电路科技有限公司 | QC-LDPC decoder, cyclic shift matrix partitioning method and storage device |
| CN113111303B (en)* | 2021-03-30 | 2022-04-05 | 网易有道信息技术(北京)有限公司 | Data reading method, device, medium and computing equipment |
| CN114448446A (en)* | 2022-02-10 | 2022-05-06 | 广东行远机器人技术有限公司 | Underwater optical communication LDPC encoding processing method, device and computer-readable storage medium |
| CN117040543B (en)* | 2023-10-09 | 2024-02-20 | 苏州元脑智能科技有限公司 | Error correction coding check matrix generation method, device and storage medium |
| Publication number | Priority date | Publication date | Assignee | Title |
|---|---|---|---|---|
| CN1558556A (en)* | 2004-02-09 | 2004-12-29 | 清华大学 | System code design method and communication system of irregular low-density parity-check code |
| CN1564465A (en)* | 2004-04-13 | 2005-01-12 | 彭立 | Regular (3.d) low density parity code coding method |
| CN1666420A (en)* | 2002-07-02 | 2005-09-07 | 三菱电机株式会社 | Inspection matrix generation method and inspection matrix generation device |
| CN1701516A (en)* | 2003-02-28 | 2005-11-23 | 三菱电机株式会社 | Check matrix generating method and check matrix generating device |
| WO2005114418A2 (en)* | 2004-05-14 | 2005-12-01 | Motorola, Inc. | Code construction for irregular shortened ldpc codes with good performance |
| WO2006001666A2 (en)* | 2004-06-24 | 2006-01-05 | Lg Electronics Inc. | A method and apparatus of encoding and decoding data using low density parity check code in a wireless communication system |
| WO2006031092A2 (en)* | 2004-09-17 | 2006-03-23 | Lg Electronics Inc. | Method of encoding and decoding using ldpc code |
| WO2006068348A1 (en)* | 2004-12-21 | 2006-06-29 | Electronics And Telecommunications Research Institute | Low density parity check encoder using costas array, and channel encoder of high speed portable internet system comprising the same and channel encoding method |
| Publication number | Priority date | Publication date | Assignee | Title |
|---|---|---|---|---|
| CN1666420A (en)* | 2002-07-02 | 2005-09-07 | 三菱电机株式会社 | Inspection matrix generation method and inspection matrix generation device |
| CN1701516A (en)* | 2003-02-28 | 2005-11-23 | 三菱电机株式会社 | Check matrix generating method and check matrix generating device |
| CN1558556A (en)* | 2004-02-09 | 2004-12-29 | 清华大学 | System code design method and communication system of irregular low-density parity-check code |
| CN1564465A (en)* | 2004-04-13 | 2005-01-12 | 彭立 | Regular (3.d) low density parity code coding method |
| WO2005114418A2 (en)* | 2004-05-14 | 2005-12-01 | Motorola, Inc. | Code construction for irregular shortened ldpc codes with good performance |
| WO2006001666A2 (en)* | 2004-06-24 | 2006-01-05 | Lg Electronics Inc. | A method and apparatus of encoding and decoding data using low density parity check code in a wireless communication system |
| WO2006031092A2 (en)* | 2004-09-17 | 2006-03-23 | Lg Electronics Inc. | Method of encoding and decoding using ldpc code |
| WO2006068348A1 (en)* | 2004-12-21 | 2006-06-29 | Electronics And Telecommunications Research Institute | Low density parity check encoder using costas array, and channel encoder of high speed portable internet system comprising the same and channel encoding method |
| Title |
|---|
| WO 2006001666 A2,全文. |
| 彭立等.LDPC码稀疏奇偶校验矩阵与硬判决解码算法建模.电讯技术 2.2004,(2),43-46. |
| 彭立等.LDPC码稀疏奇偶校验矩阵与硬判决解码算法建模.电讯技术 2.2004,(2),43-46.* |
| Publication number | Publication date |
|---|---|
| CN101162907A (en) | 2008-04-16 |
| Publication | Publication Date | Title |
|---|---|---|
| CN101162907B (en) | Method and device for constructing low-density parity code check matrix | |
| Ryan et al. | Channel codes: classical and modern | |
| CN101924565B (en) | LDPC encoders, decoders, systems and methods | |
| CN1993892B (en) | Apparatus and method for encoding and decoding a block low density parity check code | |
| CN103731160B (en) | Packet space coupling low density parity check coding method | |
| KR20190008335A (en) | Method and apparatus for encoding and decoding structured LDPC | |
| Lan et al. | New constructions of quasi-cyclic LDPC codes based on special classes of BIBD's for the AWGN and binary erasure channels | |
| CN101663823A (en) | Method and apparatus for designing low density parity check code with multiple code rates, and information storage medium thereof | |
| CN105162552B (en) | A kind of Ka frequency range deep space communication method and system of q-LDPC-LT cascades fountain codes scheme | |
| CN101373976A (en) | Method and device for generating LDPC check matrix | |
| Pfister et al. | Symmetric product codes | |
| Prabhakar et al. | Pseudorandom construction of low-density parity-check codes using linear congruential sequences | |
| JPWO2004006444A1 (en) | Parity check matrix generation method and parity check matrix generation apparatus | |
| CN108134610A (en) | The building method of special construction protograph QC-LDPC codes based on pascal's triangle | |
| CN113949390B (en) | A method for constructing irregular LDPC codes based on Fibonacci and GCD | |
| CN111211789A (en) | A method for constructing fast coded QC-LDPC codes with a girth of 8 | |
| Song et al. | Construction of multiple-burst-correction codes in transform domain and its relation to LDPC codes | |
| CN103731157B (en) | The combined structure method of Quasi-cyclic Low-density Parity-check Codes | |
| CN106685432A (en) | A Construction Method of Large Girth Type-II QC-LDPC Codes Based on Complete Cyclic Difference | |
| CN1961517B (en) | Encoding and decoding method and device, device for storing encoded data | |
| Johnson | Burst erasure correcting LDPC codes | |
| CN105871385B (en) | An LDPC Convolutional Code Construction Method | |
| CN106953644A (en) | A Construction Method of Multivariate QC‑LDPC Code Based on Hamming Code | |
| CN101150378A (en) | Interleaving Scheme of LDPC 32APSK System | |
| CN101150551A (en) | Interleaving Scheme for QPSK/8PSK System with Low Density Parity Check Code |
| Date | Code | Title | Description |
|---|---|---|---|
| C06 | Publication | ||
| PB01 | Publication | ||
| C10 | Entry into substantive examination | ||
| SE01 | Entry into force of request for substantive examination | ||
| C14 | Grant of patent or utility model | ||
| GR01 | Patent grant | ||
| CF01 | Termination of patent right due to non-payment of annual fee | Granted publication date:20101103 Termination date:20181010 | |
| CF01 | Termination of patent right due to non-payment of annual fee |