Movatterモバイル変換


[0]ホーム

URL:


CN101162420B - Rotary type continuously speed changing browsing and search method based on touch screen - Google Patents

Rotary type continuously speed changing browsing and search method based on touch screen
Download PDF

Info

Publication number
CN101162420B
CN101162420BCN200710150554XACN200710150554ACN101162420BCN 101162420 BCN101162420 BCN 101162420BCN 200710150554X ACN200710150554X ACN 200710150554XACN 200710150554 ACN200710150554 ACN 200710150554ACN 101162420 BCN101162420 BCN 101162420B
Authority
CN
China
Prior art keywords
screen
touch
display
data element
rotary type
Prior art date
Legal status (The legal status is an assumption and is not a legal conclusion. Google has not performed a legal analysis and makes no representation as to the accuracy of the status listed.)
Expired - Fee Related
Application number
CN200710150554XA
Other languages
Chinese (zh)
Other versions
CN101162420A (en
Inventor
李庆诚
Current Assignee (The listed assignees may be inaccurate. Google has not performed a legal analysis and makes no representation or warranty as to the accuracy of the list.)
TIANJIN JINKE ELECTRONICS SYSTEM ENGINEERING Co Ltd
Original Assignee
TIANJIN JINKE ELECTRONICS SYSTEM ENGINEERING Co Ltd
Priority date (The priority date is an assumption and is not a legal conclusion. Google has not performed a legal analysis and makes no representation as to the accuracy of the date listed.)
Filing date
Publication date
Application filed by TIANJIN JINKE ELECTRONICS SYSTEM ENGINEERING Co LtdfiledCriticalTIANJIN JINKE ELECTRONICS SYSTEM ENGINEERING Co Ltd
Priority to CN200710150554XApriorityCriticalpatent/CN101162420B/en
Publication of CN101162420ApublicationCriticalpatent/CN101162420A/en
Application grantedgrantedCritical
Publication of CN101162420BpublicationCriticalpatent/CN101162420B/en
Expired - Fee Relatedlegal-statusCriticalCurrent
Anticipated expirationlegal-statusCritical

Links

Images

Landscapes

Abstract

The invention discloses a touch screen-based rotary type continuous speed changing browsing and searching method, belonging to the information technical field; with the method, a user can make continuous operations in the limited ranged of the touch screen, achieving the control on an object in an approximate limitless range. When the user continuously draws circles on the touch screen in the rotary mode, the sliding speed and the sliding direction can be respectively calculated and judged by collecting sampling points on a reading device touch screen of the touch screen; based on the sliding speed and the sliding direction, the object elements can be continuously scrolled at different browsing speeds and in the positive and the negative directions; thereby the invention has the advantages of simple and flexible operation, fast browsing speed and space save, and is not restricted by the clockwise or the counter clockwise circle-drawing directions; moreover, the invention realizes the function that the object contents can be continuously scrolled in the positive direction and the negative direction in a relatively small touch screen without need of raising a pen by the user, thereby enhancing the applicability of hand-held reading devices; the invention can be widely applied to all touch screen reading device for searching different contents.

Description

Rotary type continuously speed changing browsing and search method based on touch-screen
Technical field
The invention belongs to areas of information technology, especially a kind of rotary type continuously speed changing browsing and search method based on touch-screen.
Background technology
Fast development along with Internet technology, make digital content be able in a large number, propagate fast, the thing followed is that people are increasing to the demand of electronic reading mode, simultaneously because the widespread use of touch-screen, therefore, various touch-screen reading devices have appearred on the market, as: e-book, electronic dictionary, personal digital assistant, learning machine series products and giant-screen mobile phone etc.The display screen of above-mentioned touch-screen reading device is generally less, in use often need carry out page turn over operation to carry out necessary retrieval and reading.An important indicator as the touch-screen reading device, need retrieve the digital content of being stored in the touch-screen reading device quickly and accurately, so that on display screen, show needed content fast, as when the handbook contents such as retrieve electronic dictionary and reference book, should be able to retrieve the entry that to search or clauses and subclauses etc. apace; In the file directory management, also should from file directory, retrieve the file that to read apace.The subject matter that existing touch-screen reading device exists is: when carrying out above-mentioned retrieval and browsing, can only carry out touch operation according to the top brace that provides on the display screen, bottom brace, icon or certain track, and content corresponding shown on display screen in the mode of rolling, still need the repeatedly repetitive operation of pushing, lifting during each operation, until retrieving needed content, if content is more, it is operated same more complicated and loses time; In addition, top brace or bottom brace are not set on some touch-screens, it is more complicated then to operate, can't realize screen content on draw or pulldown function.Therefore, prior art also fundamentally do not solve the touch-screen reading device to reading content retrieve fast, function such as demonstration, all exist operation inconvenience, retrieval rate to wait problem slowly.
Summary of the invention
The objective of the invention is to overcome the deficiencies in the prior art, provide a kind of easy to use, retrieval rate fast, can realize rotary type continuously speed changing browsing and search method that forward and reverse continuous rolling shows based on touch-screen.
The present invention solves its technical matters and takes following technical scheme to realize:
A kind of rotary type continuously speed changing browsing and search method based on touch-screen, it is characterized in that: this method comprises the steps:
(1). on the touch-screen of touch-screen reading device, set basis coordinates system;
(2). on the display screen of touch-screen reading device, show the order sequenced data element;
(3). the touch slide on the senses touch screen, collect sampled point to calculate sliding speed, described sliding speed is an angular velocity;
(4). the touch slide on the senses touch screen, collect sampled point to judge glide direction, during judgement, change to decide according to the ordinate of initial several points and show glide direction, after motion process in, need to judge its movement locus direction, to confirm that whether glide direction takes place changes, promptly whether the movement locus direction changes; Described glide direction is forward or from the bottom to top reverse from top to bottom, and its movement locus direction can be approximate clockwise circular motion direction or approximate inverse hour hands circular motion direction;
(5). according to sliding speed and glide direction, adjust the display speed and the display direction of ordered data element, on display screen, show the order sequenced data element simultaneously;
(6). circulation execution in step (3) to (5) is up to retrieving needed ordered data element.
And described basis coordinates system is that the lower left corner with touch-screen is initial point and with the first quartile of whole touch screen as basis coordinates system.
And described display screen and touch-screen are integrated device or are the branch body device.
And, during touch slide on senses touch screen, the first motion direction that once touches in the slide is a glide direction, the movement locus direction is slided according to approximate clockwise circumferencial direction, or slide according to approximate inverse hour hands circumferencial direction, or alternately slide according to approximate clockwise circumferencial direction and approximate inverse hour hands circumferencial direction, change as the movement locus direction and judge that then glide direction changes.
And, the ordered data element when glide direction is forward on display screen for the positive sequence roll display, the ordered data element is the inverted sequence roll display when being reverse in glide direction on display screen.
And, described positive sequence roll display is ordered data element roll display or direction roll display from the top down from left to right on display screen, and described inverted sequence roll display is ordered data element roll display or roll display from bottom to top from right to left on display screen.
And the effective value of described sliding speed is between minimum sliding speed that sets in advance and maximum slip velocity.
And described ordered data element is the wherein a kind of of file directory, file content, dictionary entry, figure and image.
Advantage of the present invention and good effect are:
1. based on the rotary type continuously speed changing browsing and the search method of touch-screen, carry out the calculating of sliding speed and the judgement of glide direction by the sampled point on the continuous acquisition touch-screen, calculate the display speed of ordered data element on display screen according to sliding speed, define order sequenced data element roll display direction on display screen according to glide direction, promptly in the continued operation process, can adjust speed and the direction of browsing at any time.In once touching the slide process, show the order sequenced data element or show the order sequenced data element with inverted sequence mode continuous rolling with positive sequential mode continuous rolling by approximate clockwise circumferencial direction slip by the slip of approximate inverse hour hands circumferencial direction, can also show the order sequenced data element by approximate clockwise circumferencial direction and approximate inverse hour hands circumferencial direction forward and reverse continuous rolling that alternately slides, so only can retrieve needed content easy, rapidly and accurately by the slide of once pushing, lifting.The user is when the continuous approximation circumference is drawn a circle on touch-screen, and the ordered data element can show with different surfings and both forward and reverse directions continuous rolling on display screen, realizes the function of rotary type continuously speed changing browsing and retrieval.
2. based on the rotary type continuously speed changing browsing and the search method of touch-screen, can be applied on the various touch-screen reading devices such as e-book, electronic dictionary, personal digital assistant, learning machine series products and giant-screen mobile phone, while is for the various ordered data elements of touch-screen reading device stored, can both retrieve fast and show that as file directory, file content, dictionary entry, figure and image etc. this method has highly versatile, widely used characteristics.
3. based on the rotary type continuously speed changing browsing and the search method of touch-screen, can on being the touch-screen reading device of integrated device, touch-screen and display screen realize, also can realize on the touch-screen reading device for the branch body device at touch-screen and display screen, therefore it is applicable on the touch-screen reading device of different display device to have broad-spectrum characteristics.
4. the present invention has realized the function of rotary type continuously speed changing browsing and retrieval on touch-screen, can on the touch-screen reading device, retrieve needed content apace, have convenient and flexible operation, surfing soon, be not subjected to draw a circle clockwise or the counterclockwise characteristics of direction constrain, strengthened the ease for use of touch-screen reading device, can be widely used on the different retrieval of content on the various touch-screen reading devices.
Description of drawings
Fig. 1 is a system handles process flow diagram of the present invention;
Fig. 2 is the judgement synoptic diagram that movement locus direction of the present invention is counterclockwise circumferencial direction;
Fig. 3 is the judgement synoptic diagram that movement locus direction of the present invention is clockwise circumferencial direction;
Fig. 4 is the synoptic diagram of retrieving files catalogue on a kind of touch-screen reading device;
Fig. 5 is the synoptic diagram of retrieving files content on a kind of touch-screen reading device;
Fig. 6 is the synoptic diagram of retrieval dictionary entry on a kind of touch-screen reading device;
Fig. 7 is the synoptic diagram of retrieving graphics on another kind of touch-screen reading device;
Fig. 8 divides the synoptic diagram of retrieving on the body device at a kind of display screen and touch-screen.
Embodiment
Below in conjunction with accompanying drawing the embodiment of the invention is further described.
Based on the rotary type continuously speed changing browsing of touch-screen and the ultimate principle of search method be: carry out the calculating of sliding speed and the judgement of glide direction by the sampled point on the touch-screen of collection touch reading device, calculate the display speed of ordered data element on display screen according to sliding speed, define order sequenced data element roll display direction on display screen according to glide direction, promptly in the continued operation process, can adjust speed and the direction of browsing at any time.In once touching the slide process, according to first motion direction decision initial sliding direction, whether change to judge whether glide direction changes according to movement locus afterwards, determine rolling speed according to movement velocity, surfing is changed accordingly.Can when glide direction be forward, show the order sequenced data element or show the order sequenced data element with inverted sequence mode continuous rolling, can also be in touching sliding process show the order sequenced data element according to the variation correspondence of movement locus forward and reverse continuous rolling that alternately slides by reverse slip with positive sequential mode continuous rolling.So only can retrieve needed content easy, rapidly and accurately by the slide of once pushing, lifting.
The present invention is retrieval and the demonstration of carrying out the ordered data element on the touch-screen reading device, the data of retrieving is to be stored in the ordered data element that a kind of process in the touch-screen reading device was anticipated, and the structure of this ordered data element comprises the index structure in the single file and the directory index structure of a plurality of files.As: file directory, file content, dictionary entry and icon etc.
System service program of the present invention is contained in this touch-screen reading device in advance, now in conjunction with system handles process flow diagram shown in Figure 1 performing step of the present invention is described:
(1). set basis coordinates system on the touch-screen of touch-screen reading device: basis coordinates system sets up according to the sampling precision of the touch-screen of touch-screen reading device, this basis coordinates system with the summit in the lower left corner as initial point and with the first quartile of whole touch screen as basis coordinates system, any one sampled point can use as (x, coordinate y) comes unique identification.
(2). show the order sequenced data element on the display screen of touch-screen reading device: show the order sequenced data element on display screen, these ordered data elements can be file directory, file content, dictionary entry and icon etc.When showing, the greastest element prime number m that display screen once can show, during therefore first the demonstration, preceding m element of ordered data element is displayed on the screen.
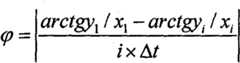
(3). the touch slide on the senses touch screen, collect sampled point in order to calculate sliding speed, sliding speed can adopt a kind of of following two kinds of speed: angular velocity and velocity of displacement, present embodiment adopt angle speed as sliding speed.The touch-screen reading device comes into effect after collecting i sampled point according to sampling precision, calculates angular velocity according to two initial sampled points
Figure GSB00000236158700041
, the effective value of the sliding speed that calculates is between minimum sliding speed that sets in advance and maximum slip velocity, if sliding speed exceeds default scope, then the touch-screen reading device is ignored current sliding speed and record and is restarted sampling.The computing formula of angular velocity is as follows:
Figure GSB00000236158700042
In formula: x1, y1Be the coordinate position of initial sampled point, xi, yiBe the coordinate position of i sampled point, Δ t is to i used time of sampled point from the 1st sampled point.
(4). the touch slide on the senses touch screen, collect sampled point to judge glide direction, change to decide according to the ordinate of initial several points and show glide direction, determine that it is forward, determine that it is reverse if the y value reduces successively if the y value reduces successively.After motion process in, need to judge its movement locus direction.To confirm that whether glide direction takes place changes, i.e. whether athletic meeting and direction change.The determination methods of movement locus direction is as follows:
As three sampled points are arranged on Fig. 2 or the circumference shown in Figure 3: initial sampled point (x1, y1), an i sampled point (xi, yi) and j sampled point (xj, yj), j sampled point is behind i sampled point.From (x1, y1) to (xj, yj) draw a line A, the direction of line A is from (x1, y1) to (xi, yi) direction, from (xi, yi) draw a vertical join line B to line A, the direction of line B is from (xi, yi) to the intersection point direction of itself and line A.Line B is rotated in a clockwise direction 90 degree, and line B direction overlaps with line A direction represents that then the movement locus direction is approximate inverse hour hands circumferencial directions, as shown in Figure 2; Otherwise expression movement locus direction is approximate clockwise circumferencial direction, as shown in Figure 3.
(5). according to sliding speed and glide direction, adjust the display speed and the DISPLAY ORDER of ordered data element, on display screen, show the order sequenced data element simultaneously.Because the difference of sliding speed and glide direction need be adjusted display speed and the ordered data element display direction of ordered data element on display screen at any time.The display speed of ordered data element on display screen calculates by following formula:
Figure GSB00000236158700051
Wherein, V represents the display speed of ordered data element on display screen, VMaxBe the default maximum display speed of touch-screen reading device,Be the angular velocity that calculates,
Figure GSB00000236158700053
Be the default maximum angular rate of touch-screen reading device.
Carry out the roll display of ordered data element on display screen according to glide direction: when being forward as glide direction, the ordered data element on display screen with the positive sequence roll display, i.e. ordered data element roll display from the top down on display screen; When glide direction is reverse, the ordered data element on display screen with the inverted sequence roll display, i.e. ordered data element roll display from bottom to top on display screen.Owing to can slide according to approximate clockwise circumferencial direction in the movement locus direction that once touches in the slide, also can slide according to approximate inverse hour hands circumferencial direction, even can alternately slide according to approximate clockwise circumferencial direction and approximate inverse hour hands circumferencial direction, and the change of glide direction is represented in the change of movement locus direction.Therefore, the ordered data element can reach the alternatively up and down roll display continuously from the top down, continuously from bottom to top at display screen, and adjusts the speed that the ordered data element shows according to display speed on display screen.
(6). circulation execution in step (3) to (5) is up to retrieving needed ordered data element.
By said method, can retrieve needed content easy, rapidly and accurately.
In the present embodiment, sliding speed has adopted the calculating of angular velocity, utilizes velocity of displacement can realize said method equally as sliding speed.
In present embodiment step (5), the ordered data element on display screen with upper and lower to roll display, also can be as required, make the ordered data element on display screen with the left and right directions roll display: when glide direction is forward, the ordered data element on display screen with the positive sequence roll display, i.e. ordered data element roll display from left to right on display screen; When glide direction was reverse, the ordered data element is the inverted sequence roll display on display screen, i.e. ordered data element roll display from right to left on display screen.
In the present invention, the ordered data element can be the ordered data elements such as file directory, file content, dictionary entry and icon that are stored in as in the various touch-screen reading devices such as e-book, electronic dictionary, personal digital assistant, learning machine series products and giant-screen mobile phone.Disposal route and above-mentioned steps for different ordered data elements are identical.Fig. 4-the 7th, the synoptic diagram of the different ordered data elements of demonstration on different touch-screen reading devices: Fig. 4 is the synoptic diagram of retrieving files catalogue on electronic reading device; Fig. 5 is the synoptic diagram of retrieving files content on electronic reading device; Fig. 6 is the synoptic diagram of retrieval dictionary entry on electronic reading device; Fig. 7 is the synoptic diagram of retrieval icon on a kind of giant-screen mobile phone.
In the present invention, display screen and touch-screen can be integrated device, also can be the split device, what the touch-screen reading device in Fig. 4-7 adopted is that display screen and touch-screen are integrated device, and Fig. 8 divides the synoptic diagram of retrieving on the body device at a kind of display screen and touch-screen, and what this touch-screen reading device adopted is that display screen and touch-screen are to divide body device, in Fig. 8, the bigger screen in top is a display screen, and the less screen in bottom is a touch-screen.
It is emphasized that; embodiment of the present invention is illustrative; rather than it is determinate; therefore the present invention is not limited to the embodiment described in the embodiment; every other embodiments that drawn by those skilled in the art's technical scheme according to the present invention belong to the scope of protection of the invention equally.

Claims (8)

1. rotary type continuously speed changing browsing and search method based on a touch-screen, it is characterized in that: this method comprises the steps:
(1). on the touch-screen of touch-screen reading device, set basis coordinates system;
(2). on the display screen of touch-screen reading device, show the order sequenced data element;
(3). the touch slide on the senses touch screen, collect sampled point to calculate sliding speed, described sliding speed is an angular velocity;
(4). the touch slide on the senses touch screen, collect sampled point to judge glide direction, during judgement, change to decide according to the ordinate of initial several points and show glide direction, after motion process in, need to judge its movement locus direction, to confirm that whether glide direction takes place changes, promptly whether the movement locus direction changes; Described glide direction is forward or from the bottom to top reverse from top to bottom, and its movement locus direction can be approximate clockwise circular motion direction or approximate inverse hour hands circular motion direction;
(5). according to sliding speed and glide direction, adjust the display speed and the display direction of ordered data element, on display screen, show the order sequenced data element simultaneously;
(6). circulation execution in step (3) to (5) is up to retrieving needed ordered data element.
2. rotary type continuously speed changing browsing and search method based on touch-screen according to claim 1 is characterized in that: described basis coordinates system is that the lower left corner with touch-screen is initial point and with the first quartile of whole touch screen as basis coordinates system.
3. rotary type continuously speed changing browsing and search method based on touch-screen according to claim 1 is characterized in that: described display screen and touch-screen are integrated device or are the branch body device.
4. rotary type continuously speed changing browsing and search method based on touch-screen according to claim 1, it is characterized in that: during touch slide on senses touch screen, the first motion direction that once touches in the slide is a glide direction, the movement locus direction is slided according to approximate clockwise circumferencial direction, or slide according to approximate inverse hour hands circumferencial direction, or alternately slide according to approximate clockwise circumferencial direction and approximate inverse hour hands circumferencial direction, change as the movement locus direction and judge that then glide direction changes.
5. according to claim 1 or 4 described rotary type continuously speed changing browsing and search methods based on touch-screen, it is characterized in that: the ordered data element when glide direction is forward on display screen for the positive sequence roll display, the ordered data element is the inverted sequence roll display when being reverse in glide direction on display screen.
6. rotary type continuously speed changing browsing and search method based on touch-screen according to claim 5, it is characterized in that: described positive sequence roll display is ordered data element roll display or direction roll display from the top down from left to right on display screen, and described inverted sequence roll display is ordered data element roll display or roll display from bottom to top from right to left on display screen.
7. rotary type continuously speed changing browsing and search method based on touch-screen according to claim 1 is characterized in that: the effective value of described sliding speed is between minimum sliding speed that sets in advance and maximum slip velocity.
8. rotary type continuously speed changing browsing and search method based on touch-screen according to claim 1 is characterized in that: described ordered data element is the wherein a kind of of file directory, file content, dictionary entry, figure and image.
CN200710150554XA2007-11-292007-11-29Rotary type continuously speed changing browsing and search method based on touch screenExpired - Fee RelatedCN101162420B (en)

Priority Applications (1)

Application NumberPriority DateFiling DateTitle
CN200710150554XACN101162420B (en)2007-11-292007-11-29Rotary type continuously speed changing browsing and search method based on touch screen

Applications Claiming Priority (1)

Application NumberPriority DateFiling DateTitle
CN200710150554XACN101162420B (en)2007-11-292007-11-29Rotary type continuously speed changing browsing and search method based on touch screen

Publications (2)

Publication NumberPublication Date
CN101162420A CN101162420A (en)2008-04-16
CN101162420Btrue CN101162420B (en)2010-12-15

Family

ID=39297350

Family Applications (1)

Application NumberTitlePriority DateFiling Date
CN200710150554XAExpired - Fee RelatedCN101162420B (en)2007-11-292007-11-29Rotary type continuously speed changing browsing and search method based on touch screen

Country Status (1)

CountryLink
CN (1)CN101162420B (en)

Families Citing this family (30)

* Cited by examiner, † Cited by third party
Publication numberPriority datePublication dateAssigneeTitle
US7821503B2 (en)*2003-04-092010-10-26Tegic Communications, Inc.Touch screen and graphical user interface
JP4632102B2 (en)*2008-07-172011-02-16ソニー株式会社 Information processing apparatus, information processing method, and information processing program
CN101634929B (en)*2008-07-232012-06-20鸿富锦精密工业(深圳)有限公司Method for utilizing controlled media conversion on digital photo frame
TWI469001B (en)2008-07-312015-01-11Htc CorpTouch control electronic device and operating method thereof
JP4692625B2 (en)*2008-12-262011-06-01ブラザー工業株式会社 Input device
KR101640463B1 (en)*2009-05-192016-07-18삼성전자 주식회사Operation Method And Apparatus For Portable Device
KR101646922B1 (en)2009-05-192016-08-23삼성전자 주식회사Operation Method of associated with a communication function And Portable Device supporting the same
JP5413111B2 (en)*2009-10-022014-02-12ソニー株式会社 Display control apparatus, display control method, and display control program
KR101635103B1 (en)*2009-10-262016-06-30삼성전자주식회사Apparatus and method for realizing dynamic image effect
CN103197891B (en)*2010-04-162015-11-25联想(北京)有限公司Object displaying method and object display apparatus
JP5533254B2 (en)*2010-05-242014-06-25アイシン・エィ・ダブリュ株式会社 Information display device, information display method, and program
CN102385471B (en)*2010-08-312016-01-20腾讯科技(深圳)有限公司A kind of method and apparatus controlling to start
CN102455860A (en)*2010-11-032012-05-16深圳市金蝶友商电子商务服务有限公司Terminal pie chart rotation interactive display method and terminal
KR101662726B1 (en)*2010-12-292016-10-14삼성전자주식회사Method and apparatus for scrolling for electronic device
JP5418508B2 (en)*2011-01-132014-02-19カシオ計算機株式会社 Electronic device, display control method and program
CN102236521B (en)*2011-04-132017-01-25北京南昊科技股份有限公司Display method for interactive system
CN102508573B (en)*2011-10-282015-04-22Tcl通讯科技(成都)有限公司Method and equipment for realizing rapid positioning through swiping
CN103257811A (en)*2012-02-202013-08-21腾讯科技(深圳)有限公司Picture display system and method based on touch screen
CN103365577A (en)*2012-03-282013-10-23联想(北京)有限公司Control method and electronic device with touch screen
KR20140078275A (en)*2012-12-172014-06-25삼성전자주식회사Method and apparatus for screen scroll of display apparatus
CN103500055B (en)*2013-09-262017-05-10广东欧珀移动通信有限公司Positioning method and system of display content of touch screen
CN103645852A (en)*2013-11-192014-03-19乐视网信息技术(北京)股份有限公司Single hand gesture controlling method and device
CN103677266B (en)*2013-12-092017-01-25联想(北京)有限公司Electronic equipment and display control method and system thereof
CN104731396B (en)*2013-12-192018-03-02鸿合科技有限公司A kind of magic pen and its display control method
CN106468985B (en)*2015-08-142020-11-27腾讯科技(深圳)有限公司Image-text content display method and terminal
CN105159494A (en)*2015-08-272015-12-16广东欧珀移动通信有限公司Information display method and device
CN108292188A (en)*2015-11-252018-07-17株式会社米思米集团总公司 Method for assisting reading of electronic books and program for assisting reading
CN107111435A (en)*2016-02-292017-08-29华为技术有限公司A kind of page sliding method, device and user terminal
CN106066751A (en)*2016-05-242016-11-02珠海市魅族科技有限公司The display packing of read interface and for controlling the terminal that read interface shows
CN112035041B (en)*2020-08-312022-05-31北京字节跳动网络技术有限公司Image processing method and device, electronic equipment and storage medium

Citations (3)

* Cited by examiner, † Cited by third party
Publication numberPriority datePublication dateAssigneeTitle
CN1841284A (en)*2005-03-282006-10-04上海桐港信息科技有限公司Touch screen type mobile apparatus micro-browser webpage displaying and drifting method
CN101052939A (en)*2004-07-302007-10-10苹果电脑有限公司 A schema-based graphical user interface for touch-sensitive input devices
EP1860536A2 (en)*2006-05-242007-11-28LG Electronics Inc.Touch screen device and method of selecting files thereon

Patent Citations (3)

* Cited by examiner, † Cited by third party
Publication numberPriority datePublication dateAssigneeTitle
CN101052939A (en)*2004-07-302007-10-10苹果电脑有限公司 A schema-based graphical user interface for touch-sensitive input devices
CN1841284A (en)*2005-03-282006-10-04上海桐港信息科技有限公司Touch screen type mobile apparatus micro-browser webpage displaying and drifting method
EP1860536A2 (en)*2006-05-242007-11-28LG Electronics Inc.Touch screen device and method of selecting files thereon

Also Published As

Publication numberPublication date
CN101162420A (en)2008-04-16

Similar Documents

PublicationPublication DateTitle
CN101162420B (en)Rotary type continuously speed changing browsing and search method based on touch screen
EP2483770B1 (en)Dynamic image presentation
EP2257867B1 (en)Appartatus, method and computer program product for manipulating a reference designator listing
US9239674B2 (en)Method and apparatus for providing different user interface effects for different implementation characteristics of a touch event
AU2013205613B2 (en)Terminal and method for controlling the same based on spatial interaction
US9588979B2 (en)UI techniques for navigating a file manager of an electronic computing device
CN102760026B (en)A kind of touch screen interface display packing, display device and a kind of touch panel device
CN102053782B (en)Zoom adjustment process
AU2012204477B2 (en)Natural input for spreadsheet actions
US8645858B2 (en)Navigating in graphical user interface on handheld devices
US20080134078A1 (en)Scrolling method and apparatus
KR101132598B1 (en)Method and device for controlling screen size of display device
US8830192B2 (en)Computing device for performing functions of multi-touch finger gesture and method of the same
US20090243998A1 (en)Apparatus, method and computer program product for providing an input gesture indicator
US20050097474A1 (en)Spiral scrollbar
US20140098053A1 (en)Electronic device, method for viewing desktop thereof, and computer-readable medium
CN103562835A (en)Web browser with quick site access user interface
JP2007525749A (en) Method and apparatus for generating a one-dimensional signal with a two-dimensional pointing device
US20150074614A1 (en)Directional control using a touch sensitive device
CN104798026A (en)Bookmarking for electronic books
US9256360B2 (en)Single touch process to achieve dual touch user interface
CN106502536A (en)A kind of page info choosing method and device
CN102163119A (en)Single-hand inputting method and device
CN115220616B (en) Navigational assistance for articulated devices via semantic abstraction
CN104798025A (en)Affinity-based page navigation

Legal Events

DateCodeTitleDescription
C06Publication
PB01Publication
C10Entry into substantive examination
SE01Entry into force of request for substantive examination
C14Grant of patent or utility model
GR01Patent grant
C17Cessation of patent right
CF01Termination of patent right due to non-payment of annual fee

Granted publication date:20101215

Termination date:20131129


[8]ページ先頭

©2009-2025 Movatter.jp