Movatterモバイル変換


[0]ホーム

URL:


CN101151513A - Methods and apparatus for noninvasive determinations of analytes - Google Patents

Methods and apparatus for noninvasive determinations of analytes
Download PDF

Info

Publication number
CN101151513A
CN101151513ACNA2006800104790ACN200680010479ACN101151513ACN 101151513 ACN101151513 ACN 101151513ACN A2006800104790 ACNA2006800104790 ACN A2006800104790ACN 200680010479 ACN200680010479 ACN 200680010479ACN 101151513 ACN101151513 ACN 101151513A
Authority
CN
China
Prior art keywords
tissue
light
polarization
optical
sampler
Prior art date
Legal status (The legal status is an assumption and is not a legal conclusion. Google has not performed a legal analysis and makes no representation as to the accuracy of the status listed.)
Pending
Application number
CNA2006800104790A
Other languages
Chinese (zh)
Inventor
里斯·M·罗宾森
拉塞尔·E·艾宾克
罗伯特·D·约翰逊
Current Assignee (The listed assignees may be inaccurate. Google has not performed a legal analysis and makes no representation or warranty as to the accuracy of the list.)
Rio Grande Medical Technologies Inc
Original Assignee
Rio Grande Medical Technologies Inc
Priority date (The priority date is an assumption and is not a legal conclusion. Google has not performed a legal analysis and makes no representation as to the accuracy of the date listed.)
Filing date
Publication date
Application filed by Rio Grande Medical Technologies IncfiledCriticalRio Grande Medical Technologies Inc
Publication of CN101151513ApublicationCriticalpatent/CN101151513A/en
Pendinglegal-statusCriticalCurrent

Links

Images

Classifications

Landscapes

Abstract

Embodiments of the present invention provide an apparatus with a flexible probe suitable for determining properties of in vivo tissue from spectral information collected from various tissue sites. An illumination system provides light at a plurality of broadband ranges, which are communicated to a flexible optical probe. Light homogenizers and mode scramblers can be employed to improve the performance in some embodiments. The optical probe in some embodiments physically contacts the tissue, and in some embodiments does not physically contact the tissue. The optical probe receives light from the illumination system and transmits it to tissue, and receives light diffusely reflected in response to the broadband light, emitted from the in vivo tissue by fluorescence thereof in response to the broadband light, or a combination thereof. The optical probe can communicate the light to a spectrograph which produces a signal representative of the spectral properties of the light. An analysis system determines a property of the in vivo tissue from the spectral properties.

Description

Method and apparatus for non-invasive detection of analytes
Technical Field
The present invention relates to measuring material properties by determining the response of a sample to incident radiation, and in particular to the measurement of analytes such as glucose or alcohol in human tissue.
Background
This application claims The benefit of The Measurement of Analytes Noninning velocity and Methods for differentiation and Correction, filed on 9.9.2.2005, entitled U.S. provisional application document No. 60/651,679, the filing of The Changing Pathlength Distributions in The Measurement of Analytes and Correction, which is incorporated herein by reference.
Noninvasive glucose monitoring is a long-term goal of many research and development groups. Several of these groups have attempted to use near infrared spectroscopy as a means of measurement. To date, none of these groups have demonstrated a system that produces noninvasive glucose measurements sufficient to satisfy the united states food and drug administration ("FDA") and physician groups. Spectral noise introduced by the tissue medium is the primary cause of these failures. Tissue noise may include any source of spectral variation that interferes or impedes the accuracy of analyte measurements. Variations in the optical properties of tissue may contribute to tissue noise. The measurement system itself may also introduce tissue noise, for example variations in the system may cause the properties of the tissue to appear different. Tissue noise is well recognized in published literature and variously described as physiological changes, scattering changes, changes in refractive index, changes in path length, changes in drainage, temperature changes, collagen changes, and changes in tissue layer properties. For example, reference is made to the Noninvasive glucose measurement technology of Khalil, omar (nonactive glucose measurement technologies): revisions from 1999 to early millennia, diabetes techniques and treatments (Diabetes technologies & Therapeutics), vol.6, no. 5, 2004. Changes in the optical properties of tissue may limit conventional spectroscopic applications to non-invasive measurements. Conventional absorption spectra rely on the Beer-Lambert-Bouger law between absorption, concentration, path length, and molar absorption coefficients. For a single wavelength, single component case:
Figure A20068001047900091
αλ =ελ lc
in which Iλ,o And Iλ Is the incident and emergent flow, ελ Is the molar absorption coefficient, c is the concentration of the species, and l is the path length through the medium. Alpha (alpha) ("alpha")λ Is at the wavelength lambda (-log)10 (Iλ /Iλ,o ) Absorption coefficient of (d). These equations assume that a photon traverses a medium of path length l or is absorbed by a molecular occupant.
Unfortunately, optical measurements of tissue are not consistent with the assumptions required by Beer's law. Variations in tissue among individuals, variations in tissue of the same individual at different locations or at different times, surface contamination, interaction of the measurement system with the tissue, and many other real-world effects may prevent accurate optical measurements. There is a need for improvements in optical measurement methods and apparatus that allow accurate measurements in real world environments.
Disclosure of Invention
The present invention provides methods and apparatus for accurate non-invasive determination of tissue properties. Some embodiments of the invention include an optical sampler having an illumination subsystem adapted to transmit (communicate) light having a first polarization to a tissue surface and a collection subsystem adapted to collect light having a second polarization transmitted from the tissue after interaction with the tissue; wherein the first polarization is different from the second polarization. The difference in polarization may hinder the collection of light specularly reflected from the tissue surface and may contribute to a preferential collection of light interacting with a desired penetration depth or path length distribution in the tissue. By way of example, the different polarizations may be linear polarizations with angles therebetween or elliptical polarizations with different handedness.
A smoothing agent (application) may be applied to the tissue surface to block polarization changes in the specularly reflected light, thereby enhancing suppression of the specularly reflected light by polarization differentiation (polarization). The spectral characteristics of the smoothing agent can be determined in the spectral information generated and the presence, thickness and proper application of the smoothing agent can be identified. The illumination system, the collection system, or both may utilize multiple polarization states, allowing multiple depth or path length distributions to be sampled, or allowing a particular depth or path length distribution to be selected for sampling. Suppression of specular reflection by polarization allows the probe to be spaced from the tissue, reducing problems with contact with the probe (e.g., tissue measurements may be prone to certain tendencies due to pressure or heat). Separation of the sampler from the tissue enables a larger area, e.g. 20mm2 Is sampled. The illumination system and the focusing system may be arranged so as to contact the tissue surfaceFor example, separated by a fixed or variable distance.
The illumination system and the collection system may be arranged to optimize sampling of the tissue, for example by varying the optical focal length or distance from the tissue surface in response to an interface quality detector, such as an auto-focus system or a spectral property feedback system. With tissue localization systems, such as imaging systems that image components of the vasculature (vascular system), portions of the tissue being sampled can be identified, allowing measurements to be taken at repeatable locations without mechanical constraint on the tissue.
Advantages and novel features will become apparent to those skilled in the art upon examination of the following or may be learned by practice of the invention. The advantages of the invention may be realized and attained by means of the instrumentalities and combinations particularly pointed out in the appended claims.
Drawings
FIG. 1 is a schematic illustration of a tissue and variations thereof.
Fig. 2 is a schematic illustration of the limitation of Beer's law in scattering media.
Fig. 3 is an illustration of light characteristics that may be used to be controlled by an optical sampler.
Fig. 4 is a schematic view of a tissue sampler according to the present invention.
Fig. 5 is a conceptual illustration of a plot of signal strength versus optical path length for light scattered back from a large scattering medium.
Fig. 6 is a schematic diagram of a case where there are two or more different path lengths.
Fig. 7 is a brief description of an exemplary embodiment.
Fig. 8 is a brief description of an exemplary embodiment.
Fig. 9 is a brief description of an exemplary embodiment.
FIG. 10 is a schematic view of the illumination area of a searchlight of an optical sampler.
Fig. 11 is a schematic diagram of a fiber base sampler.
FIG. 12 is a schematic of spectral information from two optical samplers.
Fig. 13 and 14 are schematic diagrams of the differences between two optical samplers.
Fig. 15 is a schematic diagram of the relationship between path length and polarization angle of a single solution of scattering particles.
Fig. 16 is a schematic diagram of the relationship between the path length of human tissue and the polarization angle.
Fig. 17 is a diagram explaining a relationship between the measured path and the average path.
Fig. 18 is a graph of the relationship between the measured path and the average path of the scattering solution.
Fig. 19 is a graph of the relationship between the measured path and the average path of human tissue.
Fig. 20 shows a graphical representation of improved optical performance by adaptive sampling.
Fig. 21 is a graph of spectral data obtained using an optical sampler when a smoothing agent is present.
Detailed Description
The path length hypothesis for Beer's law does not fully conform to the reality of measurements in human tissue. In a medium such as tissue, photons are scattered and do not propagate a single path but rather a distributed path. The distribution of the paths results in a distribution of path lengths (path lengths for photon propagation; a set of path lengths with a particular length distribution "path length distribution" or "PLD"). Briefly, the distribution has many light rays that travel a particular path length, as well as shorter or longer paths that travel through the sample by virtue of the random nature of scattering interactions. The characteristics of the path length distribution may be further characterized by statistical characteristics such as distribution mean and standard deviation. These properties are not necessarily fixed for the measurement system, since they can depend in a complex way on sample properties including the number of scattering particles, the size and shape of the scattering particles and the wavelength. Furthermore, the PLD of a particular volume of tissue is sensitive to the inherent characteristics of the tissue and the manner in which the tissue is sampled. Any change in PLD between or during non-invasive measurements will cause a change in the path such that the assumption of Beer's law is not satisfied. The end result is an error in the non-invasive measurement. The change in optical properties causes a change in the observed PLD. Variations in the PLD can lead to analyte measurement errors.
Simplified physical model. The simplified model may be useful in understanding the principles of operation of the present invention. The simplified physical model provides a useful structure for problems to be interpreted and parsed into simpler parts, as it is recognized that the organization is a very complex layered medium. Consider the case of spectral measurements in a set of layered sponges. Sponge is similar to tissue in that sponge has a solid structure surrounded by a liquid. This physical model is similar to tissue in that tissue has a solid matrix composed of cells and collagen surrounded by interstitial fluid. This physical model of the sponge and its relationship to the tissue will be systematically described with increasing complexity.
The sponge is considered to be a non-uniform structure. Depending on the size of the sampling area in relation to the variation in the sponge, different observations of the sponge at different locations may look quite different. Tissue is a heterogeneous medium and thus may vary from location to location.
Consider the simplified case where two sponges have the same composition but different densities. Density is defined herein as the ratio of solid sponge material to air (if dry) or water (if wet) per unit volume. These density differences cause a change in the light propagation characteristics due to a change in scattering. These differences then translate into differences in PLD between the sponges. The collagen to water relationship differs in tissue and contributes to the differences in observed PLD.
Water can move into or out of the sponge according to the squeezing action. The squeezing changes the density of the sponge in a temporary manner, thus changing the observed PLD. Tissue is a compressible medium, as one can demonstrate, for example, the creation of indentations in the tissue. Thus, compression of the tissue can change the ratio of water to collagen and change the observed PLD.
The skin consists of different skin layers, which resemble a stack of sponges. Each layer in the layered stack of sponges may have a different thickness and may have different properties (e.g., different densities). Differences in the thickness and other properties of the sponge layer can change the optical properties of the stack and can cause changes in the observed PLD. For example, human skin thickness may vary between men and women and due to aging. Thus, differences in skin thickness can cause variations in the optical properties of the medium and the observed PLD. A graphical representation of the above concept is shown in figure 1.
Returning to Beer's law:
αλ =ελ lc
wherein Iλ,o And Iλ Is the incident and emergent flow, ελ Is the molar absorption coefficient, c is the concentration of the species, and l is the path length through the medium. a is aλ Is the absorption at the wavelength lambda. The same recorded absorbance can be obtained if the product of path length and concentration is kept constant, see fig. 2. In other words, absorbance information cannot be distinguished between a path change and a concentration change. Returning to the sponge analogy, consider that an aqueous sponge containing water in the sponge reaches a fixed glucose concentration. If the sponge is squeezed, the glucose concentration of the liquid remains the same, however the amount of scattering or solid matter per unit volume increases. An increase in scattering may increase the optical path length and, thus, the optically measured glucose concentration may be higher despite the fact that the actual glucose concentration of the liquid remains unchanged. Even for this simple system, goOne step complicating the application of Beer's law is the fact that: the amount of liquid per unit volume decreases during extrusion, so that the relative share of liquid, glucose and solid matter changes, resulting in a change in the PLD. Due to the improved analyte measurement target, reduced amounts of path length variation or effective compensation for path length variation may result in improved analyte measurements.
Sources and causes of tissue noise. Organizing noise sources and their ultimate contribution to path length distributionThe following discussion of the effects may be helpful in understanding the operation and benefits of various aspects of the present invention.
Inter-person inherent differences. Human tissue is a complex structure composed of multiple layers of different composition and different thickness. The structural differences from person to person affect how light interacts with tissue. In particular, these tissue differences can cause changes in the scattering and light absorption properties of the tissue. These changes in turn cause changes in the PLD. In experiments with more than one hundred different people, it was found that PLD differs significantly from person to person.
Difference in tissue heterogeneity. Human tissue is a complex structure composed of multiple components and layers of different thicknesses. Furthermore, tissue may be highly heterogeneous due to site-to-site differences. For example, the palm skin of a human hand is quite different from the skin on the forearm or face of the same person. These structural differences between different sites may affect how light interacts with tissue. Experimental data show that PLD varies depending on the exact site sampled. Sampling the same tissue volume, or at least a substantial portion of the same tissue volume, each re-sampling of tissue may reduce PLD differentiation. For a given number of identical parts, a very small sampling area places very strict requirements on the repositioning error, while a larger sampler places less strict requirements. In human testing using a fiber sampler, we observed that only a few millimeters of repositioning error may produce significant spectral differences. These structural differences due to site-to-site differences cause changes in PLD and lead to prediction errors. Thus, there are significant advantages to a sampling system that samples a large area with a substantial amount of partial identity between adjacent samples.
Tissue samplers that use multiple path length sampling (sometimes referred to as optical probes) may also be susceptible to PLD variations. In a multi-path sampler that uses different physical spacing between the illumination and collection sites to create different paths, slightly different locations of tissue are sampled, creating additional tissue noise.
Tissue compression tissue. In addition to the inherent PLD differences described above, the tissue is not a static structure and the PLD may change slightly during the measurement process. As an example, consider when the skin is left to stand on any hard surfaceMarks left in the tissue when the object is in contact with pressure. When the arm is sampled with a solid lens or surface, the tissue may become slightly flattened during the sampling process. The compression of the tissue occurs due to the movement of water and the compression of the underlying collagen matrix. Changes in water and collagen lead to changes in absorption (composition) and changes in scattering. The effect of contact sampling on absorption and scattering coefficients is described in U.S. Pat. No. 6,534,012. This patent describes a moderately complex system for controlling the pressure exerted on the arm. Due to the variation of the absorption or scattering coefficient resulting from the sampling process, a variable PLD during the sampling process and a corresponding detrimental effect on the measurement accuracy results.
Superficial tissue of skin. In addition to intrinsic changes, the interface between the tissue and the optical interface may also change over time. The skin is a rough surface with many wrinkles and cracks. Changes in the skin surface may occur between days, during a single day, and even during a single measurement procedure. Changes may occur, for example, between days due to sun exposure. For example, changes may occur during the day, for example due to showering activities. Measurement cycle variations may occur, for example, due to changes in the air space or tissue cracks. As the cracks or spaces decrease in size, the number of contacts between the lens and the skin increases. This increased contact may change the efficiency of light transmission into or out of the tissue, and may also change the effective numerical aperture of light entering the tissue. The numerical aperture is defined as the cone angle of light entering and exiting the tissue. Variations in numerical aperture can cause variations in PLD, leading to analyte measurement errors. Sampling tissue with a contact-based sampler can also cause the skin to sweat during the sampling process. Sweating can alter the light coupled into the tissue and affect the measurement results.
Tissue localization with respect to sampling system problems. Many tissue sampling systems are based on the assumption that the tissue is in contact with the optically transparent element or that the tissue is spatially repeatable. The use of optically transparent elements in contact with the skin is discussed above. The fact that tissue is not a rigid structure poses significant difficulties in meeting the standards associated with spatially repeatable positioning. Most optical systems have a focal point (e.g., like a camera), and the positioning of tissue at different locations effectively blurs and corrupts the spectral data. Differences in the elasticity of the tissue, skin tension, muscle activity and the influence of gravity affect the positioning of the tissue, particularly the plane of the front surface of the tissue. The difference in positioning may be a source of tissue noise that degrades measurement performance.
Tissue surface contamination problem. In order to make a useful non-invasive analyte (e.g. glucose or alcohol) measurement, the radiation must interact with a material (e.g. a body fluid) that is suitably representative of the blood or system value of the analyte under investigation. Radiation that simply reflects from the front surface of the tissue typically contains little or no useful information because it has little interaction with body fluids. From the front surface orRadiation reflected from a very shallow penetration depth is referred to as specular light. Even radiation that penetrates deeply into tissue and contains analyte information can be affected by contaminating substances on the surface, since the light passes through the contaminating layer twice. For example, syrup on the arm of a patient undergoing glucose testing can lead to measurement errors.
The accuracy of spectral measurements in tissue can be improved by reducing tissue noise sources and/or by increasing the information content of the spectral data. In general, any sampler system that achieves acquisition of spectra with a constant or more constant PLD must impact measurement accuracy. Any sampler system that provides a more unique spectral measurement scheme (e.g., binocular versus monocular, or controllable path length sampling) may increase the information content of the spectral data.
The present invention includes a tissue sampling system that reduces tissue noise and can increase the information content of the acquired spectral data. Various embodiments of the invention include different combinations of the following features:
there is no contact between the sampler and the tissue. The lack of contact reduces the effects of tissue compression and physiological changes at the tissue surface.
Illumination and collection optics covering a relatively large area of tissue allow the signal to be averaged over a large area, thus reducing site-to-site variation.
A device that changes the path length distribution or penetration depth through tissue to take advantage of these differences in data processing to achieve a more accurate estimate of analyte concentration.
Easy assembly and overall low cost implementation.
Sampling the same tissue site or having a considerable number of partial sameness between different samples of tissue. A larger number of portions being identical between samples may reduce spectral variation due to site-to-site differences.
A system that compensates for differences in tissue surface sites and/or provides feedback to a user to position a tissue sample site in a repeatable manner.
Suppression of specular light from the measured spectrum. Because specular or short path length spectral data contains little or no useful analyte information, the suppression of specular light eliminates or reduces additional sources of noise.
Exemplary embodiments
As shown in fig. 3, an optical sampler designed for tissue sampling is focused on controlling the numerical aperture, illumination angle, andcollection angle 103 of the light 101 and the distance between the source andcollection fibers 102. The relative polarization of the illumination and collected light may be used 104. Fig. 4 is a schematic view of a tissue sampler according to the present invention. Alight source 201, such as a broadband light source, passes light to an input aperture of aspectrometer 203, such as a fourier transform spectrometer, for example, through a focusing or collimatingelement 202. Thespectrometer 203 passes the light from itsoutput port 203 to the tissue surface 208, for example using a focusing element 204. The optical path from thespectrometer 203 to the tissue surface 208 may also include a polarizer 205, aquarter wave plate 206, or both, to provide a controlled linear or circular polarization of light incident on the tissue surface 208.
After interacting with the tissue, light diffusely reflected from the tissue may be collected by collection optics 213 and passed to detector 212. The optical path from the tissue surface 208 to the detector 213 may also include a second polarizer 211 (sometimes referred to herein as an "analyzer"), a secondquarter wave plate 210, or both. Theillumination optics 221 and thecollection optics 222 can be arranged relative to each other and to the tissue surface 208 to hinder the collection of the specularly reflected light 209. By way of example, tissue may be placed at the intersection of the optical axes of theillumination optics 221 and thecollection optics 222, with the tissue surface forming different angles with the two axes. In one embodiment of the invention, the optics are selected to illuminate an area of tissue having a diameter of about 10mm, and a positioning device (not shown) is used to hold the tissue surface in a desired position and orientation. Note that the spectrometer may be either on the illumination side or the collection side.
The sampling system of fig. 4 allows the use of a polarizer, analyzer and quarter wave plate to alter the path length distribution of the concentrated light scattered from the tissue. Data collected from two or more path length distributions may be used to detect differences in the amount of scattering coefficient, e.g., of tissue; the calibration model can use this information to improve analyte measurement accuracy (e.g., by deconvoluting the liquid concentration and the covariance of the PLD). As discussed earlier, human tissue is a very complex substance. Tissue particles vary in shape and size, with sizes varying between about 0.1 and 20 microns. For a spectrometer operating in the wavelength range of 0.1 to 2.5 microns, the particle size varies roughly from 1/10 of the shortest wavelength to almost 10 times the longest wavelength. The particle scattering and polarization phase functions can vary significantly over the particle size range. Substances such as collagen also form oriented strands (oriented strand) that make tissue appear as an anisotropic medium to light. Many papers have been written and experiments have been performed to show how polarized light interacts with such structures. For example, refer to "Surface-reflection in polarization imaging of professional tissue" of S.P.Morgan and I.M.Stockford, op.Let.28, 114-116 (2003), which is incorporated herein by reference. Much of this work has been done to develop the use of polarized light to reduce the image of the effects of damaging scattering particles when looking at the object under study at a certain depth into the tissue. The polarization states of the illuminating light and the collected light affect the path length distribution of the detected light through the tissue.
Matrix representations of the way the medium changes polarization properties, such as Mueller matrices, square matrices containing 16 elements, can be used to measure and analyze polarized light. The Stokes vector may be used to describe the polarization state of the illuminating light and the collected light. See, for example, C.Bohren and D.Huffman, "Absorption and Scattering of light by Small Particle" (John Wiley & Sons, new York, 1983), pp41-56, which are incorporated herein by reference. The vectors can be derived from four independent polarization states such as vertical linear polarization, horizontal linear polarization, +45 degree linear polarization, and left circular polarization. By illuminating the medium with each of these states and then observing the response at each illumination state using an analyzer set to each of these states, a set of 16 independent states (4 aggregate states for each of the 4 illumination states) of the elements making up the Mueller matrix can be observed. The input Stokes vector is multiplied by the Mueller matrix to produce an output Stokes vector. While determining a complete Mueller matrix for a human tissue sample may be useful for distinguishing between human-to-human differences, it is not necessary to do so to obtain useful information. Measurements using only a few polarizer positions may reveal the way one tissue sample scatters light differently from another, allowing the construction of an improved calibration model that takes advantage of this knowledge.
Fig. 5 is a conceptual illustration of a plot of signal intensity versus optical path length of light scattered back from a large scattering medium, which generally represents the human tissue characteristics for each of several path length distributions. Because tissue is a scattering medium, light entering the tissue from the spectrometer must typically undergo one or more scattering phenomena to reverse direction and exit the tissue for collection by the detector. When polarized light undergoes a scattering phenomenon, it becomes partially depolarized, i.e., one portion of the light may become randomly polarized while another portion of the light retains its original polarization state. The amount of depolarization that light undergoes at each scattering event may depend on a number of parameters including particle refractive index, shape, size, and scattering angle. These characteristics may vary from person to person, or may vary with the physiological state of the person, such as age or hydration level. In general, the longer the path length of light in tissue, the more scattering it encounters and the more random its polarization becomes. Furthermore, the penetration depth is generally greater as the path length increases as a function of the amount of cross-polarization. Thus, light scattered or propagating a shorter path length from an area near the surface generally maintains a larger portion of its original polarization state than light that penetrates deeper into the tissue and propagates a longer path. Light that penetrates deeper into the tissue will also be more severely attenuated by absorption in the tissue and scattered from the detector field of view, so the overall intensity of the long path length light is reduced regardless of the polarization state.
Fig. 5 shows the expected path length distribution for several directions of the analyzer. When the analyzer is rotated so that its polarization axis is at a 90 degree angle with respect to the input polarizer, light that maintains its original polarization is attenuated by the greatest amount, allowing only cross-or randomly polarized light to pass 301. Light propagating a short path that is more direct, maintaining its more original polarization state, attenuates more light than light propagating a longer path. When the analyzer is oriented with its polarization axis parallel to theinput polarizer axis 303, both linearly polarized light and randomly polarized light that meets the orientation requirements of the collecting polarizer can pass through. In this direction, a larger portion of the shorter path of light that has experienced less scattering will be detected. In the middle direction 302 of the analyzer, the change in specific gravity of the shorter and longer path length light in the composite signal will produce a distribution with a higher preference for shorter path lengths than the distribution at the crossed polarizer locations.
The present exemplary embodiment represents a major advance in tissue sampling: a sampler that samples a relatively large area without contact with tissue, has strong mirror rejection capabilities, and has the ability to generate multipath data by changing the polarization state between illumination and collection optics.
Additional embodiments and improvements
The sampling system described in, for example, the above exemplary embodiments may be modified for specific implementation goals by one or more of the additional embodiments and improvements described below.
Automatic focusing. Motorized servo systems, as well as focus sensors, such as used in auto focus cameras, can be used to maintain an accurate distance between the tissue and the spectral measurement optics during the measurement process. The tissue, the optical system, or both may be moved in response to information from the autofocus sensor to produce a predetermined distance between the tissue and the optical system. Such an autofocus system may be particularly suitable if the sampling site is the back of the hand or the area between the thumb and forefinger. For example, if the hand is placed on a flat surface, the autofocus mechanism can compensate for the difference in hand thickness.
Tissue scanning. The tissue can be scanned during the measurement to create a very large sampling area. The scanning process may include scanning the tissue site by moving the tissue site relative to the sampler, or by moving the sampler relative to the tissue site, or by optically controlling the light, or a combination thereof.
Position feedback on tissue surfaces. The measurement system may inform the user whether a tissue site is being insertedA certain focal plane orLocation. There are many optical positioning or measuring systems, such as those commonly used to determine the dimensions of internal walls. Such a system may provide information on the general location of the tissue plane as well as the tilt of the tissue plane.
Use of different input polarization states. Due to the anisotropy in the tissue structure, e.g. due to the anisotropy of the collagen strands, unique different path length distributions can be obtained by collecting data at different illumination polarizer angles. The variation of the input polarization angle with the simultaneous variation of the collective polarization angle may provide a multiplicity of path length observations.
Use of different types of polarization. Circularly polarized light and linearly polarized light may behave differently. The use of different types of polarization may be used to improve path length differences. For each forward scattering phenomenon, circularly polarized light may maintain a large fraction of its original polarization state. Thus, the use of different types of polarizations can be used to generate different path length data.
Use of different collection and illumination angles. The angles of the illumination optics and collection optics relative to each other and to the tissue surface can affect the path length distribution. As mentioned above, the illumination and collection optics are arranged to avoid collecting direct specular reflections from the tissue surface. Depending on the relationship between the illumination and collection optics, the system may be configured such that the collected light must undergo a desired change in polarization and a desired change in direction. In general, a larger required change in direction implies a longer path length in the tissue.
Separation of irradiated and focused regions. The amount of specular light can be further reduced by separating the illumination and collection areas. Due to the separate illumination and collection areas, any light collected by the system must enter the tissue and propagate through the tissue to the collection site.
Reduction of skin surface artefacts. The roughness of the skin surface may cause no change from the polarization state due to propagation through tissueThe polarization of the light changes. Potential problems can be mitigated by coating the tissue surface with a liquid that has no or little interfering absorption characteristics in the spectral region of interest. The use of such a skin slip reduces polarization changes due to surface roughness. Oils with little absorption characteristics are fluorocarbon lubricants, fluorinated hydrocarbon oils. Light coated with such a smoothing agent can reduce the signal generated by surface scattering, minimally interfering with the observed tissue spectrum. The correct application (e.g., presence, concentration, material) of the smoothing agent can be determined from spectral features that can be discerned as solvent characteristics. For example, additives having known absorption characteristics may be added to the fluorocarbon lubricant, and the spectroscopic system may determine the characteristics of the fluorocarbon lubricant from observations of these characteristics. In addition, hair removal or minimization can reduce hair growth due to coarseness of the tissueRoughness causes artifacts.
Sampling of the same tissue volume. Due to the non-uniform nature of tissue, it is desirable to sample the same tissue site or volume. Several patent applications or patents attempt to address this problem by using adhesives that temporarily attach various mechanical devices, such as a metal plate or EKG probe, to the arm. For example, U.S. patent No. 6,415,167, which is incorporated herein by reference. These devices are then used to place the arms on the sampler to position the arms in the mating receptacles. These devices are at best purely temporary means of aiding the repeated repositioning of the arm during a short set of measurements. They cannot be used as permanent references to reduce measurement errors over a long period of time.
It has been demonstrated in our laboratory that two or more ink stains on the arm outside the measurement zone are useful in guiding the positioning of tissue. A TV camera viewing the arm from the side of the sampler may be used to visually guide the arm into the sampler, allowing the person or assistant being measured to move the arm around until the ink spot is aligned with a spot placed on the screen of the TV monitor. This solution can be used for a long period of time by permanently penetrating the mark into the skin. This is generally considered unacceptable by the user. If a specified sampling region is desired, it also excludes measurement sites that are susceptible to change.
Vein (vein) or capillary imaging may be used instead of ink stains or tattoos to provide a permanent reference mark for the location of tissue. Vein and capillary imaging may use optical illumination and image capture methods to bring the vein or capillary close to the tissue surface, such as is visible on a TV monitor. In fact for analyte measurements, the measurement site may be initially positioned according to criteria specified by the target application, such as non-invasive blood glucose measurements. The vein or capillary image may then be registered with the measurement site or from the surrounding area. This recorded image can then be used as a template to guide the relative placement of the tissue and sampling system in future measurements. It may be used as a visual aid to manually place tissue in the correct location, or it may be used in an automated servo system that uses image correction to automatically place or maintain an instrument or tissue in the correct location. Automated systems may be particularly useful in maintaining position when there is no direct physical contact between the measurement instrument and the tissue at the measurement site.
Methods of vein imaging (veining) are described in other documents, including biometric identification and auxiliary devices for blood drawing. Venous imaging techniques typically attempt to obtain maximum contrast between the vein and the surrounding tissue. In one described technique, 548nm polarized light is used to illuminate tissue in a small area. For example, with reference to 1/15/2006http://oemagazine.com/fromTheMagazine/nov03/vein.html26 month 10 1999U.S. Pat. No. 5,974,338 to Non-innovative laboratory analyzer ", each of which is incorporated herein by reference. Light is scattered as it penetrates tissue, illuminating a larger volume of tissue. Light scattered back from the shallow region maintains some of its original polarization and can therefore be attenuated by the cross-polarizers on the video camera. The deeper penetrating light loses its polarization and is detected by the camera, in effect returning to the vein in the path of the original illumination. At selected wavelengths, the blood has a wavelength that allows the vein to be viewed as being from the underlying tissueA brighter background of scattered light against the absorption peak of a black object. In other reference materials, polarized light at 880nm and 740nm from the LEDs was used to illuminate the tissue in large amounts, and in addition crossed polarizers on the CCD camera helped suppress surface reflections and light scattered at shallow depths. E.g. with reference to all visits on 1, 15/2006http://www.news-medicalNet/? id =5395, http:// luminatex. Com/home. Html, http:// NAE. Edu/NAE/pubndcom. Nsf/weblinks/CGOZ-65RKKV/$ file/EMBS2004e. Pdf. At these longer wavelengths, tissue scatters less than at the 548nm shorter wavelength, so light can penetrate greater distances, allowing deeper veins to be viewed. Blood at 888nm absorbs much less than at 548nm, so computerized contrast enhancement may be required to sharpen the vein image. Other techniques include injecting contrast-enhanced dyes into the blood stream, which may be unacceptable for many analyte measurement applications.
Additional properties
Removal of surface contaminants. The light scattered by the tissue gradually randomizes the original polarization state of the illumination light. Unscattered or weakly scattered light maintains its polarization state, while multiply scattered light is randomly polarized and equally affects the co-and cross-polarization states. A simple subtraction of these two states results in a reduction of the weakly scattering component. For example, refer to "Surface-reflection ionization and ionization of hyperficians" by Morgan, stephen et al, optics letters Vol28, no2, 1/15/2003, which is incorporated herein by reference. Thus, the outflow of surface contaminants, such as energy-producing sugars for glucose measurements or alcohol on the arm surface for non-invasive alcohol measurements, can be largely eliminated by the data from the efficient processing of different polarization states.
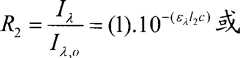
Spectral processing to minimize PLD disparity. Information from multiple path lengths may be used to unambiguously define or determine a PLD. In addition, simpler methods use different path length data to minimize differences in PLDs and produce PLDs withPossibly the narrowest distributed PLD. Suppose that scattering causes photons to take one of two possible path lengths,/1 =1 and l2 =3 (each with a 50% probability), then the final measured transmittance or absorbance is:
Figure A20068001047900221
unfortunately, the results are not linear with respect to concentration. However, assume that the optical sampling mechanism separately measures the path length l2 =3. Its reflection coefficient is simply
Figure A20068001047900223
Or
Figure A20068001047900224
In this general case, subtracting eq.4 from eq.1 gives a different reflection coefficient
Figure A20068001047900225
Figure A20068001047900226
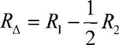
Figure A20068001047900227
And RΔ With virtually discrete path lengths l1 . This simple example may be extended to the case where two or more different path lengths are generated, as shown in fig. 6. These spectra can be processed by a number of methods including simple subtraction to produce a narrower 'differential path length distribution'. ResultsPossibly a 'mixed-matched' derivative/integral spectrum with a narrower path length distribution than any individual channel of data. It will be appreciated that an important assumption for this technique is that the chemistry at different path lengths is fixed. In particular, the preceding equations assume for R1 And R2 'c' must be common. Although the composition of the tissue need not be fixed over a much varying path length, the standardization of PLD in this way has been shown to be advantageous. Also, a narrower PLD may be desirable because it is closer to a single path length and thus closer to an assumption based on Beer's law.
Use of different spectral resolutions. Spectral data from the tissue front surface typically contains little useful analyte information. As shown in fig. 5, a sampling configuration with the same illumination and collection polarization angles produces data containing a significant amount of signal from zero or very short path length light. This is light scattered from the surface and from very shallow depths, where the analyte concentration is typically very low and thus different from that of the whole body or deeper tissues. The collected data may be de-resolved relative to the collected spectral resolution. The process of resolving the data effectively reduces the effect of analyte concentration on the data while maintaining general information relating to the tissue, such as tissue reflectance, tissue location, tissue smoothness, etc.Because surface and shallow scattered light includes little or no absorption features associated with the analyte of interest, spectral reflectance measurements taken at low spectral resolution can be subtracted from the higher resolution spectrum without losing the desired spectral absorption features from deeper in the tissue. Experimental or theoretical methods can be used to determine the optimal spectral resolution of this "background" light, and different combinations of data at different polarizations can be used for this processing method.
Adaptive sampling. Experimental and simulation studies have shown that parameters of the optical sampler may affect the resulting PLD. In particular, the configuration of the sampler may influence the resultingPLD. Important parameters include the numerical aperture of the input and output optics, the emission and collection angles, the separation between the input and output optics, and the polarization (linear or circular) of the input and output optics. The optical system can be adjusted in real time to produce the desired PLD. Adjustment of these parameters, alone or in combination, allows the system to produce a single spectrum with the most ideal PLD.
Changing the direction of measurement. In the management of diabetes, an individual with diabetes typically receives point measurements that are linked to the current glucose level. This information is very useful, but the value of the information may be significantly improved by the simultaneous display of changes in direction. It is desirable for the measurement device to report the glucose concentration, rate of change, and direction of change. Such additional information may lead to improved glucose control and greater avoidance of hypoglycemic and hyperglycemic conditions. With current contact samplers, such measurements are not possible because the tissue is squeezed during the measurement process. Thus, the path length distribution changes and a highly accurate measurement of the need for redirection cannot be obtained. Using a non-contact sampler like that described herein, the tissue is not squeezed and the sampling surface is not changed by the contact sampler, allowing the direction of analyte concentration change to be determined. For example, refer to U.S. patent application Ser. No. 10/753,50 of non-innovative determination of directive and rateof Change of an analytical, which is incorporated herein by reference.
Other sampler embodiments
Various additional exemplary embodiments are described to help illustrate possible advantages of using the present invention. These exemplary embodiments are merely illustrative; other arrangements and combinations of features will be known to those skilled in the art.
Exemplary embodiments. The sampler discussed above uses the change in the amount of orthogonal polarization between the illumination and collection optics to measure light traveling in two or more different path length distributions. The spatial spread of light can also be used to generate path length differences in the collected spectrum. If the tissue is organizedLight illuminated by a point source and diffusely reflected is received by a collection point, the path length distribution may change as the collected light is moved toAt different distances from the point of irradiation. The rate at which the light intensity decreases with distance from the origin depends on the scattering and absorption properties of the tissue. The sampler described hereinafter takes advantage of this phenomenon.
In an exemplary embodiment incorporating this feature, the variable path sampler uses light from a small light source focused on the tissue by a lens or mirror. A second lens or mirror collects light from a point on the tissue and focuses it onto the detector. Although in principle the same prism or mirror may be used for illumination and concentration, it may be advantageous to use separate optical components. This allows the baffle to be placed to help eliminate the concentration of light that is directly scattered from the optics of the illumination source (i.e., without interacting with sufficiently deep tissue). The spectrometer may be placed in the path from the source to the tissue or in the path from the tissue to the detector. The physical separation between the illumination or collection sites on the tissue determines the shortest possible optical path length through the tissue. To obtain different path length distributions, data may be collected with different physical separations between the input and output optics.
In practice the inputs and outputs need not be limited to a single point. Fig. 7 is a brief description of an exemplary embodiment. The narrow slit-shapedlight source 501 may be formed of a fiber optic circular-to-straight converter.Cylindrical mirror 502 may image light 511 onto tissue 508. Anothercylindrical mirror 503 may collect light from aline 512 on the tissue surface 508 and image it onto a row ofoptical fibers 504, whichoptical fibers 504 may be arranged in a circular beam for more efficient coupling to thedetector 505. The twoimage lines 511, 512 may be aligned parallel to each other but offset from each other. Varying the distance between the twolines 511, 512 may vary the minimum optical path length through the tissue. The distance can be varied in several ways. As an example, the optics to the right of thebaffle 509 may be mounted on a translation stage and moved horizontally to change position on the tissue at which the point or line is picked. Alternatively, the fiber source or the pick-up beam alone may be translated (approximately perpendicularly) along the plane of best focus.
The present exemplary sampler has many advantages: no forcible contact with tissue in the measurement region; surface scattered light can be suppressed by the blocking and imaging properties of the optical system; and the path length distribution, particularly the minimum path, can be easily varied by varying the physical spacing between the input and output points or lines. In some applications, it is important that the tissue is placed accurately so that the lines remain strongly focused. Under conditions of poor averaging of tissue signals, the tissue area interrogated is not as large as with the aforementioned sampler.
Exemplary embodiments. Fig. 8 is a brief description of another exemplary embodiment. This exemplary embodiment has similar components and arrangements as the previous example. The second row of concentratingfibers 621 concentrates light from the second concentratingline 623, allowing for distribution of concentrated light from two different path lengths simultaneously. While the clustering may reduce errors due to temporal variations. Two or more simultaneous concentration lines may be combined with translation toAllowing different pairs of regions to be interrogated as in the previous example.
Another variation of this exemplary embodiment illuminates an annular shutter plate and focuses the image of the ring on the tissue. The light is then collected from a small spot in the center of the ring and focused on a detector. By varying the annular shutter, a series of different spacings between source and collector can be achieved. This embodiment can be extended with an optical system that focuses multiple ring images on tissue and concentrates light from multiple center points on a detector.
Any of the exemplary embodiments may be used with or without a sample positioning window or index matching fluid (index matching fluid) in contact with the tissue. A spectrometer in the path before or after the tissue may also be used.
Exemplary embodiments. Fig. 9 is a brief description of an exemplary embodiment. The sampler eliminates the re-imaging optics of the previous sampler, introducing light by direct contact of the optical fiber with the tissueOr to elicit tissue. This arrangement can reduce the requirement for accurate optical alignment to that required in permanent arrangement of the optical fibers during manufacture. Physical contact may also help reduce the concentration of light scattered from the tissue surface. However, direct tissue contact can produce changes in tissue properties due to changes in interfacial moisture and compression of underlying structures.
Results of the experiment
A series of tests were conducted with various tissue sampling embodiments discussed previously with the purpose of demonstrating and measuring their improved performance. These experiments involve a tissue phantom consisting of scattering particles and testing of human tissue.
The tissue phantom is sampled in a back-scattered mode or by diffuse reflection in a manner similar to that used by a sampler for measuring human tissue. The tissue phantom consists of an aqueous solution in a container with a flat transparent window. Different concentrations of several analytes, such as glucose and urea, are included in the concentration range present in human tissue. A range of concentrations of suspended polystyrene particles is also included to vary the level of dispersion and thus the pathlength distribution of light propagating through the solution. The settings used for the test consisted of 9 different scattering concentrations, from 4000 to 8000 mg/dl. For example, refer to U.S. patent application Ser. No. 10/281,576, "optical silicon reference samples," filed 2002, 10, 28, which is incorporated herein by reference. This variation in scatter results in a path length variation of about ± 25%. Spectral response data was then collected using a sampler configured with a polarizer and analyzer, but without a quarter-wave plate, as described in connection with fig. 4. Data was collected for each sample using different numbers of orthogonal polarizations.
Human testing was also performed using the same optical system. The arm is inserted by placing the elbow on the elbow pad and the subject's hand is gripped or placed against a vertical post. The palm of the patient is perpendicular to the ground. No windows or other positioning devices are used to control the position of the subject's arm.
Large area to be sampled. As shown in fig. 10, the optical system searchlight illuminates the sample area with an elliptical spot larger than 8mm in diameter. The sampling area is about 12.5 times larger than the area sampled using a previous fiber sampler.
Similar spectral information content. The spectral data was obtained using a conventional fiber sampler such as that shown in fig. 11 and the system described above, which was operated with the illumination and collection polarizers having orthogonal polarization amounts of 90 degrees. A general assessment of the information content and the optical penetration of the associated spectral data can be obtained by examining the highest point of the spectral absorption feature; fig. 12 shows two samplers providing similar spectral information.
Improved stability during tissue measurements. In previous samplers, tissue was squeezed in contact with the tissue and the interface between the tissue and the sampler changed during the sampling process. Data from the same subject was obtained from a conventional sampler and from the previously described non-contact sampler of fig. 4. Data was collected for 2 minutes and averaged to account for spectral changes that occurred during the sampling process. Figures 13 and 14 illustrate the difference between the two sampling systems for two subjects. The improvement can be measured by calculating the change in path length. A reasonable measure of the path length variation is to quantify 6900cm along the baseline modification direction-1 The region under the water absorption peak. Studies of 20 different individuals demonstrated an improvement (i.e., reduced path length variation) of greater than 500% when compared to conventional samplers.
Demonstration of path length in a varying polarization changing tissue phantom. The path length at which a photon becomes depolarized depends on its original polarization (linearly or circularly polarized) state, the number of scattering phenomena it undergoes, and the scattering anisotropy of the particle with which it interacts. The polarization angle of linearly polarized light depends on the azimuth angle, but circularly polarized light is independent of it. The experimental system is based on linearly polarized light and is used to demonstrate the cross-polarization that can be achieved by varying the cross-polarization between the illumination and collection opticsThe amount of vibration affects the path length. Fig. 15 shows the relationship between path length and polarization angle for a single solution of scattering particles. Four polarizer arrangements (0 °,50 °, 63 °, and 90 °) were used for these polarization angles, which caused approximately equal path length changes. By calculating 6900cm below the water absorption peak along the baseline correction direction-1 Amount of area ofChange in path length.
Demonstration of varying polarization changes in path length in tissue. The method for demonstrating the path length variation as a function of the polarization angle is repeated in a human subject. Spectral data were obtained from 5 different subjects at 0 °, 22.5 °, 45 ° and 90 °. The polarization angle was summed to 6900cm at the water absorption peak along the baseline correction direction by calculation-1 The area quantized path length changes of (a) are added up to average the data. The resulting spectral data shown in fig. 16 shows increased path length and increased amount of specular reflection with increased cross polarization. The relationship between path length and cross-polarization is shown on the right hand graph as sin (angle)2 As a function of (c). The resulting data show that varying polarization can affect the optical path length seen in the tissue spectrum.
Demonstration of the ability to quantify path length differences in scattering solutions. With conventional 'monocular' sampling systems, the ability to determine the scattering characteristics of a given sample is very limited. Insertion errors and variations in instrument performance can make this process even more difficult. Multipath systems such as the system implemented by the present invention allow the relative path lengths to be determined. A set of variable scattering tissue phantoms was created using 9 different scattering concentrations from 4000mg/dl to 8000 mg/dl. This variation in scattering results in a path length variation of about ± 25%. These 9 scattering levels were sampled at four polarizer settings, 0 °,50 °, 63 °, and 90 °. The data is processed in the following manner. (1) determining the path of each sample at each polarization angle. (2) Using all the data obtained to determine the mean path as the angle of polarisation across all scattering samplesA function. (3) The determined path length for each solution at each different polarization angle is plotted against the average path of the set solution, as shown in fig. 17. If the solution's optical properties create a path length longer than the average path, the line defined by the roadmap at each polarization has a slope greater than one. The difference in slope between the average and the observed sample defines the relative percent difference in path length for a given sample. As can be seen in fig. 18, this simple processing method can accurately characterize the tissue phantom data.
Demonstration of path length variation in human body. The above method is used to examine the path length variation between human subjects. This procedure entails determining the average path as a function of angle across multiple subjects and plotting the path length at different polarisation angles for each subject against the average path for the multiple subjects. The slope difference defines the percent (%) difference from person to person. As seen in fig. 19, the variation in path length is about ± 20%, and the distribution appears as a gaussian based distribution on our finite data set.
Demonstrated adaptive sampling. The optical system may be changed for the acquisition of the tissue spectrum that produces the most accurate glucose measurement in order to obtain the desired spectral characteristics. For example, spectral data having the same or as similar path lengths as possible may be desirable in some applications. One method of minimizing path variation includes defining a desired path length and then combining data from two or more different path lengths or polarizations. The method of merging is defined by the following equation:
NewSPectra=x%*spectra63+(1-x%)*spectra90
x=Min(waterpeak(averagespecta6900) -waterpeak(newspecta6900) )
samples from 20 different subjects cross-polarized at 63 ° and 90 ° were combined as defined by the equation above. Degree of comparisonThe standard of measurement is 6900cm-1 Change in wavelength band. The results plotted in fig. 20 are a plot of spectral data obtained at 90 ° cross-polarization versus the combined data. This result shows a significant reduction in the calculated variation. Note that the path length is a function of wavelength, so at one point (6900 cm)-1 A band) does not have to be translated to a fit of the entire spectrum. Other methods may be used to fit spectra of vectors at each wavelength, or around a region of wavelengths, or as a function of wavelength. The determination of the fitting coefficients can be performed on the unresolved spectra and used for the full resolution spectra. In addition, the sampling system can quickly determine the appropriate cross-polarization and then take data only at that polarization. The stability of the spectral data during the sampling process allows us to obtain data in a variety of ways not previously available.
Demonstration of surface smoothing. When polarization is used as a method of specular suppression, any polarization change may be expected due to the scattering phenomenon within the tissue. The appearance of scattering on the surface that changes the degree of polarization may degrade the quality of the spectral data by increasing the variation in PLD. To demonstrate the importance of skin smoothness, facial oil was applied to the tissue in a non-specific manner. The oils used are fluorocarbon lubricants, fluorinated hydrocarbon oils. This particular oil was chosen because it had little absorption in the area of interest. Spectral data was obtained for several days with or without skin smoothing oil. Examination of the changes in the 6900 water wave band at each polarization angle showed significant improvement; see fig. 21. The use of a lubricious oil facilitates a smooth surface with a common refractive index and reduces tissue noise at all observed polarization angles.
Other applications. Individuals can be identified by their spectral differences. See, for example, U.S. Pat. nos. 6,816,605, 6,628,809, 6,560,352; each of which is incorporated herein by reference. The sampler according to the invention may provide improved biometric capabilities. In particular, the relocation capability and additional information provided by multipath sampling may improve the biometric results. Using difference by PLD From the information available (system of varying source to detector spacing or varying polarization), we can create a biometric identification system that may have higher performance than a system that contains information only at one PLD or penetration depth. This information can be used on combination locks like different tumblers: in order to gain access, the person must comply with the biometric at multiple layers.
The specific dimensions and devices discussed above are merely referenced to illustrate specific embodiments of the invention. It is contemplated that the use of the present invention may involve components having different sizes and characteristics. It is intended that the scope of the invention be defined by the claims appended hereto.

Claims (45)

1. An optical sampler comprising:
a. an illumination subsystem adapted to deliver light having a first polarization to a tissue surface;
b. a collection subsystem adapted to collect light having a second polarization that passes from the tissue after interaction with the tissue;
c. wherein the first polarization is different from the second polarization.
2. An optical sampler as in claim 1, wherein the first polarization is different from the second polarization such that the collection system preferentially collects light other than light specularly reflected from the tissue surface.
3. An optical sampler as in claim 1, wherein the first polarization is different from the second polarization such that the collection system preferentially collects light that interacts with a selected depth of the tissue.
4. An optical sampler as in claim 1, wherein the first and second polarizations are linear with a non-zero relative angle between the first and second polarizations.
5. An optical sampler as in claim 1, wherein the first and second polarizations are elliptical, and wherein the first and second polarizations are rotationally different.
6. A method of optically sampling tissue, comprising:
a. applying a smoothing agent to a portion of the tissue surface;
b. the portion of the tissue surface is illuminated using the optical sampler of claim 1 and light transmitted from the tissue surface is collected without physically contacting the lubricious agent with the optical sampler.
7. The method of optically sampling tissue of claim 6, further comprising analyzing the light collected by the collection system to determine the presence of the smoothing agent.
8. The method of claim 7 wherein the smoothing agent has a characteristic absorption, and wherein the step of analyzing the light comprises determining whether the collected light interacts with a material having the characteristic absorption.
9. The method of claim 8, further comprising determining a thickness of a smoothing agent that interacts with the light based on the collected light.
10. An optical sampler as in claim 1, wherein the illumination system is adapted to deliver light having any of a first plurality of polarization states to the tissue surface.
11. An optical sampler as in claim 1, wherein the collection system is adapted to collect light having any of a second plurality of polarization states passed from the tissue after interaction with the tissue.
12. An optical sampler as in claim 1, wherein the illumination system is adapted to deliver light having any of a first plurality of polarization states to a tissue surface; or the collection system is adapted to collect light having any of a second plurality of polarization states transmitted from the tissue after interaction with the tissue; or both.
13. An optical sampler as in claim 1, wherein the illumination system delivers light to an area of at least 20 square millimeters of the tissue surface.
14. An optical sampler as in claim 1, wherein the illumination system delivers light to a first portion of the tissue surface, and wherein the collection system collects light delivered from a second portion of the tissue surface, and wherein the first portion is different from the second portion.
15. An optical sampler as in claim 14, wherein the first portion is separated from the second portion by a distance.
16. An optical sampler as in claim 15, wherein the distance is variable.
17. An optical sampler as in claim 1, wherein the illumination system and the collection system are not in contact with the tissue surface being illuminated.
18. An optical sampler as in claim 17, wherein at least one of the first spacing and the second spacing is variable.
19. The optical sampler of claim 18, further comprising an interfacial property detector, and wherein the first spacing, the second spacing, or both vary in response to the interfacial property detector.
20. An optical sampler as in claim 1, wherein at least one of the illumination system and the collection system comprises optics having a variable focal length.
21. An optical sampler as in claim 20, further comprising an interfacial property detector, and wherein the focal length of the illumination system, the focal length of the collection system, or both vary in response to the interfacial property detector.
22. An optical sampler as in claim 1, further comprising a tissue positioning system.
23. An optical sampler as in claim 22, wherein the tissue positioning system comprises a system that images components of the vasculature.
24. An optical sampler as in claim 22, further comprising a feedback system to communicate to a user the position of the tissue surface relative to the sampler.
25. An optical sampler as in claim 22, wherein the relationship of the illumination system, the collection system, or both, with respect to the tissue surface is variable in response to the tissue positioning system.
26. An optical sampler comprising an illumination system and a collection system, wherein the illumination system and the collection system are adapted to collect spectral information in a first path length distribution and in a second path length distribution, wherein the first and second path length distributions are different.
27. An optical sampler as in claim 26, wherein the illumination system delivers light to a first portion of the tissue sample, and wherein the collection system collects light from a second portion of the tissue, wherein the first and second portions are separated by a variable distance.
28. A method of determining the direction of change, the rate of change, or both of an analyte in tissue comprising sampling the tissue using the optical sampler of claim 1 and analyzing the collected light to determine the direction of change, the rate of change, or both of the analyte.
29. A method of determining a first spectral characteristic of tissue, comprising collecting spectral information with the optical sampler of claim 1 at each of a plurality of differences between the first and second polarizations, selecting the difference corresponding to a desired path length distribution to determine the first spectral characteristic, and determining the first spectral characteristic from the spectral information collected at the selected difference.
30. An optical sampling system, comprising:
a. a light source;
b. a first polarizer;
c. a second polarizer;
d. a detector;
e. all devices are arranged to form a first optical path from the light source to the first polarizer to the tissue surface being sampled and a second optical path from the tissue surface to the second polarizer to the detector.
31. An optical sampling system, comprising:
a. an illumination system, comprising:
i. a light source;
a collimator in optical communication with the light source;
a spectrometer in optical communication with the collimator;
a first focusing lens in optical communication with the spectrometer;
v. a first polarizer in optical communication with the first focusing lens;
b. an aggregation system, comprising:
i. a second polarizer in optical communication with the tissue being sampled;
a second focusing lens in optical communication with the second polarizer;
a condenser in optical communication with the second focusing lens;
a detector in optical communication with the condenser;
c. a sampling interface adapted to maintain at least a minimum distance between the illumination system and a tissue sample and at least a minimum distance between the collection system and the tissue sample;
d. wherein
i. The illumination system and the collection system are mounted relative to each other such that light from the illumination system is incident on the tissue at a first angle relative to the tissue surface and such that light from the tissue to the collection system forms a second angle relative to the tissue surface, wherein the first angle is not equal to the second angle; and
the polarization of light passing from the illumination system to the tissue may be controlled by the first polarizer to any polarization state of a first plurality of polarization states;
the polarization of light reaching the detector from the tissue may be controlled by the second polarizer to any polarization state of a second plurality of polarization states.
32. A method of determining the response of a tissue sample to light, comprising:
a. illuminating the tissue sample with light having a first polarization;
b. collecting light having a second polarization transmitted from the tissue after interaction with the tissue;
c. collecting light having a third polarization that passes from the tissue after interaction with the tissue;
d. wherein the second polarization and the third polarization are different.
33. The method of claim 32, wherein the first, second, and third polarizations are linear.
34. The method of claim 32, wherein the first, second, and third polarizations are elliptical, and wherein the second and third polarizations are rotationally different.
35. The method of claim 32, wherein the second and third polarizations are different such that the light collected in step b) has a different path length distribution than the light collected in step c).
36. The method of claim 32, wherein the second and third polarizations are different from the first polarization.
37. The method of claim 32, wherein the tissue is illuminated and light is concentrated such that a portion of the tissue interacting with the light is substantially the same as a predetermined portion.
38. The method of claim 37 wherein the predetermined portion is a portion of the interaction with light in a previous property determination using the optical sampler.
39. The method of claim 32, wherein the tissue is illuminated at a first portion of the surface and light is collected from a second portion of the surface, wherein the first portion and the second portion are different.
40. The method of claim 39, wherein the first portion and the second portion are separated by a variable distance.
41. The method of claim 32, wherein the light concentrated in step b) is concentrated from a first portion of the tissue, and wherein the light concentrated in step c) is concentrated from a second portion of the tissue, wherein the first and second portions are different.
42. An optical sampler includes an illumination system and a collection system, both of which are separated from tissue being sampled.
43. An optical sampler comprising an illumination system adapted to deliver light to a first portion of a tissue surface and a collection system adapted to collect light delivered from a second portion of the tissue, wherein the first and second portions are different.
44. An optical sampler as in claim 43, wherein the first and second portions are separated from one another by a distance.
45. An optical sampler comprising an illumination system, a collection system and a positioning system, wherein the illumination system and the collection system are arranged to interact with a conforming tissue portion in response to the positioning system.
CNA2006800104790A2005-02-092006-02-09Methods and apparatus for noninvasive determinations of analytesPendingCN101151513A (en)

Applications Claiming Priority (3)

Application NumberPriority DateFiling DateTitle
US65167905P2005-02-092005-02-09
US60/651,6792005-02-09
US11/350,9162006-02-09

Publications (1)

Publication NumberPublication Date
CN101151513Atrue CN101151513A (en)2008-03-26

Family

ID=36793722

Family Applications (2)

Application NumberTitlePriority DateFiling Date
CNA2006800104733APendingCN101501464A (en)2005-02-092006-02-09Methods and apparatuses for noninvasive determinations of analytes
CNA2006800104790APendingCN101151513A (en)2005-02-092006-02-09Methods and apparatus for noninvasive determinations of analytes

Family Applications Before (1)

Application NumberTitlePriority DateFiling Date
CNA2006800104733APendingCN101501464A (en)2005-02-092006-02-09Methods and apparatuses for noninvasive determinations of analytes

Country Status (5)

CountryLink
EP (1)EP1855586A2 (en)
JP (1)JP2008530536A (en)
CN (2)CN101501464A (en)
CA (1)CA2597234A1 (en)
WO (1)WO2006086566A2 (en)

Cited By (12)

* Cited by examiner, † Cited by third party
Publication numberPriority datePublication dateAssigneeTitle
CN102216745A (en)*2008-11-192011-10-12西门子医疗保健诊断公司Polarized optics for optical diagnostic device
CN103528964A (en)*2012-07-022014-01-22精工爱普生株式会社Spectroscopic image capturing apparatus
CN103826529A (en)*2011-08-222014-05-28皇家飞利浦有限公司Hair treatment device with hair detector
WO2015032251A1 (en)*2013-09-042015-03-12广州医软智能科技有限公司Microcirculation imaging monitoring apparatus and method therefor
CN104662409A (en)*2012-10-262015-05-27索尼公司Light concentration unit, light concentration method and light detection system
CN104951647A (en)*2009-09-082015-09-30艾伯特糖尿病护理公司Methods and articles of manufacture for hosting safety critical application on uncontrolled data processing device
CN105578968A (en)*2013-09-302016-05-11株式会社理光 Optical sensor, optical test equipment and optical property detection method
CN105866035A (en)*2016-03-302016-08-17温州医科大学Rapid non-destructive tissue biopsy method and technique based on spatial frequency domain-modulated large area resolution microstructure
CN107209116A (en)*2014-12-232017-09-26苹果公司 Optical inspection system and method including accounting for variations in optical path length within a sample
CN107462327A (en)*2011-09-132017-12-12索尼公司The method that spectral analysis apparatus, spectroscopic analysis methods and spectrogram are shown
CN110779931A (en)*2018-07-312020-02-11由田新技股份有限公司Semiconductor defect detection equipment
CN114002193A (en)*2021-10-192022-02-01杭州英诺维科技有限公司Percutaneous bilirubin detection method and device

Families Citing this family (21)

* Cited by examiner, † Cited by third party
Publication numberPriority datePublication dateAssigneeTitle
WO2009035669A1 (en)2007-09-132009-03-19The Curators Of The University Of MissouriOptical device components
WO2009045492A1 (en)2007-10-042009-04-09The Curators Of The University Of MissouriOptical device components
US7961305B2 (en)2007-10-232011-06-14The Curators Of The University Of MissouriOptical device components
BRPI0909825B8 (en)2008-03-252021-06-22Univ Missouri method and systems for non-invasive blood glucose detection using spectral data from one or more non-glucose components
EP2299900B1 (en)2008-05-222017-06-07St. Louis Medical Devices, Inc.Method and system for non-invasive optical blood glucose detection utilizing spectral data analysis
EP2413784B1 (en)2009-04-012024-07-17St. Louis Medical Devices, Inc.Optical spectroscopy device for non-invasive blood glucose detection and associated method of use
WO2012128614A1 (en)*2011-03-242012-09-27Erasmus University Medical Center RotterdamMethod to determine the absorption coefficient in turbid media
WO2016054079A1 (en)2014-09-292016-04-07Zyomed Corp.Systems and methods for blood glucose and other analyte detection and measurement using collision computing
RU2601678C2 (en)*2014-12-152016-11-10Самсунг Электроникс Ко., Лтд.Portable device for measurement of chromophores in skin and method of using said device
CN107430263B (en)2014-12-232020-12-01苹果公司Confocal inspection system with average illumination path and average collection path
WO2016106350A1 (en)2014-12-232016-06-30Bribbla Dynamics LlcConfocal inspection system having non-overlapping annular illumination and collection regions
WO2017040431A1 (en)2015-09-012017-03-09Bribbla Dynamics LlcReference switch architectures for noncontact sensing of substances
US9554738B1 (en)2016-03-302017-01-31Zyomed Corp.Spectroscopic tomography systems and methods for noninvasive detection and measurement of analytes using collision computing
EP4589271A3 (en)2016-04-212025-07-30Apple Inc.Optical system for reference switching
GB2554411A (en)*2016-09-262018-04-04Sumitomo Chemical CoAnalytical test device
US11579080B2 (en)2017-09-292023-02-14Apple Inc.Resolve path optical sampling architectures
EP3752873A1 (en)2018-02-132020-12-23Apple Inc.Integrated photonics device having integrated edge outcouplers
DE102020116094B4 (en)*2020-06-182022-02-10Carl Zeiss Spectroscopy Gmbh Large number of identical spectrometers and methods for their calibration
CN116057454A (en)2020-09-092023-05-02苹果公司Optical system for noise mitigation
CN112906300B (en)*2021-02-092023-11-21北京化工大学 Polarimetric SAR soil moisture inversion method based on dual-channel convolutional neural network
CN114755196B (en)*2022-04-202024-09-27北京航空航天大学Method and system for predicting infrared performance of crystal material

Family Cites Families (2)

* Cited by examiner, † Cited by third party
Publication numberPriority datePublication dateAssigneeTitle
CA2174719C (en)*1993-08-242005-07-26Mark R. RobinsonA robust accurate non-invasive analyte monitor
DK1017993T3 (en)*1997-09-252009-07-27Siemens Healthcare Diagnostics Spectroscopic analysis of samples with cloudiness and high absorbance

Cited By (22)

* Cited by examiner, † Cited by third party
Publication numberPriority datePublication dateAssigneeTitle
CN102216745A (en)*2008-11-192011-10-12西门子医疗保健诊断公司Polarized optics for optical diagnostic device
US11586273B2 (en)2009-09-082023-02-21Abbott Diabetes Care Inc.Methods and articles of manufacture for hosting a safety critical application on an uncontrolled data processing device
US11301027B2 (en)2009-09-082022-04-12Abbott Diabetes Care Inc.Methods and articles of manufacture for hosting a safety critical application on an uncontrolled data processing device
US11099627B2 (en)2009-09-082021-08-24Abbott Diabetes Care Inc.Methods and articles of manufacture for hosting a safety critical application on an uncontrolled data processing device
CN104951647A (en)*2009-09-082015-09-30艾伯特糖尿病护理公司Methods and articles of manufacture for hosting safety critical application on uncontrolled data processing device
US10241562B2 (en)2009-09-082019-03-26Abbott Diabetes Care Inc.Controlling operation of a safety critical application on an uncontrolled data processing device
CN104951647B (en)*2009-09-082018-06-22艾伯特糖尿病护理公司The method and product of safety-critical application program are accommodated on uncontrolled data processing equipment
CN103826529A (en)*2011-08-222014-05-28皇家飞利浦有限公司Hair treatment device with hair detector
CN103826529B (en)*2011-08-222016-04-27皇家飞利浦有限公司There is the hair treatment apparatus of hair detection device
CN107462327A (en)*2011-09-132017-12-12索尼公司The method that spectral analysis apparatus, spectroscopic analysis methods and spectrogram are shown
US12276591B2 (en)2011-09-132025-04-15Sony CorporationSpectrum analysis apparatus, fine particle measurement apparatus, and method and program for spectrum analysis or spectrum chart display
CN103528964A (en)*2012-07-022014-01-22精工爱普生株式会社Spectroscopic image capturing apparatus
CN104662409A (en)*2012-10-262015-05-27索尼公司Light concentration unit, light concentration method and light detection system
WO2015032251A1 (en)*2013-09-042015-03-12广州医软智能科技有限公司Microcirculation imaging monitoring apparatus and method therefor
US10039452B2 (en)2013-09-302018-08-07Ricoh Company, Ltd.Optical sensor, optical testing device, and optical characteristic detection method
CN105578968B (en)*2013-09-302019-03-15株式会社理光 Optical sensor, optical test equipment, and optical characteristic detection method
CN105578968A (en)*2013-09-302016-05-11株式会社理光 Optical sensor, optical test equipment and optical property detection method
CN107209116A (en)*2014-12-232017-09-26苹果公司 Optical inspection system and method including accounting for variations in optical path length within a sample
CN107209116B (en)*2014-12-232020-08-07苹果公司 Optical inspection systems and methods including consideration of variations in optical path length within a sample
CN105866035A (en)*2016-03-302016-08-17温州医科大学Rapid non-destructive tissue biopsy method and technique based on spatial frequency domain-modulated large area resolution microstructure
CN110779931A (en)*2018-07-312020-02-11由田新技股份有限公司Semiconductor defect detection equipment
CN114002193A (en)*2021-10-192022-02-01杭州英诺维科技有限公司Percutaneous bilirubin detection method and device

Also Published As

Publication numberPublication date
CA2597234A1 (en)2006-08-17
JP2008530536A (en)2008-08-07
WO2006086566A2 (en)2006-08-17
EP1855586A2 (en)2007-11-21
WO2006086566A3 (en)2009-04-09
CN101501464A (en)2009-08-05

Similar Documents

PublicationPublication DateTitle
CN101151513A (en)Methods and apparatus for noninvasive determinations of analytes
US20060178570A1 (en)Methods and apparatuses for noninvasive determinations of analytes
US9597024B2 (en)Methods and apparatuses for noninvasive determinations of analytes
US20110184260A1 (en)Methods and Apparatuses for Noninvasive Determinations of Analytes
US20090018415A1 (en)Methods and Apparatuses for Noninvasive Determinations of Analytes using Parallel Optical Paths
US7315752B2 (en)Method and device for determining a light transport parameter in a biological matrix
US5823951A (en)Method for non-invasive blood analyte measurement with improved optical interface
CA2347040C (en)Method for non-invasive blood analyte measurement with improved optical interface
US5636633A (en)Diffuse reflectance monitoring apparatus
US20050043597A1 (en)Optical vivo probe of analyte concentration within the sterile matrix under the human nail
EP1651109A1 (en)Method and apparatus for determining a property of a fluid which flows through a biological tubular structure with variable numerical aperture
WO2015109127A1 (en)Angled confocal spectroscopy
EP3052010B1 (en)Probe, system, and method for non-invasive measurement of blood analytes
US20150062320A1 (en)Diffuse reflectance hyperspectral imaging system
CN108968922A (en)A kind of hand-held compact oedema detection device and its data processing method based on near-infrared absorption
JP4925278B2 (en) Optical biological information measuring method and apparatus
CN109984725B (en)Contact pressure interference suppression method and device in diffuse reflection measurement and measurement method
WO2012123947A2 (en)Method and apparatus for morphological analysis
KR20180014533A (en)Optical Analyzer
US6475144B1 (en)Non-contact method for measuring amount of skin sebum or oil in real time using fiber optic probe
US20140132957A1 (en)Optical measurement of an analyte
Mitic et al.Time-resolved transillumination of turbid media
JP2001070287A (en) Biological measurement device
Shende et al.An Economical Non-Invasive Epidermis Thickness Measurement by the Application of Oct
Zimnyakov et al.Coherent and polarization imaging: novel approaches in tissue diagnostics by laser light scattering

Legal Events

DateCodeTitleDescription
C06Publication
PB01Publication
C10Entry into substantive examination
SE01Entry into force of request for substantive examination
C02Deemed withdrawal of patent application after publication (patent law 2001)
WD01Invention patent application deemed withdrawn after publication

Open date:20080326


[8]ページ先頭

©2009-2025 Movatter.jp