


技术领域technical field
本发明涉及计算机图形技术领域,是一种直接传递三维模型姿态的方法——模型转导,可以直接将源三维模型的姿态传递给目标三维模型。The invention relates to the technical field of computer graphics, and relates to a method for directly transferring the pose of a three-dimensional model—model transduction, which can directly transfer the pose of a source three-dimensional model to a target three-dimensional model.
背景技术Background technique
网格形变无论是在计算机建模还是在计算机动画领域都有着广泛地应用。三维动画师和艺术家们在三维制作软件中使用各种形变工具来手工编辑虚拟角色的脸部表情和身体形状。这些方法不仅需要大量的艺术技巧用于调节形变,而且很难将结果重用到新的三维模型上。为了用已调节好参数的三维模型来控制其他三维模型的形变,特定的形变参数必须匹配到新的形状上。在许多情况下,设定这些参数非常地费时以至于不如重新开始。Mesh deformation is widely used in both computer modeling and computer animation. 3D animators and artists use various morphing tools in 3D production software to manually edit the facial expressions and body shapes of virtual characters. Not only do these methods require a lot of artistic skill to adjust the deformation, but it is also difficult to reuse the results on new 3D models. In order to use a parameterized 3D model to control the deformation of another 3D model, specific deformation parameters must be matched to the new shape. In many cases, setting these parameters is too time-consuming to start over.
Noh等人在SIGGRAPH’2001上提出了表情克隆的概念,脸部表情从源模型传递到目标模型。在这种方法中,每个表情被解码成顶点位移,其表征了参考脸和表情脸的差别。表情克隆用启发式方法来适配位移向量的方向和大小,以解决源和目标模型的不同比例问题。这种表述和适配技术仅适用于脸部表情。Noh et al. proposed the concept of expression cloning at SIGGRAPH'2001, where facial expressions are transferred from the source model to the target model. In this approach, each expression is decoded into a vertex displacement that characterizes the difference between the reference face and the expressing face. Expression cloning uses heuristics to adapt the direction and magnitude of displacement vectors to account for different scales of the source and target models. This representation and adaptation technique is only available for facial expressions.
Sumner和Popovic在SIGGRAPH’2004上提出的形变传递方法是表情克隆概念的扩展,其将源三角形网格的形变应用到参考目标三角形网格中。为了生成形变后的目标模型,无论是使用表情克隆还是形变传递方法,都必须同时给定参考源模型、形变后的源模型以及参考目标模型。The deformation transfer method proposed by Sumner and Popovic at SIGGRAPH'2004 is an extension of the expression cloning concept, which applies the deformation of the source triangle mesh to the reference target triangle mesh. In order to generate the deformed target model, whether using the expression cloning method or the deformation transfer method, the reference source model, the deformed source model and the reference target model must be given at the same time.
表情克隆和形变传递的另一个局限是源和目标参考网格必须有相同的运动姿态,因为这两种方法复制由变形所导致的形状改变。此外,如果源形变本身缺乏真实性,显然由源形变所生成的形变目标模型也一定不够生动,而且不幸的是无法提供有效的手段来改善结果。Another limitation of expression cloning and morph transfer is that the source and target reference meshes must have the same motion pose, since both methods replicate the shape changes caused by morphing. Furthermore, if the source morph itself lacks realism, it is clear that the morph target model generated by the source morph must also be less than realistic, and unfortunately does not provide an effective means to improve the result.
发明内容Contents of the invention
本发明的目的是提供一种直接传递三维模型姿态的方法——模型转导,是一种基于网格的方法,可以直接将源三维模型的姿态传递给目标三维模型。The purpose of the present invention is to provide a method for directly transferring the pose of a 3D model—model transduction, which is a grid-based method that can directly transfer the pose of a source 3D model to a target 3D model.
本发明的又一目的是提供一种直接传递三维模型姿态的方法——模型转导,该方法是通用的,不需要源模型和参考目标模型共享一样数目的顶点和三角形。Another object of the present invention is to provide a method of directly transferring the pose of a 3D model - model transduction, which is general and does not require the source model and the reference target model to share the same number of vertices and triangles.
为达到上述目的,本发明的技术解决方案是提供一种直接传递三维模型姿态的方法——模型转导,可以直接将源三维模型的姿态传递给目标三维模型;模型转导主要通过以下步骤来实现:第一步,用户指定源/目标模型特征对应锚点,然后由对应算法自动建立源和目标三角形的对应关系;第二步,三角形面片被旋转和平移以生成一个临时网格,该模型提取了参考目标网格的刚性成分,而同时又保留了源网格的姿态信息;第三步,把临时网格中的面片依照拉普拉斯微分约束进行重新组合,通过求解全局优化形变来得到最终的三维模型。In order to achieve the above-mentioned purpose, the technical solution of the present invention is to provide a method for directly transferring the posture of the 3D model——model transduction, which can directly transfer the posture of the source 3D model to the target 3D model; the model transduction is mainly through the following steps: Implementation: In the first step, the user specifies the anchor points corresponding to the source/target model features, and then the corresponding algorithm automatically establishes the corresponding relationship between the source and target triangles; in the second step, the triangle patches are rotated and translated to generate a temporary mesh, which The model extracts the rigid components of the reference target mesh while retaining the pose information of the source mesh; in the third step, the patches in the temporary mesh are recombined according to the Laplace differential constraints, and by solving the global optimization deformation to get the final 3D model.
所述的方法,其所述第一步中,不需要源模型和参考目标模型共享一样数目的顶点和三角形,即如果源和参考目标网格有不同数目的顶点和三角形,用户可首先通过指定源/目标模型的特征对应锚点,用迭代最近点的方法将参考目标网格尽可能逼近地形变到源网格,并同时自动求得源/目标所有三角形面片的对应关系,此对应过程用二次误差函数描述为:In the first step of the method, the source model and the reference target model do not need to share the same number of vertices and triangles, that is, if the source and reference target meshes have different numbers of vertices and triangles, the user can first specify The feature of the source/target model corresponds to the anchor point, and the reference target grid is transformed to the source grid as close as possible by the iterative nearest point method, and at the same time, the corresponding relationship of all the triangle faces of the source/target is automatically obtained. This correspondence process Described by a quadratic error function as:
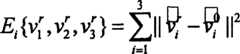
所述的方法,其所述第二步骤为生成临时刚体网格,即对于每一对源/目标三角形,找到一个临时三角形{v1r,v2r,v3r},其由旋转、平移参考目标三角形而获得;为了编码源网格的姿态信息,临时三角形由最小化以下二次误差函数获得:In the method, the second step is to generate a temporary rigid body grid, that is, for each pair of source/target triangles, find a temporary triangle {v1r , v2r , v3r }, which is composed of rotation, Obtained by translating the reference target triangle; in order to encode the pose information of the source mesh, the temporary triangle is obtained by minimizing the following quadratic error function:
同时满足:
其中,vi0为参考目标三角形的顶点、为源三角形的顶点,i=1,2,3,4。Among them, vi0 is the vertex of the reference target triangle, is the vertex of the source triangle, i=1, 2, 3, 4.
所述的方法,其所述第三步骤为平移三角形并满足细节微分约束,平移项Et用二次误差函数描述为:Described method, its described third step is translation triangle and satisfies detail differential constraint, and translation term Et is described as with quadratic error function:
微分约束项El用二次误差函数描述为:The differential constraint term El is described by the quadratic error function as:
完整的目标函数E为以上两个二次误差函数之和:The complete objective function E is the sum of the above two quadratic error functions:
E(V′)=Et+El。E(V')=Et +El .
本发明考虑了一个非常不同而且富有挑战的问题:如果参考源模型不可得,即只有形变后的源模型和参考目标模型,那么我们能否得到既具备源模型的姿态又同时保持参考目标模型几何细节特征的形变目标模型呢?本发明方法称之为模型转导,这种方法能应用于不同结构的网格(即不同的顶点数,不同的三角形数,以及不同的网络连接关系),通过计算目标形状的全局优化形变,可以传递任意的非线性形变。The present invention considers a very different and challenging problem: if the reference source model is not available, that is, only the deformed source model and the reference target model, can we obtain a pose with the source model while maintaining the reference target model geometry? What about deformable target models for detailed features? The method of the present invention is called model transduction, and this method can be applied to grids of different structures (that is, different numbers of vertices, different numbers of triangles, and different network connection relations), by calculating the global optimization deformation of the target shape, Arbitrary nonlinear deformations can be transferred.
附图说明Description of drawings
图1本发明一种直接传递三维模型姿态的方法——模型转导示意图;Fig. 1 is a method of directly transmitting the attitude of a three-dimensional model of the present invention - a schematic diagram of model transduction;
图2本发明中生成临时刚体网格示意图;Fig. 2 generates a schematic diagram of a temporary rigid body grid in the present invention;
图3(a)使用已有形变传递方法,狮子的形变传递到猫上的示意图;图3(b)使用本发明模型转导方法,猫直接模仿狮子的姿态的示意图;Fig. 3 (a) uses the existing deformation transfer method, the schematic diagram of the transformation of the lion to the cat; Fig. 3 (b) uses the model transduction method of the present invention, the schematic diagram of the cat directly imitating the posture of the lion;
图4(a)使用已有形变传递方法,猫的形变传递到狮子上的示意图;图4(b)使用本发明模型转导方法,狮子直接模仿猫的姿态的示意图;Fig. 4 (a) uses the existing deformation transmission method, the schematic diagram of cat's deformation transmission to the lion; Fig. 4 (b) uses the model transduction method of the present invention, the schematic diagram of lion directly imitating the posture of cat;
图5使用本发明模型转导方法,一个老年男子直接模仿一个青年男子表情的示意图。Fig. 5 is a schematic diagram of an old man directly imitating the expression of a young man using the model transduction method of the present invention.
具体实施方式Detailed ways
在计算机图形学中,三维表面采用全局或局部坐标系表示。全局坐标系统显式地指定出几何数据的全局欧拉坐标以表征特定的形状。相比之下,局部坐标系统编码了表面的内在几何参数。全局坐标系统可方便地用于几何变换、纹理、碰撞检测以及渲染。而另一方面,局部坐标系统适用于要求保持表面局部细节特征的网格编辑操作。In computer graphics, three-dimensional surfaces are represented using a global or local coordinate system. The global coordinate system explicitly specifies the global Euler coordinates of geometric data to represent a specific shape. In contrast, the local coordinate system encodes the intrinsic geometric parameters of the surface. The global coordinate system is convenient for geometric transformations, texturing, collision detection, and rendering. On the other hand, the local coordinate system is suitable for mesh editing operations that require maintaining local details of the surface.
为了实现一种直接传递三维模型姿态的方法——模型转导方法,我们实现了一种网格重建系统,其既包括了全局特征也包括了局部特征。这种表示方法假定一些三角形为独立且旋转不变的刚性面片,其采用全局坐标来定义。另一方面,一系列预定义的约束(如将几何细节信息编码成拉普拉斯微分形式)同时放置于邻接三角形面片之中,其定义为局部坐标。为了将三角形网格拼接成有意义的模型,刚性定义的三角形被平移、旋转,并同时满足预定义的微分约束。这个系统既有全局坐标又有局部坐标系统的优势:一方面,刚性定义的三角形具有显式的表示,被描述成绝对欧拉坐标。这些三角形相对地独立,并具有重建整个网格某些区域的能力;另一方面,将几何细节编码成微分坐标提供了一种内在的表面网格表征形式,网格几何能在保持局部外观的情况下重建出来。To implement a method for directly transferring the pose of a 3D model—the model transduction method—we implement a mesh reconstruction system that incorporates both global and local features. This representation assumes that some triangles are independent and rotation-invariant rigid patches, which are defined in global coordinates. On the other hand, a series of predefined constraints (such as encoding geometric detail information into Laplace differential form) are simultaneously placed in adjacent triangle patches, which are defined as local coordinates. To stitch triangle meshes into meaningful models, rigidly defined triangles are translated, rotated, and simultaneously satisfy predefined differential constraints. This system has the advantages of both global and local coordinate systems: on the one hand, rigidly defined triangles have an explicit representation, described as absolute Euler coordinates. These triangles are relatively independent and have the ability to reconstruct certain regions of the entire mesh; on the other hand, encoding geometric details into differential coordinates provides an intrinsic surface mesh representation, and the mesh geometry can maintain local appearance. case rebuilt.
三角网格是表面的当前主流表示形式之一。因为任意多边形都可以很方便地被剖分为三角形网,故这里只讨论三角形网格曲面的处理。Triangular meshes are one of the current mainstream representations of surfaces. Since any polygon can be easily divided into triangular meshes, only the processing of triangular mesh surfaces is discussed here.
一种直接传递三维模型姿态的方法——模型转导,包括主要两个步骤:首先提取参考目标网格的刚性成分并将其放置于源网格上,然后根据局部定义的拉普拉斯属性约束,将这些刚性面片进行重新组合,通过求解全局优化形变来得到最后结果。A method of directly transferring the pose of a 3D model, model transduction, consists of two main steps: first extracting the rigid component of the reference target mesh and placing it on the source mesh, and then according to the locally defined Laplacian properties Constraints, these rigid patches are recombined, and the final result is obtained by solving the global optimization deformation.
下面的过程将详细描述每一个步骤。The following procedure describes each step in detail.
1、生成临时刚体网格:1. Generate a temporary rigid body mesh:
我们将形变表示为三角形的仿射变换集合。用vi0和分别代表参考目标三角形和源三角形的顶点。其中v4(v40或)被定义为垂直于三角形平面上的一个顶点:We represent deformations as a collection of affine transformations of triangles. with vi0 and Represent the vertices of the reference target triangle and source triangle, respectively. where v4 (v40 or ) is defined to be perpendicular to a vertex on the triangle plane:
v4=cr+(v1-cr)×(v2-cr) (1)v4 =cr +(v1 -cr )×(v2 -cr ) (1)
这里,cr为三角形的质心。Here,cr is the centroid of the triangle.
然后我们按照三角形的顶点集合定义了一个3×3的矩阵Q,其表征了从参考目标三角形到对应的源三角形的仿射变换:Then we define a 3×3 matrix Q according to the set of vertices of the triangle, which characterizes the affine transformation from the reference target triangle to the corresponding source triangle:
在这一步中,我们的目标是获得临时网格(见图1c,图3b-4)。首先将参考目标网格的所有三角形打散而同时保证不对它们进行弯曲变形,然后将它们旋转、平移到源网格的各个对应三角形上。下面我们将描述这个过程。In this step, our goal is to obtain a temporary mesh (see Fig. 1c, Fig. 3b-4). First break up all the triangles of the reference target mesh without warping them, and then rotate and translate them to the corresponding triangles of the source mesh. Below we describe this process.
为了获得临时网格,我们可以首先用奇异值分解(SVD)的方法将矩阵Q分解为旋转分量Rr和剪切拉伸分量S两部分(Shoemake等人于Graphics Interface′92提出):In order to obtain a temporary grid, we can decompose the matrix Q into two parts, the rotation component Rr and the shear tension component S, using the singular value decomposition (SVD) method (Shoemake et al. proposed in Graphics Interface'92):
这里的Rr并不足够精确,但它可以作为下面迭代解的一个好的初始值。即给定上述初始值,对于每一对源/目标三角形,我们希望找到一个临时三角形{v1r,v2r,v3r}(参见图2),其由旋转、平移参考目标三角形而获得。为了尽可能地编码源网格的姿态信息,临时三角形由最小化以下二次误差函数获得:The Rr here is not precise enough, but it can be used as a good initial value for the iterative solution below. That is, given the above initial values, for each pair of source/target triangles, we hope to find a temporary triangle {v1r , v2r , v3r } (see Figure 2), which is obtained by rotating and translating the reference target triangle get. In order to encode the pose information of the source mesh as much as possible, temporary triangles are obtained by minimizing the following quadratic error function:
满足:
其中为计算过程中的另一个临时三角形,其相似于三角形{v1r,v2r,v3r},即:in is another temporary triangle in the calculation process, which is similar to the triangle {v1r , v2r , v3r }, namely:
i=1,2,3(s为比例因子) i=1, 2, 3 (s is a scaling factor)
2、平移三角形并满足细节微分约束:2. Translate the triangle and satisfy the detail differential constraints:
已经获得临时三角网格后,我们现在将它们重新拼接起来以获得最终结果。在第二步中,我们按照预定义的约束来平移临时网格的刚体三角形。最终三角形{v1′,v2′,v3′}的三个顶点的坐标可由最小化每个三角形三个顶点的平移距离之差来获得:Having obtained the temporary triangulated meshes, we now stitch them back together to get the final result. In the second step, we translate the rigid body triangles of the temporary mesh according to predefined constraints. The coordinates of the three vertices of the final triangle {v1 ′, v2 ′, v3 ′} can be obtained by minimizing the difference in the translation distances of the three vertices of each triangle:
v1-v1′=v2-v2′=v3-v3′ (5)v1 -v1 '=v2 -v2 '=v3 -v3 ' (5)
用二次项误差函数来重写上述最小化问题:Rewrite the above minimization problem using a quadratic error function:
如上所述,为了将三角形面片合理地拼接起来,还需要同时在邻接三角形之间满足预定义的约束。这里我们将几何细节编码为三角形网格的拉普拉斯微分坐标:
其中,Q为相对于每个源三角形面片的仿射变换矩阵,δ为顶点Among them, Q is the affine transformation matrix relative to each source triangle patch, and δ is the vertex
vi在变换前的拉普拉斯微分坐标,ξ(vi′)为变换后的拉普拉斯微分坐The Laplace differential coordinates of vi before transformation, ξ(vi ′) is the Laplace differential coordinates after transformation
标,||□||F为Frobenius范数。, ||□||F is the Frobenius norm.
El的第一项指出三维模型的局部形状细节在经过变换后应该被保留;第二项指定了空间约束;第三项指出邻接三角形之间的仿射变换应该是平滑过渡的。The first item of El indicates that the local shape details of the 3D model should be preserved after transformation; the second item specifies the space constraints; the third item indicates that the affine transformation between adjacent triangles should be a smooth transition.
为了保留局部形状细节,Qk应该被限制为旋转矩阵。Sorkine等人在2004年的Eurographics/ACM SIGGRAPH symposium on Geometryprocessing上提出了一种局部线性的表示方法,但该方法只能在小角度的情况下保证旋转矩阵约束条件。而在本发明的模型转导方法中,我们无需显式地附加这些约束,因为前面的Et项已经隐式地指出了仿射变换应该为旋转变换。To preserve local shape details,Qk should be constrained to be a rotation matrix. Sorkine et al. proposed a local linear representation method on the Eurographics/ACM SIGGRAPH symposium on Geometryprocessing in 2004, but this method can only guarantee the rotation matrix constraints in the case of small angles. However, in the model transduction method of the present invention, we do not need to explicitly attach these constraints, because the previous Et item has implicitly pointed out that the affine transformation should be a rotation transformation.
这样我们完整的目标函数E为两个二次误差函数之和:Thus our complete objective function E is the sum of two quadratic error functions:
E(V′)=Et+El (8)E(V')=Et +El (8)
令
3、建立源和目标模型的对应关系:3. Establish the corresponding relationship between source and target models:
如果源和参考目标网格有不同数目的顶点和三角形,我们应该在步骤1和2之前首先生成一个和参考目标模型具有相同顶点和三角形数目的临时源模型。用户只需指定源/目标相互对应的锚点(一般50~80个特征点对),我们就可用迭代最近点的方法将参考目标网格尽可能逼近地形变到源网格来得到这个临时模型,并同时自动求得源/目标所有三角形面片的对应关系。本发明的方法类似于Allen等人在SIGGRAPH’2003,Sumner和Popovic在SIGGRAPH’2004中提出的对应方法,但采用了我们的数值框架,并且无需设定阈值来建立对应列表。本发明方法无需建立源和目标网格的公共参数化域。If the source and reference target meshes have different numbers of vertices and triangles, we should first generate a temporary source model with the same number of vertices and triangles as the reference target model before
对应系统也采用相似于求解模型转导所用的二次误差函数:The corresponding system also uses a quadratic error function similar to that used to solve model transduction:
其中第一项为单位矩阵项,作用是防止在求解过程中产生剧烈的网格形变,这一项的系数wl一般取较小的系数,这里为0.001;第二项为锚点约束项,目的是使用户指定的顶点尽可能地形变到锚点位置,这里的wm一般取较大的数值,这里为10000.0;第三项为形变平滑项,即邻接三角形之间的变换改变应该是尽可能平滑的,ws一般取1.0;第四项为最近点项,指出每次迭代得到的临时源模型上的每个顶点位置应该为源网格上对应的最近点。The first item is the identity matrix item, which is used to prevent severe grid deformation during the solution process. The coefficient wl of this item generally takes a small coefficient, here is 0.001; the second item is the anchor point constraint item, The purpose is to make the vertex specified by the user deform to the anchor point as much as possible. Here, wm generally takes a larger value, here is 10000.0; the third item is the deformation smoothing item, that is, the transformation between adjacent triangles should be as fast as possible Possibly smooth, ws generally takes 1.0; the fourth item is the closest point item, indicating that each vertex position on the temporary source model obtained by each iteration should be the corresponding closest point on the source grid.
以上对应过程我们取wc为从1.0到1000.0中的任意数,共迭代四次即可得到一个满意的解。这样,我们就获得了一个临时模型(兼容网格),其与源网格相似但和参考目标网格具有一样的顶点和三角形数目,然后便可直接应用模型转导技术。注意到在这一步中并不需要生成非常精细的对应,因为该兼容网格只是作为姿态表征,而且微分约束项El将保持住网格的几何细节特征。In the above corresponding process, we take wc as any number from 1.0 to 1000.0, and iterate four times in total to get a satisfactory solution. In this way, we obtain a temporary model (compatible mesh) that is similar to the source mesh but has the same number of vertices and triangles as the reference target mesh, and can then directly apply the model transduction technique. Note that it is not necessary to generate a very fine correspondence in this step, since the compatible mesh is only used as a pose representation, and the differential constraint El will preserve the geometric details of the mesh.
下面结合附图详细说明模型转导的操作过程。图1(a)中猫为源模型,图1(b)中狮子为参考目标模型,本发明的方法并不要求初始的源、目标模型的拓扑关系一致,即相同的顶点数、三角形数和连接关系。我们首先使用前面介绍的对应系统将参考目标模型尽可能逼近地形变到源模型生成一个临时源模型,并同时自动求得源/目标的对应关系。在得到源/目标网格各个三角形面片的对应关系之后,模型转导直接传递猫(a)的姿态到狮子(b),以生成与猫(a)具有相同身体姿态的狮子(d)。图1(c)模型是一个临时结果,其通过先提取狮子(b)的刚性成分,然后将其映射到猫(a)上获得。使用一定的约束,比如图1(b)中的拉普拉斯局部微分属性,使图1(c)中网格的面片被重新排列,最后生成图1(d)所示的满意结果。我们可以看出,模型转导成功地传递了无论是总体的骨架结构还是精细的皮肤形变。更多的结果见图3、图4、图5。图3(a)为使用已有的形变传递方法,将狮子的形变传递到猫上;图3(b)为使用本发明所提出的模型转导方法,猫直接模仿狮子的姿态。图4(a)为使用已有的形变传递方法,将猫的形变传递到狮子上;图4(b)为使用本发明所提出的模型转导方法,狮子直接模仿猫的姿态。图5为使用本发明所提出的模型转导方法,一个老年男子直接模仿一个青年男子表情。其中,图3、图4是本发明方法——模型转导与Sumner和Popovic在SIGGRAPH’2004上提出的形变传递方法的比较。从结果可以看出,本发明方法在缺少参考源网格的情况下仍可获得逼真的形变结果。The operation process of model transduction will be described in detail below with reference to the accompanying drawings. The cat in Fig. 1(a) is the source model, and the lion in Fig. 1(b) is the reference target model. The method of the present invention does not require the topological relationship of the initial source and target models to be consistent, that is, the same number of vertices, triangles and connection relationship. We first use the correspondence system introduced earlier to morph the reference target model to the source model as close as possible to generate a temporary source model, and at the same time automatically obtain the source/target correspondence. After obtaining the correspondence of each triangle patch of the source/target mesh, model transduction directly transfers the pose of the cat (a) to the lion (b) to generate a lion (d) with the same body pose as the cat (a). The model in Figure 1(c) is an interim result obtained by first extracting the rigid component of the lion (b) and then mapping it to the cat (a). Using certain constraints, such as the Laplace local differential property in Figure 1(b), the patches of the grid in Figure 1(c) are rearranged, and finally the satisfactory result shown in Figure 1(d) is generated. We can see that model transduction successfully transfers both the gross skeleton structure and the fine skin deformation. See Figure 3, Figure 4, and Figure 5 for more results. Figure 3(a) uses the existing deformation transfer method to transfer the deformation of the lion to the cat; Figure 3(b) uses the model transduction method proposed by the present invention, the cat directly imitates the posture of the lion. Figure 4(a) uses the existing deformation transfer method to transfer the cat's deformation to the lion; Figure 4(b) uses the model transduction method proposed by the present invention, the lion directly imitates the posture of the cat. Fig. 5 shows that an old man directly imitates the expression of a young man using the model transduction method proposed by the present invention. Among them, Fig. 3 and Fig. 4 are comparisons between the method of the present invention - model transduction and the deformation transfer method proposed by Sumner and Popovic at SIGGRAPH'2004. It can be seen from the results that the method of the present invention can still obtain realistic deformation results in the absence of a reference source grid.
| Application Number | Priority Date | Filing Date | Title |
|---|---|---|---|
| CNB2006100782150ACN100545871C (en) | 2006-05-12 | 2006-05-12 | A Method for Directly Transferring the Pose of 3D Models |
| Application Number | Priority Date | Filing Date | Title |
|---|---|---|---|
| CNB2006100782150ACN100545871C (en) | 2006-05-12 | 2006-05-12 | A Method for Directly Transferring the Pose of 3D Models |
| Publication Number | Publication Date |
|---|---|
| CN101071514Atrue CN101071514A (en) | 2007-11-14 |
| CN100545871C CN100545871C (en) | 2009-09-30 |
| Application Number | Title | Priority Date | Filing Date |
|---|---|---|---|
| CNB2006100782150AExpired - Fee RelatedCN100545871C (en) | 2006-05-12 | 2006-05-12 | A Method for Directly Transferring the Pose of 3D Models |
| Country | Link |
|---|---|
| CN (1) | CN100545871C (en) |
| Publication number | Priority date | Publication date | Assignee | Title |
|---|---|---|---|---|
| CN101907459A (en)* | 2010-07-12 | 2010-12-08 | 清华大学 | Real-time 3D Rigid Object Pose Estimation and Ranging Method Based on Monocular Video |
| CN101944238A (en)* | 2010-09-27 | 2011-01-12 | 浙江大学 | Data driving face expression synthesis method based on Laplace transformation |
| CN102126239A (en)* | 2010-12-29 | 2011-07-20 | 禹州市神运机械有限公司 | Method for manufacturing model by using three-dimensional modeling |
| CN102236910A (en)* | 2010-04-20 | 2011-11-09 | 达索系统公司 | Automatic generation of 3D models from packaged goods product images |
| CN102306398A (en)* | 2011-08-12 | 2012-01-04 | 清华大学 | Method for deforming global energy grid based on adjustable normal numbers |
| CN102447901A (en)* | 2010-09-01 | 2012-05-09 | 微软公司 | Adaptive grid generation for improved caching and image classification |
| CN104881894A (en)* | 2015-05-26 | 2015-09-02 | 浙江大学 | Gradual change method of three-dimensional mesh model sequence |
| CN106204750A (en)* | 2016-07-11 | 2016-12-07 | 厦门幻世网络科技有限公司 | A kind of method and device based on 3D source model editor's 3D object module |
| CN106683169A (en)* | 2016-12-09 | 2017-05-17 | 华南理工大学 | Sparse local decomposition and restructuring algorithm of joint motion sensing |
| CN104200524B (en)* | 2014-09-11 | 2017-06-20 | 河海大学常州校区 | A 3D Mesh Bone Model Averaging Method for Bone Plate Design |
| CN107256207A (en)* | 2012-09-26 | 2017-10-17 | Sk 普兰尼特有限公司 | Apparatus and method for generating 3D object |
| CN107392985A (en)* | 2017-06-28 | 2017-11-24 | 浙江工商大学 | Move controllable shape interpolation method |
| CN108074284A (en)* | 2016-11-10 | 2018-05-25 | 奥多比公司 | The grid deformation of effective stylization is generated using multiple input grid |
| CN109544666A (en)* | 2018-10-26 | 2019-03-29 | 中国科学院计算技术研究所 | A kind of full automatic model deformation transmission method and system |
| CN109636917A (en)* | 2018-11-02 | 2019-04-16 | 北京微播视界科技有限公司 | Generation method, device, the hardware device of threedimensional model |
| CN109859322A (en)* | 2019-01-22 | 2019-06-07 | 广西大学 | A kind of spectrum posture moving method based on deformation pattern |
| CN106204473B (en)* | 2016-06-30 | 2019-07-16 | 扬州大学 | Recovery method for partial deformation of incomplete model based on Laplacian optimization |
| CN110111247A (en)* | 2019-05-15 | 2019-08-09 | 浙江商汤科技开发有限公司 | Facial metamorphosis processing method, device and equipment |
| CN110176079A (en)* | 2019-05-26 | 2019-08-27 | 中北大学 | A kind of three-dimensional model deformation algorithm based on quasi- Conformal |
| CN110647107A (en)* | 2019-09-26 | 2020-01-03 | 华中科技大学 | Porous free-form surface continuous scanning measurement trajectory planning method and system |
| CN111445585A (en)* | 2020-03-30 | 2020-07-24 | 三体智能科技(中山)有限公司 | Method and device for corresponding three-dimensional shape based on dual convex hull domain |
| CN112699791A (en)* | 2020-12-29 | 2021-04-23 | 百果园技术(新加坡)有限公司 | Face generation method, device and equipment of virtual object and readable storage medium |
| CN113450435A (en)* | 2021-06-25 | 2021-09-28 | 网易(杭州)网络有限公司 | Vertex animation processing method and device |
| Publication number | Priority date | Publication date | Assignee | Title |
|---|---|---|---|---|
| CN101807290B (en)* | 2010-03-26 | 2011-12-07 | 浙江大学 | two-dimensional cartoon character deformation method |
| Publication number | Priority date | Publication date | Assignee | Title |
|---|---|---|---|---|
| JP2001076177A (en)* | 1999-09-06 | 2001-03-23 | Fujitsu Ltd | Morphing image processing apparatus and method using polygon reduction processing |
| WO2004081878A1 (en)* | 2003-03-11 | 2004-09-23 | National University Of Singapore | Method and apparatus for generating morphing sequence |
| Publication number | Priority date | Publication date | Assignee | Title |
|---|---|---|---|---|
| CN102236910B (en)* | 2010-04-20 | 2014-07-30 | 达索系统公司 | Automatic generation of 3D models from packaged goods product images |
| CN102236910A (en)* | 2010-04-20 | 2011-11-09 | 达索系统公司 | Automatic generation of 3D models from packaged goods product images |
| US8570343B2 (en) | 2010-04-20 | 2013-10-29 | Dassault Systemes | Automatic generation of 3D models from packaged goods product images |
| CN101907459A (en)* | 2010-07-12 | 2010-12-08 | 清华大学 | Real-time 3D Rigid Object Pose Estimation and Ranging Method Based on Monocular Video |
| CN102447901A (en)* | 2010-09-01 | 2012-05-09 | 微软公司 | Adaptive grid generation for improved caching and image classification |
| CN101944238A (en)* | 2010-09-27 | 2011-01-12 | 浙江大学 | Data driving face expression synthesis method based on Laplace transformation |
| CN102126239A (en)* | 2010-12-29 | 2011-07-20 | 禹州市神运机械有限公司 | Method for manufacturing model by using three-dimensional modeling |
| CN102126239B (en)* | 2010-12-29 | 2013-04-03 | 禹州市神运机械有限公司 | Method for manufacturing model by using three-dimensional modeling |
| CN102306398A (en)* | 2011-08-12 | 2012-01-04 | 清华大学 | Method for deforming global energy grid based on adjustable normal numbers |
| CN102306398B (en)* | 2011-08-12 | 2014-09-03 | 清华大学 | Method for deforming global energy grid based on adjustable normal numbers |
| CN107256207B (en)* | 2012-09-26 | 2020-09-29 | Sk 普兰尼特有限公司 | Apparatus and method for generating 3D objects |
| CN107256207A (en)* | 2012-09-26 | 2017-10-17 | Sk 普兰尼特有限公司 | Apparatus and method for generating 3D object |
| CN104200524B (en)* | 2014-09-11 | 2017-06-20 | 河海大学常州校区 | A 3D Mesh Bone Model Averaging Method for Bone Plate Design |
| CN104881894A (en)* | 2015-05-26 | 2015-09-02 | 浙江大学 | Gradual change method of three-dimensional mesh model sequence |
| CN104881894B (en)* | 2015-05-26 | 2017-06-27 | 浙江大学 | A Gradient Method for 3D Mesh Model Sequences |
| CN106204473B (en)* | 2016-06-30 | 2019-07-16 | 扬州大学 | Recovery method for partial deformation of incomplete model based on Laplacian optimization |
| CN106204750A (en)* | 2016-07-11 | 2016-12-07 | 厦门幻世网络科技有限公司 | A kind of method and device based on 3D source model editor's 3D object module |
| WO2018010535A1 (en)* | 2016-07-11 | 2018-01-18 | 厦门幻世网络科技有限公司 | 3d source model-based method and apparatus for editing 3d target model |
| CN108074284A (en)* | 2016-11-10 | 2018-05-25 | 奥多比公司 | The grid deformation of effective stylization is generated using multiple input grid |
| CN108074284B (en)* | 2016-11-10 | 2023-10-13 | 奥多比公司 | Generating efficient stylized mesh deformation using multiple input meshes |
| CN106683169A (en)* | 2016-12-09 | 2017-05-17 | 华南理工大学 | Sparse local decomposition and restructuring algorithm of joint motion sensing |
| CN106683169B (en)* | 2016-12-09 | 2019-10-18 | 华南理工大学 | A Sparse Local Decomposition and Reconstruction Algorithm for Joint Motion Perception |
| CN107392985A (en)* | 2017-06-28 | 2017-11-24 | 浙江工商大学 | Move controllable shape interpolation method |
| CN107392985B (en)* | 2017-06-28 | 2020-07-17 | 浙江工商大学 | Motion-controllable shape interpolation method |
| CN109544666A (en)* | 2018-10-26 | 2019-03-29 | 中国科学院计算技术研究所 | A kind of full automatic model deformation transmission method and system |
| CN109636917A (en)* | 2018-11-02 | 2019-04-16 | 北京微播视界科技有限公司 | Generation method, device, the hardware device of threedimensional model |
| CN109859322A (en)* | 2019-01-22 | 2019-06-07 | 广西大学 | A kind of spectrum posture moving method based on deformation pattern |
| CN109859322B (en)* | 2019-01-22 | 2022-12-06 | 广西大学 | Spectral attitude migration method based on deformation graph |
| CN110111247A (en)* | 2019-05-15 | 2019-08-09 | 浙江商汤科技开发有限公司 | Facial metamorphosis processing method, device and equipment |
| US11100709B2 (en) | 2019-05-15 | 2021-08-24 | Zhejiang Sensetime Technology Development Co., Ltd | Method, apparatus and device for processing deformation of virtual object, and storage medium |
| CN110176079A (en)* | 2019-05-26 | 2019-08-27 | 中北大学 | A kind of three-dimensional model deformation algorithm based on quasi- Conformal |
| CN110647107B (en)* | 2019-09-26 | 2020-08-04 | 华中科技大学 | Method and system for continuous scanning measurement trajectory planning for porous free-form surfaces |
| CN110647107A (en)* | 2019-09-26 | 2020-01-03 | 华中科技大学 | Porous free-form surface continuous scanning measurement trajectory planning method and system |
| CN111445585A (en)* | 2020-03-30 | 2020-07-24 | 三体智能科技(中山)有限公司 | Method and device for corresponding three-dimensional shape based on dual convex hull domain |
| CN111445585B (en)* | 2020-03-30 | 2024-04-09 | 三体智能科技(中山)有限公司 | Three-dimensional shape correspondence method and device based on dual convex hull domain |
| CN112699791A (en)* | 2020-12-29 | 2021-04-23 | 百果园技术(新加坡)有限公司 | Face generation method, device and equipment of virtual object and readable storage medium |
| CN113450435A (en)* | 2021-06-25 | 2021-09-28 | 网易(杭州)网络有限公司 | Vertex animation processing method and device |
| CN113450435B (en)* | 2021-06-25 | 2023-05-26 | 网易(杭州)网络有限公司 | Vertex animation processing method and device |
| Publication number | Publication date |
|---|---|
| CN100545871C (en) | 2009-09-30 |
| Publication | Publication Date | Title |
|---|---|---|
| CN100545871C (en) | A Method for Directly Transferring the Pose of 3D Models | |
| Takayama et al. | Geobrush: Interactive mesh geometry cloning | |
| KR101250163B1 (en) | Process for creating from a mesh an isotopologic set of parameterized surfaces | |
| CN110619681B (en) | Human body geometric reconstruction method based on Euler field deformation constraint | |
| Abu Rumman et al. | Position‐based skinning for soft articulated characters | |
| CN102054296A (en) | Grid deformation method based on local rigidity | |
| EP2260403B1 (en) | Mesh transfer | |
| Ströter et al. | A Survey on Cage‐based Deformation of 3D Models | |
| Zhao et al. | Mesh parametrization driven by unit normal flow | |
| CN105427364B (en) | A method for making multi-touch two-dimensional animation | |
| Fratarcangeli | Position‐based facial animation synthesis | |
| Manson et al. | Hierarchical deformation of locally rigid meshes | |
| Museth et al. | Algorithms for interactive editing of level set models | |
| Thiery et al. | ARAPLBS: Robust and efficient elasticity‐based optimization of weights and skeleton joints for linear blend skinning with parametrized bones | |
| Li et al. | Multi-resolution modeling of shapes in contact | |
| Garcia et al. | Interactive applications for sketch-based editable polycube map | |
| CN118015192A (en) | A fast 3D model reconstruction method based on 2D images | |
| Fukusato et al. | Locality-Preserving Free-Form Deformation: T. Fukusato et al. | |
| Viville et al. | Meso‐Skeleton Guided Hexahedral Mesh Design | |
| Yang et al. | 3D shape metamorphosis based on T-spline level sets | |
| Fang et al. | Continuous field based free-form surface modeling and morphing | |
| Combaz et al. | Painting folds using expansion textures | |
| CN108876922A (en) | A kind of mesh amending method based on the regularization of interior dihedral angle supplementary angle | |
| Wood et al. | Subdivision multi-resolution systems for three-dimensional aerodynamic optimisation | |
| Tan et al. | A free shape 3d modeling system for creative design based on modified catmull-clark subdivision |
| Date | Code | Title | Description |
|---|---|---|---|
| C06 | Publication | ||
| PB01 | Publication | ||
| C10 | Entry into substantive examination | ||
| SE01 | Entry into force of request for substantive examination | ||
| C14 | Grant of patent or utility model | ||
| GR01 | Patent grant | ||
| CF01 | Termination of patent right due to non-payment of annual fee | Granted publication date:20090930 Termination date:20180512 | |
| CF01 | Termination of patent right due to non-payment of annual fee |