Movatterモバイル変換


[0]ホーム

URL:


CN101019694B - Set for assisting smoker to control smoked amount - Google Patents

Set for assisting smoker to control smoked amount
Download PDF

Info

Publication number
CN101019694B
CN101019694BCN2007100907184ACN200710090718ACN101019694BCN 101019694 BCN101019694 BCN 101019694BCN 2007100907184 ACN2007100907184 ACN 2007100907184ACN 200710090718 ACN200710090718 ACN 200710090718ACN 101019694 BCN101019694 BCN 101019694B
Authority
CN
China
Prior art keywords
cigarette
smoker
week
smoking
tobacco control
Prior art date
Legal status (The legal status is an assumption and is not a legal conclusion. Google has not performed a legal analysis and makes no representation as to the accuracy of the status listed.)
Expired - Fee Related
Application number
CN2007100907184A
Other languages
Chinese (zh)
Other versions
CN101019694A (en
Inventor
宋志民
Current Assignee (The listed assignees may be inaccurate. Google has not performed a legal analysis and makes no representation or warranty as to the accuracy of the list.)
Individual
Original Assignee
Individual
Priority date (The priority date is an assumption and is not a legal conclusion. Google has not performed a legal analysis and makes no representation as to the accuracy of the date listed.)
Filing date
Publication date
Application filed by IndividualfiledCriticalIndividual
Priority to CN2007100907184ApriorityCriticalpatent/CN101019694B/en
Publication of CN101019694ApublicationCriticalpatent/CN101019694A/en
Application grantedgrantedCritical
Publication of CN101019694BpublicationCriticalpatent/CN101019694B/en
Expired - Fee Relatedlegal-statusCriticalCurrent
Anticipated expirationlegal-statusCritical

Links

Images

Landscapes

Abstract

The set for assisting smoker to control smoked amount includes one rectangular casing, one keypad with locking key, smoking key, menu/exit key and direction/OK key, one LCD screen, one cigarette ejecting mechanism, one cigarette box, one battery, one IC board with miniature memory and treater, one cigarette box controlling switch, and one USB interface in the bottom of the casing. The set can accept and treat smoking data, provide the smoker with smoking control direction and help the smoker to remit the dependence on nicotine.

Description

A kind of smoker of help controls the device of cigarette amount
Technical field
The present invention relates to a kind ofly be used to help the smoker to control the device of cigarette amount.
Background technology
" China's " smoking is with healthy " in 2006 report " spells out the behavior hazards that smoking is multiple illness such as cardiovascular and cerebrovascular disease, cancer, chronic obstructive pulmonary disease, and people ' s health in serious harm.Current many smokers once repeatedly attempted to reduce smoking capacity or smoking cessation, a kind of solution that proposes is the nicotine replacement method, in concrete the enforcement nicotine chewing gum or non-combustible electronic atomized cigarette etc. are arranged, but all can not help of the dependence of smoker's reject, prove that simultaneously this method has certain harm to human body nicotine.
United States Patent (USP) (US7,028,693B2) electronic installation that a kind of smoker of help gives up smoking is proposed.This device is at first collected the data of smoker's cigarette smoking in the cycle at preset time, just produce a Tobacco Control plan then, and when the indication user allows smoking when to permit no smoking.The problem of this device is to use these data to produce the standing plans of having determined based in this device.Thereby all users have an identical plan, and consequent defective is that device only works to the sub-fraction people, and promptly these standing plans can not meet different crowd and reduce the different physiological reaction in back in the cigarette amount.This device can also postpone the smoker every day of smoking for the first time and shift to an earlier date the time of last smoking, but the problem of existence is its delay or do not have certain rules to follow in advance, can not scientifically alleviate the dependence of smoker to nicotine.
Most devices about help smoker Tobacco Control also only rest on to ES's confidence and indication aspect, do not have and really cigarette to be controlled, even can not take out cigarette by root with cigarette collection in a container, this has a greatly reduced quality Tobacco Control person aspect self-discipline.
In addition along with networks development, want that much the people that give up smoking begin to form the smoking cessation Web Community that belongs to themselves, people help each other in this community, encourage mutually, but their existing problems are the guidances that do not have to form science, can't obtain the suggestion of science, make the community member come on an impulse, come back disappointed, Tobacco Control is finally ended up with nothing definite.
Summary of the invention
The object of the present invention is to provide a kind of smoker of help to control the device of cigarette amount, thereby give the guidance of smoker's science, make the smoker obtain to meet the Tobacco Control plan of self physiological reaction, strengthen self-discipline and Tobacco Control confidence, progressively alleviate the dependence of smoker nicotine.
To achieve these goals, provide a kind of smoker of help to control the device of cigarette amount, this device is the rectangle housing, the housing front is provided with keyboard lockout key, smoking key, menu/ESC Escape, direction/OK key and LCDs, enclosure interior is provided with and plays cigarette mechanism, cigarette casket, battery, the surface-mounted integrated circuit that is loaded with miniature storage and processor and cigarette casket switch, and the housing bottom surface is provided with USB interface; Wherein the keyboard lockout key is used for the locking device button, prevents maloperation; The smoking key is used to start and plays cigarette mechanism and produce count signal for miniature storage and processor use; Menu/ESC Escape, direction/OK key and LCDs are used for the demonstration and the setting of described device screen menu; Described miniature storage and processor are used to store described cigarette smoking data, the cigarette amount mode of successively decreasing, and calculate the Tobacco Control behavioral data and to the automatic control of described device exercises; USB interface is used to described device charging and becomes described device and the interface of computer transmission data.
Said apparatus is at first collected the cigarette smoking data of smoker in a period of time, and allow the smoker further to revise described cigarette smoking data, the cigarette amount that the receives smoker's appointment then mode of successively decreasing, further determine the Tobacco Control behavioral data according to cigarette smoking data and the cigarette amount mode of successively decreasing at last, thereby enter the Tobacco Control state and indicate the smoker when to be allowed to smoking.
Control in the device of cigarette amount above-mentioned help smoker, described a period of time, its time length should be more than or equal to 7 days, can collect the smoker like this in Monday, two, three, four, five, six cigarette smoking data different with Sunday.
Control in the device of cigarette amount above-mentioned help smoker, the cigarette smoking data comprise the average amount of smoking b of week nn, week n inhales t average time of first cigaretteSnT average time with week n suction last cigaretteEnHere in average out to a period of time of indication to the cigarette smoking data by Monday, two, three, four, five, six and add up respectively Sunday and calculating mean value determines;
Control in the device of cigarette amount above-mentioned help smoker, the cigarette amount mode expression formula of successively decreasing is bn-an* Fm, expression formula result is the smoking capacity of the week n in the m week after Tobacco Control m-1 week, wherein bnBe the average amount of smoking of above-mentioned week n, parameter anBe the number of cigarettes that will reduce at week n of smoker's appointment, FmIs the decreasing function of independent variable for smoker's appointment with Tobacco Control week number m;
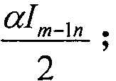
Control in the device of cigarette amount above-mentioned help smoker, the Tobacco Control behavioral data comprises that the week n in m Tobacco Control week inhales A Cigarette Without You tMsn, inhale the time t of last cigaretteMen, smoking time interval IMnWith time parameter α, wherein
Figure G2007100907184D00021
HerePromptly the week n in m Tobacco Control week inhales A Cigarette Without You tMsnN inhales A Cigarette Without You t in the phase in m-1 Tobacco Control weekM-1snThe basis on postpone
Figure G2007100907184D00023
Figure G2007100907184D00024
Promptly the week n in m Tobacco Control week inhales the time t of last cigaretteMenInhale the time t of last cigarette at the week in m-1 Tobacco Control week nM-1enThe basis in advance
Figure G2007100907184D00025
The α value is at 0~anBetween; α>0 can guarantee that inhaling A Cigarette Without You postpones to some extent, and the time of inhaling last cigarette shifts to an earlier date to some extent, simultaneously α<an, can guarantee the week n smoking time interval I in m Tobacco Control weekMnWeek n smoking time interval I greater than m-1 Tobacco Control weekM-1nAbove-mentioned m=1,2,3... is a Tobacco Control week number, n=1,2,3,4,5,6,7 represent that promptly Monday is to Sunday.
According to the present invention, the help smoker who provides controls the device of cigarette amount according to aforementioned tMsn, tMenAnd IMnDetermine to allow accurately the smoking time, indication smoker smoking; Simultaneously when device indication smoker smoking, the smoker can by set the mode that postpones to allow the smoking time avoid can't smoking situation.
According to the present invention, the help smoker who provides controls the device of cigarette amount at expression formula bn-an* FmThe result was smaller or equal to 2 o'clock, promptly the smoking capacity of m week week n was smaller or equal to 2 o'clock, when perhaps the Tobacco Control state was interrupted for a certain reason by the smoker, miniature storage and processor (501) asked the smoker to determine new cigarette smoking data, cigarette amount successively decrease mode or Tobacco Control behavioral data automatically.
Control in the device of cigarette amount above-mentioned help smoker, playing cigarette mechanism forms by playing tobacco rod, travel switch, lock arm and solenoid, play the tobacco rod end and be provided with bullet chimney bamboo shoot and stop pin, playing the tobacco rod upper end is connected with Yan Gai and an end by back-moving spring and is fixed in the inboard end of housing and is fixed in the extension spring that plays on the tobacco rod, travel switch and lock arm are arranged on the stop pin both sides and are fixed on the housing, lock arm is connected with solenoid with the compression spring by armature, and solenoid links to each other with surface-mounted integrated circuit.
Control in the device of cigarette amount above-mentioned help smoker, the cigarette casket is by hollow housing, cigarette casket bayonet socket, holder cigarette piece, compression spring set becomes, cigarette casket bayonet socket is arranged on the hollow housing outer surface, be used for pinning or withdrawing from the cigarette casket, the compression spring is arranged in the hollow housing, the one end is pressed in the hollow housing bottom, the other end is held cigarette by holder cigarette piece and is pressed in the hollow housing opening part, the institute hold cigarette can be two row be staggeredly placed, and the hollow housing front is shaped as trapezoidal, the end openings cross sectional shape is the arcs of recesses with cigarette coupling, and the vertical range of asking cigarette piece and two to be listed as two faces that cigarettes contact simultaneously is the cigarette radius.
Control in the device of cigarette amount above-mentioned help smoker, the cigarette casket is become by hollow housing, cigarette casket bayonet socket, holder cigarette piece, compression spring set, cigarette casket bayonet socket is arranged on the hollow housing outer surface, be used for pinning or withdrawing from the cigarette casket, the compression spring is arranged in the hollow housing, and the one end is pressed in the hollow housing bottom, and the other end is held cigarette by holder cigarette piece and is pressed in the hollow housing opening part, institute holds cigarette and can be single-row placement, and hollow housing end openings cross sectional shape is the arcs of recesses that mates with cigarette.
Control in the device of cigarette amount above-mentioned help smoker, cigarette casket switch is made up of compression spring, solenoid, housing and armature, and above-mentioned armature is connected with solenoid with the compression spring by housing, is used for pinning or withdrawing from the cigarette casket, and solenoid links to each other with surface-mounted integrated circuit.
Control in the device of cigarette amount above-mentioned help smoker, the decreasing function that is independent variable with all number m of Tobacco Control of smoker's appointment can be Fm=mc, m is Tobacco Control week number, parameter c is the function number of times, and satisfies c=1, and 2, the positive integer of 3..., the above-mentioned cigarette amount mode expression formula b that successively decreasesm-an* FmAccording to the difference of parameter c value linear decrease or the high order mode of successively decreasing is arranged.
Control in the device of cigarette amount above-mentioned help smoker, the decreasing function that is independent variable with all number m of Tobacco Control of smoker's appointment can be Fm=dM-1, m is Tobacco Control week number, parameter d is the function truth of a matter, and is the integer greater than 1, the above-mentioned cigarette amount mode expression formula b that successively decreasesn-an* FmDifference according to the parameter d value has different exponential decrease modes.
Description of drawings
The invention will be further described below in conjunction with accompanying drawing, wherein:
State when Figure 1A-1C illustrates the front, the back side of apparatus of the present invention and ejection cigarette;
Fig. 2 A-2B illustrates the spatial relationship (front and back) of apparatus of the present invention housing and cigarette casket;
Fig. 3 A illustrates the front view of apparatus of the present invention;
Fig. 3 B illustrates the A of apparatus of the present invention to digging view;
Fig. 3 C illustrates the B of apparatus of the present invention to digging view;
Fig. 3 D illustrates another embodiment of apparatus of the present invention cigarette casket;
Fig. 3 E illustrates the amplification assumption diagram of apparatus of the present invention cigarette casket switch in Fig. 3 A;
Fig. 4 A-4D illustrates the process that apparatus of the present invention eject cigarette;
Fig. 5 A illustrates apparatus of the present invention and gets cigarette smoking module implementing procedure figure;
Fig. 5 B illustrates apparatus of the present invention and collects cigarette smoking data module implementing procedure figure;
Fig. 5 C illustrates apparatus of the present invention and specifies successively decrease mode and generate Tobacco Control behavioral data module implementing procedure figure of cigarette amount;
Fig. 5 D illustrates apparatus of the present invention Tobacco Control procedure module implementing procedure figure;
Fig. 5 E illustrates the time set and the excitation language setting module of apparatus of the present invention;
Fig. 6 A-6L illustrates the screen setup procedure of apparatus of the present invention.
The specific embodiment
As Figure 1-3, apparatus of the present invention are the rectangle housing, the housing front is provided withkeyboard lockout key 101,smoking key 102, menu/ESC Escape 103, direction/OK key 104 andLCDs 105, enclosure interior is provided with and playscigarette mechanism 201,cigarette casket 301,battery 401, the surface-mounted integratedcircuit 502 that is loaded with miniature storage andprocessor 501 andcigarette casket switch 601, and the housing bottom surface is provided with usb 1 06.
Itscigarette mechanism 201 of being hit by a bullet forms by playingtobacco rod 202,travel switch 203,lock arm 204 andsolenoid 205, playtobacco rod 202 ends and be provided with bulletchimney bamboo shoot 206 and stoppin 207, playingtobacco rod 202 upper ends is connected withcigarette lid 208 and one end by back-moving spring and is fixed in the inboard end of housing and is fixed in theextension spring 209 that plays on thetobacco rod 202,travel switch 203 andlock arm 204 are separately positioned onstop pin 207 both sides and are fixed on the housing,lock arm 204 is connected withsolenoid 205 withcompression spring 211 byarmature 210, andsolenoid 205 links to each other with surface-mounted integratedcircuit 502.
Whereincigarette casket 301 is byhollow housing 302, cigarettecasket bayonet socket 303,holder cigarette piece 304,compression spring 305 is formed, cigarettecasket bayonet socket 303 is arranged onhollow housing 302 outer surfaces, be used for pinning or withdrawing fromcigarette casket 301,compression spring 305 is arranged in thehollow housing 302, the one end is pressed inhollow housing 302 bottoms, the other end is held cigarette byholder cigarette piece 304 and is pressed inhollow housing 302 opening parts, cigarette thatcigarette casket 301 holds is two row and is staggeredly placed, whereinhollow housing 302 front are shaped as trapezoidal, the end openings cross sectional shape is and the arcs of recesses of cigarette coupling thatholder cigarette piece 304 is the cigarette radius with the vertical range of two faces that two row cigarettes contact.
Whereincigarette casket 301 another embodiment are made up ofhollow housing 302, cigarettecasket bayonet socket 303,holder cigarette piece 304,compression spring 305, cigarettecasket bayonet socket 303 is arranged onhollow housing 302 outer surfaces, be used for pinning or withdrawing fromcigarette casket 301,compression spring 305 is arranged in thehollow housing 302, the one end is pressed inhollow housing 302 bottoms, the other end is held cigarette byholder cigarette piece 304 and is pressed inhollow housing 302 opening parts,cigarette casket 301 hold cigarette and be single-row placement, whereinhollow housing 302 end openings cross sectional shapes are the arcs of recesses with the cigarette coupling.
Whereincigarette casket switch 601 is made up ofcompression spring 602,solenoid 603,housing 604 andarmature 605,armature 605 is connected withsolenoid 603 withcompression spring 602 byhousing 604, be used for pinning or withdrawing fromcigarette casket 301,solenoid 603 links to each other with surface-mounted integratedcircuit 502.
With reference to Figure 1A, the smoker can lock or all buttons of opening device by long 101 several seconds of keypad locking key or with promoting about it, the smoker can presssmoking key 102 and make thebullet cigarette mechanism 201 of the device inside that cigarette illustrates by dashedbox cover 208 from cigarette to eject, menu/ESC Escape 103 and direction/OK key 104 is used in combination, carry out the shown menus ofLCDs 105 and set, whereinbattery 401 lithium battery preferably.
With reference to Figure 1B, the smoker can use usb 1 06 to bebattery 401 chargings, can make it simultaneously to become the interface that transmits the Tobacco Control data with computer, by further optimizing computer program, can make the Tobacco Control data adapting that imports in the Tobacco Control community that uploads to the internet, in community, exchange the Tobacco Control experience for the smoker, in interaction, improve the Tobacco Control effect with friends.
With reference to Fig. 1 C,bullet tobacco rod 202 is taken cigarette and is ejected simultaneously, eject highly a little higher than stub length, the smoker can be along playing the outside drawn cigarette oftobacco rod 202 directions subsequently,cigarette lid 208 is open cigarette is extracted out smoothly in the extraction process, extract backcigarette lid 208 out and reset under the effect of back-moving spring, the smoker can pushbullet tobacco rod 202 and be reset to the state shown in Figure 1A afterwards.
With reference to Fig. 2 A-2B, the smoker packs cigarette into behind the cigarette caskethollow housing 302, and the inlet of alignment device side inserts, up to hear " clickly " sound shows that promptly cigarettecasket bayonet socket 303 is blocked by thearmature 605 of cigarette casket switch 601.In conjunction with Fig. 3 A and 3E, the cigarette casket that will install cigarette the smoker inserts in the process of device,armature 605 is subjected tohollow housing 302 extruding, pressingcompression spring 602 to move downward to make the cigarette casket can access to plant, move toarmature 605 tops up to cigarettecasket bayonet socket 303, this moment,armature 605 was upspring under the effect ofcompression spring 602, promptly above-mentioned " clickly " sound locklives cigarette casket 301.
With reference to Fig. 3 C, when not having cigarette in the cigarette casket,holder cigarette piece 304 is close to the front portion ofhollow housing 302 under 305 effects of compression spring, and contacts with playingchimney bamboo shoot 206, stops it to move upward, and this just can produce a signal of telecommunication and show that device has not had cigarette.When the smoker adorns cigarette, can be with cigarette by an end openings place that is pressed intohollow housing 302, along with cigarette is pressed into,holder cigarette piece 304 pressurizeds move to cigarette casket 301 bottoms, till adorning cigarette like this and promptly askingcigarette piece 304 to move up to packing into.
Fig. 3 D illustrates another embodiment of cigarette casket, is single-row placement because it holds cigarette, can reduce the thickness of whole device like this, is more convenient for carrying.
Judge that when device when not having cigarette to adorn cigarette, device can the prompting smoker givesolenoid 603 energisings by keyboard operation, promptly openssolenoid 603 and attractsarmature 605 to move down, makecigarette casket 301 state that unlocks, the smoker can take offcigarette casket 301 and continue the dress cigarettes; This just means that also the cigarette casket 301 persons of permitting no smoking take off when cigarette does not also exhaust, and prevents to take place not according to the situation of Tobacco Control behavioral data smoking, strengthens smoker's self-discipline.
Fig. 4 A-4D shows and plays the process that cigarette is ejected by cigarette mechanism, and Fig. 4 A illustrates original state, and the hook portion oflock arm 204 is hooked thestop pin 207 that plays on thetobacco rod 202, makesextension spring 209 be in extended state; The prominent bamboo shootdepression stroke switch 203 ofstop pin 207 1 sides,travel switch 203 position at this moment can produce the signal of telecommunication makes device judge the reset mode that is in ofbullet tobacco rod 202 automatically.
When the smoker by device indication smoking and when pressing the smoking key shown in Fig. 4 B-4C, evensolenoid 205 energisings, attractarmature 210 drop-downlock arms 204 left sides, make the right side hook portion rotate counterclockwise release lock rationedmarketing 207, the bulletchimney bamboo shoot 206 that playtobacco rod 202 ends this moment are pushing away cigarette and are popping up underextension spring 209 pulling force effects, while stoppin 207release travel switches 203,travel switch 203 position at this moment can produce the signal of telecommunication makes device judge the ejection state that is in that playstobacco rod 202 automatically; After Fig. 4 C illustrates and playstobacco rod 202 ejections,solenoid 205 outages,lock arm 204 clockwise rotates situation about resetting.
Fig. 4 D shows as the smoker and gets cigarette the situation when playingtobacco rod 202 of resetting that finishes, playtobacco rod 202 along with pressing down, stoppin 207 on it is pushed the inclined-plane oflock arm 204 hook portions open,lock arm 204 is rotated counterclockwise, when stoppin 207 continues to move down when breaking away from the contacting oflock arm 204 hook portions, lockarm 204 clockwise rotates under the effect ofcompression spring 209 and resets, and promptly can hookstop pin 207 at this moment, whole locking mechanism is resetted, the situation shown in Fig. 4 A occurs.
The smoker follows the flow process shown in Fig. 5 A when getting cigarette smoking actual, when this smoking of apparatus of the present invention indication smoker, the smoker presses smokingkey 102 from 5A1, enter 5A2 then and judge whether playtobacco rod 202 resets,, then enter 5A3 and judge whether also have cigarette in thecigarette casket 301 if reset, if also have cigarette, then enter 5A5 and eject cigarette, take out cigarette voluntarily, and 5A6 resets and playstobacco rod 202 by the smoker; If above-mentioned judgementbullet tobacco rod 202 does not reset, then directly enter 5A6 and reset earlier and playtobacco rod 202, continue operation then; If do not had cigarette in the above-mentionedjudgement cigarette casket 301, then enter 5A4 dress cigarette earlier, get back to 5A1 then and continue operation.
Main purpose of the present invention is to provide a kind of smoker of help to control the device of cigarette amount, make the smoker obtain to meet the Tobacco Control plan of self physiological reaction, progressively alleviate the dependence of smoker to nicotine, therefore at first to collect smoker's cigarette smoking data, the cigarette amount that the receives smoker's appointment then mode of successively decreasing, calculate at last and generate the Tobacco Control behavioral data, enter the Tobacco Control process.
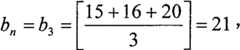
Fig. 5 B illustrates the process that apparatus of the present invention are collected smoker's cigarette smoking data, in this process, the smoker at first enters 5B1 setting device state: the cigarette smoking data are collected, whether 5B2 device prompting subsequently is since first cigarette collection on the same day, since first cigarette, return 5B1 if not the prompting of 5B3 then; Get cigarette smoking module (being 5A) if then enter 5B4, get the time (year, month, day, week, time, branch) of 5B5 record smoking behind the cigarette, and repeat 5B4 and 5B5; When the smoker after 5B6 finishes the cigarette smoking data and collects, device judges that whether time that 5B7 collects the cigarette smoking data is more than or equal to 7 days, if not returning 5B4 continuation collection process; Finally determine the cigarette smoking data if enter 5B8, these data comprise the average amount of smoking b of week nn, week n inhales t average time of first cigaretteSnT average time with week n suction last cigaretteEn, n=1,2,3,4,5,6,7 represent that promptly Monday is to Sunday; As write down smoker's (3 week in 21 days, the all strict end from Monday to Sunday of each week) Wednesday, smoking capacity was respectively 15,16 and 20, inhaling A Cigarette Without You is respectively 8:00,7:45 and 8:15, the time of inhaling last cigarette is respectively 23:30,21:00 and 24:00, and that determines so is above-mentioned
Figure G2007100907184D00061
Be Wednesday average smoking capacity be 21;
Figure G2007100907184D00062
Be that be 8:02 the average time of inhaling first cigarette Wednesday;
Figure G2007100907184D00063
Be that be 22:52 the average time of inhaling last cigarette Wednesday.
The smoker with the cigarette smoking data of oneself collect finish after, just need enter and specify cigarette amount decline mode and generation Tobacco Control behavioral data stage, with reference to Fig. 5 C.At first smoker 5C1 is set at unit state: the Tobacco Control process, and device judges whether 5C2 needs the smoker to revise the cigarette smoking data more voluntarily afterwards, if then enter the 5C3 manual modification, enters 5C4 setting cigarette amount successively decrease mode and parameter thereof then; If not, then directly enter 5C4 by 5C2; Enter 5C5 afterwards and set the cigarette amount that reduce every day, 5C6 sets the cigarette average price then, is used to calculate the cost that the smoker can save since Tobacco Control, and the computational methods of this cost are the quantity that average price multiply by minimizing; Final unit enters the above setting of 5C7 storage, and calculates generation Tobacco Control behavioral data, and these Tobacco Control behavioral datas comprise that the week n in m Tobacco Control week inhales A Cigarette Without You tMsn, inhale the time t of last cigaretteMen, smoking time interval IMnWith time parameter α, wherein
Figure G2007100907184D00064
Here
Figure G2007100907184D00065
Promptly the week n in m Tobacco Control week inhales A Cigarette Without You tMsnN inhales A Cigarette Without You t in the phase in m-1 Tobacco Control weekM-1snThe basis on postpone
Figure G2007100907184D00066
Figure G2007100907184D00067
Promptly the week n in m Tobacco Control week inhales the time t of last cigaretteMenInhale the time t of last cigarette at the week in m-1 Tobacco Control week nM-1enThe basis in advance
Figure G2007100907184D00068
α>0 can guarantee that inhaling A Cigarette Without You postpones to some extent, and the time of inhaling last cigarette shifts to an earlier date to some extent, simultaneously α<an, can guarantee the week n smoking time interval I in m Tobacco Control weekMnWeek n smoking time interval I greater than m-1 Tobacco Control weekM-1nAbove-mentioned m=1,2,3... is a Tobacco Control week number, n=1,2,3,4,5,6,7 promptly represent Monday to Sunday, can determine the concrete time of each Tobacco Control week needs smoking every day of smoker according to these data.
After smoker's Tobacco Control behavioral data generates, promptly enter the formal Tobacco Control process of Fig. 5 D, at first the 5D1 device carries out smoking by the definite concrete smoking time indication smoker of Tobacco Control behavioral data, can be during indication by the mode of music prompting or vibrating alert, whether enter 5D2 prompting smoker then postpones, if this moment the smoker because special circumstances (as meeting, in the public place of other ban on opium-smoking and the opium trade etc.) need to postpone smoking, enter 5D3 so and set time delay, device is by continuing to remind the smoker time delay of setting after setting completed, the smoker enters 5D5 and gets cigarette smoking module (being 5A) 5D4 to then indicating smoker's smoking time delay subsequently; If the smoker does not need to postpone, then directly enter 5D5 and get cigarette smoking; Execution along with the Tobacco Control plan, device is judged residue cigarette amount, when 5D6 residue cigarette amount smaller or equal to 2 the time, miniature storage and processor (501) ask the smoker to determine new cigarette smoking data, cigarette amount successively decrease mode or Tobacco Control behavioral data automatically, because this moment, the device program can't be calculated the Tobacco Control time interval automatically, Tobacco Control has also reached certain effect for the smoker simultaneously; When 5D7 residue cigarette amount greater than 2 the time, then continue the Tobacco Control process, enter 5D1 and continue when smoking of indication smoker.
Apparatus of the present invention also have two relatively independent modules, and promptly 5E1 setting-up time and 5E2 set the excitation language.
Fig. 6 A-6L shows the screen display and the setting of apparatus of the present invention, in one embodiment, screen display divides standing part and movable part, standing part comprises that the time showing (as " 2007/3/2115:11 Wednesday ") of screen top and battery electric quantity show, standing part also comprise unit state (as " state: Tobacco Control process "), the cigarette amount of screen below successively decrease mode (as " mode of successively decreasing: linearity "), by the amount of saving as the Ex smoker (as " saving: ") and the excitation demonstration (as " Tobacco Control is a kind of custom ") of speaking.
The screen activity part as the case may be, the content difference, Fig. 6 A illustrates the example of smoker when the Tobacco Control state is not done any operation, screen display the smoker at the smoking timetable of on March 21st, 2007 this day on Wednesday, apparatus of the present invention are indicated smoker's smoking automatically by this timetable; The smoking number is 35 in the table, finish to a last 25:00 since first 8:00, occur 25:00 in this example and be because device for the smoker before sleeping and the smoking time be that the situation in second day morning is set, allow device think that the smoker still is smoking the previous day.
Fig. 6 B illustrates an example of the main menu of apparatus of the present invention, this main menu is pressed menu/ESC Escape 103 backs the smoker and is shown, set comprising time set, setting state, setting time delay, the setting of cigarette average price and excitation language, the smoker can pass through the selected project of options button up and down of direction/OK key 104, and the OK key by direction/OK key 104 enters concrete setting in selected back.
Fig. 6 C illustrates an example of apparatus of the present invention time set, comprising year, month, day, the time and the setting of branch, the smoker can select setting item by direction/OK key about 104, set the detailed programs value up and down by direction/OK key 104 then, setting completed by the OK key of direction/OK key 104 preserves and is withdrawn into main menu.
Fig. 6 D-6H illustrates an example of apparatus of the present invention setting state, Fig. 6 D illustrates the main menu of setting state, collect and two setting items of Tobacco Control process comprising the cigarette smoking data, the smoker can select setting item up and down by direction/OK key 104, and the OK key by direction/OK key 104 enters concrete setting in selected back; After the smoker selected cigarette smoking data assembled item, device promptly entered cigarette smoking data collection status, did not need to carry out other and set, and the smoker only needs to get cigarette smoking by the custom of oneself by this device and gets final product;
After the smoker selects Tobacco Control process project, device enters the main menu of the Tobacco Control process setting shown in Fig. 6 E, set and reduce the cigarette amount every day and set two projects comprising the mode of successively decreasing, the smoker can select setting item up and down by direction/OK key 104, and the OK key by direction/OK key 104 enters concrete setting in selected back;
After the smoker selects to successively decrease the mode setting item, device enters the mode of successively decreasing shown in Fig. 6 F and sets main menu, successively decrease and three projects of exponential decrease comprising linear decrease, high order, the smoker can select setting item up and down by direction/OK key 104, and the OK key by direction/OK key 104 enters concrete setting in selected back; The setting of three modes of successively decreasing is mutual exclusions, when promptly selecting one effective, and other two inefficacies; After the smoker selects the linear decrease setting item, device automatic setting parameter c=1, i.e. smoker's appointment be the decreasing function F of independent variable with Tobacco Control week number mm=mc=m1, m is Tobacco Control week number, and parameter c is the function number of times, and setting completed is withdrawn into main menu by the OK key preservation of direction/OK key 104;
When selecting high order, the smoker successively decreases behind the setting item, device enters the setting of successively decreasing of the high order shown in Fig. 6 G, the smoker can set concrete cigarette amount up and down by direction/OK key 104 and with how many powers of all numbers successively decrease, providing the value of setting among the figure is 2, i.e. smoker's appointment be the decreasing function F of independent variable with Tobacco Control week number mm=mc=m2, m is Tobacco Control week number, and parameter c is the function number of times, and setting completed is withdrawn into main menu by the OK key preservation of direction/OK key 104;
After smoker's selection index is successively decreased setting item, device enters the exponential decrease shown in Fig. 6 H and sets, it is that to subtract 1 be the exponential decrease of power for the end, all numbers that the smoker can set concrete cigarette amount up and down by direction/OK key 104 with for what, providing the value of setting among the figure is 2, i.e. smoker's appointment be the decreasing function F of independent variable with Tobacco Control week number mm=dM-1=2M-1, m is Tobacco Control week number, and parameter d is the function truth of a matter, and setting completed is withdrawn into main menu by the OK key preservation of direction/OK key 104;
When the smoker selects reduce cigarette quantifier order the every day of the Tobacco Control process setting main menu shown in Fig. 6 E, device enters the every day shown in Fig. 6 I reduces the setting of cigarette amount, comprising subtract Monday what, Tuesday subtract what, Wednesday subtract what, Thursday subtract what, Friday subtract what, Saturday subtract what and subtract Sunday what, provide these values among the figure and be 1, be i.e. the number of cigarettes a that will reduce at week n=1 of smoker's appointmentn=a1=1, the number of cigarettes a that will reduce at week n=2n=a2=1, the number of cigarettes a that will reduce at week n=3n=a3=1, the number of cigarettes a that will reduce at week n=4n=a4=1, the number of cigarettes a that will reduce at week n=5n=a5=1, the number of cigarettes a that will reduce at week n=6n=a6=1, the number of cigarettes a that will reduce at week n=7n=a7=1, setting completed by the OK key of direction/OK key 104 preserves and is withdrawn into main menu.
When the smoker selects that set time delay in the device main menu shown in Fig. 6 B, device enters the time delay shown in Fig. 6 J and sets, comprising 1 minute, 5 minutes, 10 minutes, 15 minutes, 20 minutes, 25 minutes, 30 minutes and maximum, the smoker can pass through direction/OK key 104 and select to set value time delay up and down, and the OK key preservation by direction/OK key 104 is withdrawn into main menu in selected back; Set time delay also and can in the Tobacco Control process shown in Fig. 5 D, when device indication smoker gets cigarette smoking, set; The maximum that set above-mentioned time delay can be smoking time interval I in the Tobacco Control behavioral dataMnHalf.
When the smoker selects in the device main menu shown in Fig. 6 B the cigarette average price to set, device enters the cigarette average price shown in Fig. 6 K and sets, setting comprising unit, angle and branch, the smoker can rough calculation oneself cigarette of enfleuraging average price, and select setting item by direction/OK key about 104, set the detailed programs value up and down by direction/OK key 104 then, setting completed by the OK key of direction/OK key 104 preserves and is withdrawn into main menu.
When the smoker selects to encourage in the device main menu shown in Fig. 6 B language to set, device enters the excitation language shown in Fig. 6 L and sets, comprising some the excitation languages that pre-deposit apparatus of the present invention, the smoker can pass through direction/OK key 104 easy on and off and select, and setting completed is withdrawn into main menu by the OK key preservation of direction/OK key 104; In an example, the smoker can be connected by USB interface apparatus of the present invention with computer, and the excitation language that oneself is liked is sent to this device, and further sets.
In a preferred embodiment of apparatus of the present invention, as shown in the table, the smoker obtained for first term one to day average amount of smoking b of smoker after collecting through 21 days cigarette smoking datan, inhale first cigarette flat to day smoker second term one
Figure G2007100907184D00091
Equal time tSnWith t average time that inhales last cigarette on the third line Monday to day smokerEn, the cigarette amount of the smoker's appointment number of cigarettes that will reduce an every day in week in the mode of successively decreasing is 1, and number m is the decreasing function F of independent variable with Tobacco Control weekm=m (c=1) is linear decrease, installs built-in time parameter α=0.5 in addition, according to above data utilization
Figure G2007100907184D00092
(wherein
Figure G2007100907184D00093
Figure G2007100907184D00094
) can calculate and inhale A Cigarette Without You t each every day in Tobacco Control weekMsn, inhale the time t of last cigaretteMenWith smoking time interval IMnThereby, can obtain the Tobacco Control timetable of every day, as shown in the table, owing to calculate the Tobacco Control timetable that identical table of principle only listed each Tobacco Control Zhou Zhouyi in the present embodiment, this table also is applicable to Tuesday, Wednesday and the Thursday of identical data.The smoker promptly is that smoking is carried out in the indication that receives time of going out by this tabular apparatus of the present invention on the Monday in each Tobacco Control week, remaining the cigarette amount in the table when the 10th week is 2, next will point out the smoker to reset the Monday in the 11st week by the present invention, the smoker also can select directly on Monday to give up smoking certainly.
1 8:00 8:22 8:44 9:08 9:34 10:02 10:31 11:04 11:41 12:24 13:18
2 9:27 9:53 10:20 10:50 11:24 12:01 12:42 13:31 14:33 15:59 18:40
3 10:54 11:24 11:56 12:32 13:14 14:00 14:53 15:58 17:25 19:34
4 12:21 12:55 13:32 14:14 15:04 15:59 17:04 18:25 20:17
5 13:48 14:26 15:08 15:56 16:54 17:58 19:15 20:52
6 15:15 15:57 16:44 17:38 18:44 19:57 21:26
7 16:42 17:28 18:20 19:20 20:34 21:56
8 18:09 18:59 19:56 21:02 22:24
9 19:36 20:30 21:32 22:44
10 21:03 22:01 23:08
1 8:00 8:22 8:44 9:08 9:34 10:02 10:31 11:04 11:41 12:24 13:18
11 22:30 23:32
12 24:00
Imn 1:27 1:31 1:36 1:42 1:50 1:59 2:11 2:27 2:52 3:35 5:22
m 0 1 2 3 4 5 6 7 8 9 10
In second preferred embodiment of apparatus of the present invention, as shown in the table, the smoker obtained for first term one to day average amount of smoking b of smoker after collecting through 21 days cigarette smoking datan, inhale first cigarette flat to day smoker second term one
Equal time tSnWith t average time that inhales last cigarette on the third line Monday to day smokerEn, the cigarette amount of the smoker's appointment number of cigarettes that will reduce an every day in week in the mode of successively decreasing is 2, and number m is the decreasing function F of independent variable with Tobacco Control weekm=m (c=1) is linear decrease, installs built-in time parameter α=0.4 in addition, according to above data utilization
Figure G2007100907184D00102
(wherein
Figure G2007100907184D00104
) can calculate and inhale A Cigarette Without You t each every day in Tobacco Control weekMsn, inhale the time t of last cigaretteMenWith smoking time interval IMnThereby can obtain the Tobacco Control timetable of every day, as shown in the table, owing to calculate the Tobacco Control timetable that identical table of principle only listed each Tobacco Control Zhou Zhouyi in the present embodiment, this table also is applicable to Tuesday, Wednesday, Thursday, Friday, Saturday and the Sunday of identical data.The smoker promptly is that smoking is carried out in the indication that receives time of going out by this tabular apparatus of the present invention on the Monday in each Tobacco Control week, remaining the cigarette amount in the table when the 9th week is 2, next will point out the smoker to reset the Monday in the 10th week by the present invention, the smoker also can select directly on Monday to give up smoking certainly.
1 8:00 8:08 8:17 8:27 8:38 8:51 9:06 9:24 9:49 10:26
2 8:41 8:53 9:07 9:23 9:42 10:06 10:39 11:26 12:56 18:33
3 9:22 9:38 9:57 10:19 10:46 11:21 12:12 13:28 16:03
1 8:00 8:08 8:17 8:27 8:38 8:51 9:06 9:24 9:49 10:26
4 10:03 10:23 10:47 11:15 11:50 12:36 13:45 15:30 19:10
5 10:44 11:08 11:37 12:11 12:54 13:51 15:18 17:32
6 11:25 11:53 12:27 13:07 13:58 15:06 16:51 19:34
7 12:06 12:38 13:17 14:03 15:02 16:21 18:24
8 12:47 13:23 14:07 14:59 16:06 17:36 19:57
9 13:28 14:08 14:57 15:55 17:10 18:51
10 14:09 14:53 15:47 16:51 18:14 20:06
11 14:50 15:38 16:37 17:47 19:18
12 15:31 16:23 17:27 18:43 20:22
13 16:12 17:08 18:17 19:39
14 16:53 17:53 19:07 20:35
15 17:34 18:38 19:57
16 18:15 19:23 20:47
17 18:56 20:08
18 19:37 20:53
19 20:18
20 21:00
Imn 0:41 0:45 0:50 0:56 1:04 1:15 1:33 2:02 3:07 8:07
m 0 1 2 3 4 5 6 7 8 9
Should be noted that the above embodiments are illustrative, and be not used in restriction the present invention, and do not break away from design of the present invention, those skilled in the art can design many other embodiment.In this claim, anyly place label in the bracket to shall not be construed as restriction to claim." comprise " that a speech do not get rid of other listed in the claim elements or the existence of step.The present invention can implement by the hardware that comprises the element that several are different, and can implement by the computer of programming suitably.In having enumerated the device claim of several devices, several these devices can be implemented by same hardware.

Claims (9)

1. device that helps the smoker to control the cigarette amount, described device is the rectangle housing, it is characterized in that the housing front is provided with keyboard lockout key (101), smoking key (102), menu/ESC Escape (103), direction/OK key (104) and LCDs (105), enclosure interior is provided with and plays cigarette mechanism (201), cigarette casket (301), battery (401), the surface-mounted integrated circuit (502) that is loaded with miniature storage and processor (501) and cigarette casket switch (601), and the housing bottom surface is provided with USB interface (106);
Described device is used to collect the cigarette smoking data of smoker in a period of time, and allow the smoker further to revise the cigarette amount that receives smoker's appointment after the described cigarette smoking data mode of successively decreasing, and further determine the Tobacco Control behavioral data, thereby enter the Tobacco Control state and indicate the smoker when to be allowed to smoking according to cigarette smoking data and the cigarette amount mode of successively decreasing; Described a period of time, its length should be more than or equal to 7 days, can collect the smoker like this in Monday, two, three, four, five, six cigarette smoking data different with Sunday;
Wherein keyboard lockout key (101) is used for the locking device button, prevents maloperation;
Smoking key (102) is used for startup bullet cigarette mechanism (201) and the generation count signal for miniature storage and processor (501) use;
Menu/ESC Escape (103), direction/OK key (104) and LCDs (105) are used for the demonstration and the setting of described device screen menu;
Play cigarette mechanism (201) by playing tobacco rod (202), travel switch (203), lock arm (204) and solenoid (205) are formed, play tobacco rod (202) end and be provided with bullet chimney bamboo shoot (206) and stop pin (207), playing tobacco rod (202) upper end is connected with cigarette lid (208) and an end by back-moving spring and is fixed in the inboard end of housing and is fixed in extension spring (209) on the bullet tobacco rod (202), travel switch (203) and lock arm (204) are separately positioned on stop pin (207) both sides and are fixed on the housing, lock arm (204) is connected with solenoid (205) with compression spring (211) by armature (210), and solenoid (205) links to each other with surface-mounted integrated circuit (502);
Cigarette casket (301) is made up of hollow housing (302), cigarette casket bayonet socket (303), holder cigarette piece (304), compression spring (305), cigarette casket bayonet socket (303) is arranged on hollow housing (302) outer surface, be used for pinning or withdrawing from cigarette casket (301), compression spring (305) is arranged in the hollow housing (302), the one end is pressed in hollow housing (302) bottom, and the other end is held cigarette by holder cigarette piece (304) and is pressed in hollow housing (302) opening part;
Described miniature storage and processor (501) are used to store described cigarette smoking data, the cigarette amount mode of successively decreasing, and calculate the Tobacco Control behavioral data and to the automatic control of described device exercises;
USB interface (106) is used to described device charging and becomes described device and the interface of computer transmission data.
2. help smoker as claimed in claim 1 controls the device of cigarette amount, wherein said cigarette casket (301) hold cigarette be two row be staggeredly placed, wherein hollow housing (302) front is shaped as trapezoidal, the end openings cross sectional shape is and the arcs of recesses of cigarette coupling that holder cigarette piece (304) is the cigarette radius with the vertical range of two faces that two row cigarettes contact.
3. help smoker as claimed in claim 1 controls the device of cigarette amount, and wherein said cigarette casket (301) holds cigarette and is single-row placement, and wherein hollow housing (302) end openings cross sectional shape is the arcs of recesses that mates with cigarette.
4. help smoker as claimed in claim 1 controls the device of cigarette amount, wherein said cigarette casket switch (601) is made up of compression spring (602), solenoid (603), housing (604) and armature (605), described armature (605) is connected with solenoid (603) with compression spring (602) by housing (604), be used for pinning or withdrawing from cigarette casket (301), solenoid (603) links to each other with surface-mounted integrated circuit (502).
5. help smoker as claimed in claim 1 controls the device of cigarette amount, and wherein said cigarette smoking data comprise the average amount of smoking b of week nn, week n inhales t average time of first cigaretteSnT average time with week n suction last cigaretteEn
In described a period of time of described average out to described cigarette smoking data by Monday, two, three, four, five, six and add up respectively Sunday and calculating mean value determines;
The described cigarette amount mode expression formula of successively decreasing is bn-an* Fm, expression formula result is the smoking capacity of the week n in the m week after Tobacco Control m-1 week, wherein bnBe the average amount of smoking of described week n, parameter anBe the number of cigarettes that will reduce at week n of smoker's appointment, FmIs the decreasing function of independent variable for smoker's appointment with Tobacco Control week number m;
Described Tobacco Control behavioral data comprises that the week n in m Tobacco Control week inhales A Cigarette Without You tmsn, inhale the time t of last cigarettemen, smoking time interval IMnWith time parameter α, wherein
Figure F2007100907184C00021
DescribedPromptly the week n in m Tobacco Control week inhales A Cigarette Without You tMsnFor inhaling A Cigarette Without You t at the week in m-1 Tobacco Control week nm-1SnThe basis on postpone
Figure F2007100907184C00023
Described
Figure F2007100907184C00024
Promptly the week n in m Tobacco Control week inhales the time t of last cigaretteMenFor inhale the time t of last cigarette at the week in m-1 Tobacco Control week nm-1EnThe basis in advance
Figure F2007100907184C00025
Described α value is at 0~anBetween;
Described α>0 can guarantee that inhaling A Cigarette Without You postpones to some extent, and the time of inhaling last cigarette shifts to an earlier date to some extent;
Described α<an, can guarantee the week n smoking time interval I of the week n smoking time interval Imn in m Tobacco Control week greater than m-1 Tobacco Control weekm-1n
Described m=1,2,3 ... be Tobacco Control week number, n=1,2,3,4,5,6,7 is that Monday is to Sunday.
6. help as claimed in claim 5 smoker controls the device of cigarette amount, wherein said smoker's appointment be the decreasing function F of independent variable with Tobacco Control week number mm=mc, m is a Tobacco Control week number, parameter c is the function number of times, satisfies c=1, and 2,3 ... positive integer, the described cigarette amount mode expression formula b that successively decreasesn-an* FmAccording to the difference of parameter c value linear decrease or the high order mode of successively decreasing is arranged.
7. help as claimed in claim 5 smoker controls the device of cigarette amount, wherein said smoker's appointment be the decreasing function F of independent variable with Tobacco Control week number mm=dM-1, m is Tobacco Control week number, parameter d is the function truth of a matter, and is the integer greater than 1, the described cigarette amount mode expression formula b that successively decreasesn-an* FmDifference according to the parameter d value has different exponential decrease modes.
8. help smoker as claimed in claim 5 controls the device of cigarette amount, wherein indicates the smoker when to be allowed to smoking, it is characterized in that described device is according to described tMsn, tMenAnd IMnDetermine to allow accurately the smoking time; During described device indication smoker smoking, the smoker can by set the mode that postpones to allow the smoking time avoid can't smoking situation.
9. control the devices of cigarette amount as claim 5,6 or 7 described help smokers, the wherein said cigarette amount mode expression formula b that successively decreasesn-an* FmThe result was smaller or equal to 2 o'clock, promptly the smoking capacity of m week week n was smaller or equal to 2 o'clock, when perhaps the Tobacco Control state was interrupted for a certain reason by the smoker, miniature storage and processor (501) asked the smoker to determine new cigarette smoking data, cigarette amount successively decrease mode or Tobacco Control behavioral data automatically.
CN2007100907184A2007-04-052007-04-05Set for assisting smoker to control smoked amountExpired - Fee RelatedCN101019694B (en)

Priority Applications (1)

Application NumberPriority DateFiling DateTitle
CN2007100907184ACN101019694B (en)2007-04-052007-04-05Set for assisting smoker to control smoked amount

Applications Claiming Priority (1)

Application NumberPriority DateFiling DateTitle
CN2007100907184ACN101019694B (en)2007-04-052007-04-05Set for assisting smoker to control smoked amount

Publications (2)

Publication NumberPublication Date
CN101019694A CN101019694A (en)2007-08-22
CN101019694Btrue CN101019694B (en)2010-04-07

Family

ID=38707627

Family Applications (1)

Application NumberTitlePriority DateFiling Date
CN2007100907184AExpired - Fee RelatedCN101019694B (en)2007-04-052007-04-05Set for assisting smoker to control smoked amount

Country Status (1)

CountryLink
CN (1)CN101019694B (en)

Cited By (1)

* Cited by examiner, † Cited by third party
Publication numberPriority datePublication dateAssigneeTitle
WO2014169412A1 (en)*2013-04-152014-10-23Xiang ZhiyongElectronic cigarette case

Families Citing this family (21)

* Cited by examiner, † Cited by third party
Publication numberPriority datePublication dateAssigneeTitle
EP2110034A1 (en)*2008-04-172009-10-21Philip Morris Products S.A.An electrically heated smoking system
CN102934843B (en)*2012-11-132014-12-17卓尔悦(常州)电子科技有限公司Electronic cigarette control device and method for achieving visualized man-machine interaction
CN102940313B (en)2012-11-132015-04-01卓尔悦(常州)电子科技有限公司Intelligent controller and intelligent control method for electronic cigarette
CN104106841A (en)*2013-04-152014-10-22惠州市吉瑞科技有限公司Electronic cigarette case
CN103704887B (en)*2013-12-312016-08-10广东中烟工业有限责任公司Tobacco material heating device with automatic tobacco loading function
CN103720049B (en)*2013-12-312016-05-04广东中烟工业有限责任公司Box-shaped tobacco material heating device
CN103729573A (en)*2014-01-262014-04-16梁江Smoking cessation method
WO2015157894A1 (en)*2014-04-142015-10-22吉瑞高新科技股份有限公司Voice control method for electronic cigarette and electronic cigarette
CN104077484A (en)*2014-06-302014-10-01张骏Smoking and related emotion and behavior monitoring and recording method and device
DE102015008018A1 (en)*2015-06-222016-12-22Aram Tahan Cigarette Bank: Box for storage and controlled dispensing of cigarettes, which records the output and can synchronize with a computer or smartphone to feed the data in different thermal methods. The therapy e
CN105249537A (en)*2015-10-192016-01-20管毅Intelligent electronic cigarette
WO2017124401A1 (en)*2016-01-212017-07-27常平Related data acquisition method of cigarette withdrawal number control technology, and cigarette case
CN105533807B (en)*2016-01-212019-04-02成都信息工程大学Cigarette case with electronic device for stop smoking and its control method
WO2017124402A1 (en)*2016-01-212017-07-27常平Information pushing method during control of cigarette consumption, and cigarette case
CN105559141A (en)*2016-01-212016-05-11杨枝林Regularly-decreased smoking quitting box and control method thereof
WO2017124403A1 (en)*2016-01-212017-07-27常平Method for controlling number of cigarettes to be picked out, and cigarette case
CN109475193B (en)*2016-07-162021-09-17石仁善Modular vaporizer
CN106174705B (en)*2016-08-022019-10-15卓尔悦欧洲控股有限公司Suction-type apparatus control system and method
CN108685184B (en)*2017-04-112020-06-16常州市派腾电子技术服务有限公司Auxiliary smoking cessation method and auxiliary smoking cessation device
CN107927909A (en)*2017-11-012018-04-20中兴健康科技有限公司A kind of smoking abstention method and device
CN109588781B (en)*2018-11-302021-06-01东北大学 A machine learning-based smoking cessation device

Citations (4)

* Cited by examiner, † Cited by third party
Publication numberPriority datePublication dateAssigneeTitle
US4311448A (en)*1980-03-311982-01-19Edward StraussSmoking elimination guidance system
US4615681A (en)*1983-10-111986-10-07Schwarz Eitan DProgrammable, user interactive cigarette dispenser and method therefor
CN1751612A (en)*2005-06-182006-03-29张艳亭Cigarette saving tube
US7028693B2 (en)*2001-06-202006-04-18Brue Vesta LSmoking reduction method

Patent Citations (4)

* Cited by examiner, † Cited by third party
Publication numberPriority datePublication dateAssigneeTitle
US4311448A (en)*1980-03-311982-01-19Edward StraussSmoking elimination guidance system
US4615681A (en)*1983-10-111986-10-07Schwarz Eitan DProgrammable, user interactive cigarette dispenser and method therefor
US7028693B2 (en)*2001-06-202006-04-18Brue Vesta LSmoking reduction method
CN1751612A (en)*2005-06-182006-03-29张艳亭Cigarette saving tube

Cited By (1)

* Cited by examiner, † Cited by third party
Publication numberPriority datePublication dateAssigneeTitle
WO2014169412A1 (en)*2013-04-152014-10-23Xiang ZhiyongElectronic cigarette case

Also Published As

Publication numberPublication date
CN101019694A (en)2007-08-22

Similar Documents

PublicationPublication DateTitle
CN101019694B (en)Set for assisting smoker to control smoked amount
CN201044608Y (en)A device for helping smoker control tobacco amount
US6606997B2 (en)Smoking cessation apparatus and method
CA3076121C (en)Product use and behavior monitoring instrument
Carpenter et al.Developing smokeless tobacco products for smokers: an examination of tobacco industry documents
US10856577B2 (en)Product use and behavior monitoring instrument
Ramström et al.Role of snus in initiation and cessation of tobacco smoking in Sweden
US8926320B2 (en)Lighter and method for eliminating smoking that includes interactive self-learning software
CN102934840B (en)Intelligent cigarette case with smoking control function and smoking control method based on same
CN204048025U (en) A timing control electronic cigarette
Scholl et al.When do you light a fire? Capturing tobacco use with situated, wearable sensors
JP2021514672A (en) Smoking device
CN104095296B (en)The cigarette holder given up smoking of assisted user of tool bluetooth module and intelligence system
UA129027C2 (en) AEROSOL DELIVERY DEVICE CONTAINING ARTIFICIAL INTELLIGENCE
WO1998046093A1 (en)Smoking control device
CN105261378A (en)An audio file playing method and apparatus based on sleep states
CN114343255B (en) Methods to assist smoking cessation, assisted smoking cessation platforms and related equipment
JP2006518619A (en) Method and apparatus for user assistance for habit-related motion control
CN105533807A (en)Smoking cessation box and control method thereof
JP2024173924A (en) GAME PROGRAM, GAME SYSTEM, INFORMATION PROCESSING DEVICE, SERVER, GAME METHOD, AND GENERATION METHOD
CN109588781B (en) A machine learning-based smoking cessation device
CN215958302U (en) A smart cigarette case
US20210321668A1 (en)Vaporizer mouthpiece
CN115918991A (en)Electronic cigarette control method and device and electronic equipment
황지은A qualitative study on the level of interest in heated tobacco products in South Korea: using data of Naver search trend and online news media coverage

Legal Events

DateCodeTitleDescription
C06Publication
PB01Publication
C10Entry into substantive examination
SE01Entry into force of request for substantive examination
C14Grant of patent or utility model
GR01Patent grant
C17Cessation of patent right
CF01Termination of patent right due to non-payment of annual fee

Granted publication date:20100407

Termination date:20130405


[8]ページ先頭

©2009-2025 Movatter.jp