Movatterモバイル変換


[0]ホーム

URL:


CN100436431C - Medicinal methylene blue synthesis method - Google Patents

Medicinal methylene blue synthesis method
Download PDF

Info

Publication number
CN100436431C
CN100436431CCNB2006102013069ACN200610201306ACN100436431CCN 100436431 CCN100436431 CCN 100436431CCN B2006102013069 ACNB2006102013069 ACN B2006102013069ACN 200610201306 ACN200610201306 ACN 200610201306ACN 100436431 CCN100436431 CCN 100436431C
Authority
CN
China
Prior art keywords
solution
add
methylene blue
water
parts
Prior art date
Legal status (The legal status is an assumption and is not a legal conclusion. Google has not performed a legal analysis and makes no representation as to the accuracy of the status listed.)
Active
Application number
CNB2006102013069A
Other languages
Chinese (zh)
Other versions
CN1970548A (en
Inventor
王晓春
周宁
冯泽熹
杨昌生
谭静
曾香兰
余励
李梅
庞媛媛
周岚
童寅
吴寿军
孟洁
余东
邹良梅
罗敏
汪莎莎
Current Assignee (The listed assignees may be inaccurate. Google has not performed a legal analysis and makes no representation or warranty as to the accuracy of the list.)
Sinopharm Tongjitang Guizhou Pharmaceutical Co Ltd
Original Assignee
Guizhou Tongjitang Pharmaceutical Co Ltd
Priority date (The priority date is an assumption and is not a legal conclusion. Google has not performed a legal analysis and makes no representation as to the accuracy of the date listed.)
Filing date
Publication date
Application filed by Guizhou Tongjitang Pharmaceutical Co LtdfiledCriticalGuizhou Tongjitang Pharmaceutical Co Ltd
Priority to CNB2006102013069ApriorityCriticalpatent/CN100436431C/en
Publication of CN1970548ApublicationCriticalpatent/CN1970548A/en
Application grantedgrantedCritical
Publication of CN100436431CpublicationCriticalpatent/CN100436431C/en
Activelegal-statusCriticalCurrent
Anticipated expirationlegal-statusCritical

Links

Landscapes

Abstract

The invention discloses a synthesizing method of medicinal methylen blue, which is characterized by the following: adopting N, N-dimethyl p-phenylene diamine hydrochlorate as raw material; obtaining 2-amino-5-dimethyl amino phenyl thiosulfonic acid oxidized by sodium dichromate and substituted by natrium thiosulfuricum; condensing with N, N-dimethyl p-phenylene diamine to obtain methylen blue zinc chloride salt oxidized by magnesium dioxide; neutralizing methylen blue zinc chloride salt through sodium carbonate to obtain methylen blue.

Description

Translated fromChinese
药用亚甲蓝的合成方法Synthetic method of medicinal methylene blue

技术领域:Technical field:

本发明涉及一种药用亚甲蓝的合成方法,属于药物化学合成技术领域。The invention relates to a method for synthesizing medicinal methylene blue, which belongs to the technical field of medicinal chemical synthesis.

背景技术:Background technique:

亚甲蓝(Methylene blue,MB)也称次甲蓝、美蓝、甲烯蓝。亚甲蓝最早以氯化锌盐合成于1876年,其后主要用于:(1)高铁血红蛋白血症:低浓度亚甲蓝用于治疗亚硝酸盐、氯酸盐、醌类、醌亚胺类、苯胺及硝基苯等引起高铁血红蛋白血症;(2)氰化物中毒:高浓度亚甲蓝可用于氰化物中毒;(3)与局麻药合用用于局部止痛;(4)近年来临床还试用于治疗感染性及创伤性休克,癌症,带状疱疹等。药理作用研究表明,亚甲蓝具有解毒作用、镇痛作用、抗菌作用、抗病毒作用、抗肿瘤作用并可纠正感染性休克患者的血流动力学紊乱、治疗阴茎异常勃起。Methylene blue (MB) is also called methylene blue, methylene blue, methylene blue. Methylene blue was first synthesized as zinc chloride salt in 1876, and then it was mainly used for: (1) Methemoglobinemia: low concentration of methylene blue is used to treat nitrite, chlorate, quinones, quinone imine (2) Cyanide poisoning: High concentrations of methylene blue can be used for cyanide poisoning; (3) Combined with local anesthetics for local analgesia; (4) In recent years, clinical It is also tried to treat septic and traumatic shock, cancer, herpes zoster, etc. Pharmacological studies have shown that methylene blue has detoxification, analgesic, antibacterial, antiviral, and antitumor effects and can correct hemodynamic disorders in patients with septic shock and treat priapism.

目前,文献报道的有关亚甲蓝的合成路线主要有以下两种方法:At present, the relevant synthetic routes of methylene blue reported in the literature mainly contain the following two methods:

方法一:以N,N-二甲基对苯二胺为原料,经二氧化锰氧化,硫代硫酸钠取代,得到2-氨基-5-二甲氨基苯基硫代磺酸,后者与N,N-二甲基苯胺缩合后,再经二氧化锰和硫酸铜氧化环合,得到亚甲蓝氯化锌盐。后者用碳酸钠中和得目标化合物亚甲蓝。合成工艺路线如下Method 1: Using N,N-dimethyl-p-phenylenediamine as raw material, oxidized by manganese dioxide and replaced by sodium thiosulfate to obtain 2-amino-5-dimethylaminophenylthiosulfonic acid, which is mixed with After N, N-dimethylaniline is condensed, it is oxidized and cyclized by manganese dioxide and copper sulfate to obtain methylene blue zinc chloride salt. The latter is neutralized with sodium carbonate to obtain the target compound methylene blue. The synthesis process route is as follows

方法二:以N,N-二甲基苯胺为原料,经亚硝化,铁粉还原,得到N,N-二甲基对苯二胺。后者经重铬酸钠氧化,硫代硫酸钠取代,得到2-氨基-5-二甲氨基苯基硫代磺酸。其与N,N-二甲基苯胺缩合后,再经重铬酸钠和硫酸铜氧化环合,得到亚甲蓝氯化锌盐。后者用碳酸钠中和得目标化合物亚甲蓝。合成工艺路线如下:Method 2: Using N,N-dimethylaniline as a raw material, undergo nitrosation and iron powder reduction to obtain N,N-dimethyl-p-phenylenediamine. The latter is oxidized by sodium dichromate and replaced by sodium thiosulfate to give 2-amino-5-dimethylaminophenylthiosulfonic acid. After it is condensed with N, N-dimethylaniline, it is oxidized and cyclized by sodium dichromate and copper sulfate to obtain methylene blue zinc chloride. The latter is neutralized with sodium carbonate to obtain the target compound methylene blue. The synthesis process route is as follows:

Figure C20061020130600051
Figure C20061020130600051

上述两种方法的反应路线基本上是重复的,其中区别主要在于反应过程中氧化剂的选择不同。方法一和方法二在环合之前都在低温条件下反应,并且投料过程较烦琐,不利于工业生产;其反应过程均为先得到亚甲蓝的硫酸氢盐,然后再处理得到亚甲蓝,使得反应时间相对较长。The reaction routes of the above two methods are basically repeated, and the difference mainly lies in the selection of the oxidizing agent in the reaction process. Method one and method two all react under low temperature conditions before cyclization, and the feeding process is more loaded down with trivial details, is unfavorable for industrial production; Its reaction process all is to obtain the bisulfate of methylene blue first, then process to obtain methylene blue, make the reaction time relatively long.

发明内容:Invention content:

本发明的目的在于:提供一种药用亚甲蓝的合成方法。本发明针对现有技术的不足,以N,N-二甲基对苯二胺盐酸盐为原料,经重铬酸钠氧化,硫代硫酸钠取代,得到2-氨基-5-二甲氨基苯基硫代磺酸,然后与N,N-二甲基对苯二胺缩合后,经二氧化锰氧化环合,在氯化锌存在下得到亚甲蓝氯化锌盐;亚甲蓝氯化锌盐再用碳酸钠中和后得到亚甲蓝。该合成方法简单,成本较低,投资小,原料易得,适于工业化生产,得到的产品纯度较高,且对环境污染较小。The purpose of the present invention is to: provide a kind of synthetic method of medicinal methylene blue. The present invention aims at the deficiencies of the prior art, using N,N-dimethyl-p-phenylenediamine hydrochloride as raw material, oxidized by sodium dichromate and replaced by sodium thiosulfate to obtain 2-amino-5-dimethylamino Phenylthiosulfonic acid, then condensed with N,N-dimethyl-p-phenylenediamine, oxidized and cyclized by manganese dioxide, and obtained methylene blue zinc chloride salt in the presence of zinc chloride; methylene blue chloride The zinc salt is then neutralized with sodium carbonate to obtain methylene blue. The synthesis method is simple, low in cost, small in investment, easy to obtain raw materials, suitable for industrial production, and the obtained product has high purity and less environmental pollution.

本发明是这样实现的:药用亚甲蓝的合成方法为:用对氨基二甲基苯胺盐酸盐为起始原料,按照以下线路反应制得亚甲蓝:The present invention is achieved like this: the synthetic method of medicinal methylene blue is: be starting raw material with p-aminodimethylaniline hydrochloride, make methylene blue according to following circuit reaction:

Figure C20061020130600061
Figure C20061020130600061

具体的合成方法为:按照摩尔质量比计算,称取对氨基二甲基苯胺盐酸盐2份,投入带温度计的反应釜中,加水溶解,搅拌下滴加浓硫酸0.41份,室温下依次加入氯化锌含量为4.95份的溶液、硫酸铝含量为1.00份的溶液、硫代硫酸钠含量为2.12份的溶液,并加入重铬酸钠含量为0.72份的溶液,搅拌下将反应液迅速加热至30~50℃,将N,N-二甲基苯胺含量为1.65份的盐酸溶液投入反应釜,随后立即加入重铬酸钠含量为1.45份的溶液,迅速加热到60~80℃,将2.87份二氧化锰投入反应釜,加热至80~90℃,维持温度反应20~40分钟,降温至40~60℃,搅拌下缓慢加入浓硫酸7.14份,搅匀后放出反应液,于4℃环境下放置4~6小时,析出沉淀,抽滤,滤饼用10%氯化钠水溶液洗涤,将滤饼转移至烧杯中,加入水,于电热套上搅拌加热至沸腾,趁热抽滤,滤液加入氯化锌1.84份和氯化钠25.64份,搅拌使溶解,再将该溶液于4℃环境下放置22~26h,抽滤,45~55℃干燥得亚甲基蓝氯化锌盐;将所得氯化锌盐溶解于水中,加入碳酸钠0.52份,冷至室温,抽滤,少量水洗滤饼,加入氯化钠17.09份,搅拌溶解后于4℃环境下放置10~14小时,抽滤,滤饼于40-45℃干燥11~13小时得亚甲蓝粗品,然后用水重结晶数次即得。The specific synthesis method is as follows: Calculate according to the molar mass ratio, weigh 2 parts of p-aminodimethylaniline hydrochloride, put it into a reaction kettle with a thermometer, add water to dissolve, add 0.41 parts of concentrated sulfuric acid dropwise under stirring, and add A solution with a content of 4.95 parts of zinc chloride, a solution with a content of 1.00 parts of aluminum sulfate, a solution with a content of 2.12 parts of sodium thiosulfate, and a solution with a content of 0.72 parts of sodium dichromate, and the reaction solution is heated rapidly under stirring To 30-50°C, put the hydrochloric acid solution with the content of 1.65 parts of N,N-dimethylaniline into the reaction kettle, then immediately add the solution with the content of 1.45 parts of sodium dichromate, and quickly heat to 60-80°C, and the 2.87 Put part of manganese dioxide into the reaction kettle, heat to 80-90°C, maintain the temperature for 20-40 minutes, cool down to 40-60°C, slowly add 7.14 parts of concentrated sulfuric acid under stirring, release the reaction solution after stirring, and store in 4°C environment Put it under the ground for 4 to 6 hours, precipitate out, filter with suction, wash the filter cake with 10% sodium chloride aqueous solution, transfer the filter cake to a beaker, add water, stir and heat to boiling on the electric heating mantle, and suction filter while hot, the filtrate Add 1.84 parts of zinc chloride and 25.64 parts of sodium chloride, stir to dissolve, then place the solution at 4°C for 22-26 hours, filter with suction, and dry at 45-55°C to obtain methylene blue zinc chloride salt; Dissolve zinc salt in water, add 0.52 parts of sodium carbonate, cool to room temperature, filter with suction, wash the filter cake with a small amount of water, add 17.09 parts of sodium chloride, stir and dissolve, place at 4°C for 10-14 hours, filter with suction, filter cake Dry at 40-45°C for 11-13 hours to obtain crude methylene blue, and then recrystallize several times with water.

更具体的合成方法为:称取对氨基二甲基苯胺盐酸盐2mol、即418g,投入带温度计的反应釜中,加入6L水溶解,搅拌下滴加浓硫酸0.41mol、即40g,室温下依次加入氯化锌溶液500mL、硫酸铝溶液600mL、硫代硫酸钠溶液500mL,并迅速加入300mL重铬酸钠溶液,搅拌下将反应液于10分钟内加热至40℃,将N,N-二甲基苯胺的盐酸溶液227ml投入反应釜,随后立即加入剩余的600mL重铬酸钠溶液,于10分钟内加热至70℃;温度达70℃时,将2.87mol、即250g二氧化锰投入反应釜,加热至85℃,维持温度反应30分钟,自然降温至50℃,搅拌下缓慢加入浓硫酸7.14mol、即700g;搅匀后放出反应液,于4℃环境下放置5小时,析出沉淀,抽滤,滤饼用10%氯化钠水溶液600mL洗涤;将滤饼转移至20L烧杯中,加入10L水,于电热套上搅拌加热至沸腾,趁热抽滤,滤液加入1.84mol、即250g氯化锌和25.64mol、即1500g氯化钠,搅拌使溶解,再将该溶液于4℃环境下放置24h,抽滤,50℃干燥得亚甲基蓝氯化锌盐;将所得氯化锌盐溶解于10L水中,加入碳酸钠0.52mol、即55.2g,冷至室温,抽滤,少量水洗滤饼,加入氯化钠17.09mol、即1000g,搅拌溶解后于4℃环境下放置12小时,抽滤,滤饼于40-45℃干燥12小时得亚甲蓝粗品,然后用4倍重量的水重结晶数次即得。The more specific synthesis method is as follows: weigh 2 mol of p-aminodimethylaniline hydrochloride, namely 418g, put it into a reaction kettle with a thermometer, add 6L of water to dissolve, add 0.41mol of concentrated sulfuric acid, ie 40g, under stirring, Add 500mL of zinc chloride solution, 600mL of aluminum sulfate solution, and 500mL of sodium thiosulfate solution in sequence, and quickly add 300mL of sodium dichromate solution, and heat the reaction solution to 40°C within 10 minutes while stirring. Put 227ml of methylaniline hydrochloric acid solution into the reaction kettle, then immediately add the remaining 600mL sodium dichromate solution, and heat it to 70°C within 10 minutes; when the temperature reaches 70°C, put 2.87mol, that is, 250g of manganese dioxide into the reaction kettle , heated to 85°C, maintained the temperature for 30 minutes, then cooled naturally to 50°C, slowly added 7.14mol of concentrated sulfuric acid, namely 700g, under stirring; released the reaction solution after stirring well, left it at 4°C for 5 hours, precipitated, pumped Filter and wash the filter cake with 600mL of 10% sodium chloride aqueous solution; transfer the filter cake to a 20L beaker, add 10L of water, stir and heat to boiling on the electric heating mantle, suction filter while it is hot, add 1.84mol, that is, 250g chloride Zinc and 25.64mol, that is, 1500g sodium chloride, stirred to dissolve, then put the solution at 4°C for 24h, suction filtered, and dried at 50°C to obtain methylene blue zinc chloride salt; dissolve the obtained zinc chloride salt in 10L of water , add 0.52mol of sodium carbonate, that is, 55.2g, cool to room temperature, filter with suction, wash the filter cake with a small amount of water, add 17.09mol of sodium chloride, that is, 1000g, stir and dissolve, place it at 4°C for 12 hours, filter with suction, and filter the cake Dry at 40-45°C for 12 hours to obtain crude methylene blue, and then recrystallize several times with 4 times the weight of water.

以上所用的氯化锌溶液浓度为9.9mol/l,其中还含有0.016mol/l的重铬酸钠。The zinc chloride solution concentration used above is 9.9mol/l, wherein also contains the sodium dichromate of 0.016mol/l.

所用的硫酸铝溶液浓度为1.67mol/l。The concentration of the aluminum sulfate solution used was 1.67 mol/l.

所用的硫代硫酸钠溶液浓度为4.24mol/l。The sodium thiosulfate solution used has a concentration of 4.24 mol/l.

所用的重铬酸钠溶液浓度为2.41mol/l。The sodium dichromate solution used has a concentration of 2.41 mol/l.

所用的N,N-二甲基苯胺的盐酸溶液浓度为7.27mol/l。The concentration of the N,N-dimethylaniline hydrochloric acid solution used was 7.27 mol/l.

本发明所用主要原料,试剂来源及规格:Main raw material used in the present invention, reagent source and specification:

  原料试剂Raw material reagent  试剂来源Reagent source  规格 Specification  对氨基二甲基苯胺盐酸盐p-aminodimethylaniline hydrochloride  上海三爱思试剂有限公司Shanghai Sanaisi Reagent Co., Ltd.  CPCP  N,N-二甲基苯胺N,N-Dimethylaniline  沈阳市试剂三厂Shenyang Reagent No. 3 Factory  CPCP  盐酸hydrochloric acid  遵义师范学院化学试剂厂Zunyi Normal University Chemical Reagent Factory  ARAR  硫酸sulfuric acid  重庆川江化学试剂厂Chongqing Chuanjiang Chemical Reagent Factory  ARAR  五水硫代硫酸钠Sodium thiosulfate pentahydrate  天津市劢特吉尔环保技术研究所Tianjin Mitejill Environmental Protection Technology Research Institute  ARAR  氯化锌Zinc chloride  天津市科密欧化学试剂开发中心Tianjin Kemiou Chemical Reagent Development Center  ARAR  十八水硫酸铝Aluminum sulfate octadecahydrate  南台华鑫化工有限公司Nantai Huaxin Chemical Co., Ltd.  ARAR  二水重铬酸钠Sodium dichromate dihydrate  天津市申泰化学试剂有限公司Tianjin Shentai Chemical Reagent Co., Ltd.  CPCP  二氧化锰 manganese dioxide  天津市化学试剂三厂Tianjin No.3 Chemical Reagent Factory  CPCP  无水碳酸钠Anhydrous Sodium Carbonate  国营重庆无机化学试剂厂State-run Chongqing Inorganic Chemical Reagent Factory  CPCP  氯化钠 Sodium chloride  成都市金山化工试剂厂Chengdu Jinshan Chemical Reagent Factory  CPCP

本发明化学反应方程式及反应条件如下:Chemical reaction equation of the present invention and reaction condition are as follows:

Figure C20061020130600071
Figure C20061020130600071

本发明产品在生产过程中有几个质量控制关键点:一是反应中几次升温速度应严格控制在工艺规定的时间内;二是精制产品中的有关物质需用HPLC检查以控制在规定范围内;三是在产品干燥过程中温度需控制在40-45℃,过高会导致干燥失重异常,过低则干燥时间较长The product of the present invention has several key points of quality control in the production process: the one, several heating speeds in the reaction should be strictly controlled within the time specified by the process; the second is that the relevant substances in the refined product need to be checked by HPLC to be controlled within the specified range The third is that the temperature should be controlled at 40-45°C during the drying process of the product. If it is too high, it will cause abnormal weight loss on drying. If it is too low, the drying time will be longer

粗品质量控制:文献报道在亚甲蓝合成过程中会带入脱甲基亚甲蓝(欧洲药典中的杂质A,化学名为:氯化3-二甲氨基-7-(甲氨基)吩噻嗪-5-鎓),其结构为:Crude product quality control: It is reported in the literature that demethylated methylene blue (impurity A in the European Pharmacopoeia, chemical name: chlorinated 3-dimethylamino-7-(methylamino) phenothiene Azin-5-ium), its structure is:

Figure C20061020130600081
Figure C20061020130600081

经HPLC检测,粗品中脱甲基亚甲蓝的含量低于7%。Detected by HPLC, the content of demethylated methylene blue in the crude product is lower than 7%.

精品质量控制:HPLC面积归一化法:脱甲基亚甲蓝<5.0%,其他单个杂质峰面积不得大于0.5%,除脱甲基亚甲蓝外的其他杂质峰面积之和不得大于1%。若任意一项超标则按粗品的精制方法用水继续重结晶至合格。Boutique quality control: HPLC area normalization method: demethylated methylene blue <5.0%, other single impurity peak area shall not be greater than 0.5%, and the sum of other impurity peak areas except demethylated methylene blue shall not be greater than 1% . If any item exceeds the standard, continue to recrystallize with water according to the refining method of the crude product until it is qualified.

本发明方法从N,N-二甲基对苯二胺起至得到亚甲蓝氯化锌盐的所有操作为“一锅法”合成,申请人经过实验室小试制备,再到中试和放大生产,使该合成工艺更适合于工业化生产。经实验验证,本发明所设计的化学合成路线是可行的。The method of the present invention from N, N-dimethyl-p-phenylenediamine to obtain all operations of methylene blue zinc chloride salt is "one-pot method" synthetic, the applicant prepares through lab small test, then to pilot test and Scale-up production makes the synthesis process more suitable for industrial production. It is verified by experiments that the chemical synthesis route designed by the present invention is feasible.

为了验证本发明产品,申请人对亚甲蓝的化学结构进行了确证试验,具体如下:In order to verify the product of the present invention, the applicant has carried out a confirmatory test on the chemical structure of methylene blue, as follows:

1.亚甲蓝的结构式、分子式和分子量1. Structural formula, molecular formula and molecular weight of methylene blue

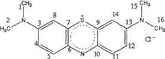
化学名:氯化3,7-双(二甲氨基)吩噻嗪-5-鎓三水合物结构式:Chemical name: 3,7-bis(dimethylamino)phenothiazin-5-ium chloride trihydrate Structural formula:

Figure C20061020130600082
Figure C20061020130600082

分子式:C16H18ClN3S·3H2OMolecular formula: C16 H18 ClN3 S 3H2 O

分子量:373.90Molecular weight: 373.90

2.结构确证用亚甲蓝原料药样品及进口对照品2. Samples of methylene blue raw materials for structure confirmation and imported reference substances

2.1原料药样品来源及批号2.1 Source and batch number of API samples

自制亚甲蓝原料(批号:060407),以无水甲酸-正丙醇为流动相,200-300目硅胶柱层析,收集亚甲蓝组分流出液,减压蒸除溶剂,残渣于水中(4倍重量水)重结晶两次。结晶于43-45℃常压干燥12小时得精制品。本产品干燥失重为16.4%。Self-made methylene blue raw material (batch number: 060407), using anhydrous formic acid-n-propanol as the mobile phase, 200-300 mesh silica gel column chromatography, collecting the effluent of the methylene blue component, distilling off the solvent under reduced pressure, and the residue in water (4 times the weight of water) recrystallized twice. The crystals were dried under normal pressure at 43-45°C for 12 hours to obtain refined products. The loss on drying of this product is 16.4%.

2.1.1原料药样品纯度检查方法2.1.1 Method for checking the purity of API samples

采用高效液相色谱法(HPLC)峰面积归一化法测纯度。Purity was measured by high performance liquid chromatography (HPLC) peak area normalization method.

仪器:Aglient 1100、ChemStation色谱工作站Instruments: Aglient 1100, ChemStation chromatography workstation

色谱柱:十八烷基硅烷键合硅胶为填充剂的色谱柱,即C18色谱柱(250mm×4.6mm,5μm)。Chromatographic column: a chromatographic column with octadecylsilane bonded silica gel as a filler, that is, a C18 chromatographic column (250mm×4.6mm, 5μm).

流动相:以0.34%磷酸溶液(取磷酸3.4ml,加水溶解至1000ml,加三乙胺调pH至3.0)-乙腈(73∶27)为流动相Mobile phase: 0.34% phosphoric acid solution (take 3.4ml of phosphoric acid, add water to dissolve to 1000ml, add triethylamine to adjust pH to 3.0)-acetonitrile (73:27) as mobile phase

检测波长:246nmDetection wavelength: 246nm

流速:1.0ml/minFlow rate: 1.0ml/min

2.1.2原料药样品纯度检查结果2.1.2 Purity inspection results of API samples

按以上条件及方法对样品进行了纯度检查,结果其纯度达99.52%,符合结构确认用样品的要求。The purity of the sample was checked according to the above conditions and methods, and the result was that its purity was 99.52%, which met the requirements of the sample for structure confirmation.

3.亚甲蓝原料药化学结构确证3. Confirmation of chemical structure of methylene blue API

为了确证所合成的亚甲蓝原料药的化学结构,申请人对其进行了元素分析、紫外光谱、红外光谱、核磁共振、质谱、差热分析及热重分析、粉末X-射线衍射。In order to confirm the chemical structure of the synthesized methylene blue bulk drug, the applicant carried out elemental analysis, ultraviolet spectrum, infrared spectrum, nuclear magnetic resonance, mass spectrometry, differential thermal analysis and thermogravimetric analysis, and powder X-ray diffraction.

差热分析及热重分析由贵州师范大学测定;元素分析、核磁共振、质谱由中国科学院上海药物研究所、中国科学院贵州天然产物化学重点实验室药物研究所测定;红外光谱、紫外光谱由贵阳医学院分析测试中心测定;粉末X-射线衍射由中国科学院贵阳地球化学研究所测定。Differential thermal analysis and thermogravimetric analysis were determined by Guizhou Normal University; elemental analysis, nuclear magnetic resonance, and mass spectrometry were determined by Shanghai Institute of Materia Medica, Chinese Academy of Sciences, and Guizhou Key Laboratory of Natural Product Chemistry, Chinese Academy of Sciences; Infrared and ultraviolet spectra were determined by Guiyang Medical It was determined by the Analysis and Testing Center of the Academy of Sciences; powder X-ray diffraction was determined by the Guiyang Institute of Geochemistry, Chinese Academy of Sciences.

3.1元素分析3.1 Elemental analysis

3.1.1测定仪器3.1.1 Measuring instrument

Vario EL元素分析仪;Kratos MS80高分辨质谱仪Vario EL elemental analyzer; Kratos MS80 high resolution mass spectrometer

3.1.2测定结果3.1.2 Measurement results

表1元素分析结果Table 1 Elemental analysis results

Figure C20061020130600091
Figure C20061020130600091

高分辨质谱分析结果:284.1208[C16H18N3S+,计算值:284.1221]。High-resolution mass spectrometry analysis result: 284.1208 [C16 H18 N3 S+ , calculated value: 284.1221].

3.1.3结论3.1.3 Conclusion

本样品的干燥失重为16.4%,表明样品中含结晶溶剂水。样品的元素分析实验值与亚甲蓝一分子含3.5分子水的计算值相符。热重分析表明亚甲蓝是一含3个结晶水的化合物,故推测另外0.5个水分子是干燥未完全而引入。The loss on drying of the sample was 16.4%, indicating that the sample contained crystallization solvent water. The elemental analysis experimental value of the sample is consistent with the calculated value that one molecule of methylene blue contains 3.5 molecules of water. Thermogravimetric analysis shows that methylene blue is a compound containing 3 crystal waters, so it is speculated that the other 0.5 water molecules are introduced due to incomplete drying.

为进一步测定亚甲蓝分子的元素组成,进行了亚甲蓝样品的高分辨质谱分析。高分辨质谱表明所合成分子的盐基部分元素组成为C16H18N3S。In order to further determine the elemental composition of methylene blue molecules, high-resolution mass spectrometry analysis of methylene blue samples was carried out. High-resolution mass spectrometry showed that the elemental composition of the base part of the synthesized molecule was C16 H18 N3 S.

根据元素分析和高分辨质谱分析结果,结合热重分析可判定所合成化合物的分子式为C16H18ClN3S·3H2O。According to the results of elemental analysis and high-resolution mass spectrometry, combined with thermogravimetric analysis, it can be determined that the molecular formula of the synthesized compound is C16 H18 ClN3 S·3H2 O.

3.2紫外吸收光谱3.2 UV absorption spectrum

3.2.1测定仪器、条件及方法:3.2.1 Measuring instruments, conditions and methods:

使用岛津UV-2401PC紫外分光光度计;按照药典规定,将亚甲蓝样品配成一定浓度的水溶液、0.1mol/L HCl溶液及0.1mol/L NaOH溶液,用同批溶剂作空白对照,并分别与标准品对照,采用1cm吸收池在190-900nm范围内扫描。Use a Shimadzu UV-2401PC ultraviolet spectrophotometer; according to the Pharmacopoeia, the methylene blue sample is made into a certain concentration of aqueous solution, 0.1mol/L HCl solution and 0.1mol/L NaOH solution, and the same batch of solvents is used as a blank control, and They were compared with the standards respectively, and scanned in the range of 190-900nm using a 1cm absorption cell.

3.2.2测定结果3.2.2 Measurement results

表2亚甲蓝的紫外吸收光谱数据Table 2 UV absorption spectrum data of methylene blue

3.2.3解析3.2.3 Analysis

本产品在中性(水)溶液中292.00nm吸收峰为芳环B带,因其向长波方向移动,说明分子中有芳环结构并且芳环上有供电子取代基团;酸性溶液和碱性溶液B带吸收移动不明显,说明化合物在酸性和碱性条件下稳定。另外从与标准品的对照可以看出所合成化合物即为亚甲蓝。The absorption peak of this product at 292.00nm in neutral (water) solution is the aromatic ring B band, because it moves to the long-wave direction, indicating that there is an aromatic ring structure in the molecule and there are electron-donating substituent groups on the aromatic ring; acidic solution and alkaline Solution B band absorption movement is not obvious, indicating that the compound is stable under acidic and alkaline conditions. In addition, it can be seen from the comparison with the standard that the synthesized compound is methylene blue.

结论:亚甲蓝样品符合亚甲蓝结构的紫外吸收特征,样品在各种条件中的UV谱与对照品的UV谱均一致。Conclusion: The methylene blue sample conforms to the ultraviolet absorption characteristics of the methylene blue structure, and the UV spectrum of the sample under various conditions is consistent with that of the reference substance.

3.3红外吸收光谱3.3 Infrared absorption spectrum

3.3.1测定条件:3.3.1 Determination conditions:

仪器:instrument:

方法:KCl压片法(取供试品约1mg置于研钵中,滴加少量无水甲醇溶解,加入适量KCl细粉,混匀,置红外灯下烘烤5分钟,研磨压片测定)Method: KCl tablet method (take about 1 mg of the test product and place it in a mortar, add a small amount of anhydrous methanol dropwise to dissolve, add an appropriate amount of KCl fine powder, mix well, bake under infrared light for 5 minutes, grind and press the tablet for determination)

3.3.2测定结果3.3.2 Measurement results

表3亚甲蓝的红外光谱数据Table 3 Infrared spectrum data of methylene blue

  吸收峰波数(cm<sup>-1</sup>)Absorption peak wave number (cm<sup>-1</sup>)  强度Strength  基团和振动类型group and vibration type解析analyze  3367.23367.2  中(宽)Medium (wide)  υ<sub>O-H</sub>υ<sub>O-H</sub>结晶水O-H伸缩振动Crystal water O-H stretching vibration  1598.21489.31598.21489.3  强中strong in  υ<sub>C=C</sub>υ<sub>C=C</sub>苯环骨架伸缩振动Stretching vibration of benzene ring skeleton  1394.51394.5  强 powerful  δCH<sub>3</sub>δCH<sub>3</sub>甲基的弯曲振动Bending vibration of the methyl group  1352.7,1336.21352.7, 1336.2  强 powerful  υC<sub>烷</sub>-NυC<sub>alkane</sub>-N芳香C与氨基N的伸缩振动Stretching Vibration of Aromatic C and Amino N  1249.1,1221.61249.1, 1221.6  中 middle  υC<sub>芳</sub>-NυC<sub>Fang</sub>-N芳香叔胺的烷基的C-N伸缩振动C-N Stretching Vibration of the Alkyl Group of Aromatic Tertiary Amines  1177.2,1140.11177.2, 1140.1  中 middle  δ=C-Hδ=C-H苯环=C-H面内弯曲振动Benzene ring = C-H in-plane bending vibration  802.9,837.7,882.8802.9, 837.7, 882.8  中 middle  δ=C-Hδ=C-H苯环=C-H面外弯曲振动Benzene ring = C-H out-of-plane bending vibration

3.3.3解析:3.3.3 Analysis:

3367.2cm-1,中等强度并且较宽的吸收峰,说明化合物中存在分子内氢键,分子中有O-H。3367.2cm-1 , moderate intensity and broad absorption peak, indicating that there are intramolecular hydrogen bonds in the compound and OH in the molecule.

1598.8、1541.9、1488.7、1447.7cm-1为苯环骨架振动,说明化合物中含有苯环存在。1598.8, 1541.9, 1488.7, 1447.7cm-1 are vibrations of the benzene ring skeleton, indicating that the compound contains a benzene ring.

882.3~615.2cm-1为芳氢的面外弯曲振动,进一步证明了化合物中有苯环存在。882.3~615.2cm-1 is the out-of-plane bending vibration of aromatic hydrogen, which further proves the existence of benzene ring in the compound.

1395.3,1249.1cm-1此处出现的强峰和中强峰分别为芳香叔胺的芳基和烷基C-N伸缩振动,说明化合物为一芳香叔胺结构。1395.3, 1249.1cm-1 The strong peak and medium strong peak appearing here are the CN stretching vibration of the aryl group and the alkyl group of the aromatic tertiary amine, indicating that the compound is an aromatic tertiary amine structure.

1355.7,1339.5为甲基的对称伸缩振动,两峰强度相当,说明两甲基连接在同一原子上1355.7 and 1339.5 are the symmetrical stretching vibration of the methyl group, and the intensity of the two peaks is equal, indicating that the two methyl groups are connected to the same atom

3.3.4结论3.3.4 Conclusion

所制备样品的红外光谱数据符合亚甲蓝结构特征,与《中国药典》中亚甲蓝红外标准图谱一致。The infrared spectrum data of the prepared samples conformed to the structural characteristics of methylene blue, which was consistent with the infrared standard spectrum of methylene blue in "Chinese Pharmacopoeia".

3.4核磁共振谱3.4 NMR spectrum

3.4.1测定条件3.4.1 Measurement conditions

仪器:Varian公司Inova 400核磁共振波谱仪Instrument: Varian Inova 400 nuclear magnetic resonance spectrometer

溶剂:D2O内标:TMSSolvent:D2O Internal standard: TMS

3.4.2测定结果3.4.2 Measurement results

Figure C20061020130600121
Figure C20061020130600121

表4亚甲蓝的1H-NMR数据及归属Table 41 H-NMR data and assignment of methylene blue

  序号serial number  δ(ppm)δ(ppm)  H数Number of H  多重性multiplicity  备注 Remark  1、2、15、161, 2, 15, 16  2.872.87  1212  ss  8、148, 14  6.48-6.526.48-6.52  2 2  d,J=1.6Hzd, J=1.6Hz  与δ6.71-6.76ppm的氢相关Correlation with hydrogen at δ6.71-6.76ppm  4、124, 12  6.71-6.766.71-6.76  2 2  dd,J=9.3Hz,J=2.2Hzdd, J=9.3Hz, J=2.2Hz  与δ6.91-6.96ppm、6.48-6.52的氢相关Correlated with hydrogen at δ6.91-6.96ppm, 6.48-6.52  5、115, 11  6.91-6.966.91-6.96  2 2  d,J=9.6Hzd, J=9.6Hz  与δ6.71-6.76ppm的氢相关Correlation with hydrogen at δ6.71-6.76ppm

表5亚甲蓝的13C-NMR数据及归属Table 513 C-NMR data and assignment of methylene blue

  序号serial number  δ(ppm)δ(ppm)  碳数目carbon number  碳类型carbon type  备注 Remark  1、2、15、161, 2, 15, 16  40.64240.642  44  伯Uncle  与δ2.87ppm的H相关Correlation with H at δ2.87ppm  8、148, 14  106.036106.036  2 2  叔 uncle  与δ6.48-6.52ppm的H相关,与δ6.71-6.76ppm的H远程相关Correlated with H at δ6.48-6.52ppm, long-range correlated with H at δ6.71-6.76ppm  4、124, 12  118.267118.267  2 2  叔 uncle  与δ6.71-6.76ppm的H相关,与δ6.48-6.52ppm、δ6.91-6.96ppm的H远程相关Correlated with H at δ6.71-6.76ppm, remotely correlated with H at δ6.48-6.52ppm, δ6.91-6.96ppm  7、97, 9  133.490133.490  2 2  季season  与δ6.48-6.52ppm的H远程相关Remotely correlated with H of δ6.48-6.52ppm  6、106, 10  133.780133.780  2 2  季season  与δ6.71-6.76ppm、δ6.91-6.96ppm的H远程相关Remotely correlated with H of δ6.71-6.76ppm, δ6.91-6.96ppm  5、115, 11  136.222136.222  2 2  叔 uncle  3、133, 13  152.979152.979  2 2  季season  与δ2.87ppm、δ6.91-6.96ppm的H远程相关Remotely correlated with H at δ2.87ppm, δ6.91-6.96ppm

3.4.3解析3.4.3 Analysis

氢谱中四组质子信号。结合元素分析和高分辨质谱分析结果,应为3组共6个不饱和芳香氢,1组12个饱和单氢,并且可推断样品分子为一高度对称结构。在δ2.85ppm处的单峰,根据计算积分面积的结果可推算出此处为12个饱和单氢,由于受吸电子基团或原子的影响而向低场方向移动,从HMQC谱的可以看出其与δ40.642ppm的C原子相关。由于该C原子在DEPT谱中表现为伯-或仲-C原子,因此可推断此处H信号为四个与N原子相连接的-CH3上的H。结合分子的元素组成、不饱和度及对称性,至此已可以基本推断出样品分子为双(二甲氨基)取代的吩噻嗪结构。根据化学合成中使用的原料及反应类型(见申报资料8),推断二甲氨基的取代位置在3、13位。δ6.91-6.96ppm两个H的双重峰,J值9.6Hz,应为单纯苯环邻位偶合产生;结合H-Hcosy谱和HMQC谱可推断为5和11位H。δ6.71-6.76ppm两个双峰,积分面积为两个H,J值分别为9.3Hz和2.2Hz,应有一个邻位氢和一个间位氢;结合H-H cosy谱和HMQC谱可推断为4和12位H。δ6.48-6.52ppm为两个H的双重峰,J值1.6Hz,应为单纯苯环间位偶合产生;结合H-H cosy谱和HMQC谱可推断为8和14位H。Four sets of proton signals in the hydrogen spectrum. Combining the results of elemental analysis and high-resolution mass spectrometry analysis, there should be 6 unsaturated aromatic hydrogens in 3 groups and 12 saturated monohydrogens in 1 group, and it can be inferred that the sample molecule is a highly symmetrical structure. The single peak at δ2.85ppm can be deduced from the result of calculating the integral area to be 12 saturated monohydrogens, which move to the low-field direction due to the influence of electron-withdrawing groups or atoms. It can be seen from the HMQC spectrum It is found that it is related to the C atom of δ40.642ppm. Since this C atom appears as a primary- or secondary-C atom in the DEPT spectrum, it can be deduced that the H signal here is the H on four -CH3 attached to the N atom. Combining the elemental composition, degree of unsaturation and symmetry of the molecule, it can be basically inferred that the sample molecule is a bis(dimethylamino)-substituted phenothiazine structure. According to the raw materials and reaction types used in the chemical synthesis (see application information 8), it is inferred that the substitution positions of dimethylamino are at the 3 and 13 positions. δ6.91-6.96ppm doublet of two H, J value 9.6Hz, should be pure benzene ring ortho-coupling; combining H-Hcosy spectrum and HMQC spectrum can be inferred as 5 and 11 H. δ6.71-6.76ppm two double peaks, the integral area is two H, the J values are 9.3Hz and 2.2Hz respectively, there should be an ortho hydrogen and a meta hydrogen; combining the HH cozy spectrum and the HMQC spectrum can be inferred as 4 and 12 bit H. δ6.48-6.52ppm is a doublet of two Hs, and the J value is 1.6Hz, which should be caused by the meta-coupling of benzene rings; combined with HH cozy spectrum and HMQC spectrum, it can be deduced to be H at positions 8 and 14.

碳谱中共有7组峰,从DEPT-135谱可看出有3组季碳、4组伯碳或叔碳,符合亚甲蓝分子的对称结构特征及碳原子类型。δ40.642ppm碳原子为伯碳或叔碳,HMQC谱中与四个N-CH3上的H相关,应为四个N-CH3上的C原子;δ106.036ppm、δ118.267ppm、δ136.222ppm的三组碳原子均为伯碳或叔碳,HMQC谱中分别与三组芳环氢相关,根据相关的氢原子位置可判断δ106.036ppm对应8和14位C,δ118.267对应4和12位C,δ136.222ppm对应5和11位C。三组季碳中化学位移为152.979ppm的一组碳原子从HMBC可见其与N-CH3上的H远程相关,应为3和13位C;其它两组化学位移较近,从HMBC上较难辨别,根据相邻原子推断δ133.780ppm对应6和10位C,δ133.490ppm对应7和9位C。There are 7 groups of peaks in the carbon spectrum. From the DEPT-135 spectrum, it can be seen that there are 3 groups of quaternary carbons and 4 groups of primary or tertiary carbons, which conform to the symmetrical structure characteristics and carbon atom types of methylene blue molecules. δ40.642ppm carbon atom is primary carbon or tertiary carbon. In the HMQC spectrum, it is related to the H on the four N-CH3 , which should be the C atom on the four N-CH3 ; δ106.036ppm, δ118.267ppm, δ136. The three groups of carbon atoms at 222ppm are all primary carbons or tertiary carbons. In the HMQC spectrum, they are respectively related to the three groups of aromatic ring hydrogens. According to the positions of the relevant hydrogen atoms, it can be judged that δ106.036ppm corresponds to the 8th and 14th positions of C, and δ118.267 corresponds to the 4th and 14th positions. 12-bit C, δ136.222ppm corresponds to 5 and 11-bit C. Among the three groups of quaternary carbons, a group of carbon atoms with a chemical shift of 152.979ppm can be seen from HMBC, which is remotely related to H on N-CH3 , and should be C at the 3 and 13 positions; Difficult to distinguish, according to the adjacent atoms, it is deduced that δ133.780ppm corresponds to 6 and 10 C, and δ133.490ppm corresponds to 7 and 9 C.

至此,所有18个H及16个C均有了较合理的归属,且1H-NMR谱、BB+DEPT-135谱均与对照品一致。So far, all 18 H and 16 C have reasonable assignments, andthe 1 H-NMR spectrum and BB+DEPT-135 spectrum are consistent with the reference substance.

3.4.4结论3.4.4 Conclusion

精制品的1H,13C-NMR谱图所表征结构与亚甲蓝结构相符。The structure characterized bythe 1 H,13 C-NMR spectrum of the refined product is consistent with the structure of methylene blue.

3.5质谱3.5 Mass Spectrometry

3.5.1测定条件3.5.1 Measurement conditions

测定仪器:Finnigan MAT 95 mass spectrometerMeasuring instrument: Finnigan MAT 95 mass spectrometer

测定方式:EIMeasuring method: EI

3.5.2MS测定数据3.5.2 MS measurement data

  m/zm/z  相对丰度(%)Relative abundance (%)  285.2285.2  0.160.16  284.2284.2  0.290.29  269.2269.2  0.930.93  268.2268.2  5.615.61

亚甲蓝分子的裂解途径如下:The cleavage pathway of the methylene blue molecule is as follows:

Figure C20061020130600141
Figure C20061020130600141

本产品盐基的离子峰为m/z 284.2(M-Cl-),强度最大,定为基峰。该峰经高分辨质谱确证元素组成为:C16H18N3S,该离子捕获一个氢原子产生m/z 285.2的离子峰;失去一个CH4分子则得到一Schiff碱结构的m/z268.2的离子峰,后者再捕获一个氢原子产生m/z 269.2的离子峰。m/z268.2的离子继续失去一个CH4分子得到对称的含Schiff碱结构的m/z252.3的离子峰。The ion peak of the base of this product is m/z 284.2 (M-Cl- ), with the highest intensity, which is defined as the base peak. The elemental composition of this peak was confirmed by high-resolution mass spectrometry: C16 H18 N3 S, the ion captures a hydrogen atom to generate an ion peak of m/z 285.2; the loss of a CH4 molecule results in a Schiff base structure of m/z 268. 2, which then captures a hydrogen atom to generate an ion peak at m/z 269.2. The ion of m/z268.2 continues to lose a CH4 molecule to obtain a symmetrical ion peak of m/z252.3 containing Schiff base structure.

3.5.3结论3.5.3 Conclusion

质谱分析与亚甲蓝分子结构相符。Mass spectrometry was consistent with the molecular structure of methylene blue.

3.6热重分析及差热分析3.6 Thermogravimetric analysis and differential thermal analysis

3.6.1测定条件3.6.1 Measurement conditions

仪器:NETZSCH STA409PC/PG;扫描范围,30℃~500℃;升温速率10℃/min;参照物:Al2O3Instrument: NETZSCH STA409PC/PG; scanning range, 30℃~500℃; heating rate 10℃/min; reference: Al2 O3

3.6.2结果3.6.2 Results

表6亚甲蓝的热重分析结果The thermogravimetric analysis result of table 6 methylene blue

Figure C20061020130600151
Figure C20061020130600151

本产品自开始至33.2℃时即开始第一次失重,一直到约145.9℃,共失重约14.89%;第二次失重开始较缓,约132.5℃开始,至约366.2℃,失重约16.66%。This product begins to lose weight for the first time when it reaches 33.2°C, and reaches about 145.9°C, with a total weight loss of about 14.89%.

第一次约失重14.89%,此过程持续时间短、坡度大,说明本产品可能含有结晶溶剂。再根据元素分析结果及重结晶工艺,因此可判断此过程主要失去的是分子中的结晶水,经计算应为三分子结晶水。第二次失重约16.66%,下滑较为平缓,而且其持续温度较长,因此可以判断此次失重是由于温度升高导致化合物结构破坏引起。The first weight loss is about 14.89%. The duration of this process is short and the slope is large, indicating that this product may contain a crystallization solvent. According to the elemental analysis results and the recrystallization process, it can be judged that the main loss in this process is the crystal water in the molecules, which should be three molecules of crystal water after calculation. The second weight loss was about 16.66%, the decline was relatively gentle, and the temperature lasted for a long time, so it can be judged that this weight loss was caused by the destruction of the compound structure due to the increase in temperature.

3.7粉末X-射线衍射谱3.7 Powder X-ray Diffraction Spectrum

仪器:日本理学(Rigaku)公司D/max-rB型X-射线衍射仪Instrument: Rigaku Corporation D/max-rB X-ray diffractometer

测定Cu靶,40KV,60mADetermination of Cu target, 40KV, 60mA

3.7.1X-射线衍射数据3.7.1 X-ray diffraction data

  2θ(°)2θ(°)  d(A°)d(A°)  I/I<sub>0</sub>I/I<sub>0</sub>  2θ(°)2θ(°)  d(A°)d(A°)  I/I<sub>0</sub>I/I<sub>0</sub>  5.685.68  15.546515.5465  3838  25.0025.00  3.55893.5589  24 twenty four  9.249.24  9.56319.5631  6868  25.6025.60  3.47683.4768  100100  9.649.64  9.16729.1672  3434  26.2426.24  3.39343.3934  6161  10.8010.80  8.18508.1850  2828  27.0827.08  3.29013.2901  2626  11.3211.32  7.81027.8102  21 twenty one  28.0828.08  3.17513.1751  2727  18.7218.72  4.73624.7362  2525  28.4828.48  3.13143.1314  2727

3.7.2结论:3.7.2 Conclusion:

粉末X-射线衍射谱表明,本精制品样品衍射峰尖锐,说明本产品的结晶良好。The powder X-ray diffraction spectrum shows that the diffraction peaks of this refined product sample are sharp, indicating that the crystallization of this product is good.

4.亚甲蓝化学结构确证结论4. Confirmation conclusion of the chemical structure of methylene blue

(1)本实验中用于结构鉴定的样品是参照本发明亚甲蓝的合成,从简单原料开始按照已知反应路线合成并精制得到。本产品最后是从水中结晶析出,干燥失重为16.4%。本产品元素分析结果与亚甲蓝一分子(C16H18ClN3S)含3.5分子水的理论计算值相符。高分辨质谱也说明了所合成分子的盐基部分元素组成为C16H18N3S。热重分析表明,本产品含3个结晶水。因此可推断本产品的元素组成与亚甲蓝(C16H18ClN3S·3H2O)一致。(1) The samples used for structural identification in this experiment were synthesized and refined from simple raw materials according to known reaction routes with reference to the synthesis of methylene blue of the present invention. This product is crystallized from water at last, and the weight loss on drying is 16.4%. The elemental analysis results of this product are consistent with the theoretical calculation value that one molecule of methylene blue (C16 H18 ClN3 S) contains 3.5 molecules of water. The high-resolution mass spectrum also shows that the element composition of the base part of the synthesized molecule is C16 H18 N3 S. Thermogravimetric analysis shows that this product contains 3 crystal waters. Therefore, it can be inferred that the elemental composition of this product is consistent with methylene blue (C16 H18 ClN3 S·3H2 O).

(2)本产品分子式为C16H18ClN3S·3H2O,计算得不饱和度为9,因此,分子中应有芳环存在。紫外光谱显示了分子中的芳环B带吸收峰,且因该峰向长波方向移动,说明分子中芳环上有供电子取代基团。IR中也有苯环骨架振动,另外1395.3,1249.1cm-1的吸收说明了化合物具芳香叔胺结构。这些结构特征与亚甲蓝相符。(2) The molecular formula of this product is C16 H18 ClN3 S·3H2 O, and the calculated degree of unsaturation is 9. Therefore, there should be aromatic rings in the molecule. The ultraviolet spectrum shows that the aromatic ring B in the molecule has an absorption peak, and because the peak moves to the long-wave direction, it shows that there is an electron-donating substituent group on the aromatic ring in the molecule. There is also vibration of the benzene ring skeleton in IR, and the absorption of 1395.3, 1249.1cm-1 shows that the compound has an aromatic tertiary amine structure. These structural features are consistent with methylene blue.

(3)氢谱中有18个H信号,3组共6个芳香氢,1组12个饱和氢,并且可推断样品分子为一高度对称结构。根据这些氢的化学位移和偶合常数,结合H-H cosy谱和HMQC谱,可判断有化学环境完全相同的4个甲基,以及两组对称的苯环1、3、4位类型的芳环氢,并可基本推断出样品分子为双(二甲氨基)取代的吩噻嗪结构。根据合成原料中两个N原子处于对位,可基本确定取代基位置。碳谱中共有7组峰,从DEPT-135谱可看出有3组季碳、4组伯碳或叔碳。结合HMBC谱和HMQC谱,进一步确证了两个对称的二甲氨基的存在及其在芳环上的取代位置。至此可以确定样品分子结构就是亚甲蓝的分子结构。(3) There are 18 H signals in the hydrogen spectrum, a total of 6 aromatic hydrogens in 3 groups, and 12 saturated hydrogens in 1 group, and it can be inferred that the sample molecule is a highly symmetrical structure. According to the chemical shifts and coupling constants of these hydrogens, combined with the H-H cosy spectrum and the HMQC spectrum, it can be judged that there are 4 methyl groups with the same chemical environment, and two groups of 1, 3, and 4-position aromatic ring hydrogens of symmetric benzene ring, And it can be basically deduced that the sample molecule is a bis(dimethylamino) substituted phenothiazine structure. The position of the substituent can be basically determined according to the para position of the two N atoms in the synthetic raw material. There are 7 groups of peaks in the carbon spectrum. It can be seen from the DEPT-135 spectrum that there are 3 groups of quaternary carbons and 4 groups of primary or tertiary carbons. Combined with HMBC spectrum and HMQC spectrum, the existence of two symmetrical dimethylamino groups and their substitution positions on the aromatic ring were further confirmed. So far, it can be determined that the molecular structure of the sample is the molecular structure of methylene blue.

(4)质谱中得到一个m/z 284.2的基峰,为M-Cl-产生,进一步确证了盐基离子的组成;另外两个丰度较大的M-Cl--14及M-Cl--28的离子峰也进一步表明了芳环侧链有甲基取代的结构。(4) A base peak of m/z 284.2 was obtained in the mass spectrum, which was produced by M-Cl- , which further confirmed the composition of the base ion; the other two more abundant M-Cl- -14 and M-Cl- The ion peak of -28 also further indicates that the side chain of the aromatic ring has a methyl-substituted structure.

(5)样品粉末X-射线衍射谱表明,本样品衍射峰尖锐,说明本产品的结晶良好;精制品和对照品的全谱峰型和主要谱峰d值一致,是为同一晶型。(5) The powder X-ray diffraction spectrum of the sample shows that the diffraction peak of this sample is sharp, indicating that the crystallization of this product is good; the full spectrum peak type and the main spectrum peak d value of the refined product and the reference substance are consistent, and are the same crystal form.

(6)综上所述,经对样品的HPLC、元素分析、IR、UV、1HNMR、H-HCOSY、13CNMR、DEPT、HMQC、HMBC、EI-MS、TG、DTA、粉末X射线衍射分析,以及与对照品的对比分析,确认本产品的化学结构与亚甲蓝的化学结构一致,样品宏观特性也与亚甲蓝相同,因此确认本产品为亚甲蓝。(6) In summary, the samples were analyzed by HPLC, elemental analysis, IR, UV,1 HNMR, H-HCOSY,13 CNMR, DEPT, HMQC, HMBC, EI-MS, TG, DTA, powder X-ray diffraction , and comparative analysis with the reference substance, confirming that the chemical structure of this product is consistent with that of methylene blue, and the macroscopic characteristics of the sample are also the same as that of methylene blue, so it is confirmed that this product is methylene blue.

与现有技术相比,本发明所提供的合成方法成本较低,投资小,反应时间较短,适于工业化生产,所用原料易得,产品纯度较高,且对环境污染较小。Compared with the prior art, the synthetic method provided by the present invention has lower cost, less investment, shorter reaction time, is suitable for industrial production, the raw materials used are easy to obtain, the product has higher purity and less environmental pollution.

具体实施方式:Detailed ways:

本发明的实施例1:Embodiment 1 of the present invention:

溶液的配制:称取氯化锌500g(4.95mol)溶解于500mL水,加入二水重铬酸钠2.5g配制成氯化锌溶液;称取十八水硫酸铝670g(1.00mol)溶解于600mL水配制成硫酸铝溶液;称取五水硫代硫酸钠525g(2.12mol)溶解于500mL水配制成硫代硫酸钠溶液;称取二水重铬酸钠648g(2.17mol)溶解于900mL水配制成重铬酸钠溶液;称取N,N-二甲基苯胺200g(1.65mol)溶解于227ml浓盐酸(2.66mol)配制成N,N-二甲基苯胺的盐酸溶液。Solution preparation: Weigh 500g (4.95mol) of zinc chloride and dissolve it in 500mL of water, add 2.5g of sodium dichromate dihydrate to prepare a zinc chloride solution; weigh 670g (1.00mol) of aluminum sulfate octadecahydrate and dissolve it in 600mL Water was prepared as aluminum sulfate solution; 525g (2.12mol) of sodium thiosulfate pentahydrate was dissolved in 500mL water to prepare sodium thiosulfate solution; 648g (2.17mol) of sodium dichromate dihydrate was dissolved in 900mL water to prepare Form sodium dichromate solution; Weigh 200 g (1.65 mol) of N, N-dimethylaniline and dissolve it in 227 ml of concentrated hydrochloric acid (2.66 mol) to prepare a hydrochloric acid solution of N, N-dimethylaniline.

药用亚甲蓝的合成:称取对氨基二甲基苯胺盐酸盐2mol(418g),投入带温度计的反应釜中,加入6L水溶解,搅拌下滴加浓硫酸0.41mol(40g),使溶液成酸性,室温下依次加入氯化锌溶液、硫酸铝溶液、硫代硫酸钠溶液,并加入300mL重铬酸钠溶液,搅拌下将反应液于10分钟内加热至40℃,将N,N-二甲基苯胺的盐酸溶液投入反应釜,随后立即加入剩余的600mL重铬酸钠溶液,于10分钟内加热至70℃;温度达70℃时,将2.87mol(250g)二氧化锰投入反应釜,加热至85℃,维持温度反应30分钟,自然降温至50℃,搅拌下缓慢加入浓硫酸7.14mol(700g);搅匀后放出反应液,于4℃环境下放置5小时,析出沉淀,抽滤,滤饼用10%氯化钠水溶液600mL洗涤;将滤饼转移至20L烧杯中,加入10L水,于电热套上搅拌加热至沸腾,趁热抽滤,滤液加入1.84mol(250g)氯化锌和25.64mol(1500g)氯化钠,搅拌使溶解,再将该溶液于4℃环境下放置24h,抽滤,50℃干燥得亚甲基蓝氯化锌盐460g;将所得氯化锌盐溶解于10L水中,加入碳酸钠0.52mol(55.2g),冷至室温,抽滤,少量水洗滤饼,加入氯化钠17.09mol(1000g),搅拌溶解后于4℃环境下放置12小时,抽滤,滤饼于40-45℃干燥12小时得亚甲蓝粗品320g(干燥失重约15%,以无水物计算收率为42.5%)。将亚甲蓝粗品投入三角瓶中,加入0.1mol/L盐酸1280mL(1∶4),60℃水浴加热溶解,于室温放置结晶,抽滤,滤饼于相同体积、浓度盐酸中重结晶一次,相同体积水中重结晶一次,滤饼于40-45℃干燥12小时,得到亚甲蓝205g,干燥失重14.6%,以无水物计算收率64.3%。按原料对氨基二甲基苯胺盐酸盐计算总收率为27.4%。The synthesis of medicinal methylene blue: take 2mol (418g) of p-aminodimethylaniline hydrochloride, put it into a reaction kettle with a thermometer, add 6L of water to dissolve, add 0.41mol (40g) of concentrated sulfuric acid dropwise under stirring, and make The solution becomes acidic, add zinc chloride solution, aluminum sulfate solution, sodium thiosulfate solution successively at room temperature, and add 300mL sodium dichromate solution, heat the reaction solution to 40°C within 10 minutes while stirring, and mix N, N - Put the hydrochloric acid solution of dimethylaniline into the reaction kettle, then immediately add the remaining 600mL sodium dichromate solution, and heat to 70°C within 10 minutes; when the temperature reaches 70°C, put 2.87mol (250g) manganese dioxide into the reaction Kettle, heated to 85°C, maintained the temperature for 30 minutes, then cooled down naturally to 50°C, slowly added 7.14mol (700g) of concentrated sulfuric acid under stirring; released the reaction solution after stirring, placed it at 4°C for 5 hours, and precipitated. Suction filtration, wash the filter cake with 600mL of 10% sodium chloride aqueous solution; transfer the filter cake to a 20L beaker, add 10L of water, stir and heat to boiling on the electric heating mantle, suction filtration while hot, add 1.84mol (250g) chlorine to the filtrate Zinc chloride and 25.64mol (1500g) sodium chloride were stirred to dissolve, and then the solution was placed at 4°C for 24 hours, filtered with suction, and dried at 50°C to obtain 460g of methylene blue zinc chloride salt; the obtained zinc chloride salt was dissolved in Add 0.52 mol (55.2 g) of sodium carbonate to 10 L of water, cool to room temperature, filter with suction, wash the filter cake with a small amount of water, add 17.09 mol (1000 g) of sodium chloride, stir and dissolve, place it at 4°C for 12 hours, filter with suction, The filter cake was dried at 40-45° C. for 12 hours to obtain 320 g of crude methylene blue (loss on drying was about 15%, and the yield was 42.5% based on anhydrous matter). Put the crude methylene blue into a conical flask, add 1280mL of 0.1mol/L hydrochloric acid (1:4), heat and dissolve in a water bath at 60°C, place crystallization at room temperature, filter with suction, and recrystallize the filter cake once in hydrochloric acid of the same volume and concentration. The same volume of water was recrystallized once, and the filter cake was dried at 40-45°C for 12 hours to obtain 205 g of methylene blue, with a loss on drying of 14.6% and a yield of 64.3% based on anhydrous matter. The total yield is 27.4% based on the raw material p-aminodimethylaniline hydrochloride.

本发明的实施例2:Embodiment 2 of the present invention:

溶液的配制:称取氯化锌50g(0.495mol)溶解于50ml水,并加入二水重铬酸钠0.25g配制成氯化锌溶液;称取AL2(SO4)3·18H2O 67g(0.1mol)溶解于60ml水配制成硫酸铝溶液;称取Na2S2O3·5H2O 52.5g(0.212mol)溶解于50ml水配制成硫代硫酸钠溶液;称取Na2Cr2O7·2H2O 64.8g(0.217mol)溶解于90ml水配制成重铬酸钠溶液;称取N,N-二甲基苯胺20g(0.165mol)溶解于22.7ml浓盐酸(0.266mol)配制成N,N-二甲基苯胺的盐酸溶液。Solution preparation: Weigh 50g (0.495mol) of zinc chloride and dissolve it in 50ml of water, and add 0.25g of sodium dichromate dihydrate to prepare a zinc chloride solution; weigh 67g of AL2 (SO4 )3 ·18H2 O (0.1mol) dissolved in 60ml water to prepare aluminum sulfate solution; weigh Na2 S2 O3 5H2 O 52.5g (0.212mol) dissolved in 50ml water to prepare sodium thiosulfate solution; weigh Na2 Cr2 Dissolve 64.8g (0.217mol) of O7 2H2 O in 90ml of water to prepare sodium dichromate solution; weigh 20g (0.165mol) of N,N-dimethylaniline and dissolve it in 22.7ml of concentrated hydrochloric acid (0.266mol) to prepare into N, N-dimethylaniline hydrochloric acid solution.

药用亚甲蓝的合成:称取对氨基二甲基苯胺盐酸盐41.8g,投入带温度计的2000ml反应瓶中,加入600ml水溶解,搅拌下滴加浓硫酸4g,使溶液成酸性,室温下依次加入氯化锌溶液、硫酸铝溶液、硫代硫酸钠溶液,并在2秒内加入30ml重铬酸钠溶液,搅拌下将反应液在1分钟内加热至30℃,将N,N-二甲基苯胺的盐酸溶液投入反应瓶,随后立即加入剩余的60ml重铬酸钠溶液,于3分钟内加热到60℃。温度达60℃时,将25g二氧化锰投入反应瓶,加热至80℃,维持温度反应20分钟,自然降温至40℃,搅拌下缓慢加入浓硫酸70g,搅匀后放出反应液,于4℃环境下放置4小时,析出沉淀,抽滤,滤饼用60ml 10%氯化钠水溶液洗涤,将滤饼转移至2000ml烧杯中,加入1000ml水,于电热套上搅拌加热至沸腾,趁热抽滤,滤液加入25g氯化锌和150g氯化钠,搅拌使溶解,再将该溶液于4℃环境下放置22h,抽滤,45℃干燥得亚甲基蓝氯化锌盐24g;将所得氯化锌盐溶解于1000ml水中,加入碳酸钠5.52g,冷至室温,抽滤,少量水洗滤饼,加入氯化钠100g,搅拌溶解后于4℃环境下放置10小时,抽滤,滤饼于40-45℃干燥11小时得亚甲蓝粗品16g,然后用4倍重量的水重结晶数次即得。Synthesis of medicinal methylene blue: Weigh 41.8g of p-aminodimethylaniline hydrochloride, put it into a 2000ml reaction bottle with a thermometer, add 600ml of water to dissolve, add 4g of concentrated sulfuric acid dropwise under stirring to make the solution acidic, and leave it at room temperature Add zinc chloride solution, aluminum sulfate solution, and sodium thiosulfate solution in sequence, and add 30ml of sodium dichromate solution within 2 seconds, and heat the reaction solution to 30°C within 1 minute while stirring, and N, N- Put the hydrochloric acid solution of dimethylaniline into the reaction flask, then immediately add the remaining 60ml of sodium dichromate solution, and heat to 60°C within 3 minutes. When the temperature reaches 60°C, put 25g of manganese dioxide into the reaction bottle, heat to 80°C, maintain the temperature for 20 minutes, cool down to 40°C naturally, slowly add 70g of concentrated sulfuric acid under stirring, release the reaction solution after stirring, and store at 4°C Place it under the environment for 4 hours, precipitate out, filter with suction, wash the filter cake with 60ml 10% sodium chloride aqueous solution, transfer the filter cake to a 2000ml beaker, add 1000ml of water, stir and heat to boiling on the electric heating mantle, and suction filter while it is hot , add 25g of zinc chloride and 150g of sodium chloride to the filtrate, stir to dissolve, then place the solution at 4°C for 22h, filter it with suction, and dry at 45°C to obtain 24g of methylene blue zinc chloride salt; dissolve the obtained zinc chloride salt In 1000ml of water, add 5.52g of sodium carbonate, cool to room temperature, filter with suction, wash the filter cake with a small amount of water, add 100g of sodium chloride, stir and dissolve, place it at 4°C for 10 hours, filter with suction, and store the filter cake at 40-45°C Dry for 11 hours to obtain 16 g of crude methylene blue, and then recrystallize several times with 4 times the weight of water.

本发明的实施例3:Embodiment 3 of the present invention:

溶液的配制:称取氯化锌250g(2.475mol)溶解于250mL水,加入二水重铬酸钠1.25g配制成氯化锌溶液;称取十八水硫酸铝335g(0.50mol)溶解于300mL水配制成硫酸铝溶液;称取五水硫代硫酸钠262.5g(1.06mol)溶解于250mL水配制成硫代硫酸钠溶液;称取二水重铬酸钠324g(1.09mol)溶解于450mL水配制成重铬酸钠溶液;称取N,N-二甲基苯胺100g(0.83mol)溶解于114ml浓盐酸(1.33mol)配制成N,N-二甲基苯胺的盐酸溶液。Solution preparation: Weigh 250g (2.475mol) of zinc chloride and dissolve it in 250mL of water, add 1.25g of sodium dichromate dihydrate to prepare a zinc chloride solution; weigh 335g (0.50mol) of aluminum sulfate octadecahydrate and dissolve it in 300mL Water was prepared as aluminum sulfate solution; 262.5g (1.06mol) of sodium thiosulfate pentahydrate was dissolved in 250mL water to prepare sodium thiosulfate solution; 324g (1.09mol) of sodium dichromate dihydrate was dissolved in 450mL of water Prepare a sodium dichromate solution; weigh 100 g (0.83 mol) of N,N-dimethylaniline and dissolve it in 114 ml of concentrated hydrochloric acid (1.33 mol) to prepare a hydrochloric acid solution of N,N-dimethylaniline.

药用亚甲蓝的合成:称取对氨基二甲基苯胺盐酸盐1mol(209g),投入带温度计的反应釜中,加入3L水溶解,搅拌下滴加浓硫酸0.21mol(20g),使溶液成酸性,室温下依次加入氯化锌溶液、硫酸铝溶液、硫代硫酸钠溶液,并加入150mL重铬酸钠溶液,搅拌下将反应液于5分钟内加热至50℃,将N,N-二甲基苯胺的盐酸溶液投入反应釜,随后立即加入剩余的300mL重铬酸钠溶液,于7分钟内加热至80℃;温度达80℃时,将1.44mol(125g)二氧化锰投入反应釜,加热至90℃,维持温度反应40分钟,自然降温至60℃,搅拌下缓慢加入浓硫酸3.57mol(350g);搅匀后放出反应液,于4℃环境下放置6小时,析出沉淀,抽滤,滤饼用10%氯化钠水溶液300mL洗涤;将滤饼转移至10L烧杯中,加入5L水,于电热套上搅拌加热至沸腾,趁热抽滤,滤液加入0.92mol(1250g)氯化锌和12.82mol(750g)氯化钠,搅拌使溶解,再将该溶液于4℃环境下放置26h,抽滤,55℃干燥得亚甲基蓝氯化锌盐230g;将所得氯化锌盐溶解于5L水中,加入碳酸钠0.26mol(27.6g),冷至室温,抽滤,少量水洗滤饼,加入氯化钠8.55mol(500g),搅拌溶解后于4℃环境下放置14小时,抽滤,滤饼于40-45℃干燥13小时得亚甲蓝粗品160g,然后用4倍重量的水重结晶数次即得。The synthesis of medicinal methylene blue: take 1mol (209g) of p-aminodimethylaniline hydrochloride, put it into a reaction kettle with a thermometer, add 3L of water to dissolve, add 0.21mol (20g) of concentrated sulfuric acid dropwise under stirring, and make The solution becomes acidic, add zinc chloride solution, aluminum sulfate solution, sodium thiosulfate solution successively at room temperature, and add 150mL sodium dichromate solution, heat the reaction solution to 50°C within 5 minutes while stirring, and mix N, N - Put the hydrochloric acid solution of dimethylaniline into the reaction kettle, then immediately add the remaining 300mL sodium dichromate solution, and heat to 80°C within 7 minutes; when the temperature reaches 80°C, put 1.44mol (125g) manganese dioxide into the reaction Kettle, heated to 90°C, maintained the temperature for 40 minutes, cooled naturally to 60°C, slowly added 3.57mol (350g) of concentrated sulfuric acid under stirring; released the reaction solution after stirring, placed it at 4°C for 6 hours, and precipitated. Suction filtration, wash the filter cake with 300mL of 10% sodium chloride aqueous solution; transfer the filter cake to a 10L beaker, add 5L of water, stir and heat to boiling on the electric heating mantle, suction filtration while hot, add 0.92mol (1250g) chlorine to the filtrate Zinc chloride and 12.82mol (750g) sodium chloride were stirred to dissolve, and then the solution was placed at 4°C for 26 hours, filtered with suction, and dried at 55°C to obtain 230g of methylene blue zinc chloride salt; the obtained zinc chloride salt was dissolved in Add 0.26 mol (27.6 g) of sodium carbonate to 5 L of water, cool to room temperature, filter with suction, wash the filter cake with a small amount of water, add 8.55 mol (500 g) of sodium chloride, stir and dissolve, place it at 4°C for 14 hours, filter with suction, The filter cake was dried at 40-45°C for 13 hours to obtain 160 g of crude methylene blue, which was then recrystallized several times with 4 times the weight of water.

Claims (7)

Translated fromChinese
1.一种药用亚甲蓝的合成方法,其特征在于:用对氨基二甲基苯胺盐酸盐为起始原料,按照以下反应线路:1. a synthetic method of medicinal methylene blue, is characterized in that: be starting raw material with p-aminodimethylaniline hydrochloride, according to following reaction scheme:
Figure C2006102013060002C1
Figure C2006102013060002C1
以摩尔质量比计算,称取对氨基二甲基苯胺盐酸盐2份,投入带温度计的反应釜中,加水溶解,搅拌下滴加浓硫酸0.41份,室温下依次加入氯化锌含量为4.95份的溶液、硫酸铝含量为1.00份的溶液、硫代硫酸钠含量为2.12份的溶液,并加入重铬酸钠含量为0.72份的溶液,搅拌下将反应液迅速加热至30~50℃,将N,N-二甲基苯胺含量为1.65份的盐酸溶液投入反应釜,随后立即加入重铬酸钠含量为1.45份的溶液,迅速加热到60~80℃,将2.87份二氧化锰投入反应釜,加热至80~90℃,维持温度反应20~40分钟,降温至40~60℃,搅拌下缓慢加入浓硫酸7.14份,搅匀后放出反应液,于4℃环境下放置4~6小时,析出沉淀,抽滤,滤饼用10%氯化钠水溶液洗涤,将滤饼转移至烧杯中,加入水,于电热套上搅拌加热至沸腾,趁热抽滤,滤液加入氯化锌1.84份和氯化钠25.64份,搅拌使溶解,再将该溶液于4℃环境下放置22~26h,抽滤,45~55℃干燥得亚甲基蓝氯化锌盐;将所得氯化锌盐溶解于水中,加入碳酸钠0.52份,冷至室温,抽滤,少量水洗滤饼,加入氯化钠17.09份,搅拌溶解后于4℃环境下放置10~14小时,抽滤,滤饼于40-45℃干燥11~13小时得亚甲蓝粗品,然后用水重结晶数次即得。Calculated based on the molar mass ratio, weigh 2 parts of p-aminodimethylaniline hydrochloride, put it into a reaction kettle with a thermometer, add water to dissolve, add 0.41 parts of concentrated sulfuric acid dropwise under stirring, and add zinc chloride successively at room temperature to a content of 4.95 1.00 parts of solution, 1.00 parts of aluminum sulfate solution, 2.12 parts of sodium thiosulfate content, and 0.72 parts of sodium dichromate solution, and the reaction solution was rapidly heated to 30-50 °C under stirring. Put a hydrochloric acid solution with a content of 1.65 parts of N,N-dimethylaniline into the reaction kettle, and then immediately add a solution with a content of 1.45 parts of sodium dichromate, heat it rapidly to 60-80°C, and put 2.87 parts of manganese dioxide into the reaction Kettle, heated to 80-90°C, maintained the temperature for 20-40 minutes, cooled to 40-60°C, slowly added 7.14 parts of concentrated sulfuric acid while stirring, released the reaction liquid after stirring, and placed it at 4°C for 4-6 hours , precipitated, filtered with suction, washed the filter cake with 10% aqueous sodium chloride solution, transferred the filter cake to a beaker, added water, stirred and heated to boiling on the electric heating mantle, suction filtered while it was hot, and added 1.84 parts of zinc chloride to the filtrate and 25.64 parts of sodium chloride, stir to dissolve, then place the solution at 4°C for 22-26 hours, filter with suction, and dry at 45-55°C to obtain methylene blue zinc chloride salt; dissolve the obtained zinc chloride salt in water, Add 0.52 parts of sodium carbonate, cool to room temperature, filter with suction, wash the filter cake with a small amount of water, add 17.09 parts of sodium chloride, stir and dissolve, place at 4°C for 10-14 hours, filter with suction, and dry the filter cake at 40-45°C After 11-13 hours, the crude product of methylene blue was obtained, and then recrystallized several times with water.2.按照权利要求1所述药用亚甲蓝的合成方法,其特征在于:称取对氨基二甲基苯胺盐酸盐2mol,投入带温度计的反应釜中,加入6L水溶解,搅拌下滴加浓硫酸0.41mol,室温下依次加入氯化锌溶液500mL、硫酸铝溶液600mL、硫代硫酸钠溶液500mL,并迅速加入300mL重铬酸钠溶液,搅拌下将反应液于10分钟内加热至40℃,将N,N-二甲基苯胺的盐酸溶液227ml投入反应釜,随后立即加入剩余的600mL重铬酸钠溶液,于10分钟内加热至70℃;温度达70℃时,将2.87mol二氧化锰投入反应釜,加热至85℃,维持温度反应30分钟,自然降温至50℃,搅拌下缓慢加入浓硫酸7.14mol;搅匀后放出反应液,于4℃环境下放置5小时,析出沉淀,抽滤,滤饼用10%氯化钠水溶液600mL洗涤;将滤饼转移至20L烧杯中,加入10L水,于电热套上搅拌加热至沸腾,趁热抽滤,滤液加入1.84mol氯化锌和25.64mol氯化钠,搅拌使溶解,再将该溶液于4℃环境下放置24h,抽滤,50℃干燥得亚甲基蓝氯化锌盐;将所得氯化锌盐溶解于10L水中,加入碳酸钠0.52mol,冷至室温,抽滤,少量水洗滤饼,加入氯化钠17.09mol,搅拌溶解后于4℃环境下放置12小时,抽滤,滤饼于40-45℃干燥12小时得亚甲蓝粗品,然后用4倍重量的水重结晶数次即得。2. according to the synthetic method of the described medicinal methylene blue of claim 1, it is characterized in that: take by weighing p-aminodimethylaniline hydrochloride 2mol, drop in the reactor with thermometer, add 6L water to dissolve, stir and drip Add 0.41 mol of concentrated sulfuric acid, then add 500 mL of zinc chloride solution, 600 mL of aluminum sulfate solution, and 500 mL of sodium thiosulfate solution at room temperature, and quickly add 300 mL of sodium dichromate solution, and heat the reaction solution to 40 within 10 minutes while stirring. ℃, put 227ml of N,N-dimethylaniline hydrochloric acid solution into the reaction kettle, then immediately add the remaining 600mL sodium dichromate solution, and heat to 70℃ within 10 minutes; when the temperature reaches 70℃, add 2.87mol dichromate Put manganese oxide into the reaction kettle, heat to 85°C, maintain the temperature for 30 minutes, cool down to 50°C naturally, slowly add 7.14mol of concentrated sulfuric acid under stirring; release the reaction liquid after stirring well, place it at 4°C for 5 hours, and precipitate , suction filtration, the filter cake was washed with 600mL of 10% sodium chloride aqueous solution; the filter cake was transferred to a 20L beaker, 10L of water was added, stirred and heated to boiling on the electric heating mantle, suction filtration while hot, and 1.84mol zinc chloride was added to the filtrate and 25.64mol of sodium chloride, stir to dissolve, then place the solution at 4°C for 24h, filter with suction, and dry at 50°C to obtain methylene blue zinc chloride salt; dissolve the obtained zinc chloride salt in 10L of water, add sodium carbonate 0.52mol, cool to room temperature, filter with suction, wash the filter cake with a small amount of water, add 17.09mol of sodium chloride, stir and dissolve, place it at 4°C for 12 hours, filter with suction, dry the filter cake at 40-45°C for 12 hours to obtain methylene Blue crude product, and then recrystallized several times with 4 times the weight of water.3.按照权利要求1或2所述药用亚甲蓝的合成方法,其特征在于:所用的氯化锌溶液浓度为9.9mol/l,其中还含有0.016mol/l的重铬酸钠。3. according to the synthetic method of the described medical methylene blue of claim 1 or 2, it is characterized in that: the zinc chloride solution concentration used is 9.9mol/l, wherein also contains the sodium dichromate of 0.016mol/l.4.按照权利要求1或2所述药用亚甲蓝的合成方法,其特征在于:所用的硫酸铝溶液浓度为1.67mol/l。4. according to the synthetic method of the described medical methylene blue of claim 1 or 2, it is characterized in that: the aluminum sulfate solution concentration used is 1.67mol/l.5.按照权利要求1或2所述药用亚甲蓝的合成方法,其特征在于:所用的硫代硫酸钠溶液浓度为4.24mol/l。5. according to the synthetic method of the described medicinal methylene blue of claim 1 or 2, it is characterized in that: the sodium thiosulfate solution concentration used is 4.24mol/l.6.按照权利要求1或2所述药用亚甲蓝的合成方法,其特征在于:所用的重铬酸钠溶液浓度为2.41mol/l。6. according to the synthetic method of the described medicinal methylene blue of claim 1 or 2, it is characterized in that: the sodium dichromate solution concentration used is 2.41mol/l.7.按照权利要求1或2所述药用亚甲蓝的合成方法,其特征在于:所用的N,N-二甲基苯胺的盐酸溶液浓度为7.27mol/l。7. according to the synthetic method of the described medicinal methylene blue of claim 1 or 2, it is characterized in that: the hydrochloric acid solution concentration of used N,N-dimethylaniline is 7.27mol/l.
CNB2006102013069A2006-12-152006-12-15Medicinal methylene blue synthesis methodActiveCN100436431C (en)

Priority Applications (1)

Application NumberPriority DateFiling DateTitle
CNB2006102013069ACN100436431C (en)2006-12-152006-12-15Medicinal methylene blue synthesis method

Applications Claiming Priority (1)

Application NumberPriority DateFiling DateTitle
CNB2006102013069ACN100436431C (en)2006-12-152006-12-15Medicinal methylene blue synthesis method

Publications (2)

Publication NumberPublication Date
CN1970548A CN1970548A (en)2007-05-30
CN100436431Ctrue CN100436431C (en)2008-11-26

Family

ID=38111593

Family Applications (1)

Application NumberTitlePriority DateFiling Date
CNB2006102013069AActiveCN100436431C (en)2006-12-152006-12-15Medicinal methylene blue synthesis method

Country Status (1)

CountryLink
CN (1)CN100436431C (en)

Families Citing this family (10)

* Cited by examiner, † Cited by third party
Publication numberPriority datePublication dateAssigneeTitle
US8383865B2 (en)2007-04-172013-02-26Codman & Shurtleff, Inc.Curcumin derivatives
EP2136797A4 (en)2007-04-172013-08-21Codman & ShurtleffIntranasally administering curcumin in a bolus of helium gas to treat alzheimer's disease
US7745670B2 (en)2008-06-272010-06-29Codman & Shurtleff, Inc.Curcumin-Resveratrol hybrid molecule
US7985776B2 (en)2008-06-272011-07-26Codman & Shurtleff, Inc.Iontophoretic delivery of curcumin and curcumin analogs for the treatment of Alzheimer's Disease
US7723515B1 (en)2009-01-262010-05-25Codman & Shurtleff, Inc.Methylene blue—curcumin analog for the treatment of alzheimer's disease
GB201317702D0 (en)2013-10-072013-11-20Wista Lab LtdMethods of chemical synthesis of diaminophenothiazinium compounds including methylthioninium chloride (MTC)
GB201621817D0 (en)2016-12-212017-02-01Wista Lab LtdMethods of chemical synthesis
CN108658895B (en)*2018-04-242020-06-19上海沃凯生物技术有限公司Purification method of methylene blue
CN114621101A (en)*2020-12-112022-06-14李冰坚 A kind of purification method of 3,5-dimethyl-1,2-phenylenediamine dihydrochloride
CN114989113A (en)*2022-06-012022-09-02山东科源制药股份有限公司Refining method of medicinal methylene blue

Citations (3)

* Cited by examiner, † Cited by third party
Publication numberPriority datePublication dateAssigneeTitle
US4212971A (en)*1979-03-081980-07-15American Cyanamid CompanyProcess for preparing methylene blue
US5344928A (en)*1991-04-261994-09-06Takeda Chemical Industries, Ltd.Phenothiazine derivatives, their production and use
WO2006032879A2 (en)*2004-09-232006-03-30Wista Laboratories Ltd.Methods of chemical synthesis and purification of diaminophenothiazinium compounds including methylthioninium chloride (mtc)

Patent Citations (3)

* Cited by examiner, † Cited by third party
Publication numberPriority datePublication dateAssigneeTitle
US4212971A (en)*1979-03-081980-07-15American Cyanamid CompanyProcess for preparing methylene blue
US5344928A (en)*1991-04-261994-09-06Takeda Chemical Industries, Ltd.Phenothiazine derivatives, their production and use
WO2006032879A2 (en)*2004-09-232006-03-30Wista Laboratories Ltd.Methods of chemical synthesis and purification of diaminophenothiazinium compounds including methylthioninium chloride (mtc)

Also Published As

Publication numberPublication date
CN1970548A (en)2007-05-30

Similar Documents

PublicationPublication DateTitle
CN100436431C (en)Medicinal methylene blue synthesis method
Yadav et al.In vitro antiplasmodial efficacy of synthetic coumarin-triazole analogs
CN112851646B (en) The preparation method of Tegrazan
JP2000290262A (en) Methods and intermediates for producing anticancer compounds
CN103570633B (en)The preparation method of Gefitinib
CN110950765A (en) A kind of preparation method of terbutaline sulfate
CN102030722B (en)Process for the preparation of 4- (3&#39;-chloro-4&#39;-fluoroanilino) -7-methoxy-6- (3-morpholinopropoxy) quinazoline
CN116745261A (en) A new method for the synthesis of 8-[(2-hydroxybenzoyl)amino)octanoic acid (salcaprozic acid) via amide formation
US8318936B2 (en)Method for producing N-methylnaltrexone bromide
CN103601645B (en)The preparation method of 1-(phenethyl amino) propane-2-alcohol compound or its salt
CN103012408B (en)Synthesis method of epinastine
CN107118215B (en)A kind of preparation method for treating breast cancer medicines Rui Boxini intermediate
WO2013159427A1 (en)Method for preparing pyronaridine
CN105985316A (en) A kind of preparation method of trexagliptin and salt thereof
CN109836424B (en)Method for preparing caffeine by methylation of environment-friendly theophylline sodium salt
CN114573555A (en)Preparation method of compound for treating migraine
CN111533706B (en) A kind of preparation method of 1,4,6-tri-substituted 1,2-dihydro-triazine compounds
CN104530055A (en)Preparation method of tofacitinib citrate
DE69012881T2 (en) Preparation of N- (3 - (((aryl) amino) sulfonyl) -1H-1,2,4-triazol-5-yl) amines.
TW201625632A (en)Synthesis of PI3K inhibitor and salts thereof
US20210323929A1 (en)Purified Detomidine, Process of Preparing and Methods of Use
CN113620961A (en)Synthesis method of compound SCH-79797
CN101657419A (en)Novel crystal forms of pyrrolylheptanoic acid derivatives
CN115557905B (en)Novel green method for preparing aminopyrazine and application of aminopyrazine in synthesis of medical intermediate
CN113264837B (en)Energetic ion salt of 3, 5-dihydroxy-2, 4, 6-trinitrobenzene derivative and preparation method thereof

Legal Events

DateCodeTitleDescription
C06Publication
PB01Publication
C10Entry into substantive examination
SE01Entry into force of request for substantive examination
C14Grant of patent or utility model
GR01Patent grant
C56Change in the name or address of the patentee

Owner name:SINOPHARM GROUP TONGJITANG (GUIZHOU) PHARMACEUTICA

Free format text:FORMER NAME: GUIZHOU TONGJITANG PHARMACEUTICAL CO., LTD.

CP01Change in the name or title of a patent holder

Address after:550009 No. 296 Southwest Ring Road, Xiaohe District, Guizhou, Guiyang

Patentee after:Sinopharm group (Guizhou) Pharmaceutical Co., Ltd.

Address before:550009 No. 296 Southwest Ring Road, Xiaohe District, Guizhou, Guiyang

Patentee before:Guizhou Tongjitang Pharmaceutical Co., Ltd.

CP02Change in the address of a patent holder
CP02Change in the address of a patent holder

Address after:550009 Guiyang economic and Technological Development Zone, Guizhou Province, No. 99 Tongji Hall

Patentee after:Sinopharm group (Guizhou) Pharmaceutical Co., Ltd.

Address before:550009 No. 296 Southwest Ring Road, Xiaohe District, Guizhou, Guiyang

Patentee before:Sinopharm group (Guizhou) Pharmaceutical Co., Ltd.


[8]ページ先頭

©2009-2025 Movatter.jp