Movatterモバイル変換


[0]ホーム

URL:


CN100383151C - Iridium complexes of β-diketone ligands and their electrophosphorescent devices - Google Patents

Iridium complexes of β-diketone ligands and their electrophosphorescent devices
Download PDF

Info

Publication number
CN100383151C
CN100383151CCNB2005100112794ACN200510011279ACN100383151CCN 100383151 CCN100383151 CCN 100383151CCN B2005100112794 ACNB2005100112794 ACN B2005100112794ACN 200510011279 ACN200510011279 ACN 200510011279ACN 100383151 CCN100383151 CCN 100383151C
Authority
CN
China
Prior art keywords
layer
dbq
cbdk
diketone ligand
iridium complex
Prior art date
Legal status (The legal status is an assumption and is not a legal conclusion. Google has not performed a legal analysis and makes no representation as to the accuracy of the status listed.)
Expired - Fee Related
Application number
CNB2005100112794A
Other languages
Chinese (zh)
Other versions
CN1810817A (en
Inventor
卞祖强
刘志伟
黄春辉
Current Assignee (The listed assignees may be inaccurate. Google has not performed a legal analysis and makes no representation or warranty as to the accuracy of the list.)
Peking University
Original Assignee
Peking University
Priority date (The priority date is an assumption and is not a legal conclusion. Google has not performed a legal analysis and makes no representation as to the accuracy of the date listed.)
Filing date
Publication date
Application filed by Peking UniversityfiledCriticalPeking University
Priority to CNB2005100112794ApriorityCriticalpatent/CN100383151C/en
Publication of CN1810817ApublicationCriticalpatent/CN1810817A/en
Application grantedgrantedCritical
Publication of CN100383151CpublicationCriticalpatent/CN100383151C/en
Anticipated expirationlegal-statusCritical
Expired - Fee Relatedlegal-statusCriticalCurrent

Links

Images

Landscapes

Abstract

Translated fromChinese

本发明提供一种亮度高、效率好,更实用化的铱配合物发光材料,以及采用这种铱配合物作为非掺杂发光材料的电致发光器件。根据本发明的铱配合物的结构通式为IrL2X,其中L为文献报导基础上的DBQ,X为β-二酮配体,当β-二酮配体为乙酰丙酮时,对应的配合物为文献报道过的Ir(DBQ)2(acac),当β-二酮配体为带有载流子传输基团-咔唑的CBDK时,对应的配合物为Ir(DBQ)2(CBDK)。本发明的另一方面提供一种电致磷光器件,包括导电玻璃衬底层,空穴传输层,发光层,空穴阻挡层,电子传输层,阴极层,其特征在于发光层的发光材料化学式为IrL2(R-[R1]n-CO-CH-CO-R2)。

The invention provides a more practical iridium complex luminescent material with high brightness and high efficiency, and an electroluminescent device using the iridium complex as a non-doped luminescent material. The general structural formula of the iridium complex according to the present invention is IrL2 X, wherein L is DBQ on the basis of literature reports, and X is a β-diketone ligand. When the β-diketone ligand is acetylacetone, the corresponding coordination The compound is Ir(DBQ)2 (acac) reported in the literature. When the β-diketone ligand is CBDK with a carrier transport group-carbazole, the corresponding complex is Ir(DBQ)2 (CBDK ). Another aspect of the present invention provides an electrophosphorescent device, comprising a conductive glass substrate layer, a hole transport layer, a light-emitting layer, a hole blocking layer, an electron transport layer, and a cathode layer, wherein the chemical formula of the light-emitting material of the light-emitting layer is: IrL2 (R-[R1 ]n -CO-CH-CO-R2 ).

Description

The complex of iridium of beta-diketonate ligand and electro phosphorescent device thereof
Technical field
The present invention relates to field of organic electroluminescent materials, relate in particular to the non-phosphorescence electroluminescent material that mixes up of transition metal complex of iridium.
Background technology
Since 1987, the C.W.Tang of U.S. Eastman Kodak company and VanSlyke (Appl.Phys.Lett.1987,51,913) organic electroluminescent has been done initiative research, with double-deck organic membrane be clipped in made organic electroluminescence device (OLED) between two electrodes since, organic electroluminescent becomes the focus of luminous area research because of the huge magnetism of its existence.Specifically, organic electroluminescent has following characteristics:
1) adopt organism, the material range of choice is wide, can realize the demonstration of any color from the blue light to ruddiness;
2) driving voltage is low, only needs the volts DS of 3-10 volt;
3) luminosity and luminous efficiency height;
4) full solidified active illuminating;
5) visual angle is wide, and response speed is fast;
6) preparation process is simple, and expense is low;
7) ultrathin membrane, in light weight;
8) can be produced on the softish substrate, device is expected bending fold.
In the electroluminescent research process, efficient is to estimate an important indicator of device quality, and for electroluminescent device, its outer quantum yield can be expressed as: ΦEl=χ ΦFlηrηe, χ is the mark of the singlet exciton that is compounded to form of current carrier in the formula, can be assumed to be 1/4, Φ by spin statistics principleFlBe the photoluminescence efficiency of object dyestuff, ηeBe the photon mark that the exciton that forms in the device sends, ηrThen form the mark of exciton for current carrier.Generally, have only the attenuation of singlet exciton to send fluorescence, if its luminous and composite efficiency all reaches 100% for the device of an optimum design, the maximum constraints that then improves luminous efficiency is the statistical distribution result of current carrier in compound.Therefore how utilizing the attenuation of triplet excitons to improve the luminous efficiency of electroluminescent device, is the heat subject in current electroluminescent field.
1998, (the Nature of Forrest group of U.S. Princeton university, 1998,395,151.) phosphorescent coloring PtOEP is entrained among the AlQ (oxine aluminium), make external quantum efficiency bring up to 4%. and found that thus heavy metal complex can henceforth, research and develop the very big interest that novel electromechanical phosphorescent material has caused people as electromechanical phosphorescent material efficiently.Be synthesized out in succession and be used for electro phosphorescent device as the title complex of metals such as platinum, ruthenium, osmium, iridium.Can produce the coupling of intensive swing-around trajectory in this metal complexes molecule, make the triplet transition of prohibiting originally become allowed transition, and then can realize strong phosphorescent emissions, wherein the title complex that forms of metal iridium and organic ligand is owing to have higher luminosity, and the adjustability that efficient and glow color change with the variation of organic ligand becomes the focus of everybody's research.
In the phosphorescence device, because life-span of phosphorescence is long than fluorescence, thereby causes the accumulation of exciton in the luminescence process and exciton is buried in oblivion, be i.e. concentration quenching.In order to reduce concentration quenching, report is in the document of electroluminescent material with the complex of iridium at present, and the overwhelming majority is doped in the guest materials title complex to reach higher brightness and efficient, and device promptly mixes.Yet the practicability of mixing up device also exists a series of drawback:
1) doping is easy to generate and is separated, shorten the life-span: electroluminescent device can practicability in the very big life-span of depending on it to a certain extent, the doping device can occur being separated in the process of using, and when having reached certain degree when being separated, the life-span of device has also just terminated.
2) doping can make the emission wavelength blue shift, exploitation to the ruddiness device is unfavorable: in the exploitation of three primary colours electroluminescent device, the saturated red device is relatively weaker comparatively speaking, reported in literature and in our experimentation, showing, along with reducing of doping content, emission wavelength is blue shift gradually, and therefore, the doping device is disadvantageous for the saturated red electroluminescent device of exploitation.
3) adulterated complex process, be difficult to practicability production: in general, for given subject and object material, device just shows best index when having only the doping content of working as object certain, that is to say that so device has very big dependency to adulterated concentration, accurately the concentration of controlled doping has caused the complicated of technology undoubtedly, has increased the difficulty that practicability is produced.
Recently, J.P.Duan people such as (Adv.Mater.2003,15,224.) is with the title complex [Ir (DBQ) of transition metal iridium2(acac)] be doped among the CBP, obtained the red device of higher luminosity and efficient, yet its glow color unsaturated (emission wavelength is orange about 610) is analyzed the blue shift of major cause for mixing and causing.More saturated in line with the exploitation color, the thought of the high efficiency phosphorescent electroluminescent material of practicability more, rich experiences by means of this laboratory electroluminescent material research, we are incorporated in the title complex by the beta-diketon that will contain the carrier transport ability functional group of novelty, to improve the carrier transport ability of material, specifically, main contents are:
1) being modified at of beta-diketon increased its volume (ining contrast to beta-diketon-methyl ethyl diketone commonly used at present) in a way, increased the distance between the iridium and iridium in the luminescent layer, reduced concentration quenching.
2) mainly be, contain the introducing of the beta-diketon of carrier transport ability functional group, start with, improve carrier transport ability, effectively make charge separation, reduced burying in oblivion of exciton from the root of concentration quenching.
Based on these contents, we design complex of iridium that has synthesized a beta-diketon that contains the carrier transport functional group and structure correspondence that bibliographical information is crossed the beta-diketon that does not have the carrier transport functional group complex of iridium and with since the electroluminescent character of its non-doping device of research, by contrast, verified the feasibility of our methods.
Summary of the invention
The object of the present invention is to provide a kind of brightness height, excellent in efficiency, the complex of iridium luminescent material of practicability more, and adopt the electroluminescent device of this complex of iridium as non-doped luminescent material.
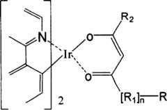
The general structure of complex of iridium of the present invention is IrL2X, wherein L is the DBQ on the reported in literature basis, X is a beta-diketonate ligand.When beta-diketonate ligand was methyl ethyl diketone, corresponding title complex was the Ir (DBQ) that bibliographical information is crossed2(acac), when beta-diketonate ligand when having the CBDK of carrier transport group-carbazole (cavity transmission group), corresponding title complex is Ir (DBQ)2(CBDK), the corresponding structure formula is as shown below
Figure C20051001127900061
Electroluminescent device of the present invention comprises the Conducting Glass layer, hole transmission layer, and luminescent layer, hole blocking layer, electron transfer layer, cathode layer, the luminescent material chemical formula of luminescent layer are Ir (DBQ)2X, X=acac, CBDK.
Beta-diketonate ligand of the present invention is compared with the methyl ethyl diketone of bibliographical information, and by introducing this carrier transport group of carbazole, the title complex that itself and iridium are formed has carrier transport ability, has reduced concentration quenching, and has obtained non-doping device preferable performance.
Complex of iridium of the present invention has excellent electroluminescent properties, can be used as electroluminescent material, makes luminescent layer in electroluminescent device.
Find that according to experiment (chromaticity coordinates x=0.66, y=0.34), the maximum brightness of some device reaches 7531cd/m to the emission wavelength of this complex of iridium at 632-640nm2, top efficiency is 3.49lm/W, has exceeded the non-doping reported in literature maximum (2.7lm/W) of iridium, maximum external quantum efficiency is 6.2%; The corresponding title complex maximum efficiency under the same conditions of not introducing functional group has only 0.26lm/W, maximum external quantum efficiency is 1.1%, the introducing of this functions group makes that these two indexs are non-not to rise to original 13.4 times and 5.5 times, proved the exactness of our front mentality of designing, provide a kind of efficient ways for reducing the complex of iridium concentration quenching.
Find that simultaneously under the atmospheric environment situation, device can continue to light several hours, for the non-doping device of more efficiently explanation in contrast to the stability of doping device, what the encapsulation of device, life search were positive is preparing.
Description of drawings
Below in conjunction with accompanying drawing the present invention is illustrated in further detail:
Fig. 1 electroluminescent device structural representation of the present invention;
The emmission spectrum of Fig. 2 electroluminescent device of the present invention;
The synthetic route of concrete part of Fig. 3 and title complex.
Embodiment
Below by specifying product of the present invention and method are further described (referring to Fig. 3), the present embodiment is raw materials used to be known compound, can buy on market, or available methods known in the art is synthetic.
1. part 2,2-dimethyl-6-(9-carbazyl)-3,5-hexanedione (CBDK) synthetic
Synthesizing of 9-Carbazoleacetic Acid
Place the 100ml beaker to mix 1.67g (0.01mol) carbazole and 3.92g (0.07mol) KOH, add 15mL N, dinethylformamide (DMF) drips methyl chloroacetate 2.17g (0.02mol).Under microwave power 375W, microwave irradiation 4min.Take out reaction vessel, add entry, filter, filtrate is used hydrochloric acid adjust pH to 1~2 of 6mol/L.With sedimentation and filtration, vacuum-drying.Thick product toluene recrystallization obtains the white plates crystal, productive rate 75%.1H-NMR(400MHz,CDCl3),δ:8.09-8.11(d,2H);7.45-7.49(t,2H);7.32-7.34(d,2H);7.26-7.29(t,2H);5.06(s,2H);1.4-3.4(1H).MS(m/z),Calcd.for C14H11NO2 225,found 225。
Synthesizing of 9-Carbazoleacetic Acid ethyl ester
With 1.44g (0.064mol) 9-Carbazoleacetic Acid, the 40ml methylene dichloride, the 24ml sulfur oxychloride joins in the 100ml round-bottomed flask successively, stirring and refluxing one hour, methylene dichloride and excessive sulfur oxychloride are removed in underpressure distillation, add excessive dehydrated alcohol rapidly, need not further reaction, directly revolve steaming.Crude product is an eluent with methylene dichloride and sherwood oil (volume ratio 1: 5), with silicagel column separate pure product, productive rate 95%.1H-NMR(400MHz,CDCl3),δ:8.09-8.11(d,2H);7.44-7.49(t,2H);7.33-7.35(d,2H);7.24-7.28(t,2H);5.00(s,2H);4.17-4.23(q,2H);1.20-1.24(t,2H)。
2,2-dimethyl-6-(9-carbazyl)-3,5-hexanedione (CBDK) synthetic
With 0.7g (70%; 0.04mol) NaH that handled with anhydrous n-hexane places exsiccant 100ml round-bottomed flask; add the 60ml anhydrous diethyl ether successively; 5.06g (0.02mol) 9-Carbazoleacetic Acid ethyl ester; 3.0g (0.03mol) 3; 3-dimethyl-2-butanone, the stirring and refluxing reaction is 48 hours under the nitrogen protection.Reaction solution is adjusted to PH=2-3 with hydrochloric acid, removes to desolvate, and solid is an eluent with ethyl acetate and sherwood oil (volume ratio 1: 50), with silicagel column separate pure product, productive rate 42%.1H-NMR (400MHz, CDCl3). δ: 13.5 (s, 2H); 8.09-8.11 (d, 2H); 7.44-7.49 (t, 2H); 7.32-7.35 (d, 2H); 7.25-7.28 (t, 2H); 5.05 (s, 2H); 0.97 (s, 9H) .MS (m/z), Calcd.for C20H21NO2307, found 307.
2. part (DBQ) is synthetic
Reference literature (Adv.Mater.2003,15,224.), in the 100ml round-bottomed flask, add the 50ml dehydrated alcohol successively, 5.20g (25.0mmol) 9, the 10-phenanthrenequione, 3.6g (30.0mmol) quadrol, 5 hours postcooling of stirring and refluxing are to room temperature, filter, crude product is an eluent with methylene dichloride and sherwood oil (volume ratio 1: 1), with silicagel column separate pure product, productive rate 72%.
3. title complex is synthetic
1) Ir (DBQ)2Synthesizing (acac)
Reference literature (Adv.Mater.2003; 15; 224.) 1.012g (4.4mmol) DBQ is dissolved in the 20ml ethylene glycol monoethyl ether; add 0.705g three hydration iridous chlorides and 6.0ml water, reacted 24 hours cool to room temperature under the nitrogen protection in 120 ℃ of stirring and refluxing; suction filtration; solid is used ethanol, washing with acetone, vacuum-drying respectively.Again above-mentioned solid is joined in the 50ml round-bottomed flask, add 0.2g (2.0mmol) Hacac and 0.53g (5.0mmol) Na in addition2CO3, under the nitrogen protection in 120 ℃ of stirring reactions 12 hours, cool to room temperature, suction filtration, solid is an eluent with methylene dichloride and sherwood oil (volume ratio 1: 1), with silicagel column separate pure product, productive rate 65%.
2) Ir (DBQ)2Synthesizing (CBDK)
Same Ir (DBQ)2Synthesizing (acac), make 0.2g (2.0mmol) Hacac into 0.614g (2.0mmol) HCBDK, productive rate 42%,1H-NMR (400MHz, CDCl3), δ: 9.28-9.31 (d, 1H); 9.20-9.22 (d, 1H); 8.64-8.65 (d, 1H); 8.58-8.60 (d, 1H); 8.50-8.55 (q, 3H); 8.43-8.44 (d, 1H); 7.89-7.98 (t, 4H); 7.74-7.86 (q, 4H); 7.20-7.22 (t, 2H); 7.10-7.16 (q, 4H); 7.00-7.05 (q, 2H); 6.28-6.33 (q, 2H); 5.30 (s, 1H); 4.72-4.76 (d, 1H); 4.60-4.64 (d, 1H); 0.64 (s, 9H).
4. the making of device
The new complex of iridium of the present invention can comprise conductive glass (ITO) substrate layer, hole transmission layer NPB, luminescent layer complex of iridium, hole blocking layer BCP, electron transfer layer AlQ, cathode layer as the device of luminescent layer.
Electroluminescent device can be made by methods known in the art, as presses reference (Appl.Phys.Lett.1987,51,913) disclosed method and make.Concrete grammar is: in high vacuum (less than 8 * 10-4Pa) under the condition, on through conductive glass (ITO) substrate that cleans, deposit hole mobile material, luminescent material, hole barrier materials, electron transport material and cathode material successively.
Ito glass sheet (21 * 21mm2), remove 1/3rd ITO with concentrated hydrochloric acid corrosion, with its with washing composition and organic solvent ultrasonic cleaning clean after, oven dry places in the vacuum plating unit,<8 * 10-4Under the high vacuum condition of Pa, monitor the thickness of each layer with quartz resonator, with title complex, hole barrier materials, electron transport material and the metallic cathode [magnesium silver alloys (Mg of hole mobile material, iridium0.9Ag0.1) deposit on the conductive glass successively.The thickness of each organic layer can change, so that device obtains better brightness and efficient.
Make four-layer device as Fig. 1 with this method, the structure of the various devices that make is as follows:
Device one: NPB (30nm)/Ir (DBQ)2(CBDK) (20nm)/BCP (5nm)/ALQ (20nm)
Device two: NPB (20nm)/Ir (DBQ)2(CBDK) (20nm)/BCP (5nm)/ALQ (30nm)
Device three: NPB (30nm)/Ir (DBQ)2(acac) (20nm)/BCP (5nm)/ALQ (20nm)
When measuring element performance and electroluminescent spectrum, the ITO electrode always links to each other with positive pole.The mensuration of electroluminescent spectrum is on the PR650 spectrograph, apply a constant voltage (usually 3-30 volt between) to device in, write down its emmission spectrum (see figure 2).
Voltage-to-current (I-V) curve and voltage-brightness (L-V) curve are by measuring on the computer-controlled Keithley 2400Sourcemeter Unit, and brightness is corrected by silicon photoelectric diode.(see figure 2)
The performance data of device one~three sees the following form:
DeviceMaximum brightness Kan Tela/every square metreMaximum power efficient lumens/wattGlow colorLuminescent spectrum
Device one 4099 3.49RedSee Fig. 2
Device two 7531 0.48RedSee Fig. 2
Device three 5002 0.26Red
The document maximum 29790 2.7Red
The ownership system gets device and document Adv.Mater.2003,15,224. compare, do not adopt and mix up technology, make the emission wavelength red shift to 640nm, with document Adv.Funct.Mater.2004,14,1221. compare, and adopt not doping techniques equally, the device maximum efficiency surpasses its reported values, reaches 3.49lm/W.Wherein some title complex maximum brightness is every square metre of 7531 Kan Tela, and maximum external quantum efficiency is 6.2%; The corresponding title complex maximum efficiency under the same conditions of not introducing functional group has only 0.26lm/W, and maximum external quantum efficiency is 1.1%, and the introducing of this functions group makes these two indexs rise to original 13.4 times and 5.5 times respectively.
Although disclose most preferred embodiment of the present invention and concrete experimental data for the purpose of illustration, but it will be appreciated by those skilled in the art that: without departing from the spirit and scope of the invention and the appended claims, various replacements, variation and modification all are possible.Therefore, the present invention should not be limited to the disclosed content of most preferred embodiment.

Claims (6)

Translated fromChinese
1.一种β-二酮配体的铱配合物,带有载流子传输基团,结构通式为1. An iridium complex of a β-diketone ligand, with a carrier transport group, the general structural formula isR-[R1]n-CO-CH2-CO-R2R-[R1 ]n -CO-CH2 -CO-R2式中R是载流子传输基团,选自咔唑基或恶唑基;R1是连接体,选自烷基或烷氧基,n=0,1;R2为烃基。In the formula, R is a carrier transport group selected from carbazolyl or oxazolyl;R1 is a linker selected from alkyl or alkoxyl, n=0,1;R2 is a hydrocarbon group.2.如权利要求1所述的β-二酮配体的铱配合物,其特征在于所述载流子传输基团为咔唑基团,该配体结构式为CBDK。2. The iridium complex of β-diketone ligand according to claim 1, characterized in that the carrier transport group is a carbazole group, and the ligand structural formula is CBDK.
Figure C2005100112790002C1
Figure C2005100112790002C1
3.含有如权利要求1所述β-二酮配体的铱配合物,结构通式为IrL2(R-[R1]n-CO-CH2-CO-R2),结构如下图,其特征在于含有载流子传输的β-二酮配体。3. The iridium complex containing the β-diketone ligand as claimed in claim 1, the general structural formula is IrL2 (R-[R1 ]n -CO-CH2 -CO-R2 ), the structure is as shown in the figure below, Characterized by a carrier-transporting beta-diketone ligand.
Figure C2005100112790002C2
Figure C2005100112790002C2
4.如权利要求2所述β-二酮配体的铱配合物,化学式为Ir(DBQ)2(CBDK),其特征在于含有载流子传输的β-二酮配体CBDK,其中DBQ的结构式如下:4. the iridium complex of β-diketone ligand as claimed in claim 2, chemical formula is Ir(DBQ)2 (CBDK), it is characterized in that containing the β-diketone ligand CBDK of carrier transport, wherein DBQ The structural formula is as follows:
Figure C2005100112790002C3
Figure C2005100112790002C3
5.一种电致磷光器件,包括导电玻璃衬底层,空穴传输层,发光层,空穴阻挡层,电子传输层,阴极层,其特征在于发光层的发光材料化学式为5. An electrophosphorescent device, comprising a conductive glass substrate layer, a hole transport layer, a light-emitting layer, a hole blocking layer, an electron transport layer, and a cathode layer, is characterized in that the light-emitting material chemical formula of the light-emitting layer isIrL2(R-[R1]n-CO-CH-CO-R2),结构式如下:IrL2 (R-[R1 ]n -CO-CH-CO-R2 ), the structural formula is as follows:
Figure C2005100112790003C1
Figure C2005100112790003C1
式中R是载流子传输基团,选自咔唑基或恶唑基;R1是连接体,选自烷基或烷氧基,n=0,1;R2为烃基。In the formula, R is a carrier transport group selected from carbazolyl or oxazolyl;R1 is a linker selected from alkyl or alkoxyl, n=0,1;R2 is a hydrocarbon group.
6.如权利要求5所述的电致磷光器件,其特征在于所述发光材料为Ir(DBQ)2(CBDK),其中DBQ和CBDK的结构式如下:6. electrophosphorescent device as claimed in claim 5, is characterized in that described luminescent material is Ir(DBQ)2 (CBDK), wherein the structural formula of DBQ and CBDK is as follows:
Figure C2005100112790003C2
Figure C2005100112790003C2
CNB2005100112794A2005-01-282005-01-28 Iridium complexes of β-diketone ligands and their electrophosphorescent devicesExpired - Fee RelatedCN100383151C (en)

Priority Applications (1)

Application NumberPriority DateFiling DateTitle
CNB2005100112794ACN100383151C (en)2005-01-282005-01-28 Iridium complexes of β-diketone ligands and their electrophosphorescent devices

Applications Claiming Priority (1)

Application NumberPriority DateFiling DateTitle
CNB2005100112794ACN100383151C (en)2005-01-282005-01-28 Iridium complexes of β-diketone ligands and their electrophosphorescent devices

Publications (2)

Publication NumberPublication Date
CN1810817A CN1810817A (en)2006-08-02
CN100383151Ctrue CN100383151C (en)2008-04-23

Family

ID=36843954

Family Applications (1)

Application NumberTitlePriority DateFiling Date
CNB2005100112794AExpired - Fee RelatedCN100383151C (en)2005-01-282005-01-28 Iridium complexes of β-diketone ligands and their electrophosphorescent devices

Country Status (1)

CountryLink
CN (1)CN100383151C (en)

Cited By (1)

* Cited by examiner, † Cited by third party
Publication numberPriority datePublication dateAssigneeTitle
WO2009069535A1 (en)2007-11-302009-06-04Semiconductor Energy Laboratory Co., Ltd.Light-emitting element, light-emitting device, and electronic device

Families Citing this family (10)

* Cited by examiner, † Cited by third party
Publication numberPriority datePublication dateAssigneeTitle
CN100582105C (en)*2007-02-092010-01-20北京大学Quadridentate-bridged ligand, its iridium complexes and iridium-rare earth ion bimetal complexes, and preparation method and application thereof
JP5385903B2 (en)*2007-07-052014-01-08日東電工株式会社 Light emitting device and light emitting composition
WO2009064661A1 (en)2007-11-152009-05-22Nitto Denko CorporationLight emitting devices and compositions
KR101812441B1 (en)2008-02-122017-12-26유디씨 아일랜드 리미티드Electroluminescent metal complexes with dibenzo[f,h]quinoxalines
CN101337875B (en)*2008-08-182011-05-25西安近代化学研究所Beta-dione compounds with terminal vinyl group
US8721922B2 (en)2008-10-132014-05-13Nitto Denko CorporationPrintable light-emitting compositions
DE102008064200A1 (en)*2008-12-222010-07-01Merck Patent Gmbh Organic electroluminescent device
CN101787275B (en)*2010-01-272013-04-10南京邮电大学Preparation and application method of phosphorescent conjugated polymer photoelectric material containing iridium complex
CN104030968B (en)*2014-06-162016-05-18陕西科技大学A kind of method of preparing N-carboxymethyl carbazole
CN117682947A (en)*2022-12-022024-03-12广东聚华印刷显示技术有限公司 Electronic transmission materials, light-emitting devices and preparation methods thereof, display devices

Citations (2)

* Cited by examiner, † Cited by third party
Publication numberPriority datePublication dateAssigneeTitle
CN1490312A (en)*2003-09-052004-04-21�廪��ѧ Carbazole Derivatives and Their Applications in Electroluminescent Devices
EP1449238A2 (en)*1999-05-132004-08-25The Trustees Of Princeton UniversityVery high efficiency organic light emitting devices based on electrophosphorescence

Patent Citations (2)

* Cited by examiner, † Cited by third party
Publication numberPriority datePublication dateAssigneeTitle
EP1449238A2 (en)*1999-05-132004-08-25The Trustees Of Princeton UniversityVery high efficiency organic light emitting devices based on electrophosphorescence
CN1490312A (en)*2003-09-052004-04-21�廪��ѧ Carbazole Derivatives and Their Applications in Electroluminescent Devices

Cited By (4)

* Cited by examiner, † Cited by third party
Publication numberPriority datePublication dateAssigneeTitle
WO2009069535A1 (en)2007-11-302009-06-04Semiconductor Energy Laboratory Co., Ltd.Light-emitting element, light-emitting device, and electronic device
EP2232608A4 (en)*2007-11-302011-07-27Semiconductor Energy Lab LIGHT-EMITTING ELEMENT, LIGHT-EMITTING DEVICE, AND ELECTRONIC DEVICE
US8455111B2 (en)2007-11-302013-06-04Semiconductor Energy Laboratory Co., Ltd.Light-emitting element, light-emitting device, and electronic device
US9391283B2 (en)2007-11-302016-07-12Semiconductor Energy Laboratory Co., Ltd.Light-emitting element, light-emitting device, and electronic device

Also Published As

Publication numberPublication date
CN1810817A (en)2006-08-02

Similar Documents

PublicationPublication DateTitle
CN1861618B (en)Organic metal compounds, organic electroluminesence display devices using the compounds and method for preparation of the devices
CN101160369B (en)Red phosphorescene compounds and organic electroluminescence devices using the same
CN100509827C (en)Electroluminescent material
JP5364089B2 (en) Material for organic photoelectric device including hole transport unit and electron transport unit, and organic photoelectric device including the same
CN101160370B (en)Red phosphorescene compounds and organic electroluminescence devices using the same
TWI421255B (en)Organic metal compound, organic electroluminescence device employing the same
TWI438195B (en) A compound for an organic electroluminescent device, and an organic electroluminescent device using the same
Zhou et al.New platinum (II) complexes as triplet emitters for high-efficiency monochromatic pure orange electroluminescent devices
KR102615339B1 (en) Platinum (II) tetradentate ONNO complex luminescent material, preparation method and its application in organic light-emitting diodes
CN1826841A (en) organic electroluminescent element
CN101787050A (en)Red phosphors with high luminus efficiency and display device containing them
CN100383151C (en) Iridium complexes of β-diketone ligands and their electrophosphorescent devices
CN101208405B (en)Precursors of organometallic compounds for electroluminescent materials
JP2009263383A (en)Organometallic compound and display device employing the same
CN103896990B (en)organic electroluminescent material and application thereof
JP7402979B2 (en) Platinum metal complexes and their applications in organic electroluminescent devices
CN101397311B (en)Red phosphorescent compound and use the organic electroluminescence device of described compound
CN100412074C (en) Carbazolyl-containing oxadiazole derivatives and their electroluminescent devices
CN110256475A (en)Dark blue photo-thermal activation delayed fluorescence material and preparation method thereof and electroluminescent device
CN103992335B (en)Aromatic amine derivative, and preparation method, use and organic electroluminescent device thereof
TWI662043B (en)Organic metal compound and organic light-emitting device
CN107235858A (en)A kind of electroluminescent organic material and its organic luminescent device with electric transmission effect
WO2018014405A1 (en)Light-emitting material, preparation method therefor and organic light-emitting diode using same
CN104744516B (en)Organometallic compound, organic light-emitting device including the same, and lighting device
CN110746467A (en) Phosphorescent compound and preparation method thereof and application of the compound in electroluminescent device

Legal Events

DateCodeTitleDescription
C06Publication
PB01Publication
C10Entry into substantive examination
SE01Entry into force of request for substantive examination
C14Grant of patent or utility model
GR01Patent grant
C17Cessation of patent right
CF01Termination of patent right due to non-payment of annual fee

Granted publication date:20080423

Termination date:20140128


[8]ページ先頭

©2009-2025 Movatter.jp