Movatterモバイル変換


[0]ホーム

URL:


CN100369600C - Oil-in-water emulsified composition and preparation method thereof - Google Patents

Oil-in-water emulsified composition and preparation method thereof
Download PDF

Info

Publication number
CN100369600C
CN100369600CCNB2003101038050ACN200310103805ACN100369600CCN 100369600 CCN100369600 CCN 100369600CCN B2003101038050 ACNB2003101038050 ACN B2003101038050ACN 200310103805 ACN200310103805 ACN 200310103805ACN 100369600 CCN100369600 CCN 100369600C
Authority
CN
China
Prior art keywords
carbon atoms
component
oil
hydrocarbon group
group
Prior art date
Legal status (The legal status is an assumption and is not a legal conclusion. Google has not performed a legal analysis and makes no representation as to the accuracy of the status listed.)
Expired - Fee Related
Application number
CNB2003101038050A
Other languages
Chinese (zh)
Other versions
CN1511512A (en
Inventor
桥本幸久
曾根千晶
木场淳介
Current Assignee (The listed assignees may be inaccurate. Google has not performed a legal analysis and makes no representation or warranty as to the accuracy of the list.)
Kao Corp
Original Assignee
Kao Corp
Priority date (The priority date is an assumption and is not a legal conclusion. Google has not performed a legal analysis and makes no representation as to the accuracy of the date listed.)
Filing date
Publication date
Application filed by Kao CorpfiledCriticalKao Corp
Publication of CN1511512ApublicationCriticalpatent/CN1511512A/en
Application grantedgrantedCritical
Publication of CN100369600CpublicationCriticalpatent/CN100369600C/en
Anticipated expirationlegal-statusCritical
Expired - Fee Relatedlegal-statusCriticalCurrent

Links

Landscapes

Abstract

Translated fromChinese

本发明的目的在于,提供可以低浓度表面活性剂使含有神经酰胺等两性脂质的油相稳定乳化、且使用感优良的水包油型乳化组合物及其制备方法。为此,本发明的水包油型乳化组合物含有(A)规定的季铵盐型阳离子表面活性剂中的至少一种、(B)两性脂质、(C)二元醇和三元醇的至少一种以及(D)水,上述阳离子表面活性剂(A)的含量是0.1~1质量%。另外,本发明的水包油型乳化组合物的制备方法是在将(A)规定的季铵盐型阳离子表面活性剂中的至少一种和(C)二元醇和三元醇中的至少一种混合后,添加含有(B)两性脂质的油相,然后,添加水性溶剂的制备方法。An object of the present invention is to provide an oil-in-water emulsified composition capable of stably emulsifying an oil phase containing amphoteric lipids such as ceramide at a low concentration of a surfactant and having an excellent usability, and a method for producing the same. Therefore, the oil-in-water emulsified composition of the present invention contains (A) at least one of the prescribed quaternary ammonium salt type cationic surfactants, (B) amphoteric lipids, (C) diols and triols. Content of at least one kind and (D) water, said cationic surfactant (A) is 0.1-1 mass %. In addition, the preparation method of the oil-in-water emulsified composition of the present invention is at least one of (A) specified quaternary ammonium salt type cationic surfactant and (C) at least one of dibasic alcohol and tribasic alcohol After mixing, the oil phase containing (B) amphoteric lipid is added, and then, the production method of adding an aqueous solvent.

Description

Translated fromChinese
水包油型乳化组合物及其制备方法Oil-in-water emulsified composition and preparation method thereof

技术领域technical field

本发明涉及水包油型乳化组合物及其制备方法,该水包油型乳化组合物含有两性脂质,即使在低浓度的表面活性剂中,该两性脂质也具有良好的乳化稳定性,且使用感优良。The present invention relates to an oil-in-water emulsified composition containing an amphoteric lipid having good emulsification stability even in a low concentration of a surfactant, and a method for preparing the same, Moreover, the feeling of use is excellent.

背景技术Background technique

众所周知,为使皮肤、粘膜、毛发等湿润和有柔软性,角质层中的水分是很重要的。另一方面,已知,该角质层作为生物体的保护层起到保持皮肤(角质层)水分和抑制水分蒸发的性能。It is well known that moisture in the stratum corneum is important for moistening and softening the skin, mucous membranes, hair, and the like. On the other hand, it is known that the stratum corneum functions as a protective layer of the living body to retain moisture in the skin (stratum corneum) and to suppress evaporation of moisture.

近年来,已知,存在于皮肤角质层的细胞间脂质与角质水分的保持和保护性能显示出密切关系。因此,为了提高保湿效果,有方案提出,将存在于皮肤角质层中的细胞间脂质的主成份,即神经酰胺,或其类似物质等两性脂质配制成化妆品。但是,这些两性脂质对水的溶解性低,至相当高的温度也保持着固体形状,因此,尤其是为了稳定地配合在水包油型乳化组合物中,需要大量表面活性剂。反之,通常人们希望化妆品中的表面活性剂(例如非离子表面活性剂)的用量尽可能少。In recent years, it has been known that intercellular lipids present in the stratum corneum of the skin show a close relationship with the moisture retention and protection performance of the stratum corneum. Therefore, in order to enhance the moisturizing effect, it has been proposed to formulate amphoteric lipids such as ceramide, which is a main component of intercellular lipids present in the stratum corneum of the skin, or amphoteric lipids such as its analogues, into cosmetics. However, these amphoteric lipids have low solubility in water and maintain a solid form even at relatively high temperatures. Therefore, a large amount of surfactant is especially required for stably blending in an oil-in-water emulsion composition. On the contrary, it is generally desired that the amount of surfactants (such as nonionic surfactants) in cosmetics should be as small as possible.

另一方面,人的正常皮肤由弱酸性皮脂保护膜覆盖,通常,对来自外部的碱性物质的接触,会自然而然地控制皮肤的pH值。例如,用脂肪酸皂类清洁皮肤表皮,会使皮肤表皮呈弱碱性,但正常皮肤可利用来自皮脂的游离脂肪酸进行自然中和。即,适用于皮肤的外用药剂或化妆品优选为尽可能接近人体正常皮肤pH值的弱酸性,以给皮肤良好的影响,尤其适于皮肤敏感的人。因此,人们正在研究在弱酸性化妆品中以少量表面活性剂稳定配合细胞间脂质成份。On the other hand, normal human skin is covered by a weakly acidic sebum protective film, and normally, the pH of the skin is naturally controlled by exposure to alkaline substances from the outside. For example, cleaning the skin epidermis with fatty acid soaps will make the skin epidermis weakly alkaline, but normal skin can use free fatty acids from sebum for natural neutralization. That is, the external medicaments or cosmetics applied to the skin are preferably weakly acidic as close as possible to the normal skin pH of the human body to give a good effect on the skin, especially suitable for people with sensitive skin. Therefore, people are studying the stable coordination of intercellular lipid components with a small amount of surfactants in weakly acidic cosmetics.

在特开2002-114631号公报中,揭示了通过使用聚脂肪酸甘油酯将神经酰胺类等两性脂质溶解在熔点不到30℃的液体油中的油分和水性溶剂进行乳化、而得到稳定的乳化组合物的方法。但是,用该方法得到稳定乳化物时需要与两性脂质大致等量的大量聚脂肪酸甘油酯,另外,用该方法得到弱酸性乳化物时必须添加有机酸等酸性物质调整pH值。Japanese Patent Laid-Open No. 2002-114631 discloses that a stable emulsification can be obtained by emulsifying an amphoteric lipid such as ceramides in a liquid oil having a melting point of less than 30° C. and an aqueous solvent using polyglycerol fatty acid esters. composition method. However, a large amount of polyglycerides of fatty acids approximately equal to the amount of amphoteric lipids is required to obtain a stable emulsion by this method, and an acidic substance such as an organic acid must be added to adjust the pH when a weakly acidic emulsion is obtained by this method.

另外,在特开平4-193814号公报中尝试同时使用非离子表面活性剂与阴离子表面活性剂使两性脂质稳定。但是,在该组合中也必须使用大量表面活性剂,并且存在着在pH值6以下的酸性区域阴离子表面活性剂难以发挥作为乳化剂的性能的可能。In addition, in JP-A-4-193814, an attempt has been made to stabilize amphoteric lipids by using a nonionic surfactant and an anionic surfactant in combination. However, it is also necessary to use a large amount of surfactant in this combination, and there is a possibility that the anionic surfactant may not exhibit performance as an emulsifier in an acidic region of pH 6 or less.

发明内容Contents of the invention

因此,本发明的目的在于,提供以低浓度表面活性剂使含有一般在水性溶剂中不易配合的神经酰胺等两性脂质的油相能够稳定乳化、且使用感优良的水包油型乳化组合物及其制备方法。Therefore, it is an object of the present invention to provide an oil-in-water emulsion composition that can stably emulsify an oil phase containing amphoteric lipids such as ceramide, which is generally difficult to mix with an aqueous solvent, with a low concentration of surfactant, and has an excellent feeling in use. and its preparation method.

本发明人发现,通过同时使用两性脂质、特定的阳离子表面活性剂和二元醇和三元醇,用低浓度表面活性剂就能使两性脂质稳定乳化,从而得到使用感优良的水包油型乳化组合物。The present inventors have found that by using amphoteric lipids, specific cationic surfactants, and diols and trihydric alcohols at the same time, amphoteric lipids can be emulsified stably with a low concentration of surfactants, thereby obtaining oil-in-water with excellent usability type emulsified composition.

即,本发明提供水包油型乳化组合物,该水包油型乳化组合物含有(A)以下述通式(1)表示的季铵盐型阳离子表面活性剂中的至少一种、(B)两性脂质、(C)二元醇和三元醇中的至少一种以及(D)水,上述阳离子表面活性剂(A)的含量是0.1~1质量%。That is, the present invention provides an oil-in-water emulsified composition containing (A) at least one of quaternary ammonium salt-type cationic surfactants represented by the following general formula (1), (B ) amphoteric lipid, (C) at least one of diol and triol, and (D) water, and the content of the cationic surfactant (A) is 0.1 to 1% by mass.

本发明还提供水包油型乳化组合物的制备方法,该制备方法在将(A)以下述通式(1)表示的季铵盐型阳离子表面活性剂中的至少一种和(C)二元醇和三元醇中的至少一种混合后,添加含有(B)两性脂质的油相,然后添加水性溶剂。The present invention also provides a preparation method of an oil-in-water emulsified composition, which comprises (A) at least one of the quaternary ammonium salt cationic surfactants represented by the following general formula (1) and (C) two After mixing at least one of the polyhydric alcohol and the trihydric alcohol, the oil phase containing (B) the amphoteric lipid is added, and then the aqueous solvent is added.

(式中,R1和R2分别为碳原子数16~22的直链或支链饱和或不饱和烃基,R3和R4分别为碳原子数1~3的烷基,X-为成盐阴离子)。(wherein, R1 and R2 are straight-chain or branched saturated or unsaturated hydrocarbon groups with 16 to 22 carbon atoms respectively, R3 and R4 are respectively alkyl groups with 1 to 3 carbon atoms, X- is the formation salt anion).

具体实施方式Detailed ways

在本说明书中所引用的文献内容,通过参考形式构成本说明书的一部分。The contents of documents cited in this specification constitute a part of this specification by way of reference.

本发明的水包油型乳化组合物是利用(A)以下述通式(1)表示的季铵盐型阳离子表面活性剂(下文记为阳离子表面活性剂(A))使(B)含有两性脂质的油相和(C)含有选自二元醇和三元醇的醇类(下文记为醇类(C))的水性连续相进行乳化、而形成的乳化组合物。The oil-in-water emulsified composition of the present invention uses (A) a quaternary ammonium salt-type cationic surfactant (hereinafter referred to as cationic surfactant (A)) represented by the following general formula (1) to make (B) contain amphoteric An emulsified composition formed by emulsifying an oily phase of lipids and (C) an aqueous continuous phase containing alcohols selected from dihydric alcohols and trihydric alcohols (hereinafter referred to as alcohols (C)).

在本发明的乳化组合物中,阳离子表面活性剂(A)和两性脂质(B),在含有醇类(C)的水性溶剂中会合,形成液晶(或α-凝胶结构),从而形成增稠结构体。所得到的增稠结构体显示出粘性行为,能够获得油滴合一、对乳液稳定的状态。通过这样的组合,即使阳离子表面活性剂(A)浓度低,也能够形成稳定性高的液晶结构,因此可减少表面活性剂的用量。在此,增稠结构体具有光学各向异性,因此可以用偏振光显微镜等确认。In the emulsified composition of the present invention, the cationic surfactant (A) and the amphoteric lipid (B) meet in an aqueous solvent containing alcohol (C) to form a liquid crystal (or α-gel structure), thereby forming thickened structure. The resulting thickened structure exhibits a viscous behavior capable of obtaining a state where the oil droplets are united and stable to the emulsion. With such a combination, even if the cationic surfactant (A) concentration is low, a liquid crystal structure with high stability can be formed, so the amount of surfactant used can be reduced. Here, since the thickened structure has optical anisotropy, it can be confirmed with a polarizing microscope or the like.

另外,本发明的乳化组合物显示出触变性,因此上述增稠结构体在静置状态保持着稳定的液晶结构,但涂布时液晶结构容易被破坏,在涂布部薄且均匀延伸,因此可感到爽快,具有新鲜的使用感。In addition, the emulsified composition of the present invention exhibits thixotropy, so the above-mentioned thickened structure maintains a stable liquid crystal structure in a static state, but the liquid crystal structure is easily destroyed when applied, and the coated part is thin and uniformly stretched, so It can feel refreshed and has a fresh feeling of use.

进而,本发明的乳化组合物呈弱酸性,这在对皮肤的刺激性或使用感等方面为优选。具体而言,pH值优选为4以上、并小于7。Furthermore, the emulsified composition of the present invention is weakly acidic, which is preferable in terms of irritation to the skin, feeling in use, and the like. Specifically, the pH is preferably 4 or more and less than 7.

在本发明中,通过上述成份(A)、(B)、(C)和(D)的组合,即使不通过添加pH值调整剂等将pH值调整成酸性,也能够得到弱酸性乳化组合物。In the present invention, the combination of the above-mentioned components (A), (B), (C) and (D) can obtain a weakly acidic emulsified composition without adding a pH adjuster or the like to make the pH acidic .

在本发明中使用的阳离子表面活性剂(A)是具有在一分子内可以具有取代基的两个长链烃基的季铵盐结构的阳离子表面活性剂。作为阳离子表面活性剂(A),特别是从对皮肤的亲合性方面考虑,可使用以下述式(1)表示的阳离子表面活性剂。The cationic surfactant (A) used in the present invention is a cationic surfactant having a quaternary ammonium salt structure of two long-chain hydrocarbon groups which may have substituents in one molecule. As the cationic surfactant (A), a cationic surfactant represented by the following formula (1) can be used particularly from the viewpoint of affinity to the skin.

Figure C20031010380500081
Figure C20031010380500081

(式中,R1和R2分别为碳原子数16~22的直链或支链饱和或不饱和烃基,R3和R4分别为碳原子数1~3的烷基,X-是成盐阴离子)。(wherein, R1 and R2 are straight chain or branched saturated or unsaturated hydrocarbon groups with 16 to 22 carbon atoms respectively, R3 and R4 are alkyl groups with 1 to 3 carbon atoms respectively, X- is the composition salt anion).

作为式(1)中的烃基R1和R2,可举出烷基或链烯基。作为成盐阴离子,可举出卤离子、磷酸根离子、醋酸根离子、乳酸根离子、单烷基硫酸根离子等。Examples of the hydrocarbon groups R1 and R2 in formula (1) include an alkyl group or an alkenyl group. Examples of the salt-forming anion include halide ions, phosphate ions, acetate ions, lactate ions, monoalkylsulfate ions, and the like.

作为阳离子表面活性剂的具体例子,可举出氯化二鲸蜡基二甲基铵、氯化二硬脂酰基二甲基铵、氯化二花生基二甲基铵、氯化二山嵛基二甲基铵等。其中,氯化二鲸蜡基二甲基铵和氯化二硬脂酰基二甲基铵是能够作为市售品得到的,可举出Varisoft TA-422CG、VarisoftTA-100(Goldschmidt公司),Quartamin D-86P(Kao公司)等。Specific examples of cationic surfactants include dicetyl dimethyl ammonium chloride, distearyl dimethyl ammonium chloride, diarachidyl dimethyl ammonium chloride, disbehenyl dimethyl ammonium chloride, Dimethylammonium, etc. Among them, dicetyl dimethyl ammonium chloride and distearyl dimethyl ammonium chloride are commercially available, and Varisoft TA-422CG, Varisoft TA-100 (Goldschmidt company), Quartamin D -86P (Kao Company), etc.

这些阳离子表面活性剂中,从对皮肤具有亲合性这点考虑,以氯化二鲸蜡基铵、氯化二硬脂酰基二甲基铵为优选。Among these cationic surfactants, dicetyl ammonium chloride and distearyl dimethyl ammonium chloride are preferable from the viewpoint of affinity to the skin.

阳离子表面活性剂(A)在水包油型乳化组合物中的含量,从形成同时适合下述两性脂质(B)和醇类(C)的液晶结构体这点出发,为0.1~1质量%,优选为0.5~1质量%。The content of the cationic surfactant (A) in the oil-in-water emulsified composition is 0.1 to 1 mass %, preferably 0.5 to 1% by mass.

在本发明中,所谓两性脂质(B)是在分子内同时保持亲水部和疏水部、在25℃时为固体的物质。作为两性脂质,例如可举出胆甾醇、胆甾醇酯、硫酸胆甾醇等胆甾醇类;硬脂酸、棕榈酸等高级脂肪酸;鲸蜡醇、硬脂醇、山嵛醇、鲨肝醇、鲛肝醇等高级醇及其类似化合物;以及脂肪酸甘油酯类。In the present invention, the amphoteric lipid (B) is a substance that maintains both a hydrophilic part and a hydrophobic part in the molecule and is solid at 25°C. Examples of amphoteric lipids include cholesterols such as cholesterol, cholesteryl esters, and cholesteryl sulfate; higher fatty acids such as stearic acid and palmitic acid; cetyl alcohol, stearyl alcohol, behenyl alcohol, batyl alcohol, Higher alcohols such as chimeryl alcohol and their similar compounds; and fatty acid glycerides.

另外,特别是作为具有皮肤的保护性能和保湿性能优良、皮肤粗糙度改善效果卓越的两性脂质,可举出在下述通式(2)~(4)中所列出的酰胺化合物。In addition, particularly amphoteric lipids having excellent skin protection performance and moisturizing performance and excellent skin roughness improvement effects include amide compounds listed in the following general formulas (2) to (4).

Figure C20031010380500091
Figure C20031010380500091

(式中,R11是可由一个以上的羟基取代的碳原子数8~50的直链或支链饱和或不饱和烃基,或是以R13-COO-R14表示的基团,R13表示碳原子数8~30的直链或支链饱和或不饱和烃基,R14表示可由一个以上的羟基取代的碳原子数8~40的直链或支链饱和或不饱和二元烃基。R12表示可由一个以上的羟基取代的碳原子数8~50的直链或支链饱和或不饱和烃基)。(In the formula, R11 is a linear or branched saturated or unsaturated hydrocarbon group with 8 to 50 carbon atoms that may be substituted by more than one hydroxyl group, or a group represented by R13 -COO-R14 , R13 represents A linear or branched saturated or unsaturated hydrocarbon group with 8 to 30 carbon atoms, R14 represents a linear or branched saturated or unsaturated divalent hydrocarbon group with 8 to 40 carbon atoms that may be substituted by more than one hydroxyl group. R12 represents a linear or branched saturated or unsaturated hydrocarbon group having 8 to 50 carbon atoms which may be substituted by one or more hydroxyl groups).

Figure C20031010380500092
Figure C20031010380500092

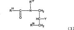
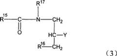
(式中,R15表示可由一个以上的羟基取代的碳原子数7~25的直链或支链饱和或不饱和烃基,R16表示可由一个以上的羟基取代的碳原子数8~26的直链或支链饱和或不饱和烃基或烷氧基。R17表示氢原子、2-羟乙基或2,3-二羟丙基。Y表示氢原子或羟基)。(In the formula, R15 represents a linear or branched saturated or unsaturated hydrocarbon group with 7 to 25 carbon atoms that may be substituted by one or more hydroxyl groups, and R16 represents a straight chain or branched chain with 8 to 26 carbon atoms that may be substituted by more than one hydroxyl group. chain or branched saturated or unsaturated hydrocarbon group or alkoxy group. R17 represents a hydrogen atom, 2-hydroxyethyl or 2,3-dihydroxypropyl. Y represents a hydrogen atom or a hydroxyl group).

Figure C20031010380500093
Figure C20031010380500093

(式中,R18分别独立表示可由羟基和/或烷氧基取代的碳原子数1~22的直链或支链烃基,R19分别独立表示碳原子数1~12的直链或支链二元烃基,R20表示碳原子数1~42的直链或支链二元烃基)。(In the formula, R18 independently represent a straight chain or branched chain hydrocarbon group with 1 to 22 carbon atoms that can be substituted by hydroxyl and/or alkoxy, and R19 independently represent a straight chain or branched chain with 1 to 12 carbon atoms Dibasic hydrocarbon group,R20 represents a straight chain or branched chain dibasic hydrocarbon group with 1 to 42 carbon atoms).

在通式(2)中,优选为,R11为可由一个以上的羟基取代的碳原子数8~30的直链或支链饱和或不饱和烃基,或是以R13-COO-R14表示的基团。在此,R13优选为碳原子数8~30的直链或支链饱和或不饱和烃基,R14优选为可由一个以上的羟基取代的碳原子数8~30的直链或支链饱和或不饱和二元烃基。R12优选为可由一个以上的羟基取代的碳原子数8~30的直链或支链饱和或不饱和烃基。特别是R11和R13优选为碳原子数8~30的直链烷基,以及R14优选为碳原子数8~30的直链亚烷基。In the general formula (2), it is preferable that R11 is a linear or branched saturated or unsaturated hydrocarbon group with 8 to 30 carbon atoms which may be substituted by one or more hydroxyl groups, or represented by R13 -COO-R14 group. Here, R13 is preferably a linear or branched saturated or unsaturated hydrocarbon group with 8 to 30 carbon atoms, and R14 is preferably a linear or branched saturated or unsaturated hydrocarbon group with 8 to 30 carbon atoms that may be substituted by one or more hydroxyl groups. Unsaturated dibasic hydrocarbon group. R12 is preferably a linear or branched saturated or unsaturated hydrocarbon group having 8 to 30 carbon atoms which may be substituted by one or more hydroxyl groups. In particular, R11 and R13 are preferably linear alkyl groups having 8 to 30 carbon atoms, and R14 is preferably linear alkylene groups having 8 to 30 carbon atoms.

作为以通式(2)表示的酰胺化合物,优选为已知的载于Robson K.J.et al.,J.Lipid Res.,35,2060(1994)和Wertz P.W.et al.,J.Lipid Res.,24,759(1983)等中的类型1~7的神经酰胺。它们可从动植物中提取或通过反应修饰或全部由合成制得。另外,作为以式(2)表示的酰胺化合物的市售品,可举出神经酰胺III、神经酰胺III B、神经酰胺IIIA、神经酰胺IV、植物神经酰胺I(以上,Degussa公司),神经酰胺II(Sederma公司),神经酰胺TIC-001(高砂香料公司)等。As the amide compound represented by the general formula (2), preferred are those described in Robson K.J. et al., J. Lipid Res., 35, 2060 (1994) and Wertz P.W. et al., J. Lipid Res., 24, 759 (1983) et al. Types 1-7 ceramides. They can be extracted from plants and animals or modified by reactions or all synthesized. In addition, as commercial products of the amide compound represented by formula (2), ceramide III, ceramide III B, ceramide IIIA, ceramide IV, phytoceramide I (the above, Degussa Co.), ceramide II (Sederma Co.), ceramide TIC-001 (Takasago Fragrance Co., Ltd.), etc.

在通式(3)中,R15优选为可由一个以上的羟基取代的碳原子数14~22的直链或支链饱和或不饱和烃基,特别优选为直链烷基。其中,以十五烷基、三羟基十五烷基为优选。In the general formula (3), R15 is preferably a linear or branched saturated or unsaturated hydrocarbon group having 14 to 22 carbon atoms which may be substituted by one or more hydroxyl groups, particularly preferably a linear alkyl group. Among them, pentadecyl and trihydroxypentadecyl are preferred.

R16优选为碳原子数8~24的烷基或烷氧基。其中,以壬基、十六烷氧基为优选。R16 is preferably an alkyl or alkoxy group having 8 to 24 carbon atoms. Among them, nonyl and hexadecyloxy are preferred.

而对于R16和R17的组合,当R17为氢原子或2-羟乙基时,R16优选为直链烷氧基,当R17为2,3-二羟丙基时,R16优选为直链烷基。And for the combination of R16 and R17 , when R17 is a hydrogen atom or 2-hydroxyethyl, R16 is preferably a straight-chain alkoxy group, when R17 is 2,3-dihydroxypropyl, R16 Straight chain alkyl is preferred.

另外,对于Y和R17的组合,当R17为氢原子或2-羟乙基时,Y优选为羟基,当R17为2,3-二羟丙基时,Y优选为氢原子。In addition, for the combination of Y andR17 , whenR17 is a hydrogen atom or 2-hydroxyethyl group, Y is preferably a hydroxyl group, and whenR17 is a 2,3-dihydroxypropyl group, Y is preferably a hydrogen atom.

作为以通式(3)表示的酰胺化合物,具体可举出以下述式(5)、(6)和(7)表示的化合物。Specific examples of the amide compound represented by the general formula (3) include compounds represented by the following formulas (5), (6) and (7).

Figure C20031010380500101
Figure C20031010380500101

Figure C20031010380500111
Figure C20031010380500111

另外,可以使用特开昭62-228048号公报等中所记载的方法,例如,将由缩水甘油基醚和乙醇胺得到的反应物酰化,然后使酯基选择性水解的方法等制备式(3)的酰胺化合物。In addition, the method described in JP-A-62-228048 and the like can be used, for example, the method of acylating the reactant obtained from glycidyl ether and ethanolamine, and then selectively hydrolyzing the ester group can be used to prepare formula (3) amide compounds.

其中,以通式(5)表示的酰胺化合物优选为Sofcare神经酰胺SL-E(3-十六烷氧基-2-羟丙基)-N-2-羟乙基十六酰胺(Hexadecanamine),该产品由花王(株)出售。Wherein, the amide compound represented by general formula (5) is preferably Sofcare ceramide SL-E (3-hexadecyloxy-2-hydroxypropyl)-N-2-hydroxyethyl hexadecanamide (Hexadecanamine), This product is sold by Kao Corporation.

作为以通式(4)表示的酰胺化合物的R18,优选为可由选自羟基和碳原子数1~6的烷基的1~3个基团取代的碳原子数1~22的直链或支链烷基,也可同时由羟基和羟乙基取代。As R18 of the amide compound represented by the general formula (4), it is preferably a linear or linear chain having 1 to 22 carbon atoms which may be substituted with 1 to 3 groups selected from hydroxyl groups and alkyl groups having 1 to 6 carbon atoms. A branched chain alkyl group can also be substituted by both hydroxyl and hydroxyethyl groups.

例如,优选为碳原子数1~18的烷基、碳原子数1~18的单羟烷基或双羟烷基、碳原子数1~6的烷氧基取代的碳原子数1~18的烷基、以及羟基和碳原子数1~6的烷氧基取代的碳原子数1~18的烷基。特别优选为碳原子数1~18的烷基、碳原子数2~12的单羟烷基或双羟烷基、碳原子数1~6的烷氧基取代的碳原子数2~12的烷基、羟基和碳原子数1~6的烷氧基取代的碳原子数2~12的烷基。其中,作为R18优选为2-羟乙基、甲基、十二烷基、2-甲氧基乙基。For example, it is preferably an alkyl group having 1 to 18 carbon atoms, a monohydroxyalkyl group or a dihydroxyalkyl group having 1 to 18 carbon atoms, an alkoxy group having 1 to 6 carbon atoms, and an alkyl group having 1 to 18 carbon atoms. an alkyl group, and an alkyl group having 1 to 18 carbon atoms substituted by a hydroxyl group and an alkoxy group having 1 to 6 carbon atoms. Particularly preferred are alkyl groups having 1 to 18 carbon atoms, monohydroxyalkyl or dihydroxyalkyl groups having 2 to 12 carbon atoms, and alkyl groups having 2 to 12 carbon atoms substituted with alkoxy groups having 1 to 6 carbon atoms. Alkyl group with 2 to 12 carbon atoms substituted by alkoxy group with 1 to 6 carbon atoms, hydroxyl group, and hydroxy group. Among them, R18 is preferably 2-hydroxyethyl, methyl, dodecyl, or 2-methoxyethyl.

R19优选为碳原子数1~12的直链或支链亚烷基,更优选为碳原子数2~6的直链或支链亚烷基。其中,优选为亚乙基和三亚甲基。R19 is preferably a straight chain or branched chain alkylene group having 1 to 12 carbon atoms, more preferably a straight chain or branched chain alkylene group having 2 to 6 carbon atoms. Among them, ethylene and trimethylene are preferred.

R20优选为碳原子数2~34的直链或支链二元烃基,更优选为碳原子数2~34的直链或支链亚烷基或具有1~4个双键的链亚烯基,特别优选为碳原子数2~24的直链或支链亚烷基或具有1~4个双键的亚链烯基。其中,更优选为7,12-二甲基十八亚甲基、7,12-二甲基-7,11-十八二烯炔基、十八亚甲基、八亚甲基、十亚甲基、十一亚甲基、十三亚甲基。R20 is preferably a straight-chain or branched chain divalent hydrocarbon group with 2 to 34 carbon atoms, more preferably a straight-chain or branched chain alkylene group with 2 to 34 carbon atoms or an alkenylene group with 1 to 4 double bonds The group is particularly preferably a linear or branched alkylene group having 2 to 24 carbon atoms or an alkenylene group having 1 to 4 double bonds. Among them, 7,12-dimethyloctadecamethylene, 7,12-dimethyl-7,11-octadienynyl, octadecamethylene, octamethylene, decamethylene Methyl, undecyl methylene, tridecyl methylene.

作为以通式(4)表示的酰胺化合物,优选为分别组合R18、R19和R20的上述更优选范围内的基团的化合物。The amide compound represented by the general formula (4) is preferably a compound in which groups within the above-mentioned more preferable ranges of R18 , R19 and R20 are combined.

例如,如国际公开第00/61097号公报等所记载的方法所述,通过使对应的二元羧酸或其反应性衍生物(酯、酰基卤化物、酸酐等)与胺缩合,就能够高效地得到通式(4)的酰胺化合物。For example, as described in the methods described in International Publication No. 00/61097, etc., by condensing the corresponding dicarboxylic acid or its reactive derivative (ester, acid halide, acid anhydride, etc.) The amide compound of general formula (4) can be obtained.

作为在本发明的水包油型乳化组合物中使用的两性脂质,特别由选为属于通式(4)所示的酰胺化合物的、以下式(8)~(14)表示的化合物。As the amphoteric lipid used in the oil-in-water emulsion composition of the present invention, compounds represented by the following formulas (8) to (14) are selected as amide compounds represented by general formula (4).

Figure C20031010380500121
Figure C20031010380500121

Figure C20031010380500131
Figure C20031010380500131

(B)为充分发挥对皮肤的保护性能和保湿性能,两性脂质在水包油型乳化组合物的全部组成中的含量优选为等于或大于0.1质量%,从与保存稳定性的平衡考虑,在全部组成中优选为0.1~20质量%,优选为0.1~10质量%。(B) In order to fully exert the protective performance and moisturizing performance to the skin, the content of the amphoteric lipid in the entire composition of the oil-in-water emulsion composition is preferably equal to or greater than 0.1% by mass. In consideration of the balance with storage stability, Preferably it is 0.1-20 mass % in the whole composition, Preferably it is 0.1-10 mass %.

另外,阳离子表面活性剂(A)和两性脂质(B)的质量比(A∶B),从易于体现对皮肤的效果和形成合适的液晶结构方面考虑,优选为10∶1~1∶20,更优选为10∶1~1∶10。In addition, the mass ratio (A:B) of the cationic surfactant (A) to the amphoteric lipid (B) is preferably 10:1 to 1:20 in view of the ease of displaying the effect on the skin and the formation of a suitable liquid crystal structure. , more preferably 10:1 to 1:10.

在本发明中,选自二元醇和三元醇的醇类(C),在配合到乳化化妆品中时,可使上述阳离子表面活性剂溶解、分散。当阳离子表面活性剂(A)和醇类(C)混合后,通过与含有两性脂质(B)的油性成份混合,即使阳离子表面活性剂浓度低,也能形成合适的液晶结构体。In the present invention, the alcohol (C) selected from dihydric alcohols and trihydric alcohols can dissolve and disperse the aforementioned cationic surfactants when blended into emulsified cosmetics. When the cationic surfactant (A) and the alcohol (C) are mixed, by mixing with the oily component containing the amphoteric lipid (B), a suitable liquid crystal structure can be formed even at a low concentration of the cationic surfactant.

作为这样的醇类(C),可举出乙二醇、聚乙二醇(平均分子量200~400)、丙二醇、一缩二丙二醇、1,3-丁二醇、甘油、聚甘油(聚合度2~5)等。其中,优选为甘油、乙二醇。Examples of such alcohols (C) include ethylene glycol, polyethylene glycol (average molecular weight 200 to 400), propylene glycol, dipropylene glycol, 1,3-butanediol, glycerin, polyglycerol (polymerization degree 2~5) etc. Among them, glycerin and ethylene glycol are preferable.

醇类(C)的含量,从具有良好的使用感、形成合适的液晶结构体、得到稳定的乳化物这些方面考虑,在水包油型乳化组合物的全部组成中优选为5~40质量%,特别优选为5~20质量%。The content of the alcohol (C) is preferably 5 to 40% by mass based on the total composition of the oil-in-water emulsion composition, from the viewpoint of having a good feeling of use, forming a suitable liquid crystal structure, and obtaining a stable emulsion. , particularly preferably 5 to 20% by mass.

在本发明的水包油型乳化组合物中,除两性脂质(B)以外,也可以含有通常用于化妆品的液状、半固体或固体状来自合成和天然的油性成份,例如烃油、酯油、醚油、硅油、氟油等。In the oil-in-water emulsified composition of the present invention, in addition to the amphoteric lipid (B), it may also contain liquid, semi-solid or solid synthetic and natural oily ingredients commonly used in cosmetics, such as hydrocarbon oils, esters, etc. oil, ether oil, silicone oil, fluorine oil, etc.

作为液状油,例如可举出霍霍巴油等植物油;液状精制羊毛脂等动物油;液体石蜡、角鲨烷等烃油;苹果酸二异硬脂酰、乳酸十八烷酯、异壬酸异十三烷酯、异硬脂酸异丙酯、肉豆蔻酸十八烷基酯、二癸酸新戊二醇酯等酯油;甘油衍生物;胺衍生物;二甲基聚硅氧烷、二甲基环聚硅氧烷、甲苯基聚硅氧烷、甲基氢化二烯聚硅氧烷、高级醇改性聚有机硅氧烷等硅油;氟代聚醚、全氟烷基醚硅酮等氟油等。Examples of liquid oils include vegetable oils such as jojoba oil; animal oils such as liquid purified lanolin; hydrocarbon oils such as liquid paraffin and squalane; Trialkyl esters, isopropyl isostearate, stearyl myristate, neopentyl glycol dicaprate and other ester oils; glycerin derivatives; amine derivatives; dimethylpolysiloxane, dimethicone Silicone oils such as methylcyclopolysiloxane, tolyl polysiloxane, methylhydrogenated diene polysiloxane, higher alcohol modified polyorganosiloxane, etc.; fluorinated polyether, perfluoroalkyl ether silicone, etc. Fluorine oil, etc.

作为固体或半固体的油性成份,例如可举出霍霍巴蜡等植物性蜡;甘油一硬脂醚、甘油一鲸蜡醚等烷基甘油醚;凡士林、精制羊毛脂、纯地蜡、微晶蜡、巴西棕榈蜡、小烛树蜡等蜡类。Examples of solid or semisolid oily components include vegetable waxes such as jojoba wax; alkyl glyceryl ethers such as glycerin monostearyl ether and glycerin monocetyl ether; petrolatum, refined lanolin, ceresine, microcrystalline Waxes such as carnauba wax, candelilla wax, etc.

这些油性成份的含量,在全部组成中,通常为0.1~30质量%,优选为1~20质量%。The content of these oily components is usually 0.1 to 30% by mass, preferably 1 to 20% by mass in the entire composition.

另外,在以紫外线防护化妆品为目标的乳化组合物中,可适当含有被称为紫外线吸收剂或紫外线散射剂的防紫外线剂。作为紫外线吸收剂,可以使用对甲氧基肉桂酸类、二苯甲酮类、尿刊酸类、对氨基苯甲酸类、水杨酸类、苯甲酰甲烷类、三嗪类、邻氨基苯甲酸蒽酸类等化合物,而作为紫外线散射剂,可以使用二氧化钛、氧化锌、氧化铁等粉末。In addition, an ultraviolet blocking agent called an ultraviolet absorber or an ultraviolet scattering agent may be appropriately contained in an emulsified composition aimed at ultraviolet protective cosmetics. As ultraviolet absorbers, p-methoxycinnamic acids, benzophenones, urocanic acids, p-aminobenzoic acids, salicylic acids, benzoylmethanes, triazines, anthranilins, etc. Compounds such as formic acid anthracene acids, and powders such as titanium dioxide, zinc oxide, and iron oxide can be used as ultraviolet scattering agents.

这种防紫外线剂的含量,在全部组成中,通常是1~40质量%,优选为1~20质量%。The content of such an anti-ultraviolet agent is usually 1 to 40% by mass, preferably 1 to 20% by mass in the entire composition.

这种紫外线防护化妆品,耐水性高,不易因汗或水等而脱落,因此尽管是水包油型乳化组合物,但防紫外线效果的持续性良好。This UV protection cosmetic has high water resistance and is not easily peeled off by sweat or water, so the UV protection effect is long-lasting even though it is an oil-in-water emulsion composition.

形成本发明的水包油型乳化组合物的水相连续相的水(D)的含量,在全部组成中,通常是10~90质量%,优选为40~90质量%。作为水以外的水相成份,可以在不损害本发明的目的和效果的质和量的范围内,配合除上述醇类以外的能够用于通常化妆品中的水溶性成份,例如乙醇、各种水溶性药效剂、防氧化剂、防腐剂、杀菌剂、盐类、氨基酸、糖类、螯合剂、增稠剂、色素、香料等。The content of water (D) forming the water-phase continuous phase of the oil-in-water emulsion composition of the present invention is usually 10 to 90% by mass, preferably 40 to 90% by mass in the entire composition. As the water phase components other than water, water-soluble components other than the above-mentioned alcohols that can be used in general cosmetics, such as ethanol, various water-soluble Sexual medicinal agents, antioxidants, preservatives, fungicides, salts, amino acids, sugars, chelating agents, thickeners, pigments, spices, etc.

本发明的水包油型乳化组合物的制备方法,特别优选为由下述工序制成,即:在醇类(C)的至少一种中添加阳离子表面活性剂(A)的至少一种的第一工序;在由上述第一工序得到的混合物中添加含有通过其它途径事先混合的两性脂质(B)的油性分散相的第二工序;以及在由上述第二工序得到的混合物中添加水性溶剂的第三工序。The preparation method of the oil-in-water emulsified composition of the present invention is particularly preferably prepared by the following steps: adding at least one cationic surfactant (A) to at least one alcohol (C) The first step; the second step of adding an oily dispersion phase containing the amphoteric lipid (B) mixed in advance by other means to the mixture obtained in the first step above; and adding an aqueous phase to the mixture obtained in the second step above. The third process of the solvent.

将在甘油等醇类中添加阳离子表面活性剂得到的混合物与含有两性脂质的油相混合后,再添加到含有除醇类以外的水性成份的水相中进行乳化,由此,就可在不引起含有两性脂质的油相的分离的情况下形成稳定的乳化状态。After mixing the mixture obtained by adding cationic surfactant to alcohols such as glycerin and the oil phase containing amphoteric lipids, it is added to the water phase containing aqueous components other than alcohols to emulsify, thereby, it can be used in A stable emulsified state is formed without causing separation of the oily phase containing amphoteric lipids.

即,通过按照上述顺序制备乳化组合物,阳离子表面活性剂和两性脂质在多元醇中形成液晶结构,所得到的增稠结构体,能够成为油滴合一、形成对乳状液稳定的状态。在此,当两性脂质(B)和油性成份等其它成份混合时,为提高溶解性或分散性,根据需要,也可进行升温。That is, by preparing the emulsified composition according to the above procedure, the cationic surfactant and the amphoteric lipid form a liquid crystal structure in the polyol, and the obtained thickened structure can be in a state in which oil droplets are united and stable to the emulsion. Here, when the amphoteric lipid (B) is mixed with other components such as an oily component, the temperature may be raised if necessary in order to improve solubility or dispersibility.

本发明的水包油型乳化组合物,外观呈乳液状或乳油状,在25℃时的粘度优选为1,000~100,000mPa·s。可用B型粘度计测定粘度。The oil-in-water emulsified composition of the present invention has an emulsion or creamy appearance, and preferably has a viscosity of 1,000 to 100,000 mPa·s at 25°C. Viscosity can be measured with a B-type viscometer.

本发明的水包油型乳化组合物,用于外用药剂或化妆品时非常有效,特别是用于化妆品时很有效,根据其用途,可为洗发剂、胶状物、膏状物、紫外线防护化妆品、气溶胶泡沫等任意剂型。The oil-in-water emulsified composition of the present invention is very effective when used in external pharmaceuticals or cosmetics, especially when used in cosmetics. Depending on its use, it can be used as a shampoo, jelly, paste, UV protection Any dosage form such as cosmetics, aerosol foam, etc.

实施例Example

通过下述实施例进一步说明本发明,阐明本发明的实施方式。所提出的实施例仅用于举例说明的目的,而不应该解释为对本发明限定。另外,表中的脚注如下。The present invention is further illustrated by the following examples, and the embodiments of the present invention are illustrated. The examples presented are for the purpose of illustration only and should not be construed as limiting the invention. In addition, the footnotes in the table are as follows.

*1:花王(株)Sofcare神经酰胺SL-E*1: Kao Sofcare Ceramide SL-E

*2:Goldschmidt公司Varisoft TA-100*2: Goldschmidt Varisoft TA-100

*3:Goldschmidt公司Varisoft BT-85*3: Goldschmidt Varisoft BT-85

*4:花王(株)EXCEPARL DG-MI*4: Kao Corporation EXCEPARL DG-MI

*5:越信化学(株)Silicone KF-96A(10cs)*5: Etsushin Chemical Co., Ltd. Silicone KF-96A (10cs)

评价项目evaluation item

(1)有无增稠结构体形成(1) Whether there is a thickening structure formed

在玻璃片上放置少量乳化组合物,从上面盖上盖玻片,然后用偏光显微镜(尼康公司ECLIPSE E600 POL)进行光学各向异性的确认。A small amount of the emulsified composition was placed on a glass slide, covered with a cover glass from above, and then confirmed for optical anisotropy using a polarizing microscope (ECLIPSE E600 POL from Nikon).

(2)外观(2) Appearance

乳化组合物刚完成制备后的状态为均匀乳化状态时,判断为良好,而在看到有分离的情况下,判断为分离。此后,在广口玻璃瓶中放入约40g的乳化组合物,按照下述标准以目视观察在50℃和5℃的恒温槽中保存一个月后的乳化物的状态。When the state immediately after preparation of the emulsified composition was a uniform emulsified state, it was judged to be good, and when separation was observed, it was judged to be separated. Thereafter, about 40 g of the emulsified composition was put into a wide-mouth glass bottle, and the state of the emulsified product after storage in a constant temperature tank at 50° C. and 5° C. for one month was visually observed according to the following criteria.

评价基准Evaluation benchmark

○:没有看到分离○: Separation not seen

△:看到些许分离△: A little separation is seen

×:看到明显有分离(制品特性上有问题的水平)×: Separation is clearly observed (level of problematic product characteristics)

(3)粘度测定(3) Viscosity measurement

在50ml的广口玻璃瓶中放入约40g乳化组合物,除瓶盖以外,瓶全体浸没沉入恒温25℃的水浴中,保持该状态2小时。经过2小时后,直接将玻璃瓶从水浴中提出,使用B型粘度计(型式B8R,(株)东京计器公司制)进行粘度测定,求出25℃时的粘度。About 40 g of the emulsified composition was put into a 50 ml wide-mouth glass bottle, and the whole bottle except the cap was submerged in a water bath at a constant temperature of 25° C., and kept in this state for 2 hours. After 2 hours, the glass bottle was taken out of the water bath as it was, and the viscosity was measured using a B-type viscometer (type B8R, manufactured by Tokyo Keiki Co., Ltd.), and the viscosity at 25° C. was determined.

(4)pH值测定(4) pH value measurement

在带盖玻璃瓶中放入乳化组合物,在恒温25℃的水浴中浸渍2小时,从水浴中将玻璃瓶提出,然后,用pH值测量计(HORIBA制pHMETER F-22)进行测定。The emulsified composition was placed in a glass bottle with a lid, immersed in a water bath at a constant temperature of 25° C. for 2 hours, the glass bottle was taken out of the water bath, and measured with a pH meter (pHMETER F-22 manufactured by HORIBA).

实施例1和比较例1Example 1 and Comparative Example 1

根据表1的组成,按照下述顺序制备水包油型乳化组合物,进行评价。结果一并示于表1中。Based on the composition in Table 1, an oil-in-water emulsion composition was prepared in the following procedure, and evaluated. The results are shown in Table 1 together.

制备方法Preparation

在80℃将成份(1)和(2)均匀溶解、分散,得到油相。另外在成份(5)的醇类中添加成份(3)或(4)的阳离子活性剂,在80℃进行均匀溶解,在维持该温度的状态下,添加上述油相。再添加成份(6)的水,一边保持在80℃,一边使用均化器进行乳化,得到乳化物。再一边搅拌一边冷却至室温(25℃)。Components (1) and (2) were uniformly dissolved and dispersed at 80°C to obtain an oil phase. In addition, the cationic active agent of component (3) or (4) is added to the alcohol of component (5), dissolved uniformly at 80°C, and the above-mentioned oil phase is added while maintaining the temperature. Furthermore, the water of the component (6) was added, and it emulsified using the homogenizer, maintaining at 80 degreeC, and obtained the emulsion. Then, it was cooled to room temperature (25° C.) while stirring.

表1:实施例1和比较例1Table 1: Example 1 and Comparative Example 1

  成份ingredients  实施例1Example 1  比较例1Comparative example 1油相oil phase  BB  1 1  式(2)酰胺化合物*1Formula (2) amide compound*1  1.01.0  1.01.0  2 2  角鲨烷squalane  6.06.0  6.06.0  AA  33  氯化二硬脂酰基二甲基铵*2Distearyldimethylammonium chloride*2  0.80.8  44  氯化硬脂酰基三甲基铵*3Stearyltrimethylammonium chloride*3  0.80.8  水相 water box  CC  55  甘油Glycerin  10.010.0  10.010.0  66  蒸馏水distilled water  余量Surplus  余量Surplus  合计Total  100.0100.0  100.0100.0  评价 evaluate  有无增稠结构体(用偏光显微镜确认)Whether there is a thickening structure (confirmed with a polarizing microscope)  有 have  无 none  刚完成制备后的粘度(mPa·s)Viscosity just after preparation (mPa·s)  80008000  1400014000  刚完成制备后的pH值pH value immediately after preparation  5.05.0  4.94.9  外观(刚完成制备)Appearance (just finished preparation)  良好good  良好good  (50℃,一个月)(50℃, one month)  ○  △  (5℃,一个月)(5℃, one month)  ○  △

实施例2乳液Example 2 Emulsion

根据表2组成,按照与实施例1相同的顺序制备乳液。即,在80℃将成份(1)~(4)均匀溶解、分散,得到油相。再在成份(6)的醇类中添加成份(5)的阳离子活性剂,在80℃进行均匀溶解,在维持该温度的状态下,添加上述油相。另在所得油相中添加在80℃混合成份(7)~(8)得到的水相,一边保持在80℃,一边使用均化器进行乳化,得到乳化物。再一边搅拌一边冷却至室温(25℃)。According to the composition in Table 2, the emulsion was prepared in the same order as in Example 1. That is, components (1) to (4) were uniformly dissolved and dispersed at 80°C to obtain an oil phase. Then add the cationic active agent of the component (5) to the alcohol of the component (6), dissolve it uniformly at 80° C., and add the above-mentioned oil phase while maintaining the temperature. Separately, the water phase obtained by mixing the components (7) to (8) at 80°C was added to the obtained oil phase, and it was emulsified with a homogenizer while maintaining the temperature at 80°C to obtain an emulsion. Then, it was cooled to room temperature (25° C.) while stirring.

所得到的乳液的粘度是8000mPa·s,pH值是5.4。另外,在5℃和50℃保存一个月后的乳化稳定性良好。The resulting emulsion had a viscosity of 8000 mPa·s and a pH of 5.4. In addition, the emulsification stability after storage at 5°C and 50°C for one month was good.

表2:乳液Table 2: Emulsions

  成份ingredients  质量% quality%  油相oil phase  1 1  式(2)的酰胺化合物*1Amide compound of formula (2)*1  1.01.0  2 2  硬脂醇stearyl alcohol  1.01.0  33  异硬脂酰肉豆蔻基甘油酯*4  Isostearyl myristyl glyceride*4  6.06.0  44  二甲基聚硅氧烷*5Dimethicone*5  1.01.0  55  氯化二硬脂酰基二甲基铵*2Distearyldimethylammonium chloride*2  0.50.5  水相 water box  66  甘油Glycerin  7.57.5  77  甲基蛋氨酸Methylmethionine  0.20.2  8 8  蒸馏水distilled water  余量Surplus  合计Total  100.0100.0

实施例3膏状物Embodiment 3 Paste

根据表3组成,按照与实施例2相同的顺序,制备膏状物。According to the composition in Table 3, the paste was prepared in the same order as in Example 2.

所得到的膏状物的粘度是50000mPa·s,pH值是5.2。另外,在5℃和50℃保存一个月后的乳化稳定性良好。The resulting paste had a viscosity of 50000 mPa·s and a pH of 5.2. In addition, the emulsification stability after storage at 5°C and 50°C for one month was good.

表3:膏状物Table 3: Pastes

  成份ingredients  质量% quality%  油相oil phase  1 1  式(2)的酰胺化合物*1Amide compound of formula (2)*1  3.03.0  2 2  山嵛醇behenyl alcohol  3.03.0  33  二癸酸新戊二醇酯Neopentyl glycol dicaprate  6.06.0  44  二甲基聚硅氧烷*5Dimethicone*5  3.03.0  55  氯化二硬脂酰基二甲基铵*2Distearyldimethylammonium chloride*2  0.80.8  水相 water box  66  甘油Glycerin  10.010.0  77  甲基蛋氨酸Methylmethionine  0.10.1  8 8  蒸馏水distilled water  余量Surplus  合计Total  100.0100.0

实施例4抗紫外线乳液Embodiment 4 anti-ultraviolet emulsion

根据表4组成,按照与实施例1相同的顺序制备抗紫外线乳液。即,在80℃将成份(1)~(4)均匀溶解、分散,得到油相。再在成份(8)的醇类中添加成份(7)的阳离子活性剂,在80℃进行均匀溶解,在维持该温度的状态下,添加上述油相。另在所得油相中添加在80℃混合成份(6)和(9)~(10)得到的水相,一边保持在80℃,一边使用均化器进行乳化,得到乳化物。再一边搅拌一边冷却至室温(25℃)。According to the composition in Table 4, the anti-ultraviolet emulsion was prepared in the same order as in Example 1. That is, components (1) to (4) were uniformly dissolved and dispersed at 80°C to obtain an oil phase. Then add the cationic active agent of the component (7) to the alcohol of the component (8), dissolve it uniformly at 80° C., and add the above-mentioned oil phase while maintaining the temperature. Separately, the water phase obtained by mixing components (6) and (9) to (10) at 80°C was added to the obtained oil phase, and was emulsified with a homogenizer while maintaining the temperature at 80°C to obtain an emulsion. Then, it was cooled to room temperature (25° C.) while stirring.

所得到的抗紫外线乳液的粘度是12000mPa·s,pH值是6.2。另外,在5℃和50℃保存一个月后的乳化稳定性良好。The obtained anti-ultraviolet emulsion had a viscosity of 12000 mPa·s and a pH value of 6.2. In addition, the emulsification stability after storage at 5°C and 50°C for one month was good.

使用试验的结果、防紫外线性能的持续性也很好。As a result of the use test, the durability of the UV protection performance is also good.

表4:抗紫外线乳液Table 4: Anti-UV Emulsions

  成份ingredients  质量% quality%  油相oil phase  1 1  式(2)的酰胺化合物*1Amide compound of formula (2)*1  1.01.0  2 2  山嵛醇behenyl alcohol  1.01.0  33  异硬脂酰基肉豆蔻基甘油*4  Isostearyl myristyl glycerin*4  6.06.0  44  对甲氧基桂皮酸(2-乙氧基)酯p-Methoxycinnamic acid (2-ethoxy) ester  3.03.0  55  二甲基聚硅氧烷*5Dimethicone*5  7.07.0  66  氧化钛Titanium oxide  3.03.0  77  氯化而硬脂酰基二甲基铵*2Stearyl Dimethyl Ammonium Chloride*2  0.50.5  水相 water box  8 8  甘油Glycerin  7.57.5  9 9  甲基蛋氨酸Methylmethionine  0.10.1  1010  蒸馏水distilled water  余量Surplus  合计Total  100.0100.0

实施例5抗紫外线膏Embodiment 5 anti-ultraviolet cream

根据表5组成,按照与实施例1相同的顺序制备抗紫外线膏。即,在80℃将成份(1)~(7)均匀溶解、分散,得到油相。再在成份(9)的醇类中添加成份(8)的阳离子活性剂,在80℃进行均匀溶解,在维持该温度的状态下,添加上述油相。另在所得油相中添加在80℃混合成份(10)~(11)得到的水相,一边保持在80℃,一边使用均化器进行乳化,得到乳化物。再一边搅拌一边冷却至室温(25℃)。According to the composition in Table 5, the anti-ultraviolet paste was prepared in the same order as in Example 1. That is, components (1) to (7) were uniformly dissolved and dispersed at 80°C to obtain an oil phase. Then add the cationic active agent of the component (8) to the alcohol of the component (9), dissolve it uniformly at 80° C., and add the above-mentioned oil phase while maintaining the temperature. Separately, the water phase obtained by mixing the components (10) to (11) at 80°C was added to the obtained oil phase, and it was emulsified with a homogenizer while maintaining the temperature at 80°C to obtain an emulsion. Then, it was cooled to room temperature (25° C.) while stirring.

所得到的紫外线乳液的粘度是44000mPa·s,pH值是4.9。另外,在5℃和50℃保存一个月后的乳化稳定性良好。The viscosity of the obtained ultraviolet emulsion was 44000 mPa·s, and the pH value was 4.9. In addition, the emulsification stability after storage at 5°C and 50°C for one month was good.

使用试验的结果、防紫外线性能的持续性也很好。As a result of the use test, the durability of the UV protection performance is also good.

表5:抗紫外线膏Table 5: Anti-UV Pastes

  成份ingredients  质量% quality%  油相oil phase  1 1  式(2)的酰胺化合物*1Amide compound of formula (2)*1  2.02.0  2 2  山嵛醇behenyl alcohol  2.02.0  33  鲨肝醇Bakelite  0.50.5  44  4-叔丁基-4′-甲氧基二苯甲酰基甲烷4-tert-butyl-4′-methoxydibenzoylmethane  0.50.5  55  对甲氧基桂皮酸(2-乙氧基)酯p-Methoxycinnamic acid (2-ethoxy) ester  5.05.0  66  异癸酸异十三烷酯Isotridecanyl Isodecanoate  3.03.0  77  二甲基聚硅氧烷*5Dimethicone*5  3.03.0  8 8  氯化而硬脂酰基二甲基铵*2Stearyl Dimethyl Ammonium Chloride*2  1.01.0  水相 water box  9 9  甘油Glycerin  15.015.0  1010  甲基蛋氨酸Methylmethionine  0.10.1  1111  蒸馏水distilled water  余量Surplus  合计Total  100.0100.0

实施例6~8乳液或膏状物Embodiment 6~8 emulsion or paste

根据表6组成,按照与实施例2相同的顺序制备乳液或膏状物。即,在80℃将成份(1)~(5)均匀溶解、分散,得到油相。再在成份(7)的醇类中添加成份(6)的阳离子表面活性剂,在80℃进行均匀溶解,在维持该温度的状态下,添加上述油相。另在所得油相中添加在80℃混合成份(8)~(10)得到的水相,一边保持在80℃,一边使用均化器进行乳化,得到乳化物。再一边搅拌一边冷却至室温(25℃)。According to the composition in Table 6, the emulsion or paste was prepared in the same order as in Example 2. That is, components (1) to (5) were uniformly dissolved and dispersed at 80°C to obtain an oil phase. Further, the cationic surfactant of the component (6) was added to the alcohol of the component (7), dissolved uniformly at 80° C., and the above-mentioned oil phase was added while maintaining the temperature. Separately, the water phase obtained by mixing the components (8) to (10) at 80°C was added to the obtained oil phase, and it was emulsified with a homogenizer while maintaining the temperature at 80°C to obtain an emulsion. Then, it was cooled to room temperature (25° C.) while stirring.

所得到的乳液或膏状物的粘度和pH值同时示于表6中。其中任一种乳化状态都良好,另外,在5℃和50℃保存一个月后的乳化稳定性也良好。The viscosity and pH value of the obtained emulsion or paste are shown in Table 6 at the same time. Any of these emulsified states were good, and the emulsification stability after storage at 5° C. and 50° C. for one month was also good.

表6:乳液或膏状物Table 6: Lotions or Creams

  实施例Example  66  77  8 8  油相oil phase  1 1  式(2)的酰胺化合物*1Amide compound of formula (2)*1  0.20.2  0.20.2  1.01.0  2 2  山嵛醇behenyl alcohol  0.40.4  0.40.4  2.02.0  33  鲨肝醇batyl alcohol  0.20.2  0.20.2  1.01.0  44  角鲨烷squalane  1.51.5  1.51.5  3.03.0  55  二甲基聚硅氧烷*5Dimethicone*5  --  --  3.03.0  66  氯化二硬脂酰基二甲基铵*2Distearyldimethylammonium chloride*2  0.10.1  0.20.2  0.80.8  水相 water box  77  甘油Glycerin  7.57.5  7.57.5  10.010.0  8 8  甲基蛋氨酸Methylmethionine  0.30.3  0.30.3  0.30.3  9 9  香料Spices  适量Appropriate amount  适量Appropriate amount  适量Appropriate amount  1010  蒸馏水distilled water  余量Surplus  余量Surplus  余量Surplus  评价 evaluate  粘度(mPa·s)Viscosity (mPa·s)  40004000  75007500  3500035000  pH值pH value  5.05.0  4.84.8  5.25.2

产业上的可应用性Industrial applicability

如上所述,含有神经酰胺等两性脂质的本发明的水包油型乳化组合物在静置时液晶结构的稳定性高,在涂布等应用时可形成具有良好崩解性的触变性增稠结构体,因此保存时的乳化稳定性好,使用感优良。而且由于表面活性剂浓度低,呈弱酸性,因而对皮肤的刺激性小。因此,本发明的水包油型乳化组合物,乳化稳定性和使用感优良,对皮肤的刺激性小,对于外用药剂或化妆品很有效,特别是对于化妆品很有效。As described above, the oil-in-water emulsified composition of the present invention containing amphoteric lipids such as ceramide has high stability of liquid crystal structure when left still, and can form a thixotropic thickener with good disintegration when applied such as coating. It has a thick structure, so it has good emulsification stability during storage and a good feeling of use. Moreover, due to the low concentration of the surfactant and weak acidity, it is less irritating to the skin. Therefore, the oil-in-water emulsified composition of the present invention has excellent emulsion stability and usability, is less irritating to the skin, and is effective for external pharmaceuticals or cosmetics, especially for cosmetics.

另外,本发明的制备方法是适合制备上述水包油型乳化组合物的方法,以少量的表面活性剂使两性脂质稳定乳化,而且能够形成具有使用感优良的触变性增稠结构体。该制备方法,即使不特意调整pH值,也可得到弱酸性乳化组合物,因此有利于提高生产率。In addition, the preparation method of the present invention is suitable for preparing the above-mentioned oil-in-water emulsified composition, and can emulsify amphoteric lipids stably with a small amount of surfactant, and can form a thixotropic thickening structure with excellent usability. Since this production method can obtain a weakly acidic emulsified composition without intentionally adjusting the pH, it is advantageous for improving productivity.

Claims (3)

Translated fromChinese
1.一种用于化妆品的水包油型乳化组合物,其特征在于,1. An oil-in-water emulsified composition for cosmetics, characterized in that,含有下述(A)~(D)成分,Contains the following components (A) to (D),(A)成分:以下述通式(1)表示的季铵盐型阳离子表面活性剂中的至少一种,(A) component: at least one of the quaternary ammonium salt type cationic surfactants represented by the following general formula (1),
Figure C2003101038050002C1
Figure C2003101038050002C1
式(1)中,R1和R2分别为碳原子数16~22的直链或支链饱和或不饱和烃基,R3和R4分别为碳原子数1~3的烷基,X-为成盐阴离子,In formula (1), R1 and R2 are straight chain or branched saturated or unsaturated hydrocarbon groups with 16-22 carbon atoms respectively, R3 and R4 are alkyl groups with 1-3 carbon atoms respectively, X- as a salt-forming anion,(B)成分:在分子内同时具有亲水部和疏水部、在25℃时为固体的脂质,为选自胆甾醇、胆甾醇酯、硫酸胆甾醇的胆甾醇类,选自硬脂酸、棕榈酸的高级脂肪酸,选自鲸蜡醇、硬脂醇、山嵛醇、鲨肝醇、鲛肝醇的高级醇,脂肪酸甘油酯,或者在下述通式(2)~(4)中所列出的酰胺化合物,(B) Component: It has both a hydrophilic portion and a hydrophobic portion in the molecule, and is a solid lipid at 25° C. It is a cholesterol selected from cholesterol, cholesteryl ester, and cholesterol sulfate, and is selected from stearic acid , the higher fatty acid of palmitic acid, be selected from the higher alcohol of cetyl alcohol, stearyl alcohol, behenyl alcohol, batyl alcohol, chimeryl alcohol, fatty acid glyceride, or in following general formula (2)~(4) Amide compounds listed,式(2)中,R11是由一个以上的羟基取代的或者没有被取代的碳原子数8~50的直链或支链的饱和或不饱和烃基,或是以R13-COO-R14-表示的基团,R13表示碳原子数8~30的直链或支链的饱和或不饱和烃基,R14表示由一个以上的羟基取代的或者没有被取代的碳原子数8~40的直链或支链的饱和或不饱和二价烃基,R12表示由一个以上的羟基取代的或者没有被取代的碳原子数8~50的直链或支链的饱和或不饱和烃基,In formula (2), R11 is a linear or branched saturated or unsaturated hydrocarbon group with 8 to 50 carbon atoms substituted by more than one hydroxyl group or unsubstituted, or R13 -COO-R14 The group represented by -, R13 represents a linear or branched saturated or unsaturated hydrocarbon group with 8 to 30 carbon atoms, R14 represents an unsubstituted or substituted hydrocarbon group with 8 to 40 carbon atoms Straight-chain or branched saturated or unsaturated divalent hydrocarbon group, R12 represents a straight-chain or branched saturated or unsaturated hydrocarbon group with 8 to 50 carbon atoms substituted by more than one hydroxyl group or unsubstituted,
Figure C2003101038050003C1
Figure C2003101038050003C1
式(3)中,R15表示由一个以上的羟基取代的或者没有被取代的碳原子数7~25的直链或支链饱和或不饱和烃基,R16表示由一个以上的羟基取代的或者没有被取代的碳原子数8~26的直链或支链饱和或不饱和烃基或烷氧基,R17表示氢原子、2-羟乙基或2,3-二羟丙基,Y表示氢原子或羟基,In formula (3), R15 represents a linear or branched saturated or unsaturated hydrocarbon group with 7 to 25 carbon atoms substituted or unsubstituted by more than one hydroxyl group, and R16 represents a group substituted by more than one hydroxyl group or An unsubstituted straight-chain or branched saturated or unsaturated hydrocarbon group or alkoxy group with 8 to 26 carbon atoms, R17 represents a hydrogen atom, 2-hydroxyethyl or 2,3-dihydroxypropyl, Y represents hydrogen atom or hydroxyl,
Figure C2003101038050003C2
Figure C2003101038050003C2
式(4)中,R18分别独立表示碳原子数1~22的直链或支链烃基,该烃基是由羟基和/或烷氧基取代的或者没有被取代的,R19分别独立表示碳原子数1~12的直链或支链二价烃基,R20表示碳原子数1~42的直链或支链二价烃基,In formula (4), R18 independently represent a straight-chain or branched chain hydrocarbon group with 1 to 22 carbon atoms, the hydrocarbon group is substituted or unsubstituted by hydroxyl and/or alkoxy, and R19 independently represent carbon A straight-chain or branched divalent hydrocarbon group with 1-12 atoms,R20 represents a straight-chain or branched divalent hydrocarbon group with 1-42 carbon atoms,(C)成分:二元醇和三元醇的至少一种,选自乙二醇、平均分子量为200~400的聚乙二醇、丙二醇、一缩二丙二醇、1,3-丁二醇、甘油、聚合度为2~5的聚甘油,以及(C) Component: At least one of diol and triol, selected from ethylene glycol, polyethylene glycol with an average molecular weight of 200-400, propylene glycol, dipropylene glycol, 1,3-butanediol, glycerin , polyglycerol with a degree of polymerization of 2 to 5, and(D)成分:水,(D) Ingredient: water,所述(A)成分的含量为0.1~1质量%,所述(B)成分的含量为0.1~20质量%,所述(C)成分的含量为5~40质量%,所述(D)成分的含量为10~90质量%,所述(A)成分与所述(B)成分的质量比(A)∶(B)为10∶1~1∶20。The content of the component (A) is 0.1 to 1% by mass, the content of the component (B) is 0.1 to 20% by mass, the content of the component (C) is 5 to 40% by mass, and the content of the component (D) is 0.1 to 20% by mass. The content of the component is 10 to 90% by mass, and the mass ratio (A):(B) of the component (A) to the component (B) is 10:1 to 1:20.2.如权利要求1所述的用于化妆品的水包油型乳化组合物,其特征在于,pH值为4以上、小于7。2 . The oil-in-water emulsion composition for cosmetics according to claim 1 , which has a pH of 4 or more and less than 7. 3 .3.一种水包油型乳化组合物的制备方法,其特征在于,所述水包油型乳化组合物为如权利要求1所述的用于化妆品的水包油型乳化组合物,所述制备方法为,将所述(A)成分和所述(C)成分混合后,添加含有所述(B)成分的油相,然后添加水。3. a preparation method of oil-in-water emulsified composition, it is characterized in that, described oil-in-water emulsified composition is the oil-in-water emulsified composition used for cosmetics as claimed in claim 1, said The preparation method comprises mixing the above-mentioned (A) component and the above-mentioned (C) component, adding the oil phase containing the above-mentioned (B) component, and then adding water.
CNB2003101038050A2002-12-272003-11-06 Oil-in-water emulsified composition and preparation method thereofExpired - Fee RelatedCN100369600C (en)

Applications Claiming Priority (2)

Application NumberPriority DateFiling DateTitle
JP20023810462002-12-27
JP20023810462002-12-27

Publications (2)

Publication NumberPublication Date
CN1511512A CN1511512A (en)2004-07-14
CN100369600Ctrue CN100369600C (en)2008-02-20

Family

ID=34260225

Family Applications (1)

Application NumberTitlePriority DateFiling Date
CNB2003101038050AExpired - Fee RelatedCN100369600C (en)2002-12-272003-11-06 Oil-in-water emulsified composition and preparation method thereof

Country Status (2)

CountryLink
CN (1)CN100369600C (en)
TW (1)TW200416045A (en)

Families Citing this family (4)

* Cited by examiner, † Cited by third party
Publication numberPriority datePublication dateAssigneeTitle
JP4719575B2 (en)*2006-01-132011-07-06花王株式会社 Hair cosmetic and method for producing the same
CN102727392A (en)*2011-03-312012-10-17花王株式会社Emulsified composition
KR102485259B1 (en)*2018-03-272023-01-06(주)아모레퍼시픽Liquid lipid composite composition for improving hair condition
CN112680293B (en)*2019-10-182022-07-08中国石油化工股份有限公司Emulsifier, preparation method and application thereof, and method for emulsifying butter in alkaline washing tower

Citations (8)

* Cited by examiner, † Cited by third party
Publication numberPriority datePublication dateAssigneeTitle
US4389418A (en)*1981-02-251983-06-21S. C. Johnson & Son, Inc.Skin care composition
WO1990010429A1 (en)*1989-03-131990-09-20S.C. Johnson & Son, Inc.Sparkling pearlescent personal care compositions
US5019376A (en)*1989-03-131991-05-28S. C. Johnson & Son, Inc.Sparkling pearlescent personal care compositions
JPH0411939A (en)*1990-04-271992-01-16Lion CorpProduction of oil-in-water type emulsion
CN1087812A (en)*1992-10-091994-06-15花王株式会社 Cosmetic composition for hair care
CN1108922A (en)*1993-12-281995-09-27花王株式会社 shampoo composition
JP2000355519A (en)*1999-06-142000-12-26Lion Corp Manufacturing method of emulsified cosmetic
JP2002114631A (en)*2000-08-042002-04-16Kao CorpOil-in-water type emulsified composition and method for producing the same

Patent Citations (8)

* Cited by examiner, † Cited by third party
Publication numberPriority datePublication dateAssigneeTitle
US4389418A (en)*1981-02-251983-06-21S. C. Johnson & Son, Inc.Skin care composition
WO1990010429A1 (en)*1989-03-131990-09-20S.C. Johnson & Son, Inc.Sparkling pearlescent personal care compositions
US5019376A (en)*1989-03-131991-05-28S. C. Johnson & Son, Inc.Sparkling pearlescent personal care compositions
JPH0411939A (en)*1990-04-271992-01-16Lion CorpProduction of oil-in-water type emulsion
CN1087812A (en)*1992-10-091994-06-15花王株式会社 Cosmetic composition for hair care
CN1108922A (en)*1993-12-281995-09-27花王株式会社 shampoo composition
JP2000355519A (en)*1999-06-142000-12-26Lion Corp Manufacturing method of emulsified cosmetic
JP2002114631A (en)*2000-08-042002-04-16Kao CorpOil-in-water type emulsified composition and method for producing the same

Non-Patent Citations (1)

* Cited by examiner, † Cited by third party
Title
阳离子高分子表面活性剂的近期进展. 路亦景.精细化工,第6卷第2期. 1989*

Also Published As

Publication numberPublication date
TWI342220B (en)2011-05-21
TW200416045A (en)2004-09-01
CN1511512A (en)2004-07-14

Similar Documents

PublicationPublication DateTitle
US4478853A (en)Skin conditioning composition
US4970220A (en)Skin conditioning composition
JP4286451B2 (en) Skin care composition with improved skin hydration
JP3317886B2 (en) Nanoemulsions based on nonionic and cationic amphiphilic lipids
JPH026321B2 (en)
JPH10513179A (en) Roll-on antiperspirant composition
EP1462081B1 (en)Production of ceramide emulsions
EP2174646B1 (en)Reverse vesicle
JPH0818948B2 (en) Aqueous cosmetic and its manufacturing method
JPH09165317A (en)Oil-in-water type emulsifying composition
JP2006028109A (en) Oil-in-water emulsion composition
JP3902174B2 (en) Method for producing oil-in-water emulsion composition
JP2001348320A (en) Lipid composition having liquid crystal structure
KR20160082054A (en)Emulsifier-Free Cosmetic Composition of the Oil-in-Water Emulsion Type and Preparation Method Thereof
JP2006036763A (en) Oil-in-water emulsion composition
JPH0686373B2 (en) Cosmetics
CN100369600C (en) Oil-in-water emulsified composition and preparation method thereof
CN100446748C (en) Water-in-oil emulsified composition
KR102381622B1 (en)Stabilizing method of rice bran wax and cosmetic composition containing the stabilized rice bran wax
JP4119646B2 (en) Method for producing ceramide emulsion
JP4220698B2 (en) Topical skin preparation
JP2005002017A (en) Skin preparation
JP2005002020A (en) Oil-in-water emulsified cosmetic
JP2577997B2 (en) Cosmetics
JPH10194964A (en)Emulsion composition

Legal Events

DateCodeTitleDescription
C06Publication
PB01Publication
C10Entry into substantive examination
SE01Entry into force of request for substantive examination
C14Grant of patent or utility model
GR01Patent grant
CF01Termination of patent right due to non-payment of annual fee

Granted publication date:20080220

Termination date:20181106

CF01Termination of patent right due to non-payment of annual fee

[8]ページ先頭

©2009-2025 Movatter.jp