Movatterモバイル変換


[0]ホーム

URL:


Navigation

MachineLearningMastery.com

Making developers awesome at machine learning

Making developers awesome at machine learning

How to Tune LSTM Hyperparameters with Keras for Time Series Forecasting

Configuring neural networks is difficult because there is no good theory on how to do it.

You must be systematic and explore different configurations both from a dynamical and an objective results point of a view to try to understand what is going on for a given predictive modeling problem.

In this tutorial, you will discover how you can explore how to configure an LSTM network on a time series forecasting problem.

After completing this tutorial, you will know:

  • How to tune and interpret the results of the number of training epochs.
  • How to tune and interpret the results of the size of training batches.
  • How to tune and interpret the results of the number of neurons.

Kick-start your project with my new bookDeep Learning for Time Series Forecasting, includingstep-by-step tutorials and thePython source code files for all examples.

Let’s get started.

  • Updated Apr/2019: Updated the link to dataset.
How to Tune LSTM Hyperparameters with Keras for Time Series Forecasting

How to Tune LSTM Hyperparameters with Keras for Time Series Forecasting
Photo byDavid Saddler, some rights reserved.

Tutorial Overview

This tutorial is broken down into 6 parts; they are:

  1. Shampoo Sales Dataset
  2. Experimental Test Harness
  3. Tuning the Number of Epochs
  4. Tuning the Batch Size
  5. Tuning the Number of Neurons
  6. Summary of Results

Environment

This tutorial assumes you have a Python SciPy environment installed. You can use either Python 2 or 3 with this example.

This tutorial assumes you have Keras v2.0 or higher installed with either the TensorFlow or Theano backend.

The tutorial also assumes you have scikit-learn, Pandas, NumPy and Matplotlib installed.

If you need help setting up your Python environment, see this post:

Shampoo Sales Dataset

This dataset describes the monthly number of sales of shampoo over a 3-year period.

The units are a sales count and there are 36 observations. The original dataset is credited to Makridakis, Wheelwright, and Hyndman (1998).

The example below loads and creates a plot of the loaded dataset.

1
2
3
4
5
6
7
8
9
10
11
12
13
# load and plot dataset
frompandasimportread_csv
frompandasimportdatetime
frommatplotlibimportpyplot
# load dataset
defparser(x):
returndatetime.strptime('190'+x,'%Y-%m')
series=read_csv('shampoo-sales.csv',header=0,parse_dates=[0],index_col=0,squeeze=True,date_parser=parser)
# summarize first few rows
print(series.head())
# line plot
series.plot()
pyplot.show()

Running the example loads the dataset as a Pandas Series and prints the first 5 rows.

1
2
3
4
5
6
7
Month
1901-01-01 266.0
1901-02-01 145.9
1901-03-01 183.1
1901-04-01 119.3
1901-05-01 180.3
Name: Sales, dtype: float64

A line plot of the series is then created showing a clear increasing trend.

Line Plot of Shampoo Sales Dataset

Line Plot of Shampoo Sales Dataset

Next, we will take a look at the LSTM configuration and test harness used in the experiment.

Need help with Deep Learning for Time Series?

Take my free 7-day email crash course now (with sample code).

Click to sign-up and also get a free PDF Ebook version of the course.

Experimental Test Harness

This section describes the test harness used in this tutorial.

Data Split

We will split the Shampoo Sales dataset into two parts: a training and a test set.

The first two years of data will be taken for the training dataset and the remaining one year of data will be used for the test set.

Models will be developed using the training dataset and will make predictions on the test dataset.

The persistence forecast (naive forecast) on the test dataset achieves an error of 136.761 monthly shampoo sales. This provides a lower acceptable bound of performance on the test set.

Model Evaluation

A rolling-forecast scenario will be used, also called walk-forward model validation.

Each time step of the test dataset will be walked one at a time. A model will be used to make a forecast for the time step, then the actual expected value from the test set will be taken and made available to the model for the forecast on the next time step.

This mimics a real-world scenario where new Shampoo Sales observations would be available each month and used in the forecasting of the following month.

This will be simulated by the structure of the train and test datasets. We will make all of the forecasts in a one-shot method.

All forecasts on the test dataset will be collected and an error score calculated to summarize the skill of the model. The root mean squared error (RMSE) will be used as it punishes large errors and results in a score that is in the same units as the forecast data, namely monthly shampoo sales.

Data Preparation

Before we can fit an LSTM model to the dataset, we must transform the data.

The following three data transforms are performed on the dataset prior to fitting a model and making a forecast.

  1. Transform the time series data so that it is stationary. Specifically, a lag=1 differencing to remove the increasing trend in the data.
  2. Transform the time series into a supervised learning problem. Specifically, the organization of data into input and output patterns where the observation at the previous time step is used as an input to forecast the observation at the current time time step
  3. Transform the observations to have a specific scale. Specifically, to rescale the data to values between -1 and 1 to meet the default hyperbolic tangent activation function of the LSTM model.

These transforms are inverted on forecasts to return them into their original scale before calculating and error score.

Experimental Runs

Each experimental scenario will be run 10 times.

The reason for this is that the random initial conditions for an LSTM network can result in very different results each time a given configuration is trained.

A diagnostic approach will be used to investigate model configurations. This is where line plots of model skill over time (training iterations called epochs) will be created and studied for insight into how a given configuration performs and how it may be adjusted to elicit better performance.

The model will be evaluated on both the train and the test datasets at the end of each epoch and the RMSE scores saved.

The train and test RMSE scores at the end of each scenario are printed to give an indication of progress.

The series of train and test RMSE scores are plotted at the end of a run as a line plot. Train scores are colored blue and test scores are colored orange.

Let’s dive into the results.

Tuning the Number of Epochs

The first LSTM parameter we will look at tuning is the number of training epochs.

The model will use abatch size of 4, and a single neuron. We will explore the effect of training this configuration for different numbers of training epochs.

Diagnostic of 500 Epochs

The complete code listing for this diagnostic is listed below.

The code is reasonably well commented and should be easy to follow. This code will be the basis for all future experiments in this tutorial and only the changes made in each subsequent experiment will be listed.

1
2
3
4
5
6
7
8
9
10
11
12
13
14
15
16
17
18
19
20
21
22
23
24
25
26
27
28
29
30
31
32
33
34
35
36
37
38
39
40
41
42
43
44
45
46
47
48
49
50
51
52
53
54
55
56
57
58
59
60
61
62
63
64
65
66
67
68
69
70
71
72
73
74
75
76
77
78
79
80
81
82
83
84
85
86
87
88
89
90
91
92
93
94
95
96
97
98
99
100
101
102
103
104
105
106
107
108
109
110
111
112
113
114
115
116
117
118
119
120
121
122
123
124
125
126
127
128
129
130
131
132
133
134
135
136
137
138
frompandasimportDataFrame
frompandasimportSeries
frompandasimportconcat
frompandasimportread_csv
frompandasimportdatetime
fromsklearn.metricsimportmean_squared_error
fromsklearn.preprocessingimportMinMaxScaler
fromkeras.modelsimportSequential
fromkeras.layersimportDense
fromkeras.layersimportLSTM
frommathimportsqrt
importmatplotlib
# be able to save images on server
matplotlib.use('Agg')
frommatplotlibimportpyplot
importnumpy
 
# date-time parsing function for loading the dataset
defparser(x):
returndatetime.strptime('190'+x,'%Y-%m')
 
# frame a sequence as a supervised learning problem
deftimeseries_to_supervised(data,lag=1):
df=DataFrame(data)
columns=[df.shift(i)foriinrange(1,lag+1)]
columns.append(df)
df=concat(columns,axis=1)
df=df.drop(0)
returndf
 
# create a differenced series
defdifference(dataset,interval=1):
diff=list()
foriinrange(interval,len(dataset)):
value=dataset[i]-dataset[i-interval]
diff.append(value)
returnSeries(diff)
 
# scale train and test data to [-1, 1]
defscale(train,test):
# fit scaler
scaler=MinMaxScaler(feature_range=(-1,1))
scaler=scaler.fit(train)
# transform train
train=train.reshape(train.shape[0],train.shape[1])
train_scaled=scaler.transform(train)
# transform test
test=test.reshape(test.shape[0],test.shape[1])
test_scaled=scaler.transform(test)
returnscaler,train_scaled,test_scaled
 
# inverse scaling for a forecasted value
definvert_scale(scaler,X,yhat):
new_row=[xforxinX]+[yhat]
array=numpy.array(new_row)
array=array.reshape(1,len(array))
inverted=scaler.inverse_transform(array)
returninverted[0,-1]
 
# evaluate the model on a dataset, returns RMSE in transformed units
defevaluate(model,raw_data,scaled_dataset,scaler,offset,batch_size):
# separate
X,y=scaled_dataset[:,0:-1],scaled_dataset[:,-1]
# reshape
reshaped=X.reshape(len(X),1,1)
# forecast dataset
output=model.predict(reshaped,batch_size=batch_size)
# invert data transforms on forecast
predictions=list()
foriinrange(len(output)):
yhat=output[i,0]
# invert scaling
yhat=invert_scale(scaler,X[i],yhat)
# invert differencing
yhat=yhat+raw_data[i]
# store forecast
predictions.append(yhat)
# report performance
rmse=sqrt(mean_squared_error(raw_data[1:],predictions))
returnrmse
 
# fit an LSTM network to training data
deffit_lstm(train,test,raw,scaler,batch_size,nb_epoch,neurons):
X,y=train[:,0:-1],train[:,-1]
X=X.reshape(X.shape[0],1,X.shape[1])
# prepare model
model=Sequential()
model.add(LSTM(neurons,batch_input_shape=(batch_size,X.shape[1],X.shape[2]),stateful=True))
model.add(Dense(1))
model.compile(loss='mean_squared_error',optimizer='adam')
# fit model
train_rmse,test_rmse=list(),list()
foriinrange(nb_epoch):
model.fit(X,y,epochs=1,batch_size=batch_size,verbose=0,shuffle=False)
model.reset_states()
# evaluate model on train data
raw_train=raw[-(len(train)+len(test)+1):-len(test)]
train_rmse.append(evaluate(model,raw_train,train,scaler,0,batch_size))
model.reset_states()
# evaluate model on test data
raw_test=raw[-(len(test)+1):]
test_rmse.append(evaluate(model,raw_test,test,scaler,0,batch_size))
model.reset_states()
history=DataFrame()
history['train'],history['test']=train_rmse,test_rmse
returnhistory
 
# run diagnostic experiments
defrun():
# load dataset
series=read_csv('shampoo-sales.csv',header=0,parse_dates=[0],index_col=0,squeeze=True,date_parser=parser)
# transform data to be stationary
raw_values=series.values
diff_values=difference(raw_values,1)
# transform data to be supervised learning
supervised=timeseries_to_supervised(diff_values,1)
supervised_values=supervised.values
# split data into train and test-sets
train,test=supervised_values[0:-12],supervised_values[-12:]
# transform the scale of the data
scaler,train_scaled,test_scaled=scale(train,test)
# fit and evaluate model
train_trimmed=train_scaled[2:,:]
# config
repeats=10
n_batch=4
n_epochs=500
n_neurons=1
# run diagnostic tests
foriinrange(repeats):
history=fit_lstm(train_trimmed,test_scaled,raw_values,scaler,n_batch,n_epochs,n_neurons)
pyplot.plot(history['train'],color='blue')
pyplot.plot(history['test'],color='orange')
print('%d) TrainRMSE=%f, TestRMSE=%f'%(i,history['train'].iloc[-1],history['test'].iloc[-1]))
pyplot.savefig('epochs_diagnostic.png')
 
# entry point
run()

Note: Yourresults may vary given the stochastic nature of the algorithm or evaluation procedure, or differences in numerical precision. Consider running the example a few times and compare the average outcome.

Running the experiment prints the RMSE for the train and the test sets at the end of each of the 10 experimental runs.

1
2
3
4
5
6
7
8
9
10
0) TrainRMSE=63.495594, TestRMSE=113.472643
1) TrainRMSE=60.446307, TestRMSE=100.147470
2) TrainRMSE=59.879681, TestRMSE=95.112331
3) TrainRMSE=66.115269, TestRMSE=106.444401
4) TrainRMSE=61.878702, TestRMSE=86.572920
5) TrainRMSE=73.519382, TestRMSE=103.551694
6) TrainRMSE=64.407033, TestRMSE=98.849227
7) TrainRMSE=72.684834, TestRMSE=98.499976
8) TrainRMSE=77.593773, TestRMSE=124.404747
9) TrainRMSE=71.749335, TestRMSE=126.396615

A line plot of the series of RMSE scores on the train and test sets after each training epoch is also created.

Diagnostic Results with 500 Epochs

Diagnostic Results with 500 Epochs

The results clearly show a downward trend in RMSE over the training epochs for almost all of the experimental runs.

This is a good sign, as it shows the model is learning the problem and has some predictive skill. In fact, all of the final test scores are below the error of a simple persistence model (naive forecast) that achieves an RMSE of 136.761 on this problem.

The results suggest that more training epochs will result in a more skillful model.

Let’s try doubling the number of epochs from 500 to 1000.

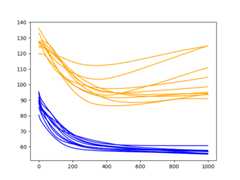
Diagnostic of 1000 Epochs

In this section, we use the same experimental setup and fit the model over 1000 training epochs.

Specifically, then_epochs parameter is set to1000 in therun() function.

1
n_epochs=1000

Note: Yourresults may vary given the stochastic nature of the algorithm or evaluation procedure, or differences in numerical precision. Consider running the example a few times and compare the average outcome.

Running the example prints the RMSE for the train and test sets from the final epoch.

1
2
3
4
5
6
7
8
9
10
0) TrainRMSE=69.242394, TestRMSE=90.832025
1) TrainRMSE=65.445810, TestRMSE=113.013681
2) TrainRMSE=57.949335, TestRMSE=103.727228
3) TrainRMSE=61.808586, TestRMSE=89.071392
4) TrainRMSE=68.127167, TestRMSE=88.122807
5) TrainRMSE=61.030678, TestRMSE=93.526607
6) TrainRMSE=61.144466, TestRMSE=97.963895
7) TrainRMSE=59.922150, TestRMSE=94.291120
8) TrainRMSE=60.170052, TestRMSE=90.076229
9) TrainRMSE=62.232470, TestRMSE=98.174839

A line plot of the test and train RMSE scores each epoch is also created.

Diagnostic Results with 1000 Epochs

Diagnostic Results with 1000 Epochs

We can see that the downward trend of model error does continue and appears to slow.

The lines for the train and test cases become more horizontal, but still generally show a downward trend, although at a lower rate of change. Some examples of test error show a possible inflection point around 600 epochs and may show a rising trend.

It is worth extending the epochs further. We are interested in the average performance continuing to improve on the test set and this may continue.

Let’s try doubling the number of epochs from 1000 to 2000.

Diagnostic of 2000 Epochs

In this section, we use the same experimental setup and fit the model over 2000 training epochs.

Specifically, then_epochs parameter is set to 2000 in therun() function.

1
n_epochs=2000

Note: Yourresults may vary given the stochastic nature of the algorithm or evaluation procedure, or differences in numerical precision. Consider running the example a few times and compare the average outcome.

Running the example prints the RMSE for the train and test sets from the final epoch.

1
2
3
4
5
6
7
8
9
10
0) TrainRMSE=67.292970, TestRMSE=83.096856
1) TrainRMSE=55.098951, TestRMSE=104.211509
2) TrainRMSE=69.237206, TestRMSE=117.392007
3) TrainRMSE=61.319941, TestRMSE=115.868142
4) TrainRMSE=60.147575, TestRMSE=87.793270
5) TrainRMSE=59.424241, TestRMSE=99.000790
6) TrainRMSE=66.990082, TestRMSE=80.490660
7) TrainRMSE=56.467012, TestRMSE=97.799062
8) TrainRMSE=60.386380, TestRMSE=103.810569
9) TrainRMSE=58.250862, TestRMSE=86.212094

A line plot of the test and train RMSE scores each epoch is also created.

Diagnostic Results with 2000 Epochs

Diagnostic Results with 2000 Epochs

As one might have guessed, the downward trend in error continues over the additional 1000 epochs on both the train and test datasets.

Of note, about half of the cases continue to decrease in error all the way to the end of the run, whereas the rest show signs of an increasing trend.

The increasing trend is a sign of overfitting. This is when the model overfits the training dataset at the cost of worse performance on the test dataset. It is exemplified by continued improvements on the training dataset and improvements followed by an inflection point and worsting skill in the test dataset. A little less than half of the runs show the beginnings of this type of pattern on the test dataset.

Nevertheless, the final epoch results on the test dataset are very good. If there is a chance we can see further gains by even longer training, we must explore it.

Let’s try doubling the number of epochs from 2000 to 4000.

Diagnostic of 4000 Epochs

In this section, we use the same experimental setup and fit the model over 4000 training epochs.

Specifically, then_epochs parameter is set to 4000 in therun() function.

1
n_epochs=4000

Note: Yourresults may vary given the stochastic nature of the algorithm or evaluation procedure, or differences in numerical precision. Consider running the example a few times and compare the average outcome.

Running the example prints the RMSE for the train and test sets from the final epoch.

1
2
3
4
5
6
7
8
9
10
0) TrainRMSE=58.889277, TestRMSE=99.121765
1) TrainRMSE=56.839065, TestRMSE=95.144846
2) TrainRMSE=58.522271, TestRMSE=87.671309
3) TrainRMSE=53.873962, TestRMSE=113.920076
4) TrainRMSE=66.386299, TestRMSE=77.523432
5) TrainRMSE=58.996230, TestRMSE=136.367014
6) TrainRMSE=55.725800, TestRMSE=113.206607
7) TrainRMSE=57.334604, TestRMSE=90.814642
8) TrainRMSE=54.593069, TestRMSE=105.724825
9) TrainRMSE=56.678498, TestRMSE=83.082262

A line plot of the test and train RMSE scores each epoch is also created.

Diagnostic Results with 4000 Epochs

Diagnostic Results with 4000 Epochs

A similar pattern continues.

There is a general trend of improving performance, even over the 4000 epochs. There is one case of severe overfitting where test error rises sharply.

Again, most runs end with a “good” (better than persistence) final test error.

Summary of Results

The diagnostic runs above are helpful to explore the dynamical behavior of the model, but fall short of an objective and comparable mean performance.

We can address this by repeating the same experiments and calculating and comparing summary statistics for each configuration. In this case, 30 runs were completed of the epoch values 500, 1000, 2000, 4000, and 6000.

The idea is to compare the configurations using summary statistics over a larger number of runs and see exactly which of the configurations might perform better on average.

The complete code example is listed below.

1
2
3
4
5
6
7
8
9
10
11
12
13
14
15
16
17
18
19
20
21
22
23
24
25
26
27
28
29
30
31
32
33
34
35
36
37
38
39
40
41
42
43
44
45
46
47
48
49
50
51
52
53
54
55
56
57
58
59
60
61
62
63
64
65
66
67
68
69
70
71
72
73
74
75
76
77
78
79
80
81
82
83
84
85
86
87
88
89
90
91
92
93
94
95
96
97
98
99
100
101
102
103
104
105
106
107
108
109
110
111
112
113
114
115
116
117
118
119
120
121
122
123
124
125
126
127
128
129
130
131
132
133
frompandasimportDataFrame
frompandasimportSeries
frompandasimportconcat
frompandasimportread_csv
frompandasimportdatetime
fromsklearn.metricsimportmean_squared_error
fromsklearn.preprocessingimportMinMaxScaler
fromkeras.modelsimportSequential
fromkeras.layersimportDense
fromkeras.layersimportLSTM
frommathimportsqrt
importmatplotlib
# be able to save images on server
matplotlib.use('Agg')
frommatplotlibimportpyplot
importnumpy
 
# date-time parsing function for loading the dataset
defparser(x):
returndatetime.strptime('190'+x,'%Y-%m')
 
# frame a sequence as a supervised learning problem
deftimeseries_to_supervised(data,lag=1):
df=DataFrame(data)
columns=[df.shift(i)foriinrange(1,lag+1)]
columns.append(df)
df=concat(columns,axis=1)
df=df.drop(0)
returndf
 
# create a differenced series
defdifference(dataset,interval=1):
diff=list()
foriinrange(interval,len(dataset)):
value=dataset[i]-dataset[i-interval]
diff.append(value)
returnSeries(diff)
 
# invert differenced value
definverse_difference(history,yhat,interval=1):
returnyhat+history[-interval]
 
# scale train and test data to [-1, 1]
defscale(train,test):
# fit scaler
scaler=MinMaxScaler(feature_range=(-1,1))
scaler=scaler.fit(train)
# transform train
train=train.reshape(train.shape[0],train.shape[1])
train_scaled=scaler.transform(train)
# transform test
test=test.reshape(test.shape[0],test.shape[1])
test_scaled=scaler.transform(test)
returnscaler,train_scaled,test_scaled
 
# inverse scaling for a forecasted value
definvert_scale(scaler,X,yhat):
new_row=[xforxinX]+[yhat]
array=numpy.array(new_row)
array=array.reshape(1,len(array))
inverted=scaler.inverse_transform(array)
returninverted[0,-1]
 
# fit an LSTM network to training data
deffit_lstm(train,batch_size,nb_epoch,neurons):
X,y=train[:,0:-1],train[:,-1]
X=X.reshape(X.shape[0],1,X.shape[1])
model=Sequential()
model.add(LSTM(neurons,batch_input_shape=(batch_size,X.shape[1],X.shape[2]),stateful=True))
model.add(Dense(1))
model.compile(loss='mean_squared_error',optimizer='adam')
foriinrange(nb_epoch):
model.fit(X,y,epochs=1,batch_size=batch_size,verbose=0,shuffle=False)
model.reset_states()
returnmodel
 
# run a repeated experiment
defexperiment(repeats,series,epochs):
# transform data to be stationary
raw_values=series.values
diff_values=difference(raw_values,1)
# transform data to be supervised learning
supervised=timeseries_to_supervised(diff_values,1)
supervised_values=supervised.values
# split data into train and test-sets
train,test=supervised_values[0:-12],supervised_values[-12:]
# transform the scale of the data
scaler,train_scaled,test_scaled=scale(train,test)
# run experiment
error_scores=list()
forrinrange(repeats):
# fit the model
batch_size=4
train_trimmed=train_scaled[2:,:]
lstm_model=fit_lstm(train_trimmed,batch_size,epochs,1)
# forecast the entire training dataset to build up state for forecasting
train_reshaped=train_trimmed[:,0].reshape(len(train_trimmed),1,1)
lstm_model.predict(train_reshaped,batch_size=batch_size)
# forecast test dataset
test_reshaped=test_scaled[:,0:-1]
test_reshaped=test_reshaped.reshape(len(test_reshaped),1,1)
output=lstm_model.predict(test_reshaped,batch_size=batch_size)
predictions=list()
foriinrange(len(output)):
yhat=output[i,0]
X=test_scaled[i,0:-1]
# invert scaling
yhat=invert_scale(scaler,X,yhat)
# invert differencing
yhat=inverse_difference(raw_values,yhat,len(test_scaled)+1-i)
# store forecast
predictions.append(yhat)
# report performance
rmse=sqrt(mean_squared_error(raw_values[-12:],predictions))
print('%d) Test RMSE: %.3f'%(r+1,rmse))
error_scores.append(rmse)
returnerror_scores
 
 
# load dataset
series=read_csv('shampoo-sales.csv',header=0,parse_dates=[0],index_col=0,squeeze=True,date_parser=parser)
# experiment
repeats=30
results=DataFrame()
# vary training epochs
epochs=[500,1000,2000,4000,6000]
foreinepochs:
results[str(e)]=experiment(repeats,series,e)
# summarize results
print(results.describe())
# save boxplot
results.boxplot()
pyplot.savefig('boxplot_epochs.png')

Running the code first prints summary statistics for each of the 5 configurations. Notably, this includes the mean and standard deviations of the RMSE scores from each population of results.

Note: Yourresults may vary given the stochastic nature of the algorithm or evaluation procedure, or differences in numerical precision. Consider running the example a few times and compare the average outcome.

The mean gives an idea of the average expected performance of a configuration, whereas the standard deviation gives an idea of the variance. The min and max RMSE scores also give an idea of the range of possible best and worst case examples that might be expected.

Looking at just the mean RMSE scores, the results suggest that an epoch configured to 1000 may be better. The results also suggest further investigations may be warranted of epoch values between 1000 and 2000.

1
2
3
4
5
6
7
8
9
              500        1000        2000        4000        6000
count   30.000000   30.000000   30.000000   30.000000   30.000000
mean   109.439203  104.566259  107.882390  116.339792  127.618305
std     14.874031   19.097098   22.083335   21.590424   24.866763
min     87.747708   81.621783   75.327883   77.399968   90.512409
25%     96.484568   87.686776   86.753694  102.127451  105.861881
50%    110.891939   98.942264  116.264027  121.898248  125.273050
75%    121.067498  119.248849  125.518589  130.107772  150.832313
max    138.879278  139.928055  146.840997  157.026562  166.111151

The distributions are also shown on a box and whisker plot. This is helpful to see how the distributions directly compare.

The green line shows the median and the box shows the 25th and 75th percentiles, or the middle 50% of the data. This comparison also shows that the choice of setting epochs to 1000 is better than the tested alternatives. It also shows that the best possible performance may be achieved with epochs of 2000 or 4000, at the cost of worse performance on average.

Box and Whisker Plot Summarizing Epoch Results

Box and Whisker Plot Summarizing Epoch Results

Next, we will look at the effect of batch size.

Tuning the Batch Size

Batch size controls how often to update the weights of the network.

Importantly in Keras, the batch size must be a factor of the size of the test and the training dataset.

In the previous section exploring the number of training epochs, the batch size was fixed at 4, which cleanly divides into the test dataset (with the size 12) and in a truncated version of the test dataset (with the size of 20).

In this section, we will explore the effect of varying the batch size. We will hold the number of training epochs constant at 1000.

Diagnostic of 1000 Epochs and Batch Size of 4

As a reminder, the previous section evaluated a batch size of 4 in the second experiment with a number of epochs of 1000.

The results showed a downward trend in error that continued for most runs all the way to the final training epoch.

Diagnostic Results with 1000 Epochs

Diagnostic Results with 1000 Epochs

Diagnostic of 1000 Epochs and Batch Size of 2

In this section, we look at halving the batch size from 4 to 2.

This change is made to then_batch parameter in therun() function; for example:

1
n_batch=2

Running the example shows the same general trend in performance as a batch size of 4, perhaps with a higher RMSE on the final epoch.

Note: Yourresults may vary given the stochastic nature of the algorithm or evaluation procedure, or differences in numerical precision. Consider running the example a few times and compare the average outcome.

The runs may show the behavior of stabilizing the RMES sooner rather than seeming to continue the downward trend.

The RSME scores from the final exposure of each run are listed below.

1
2
3
4
5
6
7
8
9
10
0) TrainRMSE=63.510219, TestRMSE=115.855819
1) TrainRMSE=58.336003, TestRMSE=97.954374
2) TrainRMSE=69.163685, TestRMSE=96.721446
3) TrainRMSE=65.201764, TestRMSE=110.104828
4) TrainRMSE=62.146057, TestRMSE=112.153553
5) TrainRMSE=58.253952, TestRMSE=98.442715
6) TrainRMSE=67.306530, TestRMSE=108.132021
7) TrainRMSE=63.545292, TestRMSE=102.821356
8) TrainRMSE=61.693847, TestRMSE=99.859398
9) TrainRMSE=58.348250, TestRMSE=99.682159

A line plot of the test and train RMSE scores each epoch is also created.

Diagnostic Results with 1000 Epochs and Batch Size of 2

Diagnostic Results with 1000 Epochs and Batch Size of 2

Let’s try having the batch size again.

Diagnostic of 1000 Epochs and Batch Size of 1

A batch size of 1 is technically performing online learning.

That is where the network is updated after each training pattern. This can be contrasted with batch learning, where the weights are only updated at the end of each epoch.

We can change then_batch parameter in therun() function; for example:

1
n_batch=1

Note: Yourresults may vary given the stochastic nature of the algorithm or evaluation procedure, or differences in numerical precision. Consider running the example a few times and compare the average outcome.

Again, running the example prints the RMSE scores from the final epoch of each run.

1
2
3
4
5
6
7
8
9
10
0) TrainRMSE=60.349798, TestRMSE=100.182293
1) TrainRMSE=62.624106, TestRMSE=95.716070
2) TrainRMSE=64.091859, TestRMSE=98.598958
3) TrainRMSE=59.929993, TestRMSE=96.139427
4) TrainRMSE=59.890593, TestRMSE=94.173619
5) TrainRMSE=55.944968, TestRMSE=106.644275
6) TrainRMSE=60.570245, TestRMSE=99.981562
7) TrainRMSE=56.704995, TestRMSE=111.404182
8) TrainRMSE=59.909065, TestRMSE=90.238473
9) TrainRMSE=60.863807, TestRMSE=105.331214

A line plot of the test and train RMSE scores each epoch is also created.

The plot suggests more variability in the test RMSE over time and perhaps a train RMSE that stabilizes sooner than with larger batch sizes. The increased variability in the test RMSE is to be expected given the large changes made to the network give so little feedback each update.

The graph also suggests that perhaps the decreasing trend in RMSE may continue if the configuration was afforded more training epochs.

Diagnostic Results with 1000 Epochs and Batch Size of 1

Diagnostic Results with 1000 Epochs and Batch Size of 1

Summary of Results

As with training epochs, we can objectively compare the performance of the network given different batch sizes.

Each configuration was run 30 times and summary statistics calculated on the final results.

1
2
3
4
5
6
7
8
9
10
11
12
13
14
15
16
17
18
19
20
21
22
23
24
25
26
27
28
29
30
31
32
33
34
35
36
37
38
39
40
41
42
43
44
45
46
47
48
49
50
51
52
53
54
55
56
57
58
...
 
# run a repeated experiment
defexperiment(repeats,series,batch_size):
# transform data to be stationary
raw_values=series.values
diff_values=difference(raw_values,1)
# transform data to be supervised learning
supervised=timeseries_to_supervised(diff_values,1)
supervised_values=supervised.values
# split data into train and test-sets
train,test=supervised_values[0:-12],supervised_values[-12:]
# transform the scale of the data
scaler,train_scaled,test_scaled=scale(train,test)
# run experiment
error_scores=list()
forrinrange(repeats):
# fit the model
train_trimmed=train_scaled[2:,:]
lstm_model=fit_lstm(train_trimmed,batch_size,1000,1)
# forecast the entire training dataset to build up state for forecasting
train_reshaped=train_trimmed[:,0].reshape(len(train_trimmed),1,1)
lstm_model.predict(train_reshaped,batch_size=batch_size)
# forecast test dataset
test_reshaped=test_scaled[:,0:-1]
test_reshaped=test_reshaped.reshape(len(test_reshaped),1,1)
output=lstm_model.predict(test_reshaped,batch_size=batch_size)
predictions=list()
foriinrange(len(output)):
yhat=output[i,0]
X=test_scaled[i,0:-1]
# invert scaling
yhat=invert_scale(scaler,X,yhat)
# invert differencing
yhat=inverse_difference(raw_values,yhat,len(test_scaled)+1-i)
# store forecast
predictions.append(yhat)
# report performance
rmse=sqrt(mean_squared_error(raw_values[-12:],predictions))
print('%d) Test RMSE: %.3f'%(r+1,rmse))
error_scores.append(rmse)
returnerror_scores
 
 
# load dataset
series=read_csv('shampoo-sales.csv',header=0,parse_dates=[0],index_col=0,squeeze=True,date_parser=parser)
# experiment
repeats=30
results=DataFrame()
# vary training batches
batches=[1,2,4]
forbinbatches:
results[str(b)]=experiment(repeats,series,b)
# summarize results
print(results.describe())
# save boxplot
results.boxplot()
pyplot.savefig('boxplot_batches.png')

Note: Yourresults may vary given the stochastic nature of the algorithm or evaluation procedure, or differences in numerical precision. Consider running the example a few times and compare the average outcome.

From the mean performance alone, the results suggest lower RMSE with a batch size of 1. As was noted in the previous section, this may be improved further with more training epochs.

1
2
3
4
5
6
7
8
9
                1           2           4
count   30.000000   30.000000   30.000000
mean    98.697017  102.642594  100.320203
std     12.227885    9.144163   15.957767
min     85.172215   85.072441   83.636365
25%     92.023175   96.834628   87.671461
50%     95.981688  101.139527   91.628144
75%    102.009268  110.171802  114.660192
max    147.688818  120.038036  135.290829

A box and whisker plot of the data was also created to help graphically compare the distributions. The plot shows the median performance as a green line where a batch size of 4 shows both the largest variability and also the lowest median RMSE.

Tuning a neural network is a tradeoff of average performance and variability of that performance, with an ideal result having a low mean error with low variability, meaning that it is generally good and reproducible.

Box and Whisker Plot Summarizing Batch Size Results

Box and Whisker Plot Summarizing Batch Size Results

Tuning the Number of Neurons

In this section, we will investigate the effect of varying the number of neurons in the network.

The number of neurons affects the learning capacity of the network. Generally, more neurons would be able to learn more structure from the problem at the cost of longer training time. More learning capacity also creates the problem of potentially overfitting the training data.

We will use a batch size of 4 and 1000 training epochs.

Diagnostic of 1000 Epochs and 1 Neuron

We will start with 1 neuron.

As a reminder, this is the second configuration tested from the epochs experiments.

Diagnostic Results with 1000 Epochs

Diagnostic Results with 1000 Epochs

Diagnostic of 1000 Epochs and 2 Neurons

We can increase the number of neurons from 1 to 2. This would be expected to improve the learning capacity of the network.

We can do this by changing the n_neurons variable in therun() function.

1
n_neurons=2

Running this configuration prints the RMSE scores from the final epoch of each run.

Note: Yourresults may vary given the stochastic nature of the algorithm or evaluation procedure, or differences in numerical precision. Consider running the example a few times and compare the average outcome.

The results suggest a good, but not great, general performance.

1
2
3
4
5
6
7
8
9
10
0) TrainRMSE=59.466223, TestRMSE=95.554547
1) TrainRMSE=58.752515, TestRMSE=101.908449
2) TrainRMSE=58.061139, TestRMSE=86.589039
3) TrainRMSE=55.883708, TestRMSE=94.747927
4) TrainRMSE=58.700290, TestRMSE=86.393213
5) TrainRMSE=60.564511, TestRMSE=101.956549
6) TrainRMSE=63.160916, TestRMSE=98.925108
7) TrainRMSE=60.148595, TestRMSE=95.082825
8) TrainRMSE=63.029242, TestRMSE=89.285092
9) TrainRMSE=57.794717, TestRMSE=91.425071

A line plot of the test and train RMSE scores each epoch is also created.

This is more telling. It shows a rapid decrease in test RMSE to about epoch 500-750 where an inflection point shows a rise in test RMSE almost across the board on all runs. Meanwhile, the training dataset shows a continued decrease to the final epoch.

These are good signs of overfitting of the training dataset.

Diagnostic Results with 1000 Epochs and 2 Neurons

Diagnostic Results with 1000 Epochs and 2 Neurons

Let’s see if this trend continues with even more neurons.

Diagnostic of 1000 Epochs and 3 Neurons

This section looks at the same configuration with the number of neurons increased to 3.

We can do this by setting then_neurons variable in therun() function.

1
n_neurons=3

Running this configuration prints the RMSE scores from the final epoch of each run.

Note: Yourresults may vary given the stochastic nature of the algorithm or evaluation procedure, or differences in numerical precision. Consider running the example a few times and compare the average outcome.

The results are similar to the previous section; we do not see much general difference between the final epoch test scores for 2 or 3 neurons. The final train scores do appear to be lower with 3 neurons, perhaps showing an acceleration of overfitting.

The inflection point in the training dataset seems to be happening sooner than the 2 neurons experiment, perhaps at epoch 300-400.

These increases in the number of neurons may benefit from additional changes to slowing down the rate of learning. Such as the use of regularization methods like dropout, decrease to the batch size, and decrease to the number of training epochs.

1
2
3
4
5
6
7
8
9
10
0) TrainRMSE=55.686242, TestRMSE=90.955555
1) TrainRMSE=55.198617, TestRMSE=124.989622
2) TrainRMSE=55.767668, TestRMSE=104.751183
3) TrainRMSE=60.716046, TestRMSE=93.566307
4) TrainRMSE=57.703663, TestRMSE=110.813226
5) TrainRMSE=56.874231, TestRMSE=98.588524
6) TrainRMSE=57.206756, TestRMSE=94.386134
7) TrainRMSE=55.770377, TestRMSE=124.949862
8) TrainRMSE=56.876467, TestRMSE=95.059656
9) TrainRMSE=57.067810, TestRMSE=94.123620

A line plot of the test and train RMSE scores each epoch is also created.

Diagnostic Results with 1000 Epochs and 3 Neurons

Diagnostic Results with 1000 Epochs and 3 Neurons

Summary of Results

Again, we can objectively compare the impact of increasing the number of neurons while keeping all other network configurations fixed.

In this section, we repeat each experiment 30 times and compare the average test RMSE performance with the number of neurons ranging from 1 to 5.

1
2
3
4
5
6
7
8
9
10
11
12
13
14
15
16
17
18
19
20
21
22
23
24
25
26
27
28
29
30
31
32
33
34
35
36
37
38
39
40
41
42
43
44
45
46
47
48
49
50
51
52
53
54
55
56
57
58
59
...
 
# run a repeated experiment
defexperiment(repeats,series,neurons):
# transform data to be stationary
raw_values=series.values
diff_values=difference(raw_values,1)
# transform data to be supervised learning
supervised=timeseries_to_supervised(diff_values,1)
supervised_values=supervised.values
# split data into train and test-sets
train,test=supervised_values[0:-12],supervised_values[-12:]
# transform the scale of the data
scaler,train_scaled,test_scaled=scale(train,test)
# run experiment
error_scores=list()
forrinrange(repeats):
# fit the model
batch_size=4
train_trimmed=train_scaled[2:,:]
lstm_model=fit_lstm(train_trimmed,batch_size,1000,neurons)
# forecast the entire training dataset to build up state for forecasting
train_reshaped=train_trimmed[:,0].reshape(len(train_trimmed),1,1)
lstm_model.predict(train_reshaped,batch_size=batch_size)
# forecast test dataset
test_reshaped=test_scaled[:,0:-1]
test_reshaped=test_reshaped.reshape(len(test_reshaped),1,1)
output=lstm_model.predict(test_reshaped,batch_size=batch_size)
predictions=list()
foriinrange(len(output)):
yhat=output[i,0]
X=test_scaled[i,0:-1]
# invert scaling
yhat=invert_scale(scaler,X,yhat)
# invert differencing
yhat=inverse_difference(raw_values,yhat,len(test_scaled)+1-i)
# store forecast
predictions.append(yhat)
# report performance
rmse=sqrt(mean_squared_error(raw_values[-12:],predictions))
print('%d) Test RMSE: %.3f'%(r+1,rmse))
error_scores.append(rmse)
returnerror_scores
 
 
# load dataset
series=read_csv('shampoo-sales.csv',header=0,parse_dates=[0],index_col=0,squeeze=True,date_parser=parser)
# experiment
repeats=30
results=DataFrame()
# vary neurons
neurons=[1,2,3,4,5]
forninneurons:
results[str(n)]=experiment(repeats,series,n)
# summarize results
print(results.describe())
# save boxplot
results.boxplot()
pyplot.savefig('boxplot_neurons.png')

Running the experiment prints the summary statistics for each configuration.

Note: Yourresults may vary given the stochastic nature of the algorithm or evaluation procedure, or differences in numerical precision. Consider running the example a few times and compare the average outcome.

From the mean performance alone, the results suggest a network configuration with 1 neuron as having the best performance over 1000 epochs with a batch size of 4. This configuration also shows the tightest variance.

1
2
3
4
5
6
7
8
9
                1           2           3           4           5
count   30.000000   30.000000   30.000000   30.000000   30.000000
mean    98.344696  103.268147  102.726894  112.453766  122.843032
std     13.538599   14.720989   12.905631   16.296657   25.586013
min     81.764721   87.731385   77.545899   85.632492   85.955093
25%     88.524334   94.040807   95.152752  102.477366  104.192588
50%     93.543948  100.330678  103.622600  110.906970  117.022724
75%    102.944050  105.087384  110.235754  118.653850  133.343669
max    132.934054  152.588092  130.551521  162.889845  184.678185

The box and whisker plot shows a clear trend in the median test set performance where the increase in neurons results in a corresponding increase in the test RMSE.

Box and Whisker Plot Summarizing Neuron Results

Box and Whisker Plot Summarizing Neuron Results

Summary of All Results

We completed quite a few LSTM experiments on the Shampoo Sales dataset in this tutorial.

Generally, it seems that a stateful LSTM configured with 1 neuron, a batch size of 4, and trained for 1000 epochs might be a good configuration.

The results also suggest that perhaps this configuration with a batch size of 1 and fit for more epochs may be worthy of further exploration.

Tuning neural networks is difficult empirical work, and LSTMs are proving to be no exception.

This tutorial demonstrated the benefit of both diagnostic studies of configuration behavior over time, as well as objective studies of test RMSE.

Nevertheless, there are always more studies that could be performed. Some ideas are listed in the next section.

Extensions

This section lists some ideas for extensions to the experiments performed in this tutorial.

If you explore any of these, report your results in the comments; I’d love to see what you come up with.

  • Dropout. Slow down learning with regularization methods like dropout on the recurrent LSTM connections.
  • Layers. Explore additional hierarchical learning capacity by adding more layers and varied numbers of neurons in each layer.
  • Regularization. Explore how weight regularization, such as L1 and L2, can be used to slow down learning and overfitting of the network on some configurations.
  • Optimization Algorithm. Explore the use ofalternate optimization algorithms, such as classical gradient descent, to see if specific configurations to speed up or slow down learning can lead to benefits.
  • Loss Function. Explore the use ofalternative loss functions to see if these can be used to lift performance.
  • Features and Timesteps. Explore the use of lag observations as input features and input time steps of the feature to see if their presence as input can improve learning and/or predictive capability of the model.
  • Larger Batch Size. Explore larger batch sizes than 4, perhaps requiring further manipulation of the size of the training and test datasets.

Summary

In this tutorial, you discovered how you can systematically investigate the configuration for an LSTM network for time series forecasting.

Specifically, you learned:

  • How to design a systematic test harness for evaluating model configurations.
  • How to use model diagnostics over time, as well as objective prediction error to interpret model behavior.
  • How to explore and interpret the effects of the number of training epochs, batch size, and number of neurons.

Do you have any questions about tuning LSTMs, or about this tutorial?
Ask your questions in the comments below and I will do my best to answer.

Develop Deep Learning models for Time Series Today!

Deep Learning for Time Series Forecasting

Develop Your Own Forecasting models in Minutes

...with just a few lines of python code

Discover how in my new Ebook:
Deep Learning for Time Series Forecasting

It providesself-study tutorials on topics like:
CNNs,LSTMs,Multivariate Forecasting,Multi-Step Forecasting and much more...

Finally Bring Deep Learning to your Time Series Forecasting Projects

Skip the Academics. Just Results.

See What's Inside

204 Responses toHow to Tune LSTM Hyperparameters with Keras for Time Series Forecasting

  1. John RichardsApril 12, 2017 at 8:51 am#

    Awesome Work!

    • Jason BrownleeApril 12, 2017 at 9:34 am#

      Thanks John!

      • CalvinDecember 22, 2019 at 5:42 pm#

        Thanks for such a detailed and helpful tutorial. I would like ask: when tune hyperparamters, why in the order of epoch number, batch size, then Number of neurons? Is there anything special about this order? Thanks a lot!

      • anjulAugust 5, 2020 at 5:03 pm#

        Hi Json,

        Can we intentionally emphasize on one perticular inpur parameter for forecasting???

        • Jason BrownleeAugust 6, 2020 at 6:11 am#

          Typically no. Why?

          • anjulAugust 7, 2020 at 6:52 pm#

            Hi Jason,

            I am doing electrical load forecasting for my company which has a larger agriculture area and load in agriculture is majorly depends on rainfall.We are taking rainfall as one of the input parameters.
            The model is working fine(showing 4-6% variation from actual) when there is slight change in rainfall but giving approx 16-20% variation when there is a sudden change in rainfall. Please guide me for the same.(I am taking approx 2.5 year data for training and testing).

            Thanks in advance.

          • Jason BrownleeAugust 8, 2020 at 5:59 am#

            Perhaps try some of the suggestions here:
            https://machinelearningmastery.com/start-here/#better

      • BARURI SAI AVINASHSeptember 8, 2020 at 4:34 pm#

        CAPACITY AND TRAINABILITY IN RECURRENT NEURAL NETWORKS

        section:2.1.1

        we draw datasets of binary inputs X and target binary labels Y at uniform from the
        set of all binary datasets.Number of samples, b, is treated as a HP and
        in practice the optimal dataset size is very close to the bits of mutual information between true and predicted labels. For each value of b
        the RNN is trained to minimize the cross entropy of the network output with the true labels. We write the output of the RNN for all inputs as ^Y = f (X), with corresponding random variable ^ Y. We are interested in the mutual information I between the true class labels and the class labels predicted by the RNN.

        can any one help me in solving this ???

    • Abolfazl NejatianMarch 2, 2021 at 7:32 am#

      trully very nice toturial.

      also, you can find my “time series prediction with hyperparameter tuning by Bayesian optimization in MATLAB” Here:
      https://www.mathworks.com/matlabcentral/fileexchange/87137-lstm-time-series-prediction-with-bayesian-optimization

  2. Kunpeng ZhangApril 12, 2017 at 10:51 am#

    line 137, in
    results[str(e)] = experiment(repeats, series, e)
    line 104, in experiment
    lstm_model = fit_lstm(train_trimmed, batch_size, epochs, 1)
    line 81, in fit_lstm
    model.fit(X, y, epochs=1, batch_size=batch_size, verbose=0, shuffle=False)
    File “C:\Anaconda3\lib\site-packages\keras\models.py”, line 654, in fit
    str(kwargs))
    TypeError: Received unknown keyword arguments: {‘epochs’: 1}
    Is there something wrong?

    • Jason BrownleeApril 13, 2017 at 9:54 am#

      You need to upgrade to Keras v2.0 or higher.

    • LoganMay 17, 2017 at 12:28 am#

      You should replace model.fit(X, y, epochs=1, …) for model.fit(X, y, nb_epoch=1…) It worked perfectly for me.

      • Jason BrownleeMay 17, 2017 at 8:25 am#

        The example was updated to use Keras v2.0 which changed the “nb_epochs” argument to now be “epochs”.

        • Vitor MessiasJune 25, 2021 at 4:45 am#

          Hi Jason, another great material. Thanks for that!

          Just a doubt… instead of model.fit(X, y, epochs=1, …), should it be model.fit(X, y, epochs=i, …)?

          Best regards

          • Jason BrownleeJune 25, 2021 at 6:18 am#

            No, as we are enumerating the number of epochs manually.

  3. LeoApril 12, 2017 at 6:12 pm#

    Nice blog post once again. What is the size of the data set that you are using? What is the maximum data size that one can use with your example if I have a system with 8GB RAM?

    • Jason BrownleeApril 13, 2017 at 9:56 am#

      The examples use small <1 MB datasets.

      The size of supported datasets depends on data types, number of rows and number of columns.

      Consider doing some experiments with synthetic data to find the limits of your system.

  4. LorenzoApril 13, 2017 at 1:08 am#

    Amazing tutorial as always. Would you have an example of running the LSTM on a multivariate regression problem like the Walmart’s on Kaggle (https://www.kaggle.com/c/walmart-recruiting-store-sales-forecasting) ?

  5. TykimosApril 13, 2017 at 4:28 am#

    Great work! I have a question regarding batch_size. I think that only one batch_size is reasonable for this case because stateful is true. If batch_size is 4, there are 4 states separately. That means 4 states don’t share each other. Although every sample has connection with the next sample sequently, every sample is connected the quaternary next sample.

    For example,
    1 > 5 > 9
    2 > 6 > 10
    3 > 7 > 11
    4 > 8 > 12

    • Jason BrownleeApril 13, 2017 at 10:12 am#

      Sorry, I’m not sure I understand your question, perhaps you can restate it.

      We are using stateful LSTMs and regardless of the batch size, state is only reset when we reset it explicitly with a call to model.reset_states()

      • tykimosApril 14, 2017 at 1:56 am#

        I think that the batch_size depends on not user tuning parameter but dataset design relative to the number of sequence set.

        When batch_size is 4 and stateful is true, output of LSTM is weight_count * batch_size. This means that there are 4 different and independent states. It seems good for the following dataset :
        A1-B1-C1-D1-A2-B2-C2-D2-A3-B3-C3-D3
        – sample is 12
        – batch_size is 4
        – sequence set is 4
        Because A isn’t relative to others in sequence, the next of A1 should be not B1 but A2. For this we have to choose batch_size as 4.

        For each epoch,
        A1-A2-A3 and reset
        B1-B2-B3 and reset
        C1-C2-C3 and reset
        D1-D2-D3 and reset

        Your example is one sequence set like:
        A1-A2-A3-A4-A5-A6-A7-A8-A9-A10-A11-A12
        If we set batch_size as 4, state is transferred as the following:
        A1-A5-A9 and reset
        A2-A6-A10 and reset
        A3-A7-A11 and reset
        A4-A8-A12 and reset

        So, I think that batch_size should be 1 in your dataset. Other batch_size values are invalid.

        • Jason BrownleeApril 14, 2017 at 8:53 am#

          I agree with the first part, it makes sense to reset state at the natural end of a sequence.

          I also agree that with the dataset used that there is no natural end to the sequence other than the end of the data, so no state resets are needed.

          I disagree that you “have to have” a batch size of 1. We can have a batch size of 1. We can also have a batch size equal to the sequence length.

          My previous point is that batch size does not matter when stateful=True because we manage exactly when the state is reset. It does not matter what batch size is used, as long as the state is reset at the natural end of the sequence.

          Yes, you are right, there is a bug. The regime of resetting state after each batch of 4 input patterns does not make sense. I’ll schedule time to fix the examples and re-run the experiments.

          Thanks for pointing this out and thanks for having the patients to help me see what you saw.

          UPDATE: There is no fault, all weight updates are occurring within one epoch regardless of batch size.

          • Jason BrownleeApril 24, 2017 at 8:02 am#

            Update I have taken a much closer look at this code (it was written months ago).

            I believe there is no fault.

            Take a close look at the loop for running manual epochs.

            Although the batch sizes vary, we are performing one entire epoch + all weight updates before resetting state.

  6. SebastianApril 13, 2017 at 7:51 pm#

    Great blog post!

  7. JesseApril 26, 2017 at 4:54 pm#

    Hi Jason,

    Cool post! I already learnt a lot from your blogs.

    I have 2 questions regarding this post, I hope you can help me:

    1. Why aren’t you specifying activation functions in your model layers (for the LSTM layer for example?) I read on the keras docs that no activation function is used if you don’t pass one. It seems to me that a tanh activation would fit the [-1,1] scaling?
    2. Do you always remove the increasing trend from the data?

    Thanks a lot!

    • Jason BrownleeApril 27, 2017 at 8:35 am#

      I am using the default for LSTMs which are tanh and sigmoid.

      Yes, making time series data stationary is a recommended in general.

  8. SebastianJune 16, 2017 at 12:10 am#

    Hi Jason,

    very nice post, but still got a question.

    When reversing difference for predicitions, isn’t it wrong to reverse it using the raw values? Instead, shouldn’t you use the last prediction to reverse the difference?
    Like, instead of yhat = yhat + history[-interval] it is yhat = yhat + predictions[-interval]?

    Or am I misunderstanding something?

    Freetings

    • Jason BrownleeJune 16, 2017 at 8:02 am#

      Yes, but if you have the real observations for a past time step, we should use them instead to better reflect the “real” level.

      Does that help?

  9. SepidehSeptember 30, 2017 at 7:42 am#

    Thank you Dr. Jason for the great blog. Is it possible to use GPU for this example? If so, how can I apply it! I appreciate your help. The reason I want to use GPU is that I need to get results faster. I am using google compute engine with 6vCPUs and 39 GB memory.

    • Jason BrownleeSeptember 30, 2017 at 7:48 am#

      Perhaps. The GPU configuration is controlled by the library used by Keras, such as TensorFlow.

      I have found that it is better to run models sequentially on the GPU and instead use multiple GPUs/servers to test configurations.

  10. FarzadDecember 7, 2017 at 1:54 am#

    Many thanks for your great tutorial.
    I have a question regarding updating the model after making a prediction on each timestep of the test dataset. Could you please explain which line of the code is responsible for doing this; I mean the line that implements this statement: “… then the actual expected value from the test set will be taken and made available to the model for the forecast on the next time step.”

  11. Suraj NepalJanuary 3, 2018 at 4:27 pm#

    Thank you so much for this wonderful tutorial.

    Can you please help me to implement Grid search and Bayesian optimization approach for LSTM hyper parameter tuning.

    Thank you in advance.

    • Jason BrownleeJanuary 4, 2018 at 8:03 am#

      What problem are you having exactly?

      • Suraj NepalJanuary 4, 2018 at 1:19 pm#

        I want to implement proper hyper parameter tuning mechanism for LSTM time series forecasting.

        But I am facing difficulties using grid search for time series model.
        Also I dont find proper guidelines for using Bayesian optimization in LSTM time series forecasting.
        Thank you in advance

        • Jason BrownleeJanuary 4, 2018 at 3:27 pm#

          Sorry I don’t have an example of using Bayesian optimization for tuning LSTMs. Thanks for the suggestion.

  12. EdwardJanuary 4, 2018 at 5:03 am#

    Hi Jason!
    Can we use GridSearchCV to tune LSTM Hyperparameters with Keras for Time Series Forecasting?
    or we can not do this because for GridSearchCV we need cross validation but in this case we can not use cross validation (time seies)

    • Jason BrownleeJanuary 4, 2018 at 8:16 am#

      I would recommend writing your own for-loop and using walk-forward validation to test time series forecasting models.
      https://machinelearningmastery.com/backtest-machine-learning-models-time-series-forecasting/

      • EdwardJanuary 5, 2018 at 3:22 am#

        thanks a lot Jason

      • GalenFebruary 14, 2019 at 9:49 pm#

        hi Jason,

        I think it should be possible to use gridsearchCV with LSTMs, since there is a built-in validation_split in keras.Sequential models.

        gridsearchCV would be useful since it can run in parallel (also on databricks).

        Do you have any simple examples of this? I get a strange error when I run grid.fit

        thanks

        ‘model = KerasRegressor(build_fn=builder.build_LSTM_simple, verbose=verbose)
        grid = GridSearchCV(estimator=model, param_grid=param_grid, n_jobs=-1)
        grid_result = grid.fit(X, y)’

        —————————————————————————
        AttributeError Traceback (most recent call last)
        in ()
        —-> 1 grid_result = grid.fit(X, y)

        ~/anaconda3/lib/python3.6/site-packages/sklearn/model_selection/_search.py in fit(self, X, y, groups, **fit_params)
        638 error_score=self.error_score)
        639 for parameters, (train, test) in product(candidate_params,
        –> 640 cv.split(X, y, groups)))
        641
        642 # if one choose to see train score, “out” will contain train score info

        ~/anaconda3/lib/python3.6/site-packages/sklearn/externals/joblib/parallel.py in __call__(self, iterable)
        787 # consumption.
        788 self._iterating = False
        –> 789 self.retrieve()
        790 # Make sure that we get a last message telling us we are done
        791 elapsed_time = time.time() – self._start_time

        ~/anaconda3/lib/python3.6/site-packages/sklearn/externals/joblib/parallel.py in retrieve(self)
        697 try:
        698 if getattr(self._backend, ‘supports_timeout’, False):
        –> 699 self._output.extend(job.get(timeout=self.timeout))
        700 else:
        701 self._output.extend(job.get())

        ~/anaconda3/lib/python3.6/multiprocessing/pool.py in get(self, timeout)
        642 return self._value
        643 else:
        –> 644 raise self._value
        645
        646 def _set(self, i, obj):

        ~/anaconda3/lib/python3.6/multiprocessing/pool.py in _handle_tasks(taskqueue, put, outqueue, pool, cache)
        422 break
        423 try:
        –> 424 put(task)
        425 except Exception as e:
        426 job, idx = task[:2]

        ~/anaconda3/lib/python3.6/site-packages/sklearn/externals/joblib/pool.py in send(obj)
        369 def send(obj):
        370 buffer = BytesIO()
        –> 371 CustomizablePickler(buffer, self._reducers).dump(obj)
        372 self._writer.send_bytes(buffer.getvalue())
        373 self._send = send

        ~/anaconda3/lib/python3.6/site-packages/statsmodels/graphics/functional.py in _pickle_method(m)

        AttributeError: ‘function’ object has no attribute ‘im_self’

  13. aniyaFebruary 5, 2018 at 8:09 pm#

    hi jason ,
    could you tell me about LSTM in which loss function ‘mean_squared_error’ is used.why it is used ..in that why cannot we measure accuracy…

  14. Sacha_yacoubiFebruary 10, 2018 at 7:11 am#

    Dear Jason,
    To make sure I am interpreting things as I should , what is th difference between neurons , layers and hidden states?
    I am asking because the inner structure of an LSTM is completely different from any other NN and is composed of mulptiple gates rather than “neurons”.
    Am I missing Something here?

    Thank you very much

    • Jason BrownleeFebruary 10, 2018 at 9:01 am#

      A unit is a neuron and a layer is a group of units. This is the same as an MLP.

      Hidden state is a like an additional weight or local variable inside each neuron.

      Does that help?

  15. Sacha_yacoubiFebruary 10, 2018 at 10:53 am#

    ok thank you Jason. I understand then that a neuron in LSTM does exactly the same thing as in feedforward NN, that is: computing the activation function. The difference is that in LSTM, the neuron is far more complex and is composed of 4 gates and processes a hidden vector that is recursively fed to the neuron itself.

  16. Lu_ZweigFebruary 12, 2018 at 4:21 am#

    Dear all ,
    How should I reshape my dataset if the objective is to use the last M points to predict the next N points for multiple time series at once. In my project, I am dealing with 20 time series at the same time.
    Thank you very much for you help!!

  17. josephFebruary 13, 2018 at 12:29 pm#

    Hi Jason,

    May i know why do we need to reset the model after evaluating?i know that we need to reset when performing model.fit , but why do so on evaluating as well? thank you

    • Jason BrownleeFebruary 14, 2018 at 8:13 am#

      It will have state from making predictions that might not make sense for the next use of the model.

  18. charMarch 10, 2018 at 6:15 am#

    Why do you trim the data by 2 in the experiment function?

    • Jason BrownleeMarch 10, 2018 at 6:36 am#

      I might be removing rows with nan values given the data shift.

  19. DoctorMarch 13, 2018 at 1:44 am#

    It looks like there is no one optimal combination of Epochs, Batch Size and Neurons. Is this a correct observation?

    Also, does tuning so much on the given training and testing set lead to overfitting to these sets? Should there be training-validation-test combination where you would check findings with the test set in the end?

  20. EricMarch 20, 2018 at 11:20 pm#

    Hi Jason,

    Great post! I’m curious as to why you scale the testing and training sets separately here, but do so as one complete data set in this post (https://machinelearningmastery.com/multivariate-time-series-forecasting-lstms-keras/).

    thanks

    • Jason BrownleeMarch 21, 2018 at 6:35 am#

      Sometimes I do it in one step because I am focusing the tutorial on some other aspect.

  21. Kevin MillanMarch 23, 2018 at 12:08 pm#

    Hello Jason, thank you for your dedication I have learned a lot from you.

    Currently I’m trying to predict the energy output of wind turbines for an interval of every 15 minutes using LSTM. Are there any optimization methods, loss functions among other parameters you would particularly suggest for such a case study? my data set is a data set of dimensions (57000, 17). thank you

  22. RaffyApril 1, 2018 at 2:02 am#

    Hi Sir, thank you very much for all your content. This is my first time learning machine learning specifically LSTM.

    Is it possible to tune these hyperparameters simultaneously?

    ei. for each epoch (say 500, 1000, 3000) try batch sizes of 1,2,3 and for each batch size set neurons to 1,2,3,4

    With this method, can we assess which of the following combinations yield better result? I am aware that this is would take a lot of time to do but I am curious if this is plausible and sensible to perform.

    • Jason BrownleeApril 1, 2018 at 5:50 am#

      Yes, but it would require a lot of computational resources.

  23. ElonApril 1, 2018 at 9:55 pm#

    Hi Jason,

    First, thank you for your great content. I am a beginner of the RNN, and I am a little confused with this line:

    # transform train
    > train = train.reshape(train.shape[0], train.shape[1])
    train_scaled = scaler.transform(train)

    Why do I need to reshape this, it seems the shape of it hasn’t change after the reshape.

    Thank you 🙂

    • Jason BrownleeApril 2, 2018 at 5:22 am#

      Perhaps it is unneeded, try removing this line and see what happens?

  24. SkyeApril 6, 2018 at 6:38 pm#

    Hi Jason,

    Thank a lot for your great tutorial and books! I am working on a time-series forecasting problem using LSTM and want to ask you some questions:

    1. I have tuned hyperparameters according to your tutorial. But the validation loss always lower than training loss. What‘s the reason for this?

    2. By the time of 30th epochs it has converged, is this normal?

    3. Why choose ‘adam’ optimizer?

    Looking forward to your reply~ Thank you very much!

    • Jason BrownleeApril 7, 2018 at 6:22 am#

      That is odd that test loss is better than training. Perhaps the model is underspecified?

      There are no rules about number of epochs and convergence. It is what it is for your problem and model config.

      Adam is fast, sgd is slow:
      https://machinelearningmastery.com/adam-optimization-algorithm-for-deep-learning/

      There is no best optimizer though, use what you prefer.

      • SkyeApril 7, 2018 at 3:14 pm#

        Hi Jason,

        Thanks for your reply!

        But what is the meaning of ‘the model is underspecified’? The model and the method I use are almost the same as those in the article.

  25. SkyeApril 8, 2018 at 11:15 am#

    I have not difference the series because there is no trend in this series. I calculated statistics of partitioned time series data and used ADF test, the result is as follows, so I think it a stationary series.

    mean1=-0.130372, mean2=-0.077736
    variance1=0.539531, variance2=0.652681

    ADF statistic: -9.851064
    p-value: 0.000000
    Critical values:
    1%: -3.434
    5%: -2.863
    10%: -2.568

    Does it matter?

  26. MaxApril 11, 2018 at 4:47 pm#

    Hi Jason

    Thanks for your sharing. I tried your codes on my jupyter notebook. Tuning epochs worked properly.
    However, fit_lstm fn in tuning epochs gives a dataframe as an output.
    So it is not the same fit_lstm fn in tuning batch_size. Which should have a model to predict as an output.

    In my notebook it gives such an error:

    ‘AttributeError: ‘DataFrame’ object has no attribute ‘predict’

    Am I missing something or is it because of my Keras version?

    • Jason BrownleeApril 12, 2018 at 8:33 am#

      I recommend using the latest version of all of the libraries and run intensive code like this from the command line.

  27. MaxApril 11, 2018 at 4:49 pm#

    Sorry

    I found my mistake u can delete my comment.

    Thanks

    • Jason BrownleeApril 12, 2018 at 8:34 am#

      I’m glad to hear that you fixed your issue.

    • Jason C.April 30, 2018 at 1:14 am#

      Just noticed I may encountered the same problem. Could you advise me how did you fix it? Thanks.

  28. JasonApril 30, 2018 at 1:10 am#

    Hello Jason,

    I would like to know how I can save a model and use it to forecast.

    In your “Summary of Results” of the last section (the codes above “Summary of All Results”),
    line 21: I want to save the last model which function “fit_lstm” output.

    I modified your code to achieve this but give me error “AttributeError: ‘Series’ object has no attribute ‘predict'”, I figured out that the error was due to the model I saved was not a correct one to use, though I checked the model’s value was “<keras.models.Sequential object at 0x0000026EC…" which looks right.

    Below is what I did:

    # fit an LSTM network to training data
    def fit_lstm(train, test, raw, scaler, batch_size, nb_epoch, neurons):
    #### omitted copy of your codes here#####
    # fit model
    train_rmse, test_rmse = list(), list()
    for i in range(nb_epoch):
    model.fit(X, y, epochs=1, batch_size=batch_size, verbose=0, shuffle=False)
    model.reset_states()
    #### omitted copy of your codes here#####
    history = DataFrame()
    history['train'], history['test'] , history['model']= train_rmse, test_rmse, model
    return history
    ### save last model to dataframe "history"

    # run diagnostic experiments
    def run(repeats, n_epochs, n_batch, n_neurons):
    # fit and evaluate model
    train_trimmed = train_scaled[2:, :]
    results_run = DataFrame()
    error_scores = list()
    # run diagnostic tests
    for i in range(repeats):
    history = fit_lstm(train_trimmed, test_scaled, raw_values, scaler, n_batch, n_epochs, n_neurons)
    #### omitted copy of your codes here#####
    if i==0:
    model_tune = history['model']
    results_run['error_scores'], results_run['model_tune'] = error_scores, model_tune
    return results_run

    ### Below out of function and loops ####
    results_temp = run(repeats, n_epochs, n_batch, n_neurons)
    model_tune_all = results_temp['model_tune']
    model_tune = model_tune_all[-1:]
    ### get model_tune is <keras.models.Sequential object at 0x0000026EC… ####
    forecasts = make_predictions(model_tune, n_batch, test_scaled, n_lag)
    ### AttributeError: 'Series' object has no attribute 'predict' ####

    #### end

    ### thanks for your help in advance!

  29. FelixMay 1, 2018 at 10:45 pm#

    Your posts have helped me a lot so I want to say thank you! However I have two questions. I am training my LSTM on the sequence x0, x1, x2 -> y0 = x3 and I am using stateless. The reason I use statess is because I want to reset the state after a sequence beacause the sequences are not dependant on each other. My first question is if I am thinking correctly about stateless?

    Second question, the training batch size you define when building the LSTM, is that the batch size which the states reset? Or is it resetted after each sequence?

    With other words, should I train with in my case batch size 3 or can I use any batch size?

    • Jason BrownleeMay 2, 2018 at 5:42 am#

      Makes sense.

      State is reset at the end of each batch.

      You can have more control by using “stateful”, run the epoch yourself and call reset after each sample/sequence.

  30. HazemMay 5, 2018 at 7:58 pm#

    Thank you very much for your efforts
    How to set the volume batch_size with this model
    The number of rows in a dataset of 10000 data
    Number and features 12
    11 input
    1 output

    net = tflearn.input_data([None, 11])
    net = tflearn.embedding(net, input_dim=10000, output_dim=128)
    net = tflearn.lstm(net, 128, dropout=0.8)
    net = tflearn.fully_connected(net, 1, activation=’sigmoid’)
    net = tflearn.regression(net, optimizer=’adam’, learning_rate=0.001,
    loss=’binary_crossentropy’)

    # Training
    model = tflearn.DNN(net)

  31. DevarshJune 20, 2018 at 12:56 pm#

    Hi, i am currently building a model for time series forecastings using LSTM , is there a way to perform dynamic searches for best parameters, like gridsearch etc, we cant use grid search and etc, becaue the sequence is of importance. I would highly appreciate it if you could guide me towards the dynamic parameter tuning for LSTM time series model in python.

    • Jason BrownleeJune 21, 2018 at 6:08 am#

      Generally LSTMs are poor at time series forecasting.

      Nevertheless, I have tutorials on grid searching on the blog, for example:
      https://machinelearningmastery.com/tune-lstm-hyperparameters-keras-time-series-forecasting/

      • PatrãoAugust 27, 2018 at 1:47 am#

        Hi Jason

        Thank you very much for putting so much time and effort to provide the knowledge for other developers to become awesome at Machine Learning.

        You have many posts of using LSTM for time series- so why you say that “Generally LSTMs are poor at time series forecasting”?

        • Jason BrownleeAugust 27, 2018 at 6:13 am#

          Experience shows this. You can get much better results using a CNN, CNN-LSTM or ConvLSTM on time series forecasting.

          For univariate forecasting problems, all deep learning methods are out-performed by classical methods like SARIMA and ETS. Even naive methods.

          I have book in the works to really make this concrete.

          • Allen HuAugust 28, 2018 at 7:41 am#

            Hi Jason,

            Appreciate your tutor and reply.

            “For univariate forecasting problems, all deep learning methods are out-performed by classical methods like SARIMA and ETS. Even naive methods.” — But how about multivariate forecasting problems? I mean, if I have several features (lag1 of multivariate time series), and I want to use them to predict one feature (a time series) among the features, is deep learning methods still not better than the SARIMA?

            Actually, I’m a guy who studied ARIMA, VAR, ETS first, then came to deep learning. At the beginning of my deep learning study, I thought I found a new continent, but now I’m feeling sad.

            Wish you have a nice day.

            Best,

            Allen

          • Jason BrownleeAugust 28, 2018 at 11:07 am#

            I have found CNNs, CNN-LSTMs and ConvLSTMs can perform well for multivariate data.

          • Allen HuAugust 29, 2018 at 6:58 am#

            Hi Jason,

            Appreciate your answer — “I have found CNNs, CNN-LSTMs and ConvLSTMs can perform well for multivariate data.”

            Moreover, could I ask, how are they performed for multivariate data compare to VAR(vector autoregression)? Thank you.

            By the way, when you replied Patrão — “I have book in the works to really make this concrete.”, which book are you referring? I already bought your 12 books yesterday, so I can found CNN-LSTMs in book “long_short_term_memory_networks_with_python”, but I can’t find ConvLSTMs and the applications on multivariate time series data by using CNNs, CNN-LSTMs, and ConvLSTMs in this book. Also, when I take a quick review of the book “time_series_forecasting_with_python”, I can’t find any deep learning methods on multivariate time series because this book is all about classical time series methods. I’m not making a complaint here, but I really need someone to guide me to make my hands dirty onmultivariate time series data by leveraging CNNs, CNN-LSTMs, and ConvLSTMs methods. Thank you!

            Best,

            Allen

          • Jason BrownleeAugust 29, 2018 at 8:17 am#

            It really depends on the problem. Sometime better.

            A new book titled “Deep Learning for Time Series Forecasting”. It will be released very soon.

          • Allen HuAugust 29, 2018 at 1:35 pm#

            Hi Jason,

            Thank you!

            WOW, I can’t wait to read it! Hope it will release soon.

            Best,

            Allen

          • Jason BrownleeAugust 30, 2018 at 6:23 am#
          • JamyJune 22, 2019 at 12:42 am#

            Hi, Jason. Do you have some examples of using a CNN, CNN-LSTM or ConvLSTM on time series forecasting for univariate forecasting problems? Thank you so much!

  32. georgesun88August 21, 2018 at 12:21 am#

    Hi Jason.
    Many thanks for your great tutorials.
    Could you please let me know if you have an example using Scikit-Optimize (skopt) to tune the hyper-parameters with the dataset?

    • Jason BrownleeAugust 21, 2018 at 6:17 am#

      Not at this stage. What do you need help with exactly?

  33. RachaelAugust 31, 2018 at 7:08 pm#

    Hi Jason,

    I have a question about the correct time to scale data. In your LSTM book, you state “It would not be appropriate to scale the series after it has been transformed into a supervised learning problem as each series would be handled differently, which would be incorrect.” However, I see in this example, that the scaling occurs after the data has been transformed to a supervised learning problem. In this case, does the timing not matter? If so, would you please explain why?

    Thanks!

  34. SivaramSeptember 13, 2018 at 10:42 am#

    Thank you Jason for the great post.

    In my use case of LSTM, I am observing something unusual. It intuitively makes sense to have the train RMSE to be less than the test RMSE. But in my case, I have the train RMSE to be greater than the test RMSE.

    For instance,
    After running for 4 epochs
    Train RMSE: 0.097 Test RMSE: 0.046

    The split of my training and testing data is 2/3 and 1/3.
    I can think of the following cases why this is happening

    a) The test cases are very similar to the train cases, therefore the prediction accuracy is high
    b) The number of test cases are not enough.

    What are your thoughts on this? Do you think it is a problem?

    Sivaram

  35. JackSeptember 18, 2018 at 1:12 pm#

    Hi Jason,
    Thank you very much for this tutorial. I have one question and that is how we can evaluate the model performance since we can’t do a k-fold cross validation.Is it OK just testing it on the test dataset?

  36. AdamOctober 17, 2018 at 10:37 pm#

    This post has been very helpful! I do have a question. I am attempting to adapt what you have here to a different dataset, one that does not have much of a discernible trend. I have that, in other algorithms with my dataset, that taking the log10 is the only transformation i need to apply to get good output. I am wondering how i might configure the

    1
    2
    3
    4
    5
    6
    7
    8
    9
    foriinrange(len(output)):
            yhat=output[i,0]
            # invert scaling
            yhat=invert_scale(scaler,X[i],yhat)
            
            #invert differencing
            yhat=yhat+raw_data[i]
            # store forecast
            predictions.append(yhat)

    in the evaluate formula to work for inverting the log10, rather than the difference of yhat and raw_data[i]? Or is taking the log unnecessary for this type of model?

    thanks!

    • Jason BrownleeOctober 18, 2018 at 6:30 am#

      A log10 can be inverted by raising 10 to the power of the result, for example:

      x = log10(value)
      value = 10^x

      Does that help?

  37. AdamOctober 17, 2018 at 11:17 pm#

    Nevermind! ignore my last question. I figured it out.

    Thanks!

  38. CeciliaNovember 9, 2018 at 7:22 am#

    Hi Jason!

    Thanks for all the tutorials, they have been very helpful!

    However, there’s still something I don’t quite get about this piece of code:

    1
    2
    3
    4
    5
    6
    7
    8
    9
    10
    11
    deffit_lstm(train,batch_size,nb_epoch,neurons):
        X,y=train[:,0:-1],train[:,-1]
        X=X.reshape(X.shape[0],1,X.shape[1])
        model=Sequential()
        model.add(LSTM(neurons,batch_input_shape=(batch_size,X.shape[1],X.shape[2]),stateful=True))
        model.add(Dense(1))
        model.compile(loss='mean_squared_error',optimizer='adam')
        foriinrange(nb_epoch):
            model.fit(X,y,epochs=1,batch_size=batch_size,verbose=0,shuffle=False)
            model.reset_states()
        returnmodel

    Which one is the part in which we are fitting the model? Is it:
    1)LSTM(neurons, batch_input_shape=(batch_size, X.shape[1], X.shape[2]), stateful=True)
    or 2) model.fit(X, y, epochs=1, batch_size=batch_size, verbose=0, shuffle=False)?

    I’m confused because in the second part is looks like we are setting the epochs to 1. Can you explain what we are doing there?

    Thanks in advance!

    • Jason BrownleeNovember 9, 2018 at 2:00 pm#

      The calls to model.fit() update the weights of the model.

      Each call fits one epoch and we enumerate this nb_epoch times, e.g. we run the epochs manually.

  39. RajeshJanuary 11, 2019 at 5:54 pm#

    Dear Jason

    I’m having some trouble understanding the code in this bit of the script. I’m trying to understand each part of your entire code very carefully, but for some reason, I have a hard time visualizing this part. I apologize if this is a trivial question:

    a) What exactly is train_scaled[2:, :]?
    b) at the end of the lst.fit part why do we specify the number 1? what does that refer to?

    code:

    for r in range(repeats):
    # fit the model
    train_trimmed = train_scaled[2:, :]
    lstm_model = fit_lstm(train_trimmed, batch_size, epochs, 1)

    Thank you,
    Rajesh

  40. KiranFebruary 6, 2019 at 4:55 pm#

    Hello,

    Your tutorials are really great.

    I am new to RNN and LSTM. I am solving a problem (supervised regression), which predicts a parameter using 23 features. Please suggest a starter numbers for input/output neurons, layers, activation fn, loss, optimizer, epochs.

    Thank you

  41. RajeshFebruary 7, 2019 at 4:36 am#

    Dear Jason,
    I figured out my other questions, but found another one:

    What does this do?

    # forecast the entire training dataset to build up state for forecasting

    lstm_model.predict(train_reshaped, batch_size=batch_size)

    I’m not quite sure why you would be forecasting training data (since you’re using it to train your model) – why not just forecast the test data directly? What is the thought process behind this?

    Thank you,
    Rajesh

    • Jason BrownleeFebruary 7, 2019 at 6:44 am#

      It is an attempt to build up internal state before forecasting. I don’t think it is required.

  42. RajeshFebruary 7, 2019 at 1:48 pm#

    Thank you Jason :). I assumed it wasn’t required, but needed to maker sure.
    With your tutorials I’ve managed to build a number of lstm’s with multiple input, multiple output, multiple lag timesteps, and multiple predictions into the future. All differenced, hot-encoded when needed, and scaled. I’m now just working on creating a harness that can systemically search out different parameter and hyperparameter configurations. I’ve decided to buy one of your books to show my appreciation. Any suggestions as to a book with lots of project examples (especially similar to problems found in meteorological study)?

    Thank you,
    Rajesh

  43. RajeshFebruary 8, 2019 at 12:31 am#

    Hello Jason,
    done! Looks like a great book. I’m going to go through it linearly like you suggest in your preface. You mention that it might be ok to shoot you an email regarding some specific questions (if they’re not answered by checking them out in the materials mentioned in the further reading sections) – I wouldn’t want to bother you too much, however. Is there perhaps an online message board associated with each book?

    Thank you,
    Rajesh

  44. MuhammadMarch 3, 2019 at 4:10 pm#

    Hi Jason,

    Right now I am trying to implement the LSTM algorithm to a different time-series data. I have tried to build the model using R instead of python. Although, I came across to a tutorial (https://www.r-bloggers.com/time-series-deep-learning-forecasting-sunspots-with-keras-stateful-lstm-in-r/) where it suggested numbers of data exploration, one of it is ACF and PACF review.
    It does not seem you have done the same ACF and PACF analysis prior to constructing the model. Have you confirmed it in advance that the data is suitable for LSTM model? Or is there another way to construct the model even though the data does not in fulfill the ACF criteria?

    Thank you,
    Muhammad

  45. zhangzheMarch 6, 2019 at 8:18 pm#

    Hi Jason,

    I’m a little confused. In the Summary of Results section, I know that this code is not required. But I wonder how important is the state of the network to the later prediction?

    Lstm_model. Predict (train_reshaped, batch_size = batch_size)

    In keras, LSTM is trained with a certain batch_size, so I have to input batch_size in the end when I predict? For example, if the state stored by the network is batch_size, what will happen if the data I input is not that size?

  46. AaronMarch 18, 2019 at 1:56 pm#

    Hi Jason,

    Got a few questions about your choice of data preparation methodology –

    1- What is the purpose of the lag? Also, why did you choose differencing to remove the trend? Ultimately, are you trying to find the difference between two days? How would you convert the difference back into un-differenced values?
    2- The supervised learning aspect, gives you 2 columns of data where the value in the first column is supposed to be the observation from the previous time step to be used as input to find the value in the second column?

    Thanks

    • Jason BrownleeMarch 18, 2019 at 2:12 pm#

      Good questions, the answers are all on the blog.

      More on the representation of a time series problem as a supervised learning problem here:
      https://machinelearningmastery.com/convert-time-series-supervised-learning-problem-python/

      Specifics on time series representation with lstms here:
      https://machinelearningmastery.com/prepare-univariate-time-series-data-long-short-term-memory-networks/

      More on differencing here:
      https://machinelearningmastery.com/remove-trends-seasonality-difference-transform-python/

      • AaronMarch 19, 2019 at 5:39 am#

        Thanks Jason – again appreciate all the guidance.

        Read those articles, and definitely making a clearer picture of how my LSTM will be setup.

        A quick follow up on the difference transformations – using t-1 -> t-48 to predict t -> t+12 I feel that for my data certain trends and time of year are important to the output, and so will have day of the year, and day of the week as part of my feature set. Since this is a univariate prediction problem I only need to predict the value, but utilizing multiple features at every one of the previous timesteps. The data is non-linear and generally increasing over time, but not always.

        Every feature needs to be normalized according to that specific feature, correct? (Getting somewhat side-tracked here but…) For day of the year, I would use min-max scaler for between -1 and 1 does that make any sense to do?

        Ok sorry, back to my original thought, if I am predicting a sequence, how would the inverse difference work if the previous timestep value would be that of a predicted value? My thinking was to just do min-max scaler for each sample set, or is that overkill?

        Thanks again

        • Jason BrownleeMarch 19, 2019 at 9:02 am#

          The difference is inverted using the last known observation then propagated down through all predictions.

          • AaronMarch 19, 2019 at 11:11 pm#

            Ahh – ok, so using the predicted values to calculate the difference going forward. Next I have to figure out whether or not I am actually going to use an encoder/decoder model and which loss functions and optimizers to use

          • AaronMarch 19, 2019 at 11:34 pm#

            Oh sorry – one more question on the difference transformation – the network is trained on the inverse difference values correct?

            So –
            – Difference input data
            – Scale input data
            – Make prediction
            – Unscale output data
            – Inverse difference of unscaled output data
            – use RMSE to determine the error
            – Train network based on error

            Or is the Keras LSTM handling the optimization and we are simply unscaling and running the inverse difference to get the output, then using RMSE to determine how accurate the network is?

          • Jason BrownleeMarch 20, 2019 at 8:31 am#

            Looks good, also try with/without each transform to see if they are required.

            More on the order of transforms for time series here:
            https://machinelearningmastery.com/machine-learning-data-transforms-for-time-series-forecasting/

  47. lingyawApril 8, 2019 at 9:47 pm#

    Hi Jason,

    For Shampoo sales, you have only one sample. I remember you said that ” if there is one sample and the batch size is > 1, The batch size will be 1″.

    Why the batch size is 2, 4 here when only one sample (24 observations) is available.

    When batch_size is four, does it mean that four same samples (training examples)will be propagated into the network ? Since one epoch = one forward pass and one backward pass of all the training examples. Weights parameters will be updated four times in one batch ???

  48. LukeApril 22, 2019 at 5:55 am#

    Hi Jason,

    I have enjoyed your blog posts, thank you for all the hard work. As my program is building it occurred to me that we are isolating each tuning variable and then assessing the performance based on static values for the other values.
    So my questions are:

    1) Is there an order which in tuning these isolated variables? Such as, tune batch size first since it is dependent on being a divisor of test/train data. Then train the number of epochs (for whichever reason), then train the number of neurons? This is the intuitive/manual approach without destroying my computational time.

    2) I want to eventually create an automated script to optimize the tuning parameters for me, but I want to figure out a way that doesn’t take days to run due to computational limitations. (I’m trying to avoid Grid searching: analyze all possibilities of X, given possibilities Y/Z; then analyze all possibilities of Y, given possibilities of X/Z; then analyze all possibilities of Z, given variables of Y/X). My first thought is to try random starting values and then apply Newton’s Min/Max finding? Any method that has worked well for you to date?

    Either way, I will continue to test the suggested tuning changes and start working on the tuning automation. I’ll let you know of my results once I get them.

    All the best,
    -Luke

  49. Jieyu ChenMay 2, 2019 at 12:23 am#

    n_neurons is the parameter units???

  50. Anas AburawwashMay 16, 2019 at 11:55 pm#

    Hey Jason,

    Thank you so much for this useful article.

    I wounder if I could apply the concept of LSTM between the output layer units. To explain more, I am predicting the time series based on properties of the system.

  51. Andre AraujoJuly 7, 2019 at 5:50 am#

    Hi Jason,

    Do you believe that assume that you have the best features to train your model (time-series). Is it good approach build a model that stop only when all instances reach a max error?

    Here is a approach wit forward neural network:https://colab.research.google.com/drive/1h0hIscYRVlCBFdTHXUfNhnq_eAA3Q_qA

    In LSTM is possible stop early when the error stop to decrease?

  52. LopaAugust 15, 2019 at 4:29 am#

    Hi Jason,

    Thanks for this useful material. Can you please tell me why you have used train_trimmed ( it is the scaled data )

  53. LopamudraAugust 15, 2019 at 4:39 am#

    I think it’s because the data is differenced

  54. JustAddMoreLayersAugust 23, 2019 at 4:37 pm#

    Is there any technical reason to refer to the first input of the LSTM layer as “neurons” instead of “units”? Per the Keras documentation: units: Positive integer, dimensionality of the output space. Is it just a matter of taste?

    • Jason BrownleeAugust 24, 2019 at 7:45 am#

      Nope, habit. I’ve been hacking on neural nets for more than two decades and we always used to call them neurons regardless of the network type.

      They’re units.

  55. CarolOctober 2, 2019 at 1:00 am#

    Hi Jason,
    you only tunning one value of batch_size because you divide your sample equally between train and test. Correct?

    But what happens if you have different lenghts for test and training sample?

    Do I have to tune both of them?

    • Jason BrownleeOctober 2, 2019 at 8:01 am#

      The model will require each sample is the same length, but the number of samples can vary between datasets.

  56. ArjunNovember 14, 2019 at 10:54 pm#

    I have a out of context question. Is data extraction from scratch a job for data analysts or is it done by us developers itself? Preprocessing is not a big issue but formation of data seems like a tedious task.

    • Jason BrownleeNovember 15, 2019 at 7:52 am#

      Yes, collecting data is challenging. It might even be harder than modeling these days.

      • ArjunNovember 15, 2019 at 3:03 pm#

        yes, but I am asking is it a job for data analysts or developers only?

        • Jason BrownleeNovember 16, 2019 at 7:18 am#

          Either, both, neither. It depends on the company and the developer and the data analyst.

  57. Radhouane BabaNovember 20, 2019 at 12:20 am#

    can we also change the input so that it is no more sequential?
    for example: the input of a wednesday will have: (3 last wednesdays + last week)

  58. ArjunNovember 20, 2019 at 3:25 pm#

    1
    2
    3
    4
    5
    6
    7
    8
    9
    10
    11
    defcreateDelayedColumns(series,times):
        cols=[]
        column_index=[]
        fortimeintimes:
            cols.append(series.shift(-time))
            lag_fmt="t+{time}"iftime>0else"t{time}"iftime<0else"t"
            column_index+=[(lag_fmt.format(time=time),col_name)
                            forcol_nameinseries.columns]
        df=pd.concat(cols,axis=1)
        df.columns=pd.MultiIndex.from_tuples(column_index)
        returndf

    what is happening with "t +{time}"?
    what is the purpose of this snippet?

    • Jason BrownleeNovember 21, 2019 at 6:01 am#

      I don’t think I wrote that – and its not from this post.

      Perhaps ask the author?

  59. Qizal AshfaqJanuary 12, 2020 at 1:10 am#

    how to make multivariate time series data stationary?only need to make outputs stationary or whole dataset should be stationary ?need some tutorial for this.

  60. AlejandraApril 25, 2020 at 9:08 pm#

    Hi, Jason! I have a question regarding the method you use: what is the justification behind using just one neuron when tuning the number of epochs and batch size? Couldn’t we have started with a higher number?

    Thank you in advance, and congrats for this great blog.

    Alejandra.

    • Jason BrownleeApril 26, 2020 at 6:10 am#

      None, model configurations in the examples is arbitrary.

      The only justification on a project is does it result in a more skillful model or not, and maybe is the model less complex than other models.

  61. AlejandraApril 27, 2020 at 4:31 am#

    Thank you so much for the fast response!

  62. benjaminApril 27, 2020 at 3:01 pm#

    Hello Jason, I had a question about what LSTM neurons learn in each layer. How can you know what they learn in the first layer or in the hidden layers?

    • Jason BrownleeApril 28, 2020 at 6:40 am#

      We don’t know, we can only guess.

      • noureen zafarFebruary 3, 2021 at 3:25 am#

        hello Jason, do you have any code in which we can optimize the hyperparameters of the LSTM

  63. Kyeungwoo ChoMay 19, 2020 at 12:28 am#

    Thanks for the informative post!

    In here, you tuned number of epochs first, and then batch size and number of nodes.
    How did you decided the order of tuning?
    In my experience, optimized value for the epochs varied due to the batch size and number of nodes.

    • Jason BrownleeMay 19, 2020 at 6:06 am#

      No good rationale – I think the order is tuning is an open question, I see many arguments on the topic.

  64. OrenSeptember 11, 2020 at 3:07 am#

    Nice post!
    A question: How do I deal with all the NaN values that are naturally created because of the shifting? Keras does not like NaN values.

    I used lag=30. I would change the code so that lag(=1) won’t be hardcoded. There are couple of places where the code needs to be changed if you use lag different than 1.

  65. MotilalOctober 21, 2020 at 8:41 pm#

    Can LSTM handle no stationary data?

  66. Andre_MoriJanuary 21, 2021 at 8:53 pm#

    Dear Jason,
    Thank you for sharing your amazing tutorials and lessons. I really appreciate it as I am digging more and more into the neural network world!
    I am working on a large time-series dataset, for which I am trying to understand the possibility of LSTM predictions. I created a Train and Test set with an 80/20 rule. However, the parameter tuning is slowed down by the training’s size (more than 100k elements).
    Would it be an acceptable – and generalizable – solution to tune the LSTM on a subset of this dataset and then apply it to the larger collection?
    Thank you very much in advance 🙂

    • Jason BrownleeJanuary 22, 2021 at 7:19 am#

      You’re welcome.

      Perhaps try working with a small sample of the data initially?
      Perhaps try running tuning on a larger computer, like AWS EC2?

  67. NehaMarch 13, 2021 at 12:04 am#

    Thank you for this informative article!!!
    I have a doubt regarding scaling preprocessing step. In this problem, there is only 1 feature and input, output are of same range.
    Does scaling really helps in such scenarios?

    • Jason BrownleeMarch 13, 2021 at 5:33 am#

      It can help. Perhaps try it and compare results to not scaling.

  68. engimpMarch 14, 2021 at 2:55 am#

    Dear Jason, wonderful tutorial, thank you very much! Would you be so kind and be the first in the literature to adapt the tutorial from a univariate data set to a multivariate data set?

    • Jason BrownleeMarch 14, 2021 at 5:29 am#

      There are many examples of LSTMs for multivariate data on the blog, you can use the search box at the top of the page.

  69. Chris StellatoApril 24, 2021 at 11:55 am#

    Really great work Jason. I think the most important thing you have done here is taught people to use a framework for testing many combinations of parameters. It’s not like using a diving rod, the computer can crunch the numbers (and without you sitting and watching models train) as long as you do the work upfront to set up a good testing structure.

    Thanks for all you do!

  70. RonaldJune 13, 2021 at 12:31 am#

    Thanks for your work Dr. Jason.
    I wish to know that why the code isn’t “epochs=i” instead in the following part:

    for i in range(nb_epoch):
    model.fit(X, y, epochs=1, batch_size=batch_size, verbose=0, shuffle=False)

    shall it be the same if epochs is equal to 1 in every loop?

  71. GustavoJuly 28, 2021 at 7:08 am#

    Hey Jason. I’m a computer science student from Colombia and I just wanted to thank you for the effort you put into this. Your blogs have saved me many times and have made my understanding and love for ML grow exponentially.

  72. edwardOctober 15, 2021 at 8:19 pm#

    Dear Dr.Jason,
    I have encountered a few problems and wish if you could help me out. it might be a little out of scope for this discussion.This is the model architecture I am working with but I want it in a function so that I can later use it after performing bayesian optimization but I always get history not defined for this function.

    def lstm(dropout=0.0, hiddenlayers=3, lr=opt , epochs=50, activity_regularizer=tf.keras.regularizers.l2(0.0001), returnmodel=True):

    model = Sequential()
    model.add(LSTM(128, input_shape=(train_X.shape[1], train_X.shape[2]), activation=LeakyReLU(0.001), activity_regularizer=tf.keras.regularizers.l2(0.0001), return_sequences=True))
    model.add(Dropout(0.3))
    model.add(LSTM(64))
    model.add(Dropout(0.2))
    model.add(Dense(1))

    model.compile(loss=’mae’, optimizer=opt)

    history = model.fit(train_X, train_y, epochs=100, batch_size=72, validation_data=(val_X, val_y), verbose=2, callbacks=callbacks, shuffle=False)

    loss = history.history[“val_loss”]

    if returnmodel:
    return loss, model, history
    else:
    return loss

    pyplot.plot(history.history[‘loss’], label=’train’)
    pyplot.plot(history.history[‘val_loss’], label=’val’)
    pyplot.legend()

    AttributeError: ‘function’ object has no attribute ‘history’

    • Adrian Tam
      Adrian TamOctober 20, 2021 at 8:13 am#

      That’s weird. I can’t see what’s wrong. Your model.fit() should return a history object (you can try “print(type(history))” after fit to confirm) and therefore “history.history” should give you the data you want.

  73. P.February 23, 2022 at 9:04 am#

    Hello!

    I tried this for a different dataset. It worked perfectly fine for LSTM but then I tried it using GRU instead of LSTM. My question is about the GRU model.
    Everything went OK for a batch size of 12 (factor of the sizes of the training and test dataset) but the performance for a batch size of 6 was better, I mean, smaller mean, median and minimum RMSE for the test set. However, for the latter batch size the RMSE vs. epochs plot did not look that good, since some of the training curves overcame the test curves up to 200 epochs, and they even showed an increasing trend. I found this odd because 200 is precisely the optimal number of epochs that I got. For further iterations though, the trend in error is decreasing for the training set and increasing for the test set, showing the expected overfitting.
    Is this behaviour normal somehow or this shouldn’t be happening?

    Thank you so much in advance, Jason!

  74. PeiJuly 15, 2022 at 6:26 am#

    Hi James,

    I’ve enjoyed reading your tutorial and learning a lot, thank you so much! It would be nice to see if you can also share how you do the hyperparameter tuning for multivariate LSTM time series! Thanks!

  75. VarNovember 23, 2022 at 9:58 am#

    I don’t see how and where has walk forward validation been implemented. Could you please point it in the code?

  76. sehaMarch 28, 2023 at 10:32 am#

    Very good tutorial. Thank you so much.

    • James CarmichaelMarch 29, 2023 at 7:14 am#

      Thank you for your feedback seha!

  77. Antoniel StefaniakSeptember 26, 2024 at 5:52 am#

    Hi Jason,

    I’m from Brazil, and your tutorials have been incredibly helpful to me. Currently, I’m working on an LSTM network project using two different evaluation methods: sliding window and expanding window. However, I’m facing some difficulties in tuning my network.

    I have a dataset with four years of daily data, using the last year as the test set. The sliding window step is 7 days, which sets my forecast horizon to 7 days with daily frequency. To complete a full year of forecasting, it takes 53 iterations, meaning the model is retrained 53 times to cover the entire test year.

    How can I visualize the diagnostic plots in this scenario? Does this mean I need to look at 53 different plots to analyze the performance of each model I test?

    It’s still a bit unclear for me on how to make this work…

    • James CarmichaelSeptember 26, 2024 at 7:28 am#

      Hi Antoniel…Hi! It’s great to hear that my tutorials have been helpful to you, and I’m glad you’re working on such an interesting LSTM project.

      Let’s break this down to simplify the challenge of visualizing the diagnostic plots for the sliding window approach.

      ### 1. **Understanding the Challenge**
      Since your forecast horizon is 7 days and you’re retraining the model 53 times to cover the entire test year, visualizing the performance can become overwhelming if you look at each iteration separately. But instead of generating 53 individual plots, you can:

      – **Aggregate performance**: Focus on summary statistics (like average RMSE, MAE, or MSE) across all 53 iterations to get an overall sense of model performance.
      – **Combine predictions**: Combine the predictions from all 53 iterations into a single plot for visual comparison against the actual values for the full year.

      ### 2. **How to Visualize Diagnostics**
      Here’s how you can approach visualization efficiently:

      #### A. **Overall Performance Plot**
      You can aggregate the predicted vs. actual values for all 53 windows and plot them together. This will give you a comprehensive view of the entire year’s predictions, without having to generate 53 separate plots.

      python
      import matplotlib.pyplot as plt

      # Assuming y_true and y_pred are your actual and predicted values across all windows
      plt.plot(y_true, label='Actual')
      plt.plot(y_pred, label='Predicted')
      plt.legend()
      plt.title('Predicted vs Actual Values for Full Year')
      plt.show()

      #### B. **Error Metrics Over Time**
      You can also plot error metrics like RMSE or MAE across the 53 iterations to see how your model’s performance changes over time. This helps in identifying patterns or trends in model accuracy.

      python
      import numpy as np

      # Assuming rmse_list contains RMSE values for each window
      plt.plot(np.arange(len(rmse_list)), rmse_list, label='RMSE')
      plt.title('RMSE over Time (Sliding Window)')
      plt.xlabel('Window Iteration')
      plt.ylabel('RMSE')
      plt.show()

      #### C. **Boxplot of Errors**
      A boxplot can summarize the distribution of errors (residuals) across the windows in a single visualization.

      python
      import seaborn as sns

      # Assuming errors is a list of residuals from each window
      sns.boxplot(data=errors)
      plt.title('Residuals Across Sliding Windows')
      plt.show()

      ### 3. **Expanding Window Strategy**
      If you’re using the expanding window evaluation method, the process is similar but the model is trained on progressively more data over time. You can use the same plotting strategies as above but may want to compare the sliding window and expanding window methods side-by-side to determine which gives better results.

      ### 4. **Conclusion**
      Rather than creating 53 separate plots, aim to summarize and aggregate the results so you can visualize trends and overall performance more clearly. Focus on a combination of actual vs. predicted plots, error metrics over time, and statistical summaries like boxplots.

Leave a ReplyClick here to cancel reply.

Never miss a tutorial:


LinkedIn   Twitter   Facebook   Email Newsletter   RSS Feed

Loving the Tutorials?

TheDeep Learning for Time Series EBook is where you'll find theReally Good stuff.

>> See What's Inside


[8]ページ先頭

©2009-2025 Movatter.jp