Making developers awesome at machine learning
Making developers awesome at machine learning
A Gentle Introduction to Taylor Series
Taylor series expansion is an awesome concept, not only the world of mathematics, but also in optimization theory, function approximation and machine learning. It is widely applied in numerical computations when estimates of a function’s values at different points are required.
In this tutorial, you will discover Taylor series and how to approximate the values of a function around different points using its Taylor series expansion.
After completing this tutorial, you will know:
Let’s get started.
This tutorial is divided into 3 parts; they are:
The following is a power series about the center x=a and constant coefficients c_0, c_1, etc.
It is an amazing fact that functions which are infinitely differentiable can generate a power series called the Taylor series. Suppose we have a function f(x) and f(x) has derivatives of all orders on a given interval, then the Taylor series generated by f(x) at x=a is given by:
The second line of the above expression gives the value of the kth coefficient.
If we set a=0, then we have an expansion called the Maclaurin series expansion of f(x).
Take my free 7-day email crash course now (with sample code).
Click to sign-up and also get a free PDF Ebook version of the course.
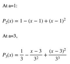
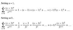
Taylor series generated by f(x) = 1/x can be found by first differentiating the function and finding a general expression for the kth derivative.
The Taylor series about various points can now be found. For example:
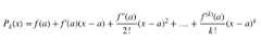
A Taylor polynomial of order k, generated by f(x) at x=a is given by:
For the example of f(x)=1/x, the Taylor polynomial of order 2 is given by:
We can approximate the value of a function at a point x=a using Taylor polynomials. The higher the order of the polynomial, the more the terms in the polynomial and the closer the approximation is to the actual value of the function at that point.
In the graph below, the function 1/x is plotted around the point x=1 (left) and x=3 (right). The line in green is the actual function f(x)= 1/x. The pink line represents the approximation via an order 2 polynomial.
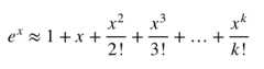
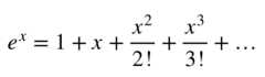
Let’s look at the function g(x) = e^x. Noting the fact that the kth order derivative of g(x) is also g(x), the expansion of g(x) about x=a, is given by:
Hence, around x=0, the series expansion of g(x) is given by (obtained by setting a=0):
The polynomial of order k generated for the function e^x around the point x=0 is given by:
The plots below show polynomials of different orders that estimate the value of e^x around x=0. We can see that as we move away from zero, we need more terms to approximate e^x more accurately. The green line representing the actual function is hiding behind the blue line of the approximating polynomial of order 7.
A popular method in machine learning for finding the optimal points of a function is the Newton’s method. Newton’s method uses the second order polynomials to approximate a function’s value at a point. Such methods that use second order derivatives are called second order optimization algorithms.
This section lists some ideas for extending the tutorial that you may wish to explore.
If you explore any of these extensions, I’d love to know. Post your findings in the comments below.
This section provides more resources on the topic if you are looking to go deeper.
In this tutorial, you discovered what is Taylor series expansion of a function about a point. Specifically, you learned:
Ask your questions in the comments below and I will do my best to answer

...by getting a better sense on the calculus symbols and terms
Discover how in my new Ebook:
Calculus for Machine Learning
It providesself-study tutorials withfull working code on:
differntiation,gradient,Lagrangian mutiplier approach,Jacobian matrix, and much more...
Wonderful explanation. Only now I could understand the concept of Taylor series.
explanation is in a way which is easy to understand for a beginner. Thanks.
Also, let us know about any of your posts/tutorials on approximating functions around certain values, with applications in Machine learning. ( with lot of examples )
Welcome!
I'mJason Brownlee PhD
and Ihelp developers get results withmachine learning.
Read more
TheCalculus For Machine Learning EBook is
where you'll find theReally Good stuff.