Uh oh!
There was an error while loading.Please reload this page.
- Notifications
You must be signed in to change notification settings - Fork108
Use graphviz with pure java
License
nidi3/graphviz-java
Folders and files
| Name | Name | Last commit message | Last commit date | |
|---|---|---|---|---|
Repository files navigation
Use graphviz with pure java. Create graphviz models using java code and convert them into nice graphics.
To execute the graphviz layout engine, one of these options is used:
- If the machine has graphviz installed and a
dotcommand is available, spawn a new process runningdot. - Use thisjavascript version of graphviz and execute it on the V8 javascript engine.This is done with the bundledJ2V8 library.
- Alternatively, the javascript can be executed on Java's own Nashorn or GraalVM engine (preferring Graal if both are available).
The method(s) to be used can be configured with theGraphviz.useEngine() method.
This project heavily uses classes fromjava.awt. Therefore,it does not work on android.
This project is available via Maven:
<dependency> <groupId>guru.nidi</groupId> <artifactId>graphviz-java</artifactId> <version>0.18.1</version></dependency>
graphviz-java contains all needed dependencies including one toJ2V8 for the current platform (Linux, Mac OS X, Windows).This should be ok for most use cases.
gradle does not support this way of defining a dependency. Gradle users have to manually add a dependency to J2V8,e.g.com.eclipsesource.j2v8:j2v8_linux_x86_64:4.6.0
Instead ofgraphviz-java there are two alternative dependencies that can be used:
graphviz-java-all-j2v8additionally contains dependencies toallJ2V8platforms.So the same application can run on Linux, Mac OS X and Windows.graphviz-java-min-depscontains only dependencies that are absolutely necessary.All other dependencies are marked asoptionaland must added manually. See thepom.xml for details.
Instead ofJ2V8, one can also use the JDK javascript engine Nashorn.If Nashorn is too slow or on JDK version 15 or newer (where Nashorn has been removed),the graaljavascript engine is a third option.It needs this additional dependency:
<dependency> <groupId>org.graalvm.js</groupId> <artifactId>js</artifactId> <version>20.0.0</version></dependency>
Graphviz-java uses theSLF4J facade to log.Users must therefore provide a logging implementation likeLOGBack
<dependency> <groupId>ch.qos.logback</groupId> <artifactId>logback-classic</artifactId> <version>1.2.3</version></dependency>
orLog4j
<dependency> <groupId>org.apache.logging.log4j</groupId> <artifactId>log4j-core</artifactId> <version>2.13.0</version></dependency><dependency> <groupId>org.apache.logging.log4j</groupId> <artifactId>log4j-slf4j-impl</artifactId> <version>2.13.0</version></dependency>
The API is separated into a mutable and immutable part.The basic usage is as follows (assumingimport static guru.nidi.graphviz.model.Factory.*).
Graphg =graph("example1").directed() .graphAttr().with(Rank.dir(LEFT_TO_RIGHT)) .nodeAttr().with(Font.name("arial")) .linkAttr().with("class","link-class") .with(node("a").with(Color.RED).link(node("b")),node("b").link(to(node("c")).with(attr("weight",5),Style.DASHED) ) );Graphviz.fromGraph(g).height(100).render(Format.PNG).toFile(newFile("example/ex1.png"));
- Global attributes are set using the
graphAttr,linkAttrandnodeAttrmethods. - Nodes are styled using the
withmethod. - To style edges, use the static method
towhich returns aLinkthat also has awithmethod. - The
withmethod accepts predefined attributes likeStyle,ArroworShapeas well as everything defined in theGraphviz referencee.g.with("weight", 5)or even arbitrary custom attributes. - Custom attribute classes can be defined by extending
SingleAttributesorMapAttributes.
Attention:Node a = node("a"); a.with(Color.RED); Is not working as it might be expected.All "mutating" methods likewith on nodes, links and graphs create new objects and leave the original object unchanged.So in the example above, variablea contains a node that is NOT red.If you want a red node, doa = a.with(Color.RED) or use the mutable API.
MutableGraphg =mutGraph("example1").setDirected(true).add(mutNode("a").add(Color.RED).addLink(mutNode("b")));Graphviz.fromGraph(g).width(200).render(Format.PNG).toFile(newFile("example/ex1m.png"));
The mutable API provides similar functions as the immutable one with slightly different syntax:
mutGraphinstead ofgraph,mutNodeinstead ofnode- use setters:
setDirectedinstead ofdirected addinstead ofwidth
There is a third possibility to use the API, based on the mutable version.Its form is closer to the way dot files are written.In the lambda of theMutableGraph.use method, all referenced nodes, links and graphs are automatically added to the parent graph,without explicitly calling theadd method.
MutableGraphg =mutGraph("example1").setDirected(true).use((gr,ctx) -> {mutNode("b");nodeAttrs().add(Color.RED);mutNode("a").addLink(mutNode("b"));});Graphviz.fromGraph(g).width(200).render(Format.PNG).toFile(newFile("example/ex1i.png"));
This corresponds to the followingdot file:
digraphexample1 { bnode[color=red] a-> b}
Kotlin DSL is still experimental. Things can change and any feedback is very welcome.
<dependency> <groupId>guru.nidi</groupId> <artifactId>graphviz-kotlin</artifactId> <version>0.18.1</version></dependency>
The kotlin DSL based on the imperative API. It defines that following elements:
edge,node,graphvariables to define global attributes.-,/,[]operators on MutableNode which link, define ports, set attributes.-,/,[]operators on String so that strings can be used directly to define nodes.-,[]operators on Link which allow to chain links and set attributes.
To enable the functions, useimport guru.nidi.graphviz.*
graph(directed=true) { edge["color" eq"red",Arrow.TEE] node[Color.GREEN] graph[Rank.dir(LEFT_TO_RIGHT)]"a"-"b"-"c" ("c"[Color.RED]-"d"[Color.BLUE])[Arrow.VEE]"d"/NORTH-"e"/SOUTH}.toGraphviz().render(PNG).toFile(File("example/ex1.png"))
Dot files can be parsed and thus manipulated. Given this filecolor.dot:
graph { { rank=same; white} { rank=same; cyan; yellow; pink} { rank=same; red; green; blue} { rank=same; black} white -- cyan -- blue white -- yellow -- green white -- pink -- red cyan -- green -- black yellow -- red -- black pink -- blue -- black}Then running this program:
try (InputStreamdot =getClass().getResourceAsStream("/color.dot")) {MutableGraphg =newParser().read(dot);Graphviz.fromGraph(g).width(700).render(Format.PNG).toFile(newFile("example/ex4-1.png"));g.graphAttrs() .add(Color.WHITE.gradient(Color.rgb("888888")).background().angle(90)) .nodeAttrs().add(Color.WHITE.fill()) .nodes().forEach(node ->node.add(Color.named(node.name().toString()),Style.lineWidth(4),Style.FILLED));Graphviz.fromGraph(g).width(700).render(Format.PNG).toFile(newFile("example/ex4-2.png"));}
results in this graphics:
Nodemain =node("main").with(Label.html("<b>main</b><br/>start"),Color.rgb("1020d0").font()),init =node(Label.markdown("**_init_**")),execute =node("execute"),compare =node("compare").with(Shape.RECTANGLE,Style.FILLED,Color.hsv(.7,.3,1.0)),mkString =node("mkString").with(Label.lines(LEFT,"make","a","multi-line")),printf =node("printf");Graphg =graph("example2").directed().with(main.link(to(node("parse").link(execute)).with(LinkAttr.weight(8)),to(init).with(Style.DOTTED),node("cleanup"),to(printf).with(Style.BOLD,Label.of("100 times"),Color.RED)),execute.link(graph().with(mkString,printf),to(compare).with(Color.RED)),init.link(mkString));Graphviz.fromGraph(g).width(900).render(Format.PNG).toFile(newFile("example/ex2.png"));
importstaticguru.nidi.graphviz.attribute.Records.*;importstaticguru.nidi.graphviz.model.Compass.*;
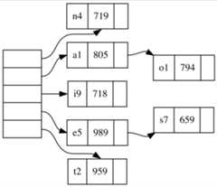
Nodenode0 =node("node0").with(Records.of(rec("f0",""),rec("f1",""),rec("f2",""),rec("f3",""),rec("f4",""))),node1 =node("node1").with(Records.of(turn(rec("n4"),rec("v","719"),rec("")))),node2 =node("node2").with(Records.of(turn(rec("a1"),rec("805"),rec("p","")))),node3 =node("node3").with(Records.of(turn(rec("i9"),rec("718"),rec("")))),node4 =node("node4").with(Records.of(turn(rec("e5"),rec("989"),rec("p","")))),node5 =node("node5").with(Records.of(turn(rec("t2"),rec("v","959"),rec("")))),node6 =node("node6").with(Records.of(turn(rec("o1"),rec("794"),rec("")))),node7 =node("node7").with(Records.of(turn(rec("s7"),rec("659"),rec(""))));Graphg =graph("example3").directed() .graphAttr().with(Rank.dir(LEFT_TO_RIGHT)) .with(node0.link(between(port("f0"),node1.port("v",SOUTH)),between(port("f1"),node2.port(WEST)),between(port("f2"),node3.port(WEST)),between(port("f3"),node4.port(WEST)),between(port("f4"),node5.port("v",NORTH))),node2.link(between(port("p"),node6.port(NORTH_WEST))),node4.link(between(port("p"),node7.port(SOUTH_WEST))));Graphviz.fromGraph(g).width(900).render(Format.PNG).toFile(newFile("example/ex3.png"));
Images can be included in graphviz in two ways.
One possibility is using the <img> tag inside a HTML label:
Graphviz.useEngine(newGraphvizCmdLineEngine());Graphvizg =Graphviz.fromGraph(graph() .with(node(Label.html("<table border='0'><tr><td><img src='graphviz.png' /></td></tr></table>"))));g.basedir(newFile("example")).render(Format.PNG).toFile(newFile("example/ex7.png"));
Because viz.jsdoes not support <img> tags,this works only when using the command line engine.
The other possibility is theimage attribute of a node:
Graphvizg =Graphviz.fromGraph(graph() .with(node(" ").with(Size.std().margin(.8,.7),Image.of("graphviz.png"))));g.basedir(newFile("example")).render(Format.PNG).toFile(newFile("example/ex8.png"));
This works with all engines.
In both cases, thebasedir() method can be used to define where relative paths are looked up.
The size of the resulting image, the rendering engine and the output format can be configured:
Graphviz.useEngine(newGraphvizCmdLineEngine());// Rasterizer.builtIn() works only with CmdLineEngineGraphg =graph("example5").directed().with(node("abc").link(node("xyz")));Graphvizviz =Graphviz.fromGraph(g);viz.width(200).render(Format.SVG).toFile(newFile("example/ex5.svg"));viz.width(200).rasterize(Rasterizer.BATIK).toFile(newFile("example/ex5b.png"));viz.width(200).rasterize(Rasterizer.SALAMANDER).toFile(newFile("example/ex5s.png"));viz.width(200).rasterize(Rasterizer.builtIn("pdf")).toFile(newFile("example/ex5p"));Stringdot =viz.render(Format.DOT).toString();Stringjson =viz.engine(Engine.NEATO).render(Format.JSON).toString();BufferedImageimage =viz.render(Format.PNG).toImage();
To rasterize with batik, provide this library on the classpath:
<dependency> <groupId>org.apache.xmlgraphics</groupId> <artifactId>batik-rasterizer</artifactId> <version>1.13</version></dependency>
Processors can be registered to further customize what goes in and out of the graphviz engine.
- Pre processors change the dot file that is fed into the graphviz engine.
- Post processor change the result of the graphviz engine (image, svg,...).
Graphgraph =graph().with(node("bad word").link("good word"));Graphvizg =Graphviz.fromGraph(graph) .preProcessor((source,options,processOptions) ->source.replace("bad word","unicorn")) .postProcessor((result,options,processOptions) ->result.mapString(svg ->SvgElementFinder.use(svg,finder -> {finder.findNode("unicorn").setAttribute("class","pink"); })));g.render(Format.PNG).toFile(newFile("example/ex9.png"));
To use graphviz inside javadoc comments, add this topom.xml:
<build> <plugins> <plugin> <artifactId>maven-javadoc-plugin</artifactId> <version>3.1.0</version> <configuration> <taglet>guru.nidi.graphviz.taglet.GraphvizTaglet</taglet> <tagletArtifact> <groupId>guru.nidi</groupId> <artifactId>graphviz-taglet</artifactId> <version>0.18.1</version> </tagletArtifact> </configuration> </plugin> </plugins></build>
To use this with JDK 9 or later, replacegraphviz-tagletwithgraphviz-taglet9.
The usage inside javadoc is then as follows:
/** * Support graphviz inside javadoc. * <p> * {@graphviz * graph test { a -- b } * } * </p> * So easy. */publicclassGraphvizTagletimplementsTaglet {}
To change the appearance of the graph into something more sketchy / hand drawn, theRoughifyer processor can be used.First, add the rough module to the dependencies:
<dependency> <groupId>guru.nidi</groupId> <artifactId>graphviz-rough</artifactId> <version>0.18.1</version></dependency>
Then, apply theRoughifyer to the graph:
finalGraphg =graph("ex1").directed().with(graph().cluster() .nodeAttr().with(Style.FILLED,Color.WHITE) .graphAttr().with(Style.FILLED,Color.LIGHTGREY,Label.of("process #1")) .with(node("a0").link(node("a1").link(node("a2")))),graph("x").cluster() .nodeAttr().with(Style.FILLED) .graphAttr().with(Color.BLUE,Label.of("process #2")) .with(node("b0").link(node("b1").link(node("b2")))),node("start").with(Shape.M_DIAMOND).link("a0","b0"),node("a0").with(Style.FILLED,Color.RED.gradient(Color.BLUE)).link("b1"),node("b1").link("a2"),node("a2").link("end"),node("b2").link("end"),node("end").with(Shape.M_SQUARE));Graphviz.fromGraph(g) .processor(newRoughifyer() .bowing(2) .curveStepCount(6) .roughness(1) .fillStyle(FillStyle.hachure().width(2).gap(5).angle(0)) .font("*serif","Comic Sans MS")) .render(Format.PNG) .toFile(newFile("example/ex1-rough.png"));
About
Use graphviz with pure java
Topics
Resources
License
Code of conduct
Uh oh!
There was an error while loading.Please reload this page.
Stars
Watchers
Forks
Sponsor this project
Uh oh!
There was an error while loading.Please reload this page.
Packages0
Uh oh!
There was an error while loading.Please reload this page.
Contributors11
Uh oh!
There was an error while loading.Please reload this page.














