Uh oh!
There was an error while loading.Please reload this page.
- Notifications
You must be signed in to change notification settings - Fork2.5k
lawlite19/MachineLearning_Python
Folders and files
| Name | Name | Last commit message | Last commit date | |
|---|---|---|---|---|
Repository files navigation
- 机器学习算法Python实现
一、线性回归
下面就是要求出theta,使代价最小,即代表我们拟合出来的方程距离真实值最近
前面有系数
2的原因是下面求梯度是对每个变量求偏导,2可以消去实现代码:
# 计算代价函数def computerCost(X,y,theta): m = len(y) J = 0 J = (np.transpose(X*theta-y))*(X*theta-y)/(2*m) #计算代价J return J- 注意这里的X是真实数据前加了一列1,因为有theta(0)
- 代价函数对
求偏导得到:
- 所以对theta的更新可以写为:
- 其中
为学习速率,控制梯度下降的速度,一般取0.01,0.03,0.1,0.3.....
- 为什么梯度下降可以逐步减小代价函数
- 假设函数
f(x) - 泰勒展开:
f(x+△x)=f(x)+f'(x)*△x+o(△x) - 令:
△x=-α*f'(x),即负梯度方向乘以一个很小的步长α - 将
△x代入泰勒展开式中:f(x+△x)=f(x)-α*[f'(x)]²+o(△x) - 可以看出,
α是取得很小的正数,[f'(x)]²也是正数,所以可以得出:f(x+△x)<=f(x) - 所以沿着负梯度放下,函数在减小,多维情况一样。
- 实现代码
# 梯度下降算法def gradientDescent(X,y,theta,alpha,num_iters): m = len(y) n = len(theta) temp = np.matrix(np.zeros((n,num_iters))) # 暂存每次迭代计算的theta,转化为矩阵形式 J_history = np.zeros((num_iters,1)) #记录每次迭代计算的代价值 for i in range(num_iters): # 遍历迭代次数 h = np.dot(X,theta) # 计算内积,matrix可以直接乘 temp[:,i] = theta - ((alpha/m)*(np.dot(np.transpose(X),h-y))) #梯度的计算 theta = temp[:,i] J_history[i] = computerCost(X,y,theta) #调用计算代价函数 print '.', return theta,J_history# 归一化featuredef featureNormaliza(X): X_norm = np.array(X) #将X转化为numpy数组对象,才可以进行矩阵的运算 #定义所需变量 mu = np.zeros((1,X.shape[1])) sigma = np.zeros((1,X.shape[1])) mu = np.mean(X_norm,0) # 求每一列的平均值(0指定为列,1代表行) sigma = np.std(X_norm,0) # 求每一列的标准差 for i in range(X.shape[1]): # 遍历列 X_norm[:,i] = (X_norm[:,i]-mu[i])/sigma[i] # 归一化 return X_norm,mu,sigma- 注意预测的时候也需要均值归一化数据
- 导入包
from sklearn import linear_modelfrom sklearn.preprocessing import StandardScaler #引入缩放的包- 归一化
# 归一化操作 scaler = StandardScaler() scaler.fit(X) x_train = scaler.transform(X) x_test = scaler.transform(np.array([1650,3]))- 线性模型拟合
# 线性模型拟合 model = linear_model.LinearRegression() model.fit(x_train, y)- 预测
#预测结果 result = model.predict(x_test)二、逻辑回归
可以看出,当趋于
1,y=1,与预测值一致,此时付出的代价cost趋于0,若趋于
0,y=1,此时的代价cost值非常大,我们最终的目的是最小化代价值
- 目的是为了防止过拟合
- 在代价函数中加上一项
- 注意j是重1开始的,因为theta(0)为一个常数项,X中最前面一列会加上1列1,所以乘积还是theta(0),feature没有关系,没有必要正则化
- 正则化后的代价:
# 代价函数def costFunction(initial_theta,X,y,inital_lambda): m = len(y) J = 0 h = sigmoid(np.dot(X,initial_theta)) # 计算h(z) theta1 = initial_theta.copy() # 因为正则化j=1从1开始,不包含0,所以复制一份,前theta(0)值为0 theta1[0] = 0 temp = np.dot(np.transpose(theta1),theta1) J = (-np.dot(np.transpose(y),np.log(h))-np.dot(np.transpose(1-y),np.log(1-h))+temp*inital_lambda/2)/m # 正则化的代价方程 return J- 正则化后的代价的梯度
# 计算梯度def gradient(initial_theta,X,y,inital_lambda): m = len(y) grad = np.zeros((initial_theta.shape[0])) h = sigmoid(np.dot(X,initial_theta))# 计算h(z) theta1 = initial_theta.copy() theta1[0] = 0 grad = np.dot(np.transpose(X),h-y)/m+inital_lambda/m*theta1 #正则化的梯度 return grad- 实现代码:
# S型函数 def sigmoid(z): h = np.zeros((len(z),1)) # 初始化,与z的长度一置 h = 1.0/(1.0+np.exp(-z)) return h# 映射为多项式 def mapFeature(X1,X2): degree = 3; # 映射的最高次方 out = np.ones((X1.shape[0],1)) # 映射后的结果数组(取代X) ''' 这里以degree=2为例,映射为1,x1,x2,x1^2,x1,x2,x2^2 ''' for i in np.arange(1,degree+1): for j in range(i+1): temp = X1**(i-j)*(X2**j) #矩阵直接乘相当于matlab中的点乘.* out = np.hstack((out, temp.reshape(-1,1))) return out- 梯度下降使用
scipy中optimize中的fmin_bfgs函数 - 调用scipy中的优化算法fmin_bfgs(拟牛顿法Broyden-Fletcher-Goldfarb-Shanno
- costFunction是自己实现的一个求代价的函数,
- initial_theta表示初始化的值,
- fprime指定costFunction的梯度
- args是其余测参数,以元组的形式传入,最后会将最小化costFunction的theta返回
result = optimize.fmin_bfgs(costFunction, initial_theta, fprime=gradient, args=(X,y,initial_lambda))- 导入包
from sklearn.linear_model import LogisticRegressionfrom sklearn.preprocessing import StandardScalerfrom sklearn.cross_validation import train_test_splitimport numpy as np- 划分训练集和测试集
# 划分为训练集和测试集 x_train,x_test,y_train,y_test = train_test_split(X,y,test_size=0.2)- 归一化
# 归一化 scaler = StandardScaler() x_train = scaler.fit_transform(x_train) x_test = scaler.fit_transform(x_test)- 逻辑回归
#逻辑回归 model = LogisticRegression() model.fit(x_train,y_train)- 预测
# 预测 predict = model.predict(x_test) right = sum(predict == y_test) predict = np.hstack((predict.reshape(-1,1),y_test.reshape(-1,1))) # 将预测值和真实值放在一块,好观察 print predict print ('测试集准确率:%f%%'%(right*100.0/predict.shape[0])) #计算在测试集上的准确度# 显示100个数字def display_data(imgData): sum = 0 ''' 显示100个数(若是一个一个绘制将会非常慢,可以将要画的数字整理好,放到一个矩阵中,显示这个矩阵即可) - 初始化一个二维数组 - 将每行的数据调整成图像的矩阵,放进二维数组 - 显示即可 ''' pad = 1 display_array = -np.ones((pad+10*(20+pad),pad+10*(20+pad))) for i in range(10): for j in range(10): display_array[pad+i*(20+pad):pad+i*(20+pad)+20,pad+j*(20+pad):pad+j*(20+pad)+20] = (imgData[sum,:].reshape(20,20,order="F")) # order=F指定以列优先,在matlab中是这样的,python中需要指定,默认以行 sum += 1 plt.imshow(display_array,cmap='gray') #显示灰度图像 plt.axis('off') plt.show()- 如何利用逻辑回归解决多分类的问题,OneVsAll就是把当前某一类看成一类,其他所有类别看作一类,这样有成了二分类的问题了
- 如下图,把途中的数据分成三类,先把红色的看成一类,把其他的看作另外一类,进行逻辑回归,然后把蓝色的看成一类,其他的再看成一类,以此类推...

- 可以看出大于2类的情况下,有多少类就要进行多少次的逻辑回归分类
- 共有0-9,10个数字,需要10次分类
- 由于数据集y给出的是
0,1,2...9的数字,而进行逻辑回归需要0/1的label标记,所以需要对y处理 - 说一下数据集,前
500个是0,500-1000是1,...,所以如下图,处理后的y,前500行的第一列是1,其余都是0,500-1000行第二列是1,其余都是0....
- 然后调用梯度下降算法求解
theta - 实现代码:
# 求每个分类的theta,最后返回所有的all_theta def oneVsAll(X,y,num_labels,Lambda): # 初始化变量 m,n = X.shape all_theta = np.zeros((n+1,num_labels)) # 每一列对应相应分类的theta,共10列 X = np.hstack((np.ones((m,1)),X)) # X前补上一列1的偏置bias class_y = np.zeros((m,num_labels)) # 数据的y对应0-9,需要映射为0/1的关系 initial_theta = np.zeros((n+1,1)) # 初始化一个分类的theta # 映射y for i in range(num_labels): class_y[:,i] = np.int32(y==i).reshape(1,-1) # 注意reshape(1,-1)才可以赋值 #np.savetxt("class_y.csv", class_y[0:600,:], delimiter=',') '''遍历每个分类,计算对应的theta值''' for i in range(num_labels): result = optimize.fmin_bfgs(costFunction, initial_theta, fprime=gradient, args=(X,class_y[:,i],Lambda)) # 调用梯度下降的优化方法 all_theta[:,i] = result.reshape(1,-1) # 放入all_theta中 all_theta = np.transpose(all_theta) return all_theta- 之前说过,预测的结果是一个概率值,利用学习出来的
theta代入预测的S型函数中,每行的最大值就是是某个数字的最大概率,所在的列号就是预测的数字的真实值,因为在分类时,所有为0的将y映射在第一列,为1的映射在第二列,依次类推 - 实现代码:
# 预测def predict_oneVsAll(all_theta,X): m = X.shape[0] num_labels = all_theta.shape[0] p = np.zeros((m,1)) X = np.hstack((np.ones((m,1)),X)) #在X最前面加一列1 h = sigmoid(np.dot(X,np.transpose(all_theta))) #预测 ''' 返回h中每一行最大值所在的列号 - np.max(h, axis=1)返回h中每一行的最大值(是某个数字的最大概率) - 最后where找到的最大概率所在的列号(列号即是对应的数字) ''' p = np.array(np.where(h[0,:] == np.max(h, axis=1)[0])) for i in np.arange(1, m): t = np.array(np.where(h[i,:] == np.max(h, axis=1)[i])) p = np.vstack((p,t)) return p- 1、导入包
from scipy import io as spioimport numpy as npfrom sklearn import svmfrom sklearn.linear_model import LogisticRegression- 2、加载数据
data = loadmat_data("data_digits.mat") X = data['X'] # 获取X数据,每一行对应一个数字20x20px y = data['y'] # 这里读取mat文件y的shape=(5000, 1) y = np.ravel(y) # 调用sklearn需要转化成一维的(5000,)- 3、拟合模型
model = LogisticRegression() model.fit(X, y) # 拟合- 4、预测
predict = model.predict(X) #预测 print u"预测准确度为:%f%%"%np.mean(np.float64(predict == y)*100)先介绍个三层的神经网络,如下图所示
所以可以得到:
# 代价函数def nnCostFunction(nn_params,input_layer_size,hidden_layer_size,num_labels,X,y,Lambda): length = nn_params.shape[0] # theta的中长度 # 还原theta1和theta2 Theta1 = nn_params[0:hidden_layer_size*(input_layer_size+1)].reshape(hidden_layer_size,input_layer_size+1) Theta2 = nn_params[hidden_layer_size*(input_layer_size+1):length].reshape(num_labels,hidden_layer_size+1) # np.savetxt("Theta1.csv",Theta1,delimiter=',') m = X.shape[0] class_y = np.zeros((m,num_labels)) # 数据的y对应0-9,需要映射为0/1的关系 # 映射y for i in range(num_labels): class_y[:,i] = np.int32(y==i).reshape(1,-1) # 注意reshape(1,-1)才可以赋值 '''去掉theta1和theta2的第一列,因为正则化时从1开始''' Theta1_colCount = Theta1.shape[1] Theta1_x = Theta1[:,1:Theta1_colCount] Theta2_colCount = Theta2.shape[1] Theta2_x = Theta2[:,1:Theta2_colCount] # 正则化向theta^2 term = np.dot(np.transpose(np.vstack((Theta1_x.reshape(-1,1),Theta2_x.reshape(-1,1)))),np.vstack((Theta1_x.reshape(-1,1),Theta2_x.reshape(-1,1)))) '''正向传播,每次需要补上一列1的偏置bias''' a1 = np.hstack((np.ones((m,1)),X)) z2 = np.dot(a1,np.transpose(Theta1)) a2 = sigmoid(z2) a2 = np.hstack((np.ones((m,1)),a2)) z3 = np.dot(a2,np.transpose(Theta2)) h = sigmoid(z3) '''代价''' J = -(np.dot(np.transpose(class_y.reshape(-1,1)),np.log(h.reshape(-1,1)))+np.dot(np.transpose(1-class_y.reshape(-1,1)),np.log(1-h.reshape(-1,1)))-Lambda*term/2)/m return np.ravel(J)上面正向传播可以计算得到
J(θ),使用梯度下降法还需要求它的梯度BP反向传播的目的就是求代价函数的梯度
反向传播计算梯度的过程为:
实现代码:
# 梯度def nnGradient(nn_params,input_layer_size,hidden_layer_size,num_labels,X,y,Lambda): length = nn_params.shape[0] Theta1 = nn_params[0:hidden_layer_size*(input_layer_size+1)].reshape(hidden_layer_size,input_layer_size+1).copy() # 这里使用copy函数,否则下面修改Theta的值,nn_params也会一起修改 Theta2 = nn_params[hidden_layer_size*(input_layer_size+1):length].reshape(num_labels,hidden_layer_size+1).copy() m = X.shape[0] class_y = np.zeros((m,num_labels)) # 数据的y对应0-9,需要映射为0/1的关系 # 映射y for i in range(num_labels): class_y[:,i] = np.int32(y==i).reshape(1,-1) # 注意reshape(1,-1)才可以赋值 '''去掉theta1和theta2的第一列,因为正则化时从1开始''' Theta1_colCount = Theta1.shape[1] Theta1_x = Theta1[:,1:Theta1_colCount] Theta2_colCount = Theta2.shape[1] Theta2_x = Theta2[:,1:Theta2_colCount] Theta1_grad = np.zeros((Theta1.shape)) #第一层到第二层的权重 Theta2_grad = np.zeros((Theta2.shape)) #第二层到第三层的权重 '''正向传播,每次需要补上一列1的偏置bias''' a1 = np.hstack((np.ones((m,1)),X)) z2 = np.dot(a1,np.transpose(Theta1)) a2 = sigmoid(z2) a2 = np.hstack((np.ones((m,1)),a2)) z3 = np.dot(a2,np.transpose(Theta2)) h = sigmoid(z3) '''反向传播,delta为误差,''' delta3 = np.zeros((m,num_labels)) delta2 = np.zeros((m,hidden_layer_size)) for i in range(m): #delta3[i,:] = (h[i,:]-class_y[i,:])*sigmoidGradient(z3[i,:]) # 均方误差的误差率 delta3[i,:] = h[i,:]-class_y[i,:] # 交叉熵误差率 Theta2_grad = Theta2_grad+np.dot(np.transpose(delta3[i,:].reshape(1,-1)),a2[i,:].reshape(1,-1)) delta2[i,:] = np.dot(delta3[i,:].reshape(1,-1),Theta2_x)*sigmoidGradient(z2[i,:]) Theta1_grad = Theta1_grad+np.dot(np.transpose(delta2[i,:].reshape(1,-1)),a1[i,:].reshape(1,-1)) Theta1[:,0] = 0 Theta2[:,0] = 0 '''梯度''' grad = (np.vstack((Theta1_grad.reshape(-1,1),Theta2_grad.reshape(-1,1)))+Lambda*np.vstack((Theta1.reshape(-1,1),Theta2.reshape(-1,1))))/m return np.ravel(grad)- 实际是利用了
链式求导法则 - 因为下一层的单元利用上一层的单元作为输入进行计算
- 大体的推导过程如下,最终我们是想预测函数与已知的
y非常接近,求均方差的梯度沿着此梯度方向可使代价函数最小化。可对照上面求梯度的过程。
- 求误差更详细的推导过程:

# 检验梯度是否计算正确# 检验梯度是否计算正确def checkGradient(Lambda = 0): '''构造一个小型的神经网络验证,因为数值法计算梯度很浪费时间,而且验证正确后之后就不再需要验证了''' input_layer_size = 3 hidden_layer_size = 5 num_labels = 3 m = 5 initial_Theta1 = debugInitializeWeights(input_layer_size,hidden_layer_size); initial_Theta2 = debugInitializeWeights(hidden_layer_size,num_labels) X = debugInitializeWeights(input_layer_size-1,m) y = 1+np.transpose(np.mod(np.arange(1,m+1), num_labels))# 初始化y y = y.reshape(-1,1) nn_params = np.vstack((initial_Theta1.reshape(-1,1),initial_Theta2.reshape(-1,1))) #展开theta '''BP求出梯度''' grad = nnGradient(nn_params, input_layer_size, hidden_layer_size, num_labels, X, y, Lambda) '''使用数值法计算梯度''' num_grad = np.zeros((nn_params.shape[0])) step = np.zeros((nn_params.shape[0])) e = 1e-4 for i in range(nn_params.shape[0]): step[i] = e loss1 = nnCostFunction(nn_params-step.reshape(-1,1), input_layer_size, hidden_layer_size, num_labels, X, y, Lambda) loss2 = nnCostFunction(nn_params+step.reshape(-1,1), input_layer_size, hidden_layer_size, num_labels, X, y, Lambda) num_grad[i] = (loss2-loss1)/(2*e) step[i]=0 # 显示两列比较 res = np.hstack((num_grad.reshape(-1,1),grad.reshape(-1,1))) print res- 神经网络不能像逻辑回归那样初始化
theta为0,因为若是每条边的权重都为0,每个神经元都是相同的输出,在反向传播中也会得到同样的梯度,最终只会预测一种结果。 - 所以应该初始化为接近0的数
- 实现代码
# 随机初始化权重thetadef randInitializeWeights(L_in,L_out): W = np.zeros((L_out,1+L_in)) # 对应theta的权重 epsilon_init = (6.0/(L_out+L_in))**0.5 W = np.random.rand(L_out,1+L_in)*2*epsilon_init-epsilon_init # np.random.rand(L_out,1+L_in)产生L_out*(1+L_in)大小的随机矩阵 return W- 正向传播预测结果
- 实现代码
# 预测def predict(Theta1,Theta2,X): m = X.shape[0] num_labels = Theta2.shape[0] #p = np.zeros((m,1)) '''正向传播,预测结果''' X = np.hstack((np.ones((m,1)),X)) h1 = sigmoid(np.dot(X,np.transpose(Theta1))) h1 = np.hstack((np.ones((m,1)),h1)) h2 = sigmoid(np.dot(h1,np.transpose(Theta2))) ''' 返回h中每一行最大值所在的列号 - np.max(h, axis=1)返回h中每一行的最大值(是某个数字的最大概率) - 最后where找到的最大概率所在的列号(列号即是对应的数字) ''' #np.savetxt("h2.csv",h2,delimiter=',') p = np.array(np.where(h2[0,:] == np.max(h2, axis=1)[0])) for i in np.arange(1, m): t = np.array(np.where(h2[i,:] == np.max(h2, axis=1)[i])) p = np.vstack((p,t)) return p- 在逻辑回归中,我们的代价为:
,
其中:,
- 如图所示,如果
y=1,cost代价函数如图所示
我们想让,即
z>>0,这样的话cost代价函数才会趋于最小(这是我们想要的),所以用途中红色的函数代替逻辑回归中的cost
- 当
y=0时同样,用代替

- 最终得到的代价函数为:
最后我们想要 - 之前我们逻辑回归中的代价函数为:
可以认为这里的,只是表达形式问题,这里
C的值越大,SVM的决策边界的margin也越大,下面会说明
先说一下向量内积
前面说过,当
C越大时,margin也就越大,我们的目的是最小化代价函数J(θ),当margin最大时,C的乘积项要很小,所以近似为:
,
我们最后的目的就是求使代价最小的θ如下图所示,假设决策边界如图,找其中的一个点,到
θ上的投影为p,则或者
,若是
p很小,则需要很大,这与我们要求的
θ使最小相违背,所以最后求的是
large margin
- 全部代码
- 线性可分的,指定核函数为
linear:
'''data1——线性分类''' data1 = spio.loadmat('data1.mat') X = data1['X'] y = data1['y'] y = np.ravel(y) plot_data(X,y) model = svm.SVC(C=1.0,kernel='linear').fit(X,y) # 指定核函数为线性核函数- 非线性可分的,默认核函数为
rbf
'''data2——非线性分类''' data2 = spio.loadmat('data2.mat') X = data2['X'] y = data2['y'] y = np.ravel(y) plt = plot_data(X,y) plt.show() model = svm.SVC(gamma=100).fit(X,y) # gamma为核函数的系数,值越大拟合的越好聚类属于无监督学习,不知道y的标记分为K类
K-Means算法分为两个步骤
第一步:簇分配,随机选
K个点作为中心,计算到这K个点的距离,分为K个簇第二步:移动聚类中心:重新计算每个簇的中心,移动中心,重复以上步骤。
如下图所示:
计算每条数据到哪个中心最近实现代码:
# 找到每条数据距离哪个类中心最近 def findClosestCentroids(X,initial_centroids): m = X.shape[0] # 数据条数 K = initial_centroids.shape[0] # 类的总数 dis = np.zeros((m,K)) # 存储计算每个点分别到K个类的距离 idx = np.zeros((m,1)) # 要返回的每条数据属于哪个类 '''计算每个点到每个类中心的距离''' for i in range(m): for j in range(K): dis[i,j] = np.dot((X[i,:]-initial_centroids[j,:]).reshape(1,-1),(X[i,:]-initial_centroids[j,:]).reshape(-1,1)) '''返回dis每一行的最小值对应的列号,即为对应的类别 - np.min(dis, axis=1)返回每一行的最小值 - np.where(dis == np.min(dis, axis=1).reshape(-1,1)) 返回对应最小值的坐标 - 注意:可能最小值对应的坐标有多个,where都会找出来,所以返回时返回前m个需要的即可(因为对于多个最小值,属于哪个类别都可以) ''' dummy,idx = np.where(dis == np.min(dis, axis=1).reshape(-1,1)) return idx[0:dis.shape[0]] # 注意截取一下- 计算类中心实现代码:
# 计算类中心def computerCentroids(X,idx,K): n = X.shape[1] centroids = np.zeros((K,n)) for i in range(K): centroids[i,:] = np.mean(X[np.ravel(idx==i),:], axis=0).reshape(1,-1) # 索引要是一维的,axis=0为每一列,idx==i一次找出属于哪一类的,然后计算均值 return centroids- 随机初始化,从给定的数据中随机抽取K个作为聚类中心
- 随机一次的结果可能不好,可以随机多次,最后取使代价函数最小的作为中心
- 实现代码:(这里随机一次)
# 初始化类中心--随机取K个点作为聚类中心def kMeansInitCentroids(X,K): m = X.shape[0] m_arr = np.arange(0,m) # 生成0-m-1 centroids = np.zeros((K,X.shape[1])) np.random.shuffle(m_arr) # 打乱m_arr顺序 rand_indices = m_arr[:K] # 取前K个 centroids = X[rand_indices,:] return centroids- 聚类是不知道y的label的,所以不知道真正的聚类个数
- 肘部法则(Elbow method)
- 作代价函数
J和K的图,若是出现一个拐点,如下图所示,K就取拐点处的值,下图此时K=3
- 若是很平滑就不明确,人为选择。
- 第二种就是人为观察选择
- 将图片的像素分为若干类,然后用这个类代替原来的像素值
- 执行聚类的算法代码:
# 聚类算法def runKMeans(X,initial_centroids,max_iters,plot_process): m,n = X.shape # 数据条数和维度 K = initial_centroids.shape[0] # 类数 centroids = initial_centroids # 记录当前类中心 previous_centroids = centroids # 记录上一次类中心 idx = np.zeros((m,1)) # 每条数据属于哪个类 for i in range(max_iters): # 迭代次数 print u'迭代计算次数:%d'%(i+1) idx = findClosestCentroids(X, centroids) if plot_process: # 如果绘制图像 plt = plotProcessKMeans(X,centroids,previous_centroids) # 画聚类中心的移动过程 previous_centroids = centroids # 重置 centroids = computerCentroids(X, idx, K) # 重新计算类中心 if plot_process: # 显示最终的绘制结果 plt.show() return centroids,idx # 返回聚类中心和数据属于哪个类- 导入包
from sklearn.cluster import KMeans- 使用模型拟合数据
model = KMeans(n_clusters=3).fit(X) # n_clusters指定3类,拟合数据- 聚类中心
centroids = model.cluster_centers_ # 聚类中心- 数据压缩(Data Compression),使程序运行更快
- 可视化数据,例如
3D-->2D等 - ......
- 如下图所示,所有数据点可以投影到一条直线,是投影距离的平方和(投影误差)最小

- 注意数据需要
归一化处理 - 思路是找
1个向量u,所有数据投影到上面使投影距离最小 - 那么
nD-->kD就是找k个向量,所有数据投影到上面使投影误差最小
- eg:3D-->2D,2个向量
就代表一个平面了,所有点投影到这个平面的投影误差最小即可
- 线性回归是找
x与y的关系,然后用于预测y PCA是找一个投影面,最小化data到这个投影面的投影误差
# 归一化数据 def featureNormalize(X): '''(每一个数据-当前列的均值)/当前列的标准差''' n = X.shape[1] mu = np.zeros((1,n)); sigma = np.zeros((1,n)) mu = np.mean(X,axis=0) sigma = np.std(X,axis=0) for i in range(n): X[:,i] = (X[:,i]-mu[i])/sigma[i] return X,mu,sigmaSigma = np.dot(np.transpose(X_norm),X_norm)/m # 求Sigma- 计算
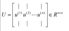
Σ的特征值和特征向量 - 可以是用
svd奇异值分解函数:U,S,V = svd(Σ) - 返回的是与
Σ同样大小的对角阵S(由Σ的特征值组成)[注意:matlab中函数返回的是对角阵,在python中返回的是一个向量,节省空间] - 还有两个酉矩阵U和V,且

- 注意:
svd函数求出的S是按特征值降序排列的,若不是使用svd,需要按特征值大小重新排列U - 降维
- 选取
U中的前K列(假设要降为K维) 
Z就是对应降维之后的数据- 实现代码:
# 映射数据 def projectData(X_norm,U,K): Z = np.zeros((X_norm.shape[0],K)) U_reduce = U[:,0:K] # 取前K个 Z = np.dot(X_norm,U_reduce) return Z- 过程总结:
Sigma = X'*X/mU,S,V = svd(Sigma)Ureduce = U[:,0:k]Z = Ureduce'*x
# 恢复数据 def recoverData(Z,U,K): X_rec = np.zeros((Z.shape[0],U.shape[0])) U_recude = U[:,0:K] X_rec = np.dot(Z,np.transpose(U_recude)) # 还原数据(近似) return X_rec- 如何选择
- 投影误差(project error):
- 总变差(total variation):
- 若误差率(error ratio):
,则称
99%保留差异性 - 误差率一般取
1%,5%,10%等 - 如何实现
- 若是一个个试的话代价太大
- 之前
U,S,V = svd(Sigma),我们得到了S,这里误差率error ratio: - 可以一点点增加
K尝试。
- 不要使用PCA去解决过拟合问题
Overfitting,还是使用正则化的方法(如果保留了很高的差异性还是可以的) - 只有在原数据上有好的结果,但是运行很慢,才考虑使用PCA
- 导入需要的包:
#-*- coding: utf-8 -*-# Author:bob# Date:2016.12.22import numpy as npfrom matplotlib import pyplot as pltfrom scipy import io as spiofrom sklearn.decomposition import pcafrom sklearn.preprocessing import StandardScaler- 归一化数据
'''归一化数据并作图''' scaler = StandardScaler() scaler.fit(X) x_train = scaler.transform(X)- 使用PCA模型拟合数据,并降维
n_components对应要将的维度
'''拟合数据''' K=1 # 要降的维度 model = pca.PCA(n_components=K).fit(x_train) # 拟合数据,n_components定义要降的维度 Z = model.transform(x_train) # transform就会执行降维操作- 数据恢复
model.components_会得到降维使用的U矩阵
'''数据恢复并作图''' Ureduce = model.components_ # 得到降维用的Ureduce x_rec = np.dot(Z,Ureduce) # 数据恢复- 例子
- 训练集:
,其中
- 假设
相互独立,建立model模型:
- 过程
- 选择具有代表异常的
feature:xi - 参数估计:
- 计算
p(x),若是P(x)<ε则认为异常,其中ε为我们要求的概率的临界值threshold - 这里只是单元高斯分布,假设了
feature之间是独立的,下面会讲到多元高斯分布,会自动捕捉到feature之间的关系 - 参数估计实现代码
# 参数估计函数(就是求均值和方差)def estimateGaussian(X): m,n = X.shape mu = np.zeros((n,1)) sigma2 = np.zeros((n,1)) mu = np.mean(X, axis=0) # axis=0表示列,每列的均值 sigma2 = np.var(X,axis=0) # 求每列的方差 return mu,sigma2对偏斜数据的错误度量
因为数据可能是非常偏斜的(就是
y=1的个数非常少,(y=1表示异常)),所以可以使用Precision/Recall,计算F1Score(在CV交叉验证集上)例如:预测癌症,假设模型可以得到
99%能够预测正确,1%的错误率,但是实际癌症的概率很小,只有0.5%,那么我们始终预测没有癌症y=0反而可以得到更小的错误率。使用error rate来评估就不科学了。总是让
y=1(较少的类),计算Precision和Recall还是以癌症预测为例,假设预测都是no-cancer,TN=199,FN=1,TP=0,FP=0,所以:Precision=0/0,Recall=0/1=0,尽管accuracy=199/200=99.5%,但是不可信。
ε的选取尝试多个
ε值,使F1Score的值高实现代码
# 选择最优的epsilon,即:使F1Score最大 def selectThreshold(yval,pval): '''初始化所需变量''' bestEpsilon = 0. bestF1 = 0. F1 = 0. step = (np.max(pval)-np.min(pval))/1000 '''计算''' for epsilon in np.arange(np.min(pval),np.max(pval),step): cvPrecision = pval<epsilon tp = np.sum((cvPrecision == 1) & (yval == 1).ravel()).astype(float) # sum求和是int型的,需要转为float fp = np.sum((cvPrecision == 1) & (yval == 0).ravel()).astype(float) fn = np.sum((cvPrecision == 0) & (yval == 1).ravel()).astype(float) precision = tp/(tp+fp) # 精准度 recision = tp/(tp+fn) # 召回率 F1 = (2*precision*recision)/(precision+recision) # F1Score计算公式 if F1 > bestF1: # 修改最优的F1 Score bestF1 = F1 bestEpsilon = epsilon return bestEpsilon,bestF1- 如果一些数据不是满足高斯分布的,可以变化一下数据,例如
log(x+C),x^(1/2)等 - 如果
p(x)的值无论异常与否都很大,可以尝试组合多个feature,(因为feature之间可能是有关系的)
- 单元高斯分布存在的问题
- 如下图,红色的点为异常点,其他的都是正常点(比如CPU和memory的变化)

- x1对应的高斯分布如下:

- x2对应的高斯分布如下:

- 可以看出对应的p(x1)和p(x2)的值变化并不大,就不会认为异常
- 因为我们认为feature之间是相互独立的,所以如上图是以正圆的方式扩展
- 多元高斯分布
,并不是建立
p(x1),p(x2)...p(xn),而是统一建立p(x)- 其中参数:
,
Σ为协方差矩阵 - 同样,
|Σ|越小,p(x)越尖 - 例如:
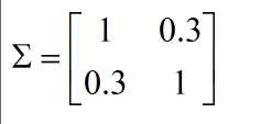
,
表示x1,x2正相关,即x1越大,x2也就越大,如下图,也就可以将红色的异常点检查出了
若:
,
表示x1,x2负相关 - 实现代码:
# 多元高斯分布函数 def multivariateGaussian(X,mu,Sigma2): k = len(mu) if (Sigma2.shape[0]>1): Sigma2 = np.diag(Sigma2) '''多元高斯分布函数''' X = X-mu argu = (2*np.pi)**(-k/2)*np.linalg.det(Sigma2)**(-0.5) p = argu*np.exp(-0.5*np.sum(np.dot(X,np.linalg.inv(Sigma2))*X,axis=1)) # axis表示每行 return p- 单元高斯分布
- 人为可以捕捉到
feature之间的关系时可以使用 - 计算量小
- 多元高斯分布
- 自动捕捉到相关的feature
- 计算量大,因为:
m>n或Σ可逆时可以使用。(若不可逆,可能有冗余的x,因为线性相关,不可逆,或者就是m<n)
About
机器学习算法python实现
Resources
License
Uh oh!
There was an error while loading.Please reload this page.
Stars
Watchers
Forks
Releases
Sponsor this project
Uh oh!
There was an error while loading.Please reload this page.
Packages0
Uh oh!
There was an error while loading.Please reload this page.
Contributors3
Uh oh!
There was an error while loading.Please reload this page.








































