Uh oh!
There was an error while loading.Please reload this page.
- Notifications
You must be signed in to change notification settings - Fork739
Open
Description
Given an n-ary tree, return the preorder traversal of its nodes' values.
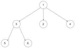
For example, given a 3-ary tree:
Return its preorder traversal as: [1,3,5,6,2,4].
Note:
Recursive solution is trivial, could you do it iteratively?
这道题让我们求N叉树的前序遍历,有之前那道Binary Tree Preorder Traversal的基础,知道了二叉树的前序遍历的方法,很容易就可以写出N叉树的前序遍历。先来看递归的解法,主要实现一个递归函数即可,判空之后,将当前结点值加入结果res中,然后遍历子结点数组中所有的结点,对每个结点都调用递归函数即可,参见代码如下:
解法一:
class Solution {public: vector<int> preorder(Node* root) { vector<int> res; helper(root, res); return res; } void helper(Node* node, vector<int>& res) { if (!node) return; res.push_back(node->val); for (Node* child : node->children) { helper(child, res); } }};
我们也可以使用迭代的解法来做,使用栈stack来辅助,需要注意的是,如果使用栈的话,我们遍历子结点数组的顺序应该是从后往前的,因为栈是后进先出的顺序,所以需要最先遍历的子结点应该最后进栈,参见代码如下:
解法二:
class Solution {public: vector<int> preorder(Node* root) { if (!root) return {}; vector<int> res; stack<Node*> st{{root}}; while (!st.empty()) { Node* t = st.top(); st.pop(); res.push_back(t->val); for (int i = (int)t->children.size() - 1; i >= 0; --i) { st.push(t->children[i]); } } return res; }};
类似题目:
Binary Tree Preorder Traversal
N-ary Tree Level Order Traversal
N-ary Tree Postorder Traversal
参考资料:
https://leetcode.com/problems/n-ary-tree-preorder-traversal/
Metadata
Metadata
Assignees
Labels
No labels
