Movatterモバイル変換


[0]ホーム

URL:


Skip to content

Navigation Menu

Sign in
Appearance settings

Search code, repositories, users, issues, pull requests...

Provide feedback

We read every piece of feedback, and take your input very seriously.

Saved searches

Use saved searches to filter your results more quickly

Sign up
Appearance settings

ToDos app using the Nx (Extensible Dev Tools for Monorepos)

License

NotificationsYou must be signed in to change notification settings

erkobridee/nx-todos

Repository files navigation

ToDos project example

This project was generated usingNx (v14.5.10)

ℹ️  use the node.js v16 LTS

Goal

  • test a monorepository structure in a more entreprise scenario

Documentation

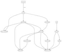
Project dependencies graph

nx dep-graph

Findings

  • Developing a project which contains an api and a frontend application, you need to have two terminals to run each project, for example, in one terminal you runnx serve api and in another one, you runnx serve frontend

  • It's really interesting breakdown the application intosmaller libs, so we have better code isolation, the possibility to run tests on that code and also using thenx dep-graph have a better understanding of the project code and how the parts of the project relate to each other

  • The libraries created by the Nx CLI has a pre-defined code structure (more information about it here)

    • The main concept of a library adopted is to be a "Black Box", which what's exposed from the library is defined on thesrc/index.ts

    • It's possible to have more flexibility and expose the whole content from the library (that's really useful to define a UI components library). To do that, you need to reorganize thesrc/ folder in the what that you want to access and change the{project_root_folder}/tsconfig.json thepaths configuration alias to be something like

{  ...  "paths": {    ...    "@namespace/ui-components/*": ["libs/ui-components/src/*"]    ...  }  ...}
  • When you run the build Nx CLI command, for example,nx build app-name that will generate the output of the build on the directorydist/app/app-name

  • Running the frontend and backend together, based on the followingtweet

    • nx run-many --target=serve --projects=todos,api --parallel=true

About

ToDos app using the Nx (Extensible Dev Tools for Monorepos)

Topics

Resources

License

Stars

Watchers

Forks

Releases

No releases published

Packages

No packages published

Contributors2

  •  
  •  

[8]ページ先頭

©2009-2025 Movatter.jp