- Notifications
You must be signed in to change notification settings - Fork3
EntropyString for JavaScript
License
EntropyString/JavaScript
Folders and files
| Name | Name | Last commit message | Last commit date | |
|---|---|---|---|---|
Repository files navigation
Efficiently generate cryptographically strong random strings of specified entropy from various character sets.
- Installation
- Usage
- Overview
- Real Need
- More Examples
- Character Sets
- Custom Characters
- Efficiency
- Custom Bytes
- No Crypto
- Browser Version
- Entropy Bits
- Why You Don't Need UUIDs
- Upgrading
- Take Away
yarn add entropy-string
npm install entropy-string
constentropy=newEntropy()conststring=entropy.string()
GtTr2h4PT2mjffm2GrDN2rhpqp
See theUUID section for a discussion of why the above is more efficient than using the string representation of version 4 UUIDs.
const{ Entropy}=require('entropy-string')constentropy=newEntropy({total:1e6,risk:1e9})conststring=entropy.string()
pbbnBD4MQ3rbRN
SeeReal Need for description of what thetotal andrisk parameters represent.
EntropyString uses predefinedcharset32 characters by default (seeCharacter Sets). To get a random hexadecimal string:
const{ Entropy, charset16}=require('entropy-string')constentropy=newEntropy({total:1e6,risk:1e9,charset:charset16})conststring=entropy.string()
878114ac513a538e22
Custom characters may also be specified. Using uppercase hexadecimal characters:
const{ Entropy}=require('entropy-string')constentropy=newEntropy({total:1e6,risk:1e9,charset:'0123456789ABCDEF'})conststring=entropy.string()
16E26779479356B516
Convenience functionssmallID,mediumID,largeID,sessionID andtoken provide random strings for various predefined bits of entropy. For example, a small id represents a potential of 30 strings with a 1 in a million chance of repeat:
const{ Entropy}=require('entropy-string')constentropy=newEntropy()conststring=entropy.smallID()
DpTQqg
Or, to generate an OWASP session ID:
const{ Entropy}=require('entropy-string')constentropy=newEntropy()conststring=entropy.sessionID()
nqqBt2P669nmjPQRqh4NtmTPn9
Or perhaps you need an 256-bit token usingRFC 4648 file system and URL safe characters:
const{ Entropy, charset64}=require('entropy-string')constentropy=newEntropy({charset:charset64})conststring=entropy.token()
t-Z8b9FLvpc-roln2BZnGYLZAX_pn5U7uO_cbfldsIt
Run any of the examples in theexamples directory by:
yarn examplesnode examples/dist/tldr_1.js
EntropyString provides easy creation of randomly generated strings of specific entropy using various character sets. Such strings are needed as unique identifiers when generating, for example, random IDs and you don't want the overkill of a UUID.
A key concern when generating such strings is that they be unique. Guaranteed uniqueness, however, requires either deterministic generation (e.g., a counter) that is not random, or that each newly created random string be compared against all existing strings. When randomness is required, the overhead of storing and comparing strings is often too onerous and a different tack is chosen.
A common strategy is to replace theguarantee of uniqueness with a weaker but often sufficient one ofprobabilistic uniqueness. Specifically, rather than being absolutely sure of uniqueness, we settle for a statement such as"there is less than a 1 in a billion chance that two of my strings are the same". We use an implicit version of this very strategy every time we use a hash set, where the keys are formed from taking the hash of some value. Weassume there will be no hash collision using our values, but wedo not have any true guarantee of uniqueness per se.
Fortunately, a probabilistic uniqueness strategy requires much less overhead than guaranteed uniqueness. But it does require we have some manner of qualifying what we mean by"there is less than a 1 in a billion chance that 1 million strings of this form will have a repeat".
Understanding probabilistic uniqueness of random strings requires an understanding ofentropy and of estimating the probability of acollision (i.e., the probability that two strings in a set of randomly generated strings might be the same). The blog postHash Collision Probabilities provides an excellent overview of deriving an expression for calculating the probability of a collision in some number of hashes using a perfect hash with an N-bit output. This is sufficient for understanding the probability of collision given a hash with afixed output of N-bits, but does not provide an answer to qualifying what we mean by"there is less than a 1 in a billion chance that 1 million strings of this form will have a repeat". TheEntropy Bits section below describes howEntropyString provides this qualifying measure.
We'll begin investigatingEntropyString by considering theReal Need when generating random strings.
Let's start by reflecting on the common statement:I need random strings 16 characters long.
Okay. There are libraries available that address that exact need. But first, there are some questions that arise from the need as stated, such as:
- What characters do you want to use?
- How many of these strings do you need?
- Why do you need these strings?
The available libraries often let you specify the characters to use. So we can assume for now that question 1 is answered with:
Hexadecimal will do fine.
As for question 2, the developer might respond:
I need 10,000 of these things.
Ah, now we're getting somewhere. The answer to question 3 might lead to a further qualification:
I need to generate 10,000 random, unique IDs.
And the cat's out of the bag. We're getting at the real need, and it's not the same as the original statement. The developer needsuniqueness across a total of some number of strings. The length of the string is a by-product of the uniqueness, not the goal, and should not be the primary specification for the random string.
As noted in theOverview, guaranteeing uniqueness is difficult, so we'll replace that declaration with one ofprobabilistic uniqueness by asking a fourth question:
- What risk of a repeat are you willing to accept?
Probabilistic uniqueness contains risk. That's the price we pay for giving up on the stronger declaration of guaranteed uniqueness. But the developer can quantify an appropriate risk for a particular scenario with a statement like:
I guess I can live with a 1 in a million chance of a repeat.
So now we've finally gotten to the developer's real need:
I need 10,000 random hexadecimal IDs with less than 1 in a million chance of any repeats.
Not only is this statement more specific, there is no mention of string length. The developer needs probabilistic uniqueness, and strings are to be used to capture randomness for this purpose. As such, the length of the string is simply a by-product of the encoding used to represent the required uniqueness as a string.
How do you address this need using a library designed to generate strings of specified length? Well, you don't, because that library was designed to answer the originally stated need, not the real need we've uncovered. We need a library that deals with probabilistic uniqueness of a total number of some strings. And that's exactly whatEntropyString does.
Let's useEntropyString to help this developer generate 5 hexadecimal IDs from a pool of a potential 10,000 IDs with a 1 in a million chance of a repeat:
const{ Entropy, charset16}=require('entropy-string')constentropy=newEntropy({total:10000,risk:1000000,charset:charset16})conststrings=Array(5).fill('').map(e=>entropy.string())
["85e442fa0e83", "a74dc126af1e", "368cd13b1f6e", "81bf94e1278d", "fe7dec099ac9"]
Examining the above code, thetotal andrisk parameters specify how much entropy is needed to satisfy the probabilistic uniqueness of generating a potential total of10,000 strings with a1 in a million risk of repeat. Thecharset parameter specifies the characters to use. Finally, the strings themselves are generated usingentropy.string().
Looking at the IDs, we can see each is 12 characters long. It seems the developer didn't really need 16 characters after all. Again, the string length is a by-product of the characters used to represent the randomness (i.e. entropy) we needed. The strings would be shorter if we used either a 32 or 64 character set.
InReal Need our developer used hexadecimal characters for the strings. Let's look at using other characters instead.
We'll start with using 32 characters. What 32 characters, you ask? TheCharacter Sets section discusses the predefined characters available inEntropyString and theCustom Characters section describes how you can use whatever characters you want. By default,EntropyString usescharset32 characters, so we don't need to pass that parameter intonew Entropy().
const{ Entropy}=require('entropy-string')constentropy=newEntropy({total:10000,risk:1e6})conststring=entropy.string()
String: MD8r3BpTH3
We're using the sametotal andrisk as before, but this time we use 32 characters and our resulting ID are 10 characters.
As another example, let's assume we need to ensure the names of about 30 items are unique. And suppose we decide we can live with a 1 in 100,000 probability of collision (we're just futzing with some coding ideas). Using the predefined provided hex characters:
const{ Entropy, charset16, charset4}=require('entropy-string')constentropy=newEntropy({total:30,risk:100000,charset:charset16})conststring=entropy.string()
String: dbf40a6
Using the sameEntropy instance, we can switch to the predefinedcharset4 characters and generate a string with those characters and the same amount of entropy:
entropy.use(charset4)string=entropy.string()
String: CAATAGTGGACTG
Okay, we probably wouldn't use 4 characters (and what's up with those characters?), but you get the idea.
Suppose we have a more extreme need. We want less than a 1 in a trillion chance that 10 billion base 32 strings repeat. Let's see, our total of 10 billion is 1010 and our risk of 1 in a trillion is 1012, so:
const{ Entropy}=require('entropy-string')constentropy=newEntropy({total:1e10,risk:1e12})conststring=entropy.string()
String: 4J86pbFG9BqdBjTLfD3rt6
Finally, let say we're generating session IDs. Since session IDs are ephemeral, we aren't interested in uniqueness per se, but in ensuring our IDs aren't predictable since we can't have the bad guys guessing a valid session ID. In this case, we're using entropy as a measure of unpredictability of the IDs. Rather than calculate our entropy, we declare it as 128 bits (since we read on the OWASP web site that session IDs should be 128 bits).
const{ Entropy}=require('entropy-string')constentropy=newEntropy({bits:128})conststring=entropy.string()
String: Rm9gDFn6Q9DJ9rbrtrttBjR97r
Since session ID are such an important need,EntropyString provides a convenience function for generating them:
const{ Entropy, charset64}=require('entropy-string')constentropy=newEntropy({charset:charset64})conststring=entropy.sessionID()
String: DUNB7JHqXCibGVI5HzXVp2
As we've seen in the previous sections,EntropyString provides predefined character sets. Let's see what's under the hood.
const{ charset64}=require('entropy-string')constchars=charset64.chars()
ABCDEFGHIJKLMNOPQRSTUVWXYZabcdefghijklmnopqrstuvwxyz0123456789-_
The availableCharSets arecharset64,charset32,charset16,charset8,charset4 andcharset2. The predefined characters for each were chosen as follows:
charset64:ABCDEFGHIJKLMNOPQRSTUVWXYZabcdefghijklmnopqrstuvwxyz0123456789-_- The file system and URL safe char set fromRFC 4648.
charset32:2346789bdfghjmnpqrtBDFGHJLMNPQRT- Remove all upper and lower case vowels (including y)
- Remove all numbers that look like letters
- Remove all letters that look like numbers
- Remove all letters that have poor distinction between upper and lower case values.
charset16:0123456789abcdef- Hexadecimal
charset8:01234567- Octal
charset4:ATCG- DNA alphabet. No good reason; just wanted to get away from the obvious.
charset2:01- Binary
The defaultCharSet ischarset32. The random strings using the characters of that set result in strings don't look like English words and yet are easy to parse visually.
You may, of course, want to choose the characters used, which is covered next inCustom Characters.
Being able to easily generate random strings is great, but what if you want to specify your own characters. For example, suppose you want to visualize flipping a coin to produce entropy of 10 bits.
const{ Entropy, charset2}=require('entropy-string')constentropy=newEntropy({charset:charset2,bits:10})letflips=entropy.string()
flips: 1111001011
The resulting string of0's and1's doesn't look quite right. Perhaps you want to use the charactersH andT instead.
entropy.useChars('HT')flips=entropy.string()
flips: THHTHTTHHT
As another example, we saw inCharacter Sets the predefined hex characters forcharset16 are lowercase. Suppose you like uppercase hexadecimal letters instead.
const{ Entropy}=require('entropy-string')constentropy=newEntropy({charset:'0123456789ABCDEF',bits:48})conststring=entropy.string()
string: 08BB82C0056A
TheEntropy constructor allows for the following cases:
- No argument:
charset32characters and 128bits
- { total:T, risk:R }:
charset32characters and sufficientbitsto ensure a potential ofT strings with a risk of repeat being1 in R
- { bits:N }:
charset32characters andNbits
- { charset:
CharSet}:- One of six predefined
CharSets can be specified
- One of six predefined
- { charset:chars }:
- A string representing the characters to use can be specified
- A combination of
charsetand eitherbitsortotal,risk
If a string of characters is used, anEntropyStringError will be thrown if the characters aren't appropriate for creating a validCharSet.
const{ Entropy}=require('entropy-string')try{constentropy=newEntropy({charset:'123456'})}catch(error){console.log(error.message)}
Invalid character count: must be one of 2,4,8,16,32,64
try{constentropy=newEntropy({charset:'01233210'})}catch(error){console.log(error.message)}
Characters not unique
To efficiently create random strings,EntropyString generates the necessary number of bytes needed for each string and uses those bytes in a bit shifting scheme to index into a character set. For example, consider generating strings from thecharset32 character set. There are32 characters in the set, so an index into an array of those characters would be in the range[0,31]. Generating a random string ofcharset32 characters is thus reduced to generating a random sequence of indices in the range[0,31].
To generate the indices,EntropyString slices just enough bits from the array of bytes to create each index. In the example at hand, 5 bits are needed to create an index in the range[0,31].EntropyString processes the byte array 5 bits at a time to create the indices. The first index comes from the first 5 bits of the first byte, the second index comes from the last 3 bits of the first byte combined with the first 2 bits of the second byte, and so on as the byte array is systematically sliced to form indices into the character set. And since bit shifting and addition of byte values is really efficient, this scheme is quite fast.
TheEntropyString scheme is also efficient with regard to the amount of randomness used. Consider the following common JavaScript solution to generating random strings. To generate a character, an index into the available characters is create usingMath.random. The code looks something like:
constchars="ABCDEFGHIJKLMNOPQRSTUVWXYZabcdefghijklmnopqrstuvwxyz0123456789"letstring=""for(leti=0;i<length;i++){string+=chars.charAt(Math.floor(Math.random()*chars.length));}
bl0mvxXAqXuz5R3N
There are two significant issues with this code.Math.random returns a randomfloat value. At the very best this value has about 53-bits of entropy. Let's assume it's 52-bits for argument sake, i.e.Math.random generates 52 bits of randomness per call. That randomness is in turn used to create an index into the 62chars, each which represents 5.95 bits of entropy. So if we're creating strings withlength=16, the 16 calls generate a total of16*52 = 816 bits of randomness which are used to inject a total of 95.2 bits of entropy (5.95/char) intostring. That means 720 bits (88% of the total) of the generated randomness is simply wasted.
Compare that to theEntropyString scheme. For the example above, slicing off 5 bits at a time requires a total of 80 bits (10 bytes). Creating the same strings as above,EntropyString uses 80 bits of randomness per string with no wasted bits. In general, theEntropyString scheme can waste up to 7 bits per string, but that's the worst case scenario and that'sper string, notper character!
const{ Entropy}=require('entropy-string')constentropy=newEntropy({bits:80})letstring=entropy.string()
HFtgHQ9q9fH6B8HM
But there is an even bigger issue with the previous code from a security perspective.Math.randomis not a cryptographically strong random number generator.Do not useMath.random to create strings used for security purposes! This highlights an important point. Strings are only capable of carrying information (entropy); it's the random bytes that actually provide the entropy itself.EntropyString automatically generates the necessary bytes needed to create cryptographically strong random strings using thecrypto library.
However, if you don't need cryptographically strong random strings, you can requestEntropyString use the psuedo-random number generator (PRNG)Math.random rather than thecrypto library by using passing the paramprng: true to theEntropy constructor:
const{ Entropy}=require('entropy-string')constentropy=newEntropy({bits:80,prng:true})string=entropy.string()
fdRp9Q3rTMF7TdFN
When usingMath.random, theEntropyString scheme uses 48 of the 52(ish) bits of randomness from each call toMath.random. That's much more efficient than the previous code snippet but a bit less so than using bytes fromcrypto. And of course, being a PRNG,Math.random yields a deterministic sequence.
Fortunately you don't need to really understand how the bytes are efficiently sliced and diced to get the string. But you may want to provide your ownCustom Bytes to create a string, which is the next topic.
As described inEfficiency,EntropyString automatically generates random bytes using thecrypto library. But you may have a need to provide your own bytes, say for deterministic testing or to use a specialized byte generator. Theentropy.string function allows passing in your own bytes to create a string.
Suppose we want a string capable of 30 bits of entropy using 32 characters. We pass in 4 bytes to cover the 30 bits needed to generate six base 32 characters:
const{ Entropy}=require('entropy-string')constentropy=newEntropy()constbytes=Buffer.from([250,200,150,100])letstring=entropy.stringWithBytes(30,bytes)
Th7fjL
Thebytes provided can come from any source. However, the number of bytes must be sufficient to generate the string as described in theEfficiency section.entropy.stringWithBytes throws anError if the string cannot be formed from the passed bytes.
try{string=entropy.stringWithBytes(32,bytes)}catch(error){console.log(' Error: '+error.message)}
error: Insufficient bytes: need 5 and got 4
Note the number of bytes needed is dependent on the number of characters in our set. In using a string to represent entropy, we can only have multiples of the bits of entropy per character used. So in the example above, to get at least 32 bits of entropy using a character set of 32 characters (5 bits per char), we'll need enough bytes to cover 35 bits, not 32, so anError is thrown.
By default,EntropyString uses thecrypto library for the cryptographically strong random bits used to systematically index into the chosen character set. If cryptographically strong strings are not required,EntropyString can use the psuedo-random number generatorMath.random by passingprng: true to theEntropy constructor:
const{ Entropy}=require('entropy-string')constentropy=newEntropy({total:1e5,risk:1e7,prng:true})conststring=entropy.string()
MJNhBg842J6
A browser version ofEntropyString is packaged as a UMD bundle in the fileentropy-string.browser.js with an export name ofEntropyString . Rather than use thecrypto library, the browser version useswindow.crypto.getRandomValues for generating random bits. Seeexamples/browser.html for example usage.
Thus far we've avoided the mathematics behind the calculation of the entropy bits required to specify a risk that some number random strings will not have a repeat. As noted in theOverview, the postingHash Collision Probabilities derives an expression, based on the well-knownBirthday Problem, for calculating the probability of a collision in some number of hashes (denoted byk) using a perfect hash with an output ofM bits:
There are two slight tweaks to this equation as compared to the one in the referenced posting.M is used for the total number of possible hashes and an equation is formed by explicitly specifying that the expression in the posting is approximately equal to1/n.
More importantly, the above equation isn't in a form conducive to our entropy string needs. The equation was derived for a set number of possible hashes and yields a probability, which is fine for hash collisions but isn't quite right for calculating the bits of entropy needed for our random strings.
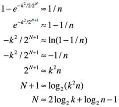
The first thing we'll change is to useM = 2^N, whereN is the number of entropy bits. This simply states that the number of possible strings is equal to the number of possible values usingN bits:
Now we massage the equation to representN as a function ofk andn:
The final line represents the number of entropy bitsN as a function of the number of potential stringsk and the risk of repeat of 1 inn, exactly what we want. Furthermore, the equation is in a form that avoids really large numbers in calculatingN since we immediately take a logarithm of each large valuek andn.
It is quite common in most (all?) programming languages to simply use string representations of UUIDs as random strings. While this isn't necessarily wrong, it is not efficient. It's somewhat akin to using a BigInt library to do math with small integers. The answers might be right, but the process seems wrong.
By UUID, we almost always mean the version 4 string representation, which looks like this:
hhhhhhhh-hhhh-4hhh-Hhhh-hhhhhPerSection 4.4 of RFC 4122, the algorithm for creating 32-byte version 4 UUIDs is:
- Set bits 49-52 to the 4-bit version number,0100
- The 13th hex char will always be4
- Set bit 65-66 to10.
- The 17th hex char will be one of8,9,A orB
- Set all the other bits to randomly (or pseudo-randomly) chosen values
The algorithm designates how to create the 32 byte UUID. The string representation shown above is specified in Section 3 of the RFC.
The ramifications of the algorithm and string representation are:
- The specification does not require the use of a cryptographically strong pseudo-random number generator. That's fine, but if using the IDs for security purposes, be sure a CSPRNG is being used to generate the random bytes for the UUID.
- Because certain bits are fixed values, the entropy of the UUID is reduced from 128 bits to 122 bits. This may not be a significant issue in some cases, but regardless of how often you read otherwise, a version 4 UUIDdoes not have 128 bits of randomness. And if you use version 4 UUIDs for session IDs, that does not cover the OWASP recommendation of using 128-bit IDs.
- The string representation with hyphens adds overhead without adding any bits of entropy.
As a quick aside, let me emphasize that a stringdoes not inherently possess any given amount of entropy. For example, how many bits of entropy does the version 4 UUID string7416179b-62f4-4ea1-9201-6aa4ef920c12 have? Given the structure of version 4 UUIDs, we know it representsat most 122 bits of entropy. But without knowing how the bits were actually generated,we can't know how much entropy has actually been captured. Consider that statement carefully if you ever look at one of the many libraries that claim to calculate the entropy of a given string. The underlying assumption of how the string characters are generated is crucial (and often glossed over). Buyer beware.
Now, back to why you don't need to use version 4 UUIDs. The string representation is fixed, and uses 36 characters. Suppose we define as a metric of efficiency the number of bits in the string representation as opposed to the number of entropy bits. Then for a version 4 UUID we have:
- UUID
- Entropy bits: 122
- String length: 36
- String bits: 288
- Efficiency: 42%
Let's create a 122 entropy bit string usingcharset64:
const{ Entropy, charset64}=require('entropy-string')constentropy=newEntropy({bits:122,charset:charset64})conststring=entropy.string()
- Entropy String:
- Entropy bits: 126
- String length: 21
- String bits: 168
- Efficiency: 75%
Usingcharset64 characters, we create a string representation with 75% efficiency vs. the 42% achieved in using version 4 UUIDs. Given that generating random strings usingEntropyString is as easy as using a UUID library, I'll take 75% efficiency over 42% any day.
(Note the actually bits of entropy in the string is 126. Each character incharset64 carries 6 bits of entropy, and so in this case we can only have a total entropy of a multiple of 6. TheEntropyString library ensures the number of entropy bits will meet or exceed the designated bits.)
But that's not the primary reason for usingEntropyString over UUIDs. With version 4 UUIDs, the bits of entropy is fixed at 122, and you should ask yourself, "why do I need 122 bits"? And how often do you unquestioningly use one-size fits all solutions anyway?
What you should actually ask is, "how many strings do I need and what level of risk of a repeat am I willing to accept"? Rather than one-size fits all solutions, you should seek understanding and explicit control. Rather than swallowing 122-bits without thinking, investigate your real need and act accordingly. If you need IDs for a database table that could have 1 million entries, explicitly declare how much risk of repeat you're willing to accept. 1 in a million? Then you need 59 bits. 1 in a billion? 69 bits. 1 in a trillion? 79 bits. Butopenly declare and quit using UUIDs just because you didn't think about it! Now you know better, so do better :)
And finally, don't say you use version 4 UUIDs because you don'tever want a repeat. The term 'unique' in the name is misleading. Perhaps we should call them PUID for probabilistically unique identifiers. (I left out "universal" since that designation never really made sense anyway.) Regardless, there is a chance of repeat. It just depends on how many UUIDs you produce in a given "collision" context. Granted, it may be small, but itis not zero! It's just a probability that you didn't explicitly specify and may not even have really understood.
EntropyString version 3 does not introduce any new functionality. The sole purpose of the version 3 release is to simplify and tighten the API. Backward incompatible changes made in this effort necessitated a semantic major release.
The two major changes are:
- Replace class
EntropyString.Randomwith classEntropyString.Entropy - Replace all camelCase
charSetNNwithcharsetNN
Change all instances ofnew Random() tonew Entropy()
For example,
const{ Random}=require('entropy-string')constrandom=newRandom()conststring=random.sessionID()
becomes
const{ Entropy}=require('entropy-string')constrandom=newEntropy()conststring=random.sessionID()
or
const{ Entropy}=require('entropy-string')constentropy=newEntropy()conststring=entropy.sessionID()
Change all occurrences ofcharSetNN tocharsetNN.charset is common enough in programming circles to negate the need for camelCase.
For example,
const{ Random, charSet64}=require('entropy-string')constrandom=newRandom(charSet64)conststring=random.sessionID()
becomes
const{ Entropy, charset64}=require('entropy-string')constentropy=newEntropy(charset64)conststring=entropy.sessionID()
- Remove
bitsWithRiskPowerandbitsWithPowersfromEntropy - Move predefined
CharSetdeclarations fromCharSettoEntropy Entropy.bitsis a class method of the newEntropyclass
Version 3.1 introduced a new Entropy constructor API which tracks the specified entropy bits at the Entropy class level. This allows generating strings without passing the bits into theEntropy.string function. As example, consider the previous version 3.0 code:
const{ Entropy}=require('entropy-string')constbits=Entropy.bits(1e6,1e12)constentropy=newEntropy()conststring=entropy.string(bits)
Using the new version 3.1 API, that code becomes:
const{ Entropy}=require('entropy-string')constentropy=newEntropy({total:1e6,risk:1e12})conststring=entropy.string()
Version 4 changes:
Entropyconstructor argument must be valid params- Embed
CharSetor character string in params object using{ charset: XYZ }
- Embed
- Default
Entropyconstructor params object is{ bits: 128, charset: charset32 }- Default behavior is the same as version 3.x
- Remove method
stringPRNGand deprecated methodstringRandomEntropyconstructor param{ prng: true }forces theEntropy.string()method to useMath.randomgenerated bytes
- Change signature of method
stringWithBytes(bitLen, bytes, <charset>)tostringWithBytes(bytes, <bitLen>, <charset>)(i.e.,bitLendefaults to theEntropyclass setting)- This change is parallel to the version 3.1 change to
Entropy.string()but required a semantic major version upgrade to implement
- This change is parallel to the version 3.1 change to
- Don't specify randomness using string length
- String length is a by-product, not a goal
- Don't require truly uniqueness
- You'll do fine with probabilistically uniqueness
- Probabilistic uniqueness involves risk
- Risk is specified as"1 inn chance of generating a repeat"
- Explicity specify your intent
- Specified entropy as the risk of repeat in a total number of strings
- Characters used are arbitrary
- You need
EntropyString, not UUIDs
const{ Entropy}=require('entropy-string')constentropy=newEntropy({total:1e7,risk:1e12})conststring=entropy.string()
FrHbt3n9tBNTFMP6n
About
EntropyString for JavaScript
Topics
Resources
License
Uh oh!
There was an error while loading.Please reload this page.
Stars
Watchers
Forks
Packages0
Uh oh!
There was an error while loading.Please reload this page.
Contributors2
Uh oh!
There was an error while loading.Please reload this page.


