Just likeaes(),vars() is aquoting functionthat takes inputs to be evaluated in the context of a dataset.These inputs can be:
variable names
complex expressions
In both cases, the results (the vectors that the variablerepresents or the results of the expressions) are used to formfaceting groups.
Arguments
- ...
<
data-masking> Variables orexpressions automatically quoted. These are evaluated in the context of thedata to form faceting groups. Can be named (the names are passed to alabeller).
Examples
p<-ggplot(mtcars,aes(wt,disp))+geom_point()p+facet_wrap(vars(vs,am))
# vars() makes it easy to pass variables from wrapper functions:wrap_by<-function(...){facet_wrap(vars(...), labeller=label_both)}p+wrap_by(vs)
p+wrap_by(vs,am)
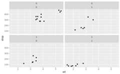
# You can also supply expressions to vars(). In this case it's often a# good idea to supply a name as well:p+wrap_by(drat=cut_number(drat,3))
# Let's create another function for cutting and wrapping a# variable. This time it will take a named argument instead of dots,# so we'll have to use the "enquote and unquote" pattern:wrap_cut<-function(var,n=3){# Let's enquote the named argument `var` to make it auto-quoting:var<-enquo(var)# `as_label()` will create a nice default name:nm<-as_label(var)# Now let's unquote everything at the right place. Note that we also# unquote `n` just in case the data frame has a column named# `n`. The latter would have precedence over our local variable# because the data is always masking the environment.wrap_by(!!nm:=cut_number(!!var,!!n))}# Thanks to tidy eval idioms we now have another useful wrapper:p+wrap_cut(drat)
