Just as with discrete signals, the convolution of continuous signals can beviewed from theinput signal, or theoutput signal. The input side viewpoint isthe bestconceptual description of how convolution operates. In comparison,the output side viewpoint describes themathematics that must be used. Thesedescriptions are virtually identical to those presented in Chapter 6 for discretesignals.
Figure 13-2 shows how convolution is viewed from the input side. An inputsignal,x(t), is passed through a system characterized by an impulse response,h(t), to produce an output signal,y(t). This can be written in the familiar mathematical equation,y(t) =x(t) *h(t). The input signal is divided intonarrow columns, each short enough to act as animpulse to the system. In otherwords, the input signal is decomposed into an infinite number of scaled andshifted delta functions. Each of these impulses produces a scaled and shiftedversion of the impulse response in the output signal. The final output signal isthen equal to the combined effect, i.e., the sum of all of the individualresponses.
For this scheme to work, the width of the columns must be much shorter thanthe response of the system. Of course, mathematicians take this to the extremeby making the input segmentsinfinitesimally narrow, turning the situation intoa calculus problem. In this manner, the input viewpoint describes how a singlepoint (or narrow region) in the input signal affects a larger portion of outputsignal.
In comparison, the output viewpoint examines how a single point in the outputsignal is determined by the various values from the input signal. Just as withdiscrete signals, each instantaneous value in the output signal is affected by asection of the input signal, weighted by the impulse response flippedleft-for-right. In the discrete case, the signals are multiplied andsummed. Inthe continuous case, the signals are multiplied andintegrated. In equation form:

This equation is called the convolution integral, and is the twin of theconvolution sum (Eq. 6-1) used with discrete signals. Figure 13-3 shows howthis equation can be understood. The goal is to find an expression forcalculating the value of the output signal at an arbitrary time,t. The firststep is to change the independent variable used to move through the inputsignal and the impulse response. That is, we replacet with τ (a lower case

Greek tau). This makesx(t) andh(t) becomex(τ) andh(τ), respectively. This change of variable names is needed becauset is already being used to representthe point in the output signal being calculated. The next step is to flip theimpulse response left-for-right, turning it intoh(-τ). Shifting the flippedimpulse response to the locationt, results in the expression becomingh(t-τ). The input signal is then weighted by the flipped and shifted impulse response by multiplying the two, i.e.,x(τ)h(t-τ). The value of the output signal is thenfound by integrating this weighted input signal from negative to positiveinfinity, as described by Eq. 13-1.
If you have trouble understanding how this works, go back and review the sameconcepts for discrete signals in Chapter 6. Figure 13-3 is just another way ofdescribing the convolution machine in Fig. 6-8. The only difference is thatintegrals are being used instead of summations. Treat this as an extension ofwhat you already know, not something new.
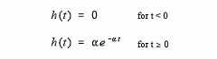
An example will illustrate how continuous convolution is used in real worldproblems and the mathematics required. Figure 13-4 shows a simple continuouslinear system: an electronic low-pass filter composed of a single resistor and asingle capacitor. As shown in the figure, an impulse entering this systemproduces an output that quickly jumps to some value, and then exponentiallydecays toward zero. In other words, the impulse response of this simpleelectronic circuit is aone-sided exponential. Mathematically, the


impulse response of this system is broken into two sections, each representedby an equation:

where α = 1/RC (R is in ohms,C is in farads, andt is in seconds). Just as in the discrete case, the continuous impulse response contains complete informationabout the system, that is, how it will react to all possible signals. To pursue thisexample further, Fig. 13-5 shows a square pulse entering the system,mathematically expressed by:

Since both the input signal and the impulse response are completely known asmathematical expressions, the output signal,y(t), can be calculated byevaluating the convolution integral of Eq. 13-1. This is complicated by the factthat both signals are defined byregions rather than a single


mathematical expression. This is very common in continuous signal processing. It is usually essential to draw a picture of how the two signals shift over eachother for various values oft. In this example, Fig. 13-6a shows that the twosignals do not overlap at all for . This means that the product of the twosignals is zero at all locations along the τ axis, and the resulting output signalis:

A second case is illustrated in (b), wheret is between 0 and 1. Here the twosignals partially overlap, resulting in their product having nonzero valuesbetween τ = 0 and &tau =t. Since this is the only nonzero region, it is the onlysection where the integral needs to be evaluated. This provides the outputsignal for 0 ≤t ≤ 1, given by:

Figure (c) shows the calculation for the third section of the output signal, wheret > 1. Here the overlap occurs between τ = 0 and τ = 1, making the calculationthe same as for the second segment, except a change to the limits of integration:

The waveform in each of these three segments should agree with yourknowledge of electronics: (1) The output signal must be zero until the inputsignal becomes nonzero. That is, the first segment is given byy(t) = 0 fort < 0. (2) When the step occurs, the RC circuit exponentially increases to match theinput, according to the equation:y(t) = 1 -e-αt. (3) When the input is returned to zero, the output exponentially decays toward zero, given by the equation:y(t) =ke-αt (where k =eα - 1, the voltage on the capacitor just before thedischarge was started).
More intricate waveforms can be handled in the same way, although themathematical complexity can rapidly become unmanageable. When faced witha nasty continuous convolution problem, you need to spend significant timeevaluatingstrategies for solving the problem. If you start blindly evaluatingintegrals you are likely to end up with a mathematical mess. A commonstrategy is to break one of the signals into simpler additive components that canbeindividually convolved. Using the principles of linearity, the resultingwaveforms can be added to find the answer to the original problem.
Figure 13-7 shows another strategy: modify one of the signals in some linearway, perform the convolution, and then undo the original modification. In thisexample the modification is thederivative, and it is undone by taking theintegral. The derivative of a unit amplitude square pulse is twoimpulses, thefirst with an area of one, and the second with an area of negative one. Tounderstand this, think about the opposite process of taking the integral of thetwo impulses. As you integrate past the first impulse, the integral rapidlyincreases from zero to one, i.e., a step function. After passing the negativeimpulse, the integral of the signal rapidly returns from one back to zero,completing the square pulse.
Taking the derivative simplifies this problem because convolution is easy whenone of the signals is composed of impulses. Each of the two impulses inx'(t)contributes a scaled and shifted version of the impulse response to

the derivative of the output signal,y'(t). That is, by inspection it is known that:y'(t) =h(t) -h(t - 1). The output signal,y(t), can then be found by plugging inthe exact equation forh(t), and integrating the expression.
A slight nuisance in this procedure is that the DC value of the input signal is lostwhen the derivative is taken. This can result in an error in the DC value of thecalculated output signal. The mathematics reflects this as the arbitrary constantthat can be added during the integration. There is no systematic way ofidentifying this error, but it can usually be corrected by inspection of theproblem. For instance, there is no DC error in the example of Fig. 13-7. Thisis known because the calculated output signal has the correct DC value whentbecomes very large. If an error is present in a particular problem, anappropriate DC term is manually added to the output signal to complete thecalculation.
This method also works for signals that can be reduced to impulses by takingthe derivativemultiple times. In the jargon of the field, these signals are calledpiecewise polynomials. After the convolution, the initial operation of multiplederivatives is undone by taking multiple integrals. The only catch is that thelost DC value must be found at each stage by finding the correct constant ofintegration.
Before starting a difficult continuous convolution problem, there is anotherapproach that you should consider. Ask yourself the question:Is amathematical expression really needed for the output signal, or is a graph of thewaveform sufficient?If a graph is adequate, you may be better off to handle theproblem withdiscrete techniques. That is, approximate the continuous signalsby samples that can be directly convolved by a computer program. While notas mathematically pure, it can be much easier.