1. はじめに 世の中にはDeepLearningの学習済みモデルを公開してくださっている方がたくさんいらっしゃいます。本記事は、そのうちのいくつかをラズパイ4で動かしてみて、いったいどれくらいの速度で動くのかを検証したものです。 計測対象モデルとして、Mediapipe および TensorFlow.js、TensorFlow Lite models で公開されている学習済みモデルを利用させて頂きました。またモデル実行フレームワークとしては、モバイル向けに整備が進む TensorFlow Lite (C++) を用いました。 計測にあたっては、公開されているモデルをそのまま動かすだけでなく、一般的な高速化手法である下記の2手法を両方試し、その効果も計測しました。 [1] モデルをint8量子化する方法 演算精度に多少目をつぶる代わりに、NEON等のSIMD演算器による並列処理の並列度をさ

The TensorSpace.js works well onChrome, Safari, Firefox. TensorSpace is also compatible to mobile browsers. TensorSpace.org provides documents, downloads and live examples of TensorSpace.js. The source code of TensorSpace.js is available atGithub. For questions, issues, and suggestions please use the issue section of theGithub project.
Deleted articles cannot be recovered. Draft of this article would be also deleted. Are you sure you want to delete this article? TL;DRColabのTPUを使って今すぐCNNを試してみよう。ものすごい速いぞ。 はじめに 9/26夜、GoogleColaboratoryユーザーに激震が走った。 **ハードウェアアクセラレータにTPUが使えるようになってる!?**TPU(Tensor Processing Unit)凄さはこのニュースを見れば恐ろしいほど伝わってくる。 COOL Chips 21 -GoogleのWebサービスを支える「TPU」 https://news.mynavi.jp/article/20180424-621091/ TPU v1はIn

(この記事は、「fukuoka.ex(その2) Elixir Advent Calendar 2017」の24日目、および「ディープラーニングのエンジニアリング Advent Calendar 2017」の6日目です) 昨日は、@tuchiroさんのElixirでSI開発入門 #9Railsからのモデルの移行2(DDLをパースする)でした 前回までElixirからRustlerを経由して外部言語インターフェースのさまざまな可能性を探ってきました。 今回はGCPの公式コンテナである「Cloud Datalab」にElixirをインストールして、ElixirのTensorFlowバインディングである「Tensorflex」を試してみます。 前回までの記事は、以下になります ElixirのGenStageに入門する #1 |> ElixirのGenStageに入門する#2 バックプレッシャーを

TensorFlowのためのGPU環境をGCPのGoogle Compute Engine (GCE)で構築するには、GPUの割り当て申請(初回のみ。所要時間は約5分) CUDAやcuDNNをインストール(NVIDIAのサイトからダウンロードしたりインストールしたりなんだりでスゲー時間かかって面倒) TensorFlowをインストール(所要時間は約5分) って手順が必要。しかし最近、Cloud DatalabのGPUインスタンスが利用可能になったおかげで、この手順がぐんと簡単になった。GPUの割り当て申請(初回のみ。所要時間は約5分) Cloud Datalabインスタンスを作成(コマンド一発、待ち時間は15分ほど) これでOK。DatalabインスタンスにはTensorFlowだけじゃなくて、scikit-learnとかpandas、matplotlib等の定番ツールも入ってるので、

こんにちは、freee株式会社でエンジニアをやっている米川(@yonekawa)です。最先端のテクノロジーを使って新しいソリューションを生み出していくことをミッションにした、CTW (Change The World) という役職で働いています。 この記事はfreee Developers Advent Calendar 2017の23日目です。機械学習ではアルゴリズムや大規模データ処理が注目されがちですが、学習したモデルをどうやってサービスで運用するかも悩ましい問題です。実験やアルゴリズムの検証では強力なツールが揃っているPythonがよく使われるので、そのままPythonでAPI作るケースが多いと思います。しかしプロダクション環境で運用するとなると開発しやすさ以外にも、大量リクエスト時のパフォーマンスやデプロイ、モデルの精度評価やA/Bテストなどさまざまな課題があります。 またfre

この記事は ex-mixi Advent Calendar 2017 23 日目のエントリーです。 こんにちは。hnakagawa と申します。 mixiには中途で入り3年ほど在籍してました。入社当初の配属は、たんぽぽという謎チームで当時まだ黎明期だったネイティブ・アプリの開発環境の整備やフレームワーク開発を主に行っていました。 自分は組み込み畑からこの業界で仕事を始め、mixiの様なWeb系に行ったり組み込みに戻ったり、レイヤの上下を行き来するキャリアを送っていますが、アプリのスタートアップを経て去年ぐらいからMLプラットフォームの下回の仕事をするようになり、最近はex-mixiが集う人材吸引会社に吸い込まれたと噂されています? ※注 自分は研究者でもMLエンジニアでもなく、あくまで下回りの知識を活かしMLエンジニアがモデル作成に集中できるような環境を整えるのが現在の仕事 はじめに 今日

【最終更新 : 2017.12.17】 ※以前書いた記事がObsoleteになったため、2.xできちんと動くように書き直しました。データ分析ガチ勉強アドベントカレンダー 17日目。 16日目に、1からニューラルネットを書きました。 それはそれでデータの流れだとか、活性化関数の働きだとか得るものは多かったのですが、Kerasと言うものを使ってみて、何て素晴らしいんだと感動してしまいました 今まで苦労して数十行書いていたものが、わずか3行で書ける! 正直、スクラッチで書く意味って、理解にはいいけど研究や分析には必要あんまないんですよね。車輪の再発明になるし。 と言うわけで、使えるものはどんどん使っていこうスタンスで、今日はKerasの紹介です! Tutorial+気になった引数を掘り下げて補足のような感じで書いています。 ちなみに、各部のコード以下をつなぎ合わせるとmnistの分類器が動くよ

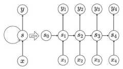
Recurrent NeuralNetworksとは何か RNNの応用事例 機械翻訳音声認識 画像の概要生成 説明文からの画像生成 知っておくと便利なRNNの種類と進化Simple RNN LSTM GRU Bi-directional RNN Attention RNN Quasi-Recurrent NeuralNetwork TensorFlowによるRNNの実装 まとめ 参考文献 人間は、目の前で起きた出来事から、次に起こりそうな出来事を予測しながら文脈を読んで判断を下すことができます。例えば、車を運転している際に歩行者が飛び出しそうだと思えば、十分な間隔を置いて走行することが出来るでしょう。 また、現実世界は時間の制約を受ける事象はたくさんあります。アニメーションなどのストーリーでは、前回の文脈を前提として次の展開が進んでいきます。 Recurrent Neural Ne

Cloud ML Engine のruntime versionが1.2になったので、Kerasが小細工なしで使えるようになりました。TensorFlowの高レベルAPIもいい感じになって来ていますが、やはりKerasのpretrained modelの多さは魅力的です。とりあえずやり方だけ把握しておこうと、せっかくなので学習だけでなくOnline PredictionもKerasモデルでserveしてみました。 Cloud ML Engineとは TensorFlowのフルマネージドな実行環境です。分散環境で学習、オートスケールしAPIで推論リクエスト可能なOnline Prediction等、TensorFlowの運用には最高の環境です。 KerasをCloud ML Engine(training)で使う 注意するのは、 Kerasのimportをtf.contribからする job

Cloud ML Engineへ学習JobをJupyterから簡単に投げたいなぁと思い、そんなJupyter用 Magic Command Extensionを作りました。 Jupyterで書いたモデルを、Runすればクラウド上で実行することができます。 こんな感じ。 Cloud ML Engineとは 簡単に言えばTensorFlowの学習や予測JobをCloud上で実行できるマネージドな環境です。一般的にはDistributed TensorFlowで大規模に学習をさせるケースが多いかと思いますが、私のようにメインマシンがMacBookでGPUも使えない環境の場合は、GPUを気軽に使えるリモートの環境として重宝しています。 また、GCEとは違ってJobが終われば自動で立ち下がるため、インスタンス落とし忘れで課金が大変な事になる心配もありません。 準備Google Cloud SDKの

Google CloudMachine Learning がパブリック・ベータになった旨のお知らせを頂きましたのでさっそく試してみました。サービスの概要は以下に記されています :Google Cloud Big Data andMachine LearningBlog 要約すれば、Google CloudMachine Learning はGCP (Google Cloud Platform) と統合され、Google CloudDataflow、BigQuery、Cloud Storage そして Cloud Datalab のようなクラウド・コンピューティング・ツールと TensorFlow に渡るリッチな環境をスケールして作成可能なフルマネージドサービスになります。 また、新しい特徴として HyperTune があります。これは自動的に予測精度を改善します。モデルのため
今回のネタは TensorFlow を使っていると、いつも目にしていた警告について。 それは、次のようなもの。 W tensorflow/core/platform/cpu_feature_guard.cc:45] The TensorFlow library wasn't compiled to use SSE4.1 instructions, but these are available on yourmachine and could speed upCPU computations. W tensorflow/core/platform/cpu_feature_guard.cc:45] The TensorFlow library wasn't compiled to use SSE4.2 instructions, but these are available on yo

昨今流行りの機械学習ですが、環境構築が難しい場面が多く感じられたので、備忘録兼一つの情報提供になればと思い記事にします。 環境Windows10上のUbuntu 16.04.1 LTS(VirtualBoxを使用) ※環境構築に関しては他サイトなどを参考にしてください [1] [2] [3] 記事の目的 この記事はインストールされたばかりのゲストOSであるUbuntuで機械学習やディープラーニングをPyCharmで行えるようにするというものです。具体的にはTensorFlowやNumPyなどを使用できるようにする。 ※今回はCPUのみのTensorFlow環境をつくります。 ※間違いやほかにうまいやり方がありましたら指摘していただけると嬉しいです。 手順 Anaconda3のインストール(これにより基本のPython環境を整えます)Python3.5環境の構築 PyCharmのインスト

mizti さんのAWS Step FunctionsとLambdaでディープラーニングの訓練を全自動化する を自分の求めるものに従って微修正したものです。 背景AWS の高性能GPU マシン、 p2 インスタンスでDeepLearning (TensorFlow) の学習を回したい でも p2 は高い!! スポットインスタンスを使うと安い! しかしスポットインスタンスは実行中に入札額によって強制シャットダウンされる 学習中データを定期的に S3 にアップロードしたい スポットインスタンスを立ち上げて学習開始するのを自動化したい 学習完了時に勝手にインスタンスをシャットダウンしたい 仕様 学習開始のSlack 通知 データ格納先の S3 のチェック bucket は存在するか? 既に学習結果格納ディレクトリが無いか?(上書きしないようチェック) スポットインスタンスへの入札と、結

Deleted articles cannot be recovered. Draft of this article would be also deleted. Are you sure you want to delete this article? TensorFlowにもRNN(Reccurent NeuralNetwork) が実装されており,Tutorialもあるものの,例題自体が言語モデルを扱った少し複雑なもので,初学者にはとっつきにくいなと感じました. 今回は言語モデルでない,より単純なモデルを扱う問題を例に挙げ,TensorFlowでのRNN実装を試します. 注意 TensorFlowのバージョンがあがり,動かなくなっている部分があるので,こちら(TensorFlow RNN関連のimportやBasicLSTMCellでエラーが出た場合の対処(v 0.11r~))

これはTensorFlow Advent Calendar 2017の22日目の記事です。 12/12にGoogleからTFGANがリリースされた。TFGANはTensorFlowでGenerative AdversarialNetworks (GAN)を手軽に使えるライブラリ。さっそく触ってみたので、お手軽に試す手順を紹介したい。おそらく30〜60分ほどでこんなふうにFashion MNISTの画像が徐々に生成されていく様子が確認できるはず。 TFGANで生成したFashion MNIST画像 GANって何? GANについては、アイドル顔画像生成やいらすとや画像生成などの事例で目にしたことのある人も多いはず。いわゆる生成モデルに分類される技法で、既存のデータを投入して学習すると、そのデータの特徴を捉えた新しいデータの生成を行える。2014年にIanGoodfellow他が考案したモデ

リリース、障害情報などのサービスのお知らせ
最新の人気エントリーの配信
処理を実行中です
j次のブックマーク
k前のブックマーク
lあとで読む
eコメント一覧を開く
oページを開く