海外ポスドク後にどのような進路を選ぶか非常に迷ったのですが、2022年の4月に東京大学の助教に着任しました。着任して色々思うことはありますが、この1年間、私が何をしていたのかを淡々と書いていきます。 ※リアルバレしたくないので具体的なことは書かないようにしますし敢えてまわりくどい(読み方)書き方をしています。俺の友達以外読むな。 期待を胸に着任まず3月中旬に家探しのついでに所属先となる研究室を訪問したが、そこの准教授が私の存在をご存知でなかった。「着任する前田です」「えぇ〜!!!マジですか?w」初手から暗雲が立ち込める。 4/1に専攻長から辞令を受け取り、「これから頑張ってください」と言われただけで終了。労働の詳細についての説明は一切無し。誰にも何も言われない。ガイダンスも無し。自由というよりは統制のない無法地帯に近い。大学教員の仕事って何なんだろうな…。 ちなみに、着任のお祝いも一切何も

「日本の大学がトップ10にない」「トップ100以内に少ない」ことばかり取り沙汰される世界大学ランキングだが、実は500位以内およびその近傍にまで視野を広げると、日本は2010年時点ではランクイン数で米英独に次ぐ世界第4位を誇っていた。ところが2022年には国別で8位まで後退し、中国に抜かれ、韓国と同順位になっている。 「日本の大学システムは『頂点の高さ』ではなく『層の厚み』が特徴であり良さだったが、これが今や失われつつある」――『国立大学システム 機能と財政』(東信堂)を著した島一則・東北大学大学院・教育学研究科教授の見解だ。旧帝大などとの大学間格差が広がる、地方国立大学の教育・研究環境の悪化とその原因について島氏に訊いた。 現在の国立大学への予算配分は、全体の食糧給付を減らして一部に栄養ドリンクを配るようなもの――現在の地方国立大学の教育・研究の窮状から教えてください。 島 これからお話

人生及び2度目の大学進学の途中経過を報告したりしなかったりする 気が付いたら2021年も半分が過ぎていて、最近は大晦日更新もさぼっている*1ので全然ここを更新していないのですが、幸か不幸かまだ死んでいません。はてなブックマークでは度々言及しているように、基本的に反出生主義者なので生き延びる事にもさほど価値を感じないがゆえに「幸か不幸か」。 実は昨年末くらいから2度目の大学進学ことUoPeople*2の体験記を書いていたのですが、公開するタイミングを逃しつつ内容を追記していったら長大になりすぎてしまったので公開を諦めることにしました。このエントリはいわば諦め宣言です。 UoPeopleに行くきっかけとなった働きながら米国のコンピュータサイエンスの学士号を取得する、UoPeopleという選択肢 - Velocityとか、楽しく読ませてもらった体験記Computer Scienceの学位を取る
ジョージア工科大学のOnline Master of Science in Computer Science(OMSCS)に合格した 受験者の参考までに,合計作業時間572時間29分02秒の内訳と推移を公開するサイトを約82時間21分11秒かけて作った本記事では,上記のサイトとその作り方を概説する 「ジョージア工科大学に合格するまでの572時間29分02秒」 背景 OMSCS ジョージア工科大学(Georgia Institute ofTechnology)とは,アメリカのアトランタにメインキャンパスを構える,州立大学です.THEのWorld UniversityRankings 2021で総合第38位,コンピューターサイエンス(以下,CS)で第13位と評価されています. OMSCS(Online Master of Science in Computer Science)とは,ジョ

下記のまとめに対して「オンライン授業なのになんで履修者数を制限するのか」という主旨のコメントが複数付いているのが気になったので少し私の知っている事情や体験について書いておくことにしました。togetter.com 大学ごとに様々な違いがあるので私の話がどれくらい上記のケースの参考になるかは分かりません。原則論としてどんな事情があるにせよ学生があまりにも希望の授業を受講できないというのは教育機関として問題だろうとは思うのですが,まとめを読む限りでも大学,あるいは学部の事情がありそうですのでそこはあまり踏み込まないことにします。 ただ下でも少し書きますが決して他人事というわけではなく,私の担当科目の中にも抽選による履修制限をすることがあるものがあってそこで「ほかでも抽選で落ちまくったので落ちたらきつい」というコメントをもらうことがあり,身近な問題でもあります。 オンライン授業でも制限なく受け
「人種差別や性差別が嫌われている時代にあって、学歴偏重主義は容認されている最後の偏見なのだ」マイケル・サンデル『実力も運のうち 能力主義は正義か?』試し読み マイケル・サンデル『実力も運のうち 能力主義は正義か?』鬼澤忍訳、ハヤカワ・ノンフィクション文庫 【試し読み】 容認されている最後の偏見イギリス、オランダ、ベルギーで行なわれた一連の調査で、社会心理学者のあるチームがこんな発見をした。大学教育を受けた回答者は、教育水準の低い人びとに対する偏見が、その他の不利な立場にある集団への偏見よりも大きいというのだ。この研究者チームは、高学歴のヨーロッパ人が、差別の被害者になりやすいさまざまな人びと──イスラム教徒、西欧に暮らすトルコ系住民、貧しい、太っている、目が不自由、低学歴といった人びと──にどんな態度をとるかを調べた。すると、教育水準の低い人びとがとりわけ嫌われていることがわかった。 アメ

2021.03.06 各府省の出している競争的研究費に関して、事務手続きのルールがバラバラだったり、事務処理に手間がかかったりして、研究者の時間が無駄に奪われているという問題提起がありました。 そこで井上信治大臣と相談の上、2021年4月1日以降に実施する事業から、各府省あわせて100件以上に及ぶ競争的研究費の事務手続きを統一し、併せて簡素化することにいたしまた。 各種提出書類の様式や提出期限、消耗品の取扱などのルールが統一されます。 各種書類の押印省略やデジタル化、簡素化が徹底されます。 購入した研究機器の譲渡等に関する手続きを迅速化します。 これが最終的というわけではなく、さらに改善の余地があれば改善していきます。 統一ルールはこちらをご覧ください。 https://www8.cao.go.jp/cstp/compefund/toitsu_rule_r30305.pdf

30代前半で旧帝大の助教 (任期無し)。我ながら、この業界では勝ち組と呼ばれる部類だと思う。 日本トップクラスとも言えるこのポジションで、私が普段何をしているのかを書いてみたい。 研究指導 (12 時間/週)私の在籍する研究室に居る学生のうち 8 名 に対して研究指導を行っている。各人に対し、一対一のミーティングを週に 1 時間半行うため、トータルで週 12 時間となる。 基本的に、私がやれば 2 週間で片付くような作業に 2 年くらい費やす学生が大半だ。旧帝大とは言え、自力で英語論文の読解や、プログラムのバグ取りができない学生の方が標準的なので、これはまあ仕方がない。これで賃金をいただいている以上、真摯に取り組む他ない。 研究室内の輪読会 (3 時間/週)専門書を学生だけで読むのはハードルが高く消化不良にしかならないため、解説役として教員が参加する必要がある。私は 2 種類の輪読会に参加

※取りに行く話なのでまだ取ってません。 界隈ではコンピュータサイエンス(以下CS)を学ぶことが流行っていますが、これはとあるパパのとある一例です。どなたかの参考になれば。 こちらの通り申請致しました。 https://t.co/IDkVJAWjc2— Y (@wbspry) 2021年2月13日 誰? 事の経緯 なぜ大学でCS・数学を学びたいのか CS系学位を課す外資大企業たち CSできるマンへの憧れ 立ちはだかる数学の壁 dynamicなものよりstaticなもの ところで、CSって何? 選択肢と選択 なぜUoPeopleではなかったか 週次の人巻き込み課題が大変そう 単位移行が可能なのか(※当時は)よくわからなかった とはいえ なぜ帝京理工通信ではなかったか なぜJAISTではなかったか 学位授与機構との出会い 新しい学士への途(単位累積加算制度)とは 学位取得までの流れ そして単位集

この記事は社会人学生 Advent Calendar 2020 7日目の記事です。 米国のオンライン大学University of the People(以下、UoPeople)に入って約1年経った振り返り記事となります。 これまでのUoPeople関連の記事はこちら 自分について University of the Peopleとは 動機 入学するには 授業について 卒業までの所要期間 Computer Science専攻はどんなコースが受けられるのか これまでの進捗 これまでにかかった金額 課題がめっちゃ出る どうやって勉強時間を確保しているか よかったところ 学習内容への満足度は高い英語のライティングスキルは多分あがった 日英両方でインプットするメリット 毎日強制的にアウトプットできる。 GPAのためなら頑張れる よくなかったところ National Accreditationなの

牛腸 徹 & 清野 和彦 数理科学研究科棟 5階524号室 牛腸が数学の魅力#05 ―女子中高生のために― で講演しました。 講演題目 : 「行列」ってなに?おもしろいの? 講演要旨 配付冊子 このサイトの目的は、 牛腸徹及び清野和彦が現在担当している、および過去に担当した 演習や全学ゼミナールのために作成した問題や解説の資料を、PDF(および DVI)形式のファイルとして提供することです (が、事情により清野の作成した資料は未公開としています)。2023年度 (今年度)2022年度 2021年度 2020年度 2019年度 2018年度 2017年度 2016年度 2015年度 2014年度 2013年度 2012年度 2011年度 2010年度 2009年度 2008年度 2007年度 2006年度 2005年度 2004年度 2003年度 2002年度 2001年度 2000
<民俗学者の大月隆寛氏が本誌に緊急寄稿。札幌国際大学を「懲戒解雇」された経緯と、経営難が続く地方大学が抱える問題とは> 勤めていた大学から「懲戒解雇」を申し渡された。北海道は札幌にある札幌国際大学という、今年で創立51年目になる小さな私大だ。地元の人たちには前身の静修短期大学という名前のほうが今でも通りがいいかもしれない。 こういう地方の私大のご多分に漏れず近年は定員割れが続き、わらにもすがる起死回生の策ということだったのだろうか、2019年度から外国人留学生を大量に入れるようになった。 ところが、その入れ方がずさんで、大学で学べるだけの日本語の能力の目安として留学生受け入れの条件になっている「N2」という日本語能力試験の基準をクリアしていない学生をたくさん入れてしまった。しかも、留学生を抱えた大学に課されている在学中の在籍管理──勉学面のみならず、一定時間以上のバイトをしていないか、など
原 亨和(はら みちかず、1965年3月7日 - )は、日本の化学者。東京工業大学物質理工学院超機能物質講座教授[1][2]、フロンティア材料研究所融合機能応用領域教授。 米国の科学誌サイエンティフィック・アメリカンが、政策、経営も含め、その年に科学技術分野で顕著な業績を上げた人物、組織50を選ぶ「2006年トップ50」に選ばれている[3]。 1965年 神奈川県横浜市生まれ 1977年 リポビタンDを大量に摂取し2日間入院 1983年 関東学院高等学校卒業 1986年 東京理科大学理学部化学科卒業 1992年 東京工業大学大学院総合理工学研究科電子化学専攻博士課程修了。同年株式会社東芝入社、研究開発センター勤務 1996年 東京工業大学資源化学研究所触媒化学部門助手 1999年 米国ペンシルベニア州立大学化学科で博士研究員 2000年 東京工業大学資源化学研究所触媒化学部門助教授 200
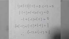
青猫 @AonekoSS @marsh0604 (−1)×(−1) = (−1)^2 = (cosπ+i sinπ)^2 ※複素数平面に展開して = cos2π+i sin2π ※ド・モアブルの定理で = 1 + i・0 ※ゼロの乗算は別途必要やも = 1 中学生向けじゃない…… 2020-07-05 10:47:34

大学生活も終わりを迎えようとしているので、過去6年間の大学生活で勉強したことを大まかにまとめつつ振り返ろうと思います。 当時読んだ書籍に沿って書こうと思うので、タイトルを拾うことで僕と近しい進路の人が学ぶことの一例を垣間見えるかもしれません。 各本に付属する本文は思い出話で書評ではないので留意してください。 書籍は大学の講義に直接関係あるか、或いは専門である情報系の物とその周辺分野(機械学習に用いる数学/物理など)で、記憶にもある物に限定します。 オンラインリソースや論文などは基本的に割愛します。 また、情報系の書籍でもソフトスキル系の話は省きます。 繰り返しになりますが、この文章全体は広義の日記で、何かを薦めたり批評したりする意図はありません。 大学1年 所属は理科一類でした。 初めての一人暮らしやサークルなどに時間を取られ最初の数週間は講義から置いていかれがちだったことを覚えています。

JAISTに入学してようやくひと月が経ちました1。 ひと言でいうとJAISTは最高です。働きながら大学院生になった感想を残しておこうと思います。 JAISTは最高 JAISTは最高です。僕は東京サテライトの学生なので以下特に「石川本校」と断りのない限り東京社会人コースのことだと思ってください。 学生のレベルとモチベーションが高い 社会人コースはその名の通り社会人しかいません。働きながら勉強しようという連中なので当然非常に高いモチベーションです。 グループワークをするとみんなつばを撒き散らしながら白熱の議論をしますし、発表するとなるとマイクを奪い合って登壇します。 また、どういうわけかすでに高い教育を受けて世界を股にかけて活躍している第一線のビジネスパーソンがずらりと揃っています。JAISTは入試の際に「自分の出身大学、指導教官、勤め先などを一切明かしてはならない」というルールがあります。こ
リリース、障害情報などのサービスのお知らせ
最新の人気エントリーの配信
処理を実行中です
j次のブックマーク
k前のブックマーク
lあとで読む
eコメント一覧を開く
oページを開く