IP ProtectionCompiling your source code forsecurity. If you're a commercial user, ensure that all of your data and files are secured and that there are no readable strings. PerformanceBoost your program runtime and launch performance. DeploymentEnjoy hassle-freePython deployment with standalone distributions, onefile, PyPI wheels, and more.
こんにちは、21Bのseasonです。この記事はtraP夏のブログリレー3日目の記事です。 自作Cコンパイラでセルフホスト達成しました。 リポジトリ: https://github.com/season1618/c-compiler/tree/main 自作Cコンパイラでセルフホスト達成しました!!!!!!🎉🎉🎉https://t.co/8fLIAJWksQ pic.twitter.com/2fgH5sKoZ0 — season (@season1618) July 27,2022 実際にどうやって作るかを書くと長くなるので、ここでは経緯とか完成までの流れとかを書こうと思います。一応開発メモは以下に上げておきました。 開発メモ: https://github.com/season1618/note/blob/main/cs/c-compiler/index.md 経緯 大学の講義で

この記事は「fukuoka.ex Elixir/Phoenix Advent Calendar 2019」16日目です。 昨日の「fukuoka.ex Elixir/Phoenix Advent Calendar 2019」は @pojiro さんの「作って学ぶPhoenix、IoTサーバー」でした。 前回は「#NervesJP Advent Calendar 2019」12日目と13日目にそれぞれ「Nerves の可能性は IoT だけじゃない(前編)〜ElixirとPelemayで世界の消費電力を抑える」と「Nerves の可能性は IoT だけじゃない(後編)〜Nervesで世界の消費電力を抑える」をお届けしました。 さて2019年11月の頭にこんなツイートをして反響を呼びました。 今日知った衝撃の事実。Elixir は,Erlang を GCC でコンパイルするのか,Clang で

Data Science inPython, Volume 2: Data I/O, JupyterNotebook,GUI, Deployment, NumericProgramming, High PerformancePython (English Edition)posted with カエレバAlexander Stepanov 2016-04-25Amazonで探す楽天市場で探すYahooショッピングで探す 目次 目次 はじめにPython JITコンパイラライブラリ Numba Numbaのインストール Numbaの速度比較 引数の指定GPUの利用 最後に 参考資料 MyEnigma Supporters はじめにPythonは言語的にも、 エコシステム的にも大好きなのですが、 いかんせん、複雑で大規模なシステムを作ると、 速度が遅いのが気になる時があります

Numba makesPython code fast Numba is an open source JIT compiler that translates a subset ofPython and NumPy code into fastmachine code. Learn More Try Numba » AcceleratePython Functions Numba translatesPython functions to optimizedmachine code at runtime using the industry-standard LLVM compiler library. Numba-compiled numerical algorithms inPython can approach the speeds of C or FORTRAN.
Enhancing performance# In this part of the tutorial, we will investigate how to speed up certain functions operating on pandas DataFrame using Cython, Numba and pandas.eval(). Generally, using Cython and Numba can offer a larger speedup than using pandas.eval() but will require a lot more code.Note In addition to following the steps in this tutorial, users interested in enhancing performance are
Xuejun Yang is a Senior Staff Engineer at FutureWeiTechnologies. He is the DFA on the 2011 paper, “Finding and Understanding Bugs in C Compilers.” Today Ken and I discuss a clever idea from that paper. The paper was brought to our attentionjust now in a meaty comment by Paul D. We thank him forit—thetopic interests both of us. We don’t think Paul D. means to beanonymous, but in keeping with t
目的 「volatileって何?」という質問があり、自分の理解も曖昧だったので復習してみた。 勉強内容 volatileって? 何の意味があるの? コンパイラの最適化(置き換え)を抑止する コンパイラの最適化(リオーダー)を抑止する スレッドが値を参照する際に、必ず最新の値を見るようにする volatileって? 修飾子です。次のようにフィールドに対して付けます。 public class Hoge { public volatile int num; } 何の意味があるの? ぼくは次のように理解していますが、まだ自信はありません。 コンパイラの最適化(置き換え)を抑止する コンパイラの最適化(リオーダー)を抑止する スレッドが値を参照する際に、必ず最新の値を見るようにするJavaでは3つ目の説明ばかり見るのですが、これは結果として他のも対応されるからなのかな? まだよく分かっていません
この項目「メモリオーダリング」は途中まで翻訳されたものです。(原文:英語版 "Memory_ordering" 13:04, 21 January 2015 (UTC)) 翻訳作業に協力して下さる方を求めています。ノートページや履歴、翻訳のガイドラインも参照してください。要約欄への翻訳情報の記入をお忘れなく。(2015年2月) メモリオーダリング(英: Memory Ordering)とは、CPUによるコンピュータメモリへのアクセス順序を表わす。この言葉は、コンパイル時のコンパイラに生成されるメモリオーダリングか、実行時にCPUによって生成されるメモリオーダリングのいずれかを指す。 近代的なマイクロプロセッサでは、メモリオーダリングはメモリ操作の順番を入れ替えるCPUの特性を示す。メモリリオーダリングはアウト・オブ・オーダー実行の一種であり、キャッシュメモリやメモリバンクといった異なるタイ
(The old master has moved to historical/old branch. This is a new one uploaded in September 2020.) chibicc is yet another small C compiler that implements most C11 features. Even thoughit still probably falls into the "toy compilers" categoryjust like other small compilers do, chibicc can compile several real-world programs, including Git,SQLite, libpng and chibiccitself, without making modifi
はじめに このオンラインブックは執筆中です。完成版ではありません。フィードバックフォーム この本には一冊の本に盛り込むにはやや欲張りな内容を詰め込みました。本書では、C言語で書かれたソースコードをアセンブリ言語に変換するプログラム、つまりCコンパイラを作成します。コンパイラそのものもCを使って開発します。当面の目標はセルフホスト、すなわち自作コンパイラでそれ自身のソースコードをコンパイルできるようにすることです。 この本では、コンパイラの説明の難易度が急に上がりすぎないように、様々なトピックを本書全体を通じて次第に掘り下げていくという形で説明することにしました。その理由は次のとおりです。 コンパイラは、構文解析、中間パス、コード生成といった複数のステージに概念的に分割することができます。よくある教科書的アプローチでは、それぞれのトピックについて章を立てて解説を行うことになりますが、そのよう
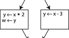
静的単一代入(せいてきたんいつだいにゅう、英: Static Single Assignment form, SSA)形式は、コンパイラ設計における 中間表現 (IR) のひとつで、各変数が一度のみ代入されるよう定義されたものである。もともとの中間表現における変数は「バージョン」に分割され、全ての変数の定義がバージョンを表現できるよう、通例新たな変数は元の名前に添え字を付けて表現される。SSA ではuse-def 連鎖が明示的であり、連鎖は要素を一つだけ持つ。 SSA はRon Cytron、Jeanne Ferrante、BarryRosen、Mark Wegman、Ken Zadeck および IBM の研究者たちにより1980年代に開発された。 Scheme、ML、Haskell などの関数型言語のコンパイラでは、Fortran や C などのコンパイラで SSA の利用が期待され

リリース、障害情報などのサービスのお知らせ
最新の人気エントリーの配信
処理を実行中です
j次のブックマーク
k前のブックマーク
lあとで読む
eコメント一覧を開く
oページを開く