DOI:10.1176/APPI.AJP.160.11.1965 - Corpus ID: 5911066
The serotonin system and spiritual experiences.
@article{Borg2003TheSS, title={The serotonin system and spiritual experiences.}, author={Jacqueline Borg and Bengt Andr{\'e}e and Henrik Soderstrom and Lars Farde}, journal={The American journal of psychiatry}, year={2003}, volume={160 11}, pages={ 1965-9 }, url={https://api.semanticscholar.org/CorpusID:5911066}}- J. BorgB. AndréeL. Farde
- Published inAmerican Journal of…1 November 2003
- Psychology
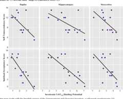
This finding in normal male subjects indicated that the serotonin system may serve as a biological basis for spiritual experiences, and the authors speculated that the several-fold variability in 5-HT(1A) receptor density may explain why people vary greatly in spiritual zeal.
220 Citations
220 Citations
No association between serotonin 5-HT1A receptors and spirituality among patients with major depressive disorders or healthy volunteers
- H. KarlssonH. KarlssonJ. HirvonenJ. SalminenJ. Hietala
- 2011
Psychology
The results do not support the idea that the serotonin system forms the biological basis of spiritual experiences among patients suffering from major depressive disorder or among healthy volunteers.
No evidence for a role of the serotonin 4 receptor in five-factor personality traits: A positron emission tomography brain study
The findings indicate that NEO personality traits and 5-HT4R are not related in healthy participants and suggest that5-HT tone per se is not directly implicated in normal personality traits.
Serotonin 5-HT1A receptor binding and self-transcendence in healthy control subjects—a replication study using Bayesian hypothesis testing
- G. GriffioenG. MathesonS. CervenkaL. FardeJ. Borg
- 2017
Psychology
A replication of the original study in a larger sample using Bayesian hypothesis testing could not replicate the previous findings of an association between 5-HT1A availability and the personality trait ST/SA, and the Bayesian analysis provided evidence for a lack of correlation.
Temperament, character and serotonin activity in the human brain: a positron emission tomography study based on a general population cohort
- L. TuominenJ. SaloL. Keltikangas-Järvinen
- 2012
Psychology
A link between high serotonin transporter density and high ‘self-directedness’ (ability to adapt and control one's behaviour to fit situations in accord with chosen goals and values) is found.
Self-transcendence trait and its relationship with in vivo serotonin transporter availability in brainstem raphe nuclei: An ultra-high resolution PET-MRI study
- Jong‐Hoon KimY. SonZ. Cho
- 2015
Psychology
Genes encoding for AP-2β and the Serotonin Transporter are associated with the Personality Character Spiritual Acceptance
- K. NilssonM. DambergL. Oreland
- 2007
Psychology
The personality trait openness is related to cerebral 5-HTT levels
- J. KalbitzerV. FrokjaerG. Knudsen
- 2009
Psychology
Search for correlations between serotonin 5-HT1A receptor expression and cognitive functions—a strategy in translational psychopharmacology
- J. BorgB. AndréeJ. LundbergC. HalldinL. Farde
- 2006
Psychology, Medicine
The results do not provide support for involvement of the 5-HT1A receptor in cognitive functioning in man and question the predictive validity of some currently used animal models in translational neuroscience.
Trait Openness and serotonin 2A receptors in healthy volunteers: A positron emission tomography study
- D. S. StenbaekS. KristiansenP. Fisher
- 2019
Psychology
The results indicate that differences in 5‐HT2AR availability are not related to variations in trait Openness in healthy individuals and that stimulation of the 5‐ HT2AR with compounds such as psilocybin may contribute to long‐term changes in traits Openness.
...
31 References
Dopamine Transporter Density and Novelty Seeking Among Alcoholics
- T. Pekka J. LaineA. AhonenP. RäsänenJ. Tiihonen
- 2001
Psychology, Medicine
Among alcoholics, NS correlated positively with DAT density, which is in line with Cloninger's theory concerning personality and character.
Serotonin 5-HT1A Receptor Binding Potential Declines with Age as Measured by [11C]WAY-100635 and PET
- J. TauscherN. VerhoeffS. Kapur
- 2001
Biology, Medicine
Pharmacogenetics and the serotonin system: initial studies and future directions.
- J. Veenstra-VanderWeeleG. AndersonE. Cook
- 2000
Medicine
Serotonin and Hallucinogens
- G. AghajanianG. Marek
- 1999
Medicine, Psychology
Pindolol binding to 5-HT1A receptors in the human brain confirmed with positron emission tomography
- B. AndréeS. ThorbergC. HalldinL. Farde
- 1999
Medicine
The study confirms that the 5-HT1A-receptor may be a clinically significant target for pindolol and uses a ratio analysis with the cerebellar cortex as the reference region.
A psychobiological model of temperament and character.
- C. CloningerD. SvrakicT. Przybeck
- 1993
Psychology
A psychobiological model of the structure and development of personality that accounts for dimensions of both temperament and character is described, for the first time, for three dimensions of character that mature in adulthood and influence personal and social effectiveness by insight learning about self-concepts.
Differential diagnosis of personality disorders by the seven-factor model of temperament and character.
- D. SvrakicCynthia WhiteheadT. PrzybeckC. Cloninger
- 1993
Psychology
It is concluded that low self-directedness and cooperativeness are core features of all personality disorders and are validly measured by the seven-factor Temperament and Character Inventory, but not the five-factor Neuroticism-Extraversion-Openness inventory.
Variability in D2‐dopamine receptor density and affinity: A PET study with [11C]raclopride in man
- L. FardeH. HallS. PauliC. Halldin
- 1995
Medicine
It is indicated that receptor density varies considerably in a group of healthy subjects, and upregulation of the receptor density (Bmax) has been widely discussed as a mechanism for increased dopaminergic neurotransmission in schizophrenia.
Temperament and Character in Adults with Asperger Syndrome
- H. SoderstromM. RåstamC. Gillberg
- 2002
Psychology
The self-ratings of persons with Asperger syndrome indicated anxious personalities with coping difficulties in the areas of social interaction and self-directedness, a picture corresponding to the clinical descriptions of Aspergers syndrome.
Related Papers
Showing 1 through 3 of 0 Related Papers

