Movatterモバイル変換
[0]ホーム

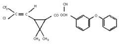
IPCS INTERNATIONAL PROGRAMME ON CHEMICAL SAFETY Health and Safety Guide No. 38CYHALOTHRIN AND LAMBDA-CYHALOTHRINHEALTH AND SAFETY GUIDE UNITED NATIONS ENVIRONMENT PROGRAMME INTERNATIONAL LABOUR ORGANISATION WORLD HEALTH ORGANIZATION WORLD HEALTH ORGANIZATION, GENEVA 1990 This is a companion volume to Environmental Health Criteria 99: Cyhalothrin Published by the World Health Organization for the International Programme on Chemical Safety (a collaborative programme of the United Nations Environment Programme, the International Labour Organisation, and the World Health Organization) This report contains the collective views of an international group of experts and does not necessarily represent the decisions or the stated policy of the United Nations Environment Programme, the International Labour Organisation, or the World Health Organization WHO Library Cataloguing in Publication Data Cyhalothrin and lambda-cyhalothrin : health and safety guide. (Health and safety guide ; no. 38) 1. Pyrethrins - standards I. Series ISBN 92 4 151038 2 (NLM Classification: WA 240) ISSN 0259-7268 (c) World Health Organization 1990 Publications of the World Health Organization enjoy copyright protection in accordance with the provisions of Protocol 2 of the Universal Copyright Convention. For rights of reproduction or translation of WHO publications, in part or in toto, application should be made to the Office of Publications, World Health Organization, Geneva, Switzerland. The World Health Organization welcomes such applications. The designations employed and the presentation of the material in this publication do not imply the expression of any opinion whatsoever on the part of the Secretariat of the World Health Organization concerning the legal status of any country, territory, city or area or of its authorities, or concerning the delimitation of its frontiers or boundaries. The mention of specific companies or of certain manufacturers' products does not imply that they are endorsed or recommended by the World Health Organization in preference to others of a similar nature that are not mentioned. Errors and omissions excepted, the names of proprietary products are distinguished by initial capital letters.CONTENTS INTRODUCTION1. PRODUCT IDENTITY AND USES1.1. Identity1.2. Physical and chemical properties1.3. Analytical methods1.4. Uses2. SUMMARY AND EVALUATION2.1. Human exposure2.2. Environmental exposure and fate2.3. Uptake, metabolism, and excretion2.4. Effects on organisms in the environment2.5. Effects on experimental animals and in vitro test systems2.6. Effects on human beings3. CONCLUSIONS AND RECOMMENDATIONS3.1. Conclusions3.2. Recommendations4. HUMAN HEALTH HAZARDS, PREVENTION AND PROTECTION, EMERGENCY ACTION4.1. Main human health hazards, prevention and protection, first aid4.1.1. Advice to physicians4.1.2. Health surveillance advice4.2. Explosion and fire hazards4.3. Storage4.4. Transport4.5. Spillage and disposal4.5.1. Spillage4.5.2. Disposal5. HAZARDS FOR THE ENVIRONMENT AND THEIR PREVENTION6. INTERNATIONAL CHEMICAL SAFETY CARD7. CURRENT REGULATIONS, GUIDELINES, AND STANDARDS7.1. Previous evaluations by international bodies7.2. Exposure limit values7.3. Specific restrictions7.4. Labelling, packaging, and transport7.5. Waste disposal BIBLIOGRAPHY INTRODUCTION The Environmental Health Criteria (EHC) documents produced by the International Programme on Chemical Safety include an assessment of the effects on the environment and on human health of exposure to a chemical or combination of chemicals, or physical or biological agents. They also provide guidelines for setting exposure limits. The purpose of a Health and Safety Guide is to facilitate the application of these guidelines in national chemical safety programmes. The first three sections of a Health and Safety Guide highlight the relevant technical information in the corresponding EHC. Section 4 includes advice on preventive and protective measures and emergency action; health workers should be thoroughly familiar with the medical information to ensure that they can act efficiently in an emergency. Within the Guide is an International Chemical Safety Card which should be readily available, and should be clearly explained, to all who could come into contact with the chemical. The section on regulatory information has been extracted from the legal file of the International Register of Potentially Toxic Chemicals (IRPTC) and from other United Nations sources. The target readership includes occupational health services, those in ministries, governmental agencies, industry, and trade unions who are involved in the safe use of chemicals and the avoidance of environmental health hazards, and those wanting more information on this topic. An attempt has been made to use only terms that will be familiar to the intended user. However, sections 1 and 2 inevitably contain some technical terms. A bibliography has been included for readers who require further background information. Revision of the information in this Guide will take place in due course, and the eventual aim is to use standardized terminology. Comments on any difficulties encountered in using the Guide would be very helpful and should be addressed to: The Manager International Programme on Chemical Safety Division of Environmental Health World Health Organization 1211 Geneva 27 Switzerland THE INFORMATION IN THIS GUIDE SHOULD BE CONSIDERED AS A STARTING POINT TO A COMPREHENSIVE HEALTH AND SAFETY PROGRAMME1. PRODUCT IDENTITY AND USES1.1 Identity Cyhalothrin is a chlorotrifluoro derivative of chrysanthemic acid. Although theoretically it could be a mixture of 16 enantiomers, this number has been reduced to 4 in actual practice. Lambda-cyhalothrin consists of the more active pair of enantiomers of cyhalothrin. Chemical structure:
Molecular formula: C23H19ClF3NO3 Trade names: Cyhalothrin: "Grenade" Lambda-cyhalothrin: "Karate", "Matador", "Icon" Synonyms: Cyhalothrin: R114563, PP563 Lambda-cyhalothrin: R119321, PP321 CAS chemical name: (R+S)-alpha-cyano-3-(phenoxyphenyl) methyl- (1S+1R)-cis-3-( z-2- chloro-3,3,3,-trifluoroprop- 1-enyl)-2,2-dimethylcyclopropane- carboxylate Chemical name: alpha-cyano-3-phenoxybenzyl-3-(2-chloro- 3,3,3-trifluoroprop-1-enyl)-2,2- dimethyl-cyclopropane-carboxylate CAS registry number: cyhalothrin:68085-85-8 lambda-cyhalothrin:91465-08-6 Technical grade cyhalothrin contains more than 90% of the active material. It is formulated in 5%, 10%, and 20% emulsifiable concentrates. Technical grade lambda-cyhalothrin contains more than 90% active ingredient. It is formulated as 2.5%, 5.0%, 8.3%, and 12% emulsifiable concentrates and as a 0.8% ultra-low-volume (ULV) formulation.1.2 Physical and Chemical Properties Some physical and chemical properties of cyhalothrin and lambda-cyhalothrin are listed on the International Chemical Safety Card (section 6). Technical cyhalothrin is a yellow-brown viscous liquid with a mild odour. Technical lambda-cyhalothrin is a beige solid with a mild odour. Cyhalothrin is extremely stable to light and at temperatures below 220°C. Dilute aqueous solutions are subject to photolysis, which occurs at a moderate rate.1.3 Analytical Methods The most widely adopted procedures for the determination of cyhalothrin residues in crops, animal tissues and products, soil, and other environmental samples are based on extraction of the residue with organic solvent and clean-up of the extract as necessary by solvent-solvent partition and adsorption column chromatography, followed by determination of the residue using gas chromatography (GC) with electron capture detection (GC/ECD). The identity of residues can be confirmed by GC with mass selective detection (GC-MSD) or by thin-layer chromatography (TLC) followed by GC/ECD.1.4 Uses Cyhalothrin is a pyrethroid insecticide, highly active against a wide range of species of Lepidoptera, Hemiptera, Diptera, and Coleoptera. It also has some miticidal activity. Lambda-cyhalothrin has the same spectrum of insecticidal activity as cyhalothrin, but is more active. The compound is a stomach and contact insecticide. It shows adulticidal, ovicidal and, particularly, larvicidal activity. Apart from agricultural uses, cyhalothrin also has public and animal health applications in which it effectively controls a broad spectrum of insects including cockroaches, flies, mosquitos, and ticks. It is active as a residual spray on inert surfaces.2. SUMMARY AND EVALUATION2.1 Human Exposure Residues in food arising from the use of cyhalothrin and lambda- cyhalothrin on crops and in animal health are low, usually less than 0.2mg/kg. No results are available on the total dietary intake in man, but it can be assumed that the dietary exposure of the general population will not exceed the ADI of 0.02 mg/kg body weight.2.2 Environmental Exposure and Fate On soil surfaces and in aqueous solutions at pH 5, lambda-cyhalothrin is degraded in sunlight with a half-life of approximately 30 days. The main degradation products are 3-(2-chloro-3,3,3-trifluoroprop1-enyl)- 2-dimethylcyclopropane carboxylic acid, the amide derivative of cyhalothrin, and phenoxybenzoic acid. Degradation in soil occurs primarily through hydroxylation followed by cleavage of the ester linkage to give two main degradation products that are further degraded to carbon dioxide. The initial half-lives are in the range of 22-82 days. Cyhalothrin and lambda-cyhalothrin are adsorbed on soil particles and are non-mobile in the environment. On plants, lambda-cyhalothrin degrades at a moderate rate (half-life up to 40 days) and the major constituent of the residue on plants is usually the parent compound. Lower levels of metabolites, resulting from a range of hydrolytic and oxidative reactions, are also found. No data are available on actual levels of cyhalothrin and lambda- cyhalothrin in the environment, but with the current use pattern and low application rates, these are expected to be low.2.3 Uptake, Metabolism, and Excretion Metabolic studies have been carried out on the rat, dog, cow, and goat. In the rat and dog, cyhalothrin was shown to be well absorbed after oral administration, extensively metabolized, and eliminated as polar conjugates in urine. Cyhalothrin levels in rat tissues declined on cessation of exposure to the compound. Residues in rat carcasses were low (< 5% of the dose after 7 days) and were found to be almost entirely due to cyhalothrin contained in fats. Residues in fats were eliminated with a half-life of 23 days. After oral administration to lactating cows, cyhalothrin was rapidly eliminated, an equilibrium between ingestion and elimination being reached after 3 days; 27% of the dose was eliminated in the urine, 50% in the faeces, and 0.8% in the milk. Urinary material consisted entirely of ester cleavage metabolites and their conjugates; 60-70% of the faecal [14C]-material was identified as unchanged cyhalothrin. Tissue residues, 16 h after the last dose, were low, the highest concentrations being detected in fat. The [14C]-residues in milk and fatty tissues were almost entirely unchanged cyhalothrin, no other component being detected. In all mammalian species investigated, cyhalothrin was extensively metabolized to the cyclopropane carboxylic acid and 3-phenoxybenzoic acid, as a result of ester cleavage, and eliminated as conjugates. In fish, the main residue in tissues consisted of unchanged cyhalothrin, with lower levels of the ester cleavage products.2.4 Effects on Organisms in the Environment Under laboratory conditions of constant toxicant concentrations, cyhalothrin and lambda-cyhalothrin were highly toxic for fish and aquatic invertebrates. The 96-h LC50s for fish ranged between 0.2 and 1.3 µg/litre; the 48-h LC50s for aquatic invertebrates ranged between 0.008 and 0.4µg/litre. Accumulation studies, conducted under laboratory conditions with constant concentrations, showed that rapid uptake takes place in fish (accumulation factor approximately 1000-2000). However, in the presence of soil and suspended sediment, the bioaccumulation factors were greatly reduced - to 19 in the case of fish and 194 in the case of Daphnia.When exposed fish and Daphniawere placed in clean water, the residues declined rapidly, with half-lives of 7 days and 1 day, respectively. The concentrations of cyhalothrin and lambda-cyhalothrin that are likely to arise in water from normal agricultural application will be low. Because the compound is rapidly adsorbed and degraded under natural conditions there will not be any practical problems concerning the accumulation of residues or the toxicity of cyhalothrin or lambda-cyhalothrin in aquatic species. Cyhalothrin and lambda-cyhalothrin are virtually non-toxic for birds; the single dose LD50 was greater than 3950 mg/kg in all species tested and the lowest 5-day dietary LD50 was 3948 mg/kg (lambda-cyhalothrin fed to 8-day-old mallard ducks). Under laboratory conditions, both cyhalothrin and lambda-cyhalothrin were toxic for honey-bees; the oral LD50 for lambda-cyhalothrin was 0.97µg/bee. However, in the field, the hazard is lower since current formulations have a repellent action that causes a suspension of foraging activity in the treated crop. When foraging in the crop restarts, there is no significant increase in bee mortality.2.5 Effects on Experimental Animals and In Vitro Test Systems The acute oral toxicity of cyhalothrin is moderate in rats and mice and low in guinea-pigs and rabbits (rat LD50, 144-243 mg/kg; mouse LD50, 37-62mg/kg; guinea-pig LD50, >5000 mg/kg; rabbit LD50, >1000 mg/kg). The acute oral toxicity of lambda-cyhalothrin is higher than that of cyhalothrin (rat LD50, 56-79 mg/kg; mouse LD50, 20 mg/kg). The dermal toxicities are as follows: rat LD50, 200-2000 mg/kg (cyhalothrin), 632-696mg/kg (lambda-cyhalothrin); rabbit LD50, >2000 mg/kg (cyhalothrin). Cyhalothrin and lambda-cyhalothrin are Type II pyrethroids; clinical signs include ataxia, unsteady gait, and hyperexcitability. In the rabbit, cyhalothrin is a moderate eye irritant and lambda-cyhalothrin a mild eye irritant; both are mild skin irritants. Cyhalothrin is not a skin irritant in the rat. However, it is a moderate skin sensitizer in the guinea-pig. Lambda-cyhalothrin is not a skin sensitizer. In a 90-day feeding study in which rats were fed cyhalothrin at dose levels of up to 250 mg/kg diet, reduced body weight gain was observed in males at 250 mg/kg diet. Marginal effects on mean erythrocyte volumes were noted in some treated groups, as well as some liver changes, which were considered to be an adaptive response. In a 90-day feeding study in which rats were fed lambda-cyhalothrin at dose levels of up to 250 mg/kg, reduced body weight gain was observed in both sexes at 250 mg/kg. Some effects on clinical chemistry were observed, as well as liver effects similar to those noted with cyhalothrin. The no-observed-effect level was 50 mg/kg. In a 26-week oral study in which doses of up to 10 mg cyhalothrin/kg per day were administered to dogs, signs of pyrethroid toxicity were observed at 10 mg/kg per day. The no-observed-effect level was 2.5 mg/kg body weight per day. A similar study was conducted in which up to 3.5 mg lambda-cyhalothrin/kg body weight per day was administered to dogs for 52 weeks. Clinical signs of pyrethroid toxicity (neurological signs) were observed in all animals dosed with 3.5 mg/kg body weight per day. The no-observed-effect level was 0.5 mg/kg per day. A 21-day study was conducted in which cyhalothrin in polyethylene glycol was applied dermally to rabbits at dose levels of up to 1000 mg/kg per day. Clinical signs of toxicity were observed in some animals at the highest dose level. Slight to severe skin irritation was observed in all groups, including controls. Cyhalothrin was tested in two 104-week feeding studies, one on rats and one on mice. In the rat study, no oncogenic effects were observed at dose levels up to 250 mg/kg diet (highest level tested). The no-observed-effect level for systemic toxicity was 50 mg/kg diet (1.8 mg/kg body weight per day). Decreased body weight gain was observed in both sexes at 250 mg/kg diet. In the mouse study, no oncogenic effects were observed at dose levels up to 500 mg/kg diet (highest level tested). Clinical signs of pyrethroid toxicity were observed at 100 and 500 mg/kg diet and reduced body weight gain was observed at 500 mg/kg diet. The no-observed-effect level for systemic toxicity was 20 mg/kg diet (1.9 mg/kg body weight per day). No histological evidence of damage to the nervous system was observed in either study. Cyhalothrin and lambda-cyhalothrin gave negative results in a range of in vivo and in vitro assays designed to detect gene mutations, chromosomal damage, and other genotoxic effects. When orally administered to the rat and rabbit during the period of major organogenesis, cyhalothrin was neither embryotoxic nor teratogenic at dose levels that elicited maternal toxicity (15 mg/kg per day for rats and 30 mg/kg per day for rabbits, both highest dose levels tested). A three-generation reproduction study was conducted on rats with cyhalothrin at dose levels of up to 100 mg/kg diet. Minor decreases in litter size and small reductions in weight gain were seen at 100 mg/kg diet; the no-observed-effect level for reproductive effects was 30 mg/kg diet.2.6 Effects on Human Beings No cases of accidental poisoning have been described. In manufacturing, formulation, laboratory work, and field usage, symptoms of subjective facial sensation have been reported. This effect generally lasts only a few hours, but occasionally persists for up to 72 h after exposure; medical examination has not revealed any neurological abnormalities. Subjective facial skin sensations, which may be experienced by people who handle cyhalothrin and lambda-cyhalothrin, are believed to be brought about by repetitive firing of sensory nerve terminals in the skin; they may be considered as an early warning signal indicating that overexposure of the bare skin has occurred. There are no indications that cyhalothrin and lambda-cyhalothrin, used under the present recommended conditions and application rates, will have any adverse effects on human beings.3. CONCLUSIONS AND RECOMMENDATIONS3.1 Conclusions General population.The exposure of the general population to cyhalothrin and lambda-cyhalothrin is expected to be very low and is not likely to present a hazard under recommended conditions of use. Occupational exposure.With good work practices, hygiene measures, and safety precautions, cyhalothrin and lambda-cyhalothrin are unlikely to present a hazard to those occupationally exposed. Environment.It is unlikely that cyhalothrin, lambda-cyhalothrin, or their degradation products will attain levels of adverse environmental significance with recommended application rates. Under laboratory conditions, cyhalothrin and lambda-cyhalothrin are highly toxic for fish, aquatic arthropods, and honey-bees. However, under field conditions, lasting adverse effects are not likely to occur under recommended conditions of use.3.2 Recommendations Although dietary levels from recommended usage are considered to be very low, confirmation of this through inclusion of cyhalothrin and lambda-cyhalothrin in monitoring studies should be considered. Cyhalothrin and lambda-cyhalothrin have been used for several years and cases of transient effects from occupational exposure have occurred. Observation of human exposure should be maintained.4. HUMAN HEALTH HAZARDS, PREVENTION AND PROTECTION, EMERGENCY ACTION4.1 Main Human Health Hazards, Prevention and Protection, First Aid Cyhalothrin is a synthetic pyrethroid insecticide of moderate acute toxicity (rat oral LD50, 144-243 mg/kg), unlikely to present an acute hazard in normal use. Lambda-cyhalothrin is slightly more toxic (rat oral LD50, 56-79 mg/kg). No cases of poisoning have been described in the general population and none from occupational exposure. The results of experimental animal studies suggest that, following massive overexposure or accidental ingestion, neurological signs and symptoms, such as tremors and convulsions, could occur. The human health hazards associated with certain types of exposure to cyhalothrin, together with preventive and protective measures and first-aid recommendations, are listed in the International Chemical Safety Card (section 6).4.1.1 Advice to physicians No specific antidote is known. A hazard with liquid formulations is aspiration of the solvent into the lungs, resulting in chemical pneumonitis. Therefore, do not induce vomiting; empty stomach only on specialist advice using appropriate equipment. Treat symptomatically. In case of convulsions, diazepam should be given slowly intravenously or rectally in an appropriate dose (10 or 20 mg in an adult), and repeated if necessary.4.1.2 Health surveillance advice A pre-employment and an annual general medical examination are advised for regularly exposed workers. Occurrence of "facial skin sensations" is an indication of exposures that should be corrected.4.2 Explosion and Fire Hazards Some solvents in pyrethroid formulations are highly flammable. Use dry powder, carbon dioxide, alcohol-resistant foam, sand, or earth for dealing with fires. Do not use water. Cool nearby drums with water spray. If pyrethroid products are involved in a major fire or in a fire involving other products, advise the fire service that protective clothing and breathing apparatus should be worn. Also, warn the authorities that pyrethroids are highly toxic for fish, and that the use of water should be confined to the cooling of unaffected stock, thus avoiding accumulation of polluted run-off from the site.4.3 Storage Store technical material and formulations away from heat, under lock and key, and out of reach of children, animals, and unauthorized personnel. Store in an area designated for pesticide storage. Prevent spills from leaking into watercourses. Store away from foodstuffs and animal feed.4.4 Transport Pyrethroids are classified as harmful or low hazard for transport purposes. Formulations based on flammable solvents may be subject to local transport controls. Ensure that containers are sound and that labels are securely fixed and undamaged before dispatch. Comply with local transport regulations. Do not load together with foodstuffs and animal feed.4.5 Spillage and Disposal4.5.1 Spillage Empty any product remaining in damaged or leaking containers into a clean empty drum and affix the correct label. Absorb spillage with lime, damp sawdust, sand, or earth and dispose of safely (see below). If spillage is large, contain it by building a barrier of earth or sandbags. Decontaminate empty, damaged, or leaking containers with a 10% sodium carbonate solution added at the rate of at least 1 litre per 20-litre drum. Puncture containers to prevent reuse.4.5.2 Disposal Waste containing cyhalothrin or lambda-cyhalothrin should be burnt in a suitable high-temperature incinerator fitted with a high-efficiency gas scrubbing system. Where no incinerator is available, contaminated absorbents or surplus products should be decomposed by hydrolysis at pH12 or above. Contact with a suitable hydrolysing agent is required to ensure degradation of the active ingredient to a safe concentration. For emulsifiable material: 5% sodium hydroxide (caustic soda) solution or saturated (7-10%) sodium carbonate (washing soda) solution can be used For non-emulsifiable material: use a 1:1 mixture (by volume) of either of the above solutions and a water/oil soluble solvent, such as denatured alcohol, monoethylene glycol, hexylene glycol, or 2-propanol Cover the material with a hydrolysing agent and leave to stand for 7 days. Before disposal of the resultant waste, the material must be analysed to ensure that the active ingredient has been degraded to a safe level. Never pour untreated waste or surplus products into public sewers or where there is any danger of run-off or seepage into streams, watercourses, open waterways, ditches, fields with drainage systems, or the catchment areas of boreholes, wells, springs, or ponds.5. HAZARDS FOR THE ENVIRONMENT AND THEIR PREVENTION Cyhalothrin and lambda-cyhalothrin are very toxic for fish, aquatic invertebrates, and honey-bees but, because very low exposure levels normally occur, this would only cause a problem in the case of spillage. The toxicity for birds is low. With recommended techniques and rates of application, it is unlikely that cyhalothrin and lambda-cyhalothrin and their degradation products will attain levels of adverse environmental significance. Avoid spraying over bodies of water. Do not contaminate ponds, waterways, or ditches with the product or used containers.6. INTERNATIONAL CHEMICAL SAFETY CARD This card should be easily available to all health workers concerned with, and users of, cyhalothrin and lambda-cyhalothrin. It should be displayed at, or near, entrances to areas where there is potential exposure to cyhalothrin and lambda-cyhalothrin, and on processing equipment and containers. The card should be translated into the appropriate language(s). All persons potentially exposed to the chemicals should also have the instructions on the chemical safety card clearly explained. Space is available on the card for the insertion of the National Occupational Exposure Limit, the address and telephone number of the National Poison Control Centre, and for local trade names. CYHALOTHRIN (C23H19C1F3NO3) CAS chemical name: (R+S)-alpha-cyano-3-(phenoxyphenyl)methyl(1 S+1 R)- cis-3( z-2-chloro-3,3,3-trifluoroprop-1-enyl)-2,2-dimethylcyclopropane carboxylate CAS registry number: cyhalothrin:68085-85-8 lambda-cyhalothrin:91465-08-6 PHYSICAL PROPERTIES CYHALOTHRIN LAMBDA- OTHER CHARACTERISTICS CYHALOTHRIN Relative molecular mass 449.9 449.9 Technical cyhalothrin is a yellow- Melting point (°C) - 49.2 brown viscous liquid with a mild Decomposition (°C) > 275 > 275 odour; it consists of selected Water solubility 4 × 10-3 mg/litre 5 × 10-3 mg/litre isomers of a chlorotrifluoro derivative Solubility in organic solvent soluble soluble of chrysanthemic acid; it is stable n-Octanol water-partition to light and at temperatures below coefficient log Pow (20°C) 6.9 7.0 220°C Density 1.25 g/ml 1.33 g/ml It is a pyrethroid insecticide used Vapour pressure as a stomach and contact insecticide (kPa at 20°C) 1 × 10-9 2 × 10-10 in agriculture; it is also used in public (kPa at 80°C) 4 × 10-6 3 × 10-6 and animal health HAZARDS/SYMPTOMS PREVENTION AND PROTECTION FIRST AID SKIN: Irritating to skin; Proper application techniques; Remove contaminated clothing; facial skin sensations proper skin protection; clean wash skin with water and soap protective equipment before re-use EYES: Irritating to eyes Wear face shield, goggles Flush with clean water for a least 15 minutes INHALATION: Irritation of Avoid inhalation of fine dust and Fresh air upper respiratory system mist INGESTION: Unlikely to be Do not eat, drink, or smoke during a significant occupational work; wash hands before eating, hazard drinking, or smoking Accidental or deliberate Obtain medical attention ingestion could lead to immediately; if breathing has neurological signs and symptoms, stopped, apply artificial such as tremors and convulsions respiration A hazard of ingested liquid Do not induce vomiting formulations is aspiration into the lungs ENVIRONMENT: Very toxic Do not contaminate ponds, Effect on ponds can be minimized by for fish and honey-bees waterways, or ditches with by the addition of soil product or used containers SPILLAGE STORAGE FIRE AND EXPLOSION Absorb spillage with lime, damp Store in locked, well-ventilated Some liquid formulations may be highly sawdust, sand, or earth; sweep up, storeroom, away from feed flammable; use dry powder, carbon place in closed container and and foodstuffs, children, and dioxide, or alcohol-resistant foam; cool dispose of safely; avoid contamination unauthorized personnel nearby drums with water spray of personnel, ponds, and waterways WASTE DISPOSAL Burn in high-temperature National Occupational Exposure Limit: incinerator with effluent scrubbing; alternatively, treat with 5% caustic soda as a hydrolysing agent for 7 days; comply with local regulations National Poison Control Centre: Local trade names:
7. CURRENT REGULATIONS, GUIDELINES, AND STANDARDS The information given in this section has been extracted from the International Register of Potentially Toxic Chemicals (IRPTC) legal file and other United Nations sources. The intention is to give the reader a representative, but not exhaustive, overview of current regulations, guidelines, and standards. The reader should be aware that regulatory decisions about chemicals taken in a certain country can only be fully understood in the framework of the legislation of that country. Furthermore, the regulations and guidelines of all countries are subject to change and should always be verified with the appropriate regulatory authorities before application.7.1 Previous Evaluations by International Bodies Cyhalothrin was discussed by the FAO/WHO Joint Meeting on Pesticide Residues (JMPR) in 1984 and 1986. The JMPR established an acceptable daily intake (ADI) for cyhalothrin of 0-0.02 mg/kg body weight (1984), and proposed a temporary MRL (maximum residue limit) of 0.2 mg/kg on pome fruit and cabbages and 0.02 mg/kg on cottonseed, cottonseed oil, and potatoes (the level refers to the sum of cyhalothrin isomers) (1988).7.2 Exposure Limit Values The values recommended by the JMPR are mentioned above.7.3 Specific Restrictions No information available.7.4 Labelling, Packaging, and Transport The United Nations Committee of Experts on the Transportation of Dangerous Goods classifies pyrethroids in: - Hazard class 6.1: poisonous substance - Packing group III: a substance presenting a relatively low risk of poisoning in transport. The label should be as follows:
The bottom half of the label should bear the inscription: Harmful, stow away from foodstuffs. European Community legislation requires labelling as a dangerous substance, using the symbol:
The label must read: Harmful by inhalation, in contact with skin and if swallowed; keep out of reach of children; keep away from food, drink, and animal feeding stuff.7.5 Waste Disposal In some countries, specific permits are required for the discharge of pyrethroids from any point source into surface or underground waters. Detailed conditions before such discharges are permitted are laid down.BIBLIOGRAPHY FAO (1985a) Guidelines for the packaging and storage of pesticides, Rome, Food and Agriculture Organization of the United Nations. FAO (1985b) Guidelines for the disposal of waste pesticides and pesticide containers on the farm,Rome, Food and Agriculture Organization of the United Nations. FAO (1985c) Guidelines on good labelling practice for pesticides, Rome, Food and Agriculture Organization of the United Nations. FAO (1986) International code of conduct on the distribution and use of pesticides,Rome, Food and Agriculture Organization of the United Nations. FAO/WHO (1986) Guide to Codex recommendations concerning pesticide residues. Part 8. Recommendations for methods of analysis of pesticide residues,3rd ed., Rome, Codex Committee on Pesticide Residues. GIFAP (1982) Guidelines for the safe handling of pesticides during their formulation, packing, storage and transport,Brussels, Groupement International des Associations Nationales des Fabricants de Produits Agrochimiques. GIFAP (1983) Guidelines for the safe and effective use of pesticides,Brussels, Groupement International des Associations Nationales des Fabricants de Produits Agrochimiques. GIFAP (1984) Guidelines for emergency measures in cases of pesticide poisoning,Brussels, Groupement International des Associations Nationales des Fabricants de Produits Agrochimiques. GIFAP (1987) Guidelines for the safe transport of pesticides, Brussels, Groupement International des Associations Nationales des Fabricants de Produits Agrochimiques. IARC (1972-present) IARC monographs on the evaluation of carcinogenic risk of chemicals to man,Lyons, International Agency for Research on Cancer. IRPTC (1985) IRPTC file on treatment and disposal methods for waste chemicals,Geneva, International Register of Potentially Toxic Chemicals, United Nations Environment Programme. IRPTC (1987) IRPTC legal file 1986, Geneva, International Register of Potentially Toxic Chemicals,United Nations Environment Programme. PLESTINA, R. (1984) Prevention, diagnosis, and treatment of insecticide poisoning,Geneva, World Health Organization (unpublished document WHO/VBC/84.889). SAX, N.I. (1984) Dangerous properties of industrial materials,New York, Van Nostrand Reinhold Company, Inc. UNITED NATIONS (1986) Recommendations on the transport of dangerous goods,4th ed., New York, United Nations. US NIOSH/OSHA (1981) Occupational health guidelines for chemical hazards,3 Vols. Washington DC, US Department of Health and Human Services, US Department of Labor (Publication No. DHHS(NIOSH) 01-123). WHO (In press, 1990) EHC No. 99: Cyhalothrin,Geneva, World Health Organization. WHO (1988) The WHO recommended classification of pesticides by hazard and guidelines to classification 1988-89,Geneva, World Health Organization (unpublished document WHO/VBC/88.953). WORTHING, C.R. & WALKER, S.B. (1983) The pesticide manual,7th ed., Lavenham, Lavenham Press Limited, British Crop Protection Council.
[8]ページ先頭