Related Resources:calculators
Manufacturing, Design and Engineering
Stresses in Rotating Disks (Annular Rings) of Constant Thickness Equation and Calculator
A homogeneous annular disk of uniform thickness outer radius R, and weight per unit volume d, with a central hole of radius Ro, rotates about its own axis with a uniform angular velocity of ω rad/s. At any point a distance r from the center there is a radial tensile inertia stress.

Preview:Stresses in Rotating Disks (Annular Rings) of Constant Thickness Calculator
Radial Tensile Inertia Stress:
Tangential Tensile Inertia Stress:
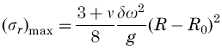
Maximum Radial Stress occurs at r = ( R · Ro )0.5
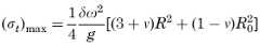
Maximum radial tangential stress occurs at the perimeter of the hole:
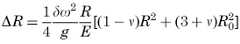
Change in outer radius:
Change in inner radius:
Where:
R = outer radius of disk,(in, m);
Ro = inner radius of disk or radius of bore (in, m);
r = tensile inertia stress at some radial distance (in, m);
δ = Weight per unit volume (lbs/in3, (kg/m3);
g = G Force (386.4 in/s2, 9.81456 m/s2)
ω = Angular rotation speed (rad/s);
rpm = revolutions per minute
E = Elastic Modulus (psi, Pa);
v = Poisson's ratio.
Conversion:
1 rad/sec = 9.549296596425384 rpm
1 rpm = 0.104719755 rad/sec
Reference: Roark's Formulas for Stress and Strain, 7th Edition
Page 746
Link to this Webpage:

© Copyright 2000 -2025, by Engineers Edge, LLC
www.engineersedge.com
All rights reserved
Disclaimer |Feedback
Advertising|Contact