- Notifications
You must be signed in to change notification settings - Fork3
fsn1995/Fun-with-Python-for-Geodata
Folders and files
| Name | Name | Last commit message | Last commit date | |
|---|---|---|---|---|
Repository files navigation
Personal practices in geodata analysis with python.
- 1.1 covid-19 and Benford's law
- 1.2 data visualization exercise
- 1.2.1 Global Annual Temperature Anomaly Interactive scatter plots with lowess trendlines
- 1.2.2 COVID-19 related spatial visualization (time slider map, ridgeline plot, multi tooltip graph)
- 1.2.3 Time series plots (drought, glaicer massbalance)
- 1.2.4 Mapping the World (global airport connection, power plant)
- 1.3 Raster Data Visualization
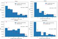
Benford's law is an interesting theory so I did some experiment with covid-19 data. It's out of my specialization so there's no gurantee in the accuracy and quality of this analysis. Be doubtful and just for fun.Here the screenshot is confirmed cases from three countries that I had lived.
Note: After made the first test in April, I later found a correspondence article that support my assumption in May. (Sambridge, M. and Jackson, A., 2020. National COVID numbers-Benford's law looks for errors. Nature, 581(7809), pp.384-384. doi:10.1038/d41586-020-01565-5).
Scripts (part1) or jupyter notebooks for processing, visualizing and analyzing data.Some are exported as interactive html files indataVisualization folder or for preview in the links given.
Theraw ipynb file contains contents of custom JavaScript plots will be rendered as static html (seeGitHub help), same for exported html files.
Interactive figures or maps for:
- Ridgeline Plot of COVID-19 Daily Cases
New Cases |New Deaths
- Time series bubble plots
- time series heatmap of drought condition
- Mass Balance of Storglaciären
- Global Airports Connection Interactive Map, inspired by altair template and OpenFlights.org.
- Global Power Plant, mixed subplots treemaps with plotly.
This is used to bulk download data from earthdata.nasa.gov. Input required is the link list.
2.2mosaic.py
This is practice to do mosaic and subset by roi for geotiff data. The process is done with rasterio library.
3.geopyfsn
This is a collection of some functions used for myself.
- getxy: This can be used to obtain the x, y coordinates of a tiff file.
importrasteriofromgeopyfsnimportgetxysrc=rasterio.open('image.tif')x,y=getxy(src)
About
personal python exercises
Topics
Resources
License
Uh oh!
There was an error while loading.Please reload this page.












