- Notifications
You must be signed in to change notification settings - Fork15
Tiny recursive descent expression parser, compiler, and evaluation engine for math expressions and spreadsheet formulas in C++.
License
Blake-Madden/tinyexpr-plusplus
Folders and files
| Name | Name | Last commit message | Last commit date | |
|---|---|---|---|---|
Repository files navigation
TinyExpr++ is the C++ version of theTinyExpr library, which is a smallrecursive-descent parser and evaluation engine for math expressions.
In addition to math operators and precedence,TinyExpr++ also supportsthe standard C math functions and runtime binding of variables and user-defined functions.
Please refer to theTinyExpr++ Reference Manualfor a full list of features.
| Platforms | Result |
|---|---|
| Linux | |
| macOS | |
| Windows |
| Code Analyses | Result |
|---|---|
| cppcheck | |
| MS PREfast | |
| CodeQL | |
| Quneiform |
| Documentation Checks | Result |
|---|---|
| Doxygen | |
| Spellcheck |
Note: for current users ofTinyExpr++, please see thecompatibility advisory for recent changes.
- C++17 with no dependencies.
- Single source file and header file.
- Simple and fast.
- Implements standard operator precedence.
- Implements logical and comparison operators.
- Includes standard C math functions (
sin,sqrt,ln, etc.). - Includes someExcel-like statistical, logical, and financial functions (e.g.,
AVERAGEandIF). - Can add custom functions and variables easily.
- Can bind constants at eval-time.
- Supports variadic functions (taking between 1-24 arguments).
- Case insensitive.
- Supports non-US formulas (e.g.,
POW(2,2; 2)instead ofPOW(2.2, 2)). - Supports C and C++ style comments within math expressions.
- Released under the zlib license - free for nearly any use.
- Easy to use and integrate with your code.
- Thread-safe; parser can be constructed as per thread objects.
Please referhere for a list of changes from the originalTinyExpr C library.
TinyExpr++ is self-contained in two files: "tinyexpr.cpp and "tinyexpr.h". To useTinyExpr++, simply add those two files to your project.
The documentation can be built using the following:
doxygen docs/DoxyfileHere is a minimal example to evaluate an expression at runtime.
#include"tinyexpr.h"#include<iostream>#include<iomanip>#include<string>te_parser tep;constdouble r = tep.evaluate("sqrt(5^2+7^2+11^2+(8-2)^2)");std::cout << std::setprecision(8) <<"The expression:\n\t" << tep.get_expression() <<"\nevaluates to:\n\t" << r <<"\n";// prints 15.198684
TinyExpr++'ste_parser class defines these functions:
doubleevaluate(const std::string_view expression);doubleget_result();boolsuccess();int64_tget_last_error_position();std::stringget_last_error_message();set_variables_and_functions(const std::set<te_variable>& vars);std::set<te_variable>&get_variables_and_functions();add_variable_or_function(const te_variable& var);set_unknown_symbol_resolver(te_usr_variant_type usr);get_decimal_separator();set_decimal_separator();get_list_separator();set_list_separator();
evaluate() takes an expression and immediately returns the result of it. If thereis a parse error, then it returns NaN (which can be verified by usingstd::isnan()).
get_result() can be called anytime afterwards to retrieve the result fromevaluate().
success() can be called to see if the previous callevaluate() succeeded or not.
If the parse failed, callingget_last_error_position() will return the 0-based index of where in theexpression the parse failed. For some errors,get_last_error_message() will return a more detailed message.
set_variables_and_functions(),get_variables_and_functions(), andadd_variable_or_function() are usedto add custom variables and functions to the parser.
set_unknown_symbol_resolver() is used to provide a custom function to resolve unknown symbols in an expression.
get_decimal_separator()/set_decimal_separator() andget_list_separator()/set_list_separator() can be used to parse non-US formatted formulas.
Example usage:
te_parser tep;// Returns 10, error position is set to te_parser::npos (i.e., no error).double result = tep.evaluate("(5+5)");// Returns NaN, error position is set to 3.double result2 = tep.evaluate("(5+5");
Giveset_variables_and_functions() a list of constants, bound variables, and function pointers/lambdas.
evaluate() will then evaluate expressions using these variables and functions.
example usage:
#include"tinyexpr.h"#include<iostream>double x{0 }, y{0 };// Store variable names and pointers.te_parser tep;tep.set_variables_and_functions({{"x", &x}, {"y", &y}});// Compile the expression with variables.auto result = tep.evaluate("sqrt(x^2+y^2)");if (tep.success()) { x =3; y =4;// Will use the previously used expression, returns 5.constdouble h1 = tep.evaluate(); x =5; y =12;// Returns 13.constdouble h2 = tep.evaluate(); }else { std::cout <<"Parse error at" <<std::to_string(tep.get_last_error_position()) <<"\n"; }
Here is a complete example that will evaluate an expression passed in from the commandline. It also does error checking and binds the variablesx andy to3 and4, respectively.
#include"tinyexpr.h"#include<iostream>#include<iomanip>intmain(int argc,char *argv[]) {if (argc <2) { std::cout <<"Usage: example\"expression\"\n";return EXIT_FAILURE; }constchar *expression = argv[1]; std::cout <<"Evaluating:\n\t" << expression <<"\n";/* This shows an example where the variables x and y are bound at eval-time.*/double x{0 }, y{0 };// Store variable names and pointers. te_parser tep; tep.set_variables_and_functions({{"x", &x}, {"y", &y}});/* This will compile the expression and check for errors.*/auto result = tep.evaluate(expression);if (tep.success()) {/* The variables can be changed here, and eval can be called as many times as you like. This is fairly efficient because the parsing has already been done.*/ x =3; y =4;constdouble r = tep.evaluate(); std::cout <<"Result:\n\t" << r <<"\n"; }else {/* Show the user where the error is at.*/ std::cout <<"\t" <<std::setfill('') <<std::setw(tep.get_last_error_position()) <<'^' <<"\tError near here\n"; }return EXIT_SUCCESS; }
This produces the output:
$ "sqrt(x^2+y2)" Evaluating: sqrt(x^2+y2) ^ Error near here$ "sqrt(x^2+y^2)" Evaluating: sqrt(x^2+y^2) Result: 5.000000TinyExpr++ can also call custom functions. Here is a short example:
doublemy_sum(double a,double b) {/* Example function that adds two numbers together.*/return a + b; }te_parser tep;tep.set_variables_and_functions({ {"mysum", my_sum }// function pointer});constdouble r = tep.evaluate("mysum(5, 6)");// will be 11
Here is an example of using a lambda:
te_parser tep;tep.set_variables_and_functions({ {"mysum", [](double a,double b)noexcept {return a + b; } } });constdouble r = tep.evaluate("mysum(5, 6)");// will be 11A class derived fromte_expr can be bound to custom functions. This enables you tohave full access to an object (via these functions) when parsing an expression.
The following demonstrates creating ate_expr-derived class which contains an array of values:
classte_expr_array :publicte_expr {public:explicitte_expr_array(const te_variable_flags type)noexcept : te_expr(type) {} std::array<double,5> m_data = {5,6,7,8,9 }; };
Next, create two functions that can accept this object and performactions on it. (Note that proper error handling is not included for brevity.):
// Returns the value of a cell from the object's data.doublecell(const te_expr* context,double a) {auto* c =dynamic_cast<const te_expr_array*>(context);returnstatic_cast<double>(c->m_data[static_cast<size_t>(a)]); }// Returns the max value of the object's data.doublecell_max(const te_expr* context) {auto* c =dynamic_cast<const te_expr_array*>(context);returnstatic_cast<double>( *std::max_element(c->m_data.cbegin(), c->m_data.cend())); }
Finally, create an instance of the class and connect the custom functions to it,while also adding them to the parser:
te_expr_array teArray{ TE_DEFAULT };te_parser tep;tep.set_variables_and_functions( { {"cell", cell, TE_DEFAULT, &teArray}, {"cellmax", cell_max, TE_DEFAULT, &teArray} });// change the object's data and evaluate their summation// (will be 30)teArray.m_data = {6,7,8,5,4 };auto result = tep.evaluate("SUM(CELL 0, CELL 1, CELL 2, CELL 3, CELL 4)");// call the other function, getting the object's max value// (will be 8)res = tep.evaluate("CellMax()");TinyExpr++ supports other locales and non-US formatted formulas. Here is an example:
#include"tinyexpr.h"#include<iostream>#include<iomanip>#include<locale>#include<clocale>intmain(int argc,char *argv[]) {/* Set locale to German. This string is platform dependent. The following works on Windows, consult your platform's documentation for more details.*/setlocale(LC_ALL,"de-DE");std::locale::global(std::locale("de-DE"));/* After setting your locale to German, functions like strtod() will fail with values like "3.14" because it expects "3,14" instead. To fix this, we will tell the parser to use "," as the decimal separator and ";" as list argument separator.*/constchar *expression ="pow(2,2; 2)";// instead of "pow(2.2, 2)" std::cout <<"Evaluating:\n\t" << expression <<"\n"; te_parser tep; tep.set_decimal_separator(','); tep.set_list_separator(';');/* This will compile the expression and check for errors.*/auto r = tep.evaluate(expression);if (tep.success()) {constdouble r = tep.evaluate(expression); std::cout <<"Result:\n\t" << r <<"\n"; }else {/* Show the user where the error is at.*/ std::cout <<"\t" <<std::setfill('') <<std::setw(tep.get_last_error_position()) <<'^' <<"\tError near here\n"; }return EXIT_SUCCESS; }
This produces the output:
$ Evaluating: pow(2,2; 2) Result: 4,840000Refer toExamples for more examples.
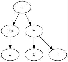
te_parser::evaluate() uses a simple recursive descent parser to compile yourexpression into a syntax tree. For example, the expression"sin x + 1/4"parses as:
te_parser::evaluate() also automatically prunes constant branches. In this example,the compiled expression returned byte_compile() would become:
TinyExpr++ parses the following grammar (from lowest-to-highest operator precedence):
<list> = <expr> {(",", ";" [dependent on locale]) <expr>}<expr> = <term> {("&" | "|" | "&&" | "||") <term>}<expr> = <term> {("<>" | "!=" | "=" | "<") | "<=") | ">" | ">=") <term>}<expr> = <term> {("<<" | ">>" | "<<<" | ">>>") <term>}<expr> = <term> {("+" | "-") <term>}<term> = <factor> {("*" | "/" | "%") <factor>}<factor> = <power> {("^" | "**") <power>}<power> = {("-" | "+" | "~")} <base><base> = <constant> | <variable> | <function-0> {"(" ")"} | <function-1> <power> | <function-X> "(" <expr> {"," <expr>} ")" | "(" <list> ")"In addition, whitespace between tokens is ignored.
Valid variable names consist of a letter or underscore followed by any combinationof: lettersa–z orA–Z, digits0–9, periods, andunderscores. Constants can be integers or floating-point numbers, and can be in decimal,hexadecimal (e.g.,0x57CEF7), or scientific notation (e.g.,1e3 for1000).A leading zero is not required (e.g.,.5 for0.5).
TinyExpr++ supports addition (+), subtraction/negation (-), multiplication (*),division (/), exponentiation (^), modulus (%), and left/right shift (<<,>>)with the normal operator precedence (the one exception being that exponentiation is evaluatedleft-to-right, but this can be changed - see below).
Please refer to theTinyExpr++ Reference Manualfor a full list of available functions.
About
Tiny recursive descent expression parser, compiler, and evaluation engine for math expressions and spreadsheet formulas in C++.
Topics
Resources
License
Uh oh!
There was an error while loading.Please reload this page.
Stars
Watchers
Forks
Uh oh!
There was an error while loading.Please reload this page.
Contributors3
Uh oh!
There was an error while loading.Please reload this page.



